Бизнес-план 'ЦФТ-Ритейл банк (на базе Oracle)'
Федеральное
государственное бюджетное образовательное учреждение
высшего
профессионального образования
Нижегородский
государственный технический университет
им.
Р.Е. Алексеева
Кафедра
«Управление инновационной деятельностью»
Курсовая
работа
по
дисциплине «Инвестиции малого бизнеса»
Тема
работы: Бизнес-план «ЦФТ-Ритейл банк (на базе Oracle)»
Нижний
Новгород
г.
Содержание
1.
Резюме
.
Характеристика технологии
.1
Оценка эффективности новой технологии
.2
Интегральный экономический показатель изделия и его технико-экономическая
эффективность
.3
Оценка конкурентоспособности продукции
.
Организационный план и управленческая команда
Приложения
1. Резюме
«ЦФТ-Ритейл банк» (Платформа 1) -
Объективно-ориентированная банковская система, предназначенная для комплексного
обслуживания частных клиентов крупных банков, предъявляющих особые требования к
стратегии работы с клиентами. «ЦФТ-Ритейл банк» автоматизирует основные
направления деятельности розничного банка:
Депозиты и кредиты частных лиц и организаций
Операции с валютой
Реализация зарплатных проектов (зачисление по
спискам)
Коммунальные платежи
Внедрение и последующая эксплуатация системы
«ЦФТ-Ритейл банк» требуют от банковских сотрудников соответствующей
профессиональной подготовки.
ЦФТ-Ритейл банк (на базе Oracle) - комплекс
Приложений для организации обслуживания частных клиентов банка.
«ЦФТ-Ритейл банк» находится в эксплуатации в
таких банках России, как «Уралсиб», «Возраждение», «Связь-Банк» и др.
После объединения в сентябре 2011г. двух банков
«ОАО АКБ САРОВБИЗНЕСБАНК» и НФ «Нижегородпромстройбанк» возникла необходимость
перехода с программного комплекса «СОФИТ» Банк на «ЦФТ-Ритейл банк».
Необходимость обуславливается объединение клиентской базы двух крупных банков.
Более того, система объединяет функции разных подразделений. После её внедрения
работа будет осуществляться на 1 Платформе. Система дает больше возможностей в
сфере обслуживания клиентов по пластиковым картам, кредитам, операциям с
валютой и т.д.
2. Характеристика технологии
ЦФТ-Ритейл банк (на базе Oracle) - система для
комплексного обслуживания частных клиентов банка.
Система стала лидером рынка программного
обеспечения для розничных банков благодаря своей исключительной
функциональности и уникальной системе параметризации, которые не имеют аналогов
на российском рынке. В системе использованы самые современные подходы к
комплексному обслуживанию частных лиц (овердрафты, массовое кредитование,
пластиковые карты, коммунальные платежи, интернет-банкинг, платежи с мобильного
телефона).
«ЦФТ-Ритейл банк» обеспечивает:
Поддержку сети дочерних банков, филиальной сети
и сети отделений, измеряемой тысячами рабочих мест по всей стране;
Высокую производительность, позволяющую вести до
10 млн. счетов физических лиц в единой базе данных;
Обслуживание клиентов по всей России через
единый фронт-офис;
Интеграцию информационных систем разнородных
бизнесов;
Поддержку электронных каналов для продажи
банковских продуктов и услуг;
Минимизацию удельных затрат на поддержание и
развитие информационных систем за счет максимального использования экономии на
масштабах банка;
Сбор, хранение и обработку больших массивов
данных для углубленного анализа информации о клиентах и деятельности самого
банка.
«ЦФТ-Ритейл банк» автоматизирует основные
направления деятельности розничного банка:
Депозиты и кредиты частных лиц и организаций,
позволяющие осуществить любые схемы работы со счетами и вкладами, необходимые
банку;
Работа с пластиковыми картами международных
платежных систем;
Реализация договорных схем и осуществление
регулярных платежей;
Операции с валютой;
Реализация зарплатных проектов (зачисление по
спискам).
Базовый комплект*
|
Название
подсистемы базового комплекта
|
Стоимость
лицензии на базовый комплект, у.е.
|
|
Учетное
ядро
|
10
650
|
|
Сопряжение
с внешними системами
|
|
|
Ведение
и учет кассовых операций
|
|
|
Депозиты
|
|
|
Кредиты
|
|
|
Ведение
и учет валютно-обменных операций
|
|
|
Отчетность
|
|
|
Регулярные
перечисления. Договорные схемы.
|
|
|
Денежные
переводы. Коммунальные платежи.
|
|
|
Массовые
операции на основании электронных реестров (зачисления по спискам)
|
|
.1 Оценка эффективности новой технологии
Одним из показателей эффективности является
себестоимость, которую определяем с помощью следующих методов:
. Метод баллов основан на оценке условными
баллами основных технических и эксплуатационных характеристик изделий.
Процедура балльной оценки выполняется с помощью таблиц (табл. 1). Баллы,
установленные по каждому параметру экспертным путем, суммируют для нового
изделия и изделия-аналога отдельно.
Таблица 1 - Балльные оценки параметров Хi новой
программы (н) и изделия-аналога (a)*
|
Параметры
|
Весовой
коэффициент. важности аi
|
Новое
изделие (н)
|
Изделие-аналог
(а)
|
|
|
Число
баллов biн
|
Значимость
aibiн
|
Число
баллов biа
|
Значимость
aibiа
|
|
Учетное
ядро
|
0,1
|
5
|
0,5
|
5
|
0,5
|
|
Сопряжение
с внешними системами
|
0,1
|
4
|
0,4
|
3
|
0,3
|
|
Ведение
и учет кассовых операций
|
0,1
|
5
|
0,5
|
4
|
0,4
|
|
Депозиты
|
0,1
|
4
|
0,4
|
4
|
0,4
|
|
Кредиты
|
0,1
|
4
|
0,4
|
4
|
0,4
|
|
Ведение
и учет валютно-обменных операций
|
0,1
|
4
|
0,4
|
4
|
0,4
|
|
Отчетность
|
0,1
|
5
|
0,5
|
4
|
0,4
|
|
Регулярные
перечисления. Договорные схемы.
|
0,1
|
3
|
0,3
|
3
|
0,3
|
|
Денежные
переводы. Коммунальные платежи.
|
0,1
|
5
|
0,5
|
3
|
0,3
|
|
Массовые
операции на основании электронных реестров (зачисления по спискам)
|
0,1
|
5
|
0,5
|
4
|
0,4
|
|
Итого
|
 =44 =4,4 =38 =3,8
|
|
|
|
|
Расчет себестоимости нового изделия Зн
производят по формуле:
, (1)
Зн= 2763,158 * 4,4= 12157,895
гдеKi - ценностный множитель,
полученный делением фактической себестоимости изделия-аналога За на сумму
баллов, соответствующих его техническим характеристикам
:
, (2)
Кi= 10500 y.e./3,8= 2763,158 y.e.
где аi - весовой коэффициент
важности i-го параметра изделий.
н - новое изделие; a -
изделие-аналог
Метод баллов применим на ранних
стадиях проектирования для ориентировочных расчетов издержек только в случае
сохранения принципа пропорциональной зависимости затрат от параметров.
