Создание алгоритма поиска высокоинформативных диагностических признаков заболеваний молочных желез и построение на их основе алгоритма классификации
Оглавление
термометрия рак молочный железа
Введение
Глава 1. Факторы,
повышающие риск возникновения рака молочной железы
Глава 2.
Методика диагностики рака молочной железы по данным комбинированной термометрии
Глава 3. Экспертная
база данных
Глава 4.
Влияние физиологических факторов на данные комбинированной термометрии
Глава 5.
Алгоритм нахождения высокоинформативных диагностических признаков
.1 Выявленные
ранее признаки в маммологии
.2 Поиск
признаков
Глава 6.
Характеристические признаки заболеваний молочной железы
Глава 7.
Алгоритм классификации пациенток по данным комбинированной термометрии
.1 Алгоритм
диагностики. Критерий классификации. Критерии оценки эффективности алгоритма
.2 Минимизация
набора высокоинформативных признаков для первого алгоритма
.3 Проверка
алгоритма диагностики на тестовых выборках
Заключение
Список
литературы
Приложение
Введение
Согласно современным статистическим данным, рак молочной железы является
наиболее распространенным онкологическим заболеванием среди женщин. По экспертным
оценкам в мире ежегодно от него умирает более полумиллиона человек. Показатели
выживаемости при этом варьируются от 80% в странах Северной Америки до 50% в
России, и ниже в странах с низким уровнем доходов. Из причин смерти женского
населения рак молочной железы стоит на первом месте.
Согласно современным представлениям, для того, чтобы своевременно
выявлять большинство опухолей, они должны иметь диаметр, по крайней мере, не
более 5-7 мм, но это маловероятно, т. к. средний размер впервые выявляемых опухолей
значительно больше (1,34 см), а частота выявления опухолей до 1 см в диаметре
по мировым данным составляет 10-20%. Распознавание заболеваний на ранней стадии
может приблизиться к идеальному при рентгенологическом обследовании молочных
желез каждые 6 месяцев, однако, это будет сопряжено с комплексом новых проблем.
Среди них возможность индуцирования рака вследствие частого облучения ткани
молочной железы и значительное увеличение стоимости профилактических программ
[9].
Существующие методы не позволяют выявить опухоль на ранней стадии.
Мировой тенденцией современной маммологии является поиск приемлемых безопасных
методов проведения профилактических обследований. При этом наиболее
перспективным для повышения эффективности маммологических обследований видится
метод комбинированной термометрии, который представляет собой измерение
температуры тела на глубине нескольких сантиметров (РТМ) и на кожном покрове
(ИК). Известно, что при возникновении заболевания какого-либо органа,
происходит изменение температурного фона определенного участка тела человека.
Следовательно, этот метод может быть применен и при диагностике заболеваний
молочных желез.
Одной из основных проблем является и организация обследования женщин.
Недостаточное для проведения профилактических осмотров количество
узконаправленных специалистов не позволяет проводить качественное обследование.
Поэтому для осуществления данной задачи нужны комплексы, которыми могут
пользоваться не только квалифицированные врачи, но и врачи общей практики или
даже медсестры.
Эту проблему вполне можно решить созданием экспертных комплексов,
диагностирующих заболевания молочных желез, которые должны обладать следующими
свойствами:
1. невысокая цена;
2. простота в применении (может быть использован средним медицинским
персоналом);
. безопасность как для пациенток, так и для обслуживающего
персонала.
Для этого был разработан в 1997 году российской фирмой РЭС
компьютеризированный диагностический комплекс РТМ-01-РЭС, позволяющий проводить
РТМ - и ИК - обследования. Преимущество данного комплекса перед другими
средствами инструментальной диагностики заключается в: 1) безопасности для
здоровья, как пациенток, так и врачей; 2) потенциальных возможностях широкого
применения; 3) возможности определить заболевание на ранней стадии, когда это
невозможно другими методами; 4) невысокой стоимости оборудования; 5) в легкой
формализации данных, позволяющей построить экспертные системы.
Целью данной работы является создание алгоритма поиска
высокоинформативных диагностических признаков заболеваний молочных желез и
построение на их основе алгоритма классификации.
Для достижения поставленной цели необходимо решить следующие задачи:
· формирование обучающей и тестовой выборок данных, полученных
с помощью комбинированной термометрии;
· выявление влияния физиологических особенностей организма;
· разработка алгоритмов нахождения высокоинформативных
признаков заболеваний на основе данных комбинированной термометрии и их
реализация на основе созданной обучающей выборки;
· разработка алгоритмов классификации пациенток на основе
найденных диагностических признаков.
Для решения поставленных задач использовались методы математической
статистики, математического и компьютерного моделирования, дискриминантного
анализа, экспертного оценивания и теории принятия решения.
В результате проведенной работы были найдены высокоинформативные
признаки, основанные на выявлении молочных желез больных пациенток (77
признаков, см. Приложение, Таблица 1), и характеристические признаки (84
признаков, см. Приложение, Таблица 2).
В результате диагностики были достигнуты:
· на обучающей выборке: точность - 90,9%, специфичность - 85% и
чувствительность - 91,9%.
· на
тестовой выборке 1: точность - 87,6%, специфичность - 85% и чувствительность -
88%.
· на
тестовой выборке 2: чувствительность - 91,5%.
Результаты
докладывались на Научной сессии 2014, г. Волгоград (ВолГУ) и семинаре
"Математическое моделирование в медицине" (рук. А.Г. Лосев) и
опубликованы в [5], [13].
Пользуясь
случаем, автор хотел бы выразить глубокую благодарность за полезные обсуждения,
замечания и постоянное внимание к работе участникам семинара
"Математическое моделирование в медицине".
Глава 1.
Факторы, повышающие риск возникновения рака молочной железы
Согласно сведениям, приведенным в Постановлении Правительства Москвы от
14 мая 2014 г. №249-ПП в Москве в 2013 году вновь выявлено 39 248 больных
злокачественными новообразованиями (324,1 больных на 100 тыс. населения). При
этом 22,8% больных являются лицами трудоспособного возраста, 45,1% больных -
лица старше 70-летнего возраста. Дети среди вновь заболевших составили 0,5%,
причем половину из них составляют дети в возрасте до 4-х лет. В структуре
онкологической заболеваемости в 2013 году рак молочной железы составляет 15,1%
от всех заболевших (в 2012 году - 14,4%) [10].
Рассмотрим поподробнее, что же влияет на развитие и возникновение рака
молочной железы. Несомненно, возраст можно определить как один из факторов
риска [6].
Далее перечислим, что относится к факторам риска у женщин моложе 35 лет.
К ним можно отнести следующие признаки:
· Увеличение щитовидной железы;
· Первая беременность после 30 лет;
· Рак молочной железы у кровных родственников.
Женщинам от 35 до 49 лет присуще следующие факторы риска развития рака
молочной железы:
· Раннее (до 12 лет) начало менструации;
· Нарушение менструальной функции;
· Нарушение половой функции;
· Нарушение детородной функции;
· Хронические заболевания печени;
· Рак молочной железы в семейном анамнезе.
Женщины от 50 до 59 лет подвержены увеличению риска развития рака молочной
железы. Здесь имеют значение следующие признаки:
· Гипертоническая болезнь (10 лет и более);
· Ожирение 3 степени (5 лет и более);
· Сахарный диабет;
· Атеросклероз (5 лет и более);
· Позднее (после 50 лет) наступление менопаузы (это полная
остановка менструаций у женщины в результате прекращения функций яичников);
· Фибромиома матки (это доброкачественная опухоль, возникающая
в мышечном слое матки).
Для женщин 60 лет и старше, находящихся в глубокой менопаузе относят
следующие факторы:
· Сочетание раннего (до 12 лет) начала месячных и позднего
(после 50 лет) их окончание;
· Сочетание гипертонической болезни, ожирении, атеросклероза,
сахарного диабета;
· Злокачественные опухоли женских половых органов, толстой
кишки в семейном анамнезе.
Женщины, которые имеют 3 признака соответствующей возрастной группы,
относят в группу риска рака молочной железы [6].
Также нездоровый образ жизни повышает вероятность развития данного
заболевания. Например:
· Курение;
· Регулярное употребление алкоголя:
· Излишние повышение веса после 18 лет;
· Отказ от самообследования и профилактических осмотров,
маммографии.
Так же существует ряд признаков, которые снижают вероятность развития
рака молочной железы [6]:
· позднее начало менструаций;
· преждевременное окончание менструаций, в том числе связанное
с оперативными вмешательствами;
· кормление грудью;
· регулярные маммографии после 40 лет;
· регулярное посещение врача для обследования молочных желез;
· здоровый образ жизни (в том числе регулярные занятия
спортом);
· регулярное самообследование молочных желез;
· поддержание нормального веса тела;
· отсутствие употребления алкоголя или редкое употребление;
· употребление пищи с низким содержанием жиров, частое
употребление в пищу фруктов, овощей.
Обследование женщин маммологом начинается с опроса, выяснения жалоб и
выявления факторов, способствующих развитию предполагаемого недуга. После этого
врач внимательно осматривает грудь, просит пациентку поднять руки и положить их
за голову. Пальпация проводится в положении стоя и лежа. Маммолог аккуратно
прощупывает все участки железы, зон лимфатического оттока, и прежде всего
подмышечной впадины и надключичных областей.
Однако, по наблюдениям специалистов данных факторов недостаточно для
правильной постановки диагноза. При необходимости маммолог предложит
инструментальные методы обследования - УЗИ, маммография, биопсия. В случае
подозрения на связь патологии молочной железы с заболеваниями других органов и
систем организма могут быть назначены соответствующие анализы, консультации
эндокринолога, гинеколога и других специалистов.
УЗИ (ультразвуковое исследование) молочной железы
УЗИ - безопасный, безболезненный и информативный метод исследования
молочных желез в маммологии. Используя ультразвуковой сканер и специальный
датчик, врач - маммолог последовательно осматривает грудь женщины.
Подозрительные участки изучаются более пристально и отмечаются на экране
монитора особыми метками. Это нужно для того, чтобы маммолог мог сопоставить
данные ощупывания, УЗИ, маммографии и установить диагноз. В процессе УЗИ могут
быть обнаружены кисты и другие проявления мастопатии, доброкачественные
(фиброаденома, липома) и злокачественные опухоли (рак). Под контролем
ультразвука врач-маммолог также берет пункцию подозрительных новообразований,
которые не удалось определить при пальпации молочных желез.
Маммография
Маммография - это безболезненное рентгенологическое обследование молочных
желез с помощью маммографа. Применение этого метода в маммологии имеет
некоторые ограничения, так как определенная лучевая нагрузка оказывает
неблагоприятное влияние на организм женщины. И хотя современные технологии
позволяют значительно ее снизить, улучшая при этом качество диагностики, без
вреда допустимо провести всего 1-2 исследования в год. О маммографии следует
задуматься после 40 лет. Врачи-онкологи рекомендуют делать ее однократно в
возрасте от 35 до 40 лет. С 40 до 50 лет необходимо обследоваться один раз в
два года, а после 50 лет - ежегодно.
Биопсия
Биопсия - это прижизненный забор из подозрительного участка молочной железы
небольшого количества тканей для микроскопического диагностического
исследования. Взятый тонкой иглой или специальным инструментом препарат
окрашивают и рассматривают под микроскопом, после чего врач-цитолог или
врач-гистолог дает заключение о природе материала. Несмотря на кажущуюся
безошибочность, биопсия в маммологии только в совокупности с маммографией и УЗИ
позволяет поставить диагноз с точностью до 95%. Существует также эксцизионная
биопсия. Если маммография, ультразвуковое и цитологическое исследования
бессильны установить характер болезни, сомнительное образование удаляют, то
есть проводят под местным обезболиванием секторальную резекцию молочной железы,
и изучают под микроскопом [8].
