Пути увеличения стоимости ОАО 'Калугаприбор'

  • Вид работы:
    Курсовая работа (т)
  • Предмет:
    Финансы, деньги, кредит
  • Язык:
    Русский
    ,
    Формат файла:
    MS Word
    272,96 Кб
  • Опубликовано:
    2015-03-15
Вы можете узнать стоимость помощи в написании студенческой работы.
Помощь в написании работы, которую точно примут!

Пути увеличения стоимости ОАО 'Калугаприбор'

Содержание

Введение

Глава 1. Теоретические и методологические аспекты оценки стоимости

.1 Сравнительный и доходный подходы к оценке

.2 Метод Гордона

Глава 2. Оценка рыночной стоимости ОАО "Калугаприбор"

.1 Расчет рыночной стоимости акций ОАО «Калугаприбор» по методу капитализации дивидендов

.2 Итоговая величина стоимости

Глава 3. Пути увеличения стоимости ОАО «Калугаприбор»

.1 Определение компенсирующего изменения объема реализации при изменении цен и затрат

.2 Многофакторный операционный анализ

.3 Расчет потребности в дополнительном финансировании

Заключение

Список литературы

Приложения

Введение

С каждым годом оценка компаний все более актуальна и востребована и становится необходимым инструментом ведения современного бизнеса. Вопрос о том, сколько может стоить компания, волнует не только практикующих специалистов-оценщиков, но представляет интерес для руководителей компаний, аналитиков, финансовых консультантов, представителей государственного сектора и т.д.

Оценка рыночной стоимости бизнеса необходима при совершении сделок купли-продажи, внесении вкладов в уставный капитал, определении стоимости залога.

Также она нужна в сделках по слиянию и поглощению, при подготовке отчетности компаний в соответствии с требованиями международных стандартов, для эффективного управления портфелем активов, принятия стратегических и управленческих решений.

Помимо всего прочего, оценка - это творческая и ответственная деятельность, которая требует от специалиста понимания макроэкономических, отраслевых, финансовых, бухгалтерских, юридических вопросов, точного знания методик и подходов к оценке, которые непрерывно совершенствуются и развиваются.

Цель работы - оценка рыночной стоимости ОАО "Калугаприбор" и разработка рекомендаций, направленных на совершенствование управления стоимостью в ОАО "Калугаприбор".

В соответствие с поставленной целью необходимо решить следующие задачи:

-  обзор теоретических и методологических аспектов оценки стоимости бизнеса в целях управления собственным капиталом;

-  оценка рыночной стоимости ОАО "Калугаприбор" с помощью затратного, доходного и рыночного подходов;

-       разработка рекомендаций, направленных на совершенствование управления стоимостью в ОАО "Калугаприбор".

Объект исследования - открытое акционерное общество "Калугаприбор".

Предмет исследования - экономические отношения, складывающиеся в процессе управления стоимостью предприятий.

Методологической базой исследования послужили труды отечественных и зарубежных учёных по оценке бизнеса, таких как Грязнова А.Г., Лаврухина Н.В., Есипов В.Е, Щербаков В.А. и др.

Курсовая работа состоит из введения, трёх глав, заключения, списка литературы и приложений.

Глава 1. Теоретические и методологические аспекты оценки стоимости

 

.1 Сравнительный и доходный подходы к оценке


Наиболее предпочтительным подходом к оценке рыночной стоимости бизнеса можно назвать сравнительный подход, т.к. он больше всего опирается на рыночную информацию и отражает ситуацию на рынке в конкретный момент времени.

В соответствии с требованиями международных стандартов финансовой отчетности (IFRS) результатам, полученным при применении сравнительного подхода, придается наибольший вес.

Тем не менее неразвитость инструментов российского фондового рынка, малый объем сделок купли-продажи, слияний и поглощений на рынке, небольшой объем доступной и достоверной финансовой информации о компаниях и сделках ограничивает использование сравнительного подхода к оценке стоимости компаний и пакетов акций [10, C. 43].

В связи с этим методы доходного подхода зачастую являются наиболее употребительными при оценке стоимости бизнеса.

Доходный подход основывается на принципе ожидания, когда потенциальный покупатель делает вывод о стоимости собственности в зависимости от предполагаемой отдачи, которая может быть получена в будущем от владения.

Рыночная стоимость определяется путем пересчета будущих денежных потоков, генерируемых собственностью, в настоящую стоимость с помощью коэффициента капитализации или ставки дисконтирования.

Широко известны два метода оценки в рамках доходного подхода:

основанный на капитализации доходов;

основанный на дисконтировании будущих доходов.

Конечно, существует большее количество видов моделей в рамках доходного подхода, но оценка на основе дисконтирования денежных потоков служит основой для построения всех остальных методов.

Капитализация представляет собой деление текущего дохода на соответствующую норму прибыли (коэффициент капитализации).

Метод дисконтирования денежных потоков предполагает дисконтирование будущих денежных потоков от прогнозируемой деятельности компании, включая стоимость компании в послепрогнозный период (терминальную), и приведение их к текущей стоимости.

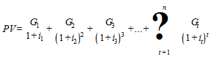
Основная формула расчета стоимости выглядит следующим образом [15, C. 201]:

,

Где PV - текущая стоимость,

 - денежный поток периода t,

 - ставка дисконтирования денежного потока периода t,- число периодов.