. Интегральный показатель
(коэффициент) качества (Ки) нового изделия определяют по формуле:
, (3)и =4,4/3,8 = 1,158
где n - число параметров изделия; ai
- весовой коэффициент важности i-го параметра; biн, bia - значения данного
параметра соответственно нового изделия и изделия-аналога, оцененные экспертами
в баллах.
.2 Интегральный экономический
показатель изделия и его технико-экономическая эффективность
В качестве интегрального
экономического показателя нового изделия при его сравнении с аналогом служит
цена потребления. Она выражается следующей формулой:
, (4)= 10650 y.e
где К - единовременные капитальные
затраты (на приобретение, транспортировку, монтаж, а также сопутствующие
затраты); Зэ - затраты на эксплуатацию за все время работы изделия.
Оценку технико-экономической
эффективности нового изделия удобно производить с помощью табл. 2.
Интегральный стоимостный показатель
не может быть точно рассчитан на ранних этапах ОКР. Это связано с неполнотой
конструкторской документации и отсутствием технологической документации.
Единственный выход состоит в сравнении данного показателя с ценой изделия
аналогичного по элементной базе, технологии и конструкции. Целесообразно при
этом вычленить большие и сложные составные части изделия и оценить их отдельно.
Таблица 2 - Оценка
технико-экономической эффективности новой программы
|
Параметр,
оценка
|
Коэффициент
|
Аналог
|
Новое
изделие
|
|
весомости
gi
|
Ai
|
giAi
|

|
|
|
Функциональность:
|
|
|
|
|
|
|
1.
Количество модулей
|
0,3
|
7
|
2.1
|
10
|
3
|
|
Экономические
показатели:
|
|
|
|
|
|
|
2.
Стоимость лицензии
|
0,4
|
10500
y.e
|
4200
|
10650
y.e
|
4260
|
|
3.
Стоимость обучения
|
0,3
|
180
y.e
|
54
|
0
|
0
|
|
Интегральный
технический показатель
|
|
|
|
|
|
|
Интегральный
стоимостной показатель
|
|
|
Ic
|
|
Ic’
|
|
Технико-экономическая
эффективность
|
|

|
|
|
|
Относительная
технико-экономическая эффективность ОКР
|
|
|
.3 Оценка конкурентоспособности продукции
банк конкурентоспособность
обслуживание
1. Определение конкурентоспособности продукции
методом расчета единичных и групповых показателей
) выбирается база сравнения: если разбить товары
на три группы, то в качестве базы для сравнения может служить:
группа: имеющие аналоги и уже выведенные на
рынок - лучший из уже существующих на целевом рынке или в мире
товаров-конкурентов;
группа: имеющие аналоги и находящиеся на стадии
разработки - более совершенный образец, появление которого ожидается в
ближайшем будущем;
группа: не имеющие аналогов - некоторый
абстрактный эталон.
) выделить наиболее значимые для потребителя
критерии:
Потребительские - качественные характеристики
товара (производительность, габариты, экологическая безопасность, надежность и
т.д.).
Экономические - цену товара, затраты на
транспортировку, монтаж и эксплуатацию, что в целом составляет цену
потребления.
Значение критерия у базисной модели обозначим
РБ; у сравниваемого образца - Р.
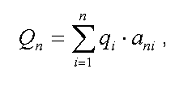
) по каждому критерию рассчитать единичный
показатель конкурентоспособности (qi).
Если увеличение значения критерия влечет за
собой повышение качества, то - qi = Pi/PБi, (8.33)
а если снижение, то - qi = PБi/Pi, (8.34)
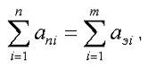
) внутри каждой группы критериев проранжировать
показатели по степени их значимости для потребителя и в соответствии с этим
присваивают им вес: апi - для потребительских и аэi - для экономических
показателей. Причем необходимость соблюдать это равенство - обеспечивает сопоставимость
Qп и Qэ вне зависимости от количества рассматриваемых критериев:
, (8.35)
где n и m - количество
потребительских и экономических параметров соответственно.
) проводится расчет группового
показателя как сводного параметрического индекса конкурентоспособности:
, (8.36)
, (8.37)
где Qп и Qэ - сводные
параметрические индексы конкурентоспособности по потребительским и
экономическим свойствам соответственно.
) рассчитывается интегральный
показатель конкурентоспособности (К):
К = Qп/Qэ. (8.38)
Экономический смысл интегрального
показателя конкурентоспособности заключается в том, что на единицу затрат
потребитель получает К единиц полезного эффекта.
Если К > 1, то уровень качества
выше уровня затрат и товар является конкурентоспособным, если К < 1 -
неконкурентоспособным на данном рынке.
Недостатки метода - ограничения
применения традиционного метода конкурентоспособности товара:
) во всех случаях предполагается
линейная зависимость конкурентоспособности от значения критерия, то есть по
всем параметрам эластичность спроса равна 1;
) не учитывается то, что для
некоторых критериев существуют ограничения, объективные или субъективные, при
нарушении которых конкурентоспособность товара стремится к нулю;
) при сравнении нескольких товаров
необходимо проведение расчетов для каждой пары в отдельности;
) сложно устанавливать весовые
значения aij, особенно для большого количества критериев;
) невозможно оценить степень влияния
на конкурентоспособность товара факторов, не поддающихся количественной оценке;
) данным методом рассчитывается
конкурентоспособность одного объекта относительно другого, а не уровень
конкурентоспособности объекта вообще;
) существует определенная сложность
выбора базы сравнения, особенно в случаях, когда в качестве таковой необходимо
принять лучший из существующих образцов, следовательно, необходимо
предварительно сравнивать образцы между собой, либо имеет место интуитивный
выбор. Можно брать в качестве базы сравнения лидера по продажам, но эта
информация часто закрыта, субъективна и трудно собираема, особенно когда речь
идет о товарах широкого потребления, которые распространяются по многим каналам
сбыта, имеющим несколько уровней.
При отборе наукоемких продуктов
труда, технологий и производственного потенциала важным является правильное
построение цены на наукоемкую продукцию. Анализ теории и практики
ценообразования показал, что модель цены на наукоемкую продукцию должна
учитывать многообразие факторов, действующих как в динамике, так и в статике.
Такая модель описывается формулой:
Ц = С + V + E*K + Пр + f(В, Р, СиП)
+ I, (7.4)
где С - затраты прошлого труда; V -
затраты живого труда; К - затраты постоянного научно-технического фонда; Е -
норматив эффективности использования научно-технического фонда; Пр - прибыль; Р
- рента; СиП - соотношение спроса и предложения; В - взаимозаменяемость,
полезность разработок; I - издержки обращения.
3. Организационный план и управленческая команда
Таблица №3
|
Наименование
работ
|
Ответственный
сотрудник
|
Длительность
выполнения работ, дни
|
2014г.
|
2015
г.
|
|
|
|
1
|
2
|
3
|
4
|
5
|
6
|
7
|
8
|
9
|
10
|
11
|
12
|
1
|
2
|
3
|
4
|
5
|
6
|
7
|
8
|
9
|
10
|
11
|
12
|
|
1.
Внесение предложения руководству
|
Ливен
А.А. Вице-президент
|
3
|
|
|
|
|
|
|
|
|
|
|
|
|
|
|
|
|
|
|
|
|
|
|
|
|
|
2.
Исследование рынка предложений программ
|
Плисканос
С.К. Директор процессингового центра
|
60
|
|
|
|
|
|
|
|
|
|
|
|
|
|
|
|
|
|
|
|
|
|
|
|
|
|
3.