Подводя итоги, можно подчеркнуть важность прохождения регулярных осмотра
у врача-маммолога и обследования инструментальными методами такими, как УЗИ и
маммография. Однако согласно современным представлениям, для того, чтобы
своевременно выявлять большинство опухолей, они должны иметь диаметр, по
крайней мере, не более 5-7 мм, но это маловероятно, т. к. средний размер
впервые выявляемых опухолей значительно больше (1,34 см), а частота выявления
опухолей до 1 см в диаметре по мировым данным составляет 10-20%. Поэтому данные
инструментальные методы малоприменимы для ранней диагностики. Таким образом,
следует подчеркнуть важность прохождения обследования именно при помощи
комбинированной термометрии, так как согласно существующим представлениям,
изменение температуры тканей обычно предшествует структурным изменениям, которые
обнаруживаются при общепринятых методах исследования молочной железы - УЗИ,
маммографии, пальпации. Поэтому, термометрия представляет интерес для ранней
диагностики заболеваний.
Глава 2.
Методика диагностики рака молочной железы по данным комбинированной термометрии
Комбинированная
термометрия - это биофизический метод неинвазивного обследования, заключающийся
в измерении внутренних и поверхностных температур тканей по интенсивности их
теплового излучения, соответственно, в микроволновом (РТМ) и инфракрасном (ИК)
диапазоне и последующей их регистрацией в виде числовых данных. Данную
технологию в маммологии рекомендуют для скрининга, дифференциальной диагностики
и для оценки эффективности проводимого лечения.
Высокочувствительная
система РТМ-01-РЭС позволяет оценивать функциональное состояние тканей путем
неинвазивного измерения внутренней температуры на глубине до 5 см и температуры
кожи. Неинвазивность методики, полное отсутствие ионизирующих излучений и, как
следствие, полная безвредность метода обуславливает отсутствие прямых
противопоказаний для проведения исследования. Метод абсолютно безопасен,
исследование не сопровождается никакими неприятными ощущениями и может
проводиться неограниченное количество раз в целях динамического наблюдения.
При опросе пациента в процессе радиотермометрического обследования врач
задает пациенту вопросы, которые, по замыслу разработчиков программы, должны
помогать в диагностике патологии молочной железы [11].
Исследование
больной проводится в горизонтальном положении, обнаженной по пояс с целью
охлаждения кожных покровов, руки под головой. Кожные покровы пациентки
охлаждаются естественным путем, за то время когда заполняется регистрационная
карта.
Обследование начинается с измерения глубинных температур в опорных точках
Т1 и Т2.
Т1 - точка, находящаяся в центре грудной клетки сразу под и между
молочными железами. Важная точка, температура в которой должна быть выше или
равна средней температуре по обеим молочным железам, если в молочных железах
нет патологических изменений.
Т2 - точка, находящаяся непосредственно под мечевидным отростком [12].
Далее измерения проводились в 10 точках на каждой железе, включая
аксиллярную область. Схема измерений представлена на рис. 1.
Рисунок 1 - Схема обследования молочных желез.
- центральный отдел;
- граница верхних квадрантов;
- верхний внутренний квадрант;
- граница внутренних квадрантов;
- нижний внутренний квадрант;
- граница нижних квадрантов;
- нижний внешний квадрант;
- граница внешних квадрантов;
- верхний внешний квадрант.
Данные по температуре обрабатываются и могут быть отображены на мониторе
или принтере в следующих видах: в виде термограммы, в виде полей температур.
Температура воздуха в помещении влияет на температуру кожи. Поэтому в
помещении должна поддерживаться температура 20-25єС, а желательным диапазоном
является 21-23єС. Перед началом обследования температура кожи пациента должна
принять стабильное значение, для этого пациент должен некоторое время
(ориентировочно 10 минут) адаптироваться к окружающей температуре. При
исследовании внутренней температуры нет необходимости в применении каких-либо
веществ, улучшающих контакт рабочей поверхности антенны с кожей, как это
принято при ультразвуковых исследованиях. Достаточно, чтобы антенна прилегала к
коже всей рабочей поверхностью.
В ходе исследований и анализе данных специалистами был выявлены
характерные признаки рака молочной железы [1]:
. повышенная величина термоасимметрии между одноименными точками
молочных желез;
. повышенный разброс температур между отдельными точками в
пораженной молочной железе;
. повышенная дисперсия разности температур между железами;
. разница температур сосков;
5. повышенная температура соска в пораженной
молочной железе по сравнению со средней температурой молочной железы с учетом
возрастных изменений температуры;
. соотношение кожной и глубинной температур;
. повышенное значение осцилляции температур в
областях;
. повышенная разница температур опорной точки
Т1 и точек молочной железы.
Важно, также отметить характерные проявления разных
форм рака молочной железы при РТМ-диагностике [1]. Для внутрипротоковой формы
рака характерно значительное (1-1,5°С) повышение температуры соска и
значительная (1°С) термоасимметрия в одной из точек (см. Рис.2).
Рисунок 2 - Карта температур молочных желез при
внутрипротоковой формы
При отечно-инфильтративной форме рака характерно
повышение температуры большей части пораженной молочной железы на 1-1,5°С (см.
Рис. 3).
Рисунок 3 - Карта температур молочных желез при
отечно-инфильтративной форме рака
Этот признак сходен с РТМ - признаками, проявляющимися
при остром мастите, однако безвредность РТМ-обследования позволяет при
подозрении на острый мастит провести консервативное лечение последнего и
сравнить результаты РТМ - обследований в динамике (см. Рис. 4).
а) до лечения
Рисунок 4 - б) после лечения
Для женщин с преобладанием жировой ткани в молочной
железе, свойственна пониженная средняя температура молочной железы по сравнению
со средней температурой для женщин данного возраста и рак характеризуется
существенной термоасимметрией (более 1,0°С) и значительным повышением
температуры соска. Для женщин с повышенной температурой молочных желез рак в
37% случаев характеризуется незначительной термоасимметрией (около 0,50С).
Это наиболее сложные случаи для диагностики [1].
Глава 3.
Экспертная база данных
В результате исследований, проведенных в течение последних нескольких
лет, была создана база термометрических данных пациенток. На ее основе
формировалась обучающая выборка (экспертная база данных).
База данных включает в себя следующую информацию о пациентах:
· возраст;
· номер протокола, дата обследования;
· анамнез;
· диаметр молочной железы;
· данные о менструальном цикле (менопауза, нет менструального
цикла, длительность цикла);
· молочная железа (левая, или правая);
· температуры молочных желез и опорных точек, снятые датчиками
ИК и РТМ в положении лежа на спине руки под головой.
В процессе исследования происходило постоянное пополнение и уточнение
базы данных и, соответственно, обучающей выборки.
База данных включает в себя информацию о молочных железах пациенток в
возрасте от 17 до 88 лет. Она была разделена на два класса:
· класс "Здоровые" - молочные железы здоровых
пациенток;
· класс "Больные" - молочные железы больных пациенток.
Последний в свою очередь делится в соответствии с наличием той или иной
патологии следующим образом:
· данные здоровых молочных желез больных пациенток;
· данные молочных желез с наличием раковой опухоли стадии 0-1;
· данные молочных желез с наличием раковой опухоли стадии 2;
· данные молочных желез с наличием раковой опухоли стадии 3-4;
· данные молочных желез с наличием фиброаденомы;
· данные молочных желез с наличием фибросклероза;
· данные молочных желез с наличием фиброзно-кистозной
мастопатии;
· данные молочных желез с наличием прочих нарушений таких, как
гематома, гинекомастия, фиброаденоматоз.
Проверка базы данных проходила в три этапа. На первом этапе база данных
была проверена экспертами, и были удалены недостоверные данные. На втором этапе
была осуществлена проверка на наличие, так называемых,
"орфографических" ошибок. Данные проверялись:
· на неправильный ввод числового значения (число не должно
содержать буквы и символы);
· на неправильный формат вводимого числа (то есть число должно
иметь формат "00.0");
Третьим этапом, осуществлялась проверка на допустимость значений, в
частности соответствие техническим требованиям аппаратной части
диагностического комплекса.
После уточнения всех показателей, была окончательно сформирована
обучающая выборка. На май 2014 года она включала в себя информацию о 550
молочных железах пациенток в возрасте от 17 до 88 лет. Выборка была разделена
на два контрольных класса: здоровые (80 молочных желез) и молочных желез
больных пациенток (470 молочных желез). Последние делятся на следующие классы:
· данные здоровых молочных желез больных пациенток (126
молочных желез);
· данные больных молочных желез больных пациенток (140 молочных
желез) и данные пациенток группы риска (206 молочных желез), которые в свою
очередь делятся в соответствии с преобладанием того или иного нарушения
следующим образом:
• данные молочных желез с наличием
раковой опухоли стадии 0-1 (35 молочных желез);
• данные молочных желез с наличием
раковой опухоли стадии 2 (71 молочных желез);
• данные молочных желез с наличием
раковой опухоли стадии 3-4 (25 молочных желез);
• данные молочных желез с наличием
фиброаденомы (58 молочных желез);
• данные молочных желез с наличием
фибросклероза (28 молочных желез);
• данные молочных желез с наличием
фиброзно-кистозной мастопатии (80 молочных желез);
• данные молочных желез с наличием
прочих нарушений таких, как гематома, гинекомастия, фиброаденоматоз (47 молочных желез).
Глава 4.
Влияние физиологических факторов на данные комбинированной термометрии
Цель исследования - сравнение влияния возраста, количества беременностей
и родов, возраста на момент первых родов, продолжительности менструальных
циклов на значение ИК и РТМ температур молочной железы. А также определить
степень зависимости температурных изменений в молочной железе от диаметра
железы, температуры в аксиллярной области и в опорных точках на теле пациентки,
которые программа обследования предлагает измерить перед обследованием
собственно железы (табл. 1).
Таблица 1 - Вопросы и дополнительные измерения, предшествующие измерению
температуры собственно молочной железы
|
Анамнестические вопросы
|
Дополнительные измерения
|
|
возраст пациентки
|
диаметр молочной железы
|
|
количество беременностей
|
ИКТ в аксиллярной области
|
|
количество родов
|
РТМ в аксиллярной области
|
|
возраст на момент первых родов
|
ИКТ в контрольных точках (Т1 и Т2)
|
|
продолжительность менструального цикла
|
РТМ в контрольных точках (Т1 и Т2)
|
Материалы и методы исследования. Для достижения цели мы провели
обследование молочных желез здоровых женщин (40 женщин (80 молочных желез)),
женщин с доброкачественными заболеваниями молочных желез, в так называемых
группах риска (103 женщины (206 молочных желез)), и пациенток со
злокачественными онкологическими заболеваниями. Причем в последней группе был
проведен анализ данных как по больной железе (133 женщины (140 молочных
желез)), так и по здоровой железе больных пациенток (126 женщин (126 молочных
желез)). Все женщины были обследованы с использованием радиотермометрического
компьютеризированного комплекса РТМ-01-РЭС (ООО "Фирма РЭС"), принцип
действия которого основан на измерении собственного электромагнитного излучения
тканей в микроволновом диапазоне (глубинная температура) и инфракрасном
диапазоне (температура кожи).
Все женщины перед термометрическим обследованием прошли УЗ обследование и
маммографию. Для подтверждения диагноза злокачественного образования
проводилось гистологическое исследование.