Рассмотрим, что объединяет данные методы оценки. Непременными условиями для использования оценочных подходов, основанных на капитализации доходов или дисконтировании будущих денежных потоков, являются возможность определить будущие потоки доходов с разумной степенью достоверности и достаточная вероятность того, что деятельность компании будет развиваться прогнозируемыми темпами.

Основная сложность при прогнозировании денежных потоков - построение достоверных долгосрочных макроэкономических и отраслевых прогнозов.

Например, в настоящее время среднесрочный прогноз Министерства экономического развития РФ относительно социально-экономического развития страны представлен лишь до 2013 года, а долгосрочный прогноз до 2020 года был опубликован еще до кризиса и с тех пор не корректировался.

Стоимость, полученная методами капитализации доходов и дисконтирования денежных потоков, отражает стоимость всей компании.

Поэтому при оценке миноритарных пакетов акций, возможно, потребуется применение скидки за отсутствие контроля. Также оба подхода обычно используются для определения стоимости собственного капитала компании, очищенной от долговой нагрузки [16, C. 200].

Для обоих методов ставки и коэффициенты определяются на основе данных рынка с использованием принципов полезности, ожидания и замещения.

Коэффициент капитализации и ставка дисконтирования сильно взаимосвязаны.

Ставка дисконтирования представляет собой общую ожидаемую ставку дохода, на которую инвестор вправе рассчитывать, приобретая определенный актив, с учетом риска, присущего ему.

Ставка дисконтирования используется для приведения к настоящему моменту времени денежных потоков будущего периода.

Она определяется на основе модели оценки капитальных активов (САРМ) или кумулятивным методом.

Коэффициент капитализации компании обычно рассчитывается на основе ставки дисконтирования путем вычитания из нее ожидаемого среднегодового темпа роста доходов компании.

Он непосредственно используется при расчете стоимости компании или как делитель, или как множитель и применяется к потоку дохода одного года.

Коэффициент капитализации компании обычно ниже, чем ее ставка дисконтирования.

Взаимосвязь метода дисконтирования денежных потоков и метода капитализации прослеживается не только в расчете ставки капитализации и ставки дисконтирования.

В рамках метода дисконтирования денежных потоков необходимо рассчитать стоимость компании в постпрогнозный период (как правило, это первый год после достижения стабильного темпа роста в прогнозный период).

1.2 Метод Гордона

стоимость финансирование дивиденд

Из существующих методов оценки стоимости компании в терминальном году консультантами-оценщиками чаще всего используется метод Гордона, который по своей сути аналогичен подходу, основанному на капитализации доходов:- стоимость в постпрогнозном периоде - в конце последнего года прогнозного периода,

 - денежный поток первого года постпрогнозного периода,

 - ставка дисконтирования первого года постпрогнозного периода,- долгосрочные темпы роста денежного потока в постпрогнозном периоде.

Особенностью методов капитализации и дисконтирования денежных потоков является то, что, как правило, употребляется только один из методов, что обусловлено условиями применения данных подходов к оценке.

Однако это не исключает возможности расчета стоимости компании двумя методами одновременно.

Основные предпосылки использования метода прямой капитализации таковы:

величина текущего дохода стабильна, предсказуема или изменяется с постоянными темпами роста, т.е. в ближайшем будущем доходы от объекта останутся на уровне, близком к текущему;

текущая деятельность компании может дать определенное представление о ее будущей деятельности.

Метод, основанный на дисконтировании денежных потоков, является более подходящим, когда ожидается существенное изменение будущих доходов по сравнению с текущими, т.е. когда ожидается, что деятельность компании будет существенно отличаться от текущей или прошлой.

Особое внимание необходимо уделять компаниям, функционирование которых в будущем пойдет на спад (темп роста отрицательный) или экономическая жизнь которых в ближайшей перспективе прекратится (высока вероятность банкротства).

В данном случае использование обоих методов может быть под вопросом.

Необходимо отметить, что подход, основанный на дисконтировании будущих денежных потоков, опирается на события, которые только ожидаются. Поэтому стоимость, полученная с помощью этого подхода, напрямую зависит от точности прогноза оценщика, аналитика.

Этот подход не должен использоваться, когда не хватает данных для формирования обоснованного прогноза чистого денежного потока на достаточно длительный период в будущем [9, C. 210].

Тем не менее, даже используя грубые показатели прогноза, подход, основанный на дисконтировании будущих потоков доходов, может быть полезным для определения ориентировочной стоимости компании.

Помимо всего прочего, необходимо принимать во внимание этап жизненного цикла компании и отрасли, а также тип оцениваемой компании.

Очевидно, что применение метода капитализации в момент активного роста компании вряд ли даст адекватный результат стоимости.

Примерами являются телекоммуникационные компании, высокотехнологичный бизнес, занимающийся разработкой робототехники, инновационных продуктов, компании, находящиеся в процессе реструктуризации, и т.п.

Кроме того, при капитализации доходов необходимо понимать, что на все последующие периоды транслируется не только величина дохода компании, но и структура ее капитала, ставка доходности, уровень риска компании.

Таким образом, для выбора метода расчета стоимости необходимо понять, каким образом будут меняться доходы или денежные потоки компании в ближайшем будущем, проанализировать не только финансовое состояние оцениваемой компании и перспективы ее развития, но и макроэкономическую ситуацию в мире, стране, в отрасли, к которой относится компания, а также в смежных отраслях [14, C. 255].

Большую роль при выборе метода оценки играет цель проведения самой оценки и предполагаемое использование ее результатов.