Оценка технических характеристик
|
Плисканос
С.К.
|
60
|
|
|
|
|
|
|
|
|
|
|
|
|
|
|
|
|
|
|
|
|
|
|
|
|
|
4.
Технико-экономическое обоснование видов программ
|
Плисканос
С.К.
|
30
|
|
|
|
|
|
|
|
|
|
|
|
|
|
|
|
|
|
|
|
|
|
|
|
|
|
5.Выбор
программного обеспечения из существующих
|
Плисканос
С.К.
|
60
|
|
|
|
|
|
|
|
|
|
|
|
|
|
|
|
|
|
|
|
|
|
|
|
|
|
6.
Заключение договора
|
Савельева
В.Н. директор ДБК
|
30
|
|
|
|
|
|
|
|
|
|
|
|
|
|
|
|
|
|
|
|
|
|
|
|
|
|
7.
Осуществление проплаты
|
Горюнова
И.И.
|
14
|
|
|
|
|
|
|
|
|
|
|
|
|
|
|
|
|
|
|
|
|
|
|
|
|
|
8.
Установка программы
|
Плисканос
С.К.
|
45
|
|
|
|
|
|
|
|
|
|
|
|
|
|
|
|
|
|
|
|
|
|
|
|
|
|
9.
Обучение персонала
|
Савельева
В.Н.
|
30
|
|
|
|
|
|
|
|
|
|
|
|
|
|
|
|
|
|
|
|
|
|
|
|
|
|
10.
Начало работы использования ПО
|
Савельева
В.Н.
|
|
|
|
|
|
|
|
|
|
|
|
|
|
|
|
|
|
|
|
|
|
|
|
|
|
Смета затрат на внесение предложения
руководству:
|
№
|
Наименование
статей затрат
|
Сумма,
руб
|
|
1
|
Оплата
труда
|
16193,18
|
|
2
|
Начисления
на заработную плату
|
4857,95
|
Месяц - 30 дней
Рабочих дней в месяце - 22
Оплата труда = Оклад + Премия
Премия = 25 %
Оплата труда = 95000+23750=118750 руб.
(118750/22)*3=16193,18 руб.
Начисление на заработную плату - 30%
Смета затрат на исследование рынка предложений
программ:
Задействован 1 сотрудник
Оклад 50000 руб.
Срок работ: 60дней
|
№Наименование
статей затратСумма, руб
|
|
|
|
1
|
Оплата
труда
|
125000
|
|
2
|
Начисления
на заработную плату
|
37500
|
Оплата труда = 50000+12500=62500 руб.
Смета затрат на оценка технических
характеристик:
Задействован 1 сотрудник
Оклад 50000 руб.
Срок работ: 60дней
|
№
|
Наименование
статей затрат
|
Сумма,
руб
|
|
1
|
Оплата
труда
|
125000
|
|
2
|
Начисления
на заработную плату
|
37500
|
Оплата труда = 50000+12500=62500 руб.
Смета затрат на технико-экономическое
обоснование видов программ:
Задействовано 2 сотрудника
Оклад 1: 50000 руб.
Оклад 1: 35000 руб.
Срок работ: 30дней
|
№
|
Наименование
статей затрат
|
|
1
|
Оплата
труда
|
|
|
1
сотрудник
|
62500
|
|
2
сотрудник
|
43750
|
|
2
|
Начисления
на заработную плату
|
|
|
1
сотрудник
|
18750
|
|
2
сотрудник
|
13125
|
Смета затрат на выбор программного обеспечения
из существующих:
Задействован 1 сотрудник
Оклад 50000 руб.
Срок работ: 60дней
|
№Наименование
статей затратСумма, руб
|
|
|
|
1
|
Оплата
труда
|
125000
|
|
2
|
Начисления
на заработную плату
|
37500
|
Оплата труда = 50000+12500=62500 руб.
Смета затрат на заключение договора:
Задействовано 2 сотрудника
Оклад 1: 50000 руб.
Оклад 1: 30000 руб.
Срок работ: 30дней
|
№Наименование статей затратСумма, руб
|
|
|
|
1
|
Оплата
труда
|
|
|
1
сотрудник
|
62500
|
|
2
сотрудник
|
37500
|
|
2
|
Начисления
на заработную плату
|
|
|
1
сотрудник
|
18750
|
|
2
сотрудник
|
11250
|
Смета затрат на осуществление проплаты:
|
№
|
Наименование
статей затрат
|
Сумма,
руб
|
|
1
|
Оплата
труда
|
28977
|
|
2
|
Начисления
на заработную плату
|
8693,18
|
|
3
|
Стоимость
программы, лицензии
|
10650
y.e. (532500 руб)
|
Месяц - 30 дней
Рабочих дней в месяце - 22
Срок работ: 14дней
Оплата труда = Оклад + Премия
Премия = 25 %
Оплата труда = 30000+7500=37500 руб.
(37500/22)*14=28977 руб.
Начисление на заработную плату - 30%
Смета затрат на установку программы:
Задействован 1 сотрудник
Оклад 30000 руб.
Срок работ: 45дней
|
№
|
Наименование
статей затрат
|
Сумма,
руб
|
|
1
|
Оплата
труда
|
63068
|
|
2
|
Начисления
на заработную плату
|
18920,45
|
Смета затрат на обучение персонала:
Задействован 1 сотрудник
Оклад 40000 руб.
Срок работ: 30дней
|
№
|
Наименование
статей затрат
|
Сумма,
руб
|
|
1
|
Оплата
труда
|
50000
|
|
2
|
Начисления
на заработную плату
|
15000
|
Оплата труда = 40000+10000=50000 руб.
Приложение №1.
Базовый комплект*
|
Название
подсистемы базового комплекта
|
Стоимость
лицензии на базовый комплект, у.е.
|
|
Учетное
ядро
|
10
650
|
|
Сопряжение
с внешними системами
|
|
|
Ведение
и учет кассовых операций
|
|
|
Депозиты
|
|
|
Кредиты
|
|
|
Ведение
и учет валютно-обменных операций
|
|
|
Отчетность
|
|
|
Регулярные
перечисления. Договорные схемы.
|
|
|
Денежные
переводы. Коммунальные платежи.
|
|
|
Массовые
операции на основании электронных реестров (зачисления по спискам)
|
|
* - Использование функциональных возможностей
базового комплекта в полном объеме предполагает наличие лицензий на
использование соответствующих автоматизированных рабочих мест (АРМ «Бухгалтер»,
АРМ «Оператор», АРМ «Кассир», АРМ «Оператор обменного пункта»).