В основе исследования связи между признаками лежат статистические методы,
основанные на вычислении выборочного коэффициента корреляции и на проверке
гипотез о его значимости. При этом большинство параметрических критериев
проверки статистических гипотез предполагает нормальность распределения
выборочных данных. Поэтому первым шагом при изучении взаимосвязи исследуемых признаков
является проверка нормальности распределения исходных числовых данных: это
температурные измерения радиотермометрического обследования в девяти точках,
расположенных на молочной железе, а также измерение температуры в аксиллярной
области и в контрольных точках на теле пациентки. При этом для проверки
выборочных распределений на принадлежность к нормальному распределению были
использованы как приближенный метод, основанный на вычислении выборочных
коэффициентов асимметрии и эксцесса, так и более точный метод проверки
согласованности - критерий согласия Пирсона [7].
Критерий согласия Пирсона вычисляется по следующей формуле:
где n - число элементов выборки (в нашем случае n=550), k - число
интервалов разбиения выборки, mi - число значений выборки, попавших в i-й
интервал, pi - теоритическая вероятность попадания значения случайной величины
в i-й интервал.
Число интервалов находится по формуле Стерджесса:
где n - число элементов выборки (в нашем случае n=550).
Величина χ2 имеет распределение χ2 с k-3 степенями свободы. Значение χ2 сравнивалось с критическими
значениями, и на оснавании этого делалось заключение о вероятности события [7].
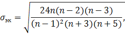
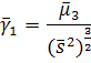
Другой метод проверки выборочных распределений на принадлежность
нормальному распределению основан на свойстве равенства нулю коэффициентов
асимметрии и эксцесса нормально распределенных случайных величин. Приближенными
значениями коэффициента асимметрии
и коэффициента эксцесса
выборки являются значения, найденные
по следующим формулам:
где n - число элементов выборки (в нашем случае n=550), xi - значение
выборки.
В качестве допустимых границ отклонения приближенных значений от нуля
обычно используют средние квадратические отклонения, вычисляемые по формулам:
где n - число элементов выборки.
Таким образом, если найденное значение
принадлежит интервалу (-σас; σас), то можно считать, что
теоритическая величина γ1=0; если найденное значение
принадлежит интервалу (-σэк; σэк), то можно считать, что
теоритическая величина γ2=0.
Равенство нулю коэффициентов асимметрии и эксцесса γ1
и γ2
подтверждает
справедливость гипотезы о нормальном распределении случайной величины, а
отличие от нуля γ1, γ2 - высказанную гипотезу опровергает [7].
На втором шаге для непосредственного изучения взаимосвязи признаков был
выбран метод исследования ранговой корреляции Спирмена. В основе его лежит
вычисление коэффициентов ранговой корреляции Спирмена
по формуле:
,
где
, а xi и yi (
) - ранги исходных объектов, записанные по исследуемым
признакам [4].
Результаты и их обсуждение. В результате проверки полученных измерений
радиотермометрического обследования при помощи критерия согласия Пирсона
получили следующие результаты:
Таблица 2 - Диапазон измерения - РТМ
|
№ точки
|
0
|
1
|
2
|
3
|
4
|
5
|
6
|
7
|
8
|
9
|
|
χ2
|
39,6
|
20,8
|
17,1
|
16,9
|
12,1
|
17,7
|
23,6
|
11,1
|
11,2
|
23,2
|
|
Степень свободы
|
8
|
17
|
14
|
14
|
13
|
15
|
16
|
16
|
13
|
12
|
|
Вероятность события
|
0
|
0,2
|
0,25
|
0,25
|
0,55
|
0,25
|
0,1
|
0,8
|
0,55
|
0
|
Таблица 3 - Диапазон измерения - ИК
|
№ точки
|
0
|
1
|
2
|
3
|
4
|
5
|
6
|
7
|
8
|
9
|
|
χ2
|
11,2
|
7,9
|
5,7
|
9,6
|
13,7
|
3,7
|
11,5
|
21
|
9,1
|
8,6
|
|
Степень свободы
|
11
|
11
|
11
|
11
|
10
|
10
|
11
|
12
|
12
|
10
|
|
Вероятность события
|
0,4
|
0,75
|
0,9
|
0,6
|
0,2
|
0,95
|
0,4
|
0,05
|
0,7
|
0,6
|
Для уточнения полученных результатов был использован метод, основанный на
вычислении выборочных коэффициентов асимметрии и эксцесса. В результате
проверки полученных измерений радиотермометрического обследования при помощи
получили следующие результаты:
Интервалы: (-σас; σас)= (-0,09; 0,09);
(-σэк; σэк)= (-0,21; 0,21). Если
и
, то гипотеза о нормальном
распределении подтверждается, иначе отклоняется.
Таблица 4 - Диапазон измерения - РТМ
|
№ точки
|
0
|
1
|
2
|
3
|
4
|
5
|
6
|
7
|
8
|
9
|
|
γ1
|
-0,2
|
-0,2
|
-0,16
|
-0,2
|
-0,08
|
-0,05
|
-0,1
|
-0,15
|
-0,15
|
0,01
|
|
Гипотеза подтверждена
|
Нет
|
Нет
|
Нет
|
Нет
|
Да
|
Да
|
Нет
|
Нет
|
Нет
|
Да
|
|
γ2
|
-0,7
|
-0,3
|
-0,16
|
-0,23
|
-0,16
|
-0,04
|
-0,3
|
-0,3
|
-0,1
|
-0,01
|
|
Гипотеза подтверждена
|
Нет
|
Да
|
Да
|
Нет
|
Да
|
Да
|
Нет
|
Да
|
Да
|
Таблица 5 - Диапазон измерения - ИК
|
№ точки
|
0
|
1
|
2
|
3
|
4
|
5
|
6
|
7
|
8
|
9
|
|
γ1
|
-0,4
|
-0,1
|
-0,06
|
-0,22
|
0,01
|
0,09
|
0,08
|
0,13
|
-0,03
|
-0,07
|
|
Гипотеза подтверждена
|
Нет
|
Нет
|
Да
|
Нет
|
Да
|
Нет
|
Да
|
Нет
|
Да
|
Да
|
|
γ2
|
0,27
|
-0,4
|
-0,22
|
-0,06
|
-0,12
|
-0,3
|
-0,4
|
-0,33
|
-0,34
|
-0,41
|
|
Гипотеза подтверждена
|
Нет
|
Нет
|
Нет
|
Нет
|
Да
|
Нет
|
Нет
|
Нет
|
Нет
|
Нет
|
Исходя из приведенных выше данных, делаем вывод, что большая часть
температурных данных не согласуется с нормальным распределением.
Поэтому применение на втором шаге для непосредственного изучения
взаимосвязи признаков метода, основанного на вычислении выборочного
коэффициента ранговой корреляции Спирмена вполне обоснованно и целесообразно.
В каждой группе пациенток для всех 9 точек измерения в РТМ- и
ИК-диапазонах были найдены описанным выше методом коэффициенты ранговой
корреляции Спирмена в паре с каждым ответом на анамнестические вопросы и в паре
с результатами каждого дополнительного измерения. Результаты вычислений
занесены в таблицы (Таблицы 7-10). После этого была исследована значимость
полученных коэффициентов ранговой корреляции Спирмена. Для выбора гипотезы
использовался статистический критерий уровня α=0,05
(p=1-α) и следующие
значения критических точек распределения Стъюдента tкр. (Таблица 6). Гипотеза
принимается, если
, где
где
- коэффициент ранговой корреляции Спирмена, n - число
элементов выборки [4].
Таблица 6 - Используемые значения критических точек распределения
Стъюдента tкр.
|
n (объем выборки)
|
tкр
|
|
80
|
1,67
|
|
206
|
1,64
|
|
140
|
1,65
|
|
126
|
1,66
|
Полученные результаты показали, что во всех группах температура в
аксиллярной области и контрольных точках исследования имеет высокую степень
прямой корреляции с изменениями температуры в молочной железе.
Таблица 7 - Изменение поверхностных и глубоких температур молочных желез
здоровых пациенток в зависимости от различных переменных параметров
|
Параметр
|
Датчик
|
Коэффициенты корреляции в каждой точке измерения температур
|
|
|
0
|
1
|
2
|
3
|
4
|
5
|
6
|
7
|
8
|
|
Возраст пациента
|
РТМ
|
-0,44
|
-0,54
|
-0,49
|
-0,47
|
-0,40
|
-0,42
|
-0,51
|
-0,60
|
-0,57
|
|
ИК
|
-0,16
|
-0,39
|
-0,28
|
-0,22
|
-0,28
|
-0,26
|
-0,45
|
-0,48
|
-0,45
|
|
Диаметр груди
|
РТМ
|
-0,44
|
-0,57
|
-0,56
|
-0,47
|
-0,38
|
-0,43
|
-0,53
|
-0,61
|
-0,64
|
|
ИК
|
-0,09
|
-0,37
|
-0,38
|
-0,34
|
-0,32
|
-0,27
|
-0,43
|
-0,56
|
-0,49
|
|
Цикл
|
РТМ
|
0,27
|
0,36
|
0,29
|
0,32
|
0,31
|
0,28
|
0,35
|
0,41
|
0,39
|
|
ИК
|
0,05
|
0,27
|
0,13
|
0,13
|
0,20
|
0,16
|
0,30
|
0,28
|
0,33
|
|
Кол-во беременностей
|
РТМ
|
-0,17
|
-0,24
|
-0,24
|
-0,27
|
-0,29
|
-0,32
|
-0,33
|
-0,37
|
-0,29
|
|
ИК
|
-0,09
|
-0,19
|
-0,22
|
-0,18
|
-0,30
|
-0,26
|
-0,31
|
-0,31
|
-0,28
|
|
Кол-во родов
|
РТМ
|
-0,05
|
-0,08
|
-0,10
|
-0,15
|
-0,16
|
-0,11
|
-0,19
|
-0,22
|
-0,15
|
|
ИК
|
0,04
|
-0,12
|
-0,13
|
-0,06
|
-0,13
|
-0,03
|
-0,17
|
-0,15
|
-0,12
|
|
Температура РТМ в аксиллярной области
|
РТМ
|
0,64
|
0,72
|
0,67
|
0,70
|
0,74
|
0,77
|
0,76
|
0,78
|
0,77
|
|
ИК
|
0,48
|
0,67
|
0,57
|
0,55
|
0,65
|
0,61
|
0,68
|
0,64
|
0,67
|
|
Температура ИК в аксиллярной области
|
РТМ
|
0,55
|
0,57
|
0,56
|
0,63
|
0,72
|
0,70
|
0,66
|
0,68
|
0,64
|
|
ИК
|
0,56
|
0,68
|
0,59
|
0,59
|
0,72
|
0,69
|
0,70
|
0,65
|
0,66
|
|
Возраст первой беременности
|
РТМ
|
-0,03
|
0,03
|
-0,02
|
0,05
|
0,15
|
0,00
|
0,03
|
0,08
|
0,07
|
|
ИК
|
-0,07
|
0,06
|
-0,02
|
0,00
|
0,17
|
-0,02
|
0,01
|
0,05
|
-0,03
|
|
РТМ доп. точка 1
|
РТМ
|
0,60
|
0,68
|
0,64
|
0,64
|
0,68
|
0,71
|
0,69
|
0,71
|
0,72
|
|
ИК
|
0,39
|
0,56
|
0,53
|
0,53
|
0,59
|
0,53
|
0,58
|
0,56
|
0,56
|
|
РТМ доп. точка 2
|
РТМ
|
0,74
|
0,81
|
0,75
|
0,74
|
0,76
|
0,77
|
0,81
|
0,83
|
0,81
|
|
ИК
|
0,54
|
0,72
|
0,67
|
0,60
|
0,71
|
0,64
|
0,70
|
0,69
|
0,68
|
|
ИК доп. точка 1
|
РТМ
|
0,64
|
0,55
|
0,62
|
0,72
|
0,73
|
0,71
|
0,68
|
0,66
|
0,60
|
|
ИК
|
0,71
|
0,80
|
0,78
|
0,77
|
0,86
|
0,83
|
0,80
|
0,76
|
0,76
|
|
ИК доп. точка 2
|
РТМ
|
0,63
|
0,57
|
0,60
|
0,68
|
0,72
|
0,72
|
0,70
|
0,69
|
0,65
|
|
ИК
|
0,70
|
0,81
|
0,76
|
0,74
|
0,84
|
0,83
|
0,82
|
0,73
|
0,74
|
После проведения анализа полученных результатов оказалось, что в группе здоровых
женщин (n=80) значимой является обратная зависимость температурных изменений в
глубоких тканях железы с возрастом пациентки и диаметром молочной железы.