Например, в случае, когда требуется в кратчайшие сроки определить рыночную стоимость бизнеса методами доходного подхода или подтвердить результаты, полученные методами в рамках сравнительного или затратного подходов, метод капитализации является оптимальным, поскольку позволит быстро получить относительно достоверный результат.

Также метод капитализации оправдан при подготовке аналитических материалов, когда не требуется глубокое погружение в финансовые потоки компании или это не представляется возможным.

Почти идеальный случай для употребления метода капитализации - арендный бизнес.

Во всех остальных случаях, особенно когда доходный подход является единственным, в рамках которого рассчитывается стоимость, более предпочтителен, на наш взгляд, метод дисконтирования денежных потоков.

Модель Гордона принято использовать для расчета стоимости реверсии (терминальной стоимости) при использовании метода дисконтированных денежных потоков (ДДП) для определения стоимости неизнашиваемых активов [1 и др.]. Расчетная зависимость имеет следующий вид:

 (1)

где: Срев - стоимость реверсии;

ЧОД - чистый операционный доход;

Y - ставка дисконтирования;

g - темп изменения ЧОД;

m - номер начального периода;

 - сокращенное обозначение формулы модели Гордона.

Для изнашиваемых активов, например объектов недвижимости, стоимость реверсии обычно принято определять другими методами. В качестве одного из вариантов расчета используется метод прямой капитализации ЧОД первого года постпрогнозного периода. Метод прямой капитализации (ПК) используется также в качестве самостоятельного метода для определения стоимости объектов недвижимости.

Однако в отличии от метода ДДП, метод ПК описывает другую модель владения объектом недвижимости. Этот метод предполагает, что инвестор вкладывая средства в недвижимость, владеет этим объектом до конца срока его жизни и при этом накапливает средства для последующего приобретения, после полного износа, аналогичного объекта недвижимости. То есть, тем самым сознательно уменьшает величину поступающих доходов на норму возврата капитала. Зависимость для метода ПК имеет следующий вид:

 (2)

где: Со - стоимость объекта недвижимости;- коэффициент капитализации;

f - норма возврата капитала;

индекс 0 - соответствует дате оценки;

индекс 1 - соответствует первому прогнозному периоду.

Поскольку методы ПК и ДДП отражают несколько разные модели поведения инвесторов, то нет ничего удивительного в том, что при определенных исходных данных они могут давать разные результаты.

Что бы продемонстрировать правильность представленной выше описательной модели метода ПК, преобразуем зависимость (2) к следующему виду:

 (3)


Таким образом, мы получили классическую формулу расчета отдачи на вложенный капитал. Например, для случая кредитования - отношение годовых выплат процентов по кредиту к величине кредита.

Поскольку норма возврата капитала рассчитывается с учетом срока оставшейся экономической жизни объекта (срока владения капиталом), то из этого следует, что метод ПК построен на модели, которая предполагает, что инвестор после вложения капитала в актив будет владеть им до конца срока его экономической жизни, что подтверждает вышесказанное [6, C. 201].

Справедливости ради следует отметить, что метод ДДП для неизнашиваемого актива в котором используется модель Гордона (поскольку не требуется возврат капитала) может так же рассматриваться как модель, которая предполагает бесконечное владение активом.

Зависимость (3) можно записать в следующем виде:

 (4)

Если ЧОД = const (g = 0), первое слагаемое в зависимости (4) соответствует формуле модели Гордона при отсутствии изменения ЧОД. Следовательно, подставляя в (4) формулу (1) и преобразуя полученную зависимость, получаем:

 (5)

Анализ зависимости (5) указывает на неожиданный, на первый взгляд, результат: изнашиваемый актив (имеющий конечный срок жизни) генерирует бесконечный поток доходов. Это можно объяснить следующим. Поскольку метод ПК предполагает возврат капитала к концу срока жизни актива, для приобретения аналогичного актива, то фактически модель, описываемая методом ПК, предполагает бесконечное владение периодически обновляемым активом с ограниченным сроком жизни [8, C. 211].

Если ЧОД  const (g  0), то в зависимости (5) следует использовать


где: Yо - ставка дисконтирования для метода ДДП.

Преобразуя зависимость (5) для этого случая, получаем:

 (6)

Анализ зависимости (6) позволяет сделать вывод, что методы ПК и ДДП в общем случае не только отражают разные модели поведения инвестора, но и характеризуются разными ставками доходности, что вполне логично, так как разные сроки владения объектом предполагают разные риски.

Однако, то что ставка доходности для метода ПК при растущем ЧОД, меньше чем ставка дисконтирования для метода ДДП, на первый взгляд, представляется не совсем логичным, поскольку обычно, чем больше срок владения активом (срок жизни актива) тем выше, в общем случае, риск дефолта. Именно этим объясняется, например, что на фондовом рынке чем позже срок погашения облигации, тем выше ее доходность. Однако в случае с изнашиваемым активом, по-видимому, наблюдается обратный эффект, связанный с тем, что со временем по мере накопления фонда возмещения и снижения стоимости актива величина потерь в случае дефолта снижается. Следовательно, интегральная величина риска дефолта в этом случае ниже.