Дополнительные утилиты
|
Название
подсистемы
|
Название
лицензируемой утилиты
|
Стоимость
лицензии, у.е.
|
|
Учетное
ядро
|
Учет
сумм НДС, полученных по облагаемым налогом услугам
|
1
097
|
|
Регистрация
выгодоприобретателей в Досье физических лиц (Положение ЦБ РФ №262-П)
|
0
(1 355)*
|
|
Сальдирование
счетов
|
839
|
|
Регистрация
и просмотр подробной информации о финансовом продукте (Описание продукта)
|
1
003
|
|
Финансовые
операции: Настройка документооборота по финансовым продуктам
|
520
|
|
Изменение
балансовой позиции счета в случае изменения срока договора
|
1
180
|
|
Отражение
в выписке изменения балансовой позиции счета в виде прямой проводки между
лицевыми счетами
|
629
|
|
Ведение
Главных Счетов клиентов (единый счет для гашения кредитов, перечисления
процентов и остатка по депозитам)
|
3
041
|
|
Доступ
к счетам физ. лиц и авторизация операций с использованием идентификационной
карты клиента (включая Терминальное ПО для работы с идентификационной картой
для устройств Verifone SC 5000)
|
10
000
|
|
У
становка официальных курсов иностранных валют на операционный день
|
5
000
|
|
Отзыв
средств из Лимита Авторизации карт в ПЦ при создании платежных документов
|
6
333
|
|
Дифференциация
тарифов по различным категориям интернет-платежей
|
500
|
|
Выполнение
процедур завершения дня в многопоточном режиме
|
4
599
|
|
Взаимодействие
с OpenOffice.org
|
2
141
|
|
Ведение
и учет кассовых операций
|
Выдача
и прием наличных средств с использованием аппарата Электронный кассир модели
ProCash 5000: - Количество одновременно зарегистрированных аппаратов ЭК - Без
ограничений - Количество одновременно зарегистрированных аппаратов ЭК - Три
устройства
|
28 600
|
|
|
14
300
|
|
Взнос
и выдача наличных денежных средств по платежным картам Внешних Платежных
Систем сторонних эмитентов
|
0
(2 240)*
|
|
Выдача
наличных денежных средств по платежным картам Внешних Платежных Систем
|
1
770
|
|
Взнос
и выдача наличных денежных средств по платежным картам с использованием
электронных терминалов
|
2
000 (6 000)**
|
|
Взнос
и выдача наличных денежных средств по платежным картам с использованием
электронных терминалов (для сторонних ПЦ ВПС)
|
6
000
|
|
Учет
авансов, выданных кассирам
|
3
158
|
|
Денежные
переводы. Коммунальные платежи
|
Настройка
систем денежных переводов в подразделениях банка
|
0
(4 920)*
|
|
Денежные
переводы: взимание комиссии с отправителя перевода
|
3
200****
|
|
Денежные
переводы: определение суммы комиссии оператором
|
1
965
|
|
Финансовые
операции: Настройка документооборота по денежным переводам
|
1
228
|
|
Финансовые
операции: Настройка документооборота по приему коммунальных платежей
|
1
228
|
|
Депозиты
|
Ведение
мультивалютных вкладов
|
2
500
|
|
Ведение
вкладов с выплатой процентов в день открытия
|
1
936
|
|
Определение
процентной ставки по вкладу в зависимости от суммы первого пополнения счета
|
287
|
|
Определение
процентной ставки по вкладу в зависимости от начальной суммы и срока вклада
|
790
|
|
Определение
процентной ставки по вкладу в зависимости от остатка и срока вклада
|
526
|
|
Управление
досрочным снятием части средств со вклада
|
789
|
|
Контроль
максимальной суммы пополнения и максимальной суммы вклада
|
1
053
|
|
Арест
денежных средств, находящихся на счетах и во вкладах
|
2
005
|
|
Массовые
операции на основании электронных реестров (зачисления по спискам)
|
Прием
данных по спискам. Автоматическое заполнение параметров и флагов обработки
файла
|
1
770
|
|
Прием
данных по спискам. Ограничение доступа пользователей к файлам реестров по
подразделениям
|
1
613
|
|
Прием
данных по спискам. Утверждение открытия счетов, зарегистрированных на
основании электронных реестров
|
1
300
|
|
Прием
данных по спискам. Автоматическая загрузка файлов реестров
|
1
492
|
|
Прием
данных по спискам. Обработка реестров Пенсионного Фонда РФ
|
2
558
|
|
Прием
данных по спискам. Обработка реестров произвольного формата по алгоритму
банка
|
1
404
|
|
Комплект
утилит: - Прием данных по спискам. Автоматическая загрузка файлов реестров. -
Прием данных по спискам. Обработка реестров Пенсионного Фонда РФ.
|
2
958
|
|
Кредиты
|
Взимание
комиссий за кредит (комплект) - Комиссии за обслуживание кредита
(периодическая комиссия) - Комиссии за предоставление кредита
(единовременные комиссии) - Комиссия за предоставление кредита с отсроченной
уплатой (отложенная комиссия)
|
4
956
|
|
|
3
000
|
|
|
1
500
|
|
|
500
|
|
Взимание
Неустойки по кредитным договорам
|
5
900
|
|
Взимание
Штрафов за просроченные платежи по кредитным договорам
|
8
850
|
|
Учет
срочных и просроченных процентов по кредитам на различных внебалансовых
счетах
|
3
311
|
|
Обязательные
платежи в погашение кредитов, предоставленных для расчетов с использованием
банковских карт
|
82
600 (28 000)***
|
|
Автоматическая
разблокировка кредитных карт по факту погашения просрочек по кредитам
|
710
|
|
Обязательные
платежи в погашение кредитов: востребование полной задолженности в конце
срока договора
|
4
278
|
|
Обязательные
платежи в погашение кредитов: учет востребованной части кредита на отдельном
лицевом счете
|
2
950
|
|
Обязательные
платежи в погашение кредитов: управление периодом автоматического гашения
|
3
413
|
|
Обязательные
платежи в погашение кредитов: расчет обязательного платежа по алгоритму банка
|
948
|
|
Гашение
Обязательных платежей в порядке их востребования
|
1
426
|
|
Автоматическое
гашение кредитов, предоставленных для расчетов с использованием банковских
карт
|
3
436
|
|
Автоматическое
гашение кредитов, предоставленных для расчетов с использованием банковских
карт (дополнительный функционал)
|
6
503
|
|
Выделенный
многопоточный процесс для обслуживания кредитов, предоставленных для расчетов
с использованием банковских карт
|
2
281
|
|
Грейс-период
по кредитам, предоставленным для расчетов с использованием банковских карт
|
2
158
|
|
Льготный
период пользования заемными средствами, предоставленными в расчетном периоде
|
1
500
|
|
Автоматическое
гашение задолженности по кредиту со списка счетов
|
4
912
|
|
Автоматический
расчет срока действия кредитной линии
|
1
339
|
|
SMS-уведомления
об операциях за счет лимита кредита
|
300
|
|
Регистрация
созаемщиков по кредитным договорам
|
4
617
|
|
Запрет
использования средств, зарезервированных под ближайший платеж по графику
гашения кредита, для расчетов с использованием банковских карт
|
1
370
|
|
Расчет
графика гашения с включением периодической (ежемесячной) комиссии за кредит в
сумму аннуитетного платежа
|
610
|
|
Несоответствие
ссуды признакам однородности: настройка, контроль при автоматическом
включении в портфели однородных ссуд
|
500
|
|
Формализованная
методика расчета планируемых денежных потоков и стоимости кредита
|
2
100
|
|
Расчет
планируемых денежных потоков и стоимости кредита по Заявке на кредит
|
0
(388)*
|
|
Регистрация
и автоматизированное обслуживание Заявок на досрочное гашение
|
4
869
|
|
Учет
госпошлины по делам о невозвращении кредитов, а также прочих дебиторских
задолженностей, начисленных на основании решения суда
|
2
500
|
|
Расчет
планируемой суммы аннуитета по сумме и сроку кредита ("кредитный
калькулятор")
|
950
|
|
Автоматический
пересчет графика гашения при изменении ставки по кредиту
|
2
500
|
|
Механизм
управления процентной ставкой по просроченной ссудной задолженности
|
2
140
|
|
Расчет
и начисление процентов по ссудам, списанным с баланса
|
4
923
|
|
Пролонгация
кредитов (комплект): - Пролонгация кредитов с автоматическим расчетом
графика с сохранением суммы аннуитета. - Изменение балансовой позиции счета
в случае изменения срока договора. - Отражение в выписке изменения
балансовой позиции счета в виде прямой проводки между лицевыми счетами.