Такие анамнестические данные как протяженность менструального цикла,
количество беременностей, количество родов, возраст на момент первых родов не
имеют значимой связи с изменениями температуры в молочной железе у здоровых
женщин.
Таблица 8 - Изменение поверхностных и глубоких температур молочных желез
пациенток группы риска в зависимости от различных переменных параметров
|
Параметр
|
Датчик
|
Коэффициенты корреляции в каждой точке измерения температур
|
|
|
0
|
1
|
2
|
3
|
4
|
5
|
7
|
8
|
|
Возраст пациента
|
РТМ
|
-0,40
|
-0,39
|
-0,38
|
-0,38
|
-0,38
|
-0,39
|
-0,34
|
-0,42
|
-0,42
|
|
ИК
|
-0,28
|
-0,35
|
-0,32
|
-0,30
|
-0,31
|
-0,33
|
-0,33
|
-0,35
|
-0,37
|
|
Диаметр груди
|
РТМ
|
-0,02
|
-0,22
|
-0,20
|
-0,17
|
-0,11
|
-0,20
|
-0,27
|
-0,27
|
-0,28
|
|
ИК
|
0,02
|
-0,20
|
-0,18
|
-0,10
|
-0,06
|
-0,15
|
-0,24
|
-0,21
|
-0,22
|
|
Цикл
|
РТМ
|
0,34
|
0,35
|
0,39
|
0,37
|
0,30
|
0,33
|
0,30
|
0,37
|
0,37
|
|
ИК
|
0,24
|
0,32
|
0,31
|
0,29
|
0,26
|
0,29
|
0,31
|
0,31
|
0,32
|
|
Кол-во беременностей
|
РТМ
|
0,02
|
-0,15
|
-0,10
|
-0,10
|
-0,10
|
-0,09
|
-0,15
|
-0,13
|
-0,14
|
|
ИК
|
0,04
|
-0,14
|
-0,04
|
-0,09
|
-0,06
|
-0,05
|
-0,06
|
-0,08
|
-0,08
|
|
Кол-во родов
|
РТМ
|
0,11
|
0,02
|
0,01
|
0,02
|
0,00
|
0,04
|
-0,01
|
0,04
|
0,02
|
|
ИК
|
0,05
|
0,01
|
0,01
|
-0,04
|
-0,01
|
0,00
|
0,01
|
0,02
|
0,00
|
|
Температура РТМ в аксиллярной области
|
РТМ
|
0,54
|
0,68
|
0,66
|
0,65
|
0,68
|
0,66
|
0,67
|
0,71
|
0,70
|
|
ИК
|
0,46
|
0,55
|
0,52
|
0,50
|
0,54
|
0,51
|
0,50
|
0,54
|
0,57
|
|
Температура ИК в аксиллярной области
|
РТМ
|
0,45
|
0,45
|
0,45
|
0,44
|
0,41
|
0,39
|
0,44
|
0,50
|
0,45
|
|
ИК
|
0,54
|
0,56
|
0,57
|
0,57
|
0,61
|
0,53
|
0,55
|
0,60
|
0,62
|
|
Возраст первой беременности
|
РТМ
|
0,06
|
0,06
|
0,07
|
0,06
|
0,07
|
0,07
|
0,13
|
0,09
|
0,07
|
|
ИК
|
0,04
|
0,08
|
0,05
|
0,08
|
0,09
|
0,06
|
0,07
|
0,06
|
0,10
|
|
РТМ доп. точка 1
|
РТМ
|
0,60
|
0,74
|
0,70
|
0,73
|
0,79
|
0,76
|
0,73
|
0,75
|
0,72
|
|
ИК
|
0,56
|
0,60
|
0,54
|
0,57
|
0,61
|
0,61
|
0,55
|
0,55
|
0,54
|
|
РТМ доп. точка 2
|
РТМ
|
0,56
|
0,67
|
0,67
|
0,69
|
0,76
|
0,68
|
0,63
|
0,64
|
0,63
|
|
ИК
|
0,51
|
0,54
|
0,49
|
0,54
|
0,59
|
0,54
|
0,46
|
0,49
|
0,45
|
|
ИК доп. точка 1
|
РТМ
|
0,60
|
0,70
|
0,70
|
0,70
|
0,68
|
0,68
|
0,68
|
0,72
|
0,68
|
|
ИК
|
0,72
|
0,79
|
0,77
|
0,81
|
0,83
|
0,80
|
0,77
|
0,78
|
0,74
|
|
ИК доп. точка 2
|
РТМ
|
0,58
|
0,68
|
0,71
|
0,69
|
0,70
|
0,65
|
0,67
|
0,69
|
0,64
|
|
ИК
|
0,69
|
0,74
|
0,73
|
0,77
|
0,80
|
0,74
|
0,70
|
0,70
|
0,66
|
В группе риска (n=206) выраженная прямая взаимосвязь имеется только между
температурой тела пациенток в аксиллярной области и в контрольных точках.
Незначительная обратная взаимосвязь возраста отмечается с температурой
молочной железы. По сравнению с группой здоровых женщин в группе риска
зависимость температуры от длины менструального цикла более выражена. Между
анамнестическими данными (количество беременностей, количество родов, возраст
на момент первых родов), диаметром молочной железы и температурой молочной
железы значимой связи нет.
Таблица 9 - Изменение поверхностных и глубоких температур больных
молочных желез больных пациенток в зависимости от различных переменных
параметров
|
Параметр
|
Датчик
|
Коэффициенты корреляции в каждой точке измерения температур
|
|
|
0
|
1
|
2
|
3
|
4
|
5
|
6
|
7
|
8
|
|
Возраст пациента
|
РТМ
|
-0,33
|
-0,31
|
-0,30
|
-0,28
|
-0,28
|
-0,33
|
-0,27
|
-0,29
|
-0,29
|
|
ИК
|
-0,30
|
-0,37
|
-0,31
|
-0,27
|
-0,21
|
-0,30
|
-0,28
|
-0,29
|
-0,25
|
|
Диаметр груди
|
РТМ
|
-0,17
|
-0,10
|
-0,12
|
-0,06
|
-0,04
|
-0,16
|
-0,15
|
-0,19
|
-0,17
|
|
ИК
|
-0,10
|
-0,17
|
-0,18
|
-0,13
|
-0,03
|
-0,18
|
-0,16
|
-0,24
|
-0,20
|
|
Цикл
|
РТМ
|
-0,03
|
0,13
|
0,15
|
0,07
|
0,14
|
0,19
|
0,14
|
0,14
|
0,11
|
|
ИК
|
0,04
|
0,08
|
0,12
|
0,02
|
0,08
|
0,13
|
0,10
|
0,11
|
0,01
|
|
Кол-во беременностей
|
РТМ
|
-0,03
|
-0,04
|
-0,03
|
-0,07
|
-0,06
|
-0,10
|
-0,12
|
-0,14
|
-0,06
|
|
ИК
|
-0,05
|
-0,06
|
-0,02
|
-0,07
|
-0,05
|
-0,07
|
-0,12
|
-0,03
|
|
Кол-во родов
|
РТМ
|
0,03
|
0,03
|
0,07
|
0,07
|
0,02
|
0,01
|
-0,04
|
-0,01
|
0,04
|
|
ИК
|
0,03
|
0,00
|
0,03
|
0,07
|
0,03
|
0,04
|
-0,03
|
0,01
|
0,07
|
|
Температура РТМ в аксиллярной области
|
РТМ
|
0,47
|
0,72
|
0,71
|
0,73
|
0,74
|
0,74
|
0,70
|
0,71
|
0,76
|
|
ИК
|
0,60
|
0,67
|
0,67
|
0,70
|
0,74
|
0,75
|
0,69
|
0,67
|
0,66
|
|
Температура ИК в аксиллярной области
|
РТМ
|
0,40
|
0,57
|
0,56
|
0,57
|
0,59
|
0,59
|
0,55
|
0,58
|
0,63
|
|
ИК
|
0,53
|
0,64
|
0,60
|
0,67
|
0,71
|
0,68
|
0,64
|
0,64
|
0,68
|
|
Возраст первой беременности
|
РТМ
|
0,00
|
-0,06
|
-0,10
|
-0,11
|
-0,07
|
-0,11
|
-0,09
|
-0,06
|
-0,04
|
|
ИК
|
0,02
|
-0,06
|
-0,11
|
-0,06
|
-0,03
|
-0,10
|
-0,11
|
-0,07
|
-0,02
|
|
РТМ доп. точка 1
|
РТМ
|
0,53
|
0,78
|
0,81
|
0,81
|
0,86
|
0,83
|
0,80
|
0,79
|
0,78
|
|
ИК
|
0,66
|
0,70
|
0,73
|
0,72
|
0,81
|
0,76
|
0,73
|
0,72
|
0,63
|
|
РТМ доп. точка 2
|
РТМ
|
0,57
|
0,70
|
0,72
|
0,77
|
0,82
|
0,75
|
0,70
|
0,69
|
0,70
|
|
ИК
|
0,64
|
0,64
|
0,64
|
0,71
|
0,73
|
0,67
|
0,64
|
0,62
|
0,60
|
|
ИК доп. точка 1
|
РТМ
|
0,53
|
0,73
|
0,76
|
0,77
|
0,80
|
0,78
|
0,76
|
0,76
|
0,76
|
|
ИК
|
0,70
|
0,75
|
0,77
|
0,79
|
0,85
|
0,82
|
0,79
|
0,78
|
0,71
|
|
ИК доп. точка 2
|
РТМ
|
0,56
|
0,71
|
0,72
|
0,75
|
0,77
|
0,76
|
0,72
|
0,71
|
0,75
|
|
ИК
|
0,71
|
0,72
|
0,72
|
0,79
|
0,82
|
0,80
|
0,76
|
0,75
|
0,73
|
Таблица 10 - Изменение поверхностных и глубоких температур здоровых
молочных желез больных пациенток в зависимости от различных переменных
параметров
|
Параметр
|
Датчик
|
Коэффициенты корреляции в каждой точке измерения температур
|
|
|
0
|
1
|
2
|
3
|
4
|
5
|
6
|
7
|
8
|
|
Возраст пациента
|
РТМ
|
-0,37
|
-0,35
|
-0,33
|
-0,32
|
-0,33
|
-0,31
|
-0,31
|
-0,31
|
-0,32
|
|
ИК
|
-0,33
|
-0,37
|
-0,36
|
-0,32
|
-0,33
|
-0,30
|
-0,32
|
-0,31
|
-0,32
|
|
Диаметр груди
|
РТМ
|
-0,14
|
-0,10
|
-0,10
|
-0,09
|
-0,02
|
-0,14
|
-0,19
|
-0,20
|
-0,13
|
|
ИК
|
-0,05
|
-0,15
|
-0,13
|
-0,10
|
-0,02
|
-0,15
|
-0,22
|
-0,26
|
-0,18
|
|
Цикл
|
РТМ
|
0,00
|
0,14
|
0,18
|
0,18
|
0,19
|
0,18
|
0,12
|
0,13
|
0,14
|
|
ИК
|
0,11
|
0,12
|
0,11
|
0,15
|
0,20
|
0,17
|
0,15
|
0,12
|
0,11
|
|
Кол-во беременностей
|
РТМ
|
-0,05
|
0,01
|
-0,01
|
-0,05
|
-0,04
|
-0,10
|
-0,14
|
-0,10
|
-0,03
|
|
ИК
|
-0,05
|
-0,01
|
0,00
|
-0,06
|
0,00
|
-0,09
|
-0,15
|
-0,03
|
-0,07
|
|
Кол-во родов
|
РТМ
|
0,08
|
0,09
|
0,11
|
0,07
|
0,09
|
0,09
|
0,02
|
0,06
|
0,06
|
|
ИК
|
0,09
|
0,07
|
0,07
|
0,01
|
0,10
|
0,10
|
0,04
|
0,06
|
0,05
|
|
Температура РТМ в аксиллярной области
|
РТМ
|
0,55
|
0,77
|
0,75
|
0,76
|
0,75
|
0,72
|
0,74
|
0,72
|
0,77
|
|
ИК
|
0,66
|
0,70
|
0,71
|
0,71
|
0,69
|
0,70
|
0,66
|
0,69
|
0,73
|
|
Температура ИК в аксиллярной области
|
РТМ
|
0,49
|
0,64
|
0,61
|
0,61
|
0,61
|
0,57
|
0,58
|
0,58
|
0,61
|
|
ИК
|
0,62
|
0,70
|
0,68
|
0,67
|
0,68
|
0,66
|
0,61
|
0,64
|
0,70
|
|
Возраст первой беременности
|
РТМ
|
-0,11
|
-0,15
|
-0,16
|
-0,11
|
-0,13
|
-0,11
|
-0,14
|
-0,13
|
-0,11
|
|
ИК
|
-0,06
|
-0,11
|
-0,12
|
-0,05
|
-0,07
|
-0,09
|
-0,11
|
-0,14
|
|
РТМ доп. точка 1
|
РТМ
|
0,51
|
0,80
|
0,80
|
0,82
|
0,81
|
0,74
|
0,75
|
0,74
|
0,79
|
|
ИК
|
0,65
|
0,72
|
0,75
|
0,76
|
0,73
|
0,71
|
0,67
|
0,68
|
0,72
|
|
РТМ доп. точка 2
|
РТМ
|
0,57
|
0,72
|
0,73
|
0,77
|
0,74
|
0,70
|
0,69
|
0,64
|
0,69
|
|
ИК
|
0,65
|
0,67
|
0,68
|
0,72
|
0,67
|
0,66
|
0,63
|
0,61
|
0,66
|
|
ИК доп. точка 1
|
РТМ
|
0,50
|
0,74
|
0,75
|
0,76
|
0,77
|
0,70
|
0,71
|
0,71
|
0,74
|
|
ИК
|
0,66
|
0,78
|
0,80
|
0,80
|
0,82
|
0,76
|
0,73
|
0,74
|
0,76
|
|
ИК доп. точка 2
|
РТМ
|
0,55
|
0,73
|
0,72
|
0,73
|
0,72
|
0,70
|
0,68
|
0,65
|
0,69
|
|
ИК
|
0,67
|
0,76
|
0,74
|
0,78
|
0,74
|
0,74
|
0,69
|
0,68
|
0,73
|
У женщин со злокачественными изменениями в молочных железах (как для
больных желез (n=140), так и для здоровых (n=126)) прямая взаимосвязь с
температурой тела в аксиллярной области и контрольных точках исследования
выражена в такой же степени, как и в других группах. Однако ни анамнестические
данные, ни показатели возраста, ни длина менструального цикла, ни диаметр