На самом деле мысль о том, что при использовании метода ПК, необходимо учитывать темп роста ЧОД не только в числителе, но в знаменателе высказывалась, например в [2]. Однако отсутствие формулы в явном виде, привело к тому, что на практике обычно этот момент в расчетах не учитывался. По-видимому, в связи с этим результаты расчета методами ПК и ДДП при одинаковых исходных данных, в случае не постоянства ЧОД и одинаковых ставках доходности, отличались, иногда очень существенно, между собой. Причем результат метода ПК, при растущем ЧОД, всегда был ниже результата метода ДДП. Учет темпа роста ЧОД в знаменателе позволяет уменьшить это расхождение в результатах расчета. Но при этом различие в результатах может оставаться, ввиду изначальных различий в моделях. Зависимость (6), также может быть рекомендована для использования при капитализации ЧОД постпрогнозного периода в случае применения метода ДДП.

Глава 2. Оценка рыночной стоимости ОАО "Калугаприбор"

 

.1 Расчет рыночной стоимости акций ОАО «Калугаприбор» по методу капитализации дивидендов


По итогам финансово-хозяйственной деятельности ОАО «Калугаприбор» за период с 2011 по 2013 год на все типы акций начислялись и выплачивались дивиденды.

В таблице 1 приведены данные о размере дивидендов за вышеуказанный период по всем типам акций.

Таблица 1. Размер дивидендов по акциям ОАО «Калугаприбор»

Период

Размер дивидендов, начисленных на одну привилегированную акцию, руб.

Размер дивидендов, начисленных на одну обыкновенную акцию, руб.

2011

0,01

-

2012

1,320

0,220

2013

5,388

1,327


В соответствии с п. 6.4. Статьи 6 действующей на момент оценки редакции Устава компании «владельцы привилегированных акций имеют право на получение ежегодного фиксированного дивиденда. Общая сумма, выплачиваемая в качестве дивиденда по каждой привилегированной акции, устанавливается в размере 10 процентов чистой прибыли Общества по итогам последнего финансового года, разделенной на число акций, которые составляют 25 процентов Уставного капитала Общества. При этом, если сумма дивидендов, выплачиваемая Обществом по каждой обыкновенной акции в определенном году, превышает сумму, подлежащую выплате в качестве дивидендов по каждой привилегированной акции, размер дивиденда, выплачиваемого по последним, должен быть увеличен, выплачиваемого по обыкновенным акциям; владельцы привилегированных акций, по которым не определен размер дивидендов имеют право на получение дивидендов наравне с владельцами обыкновенных акций».

Оценщик не располагает данными, позволяющими детально спрогнозировать размер чистой прибыли ОАО «Калугаприбор» на среднесрочную перспективу, т.к. бизнес-планирование в Компании осуществляется с учетом планов реорганизации отрасли связи и пересмотра тарифной политики. Учет в прогнозах чистой прибыли результатов реорганизации отрасли путем укрупнения операторов связи недопустим, поскольку оценка рыночной стоимости акций для целей выкупа Обществом должна осуществляться без учета ее изменения в результате действия Общества, повлекшего возникновение права требования оценки и выкупа акций (п.3. ст. 75 закона «Об акционерных обществах»). Тарифная реформа отрасли также не начата, поэтому Оценщик счел единственно приемлемым использование при оценке акций доходным методом капитализацию дивидендов, ежегодное значение которых принято по фактическим данным за 2013 г. о размере чистой прибыли и доле в ней дивидендных выплат. Также Оценщик принял допущение о ежегодном увеличении дивидендных выплат на акцию в размере 10%.

Для расчета рыночной стоимости акций была использована приведенная ниже формула (1).


Ставка капитализации была рассчитана Оценщиком по следующей формуле (2):


Средняя номинальная доходность финансовых инструментов, рассчитанная Оценщиком на основе анализа доходности сопоставимых финансовых инструментов, составила 20% годовых. Средние темпы роста дивидендных выплат приняты в размере 10% годовых. Премия, отражающая риски вложения в акции компании для обыкновенных и привилегированных акций, принята в размере 17% и 15%, соответственно.

Таким образом, ставка капитализации для расчета стоимости акций Общества доходным методом составила 27% для обыкновенных и 25% для привилегированных акций.

В результате проведенных расчетов стоимость акций ОАО «Калугаприбор», полученных по методу капитализации дивидендов составила:

одной привилегированной акции - 21,61 руб.,

одной обыкновенной акции - 4,67 руб.

Расчет рыночной стоимости акций ОАО «Калугаприбор» по методу сделок

Для определения рыночной стоимости акций методом сделок Оценщик использовал методику, утвержденную распоряжением ФКЦБ №1087-р от 05.10.98 «Об утверждении порядка расчета рыночной цены эмиссионных ценных бумаг, допущенных к обращению на фондовой бирже или через организатора торговли на рынке ценных бумаг, и установлении предельной границы колебаний рыночной цены». Согласно данной методике, в случае, если на дату расчета рыночной цены в течение торгового дня по ценной бумаге было совершено менее десяти сделок через организатора торговли, рыночная цена рассчитывается как средневзвешенная цена одной ценной бумаги по последним десяти сделкам, совершенным в течение последних 90 торговых дней через организатора торговли.

В расчетах Оценщик использовал информацию о сделках с акциями ОАО «Калугаприбор» через организатора торгов (РТС) и реестродержателя ОАО «Калугаприбор» - ЗАО «Регистратор-Связь» за период с 17.07.2013 по 20.11.2013 (90 торговых дней).