|
2
253 (4 950)**
|
|
Пролонгация
кредитов с автоматическим расчетом графика с сохранением суммы аннуитета
|
4
950
|
|
Отчетность
|
Подготовка
данных для составления раздела "Справочно:" формы отчетности
0409808
|
500
|
|
Отчетная
справка о причисленных процентах по вкладам
|
1
755
|
|
Сопряжение
с внешними системами
|
Сопряжение
с системой "Золотая Корона - Денежные переводы"
|
0
|
|
Сопряжение
с системой ДБО Faktura.ru (Интернет-банк)
|
0
|
|
Сопряжение
с системой ДБО Faktura.ru (Мобильный банк)
|
0
|
|
XML-сервер.
Сопряжение с системой ЦФТ-Фронт - офис
|
0
|
|
XML-сервер.
Кредитование. Сопряжение с системами кредитования сторонних производителей
|
26
900
|
|
Подготовка
и выгрузка данных о кредитных историях физических лиц для передачи в БКИ
«Национальное бюро кредитных историй» (в формате TUTDF)
|
9
440
|
|
Подготовка
и выгрузка данных о кредитных историях юридических лиц для передачи в БКИ
«Национальное бюро кредитных историй» (в формате TUTDF)
|
1
000
|
|
Подготовка
и выгрузка данных о кредитных историях физических лиц для передачи в
кредитное бюро (во внутреннем формате ЦФТ-Ритейл банк (на базе Oracle))
|
9
440
|
|
Подготовка
и выгрузка данных о кредитных историях физических лиц для передачи в БКИ
"Эквифакс Кредит Сервисиз"
|
9
440
|
|
Подготовка
и выгрузка данных о кредитных историях юридических лиц для передачи в БКИ
"Эквифакс Кредит Сервисиз"
|
1
000
|
|
Подготовка
и выгрузка данных о кредитных историях физических лиц для передачи в
кредитные бюро (в формате программного комплекса CreditRegistry)
|
9
440
|
|
Подготовка
и выгрузка данных о кредитных историях юридических лиц для передачи в кредитные
бюро (в формате программного комплекса CreditRegistry)
|
1
000
|
|
Настраиваемый
экспорт платежных документов в ОДБ сторонних производителей
|
5
900
|
|
Сопряжение
с платежной системой "Золотая Корона". Комплект дополнительных
утилит: - On-line зачисление наличных средств на картсчет владельца карты
"Золотая Корона" в терминалах и банкоматах - Массовая выдача
банковских предоплаченных карт "Золотая Корона" - Контроль
использования собственных/заемных средств при пополнении микропроцессорной
карты "Золотая Корона" - Оформление возврата товара, оплаченного по
карте "Золотая Корона" (формирование транзакций возврата) - Выдача
наличных денежных средств, безналичные расчеты по карте "Золотая
Корона" в валюте, отличной от валюты картсчета - Зачисление денежных
переводов "Золотая Корона" на картсчет получателя по
идентификационному номеру (ПАН) магнитной карты "Золотая Корона"
|
0
(3000)*
|
|
Периодическое
взимание комиссионного вознаграждения за оказание услуг по картам ПС
"Золотая Корона"
|
0
(2 808)*
|
|
Сервер
доступа ПС "Золотая Корона". Базовый функционал: получение выписки
по счетам владельца карты "Золотая Корона" в банкоматах
|
0
(10 320)*
|
|
Сервер
доступа ПС "Золотая Корона". Оформление овердрафта по картсчету с
помощью карты "Золотая Корона"
|
|
|
Сервер
доступа ПС "Золотая Корона". Off-Line зачисление наличных средств
на счета владельца карты "Золотая Корона"
|
0
(2 600)*
|
|
Сервер
доступа ПС "Золотая Корона". Off-Line перевод средств с картсчета
на другие счета клиента с использованием карты "Золотая Корона"
|
|
|
Сервер
доступа ПС "Золотая Корона". On-Line зачисление наличных средств на
счета владельца карты "Золотая Корона"
|
0
(6 480)*
|
|
Сервер
доступа ПС "Золотая Корона". On-Line перевод средств с картсчета на
другие счета клиента с использованием карты "Золотая Корона"
|
0
(3 974)*
|
|
Сервер
доступа ПС "Золотая Корона". Открытие вкладов в банкоматах с
использованием карты "Золотая Корона"
|
0
(3 880)*
|
|
Сервер
доступа ПС "Золотая Корона". Проведение мультивалютных операций с
использованием карты "Золотая Корона"
|
0
(2 474)*
|
|
Сервер
доступа ПС "Золотая Корона". Управление дистанционными сервисами
|
0
(2 720)*
|
|
Сервер
доступа. Проверка данных клиента при совершении платежа (гашение кредита,
пополнение счета)
|
0
(3 840)*
|
|
Сопряжение
с процессинговыми центрами (ПЦ) платежных Систем
|
АРМ
«Администратор карт Внешних Платежных Систем (ВПС)»
|
9
440
|
|
Сопряжение
с ПЦ "КартСтандарт" (SVS_CFT): Базовый комплект: - Сопряжение с
ПЦ "КартСтандарт" - АРМ "Администратор карт Внешних Платежных
Систем (ВПС)" - Обработка эквайринговых комиссионных транзакций -
Настройка эмитентских комиссий по операциям в сети Дружественных банков -
Механизм отката транзакций ВПС
|
6
266 (15 038)**
|
|
Комплект
дополнительных утилит №1: - Механизм On-Line формирования запросов на
изменение Лимита Авторизации и просмотр баланса по карте в ПЦ - Утилита
автоматической выгрузки исходящих и загрузки входящих файлов с последующей их
обработкой при работе с международными картами
|
2
507 (5 013)**
|
|
Комплект
дополнительных утилит №2: - Просмотр выписки по карте в ПЦ в режиме On-Line
- Механизм On-Line формирования запросов на изменение статуса блокировки
карты
|
500
|
|
Комплект
дополнительных утилит № 3: - Подключение клиенту услуги SMS-информирования
через банкомат по карте ВПС - Подключение клиенту услуги «Директ Дебет» через
банкомат по карте ВПС - Подключение клиента к сервису Интернет-банк
Faktura.ru (по технологии разовых паролей) через банкомат по карте ВПС
|
755
|
|
Дополнительные
утилиты: - Механизм On-Line формирования запросов на изменение Лимита
Авторизации и просмотр баланса по карте в ПЦ
|
4 012
|
|
-
Утилита автоматической выгрузки исходящих и загрузки входящих файлов с
последующей их обработкой при работе с международными картами
|
2
500
|
|
-
Загрузка/выгрузка файлов обмена данными с ПЦ "КартСтандарт" в каталоги
на сервере
|
1
265
|
|
-
Многопоточная обработка транзакций ВПС
|
1
492
|
|
-
Расчет комиссии банка за транзакции и резерва комиссии через открытую
процедуру
|
3
226
|
|
-
Массовый выпуск карт по файлам АРМа "Прием данных по спискам"
|
2
300
|
|
-
Механизм работы с обезличенными картами.