молочной железы не связаны с изменениями температуры в молочной железе.
Обсуждение. Известно, что беременность и лактация способствуют полному
развитию молочной железы. Однако количество беременностей, количество родов,
возраст на момент первых родов не имели связи с изменениями температуры в
молочной железе во всех группах обследованных женщин.
Взаимосвязь температурных изменений от возраста, диаметра железы
прослеживалась только для здоровых пациенток. С возрастом здоровая молочная
железа подвергается инволюции: уменьшается объем железистой ткани,
увеличивается объем жировой и соединительной ткани, кровоснабжение которых
менее выражено. В то же время увеличение размера здоровой молочной железы с
возрастом обусловлено увеличением не столько объема железистой ткани, сколько
жировой и соединительной. Естественное снижение температуры здоровой молочной
железы с возрастом и отражает обратная корреляция.
Все описанные закономерности изменения температуры характерны для
нормального строения и функционирования молочной железы. Взаимосвязь этих же
показателей (возраст, диаметр железы) с температурой железы у пациенток с
доброкачественными изменениями в молочной железе (в группе риска) значительно
ослаблена, а в группе пациенток со злокачественными изменениями железы
отсутствует, т.к. и структура, и функции нарушены.
Выводы. На основании данных, выявленных выше, и экспертных мнений были
сделаны следующие выводы: для выявления температурных аномалий в молочной
железе нет необходимости перегружать обследование анамнестическими вопросами.
Из дополнительных измерений для оценки термограмм молочной железы имеют
значение измерение температуры в аксиллярной области и в контрольных точках.
Результаты исследования, описанные в данной главе, были изложены в
статье, которая принята к публикации [5].
Глава 5.
Алгоритм нахождения высокоинформативных диагностических признаков
Существует множество вариантов построения характеристик, описывающих
физиологическое состояние молочной железы.
.1 Выявленные
ранее признаки в маммологии
В процессе развития метода комбинированной термометрии специалистами были
выявлены следующие качественные признаки заболеваний молочной железы [2].
. Повышенная величина термоасимметрии между одноименными точками
молочных желез. В качестве функции, которая описывает данный эффект, можно
использовать
,
где tпр. i и tл. i - температуры в i-ых точках правой и левой молочных
желез соответственно. Данная функция предложена в [2].
. Повышенный разброс температур между отдельными точками в
пораженной молочной железе. В качестве функции, которая описывает данный
эффект, можно использовать
где
, ti - температура в i-ой точке молочной железы.
. Повышенная дисперсия разности температур между железами. В
качестве функций, которые описывают данный эффект, можно использовать
следующие:
· Повышенное среднеквадратичное значение разности температур
между одноименными точками правой и левой молочной железы
Где
,
, где tпр. i и tл. i - температуры в i-ых точках правой и
левой молочных желез соответственно.
Данная функция предложена в [2].
· Повышенное среднеквадратичное значение разностей температур
между одноименными точками правой и левой молочной железы
сравниваются попарно температуры в точках. Данная функция предложена в
вышеуказанной статье.
. Разница температур сосков. В качестве функции, которая описывает
данный эффект, можно использовать
Данная функция предложена в [2].
5. Повышенная температура соска в пораженной
молочной железе по сравнению со средней температурой молочной железы с учетом
возрастных изменений температуры.
В качестве функций, которые описывают данный эффект,
можно использовать:
· Повышенное максимальное значение температуры соска по
сравнению со средней температурой молочной железы
где
, ti - температура в i-ой точке молочной железы.
· Повышенное значение температуры соска по сравнению с каждой
точкой молочной железы
где ti - температура в i-ой точке молочной железы.
· Повышенное значение температуры соска по сравнению со средним
значением соседних точек молочной железы
. Например,
где ti - температура в i-ой точке молочной железы.
6. Соотношение кожной и глубинной температур. В
качестве функций, которые описывают данный эффект, можно использовать:
· Значение разности между кожной и
глубинной температурами точки пораженной молочной железы
где
- глубинные и
- кожные температуры в i-ых точках
молочной железы.
· Среднее значение между разностями кожной и глубинной
температур соседних точек пораженной молочной железы
где
- глубинные и
- кожные температуры в i-ых точках
молочной железы.
· Максимальное значение между разностями кожной и глубинной
температур соседних точек пораженной молочной железы
где
- глубинные и
- кожные температуры в i-ых точках
молочной железы.
7. Повышенное значение осцилляции областей
где ti - температура в i-ой точке молочной железы.
. Повышенная разница температур опорной точки Т1 и точек молочной
железы
где ti - температура в i-ой точке молочной железы.
Исходя из признаков выявленных врачами, проанализировав характерные
температурные аномалии и перепады температур, были выделены и исследованы более
100 закономерностей. Они отвечают за симметрию температурных полей, наличие
(отсутствие) зон аномальной высокой (низкой) температуры и т.п.
.2 Поиск
признаков
Введем следующие обозначения:
- температура i-ой точки j-ой молочной железы,
- температуры опорных точек j-ой молочной железы.
Тогда обучающую выборку можно представить в виде матрицы
,
где
- температуры молочных желез здоровых пациенток,
- температуры молочных желез больных пациенток.
Пусть
- q-я исследуемая функция, определенная на множестве
векторов
. Обозначим
.
Значения функций представлены в виде матрицы
Признаком будем считать пару
. Признак считается выполненным, если
.
Для оценки каждого признака были использованы величины, которые
традиционно относят к информативностям.
Информативность - количественный параметр, определяющий, насколько хорошо
одна или несколько закономерностей описывают различия одной группы (искомой) от
другой (отделяемой). При этом чем выше значение информативности признака
классификации, тем лучше данный признак определяет различия искомой группы от
отделяемой.
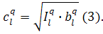
В качестве оценки использовались
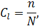
· статистическая информативность [3]:
где M - количество молочных желез класса "Здоровые", m -
количество молочных желез класса "Здоровые", у которых выполнен
признак; K - количество молочных желез класса "Больные", k -
количество молочных желез класса "Больные", у которых выполнен
признак;
· эвристическая информативность:
где x - доля молочных желез класса "Здоровые", у которых
выполнен признак; y - доля молочных желез класса "Больные", у которых
выполнен признак;
· комбинированная информативность:
Первый этап обработки заключается в вычислении множеств
и построении подобласти допустимых
значений. Чтобы разбить на подобласти, для каждой q-ой функции
был выполнен следующий алгоритм:
. Находим подобласти
, где m - минимальное значение
функции
для множеств температурных данных
пациенток,
определяется по формуле:
, где M - максимальное значение функции
для множеств температурных данных
пациенток.
2. На каждой подобласти фиксируем количество векторов
такие, что
.
. Вычисляем статистическую информативность [3] по формуле (1).
. Вычисляем эвристическую информативность по формуле (2).
. Вычисляем комбинированную информативность по формуле (3).
. Находим максимум среди
:
который достигается на множестве
.
7. Получаем признак:
.
Использование в данном алгоритме среднего геометрического значения
статистической и эвристической информативностей обусловлено рядом причин. А
именно: статистическая информативность отделяет достаточно большие группы
исследуемых объектов, но при этом теряется точность, эвристическая же
информативность достаточно точная, но при этом отделяет маленькое количество
исследуемых объектов.
Рассмотрим пример поиска высокоинформативных признаков для функции
(см. Таблица 11).