В соответствии с данными РТС в течение последних 90 торговых дней с привилегированными акциями Общества было совершенно 2 сделки (см. таблицу 3), сделок с обыкновенными акциями Общества через систему организованной торговли не совершалось.

Таблица 2. Сделки с привилегированными акциями ОАО «Калугаприбор»

Дата

Средневзв., цена, долл. США

Объем торгов, долл. США

Объем торгов, кол-во акций

Число сделок

25.07.2013

1,2

12 000

10 000

1

15.08.2013

1,2

2 400

2 000

1


Согласно данным, предоставленным реестродержателем (см таблицы 3 и 4), Оценщиком проведен анализ сделок с обыкновенными и привилегированными акциями Общества. Оценщик счел необходимым использовать данную информацию для расчета рыночной стоимости обыкновенных и привилегированных акций ОАО «Калугаприбор», поскольку, наряду с данными РТС, это информация о фактически совершенных сделках, включающая данные о внебиржевых сделках с акциями Общества. Информация о сторонах и типах сделок оценщику не представлена.

Таблица 3. Информация о сделках купли-продажи обыкновенных акций ОАО «Калугаприбор»

№ п/п

Дата

Количество (шт.)

Цена покупки/продажи (за одну акцию руб.)

1

23.07.2013

500

86,01

2

24.07.2013

25 000

38,5

3

27.07.2013

200

0,03

4

27.07.2013

220

0,02

5

11.09.2013

50

1

6

13.09.2013

1

200

7

14.09.2013

199

1

8

25.09.2013

3 000

5

9

08.11.2013

20 000

1

10

13.11.2013

20 000

89,1


Таблица 4. Информация о сделках купли-продажи привилегированных акций ОАО «Калугаприбор»

№ п/п

Дата

Количество (шт.)

Цена покупки/продажи (за одну акцию руб.)

1

11.09.2013

290

1

2

13.09.2013

100

1

3

05.10.2013

1 080

1

4

15.10.2013

1 400

25,08

5

15.10.2013

390

1

6

19.10.2013

30

25,08

7

16.11.2013

1 000

38,5

8

16.11.2013

50

38,5

9

16.11.2013

50

38,5

10

16.11.2013

1000

1


Поскольку по данным РТС за анализируемый период количество сделок было незначительным, рыночная стоимость обыкновенных и привилегированных акций ОАО «Калугаприбор», рассчитывалась как средневзвешенная стоимость одной акции по 10 последним сделкам, совершенным с акциями Общества на основе данных, представленных реестродержателем.

Таким образом, рыночная стоимость акций ОАО «Калугаприбор», рассчитанная на основе анализа сделок с акциями Общества, составила 40,81 руб. за одну обыкновенную акцию и 15,04 руб. за одну привилегированную акцию.

2.2 Итоговая величина стоимости


Для определения рыночной стоимости привилегированных акций ОАО «Калугаприбор» Оценщиком использован два метода оценки: метод капитализации дивидендов и метод сделок.

На основе применения данных методов получены следующие результаты предварительной оценки стоимости одной обыкновенной и одной привилегированной акции ОАО «Калугаприбор»:

Таблица 5. Результаты предварительной оценки стоимости одной обыкновенной и одной привилегированной акции


Стоимость 1 обыкновенной акции

Стоимость 1 привилегированной акции

Метод капитализации дивидендов

4,67 руб.

21,61 руб.

Метод сделок

40,81 руб.

15,04 руб.


При выборе итоговой величины стоимости можно применить один из методов: метод математического взвешивания, субъективного взвешивания и простое среднеарифметическое всех оценок.

Определение итоговой величины стоимости одной привилегированной и одной обыкновенной акции ОАО «Калугаприбор» осуществлялось путем расчета средневзвешенной (см. таблицы 7 и 8).

Проанализировав преимущества и недостатки использованных методов оценки, а также допущения, принятые при проведении расчетов (см. таблицу 6), Оценщик принял следующие веса для получения рыночной стоимости одной привилегированной и одной обыкновенной акции ОАО «Калугаприбор»:

Метод капитализации дивидендов          -        0,5;

Метод сделок               -        0,5.

Таблица 6. Преимущества и недостатки использованных методов оценки

Метод оценки

Достоинства

Недостатки

Принятые допущения

Метод капитализации дохода

Учитывает потенциальные возможности Общества Отражает потенциальные возможности получения дохода в виде дивиденда по различным типам акций Отражает макроэкономические тенденции в расчете ставки капитализации

Риск прогнозных оценок деятельности Общества Риск прогнозных оценок макроэкономических показателей при расчете ставки капитализации

Капитализация прибыли по итогам 2013 г. Темпы роста чистой прибыли Общества -10% в год.

Метод сделок

Анализируется информация по реально совершенным сделкам с акциями компании Учитываются рыночные тенденции на период близкий к дате оцени Анализа сделок купли-продажи, совершенных с акциями общества за период близкий к дате оценки Учитывает информацию о внебиржевых ценах на акции Общества

Наличие расхождений в информации полученной в РТС и у реестродержателя Отсутствие информации о сторонах и типах сделок. Не учитывает прогнозы деятельности Общества Не отражает возможность получения дохода Отсутствие информации о характере сделок (по данным реестродержателя) Невозможность качественной оценки расхождений в информации, полученной в РТС и у реестродержателя. Невозможно учесть премии и скидки Жесткие временные рамки анализируемого периода

Анализируемый период ограничен 90 торговыми днями Ограничение количества сделок за анализируемый период - 10 Применение методики ФКЦБ для анализа сделок по информации реестродержателя


Таблица 7. Расчет рыночной стоимости одной привилегированной акции ОАО «Калугаприбор»

Применяемый метод

Стоимость одной привилегированной акции, руб.