|
9
500
|
|
-
Замена карты клиента на заранее изготовленную (обезличенную) карту
|
1
579
|
|
-
Выдача кредита на карту ВПС через XML-сервер
|
872
|
|
-
Подключение дополнительных сервисов. Услуга SMS-информирования
|
|
-
Механизм On-Line формирования запросов на подключение услуги
SMS-информирования
|
1
947
|
|
-
Подключение клиенту услуги SMS-информирования через банкомат по карте ВПС
|
439
|
|
-
Подключение клиенту услуги «Директ Дебет» через банкомат по карте ВПС
|
439
|
|
-
Подключение клиента к сервису Интернет-банк Faktura.ru (по технологии разовых
паролей) через банкомат по карте ВПС
|
632
|
|
-
Просмотр выписки по карте в ПЦ в режиме On-Line
|
300
|
|
-
Механизм On-Line формирования запросов на изменение статуса блокировки карты
|
300
|
|
-
Механизм отката транзакций ВПС
|
632
|
|
-
Выбор дизайна для эмбоссирования пластиковой карты
|
702
|
|
-
Сверка остатков по картам с ПЦ
|
2
158
|
|
-
Учет мошеннических операций по картам ВПС на счетах незавершенных расчетов по
операциям, совершаемым с использованием платежных карт
|
1
375
|
|
-
Учет технической задолженности по транзакциям на сводных счетах требований по
запросу уполномоченного сотрудника
|
3
158
|
|
-
Автоматический перевод в архив неактивных карт ВПС
|
399
|
|
-
Подготовка списка карт для перевыпуска (по сроку действия) по алгоритму банка
|
1
120
|
|
-
Управление транзакционной схемой карты в ПЦ
|
1
490
|
|
-
Управление комиссионной схемой карты в ПЦ
|
878
|
|
-
Предоставление PIN-кода карты ВПС через систему голосовых сообщений IVR
|
2
808
|
|
-
Периодическое взимание комиссионного вознаграждения за оказание услуг по
картам ВПС
|
4
999
|
|
-
Разграничение доступа пользователей к карточным продуктам ВПС
|
483
|
|
Сервер
доступа ПЦ "КартСтандарт". Базовый функционал: получение выписки по
счетам владельца карты ВПС в банкоматах
|
2
580 (10 320)**
|
|
Сервер
доступа ПЦ "КартСтандарт". Оформление овердрафта по картсчету с
помощью карты ВПС
|
|
|
Сервер
доступа ПЦ "КартСтандарт". Off-Line зачисление наличных средств на
счета владельца карты ВПС
|
1
300 (2 600)**
|
|
Сервер
доступа ПЦ "КартСтандарт". Off-Line перевод средств с картсчета на
другие счета клиента с использованием карты ВПС
|
|
|
Сервер
доступа ПЦ "КартСтандарт". On-Line зачисление наличных средств на
счета владельца карты ВПС
|
3
240 (6 480)**
|
|
Сервер
доступа ПЦ “КартСтандарт“. On-Line перевод средств с картсчета на другие
счета клиента с использованием карты ВПС
|
1
987 (3 974)**
|
|
Сервер
доступа ПЦ "КартСтандарт". Открытие вкладов в банкоматах с
использованием карты ВПС
|
970
(3 880)**
|
|
Сервер
доступа ПЦ "КартСтандарт". Проведение мультивалютных операций с
использованием карты ВПС
|
1
237 (2 474)**
|
|
Сервер
доступа ПЦ "КартСтандарт". Управление дистанционными сервисами
|
0
(2 720)*
|
|
Сервер
доступа. Проверка данных клиента при совершении платежа (гашение кредита,
пополнение счета)
|
0
(3 840)*
|
|
Сопряжение
с OWS (по согласованию с правообладателем) в реализации ЦФТ
|
24
000
|
|
Сопряжение
с ПЦ ГазКардСервис /Газпромбанк/ (GCS)
|
24
000
|
|
Сопряжение
с ПЦ компании объединенных кредитных карточек - UCS (CUC)
|
24
000
|
|
Сопряжение
с ПЦ СДМ-Банка (OWSS)
|
24
000
|
|
Сопряжение
с ПЦ "СмартВиста" (по согласованию с правообладателем) в реализации
ЦФТ (SVS
|
24
000
|
|
Утилита
автоматической выгрузки исходящих и загрузки входящих файлов с последующей их
обработкой при работе с международными картами
|
2
500
|
|
Загрузка/выгрузка
файлов обмена данными с ПЦ ВПС в каталоги на сервере
|
1
265
|
|
Многопоточная
обработка транзакций ВПС
|
1
492
|
|
Расчет
комиссии банка за транзакции и резерва комиссии через открытую процедуру
|
3
226
|
|
Массовый
выпуск карт по файлам АРМа "Прием данных по спискам"
|
2
300
|
|
Механизм
работы с обезличенными картами
|
9
500
|
|
Выдача
кредита на карту ВПС через XML-сервер
|
872
|
|
Обработка
диспутных транзакций
|
4
245
|
|
Механизм
прямой проводки при обработке внутренних транзакций
|
1
941
|
|
Механизм
отката транзакций ВПС
|
632
|
|
Финансовые
операции: Настройка документооборота по транзакциям ВПС
|
1
579
|
|
Учет
мошеннических операций по картам ВПС на счетах незавершенных расчетов по
операциям, совершаемым с использованием платежных карт
|
1
375
|
|
CUC.
Механизм On-Line запроса баланса по карте в ПЦ
|
667
|
|
CUC.
Механизм On-Line формирования запросов на изменение Лимита Авторизации
|
2
193
|
|
CUC.
Расширенный формат услуг SMS-информирования
|
1
499
|
|
CUC.
Механизм On-Line формирования запросов на изменение статуса блокировки карты
|
1
316
|
|
WAY4.
Механизм On-Line формирования запросов на изменение статуса блокировки карты
|
2
000
|
|
WAY4.
Механизм On-Line формирования запросов на изменение Лимита Авторизации
|
5
106
|
|
WAY4.
Подключение дополнительных сервисов. Услуга SMS-информирования
|
3
226
|
|
Сервер
доступа сторонних ПЦ ВПС. Базовый функционал: получение выписки по счетам
владельца карты ВПС в банкоматах
|
10
320
|
|
Сервер
доступа сторонних ПЦ ВПС. Оформление овердрафта по картсчету с помощью карты
ВПС
|
|
|
Сервер
доступа сторонних ПЦ ВПС. Off-Line зачисление наличных средств на счета
владельца карты ВПС
|
2
600
|
|
Сервер
доступа сторонних ПЦ ВПС. Off-Line перевод средств с картсчета на другие
счета клиента с использованием карты ВПС
|
|
|
Сервер
доступа сторонних ПЦ ВПС. On-Line зачисление наличных средств на счета
владельца карты ВП
|
6
480
|
|
Сервер
доступа сторонних ПЦ ВПС. On-Line перевод средств с картсчета на другие счета
клиента с использованием карты ВПС
|
3
974
|
|
Сервер
доступа сторонних ПЦ ВПС. Открытие вкладов в банкоматах с использованием
карты ВПС
|
3
880
|
|
Сервер
доступа сторонних ПЦ ВПС. Проведение мультивалютных операций с использованием
карты ВПС
|
2
474
|
|
Сервер
доступа сторонних ПЦ ВПС. Управление дистанционными сервисами
|
2
720
|
* - Лицензия передается бесплатно, стоимость
периодической лицензии рассчитывается от стоимости, указанной в скобках.