Таблица 11 - Поиск высокоинформативных признаков
|
№
|
Признак
|
|
Статистическая информативность
|
Эвристическая информативность
|
Комбинированная информативность
|
|
1
|
|
0,8
|
10,1
|
9,0
|
9,5
|
|
2
|
|
0,9
|
12,6
|
7,7
|
9,8
|
|
3
|
|
1
|
9,6
|
3,2
|
5,6
|
|
4
|
|
1,1
|
11,3
|
2,8
|
5,6
|
|
5
|
|
1,2
|
13,1
|
2,6
|
5,8
|
|
6
|
|
1,3
|
15,1
|
2,7
|
6,3
|
|
7
|
|
1,4
|
16,3
|
2,5
|
6,4
|
|
8
|
|
1,5
|
16,5
|
2,3
|
6,2
|
|
9
|
|
1,6
|
15,2
|
2
|
5,5
|
В рассматриваемом примере в качестве признака выбираем интервал №2, так
как комбинированная информативность, соответствующая ему, максимальна. Хотя
статистическая и эвристическая информативности достигают своих максимальных
значений на других интервалов, но исходя из приведенного алгоритма, эти
интервалы не выбираются в качестве признаков.
В результате вычислительных экспериментов было предложено в качестве
порога взять
, и для дальнейшего рассмотрения оставлять только признаки,
удовлетворяющие условию
. Таким образом, были получены
конкретные интервалы для признаков (см. Приложение, Таблица 1).
В качестве примера приведены некоторые высокоинформативные признаки (см.
Таблица 12).
Таблица 12 - Примеры высокоинформативных признаков
|
№
|
Признак
|
|
Диапазон измерения
|
Доля молочных желез класса "Здоровые", у которых
наблюдается признак
|
Доля молочных желез класса "Больные", у которых
наблюдается признак
|
Комбинированная информативность
|
|
1
|
|
-0,75
|
РТМ
|
1
|
15
|
12,2
|
|
2
|
|
-0,55
|
РТМ
|
3
|
24
|
10,3
|
|
3
|
|
0,9
|
|
3
|
23
|
9,8
|
|
4
|
|
1,2
|
РТМ
|
1
|
12
|
9,7
|
|
5
|
|
-0,75
|
РТМ
|
2
|
17
|
9,0
|
|
6
|
|
1,3
|
РТМ
|
2
|
17
|
9,0
|
|
7
|
|
0,41
|
РТМ
|
8
|
36
|
8,5
|
|
8
|
|
-0,6
|
РТМ
|
2
|
16
|
8,5
|
|
9
|
|
-0,95
|
РТМ
|
2
|
16
|
8,3
|
|
10
|
|
0,67
|
РТМ
|
2
|
15
|
7,7
|
Глава 6.
Характеристические признаки заболеваний молочной железы
Поиск характеристических признаков заключался в нахождении подобластей, которым
принадлежат значения функции, соответствующие молочным железам одного класса,
но не принадлежат значения функции, соответствующие молочным железам другого.
Находились подобласти, на которых множество значений функций
, соответствующие множеству векторов
, будет пустым, т.е. соответствующая
эвристическая информативность бесконечна. Из этих подобластей выбиралась
подобласть, содержащая множество значений функций
, которому соответствует наибольшее
количество векторов
.
Рассмотрим пример поиска характеристических признаков для функции
(см. Таблица 13).
Таблица 13 - Поиск характеристических признаков
|
№
|
Признак
|
|
Диапазон
|
Количество молочных желез класса "Здоровые", у
которых наблюдается признак
|
Количество молочных желез класса "Больные", у
которых наблюдается признак
|
|
1
|
|
-1,95
|
РТМ
|
0
|
4
|
|
2
|
|
-1,85
|
РТМ
|
0
|
4
|
|
3
|
|
-1,75
|
РТМ
|
0
|
8
|
|
4
|
|
-1,65
|
РТМ
|
0
|
12
|
|
5
|

|
РТМ
|
0
|
12
|
|
6
|
|
-1,45
|
РТМ
|
0
|
14
|
|
7
|
|
-1,35
|
РТМ
|
0
|
17
|
|
8
|
|
-1,25
|
РТМ
|
0
|
26
|
|
9
|
|
-1,15
|
РТМ
|
0
|
40
|
|
10
|
|
-1,05
|
РТМ
|
0
|
47
|
|
11
|
|
-0,95
|
РТМ
|
1
|
55
|
Как видно из приведенной таблицы, первым 10 интервалам принадлежат
значения
, соответствующие молочным железам
только класса "Больные". В интервал №11 попадают значения
, соответствующие молочным железам
обоих классов, поэтому останавливаем поиск и выбираем предыдущий интервал как
характеристический признак.
Таким образом, были получены конкретные интервалы для признаков (см.
Приложение, Таблица 2).
В качестве примера приведены некоторые характеристические признаки (см.
Таблица 14).
Таблица 14 - Наиболее значимые характеристические признаки
|
№
|
Признак
|
|
Диапазон
|
Количество молочных желез класса "Здоровые", у
которых наблюдается признак
|
Количество молочных желез класса "Больные", у
которых наблюдается признак
|
|
1
|
|
0,7
|
|
0
|
68
|
|
2
|
|
1,6
|
РТМ
|
0
|
48
|
|
3
|
|
-1,05
|
РТМ
|
0
|
47
|
|
4
|
|
1,65
|
РТМ
|
0
|
39
|
|
5
|
|
-1,15
|
РТМ
|
0
|
33
|
|
6
|
|
-0,9
|
РТМ
|
0
|
31
|
|
7
|
|
-1,25
|
РТМ
|
0
|
29
|
|
8
|
|
0,787
|
РТМ
|
0
|
27
|
|
9
|
|
-1,42
|
РТМ
|
0
|
26
|
|
10
|
|
5,24
|
ИК
|
0
|
25
|
Глава 7.
Алгоритм классификации пациенток по данным комбинированной термометрии
.1 Алгоритм
диагностики. Критерий классификации. Критерии оценки эффективности алгоритма
Алгоритм диагностики основан на применении группы выделяющих и
характеристических признаков диагностики. Было отобрано 2 ряда признаков.
Признаки, основанные на выявлении молочных желез класса "Больные" (77
признаков, см. Приложение, Таблица 1), и характеристические признаки (84
признаков, см. Приложение, Таблица 2).
Данный алгоритм состоит из пяти основных шагов:
· сначала используем набор характеристических признаков: если
хотя бы один из признаков выполнен, то молочную железу относим к классу
"Больные".
Для неклассифицированных молочных желез:
· каждой молочной железе приписываем вектор
, …,
, где n - количество
высокоинформативных признаков
· каждой молочной железе приписываем число
, где ai равно 0 в том случае, если
признак i не выполняется, иначе ai равно информативности i-го признака;
· число S сравнивается с числом, являющимся "критерием
классификации" - S0. В зависимости от результата сравнения, молочная железа
относится либо к классу "Здоровые", либо к классу
"Больные";
· Если хоть одна молочная железа отнесена к молочным железам
больного пациента, то пациента диагностируем как больного, иначе как здорового.
Начнем с описания первого шага, а именно, с определения набора признаков.
Экспертный анализ, подтвержденный вычислительными экспериментами, показал, что
использование всех 77 (см. Приложение, Таблица 1) признаков не целесообразно.
Вызвано это в первую очередь тем, что многие из них являются "родственными".
После проведенного на основе экспертных оценок исключения наименее
информативных "родственных" признаков, был получен следующий набор
(см. Таблица 15).
Таблица 15 - Наиболее значимые характеристические признаки
|
№
|
Признак
|
|
Диапазон измерения
|
Комбинированная информативность
|
|
1
|
|
-0,75
|
РТМ
|
12,2
|
|
2
|
|
-0,55
|
РТМ
|
10,3
|
|
3
|
|
0,9
|
|
9,8
|
|
4
|
|
1,2
|
РТМ
|
9,7
|
|
5
|
|
-0,75
|
РТМ
|
9,0
|
|
6
|
|
1,3
|
РТМ
|
9,0
|
|
7
|
|
0,41
|
РТМ
|
8,5
|
|
8
|
|
-0,6
|
РТМ
|
8,5
|
|
9
|
|
-0,95
|
РТМ
|
8,3
|
|
10
|
|
0,67
|
РТМ
|
7,7
|
|
11
|
|
1,1
|
РТМ
|
7,7
|
|
12
|
|
0,69
|
РТМ
|
7,1
|
|
13
|
|
-0,4
|
РТМ
|
7,0
|
|
14
|
|
1
|
|
6,1
|
|
15
|
|
0,36
|
ИК
|
6,1
|
|
16
|
|
0,86
|
ИК
|
6,0
|
|
17
|
|
0,69
|
РТМ
|
5,9
|
|
18
|
|
0,9
|
ИК
|
5,9
|
|
19
|
|
-0,9
|
РТМ
|
5,5
|
|
20
|
|
0,7
|
|
5,5
|
|
21
|
|
0,63
|
ИК
|
5,4
|
|
22
|
|
0,9
|
ИК
|
5,4
|
|
23
|
|
-0,65
|
ИК
|
5,3
|
|
24
|
|
1,3
|
РТМ
|
5,3
|
|
25
|
|
-0,5
|
РТМ
|
5,1
|
|
26
|
|
1,05
|
РТМ
|
5,0
|
|
27
|
|
0,9
|
ИК
|
4,8
|
|
28
|
|
-0,34
|
РТМ
|
4,6
|
|
29
|
|
-0,65
|
РТМ
|
4,5
|
|
30
|
|
-0,71
|
ИК
|
4,4
|
|
31
|
|
0,5
|
ИК
|
4,4
|
|
32
|
|
0,4
|
ИК
|
4,4
|
|
33
|
|
1,25
|
ИК
|
4,2
|
|
34
|
|
-0,93
|
ИК
|
4,2
|
|
35
|
|
-0,1
|
ИК
|
4,0
|
|
36
|
|
-0,9
|
ИК
|
3,9
|
|
37
|
|
2,2
|
ИК
|
3,9
|
|
38
|
|
-0,48
|
РТМ
|
3,9
|
|
39
|
|
0,7
|
|
3,8
|
|
40
|
|
-0,86
|
ИК
|
3,8
|
|
41
|
|
1,15
|
РТМ
|
3,8
|
|
42
|
|
0,8
|
|
3,8
|
|
43
|
|
-0,39
|
РТМ
|
3,8
|
|
44
|
|
1,05
|
РТМ
|
3,7
|
|
45
|
|
-0,62
|
ИК
|
3,6
|
|
46
|
|
2,2
|
ИК
|
3,5
|
|
47
|

|
ИК
|
3,4
|
|
48
|
|
2,44
|
ИК
|
3,4
|
|
49
|
|
0,34
|
РТМ
|
3,3
|
|
50
|
|
1,3
|
ИК
|
3,3
|
|
51
|
|
1,87
|
РТМ
|
3,3
|
|
52
|
|
0,5
|
|
3,1
|
|
53
|
|
0,9
|
ИК
|
3,1
|
|
54
|
|
0,8
|
|
3,0
|
|
55
|
|
-1,3
|
ИК
|
2,9
|
|
56
|
|
-0,31
|
ИК
|
2,8
|
|
57
|
|
0,85
|
РТМ
|
2,8
|
|
58
|
|
0,34
|
ИК
|
2,7
|
|
59
|
|
-1,28
|
ИК
|
2,4
|
|
60
|
|
1,14
|
ИК
|
2,3
|
|
61
|
|
0,61
|
РТМ
|
2,3
|
|
62
|
|
-0,66
|
РТМ
|
2,3
|
|
63
|
|
-1,3
|
ИК
|
2,3
|
|
64
|
|
-0,31
|
РТМ
|
2,2
|
|
65
|
|
-0,65
|
РТМ
|
2,2
|
|
66
|
|
0,57
|
ИК
|
2,1
|
|
67
|
|
2,7
|
ИК
|
2,1
|
При использовании данного алгоритма важнейшим шагом является определение
"критерия классификации", по которому будет происходить распределение
молочной железы в тот или иной класс. Рассмотрим алгоритм поиска критерия
классификации. Вначале определим множество значений Sj, по определенной выше
формуле
,
где j - номер молочной железы (в нашем случае n=67).