Весовой коэффициент

Взвешенный результат, руб.

Метод капитализации дивидендов

21,61

0,5

10,8

Метод сделок

15,04

0,5

7,52

Рыночная стоимость одной привилегированной акции ОАО «Калугаприбор»



18,32

 

Таблица 8. Расчет рыночной стоимости одной обыкновенной акции ОАО «Калугаприбор»

Применяемый метод

Стоимость одной обыкновенной акции, руб.

Весовой коэффициент

Взвешенный результат, руб.

Метод капитализации дивидендов

4,67

0,5

2,335

Метод сделок

40,81

0,5

20,405

Рыночная стоимость одной обыкновенной акции ОАО «Калугаприбор»



22,74


Рыночная стоимость акций ОАО «Калугаприбор» составляет:

18,32 руб. за одну привилегированную акцию;

22,74 руб. за одну обыкновенную акцию.

Глава 3. Пути увеличения стоимости ОАО «Калугаприбор»


3.1 Определение компенсирующего изменения объема реализации при изменении цен и затрат


Определение компенсирующего изменения объема реализации при изменении анализируемого фактора производится по следующим формулам:

• изменение цены и переменных затрат

∆Реализации % = (-∆Прибыли отн. / (СОР по объему реализации + ∆Прибыли отн.))* 100

• изменение постоянных затрат

∆Реализации % = (- ∆Прибыли отн. / СОР по объему реализации) * 100

Относительное изменение прибыли при изменении факторов рассчитано в табл. 9

Данные расчетов оформим в таблицу (табл.9).

Таблица 9. Компенсирующее процентное изменение объема реализации при изменении факторов

Факторы 

СОР по объему реализации

Компенсирующее процентное изменение объема реализации при изменении фактора на:

 

 

 

 

 


 

-15

-10

-5

5

10

15

Цена

2.117

32.998

21.999

10.999

-21.999

-32.998

Переменные затраты

2.117

-17.998

-11.999

-5.999

5.999

11.999

17.998

Постоянные затраты

2.117

-7.914

-5.276

-2.638

2.638

5.276

7.914


Таким образом, можно видеть, как происходит изменение объема реализации при изменении факторов. Так при снижении цены на 15%, прибыль возрастет на 32.998%, при снижении переменных издержек - уменьшится на 17,998%, при снижении постоянных издержек - уменьшится на 7,914%.

Рис. 1. Кривые безразличия

3.2 Многофакторный операционный анализ


Многофакторный операционный анализ позволяет провести оценку чувствительности прибыли и рассчитать компенсирующий объем реализации при изменении нескольких факторов одновременно.

Представим ситуацию. в которой предприятие в связи с увеличением объемов реализации на 5% вынуждено арендовать дополнительные складские помещения. увеличив постоянные затраты на 2%.

• Анализ чувствительности прибыли при изменении одновременно четырех факторов

∆Пр(%) = СОРреал * ∆Реал(%) + (СОРцены * ∆Цена(%) - СОРпер * ∆Уд.Пер(%)) * (1 + ∆Реал(о)) - СОРпост * ∆Пост (%)

∆Пр(%) = 2.117 * 5 - 1.117 * 2 = 8.35%

Таким образом при увеличении объема реализации на 5% и постоянных затрат на 2% прибыль предприятия возрастет на 8.35%.

• Определение запаса финансовой прочности но объему реализации

ЗФПреал(%) = (СОРпост * ∆Пост(%) + СОРпер* ∆Уд.Пер(%) - СОРцены * ∆Цена(%) - 100) / (СОРреал + СОРцены* ∆Цены(о) - СОРпер* ∆Уд.Пер(о))

ЗФПреал(%) = (1.117 * 2% - 100%) / 2.117 = -99.417%

Критическое значение анализируемого фактора = Фактор * (1 + (ЗФПфактора(%) / 100))

Критическое значение объема реализации = 55003(1 + (-99.417 / 100)) = 320.519 тыс. руб.

• Определение запаса финансовой прочности по цене

ЗФПцены(%) - (СОРпост * ∆Пост(%) + СОРпер* ∆Уд.Пер(%) * (1 + ∆Реал(о)) - СОРреал*∆Реал(%) -100) / (СОРцены * (1 + ∆Реал(о)))

∆Реал(о) = 0 = 0.0835 / (2.117 + 0.0835) = 0.038

ЗФПцены(%) = (1.117 * 2% - 2.117 * 5% - 100) / (4.657(1 + 0.038)) = -22.418%

• Определение запаса финансовой прочности по переменным затратам

ЗФПпер(%) = (СОРпост * ∆Пост(%) - СОРреал * ∆Реал(%) - 100) / (СОРпер(1 + ∆Реал(о)))

ЗФПпер(%) = (1.117 * 2% - 2.117 * 5% - 100%) / (2.54 * 1.038) = 41.101%

Критическое значение по переменным затратам = 30000(1 + (41.101 / 100)) = =C216*B94 тыс. руб.

• Определение запаса финансовой прочности по постоянным затратам

ЗФПпост(%) = (- 2.117 * 5% - 100%) / 1.117 = 99.023

Критическое значение по постоянным затратам = 13191(1 + (99.023 / 100)) = =B97*C219 тыс. руб.