** - Стоимость лицензии. Стоимость периодической
лицензии рассчитывается от стоимости, указанной в скобках.
*** - Стоимость лицензии. Стоимость
периодической лицензии рассчитывается от стоимости, указанной в скобках. Для
банков, участников системы "Золотая Корона", стоимость лицензии
указана в скобках.
**** - Для банков-участников системы
"Золотая Корона - Денежные переводы" утилита предоставляется
бесплатно, стоимость периодической лицензии рассчитывается от указанной
стоимости лицензии.
Филиалы и отделения
|
Название
лицензируемого модуля
|
Стоимость
лицензии на один модуль, у.е.
|
|
Филиал
|
3
540
|
|
Отделение
|
710
|
Рабочие
места
|
Название
лицензируемого модуля
|
Стоимость
лицензии на один модуль, у.е.
|
|
АРМ
"Бухгалтер"
|
390
|
|
АРМ
"Оператор"
|
330
|
|
АРМ
"Кассир"
|
59
|
|
АРМ
"Оператор обменного пункта"
|
260
|
Ведение договоров с клиентами в ЦФТ-Ритейл банк
(на базе Oracle)
|
Название
лицензируемого модуля
|
Стоимость
лицензии на один модуль, у.е.
|
|
1.
Договоры клиентов под эмиссию микропроцессорных карт "Золотая
Корона". Поставляются в рамках договора от компании "Золотая
Корона" под объем эмиссии. Цена определяется в зависимости от текущего
количества карт "Золотая Корона" банка, находящихся в обращении:
|
|
|
более
75 000 карт
|
сумма
всего комплекта 32*
|
|
от
30 000 до 75 000 карт
|
0,4*
|
|
от
10 000 до 30 000 карт
|
0,6*
|
|
до
10 000 карт
|
0,8*
|
|
2.
Договор клиента под эмиссию магнитных карт "Золотая Корона".
Поставляется в рамках договора от компании "Золотая Корона" под
объем эмиссии.
|
0,8*
|
|
3.
Договор клиента
|
1,20
|
|
4.
Договор клиента под эмиссию карт ВПС (договор вместе с
"привязанной" картой ВПС)
|
1,42
|
|
5.
"Привязка" карты ВПС к договору
|
0,47
|
*- При поставке договоров под эмиссию карт
«Золотая Корона» для расчета стоимости периодической лицензии стоимость
лицензии на один модуль берется от 0,8 у.е.
Дополнительная отчетность
|
Стоимость
лицензии, у.е. Периодическая лицензия не взимается
|
|
Дополнительный
контроль кредитных договоров /lc_kr_control_60/
|
465
|
|
Консолидированно:
расчет невозвратов по программам розничного бизнеса /lc_kr_overdue_group_60/
|
645
|
|
Консолидированно:
выдача потребительских кредитов /lc_kr_issue_volume/
|
323
|
|
Отчет
по просроченным кредитам /lc_kr_overdue_info_60/
|
465
|
|
Выдача
потребительских кредитов /lc_kr_issue/
|
323
|
|
Отчет
по просроченным кредитам (сальдо по счетам) /lc_kr_overdue_saldo_60/
|
387
|
|
Журнал
ближайших выплат. Контроль процедур гашения и выноса /lc_kr_near_pay_jour_60/
|
968
|
|
Отчет
о всех произведенных изменениях по кредиту /lc_kr_сhange_60/
|
645
|
|
Отчет
о наличии просроченной задолженности по основному долгу и (или) процентам
/lc_kr_overdue_debt_60/
|
387
|
|
Отчет
по предстоящим погашениям /lc_kr_ret_prog_60/
|
645
|
|
Распоряжение
бухгалтерии о формировании (регулировании) резервов на возможные потери по
индивидуальным ссудам /lc_kr_reserv_buch_60/
|
323
|
|
Распоряжение
на погашение кредита /lc_kr_ret_60/
|
645
|
|
Отчет-контроль
по итогам процедур завершения дня /lc_kr_mon_op_60/
|
968
|
|
Распоряжение
на отражение в балансе просроченной задолженности /lc_kr_bal_pr_60/
|
645
|
|
Данные
о состоянии кредитного портфеля (модифицированный) /lc_kr_port_mod_60/
|
645
|
|
Распоряжение
на начисление процентов по кредиту /lc_kr_prc_60/
|
645
|
|
Распоряжение
о постановке на учет обеспечения /lc_kr_std_obesp_60/
|
645
|
|
Дебиторская
задолженность по кредитным комиссиям /lc_kr_commiss_60/
|
387
|
|
Сведения
по депозитным вкладам инсайдеров, клиентов, сотрудников, акционеров банка
/lc_depinfo_60/
|
300
|
Периодическая лицензия ЦФТ-Ритейл банк (на базе
Oracle)
Стоимость периодической лицензии на модули /
продукты / компоненты системы ЦФТ-Ритейл банк (на базе Oracle) рассчитывается
на основе ПРАЙС-ЛИСТА*, действующего на момент окончания каждого отчетного
месяца, и составляет 2.5% в месяц от стоимости лицензированных ЗАКАЗЧИКОМ
модулей/продуктов/компонент СИСТЕМЫ (с учетом лицензированных граничных
параметров и пользователей) и от стоимости всех переданных ИСПОЛНИТЕЛЕМ
ЗАКАЗЧИКУ Локальных и Региональных доработок СИСТЕМЫ (выполненных в рамках
отдельных договоров).
* - Если иное не предусмотрено соглашением на
периодическую лицензию/лицензионным договором.
Текущий курс 1 у.е. = 39.9 руб. Все цены
приведены без учета НДС.
Приложение №2
Программный Продукт «RUSOFT-RETAIL» предназначен
для автоматизации розничного бизнеса в коммерческом банке и представляет собой
решение, реализующее весь спектр услуг, предлагаемых банком физическим лицам.
«RUSOFT-RETAIL» является инструментом,
позволяющим комплексно автоматизировать работу с физическими лицами.
Данный продукт является следующим поколением ПрЭВМ
«СОФИТ БАНК». В «RUSOFT-RETAIL» сохранена поддержка всех функциональных
возможностей ПрЭВМ предыдущего поколения, а также реализованы новые,
учитывающие богатый опыт эксплуатации (более 130 инсталляций) и потребности
современного коммерческого банка.
Оптимизация под СУБД Oracle 11g позволяет:
значительно увеличить показатели быстродействия;
повысить безопасность и сохранность информации;
соответствовать требованиям 152-ФЗ и PCI/DSS;
упростить процесс сопровождения, обслуживания и
архивирования БД;
обеспечить поддержку различных платформ (LINUX,
UNIX, SUN, Windows и т.п.).
Поддержка мультифилиальности позволяет:
вести учет и контроль операций всех филиалов и
их доп. офисов в единой БД;
обеспечить централизованное и оперативное
администрирование продуктовой линейки;
сократить расходы на приобретение и поддержку
вычислительных систем и лицензионного ПО в филиалах.