Для того чтобы найти S0, вначале найдем "значимые" интервалы
области изменений для каждого класса. Чтобы разбить на интервалы, был выполнен
следующий алгоритм:
. Находим подобласти
, где sl определяется по формуле:
. Если значение
больше значения sl, то относим молочную железу к классу
"Больные", иначе к классу "Здоровые".
. Если проверены все молочные железы, то находим специфичность
(доля верно диагностированных здоровых):
где m - количество молочных желез класса "Здоровые", правильно
классифицированных, M - общее количество молочных желез класса
"Здоровые"
и чувствительность (доля позитивных результатов теста в группе больных
пациенток):
где n - количество молочных желез класса "Больные", правильно
классифицированных, N - общее количество молочных желез класса
"Больные".
4. Каждой подобласти ставится в соответствие число
. Находим максимум среди
:
который достигается на множестве
.
6. Выбираем критерий классификации
.
В результате работы алгоритма, был найден критерий классификации
.
Найденные алгоритмы проверялись на обучающей выборке из 550 молочных
желез (80 молочных желез пациенток здоровых и 470 молочных желез пациенток с
заболеваниями молочных желез). При проверке была достигнута точность - 89,5%,
специфичность - 75% и чувствительность - 91,9%.
7.2.
Минимизация набора высокоинформативных признаков для первого алгоритма
Получив критерий диагностики, стоит отметить, что точность диагностики
здоровых пациенток (специфичность) оставляет желать лучшего. Одной из причин
последнего является недостаточно оптимальный выбор используемых диагностических
признаков. Было решено, с помощью вычислительных экспериментов произвести поиск
более эффективного набора признаков.
При использовании первоначального набора высокоинформативных признаков с
выбранным критерием классификации, в результате диагностики была достигнута
точность в 89,5%, специфичность- 75%, чувствительность - 91,9%.
Минимизация набора происходила следующим образом:
Шаг 1. Берем два высокоинформативных признака.
Шаг 2. Проводим по выбранным признакам диагностику.
Шаг 3. Фиксируем специфичность
и чувствительность
, полученные в результате
диагностики. Вычисляем
.
Шаг 4. К выбранным признакам добавляем следующий по информативности
признак.
Шаг 5. Проводим диагностику.
Шаг 6. Фиксируем специфичность
и чувствительность
. Вычисляем
.
Шаг 7. Если
, то признак остается в наборе, иначе признак исключается.
Шаг 8. Повторяются шаги с 4-7.
В результате применения указанного выше алгоритма был получен следующий
набор признаков.
Таблица 16 - Признаки для алгоритма классификации
|
№
|
Признак
|
|
Диапазон измерения
|
Комбинированная информативность
|
|
1
|
|
-0,75
|
РТМ
|
12,2
|
|
2
|
|
-0,55
|
РТМ
|
10,3
|
|
3
|
|
0,9
|
|
9,8
|
|
4
|
|
1,2
|
РТМ
|
9,7
|
|
5
|
|
-0,75
|
РТМ
|
9,0
|
|
6
|
|
1,3
|
РТМ
|
9,0
|
|
7
|
0,41
|
РТМ
|
8,5
|
|
|
8
|
-0,6
|
РТМ
|
8,5
|
|
|
9
|
-0,95
|
РТМ
|
8,3
|
|
|
10
|
0,69
|
РТМ
|
7,1
|
|
|
11
|
1
|
|
6,1
|
|
|
12
|
0,36
|
ИК
|
6,1
|
|
|
13
|
0,86
|
ИК
|
6,0
|
|
|
14
|
0,9
|
ИК
|
5,9
|
|
|
15
|
-0,65
|
ИК
|
5,3
|
|
|
16
|
-0,71
|
ИК
|
4,4
|
|
|
17
|
1,25
|
ИК
|
4,2
|
|
|
18
|
0,7
|
|
3,8
|
|
|
19
|
0,8
|
|
3,8
|
|
|
20
|
-0,39
|
РТМ
|
3,8
|
|
|
21
|
-0,62
|
ИК
|
3,6
|
|
Затем, с помощью алгоритма описанного в предыдущем параграфе, был найден
новый критерий
. Таким образом, при выполнении неравенства
молочная железа будет относиться к
классу "Больные", в противном случае - к классу "Здоровые".
При проверке на обучающей выборке из 550 молочных желез пациенток (80
молочных желез здоровых пациенток и 470 молочных желез пациенток с
заболеваниями молочных желез) на основе 21 признака, была достигнута точность -
90,9%, специфичность - 85% и чувствительность - 91,9%.
.3 Проверка
алгоритма диагностики на тестовых выборках
Алгоритм с использованием минимизированного набора признаков был проверен
на тестовых выборках.
В связи с малым количеством данных выборка была поделена на обучающую и
тестовую (тестовая выборка 1) случайным образом. Выборка была разделена
следующим образом: в обучающую выборку были включены молочные железы двух
классов: молочные железы здоровых пациенток (40 молочных желез) и молочные
железы больных пациенток (234 молочных железы). В тестовую выборку 1 отнесли
молочные железы, которые не были включены в обучающую.
Тестовую выборку 1 составляют молочные железы двух классов: здоровые
молочные железы здоровых пациенток (40 молочных желез) и молочных желез больных
пациенток (236 молочных желез).
Для признаков
из минимизированного набора были рассчитаны новые интервалы и, соответствующие
им, информативности при помощи алгоритма диагностики, описанного в параграфе
7.1.
В результате был получен следующий набор признаков.
Таблица 17 - Признаки для алгоритма классификации
|
№ПризнакДиапазон измеренияКомбинированная информативность
|
|
|
|
|
|
1
|
-0,88
|
РТМ
|
9,8
|
|
|
2
|
|
1,1
|
РТМ
|
8,4
|
|
3
|
|
1
|
|
7,8
|
|
4
|
2,1
|
|
5,9
|
|
|
5
|
|
1,2
|
РТМ
|
5,9
|
|
6
|
-0,65
|
ИК
|
5,3
|
|
|
7
|
1,8
|
|
4,6
|
|
|
8
|
1,9
|
|
4,5
|
|
|
9
|
|
1,05
|
РТМ
|
4,1
|
|
10
|
2,2
|
ИК
|
4,0
|
|
|
11
|
0,44
|
РТМ
|
3,9
|
|
|
12
|
|
0,55
|
ИК
|
3,8
|
|
13
|
0,71
|
РТМ
|
3,2
|
|
|
14
|
|
0,8
|
РТМ
|
3,1
|
|
15
|
0,48
|
ИК
|
3,1
|
|
|
16
|
-0,75
|
ИК
|
3,0
|
|
|
17
|
|
-0,5
|
РТМ
|
2,6
|
|
18
|
-0,66
|
ИК
|
2,6
|
|
|
19
|
-0,19
|
РТМ
|
2,5
|
|
|
20
|
|
-0,55
|
РТМ
|
2,4
|
|
21
|
|
0,75
|
РТМ
|
2,4
|
|
22
|
0,32
|
РТМ
|
2,3
|
|
|
23
|
|
-0,5
|
РТМ
|
2,2
|
Также был
найден новый критерий
.
В результате
диагностики на тестовой выборке 1 была получена точность 87,6%, специфичность -
85% и чувствительность 88%.
Ближе к концу исследования была получена база данных больных пациенток. В
результате анализа была сформирована независимая тестовая выборка (тестовая
выборка 2). Она включает в себя информацию о 1148 молочных железах больных
пациенток. Данные тестовой выборки 2 делятся в соответствии с преобладанием
того или иного нарушения следующим образом:
· данные здоровых молочных желез больных пациенток (51 молочных
желез);
· данные молочных желез с наличием раковой опухоли (98 молочных
желез);
· данные молочных желез с наличием фиброзно-кистозной
мастопатии (937 молочных желез);
· данные молочных желез с наличием прочих нарушений таких, как
гинекомастия, фиброаденома, мастит (62 молочных желез).
В результате
диагностики на независимой тестовой выборке 2 была получена чувствительность
91,5%.
Заключение
Подводя
итоги, стоит отметить, что все поставленные цели и задачи были достигнуты. При
этом в данной тематике есть еще много материала для дальнейших исследований.
В данной
работе было проверено около 100 закономерностей. Были выделены характерные
закономерности поведения температурных полей различных групп пациенток, которые
были сформированы в признаки.
Одним из
немаловажных результатов работы является тщательный анализ влияния различных
факторов, таких как возраст пациента и количество беременностей и родов, на
результаты измерений комбинированной термометрии, позволивший в процессе
исследования сформировать обучающую и тестовую выборки. Данные результаты
описаны в статье, которая принята к публикации [5].
Основными
результатами работы является:
· разработанный
алгоритм поиска высокоинформативных признаков по данным комбинированной
термометрии;
· разработанный
алгоритм поиска характеристических признаков по данным комбинированной
термометрии;
· разработанные
и реализованные алгоритмы диагностики пациенток, на основе найденных признаков.
Впервые был
разработан алгоритм на основе совокупности высокоинформативных и
характеристических признаков.
Разработанные
алгоритмы предварительно прошли проверку на тестовых выборках.
Результаты
проверки приведены ниже (см. Таблица 18).
Таблица 18 -
Результаты проверки
|
Точность
|
Точность диагностики здоровых (специфичность)
|
Точность диагностики больных (чувствительность)
|
|
Обучающая выборка
|
90,9%
|
85%
|
91,9%
|
|
Тестовая выборка 1
|
87,6%
|
85%
|
88%
|
|
Тестовая выборка 2
|
|
|
91,5%
|
Полученные
данные на основе методики дают результат, приемлемый для использования в
интеллектуальном аппаратно-программном комплексе диагностики заболевания
молочных желез.