Результаты расчетов оформим и таблицу (табл. 10)

Таблица 10. Сводная оценка результатов многофакторного анализа безубыточности

Факторы

COР

Базовое значение

ЗФПфактора(%)

Критическое значение

Объем реализации

2.117

55003

-99.417

320.519

Цена

4.657

55003

-22.418

42672.624

Переменные затраты

2.54

30000

41.101

42330.376

Постоянные затраты

1.117

13191

99.023

26253.15



• Определение компенсирующего изменения объема реализации при изменении одновременно трех факторов

∆Peал(%) = (СОРпост * ∆Пост(%) + COРпеp* ∆Уд.Пep(%) - СОРцены * ∆Цены(%)) / (СОРреал + COРцены * ∆Цены(о) - СОРпер * ∆Уд.Пер(о))

∆Реал(%) = 1.117 * 2 / 2.117 = 1.055

3.3 Расчет потребности в дополнительном финансировании


Рассчитаем потребности в дополнительном финансировании, если:

• планируем увеличить выручку от реализации на 5%.

• Основные активы составляют 227.958% от объема реализации.

• Текущие активы составляют 27.9% от объема реализации.

• Текущие пассивы 22.1% от объема реализации.

• Базовая выручка: 55003 тыс. руб.

• Норма распределения прибыли на дивиденды (НРД): 10%

• Рентабельность продаж (Рреал) составляет 21.475%

• Загрузка мощности -100%

Нераспределенная прибыль базового периода состоит из чистой прибыли отчетного периода (11812 тыс. руб.) и нераспределенной прибыли прошлых лет (3376 тыс. руб.)

Прогнозируемая выручка = 55003 * 1.05 = 57753.15

НПр прогнозируемая = (Рреал* Выручкa прогнозируемая) + Прибыль, используемая на дивиденды

Прибыль, используемая на дивиденды = НПp * (1 - НРД)

Прибыль. используемая на дивиденды = 15188(1 - 0.1) = 13669.2

НПр прогнозируемая без дивидендов = 57753.15 * 21.475% = 12402.6

НПр прогнозируемая = 12402.6 + 13669.2 = 26071.8 тыс.руб.

Используем балансовую схему построения, отраженную в таблице 9.

Таблица 11. Балансовая схема построения

Статьи баланса

Базовый

Прогнозный

Актив

 

 

1. Текущие активы

15345.837

16113.129

2. Основные активы

125384

131653.2

БАЛАНС

140729.837

147766.329

Пассив

 

 

1. Текущие пассивы

12155.663

12763.446

2. Долгосрочные обязательства

12209

12209

3. Нераспределенная прибыль (НПр)

15188

26071.8

4. Уставный капитал

15

15

БАЛАНС

39567.663

51059.246


Необходимое дополнительное финансирование = 147766.329 - 51059.246 = 96707.083

НПр прогнозируемая = 26071.8 + 96707.083 = 122778.883

Рассмотрим какой должна быть норма распределения прибыли на дивиденды чтобы исключить дополнительное финансирование.

Прибыль используемая на дивиденды = 122778.883 - 15188 = 107590.883 тыс. руб.

НРД = (1 - 107590.883 / 122778.883) * 100 = 12.37

При норме распределения прибыли на дивиденды 12.37% предприятию не потребуется дополнительное финансирование.

Определим, какие темпы роста могут обеспечить собственные средства, если норма распределения прибыли на дивиденды равна 0.

Если всю прибыль оставить на предприятии, то:

.329 + 107590.883 = 255357.212 тыс. руб.

Тр = 255357.212 / 140729.837 = 1.815

Темпы роста оборота можно увеличить на 81.452% если дивиденды не выплачивать.

Заключение

стоимость оценка финансирование дивиденд

Средняя номинальная доходность финансовых инструментов, рассчитанная Оценщиком на основе анализа доходности сопоставимых финансовых инструментов, составила 20% годовых. Средние темпы роста дивидендных выплат приняты в размере 10% годовых. Премия, отражающая риски вложения в акции компании для обыкновенных и привилегированных акций, принята в размере 17% и 15%, соответственно.

Таким образом, ставка капитализации для расчета стоимости акций Общества доходным методом составила 27% для обыкновенных и 25% для привилегированных акций.

В результате проведенных расчетов стоимость акций ОАО «Калугаприбор», полученных по методу капитализации дивидендов составила:

одной привилегированной акции - 21,61 руб.,

одной обыкновенной акции - 4,67 руб.

Определение итоговой величины стоимости одной привилегированной и одной обыкновенной акции ОАО «Калугаприбор» осуществлялось путем расчета средневзвешенной (см. таблицы 7 и 8).

Проанализировав преимущества и недостатки использованных методов оценки, а также допущения, принятые при проведении расчетов (см. таблицу 6), Оценщик принял следующие веса для получения рыночной стоимости одной привилегированной и одной обыкновенной акции ОАО «Калугаприбор»:

Метод капитализации дивидендов - 0,5;

Метод сделок - 0,5.

Рыночная стоимость акций ОАО «Калугаприбор» составляет:

18,32 руб. за одну привилегированную акцию;

22,74 руб. за одну обыкновенную акцию.

Список литературы

1.       Белолипецкий, В.Г. Финансовый менеджмент: учебное пособие / В.Г. Белолипецкий. - Москва: КноРус, 2011. - 446 с.