Поддержка on-line интерфейса с ПЦ РУКАРД для
выполнения широкого спектра операций:
отражение информации по картам в режиме
реального времени;
активация и постановка на авторизацию в ПЦ
виртуальных и подарочных карт;
обмен с системами денежных переводов (Anelik,
Unistream, MoneyGram и.др.);
проведение платежей в пользу поставщиков услуг;
обмен параметрами для СМС и Мобильных Сервисов.
Модуль Интернет Сервис Банк обеспечивает:
удаленное управления счетами и картами
(открытие, закрытие, заказ, блокировку и т.п.);
подключение и редактирование СМС и Мобильных
Сервисов;
осуществление платежей;
формирование выписок;
получение актуальной информации о счетах, картах
и тарифах.
Программный Продукт «RUSOFT-RETAIL»
имеет модульную структуру и позволяет подобрать оптимальную конфигурацию,
удовлетворяющую требованиям Банка. Информация о составе модулей приводится в
Таблице 1 <http://www.rucard.ru/files/sitedata/specs/retail_tab1.pdf>
(Состав модулей «RUSOFT-RETAIL»).
Стоимость внедрения и эксплуатации
комплекса зависит от выбранной конфигурации и количественных показателей Банка.
Узнать ориентировочную стоимость интересующей вас конфигурации вы можете
заполнив анкету
<http://www.rucard.ru/files/sitedata/specs/anketa_client.doc> (раздел 1,
Комплектация ПрЭВМ «RUSOFT-RETAIL») и отправив ее на адрес commerce@rucard.net
<mailto:commerce@rucard.net>.
Приложение №3
Программный комплекс «СОФИТ Банк» снят
с производства - инсталляция и доработка данного продукта больше не
производится. На смену данного комплекса предлагается современный программный
продукт, принадлежащий новой линейке «RUSOFT» - «RUSOFT-RETAIL»
<http://www.rucard.net/programs/retail/RUSOFT_retail.aspx>.
Программный комплекс «СОФИТ Банк»
предназначен для комплексной автоматизации розничного бизнеса в коммерческом
банке. Комплекс введен в эксплуатацию около четырех лет назад, успешно
инсталлирован и функционирует в более чем 130 банках, включая банки с развитой
филиальной сетью.
Преимущества:
Программное обеспечение способно
работать в комплексе с любым операционным днем банка, легко интегрируется с
любым программным решением (рейсовый обмен/on-line взаимодействие),
информационной основой служит база данных под управлением СУБД Oracle. Система
может функционировать с различными операционными системами - от платформ
Microsoft, до кластерных реализаций на платформе Open VMS.
«СОФИТ Банк» - наилучшее программное
решение, как для небольших кредитных учреждений, так и для многофилиальных
банков с высокими количественными показателями бизнеса, что обусловлено
следующими отличительными возможностями системы:
поддержка полного спектра розничных
банковских продуктов, всех основных каналов банковского обслуживания,
дополнительных сервисов с максимальной степенью интеграции;
масштабируемость, модульное
построение, невысокие аппаратные требования;
возможность интеграции с
процессинговым решением на базе СОФИТ (аутсорсинг/in-house) и значительное
снижение стоимости проекта за счет взаимодействия с единым поставщиком
банковского, процессингового и терминального ПО и процессинговых услуг
(бюджетное решение);
внедрение, upgrade, поддержка,
обучение от непосредственного разработчика.
Функционал:
Ведение депозитных и текущих счетов
физических лиц:
автоматизация ведения текущих,
срочных и карточных счетов физических лиц;
многообразие финансовых продуктов,
реализуемых комплексом, обусловлено большим количеством параметров, сочетания
которых формируют класс счетов. С помощью существующей системы параметризации
классов счетов можно описать любые условия ведения договоров;
гибкая настройка бухгалтерского
учета, «классы» и «режим» счетов, правила начисления процентов, событийные
сценарии: настройка правил поведения по окончании срока договора для класса
счетов (пролонгация с апелляцией к актуальным на дату пролонгации условиям с
автоматической сменой счета или без таковой, перенос на вклады до
востребования, «револьверные» цепочки).
технология Универсального Рабочего
Места - на фронтальных рабочих местах операторов установлен модуль, позволяющий
идентифицировать клиента с помощью пластиковой карты. При этом все последующие
операции клиента могут быть «закрыты» повторным подтверждением с возможной ПИН
верификацией. В качестве идентификационной карты может выступать любая карта
клиента вплоть до не персонифицированных (номерных) карт, выдаваемых клиенту в
момент обращения. Технология позволяет совместить на одном рабочем месте
функции кассира и контролера, а также позволяет обслуживать клиентов в любых
отделениях банка.
Все виды наличных и безналичных
операций, включая платежи без открытия счета, периодические, отложенные и
коммунальные:
Модуль Периодических платежей
позволяет клиентам банка осуществлять систематические платежи в оплату
коммунальных услуг, погашения ссудной задолженности и т.д. При оформлении
долгосрочного поручения клиент может указать как периодичность, так и задать
график платежей, при этом сумма платежа может быть фиксированной, задаваться
графиком или составлять процент от остатка на счете клиента.
Модуль Коммунальных платежей
позволяет осуществлять на рабочем месте кассира прием коммунальных платежей от
физических лиц, как наличных, так и безналичных, и интегрируется с
контрольно-кассовой машиной. Модуль полностью автоматизирует процесс приема
коммунальных платежей и сводит работу оператора к выбору получателя платежа,
вводу информации о плательщике и суммы платежа. В адрес получателя помимо
консолидированного платежа высылается реестр операций. Заведение новых
получателей, их реквизитов и форматов реестров реализуется самим оператором в
модуле коммунальных платежей.
Системы мгновенных платежей:
Модуль Мгновенных платежей делает
возможной реализацию безналичных переводов в системе MoneyGram, сетях Anelik и
Travelex в режиме on-line. Взаимодействие с системами безналичных переводов
осуществляется через удаленное «тонкое» рабочее место с использованием
специализированного программного обеспечения.
Модуль может функционировать
самостоятельно.
Групповые операции:
Модуль Групповых операций позволяет
реализовать начисление заработной платы работникам предприятий, пенсий,
стипендий, массовое овердрафтное кредитование физических лиц с использованием
пластиковых карт. При приеме данных с предприятия можно настроить
индивидуальный сценарий зачисления денежных средств для каждого предприятия и
клиента. В системе также реализовано групповое списание со счетов клиентов,
групповая конвертация, заведение, продление и переиздание карт.
Валютно-обменные операции:
Интеграция с международными
платежными системами
Обеспечивается реализация интерфейса
с «внешним» процессингом, автоматизация учета эмиссии и эквайринга. При
использовании процессинговых решений СОФИТ достигаются наилучшие результаты, но
возможна также интеграция практически с любым процессинговым решением.
Возможности:
ведение карточных счетов клиентов, в
том числе корпоративных карт;
формирование заявок на карты;
ведение платежных лимитов карт,
обработка транзакций, ведение расчетов с торговыми точками, банками - агентами
и платежными системами;
ведение лимитов карточных счетов в
on-line дает возможность кредитовать и дебетовать карточные счета в отделениях
банка с апелляцией/изменением платежного лимита карты, что превращает карточные
счета клиентов в универсальный финансовый инструмент. Достаточная степень
интеграции с процессинговым решением достигается при использовании
процессингового решения на базе СОФИТ.