Список
литературы
1. Бурдина
Л.М. Применение радиотермометра диагностического компьютеризированного
интегральной глубинной температуры ткани для диагностики рака молочной железы /
Бурдина Л.М., Хайленко В.А., Кижаев Е.В. и др. // Пособие для врачей. - М. -
1999 г. - С. 35
. Вайсблат
А.В. Использование микроволновой радиотермометрии в диагностике рака молочной
железы / Вайсблат А.В., Веснин С.Г., Конкин М.А. и др. [сайт]. URL:
#"818215.files/image077.gif">
-0,75
|
РТМ
|
15
|
12,2
|
|
2
|
|
-0,55
|
РТМ
|
3
|
24
|
10,3
|
|
3
|
|
0,9
|
|
3
|
23
|
9,8
|
|
4
|
|
1,2
|
РТМ
|
1
|
12
|
9,7
|
|
5
|
|
-0,75
|
РТМ
|
2
|
17
|
9,0
|
|
6
|
|
1,3
|
РТМ
|
2
|
17
|
9,0
|
|
7
|
|
0,41
|
РТМ
|
8
|
36
|
8,5
|
|
8
|
|
-0,6
|
РТМ
|
2
|
16
|
8,5
|
|
9
|
|
-0,95
|
РТМ
|
2
|
16
|
8,3
|
|
10
|
|
0,67
|
РТМ
|
2
|
15
|
7,7
|
|
11
|
|
1,1
|
РТМ
|
1
|
10
|
7,7
|
|
12
|
|
0,69
|
РТМ
|
1
|
9
|
7,1
|
|
13
|
|
-0,4
|
РТМ
|
4
|
21
|
7,0
|
|
14
|
|
1
|
|
1
|
8
|
6,1
|
|
15
|
|
0,36
|
ИК
|
4
|
19
|
6,1
|
|
16
|
|
0,86
|
ИК
|
8
|
28
|
6,0
|
|
17
|
|
0,69
|
РТМ
|
2
|
12
|
5,9
|
|
18
|
|
0,9
|
ИК
|
15
|
41
|
5,9
|
|
19
|
|
-0,9
|
РТМ
|
2
|
11
|
5,5
|
|
20
|
|
0,7
|
|
1
|
7
|
5,5
|
|
21
|
|
0,63
|
ИК
|
8
|
26
|
5,4
|
|
22
|
|
0,9
|
ИК
|
7
|
24
|
5,4
|
|
23
|
|
-0,65
|
ИК
|
13
|
35
|
5,3
|
|
24
|
|
1,3
|
РТМ
|
2
|
11
|
5,3
|
|
25
|
|
-0,5
|
РТМ
|
9
|
27
|
5,1
|
|
26
|
|
1,05
|
РТМ
|
6
|
20
|
5,0
|
|
27
|
|
0,9
|
ИК
|
21
|
46
|
4,8
|
|
28
|
|
-0,34
|
РТМ
|
9
|
25
|
4,6
|
|
29
|
|
-0,65
|
РТМ
|
4
|
15
|
4,5
|
|
30
|
|
-0,71
|
ИК
|
3
|
12
|
4,4
|
|
31
|
|
0,5
|
ИК
|
2
|
9
|
4,4
|
|
32
|
|
0,4
|
ИК
|
17
|
37
|
4,4
|
|
33
|
|
1,25
|
ИК
|
2
|
9
|
4,2
|
|
34
|
|
-0,93
|
ИК
|
2
|
9
|
4,2
|
|
35
|
|
-0,1
|
ИК
|
4
|
14
|
4,0
|
|
36
|
|
-0,9
|
ИК
|
7
|
19
|
3,9
|
|
37
|
|
2,2
|
ИК
|
1
|
5
|
3,9
|
|
38
|
|
-0,48
|
РТМ
|
2
|
8
|
3,9
|
|
39
|
|
0,85
|
|
1
|
5
|
3,8
|
|
40
|
|
0,7
|
|
1
|
5
|
3,8
|
|
41
|
|
-0,86
|
ИК
|
1
|
5
|
3,8
|
|
42
|
|
1,15
|
РТМ
|
3
|
11
|
3,8
|
|
43
|
|
0,8
|
|
2
|
8
|
3,8
|
|
44
|
|
-0,39
|
РТМ
|
12
|
27
|
3,8
|
|
45
|
|
1,05
|
РТМ
|
2
|
8
|
3,7
|
|
46
|
|
1
|
|
1
|
5
|
3,7
|
|
47
|
|
0,85
|
|
1
|
5
|
3,7
|
|
48
|
|
-0,59
|
РТМ
|
2
|
8
|
3,7
|
|
49
|
|
-0,62
|
ИК
|
12
|
26
|
3,6
|
|
50
|
|
2,2
|
ИК
|
4
|
12
|
3,5
|
|
51
|
|
-0,8
|
ИК
|
4
|
12
|
3,4
|
|
52
|
|
2,44
|
ИК
|
4
|
12
|
|
53
|
|
0,34
|
РТМ
|
7
|
17
|
3,3
|
|
54
|
|
1,3
|
ИК
|
2
|
7
|
3,3
|
|
55
|
|
1,87
|
РТМ
|
2
|
7
|
3,3
|
|
56
|
|
1,1
|
|
10
|
22
|
3,2
|
|
57
|
|
1
|
|
1
|
4
|
3,1
|
|
58
|
|
0,7
|
|
1
|
4
|
3,1
|
|
59
|
|
0,5
|
|
1
|
4
|
3,1
|
|
60
|
|
0,9
|
ИК
|
6
|
14
|
3,1
|
|
61
|
|
0,8
|
|
6
|
14
|
3,0
|
|
62
|
|
-1,3
|
ИК
|
1
|
4
|
2,9
|
|
63
|
|
-0,31
|
ИК
|
3
|
8
|
2,8
|
|
64
|
|
0,85
|
РТМ
|
6
|
13
|
2,8
|
|
65
|
|
0,34
|
ИК
|
3
|
8
|
2,7
|
|
66
|
|
1,1
|
|
3
|
8
|
2,7
|
|
67
|
|
-1,28
|
ИК
|
2
|
5
|
2,4
|
|
68
|
|
1,14
|
ИК
|
1
|
3
|
2,3
|
|
69
|
|
0,61
|
РТМ
|
4
|
9
|
2,3
|
|
70
|
|
-0,66
|
РТМ
|
2
|
5
|
2,3
|
|
71
|
|
-1,3
|
ИК
|
1
|
3
|
2,3
|
|
72
|
|
1,2
|
|
3
|
7
|
2,2
|
|
73
|
|
-0,31
|
РТМ
|
3
|
7
|
2,2
|
|
74
|
|
-0,65
|
РТМ
|
3
|
7
|
2,2
|
|
75
|
|
0,8
|
|
1
|
3
|
2,2
|
|
76
|
|
0,57
|
ИК
|
1
|
3
|
2,1
|
|
77
|
|
2,7
|
ИК
|
1
|
3
|
2,1
|
Таблица 2. Характеристические признаки.
|
№
|
Признак
|
|
Диапазон
|
Количество молочных желез класса "Здоровые", у
которых наблюдается признак
|
Количество молочных желез класса "Больные", у
которых наблюдается признак
|
|
1
|
|
-1,05
|
РТМ
|
0
|
47
|
|
2
|
|
-1,15
|
РТМ
|
0
|
33
|
|
3
|
|
-1,25
|
РТМ
|
0
|
29
|
|
4
|
|
-1,8
|
РТМ
|
0
|
7
|
|
5
|
|
-0,9
|
РТМ
|
0
|
31
|
|
6
|
|
-1,25
|
РТМ
|
0
|
17
|
|
7
|
|
-1,3
|
РТМ
|
0
|
24
|
|
8
|
|
0,6
|
|
0
|
8
|
|
9
|
|
0,8
|
|
0
|
16
|
|
10
|
|
0,8
|
|
0
|
13
|
|
11
|
|
1
|
|
0
|
14
|
|
12
|
|
1
|
|
0
|
15
|
|
13
|
|
0,8
|
|
0
|
13
|
|
14
|
|
0,7
|
|
0
|
9
|
|
15
|
|
0,25
|
|
0
|
11
|
|
16
|
|
0,25
|
|
0
|
9
|
|
17
|
|
0,3
|
|
0
|
8
|
|
18
|
|
0,6
|
|
0
|
20
|
|
19
|
|
0,65
|
|
0
|
12
|
|
20
|
|
0,45
|
|
0
|
8
|
|
21
|
|
0,45
|
|
0
|
15
|
|
22
|
|
0,7
|
|
0
|
68
|
|
23
|
|
0,4
|
|
0
|
14
|
|
24
|
|
0,3
|
|
0
|
14
|
|
25
|
|
0,4
|
|
0
|
10
|
|
26
|
|
0,4
|
|
0
|
8
|
|
27
|
|
0,2
|
|
0
|
8
|
|
|
|
|
|
|
|
28
|
|
0,2
|
|
0
|
7
|
|
29
|
|
1,65
|
РТМ
|
0
|
14
|
|
30
|
|
1,25
|
РТМ
|
0
|
24
|
|
31
|
|
1,45
|
РТМ
|
0
|
15
|
|
32
|
|
1,7
|
РТМ
|
0
|
21
|
|
33
|
|
1,6
|
РТМ
|
0
|
48
|
|
1,65
|
РТМ
|
0
|
39
|
|
35
|
|
1,9
|
РТМ
|
0
|
12
|
|
36
|
|
3,7
|
|
0
|
2
|
|
37
|
|
4
|
|
0
|
1
|
|
39
|
|
3,1
|
РТМ
|
0
|
7
|
|
40
|
|
5,24
|
ИК
|
0
|
25
|
|
41
|
|
0,94
|
ИК
|
0
|
13
|
|
42
|
|
2,05
|
ИК
|
0
|
7
|
|
43
|
|
1,9
|
ИК
|
0
|
9
|
|
44
|
|
1,6
|
ИК
|
0
|
17
|
|
45
|
|
2,7
|
ИК
|
0
|
12
|
|
46
|
|
2,5
|
ИК
|
0
|
21
|
|
47
|
|
1,28
|
РТМ
|
0
|
16
|
|
48
|
|
0,71
|
РТМ
|
0
|
9
|
|
49
|
|
0,57
|
РТМ
|
0
|
11
|
|
50
|
|
0,69
|
РТМ
|
0
|
9
|
|
51
|
|
0,89
|
РТМ
|
0
|
24
|
|
52
|
|
1,3
|
ИК
|
0
|
14
|
|
53
|
|
-1,42
|
РТМ
|
0
|
26
|
|
54
|
|
-0,69
|
РТМ
|
0
|
24
|
|
55
|
|
-0,89
|
РТМ
|
0
|
14
|
|
56
|
|
-0,91
|
РТМ
|
0
|
6
|
|
57
|
|
-0,69
|
РТМ
|
0
|
5
|
|
58
|
|
-1,22
|
ИК
|
0
|
17
|
|
59
|
|
-1,26
|
ИК
|
0
|
6
|
|
60
|
|
-0,4
|
ИК
|
0
|
23
|
|
61
|
|
-1,4
|
ИК
|
0
|
7
|
|
62
|
|
-0,67
|
РТМ
|
0
|
13
|
|
63
|
|
-1,02
|
ИК
|
0
|
15
|
|
64
|
|
0,787
|
РТМ
|
0
|
27
|
|
65
|
|
0,27
|
РТМ
|
0
|
3
|
|
66
|
|
-1,7
|
РТМ
|
0
|
14
|
|
67
|
|
-1,3
|
РТМ
|
0
|
4
|
|
68
|
|
2,3
|
РТМ
|
0
|
18
|
|
69
|
|
2,3
|
РТМ
|
0
|
13
|
|
70
|
|
2,1
|
РТМ
|
0
|
8
|
|
71
|
|
1,5
|
РТМ
|
0
|
13
|
|
72
|
|
1,7
|
РТМ
|
0
|
14
|
|
73
|
|
2,2
|
РТМ
|
0
|
17
|
|
74
|
|
2,3
|
РТМ
|
0
|
18
|
|
75
|
|
2,5
|
ИК
|
0
|
9
|
|
76
|
|
2,1
|
ИК
|
0
|
10
|
|
77
|
|
2,1
|
ИК
|
0
|
5
|
|
78
|
|
2,8
|
ИК
|
0
|
13
|
|
79
|
|
2,5
|
ИК
|
0
|
17
|
|
80
|
|
-1,8
|
ИК
|
0
|
11
|
|
81
|
|
-1,4
|
ИК
|
0
|
17
|
|
82
|
|
-1,4
|
ИК
|
0
|
16
|
|
83
|
|
-1,6
|
ИК
|
0
|
7
|
|
84
|
|
-1,1
|
ИК
|
0
|
12
|