2.      Бобылёва, А.З. Финансовый менеджмент: проблемы и решения: учебное пособие / А.З. Бобылева. - Москва: Академия народного хозяйства при Правительстве Российской Федерации: Дело, 2012. - 332 с.

.        Галицкая, С. В. Финансовый менеджмент. Финансовый анализ. Финансы предприятий: [комплексный подход к управлению финансами]: учебное пособие / С.В. Галицкая. - Москва: Эксмо, 2011. - 649 с.

.        Жилкина, А.Н. Управление финансами: финансовый анализ предприятия: учебник / А.Н. Жилкина. - Москва: Инфра-М, 2010. - 331 с.

.        Кириченко, Т.В. Финансовый менеджмент: учебное пособие / Т.В. Кириченко. - Москва: Дашков и К°, 2012. - 625 с.

.        Ковалёв, В.В. Введение в финансовый менеджмент: [базовый курс] / В. В. Ковалев. - Москва: Финансы и статистика,2010. - 767 с.

.        Ковалёв, В.В. Курс финансового менеджмента: учебник / В. В. Ковалев. - Москва: Проспект, 2011. - 478 с.

.        Ковалев, В.В. Основы теории финансового менеджмента: учебно-практическое пособие / В.В. Ковалев. - Москва: Проспект, 2012. - 533 с.

.        Котелкин, С.В. Международный финансовый менеджмент: учебное пособие / С.В. Котелкин. - Москва: Магистр: Инфра-М, 2010. - 604 с.

.        Лукасевич, И.Я. Финансовый менеджмент: учебник / И.Я. Лукасевич. - Москва: Эксмо, 2009. - 765 с.

.        Никитина, Н.В. Финансовый менеджмент: учебное пособие / Н.В. Никитина. - Москва: КноРус, 2007. - 327, [1] с.

.        Основы финансового менеджмента: [перевод с английского] / Джеймс С. Ван Хорн, Джон М. Вахович, мл. - Москва: Вильямс, 2010. - 1225 с.

.        Принятие финансовых решений: теория и практика / А. О. Левкович, А. М. Кунявский, Д.А. Лапченко. - Минск: Издательство Гревцова, 2011. - 374с.

.        Савчук, В.В. Финансовый менеджмент: практическая энциклопедия / В. В. Савчук. - Киев: Companion Group, 2012. - 878 с.

.        Савчук, В.П. Управление финансами предприятия / В. П. Савчук. - Москва: БИНОМ. Лаборатория знаний, 2011. - 480 с.

.        Тихомиров, Е.Ф. Финансовый менеджмент. Управление финансами предприятия: учебник / Е.Ф. Тихомиров. - Москва: Академия, 2010. - 381 с.

.        Управление финансовым состоянием организации (предприятия): учебное пособие / [Крылов Э.И. и др.]. - Москва: Эксмо, 2012. - 409 с.

 


Приложение 1



Приложение 2

Выписка из бухгалтерского баланса ОАО «Калугаприбор» за 2013 г.

АКТИВ

На начало отчетного года

На конец отчетного года

I. ВНЕОБОРОТНЫЕ АКТИВЫ



Основные средства

20 612 000

20 199 000

Незавершенное строительство

388 000

469 000

ИТОГО по разделу I

21 000 000

20 668 000

II. ОБОРОТНЫЕ АКТИВЫ



Запасы

49 809 000

55 741 000

сырьё и материалы и другие аналогичные ценности

28 990 000

31 733 000

затраты в незавершенном производстве

2 039 000

2 639 000

готовая продукция

17 835 000

19 663 000

расходы будущих периодов

945 000

1 706 000

Налог на добавленную стоимость по приобретенным ценностям

741 000

124 000

Дебиторская задолженность (платежи по которой ожидаются более чем через 12 месяцев после отчетной даты)

3 945 000

0

Дебиторская задолженность (платежи по которой ожидаются в течение 12 месяцев после отчетной даты)

32 648 000

49 135 000

Краткосрочные финансовые вложения

5 222 000

8 786 000

Денежные средства

2 606 000

11 316 000

Прочие оборотные активы

246 000

242 000

ИТОГО по разделу II

95 217 000

125 344 000

БАЛАНС

116 217 000

146 012 000

ПАССИВ

На начало отчетного года

На конец отчетного года

III. КАПИТАЛ И РЕЗЕРВЫ



Уставный капитал

86 000

86 000

Добавочный капитал

20 290 000

20 188 000

Резервный капитал

38 000

38 000

Нераспределенная прибыль (непокрытый убыток)

1 883 000

4 911 000

ИТОГО по разделу III

22 297 000

25 223 000

IV. ДОЛГОСРОЧНЫЕ ОБЯЗАТЕЛЬСТВА



Отложенные налоговые обязательства

535 000

637 000

ИТОГО по разделу IV

535 000

637 000

V. КРАТКОСРОЧНЫЕ ОБЯЗАТЕЛЬСТВА



Займы и кредиты

51 947 000

60 974 000

Кредиторская задолженность

41 406 000

59 178 000

Доходы будущих периодов

32 000

0

ИТОГО по разделу V

93 385 000

120 152 000

БАЛАНС

116 217 000

146 012 000


Похожие работы на - Пути увеличения стоимости ОАО 'Калугаприбор'

 

Не нашли материал для своей работы?
Поможем написать уникальную работу
Без плагиата!
Без нейросетей!