Изучение проблем организационной структуры маркетинговой службы предприятия

  • Вид работы:
    Дипломная (ВКР)
  • Предмет:
    Маркетинг
  • Язык:
    Русский
    ,
    Формат файла:
    MS Word
    926,91 Кб
  • Опубликовано:
    2014-12-03
Вы можете узнать стоимость помощи в написании студенческой работы.
Помощь в написании работы, которую точно примут!

Изучение проблем организационной структуры маркетинговой службы предприятия

Оглавление

маркетинговый предприятие управление рынок

Введение

. Теоретические основы формирования и функционирования организационных структур управления

.1 Виды организационных структур управления на предприятии       

.2 Основные функции маркетинговой службы предприятия и содержание ее работы

.3 Отличительные черты структуры предприятия, ориентированного на рынок

. Анализ организационной структуры маркетинговой службы ОАО "МТС"

.1 Краткая характеристика деятельности ОАО "МТС"

.2 Организационная структура маркетинговой службы ОАО "МТС" как эффективный инструмент достижения целей и задач компании

.3 Анализ функционирования существующей маркетинговой структуры ОАО "МТС"

. Совершенствование организационной структуры маркетинговой службы предприятия (на примере ОАО "МТС")

.1 Структурная модификация маркетинговой службы предприятия

3.2 Разработка модульной организационной структуры маркетинговой службы ОАО "МТС"

4. Оценка эффективности предложенных мероприятий

.1 Компьютерное обеспечение проекта

.2 Экономическая оценка проекта

.3 Правовое обеспечение проекта

Заключение

Список использованных источников и литературы

Приложение

Введение

Генеральным направлением перестройки экономической структуры общества в России является создание многосекторной экономики, представленной различными хозяйствующими субъектами: государственными предприятиями, акционерными предприятиями, малыми предприятиями, частными и индивидуальными предприятиями и т. п.

Современный рыночный механизм - это сложная система отношений. В нашей стране только закладываются основы нового хозяйственного механизма, основанного на цивилизованных товарно-денежных отношениях.

Непростой мир хозяйственной практики может быть доступен и начинающему деловому человеку. Очень важно при этом правильное понимание рыночных процессов, умение организовать коммерческую деятельность. Это позволяет сделать маркетинг. Маркетинг является отличительной уникальной функцией делового предприятия.

Знание принципов и основ маркетинговой деятельности "помогает уменьшить коммерческий риск, просчитать его варианты, выбрать наиболее оптимальные условия из уже имеющихся, обеспечить прибыльность производства и продажи при высоком качестве продукции и обслуживания в условиях конкуренции, определить продажные цены, приемлемые для разных групп покупателей в условиях устойчивого сбыта.

При определении общетеоретического содержания понятия структур управления значительную роль сыграли работы таких исследователей теории организации, как Р. Акофф, И. Ансофф, A.A. Богданов, М. Вебер, Дж. Вудворт, П. Друкер, Б. Мильнер, Г. Минцберг, А. Чандлер, Г. Эмерсон и др., в которых рассматриваются принципы формирования оргстуктур и их классификация.

Проблемам реформирования организационных структур управления посвящены научные труды С. Агапцова, Л. Гительмана, Л. Евенко, А. Евсеева, Г. Клейнера, О. Ломовцевой, С. Масютина и других.

Вместе с тем, при достаточно широком аспекте исследований изучение формирования и развития организационных структур маркетинговой службы в рыночных условиях нуждается в дополнительных разработках, что обусловило выбор темы дипломного исследования, постановку его цели и задач.

Целью дипломной работы является изучение проблем организационной структуры маркетинговой службы предприятия, ориентированного на рынок и разработка мероприятий по совершенствованию организационной структуры маркетинговой службы предприятия.

Для достижения поставленной цели следует решить ряд задач:

-   рассмотреть сущность, задачи и значение деятельности маркетинговой службы на предприятии;

-         рассмотреть виды организационных структур предприятия;

          обозначить особенности организационных структур предприятия, ориентированного на рынок;

          рассмотреть особенности деятельности службы маркетинга и её взаимосвязи с другими отделами предприятия;

          проанализировать организационную структуру на примере ОАО "МТС";

          предложить рекомендации по созданию организационной структуры маркетинговой службы ОАО "МТС" с ориентацией на рынок.

Объектом исследования является организационная структура маркетинговой службы предприятия, а предметом служит организация маркетинговой службы на конкретном предприятии с целью создания организационной структуры, ориентированной на рынок.

Теоретической и методологической основой дипломного исследования явились труды отечественных и зарубежных учёных в области формирования и развития организационных структур управления, материалы научно-практических конференций и периодической печати. В процессе дипломного исследования были использованы методы системно-целевого, ситуационного, структурного анализа, а также индикаторной и экспертной оценки.

Практическая значимость работы заключается в изучении проблем организационной структуры маркетинговой службы предприятия, ориентированного на рынок и разработке мероприятий по совершенствованию организационной структуры маркетинговой службы предприятия.

Структура работы включает введение, три главы, заключение, список использованной литературы, приложения.

В первой главе автором рассмотрены виды организационных структур управления на предприятии, основные функции маркетинговой службы предприятия и содержание ее работы, а также отличительные черты структуры предприятия, ориентированного на рынок.

Во второй главе представлена краткая характеристика деятельности ОАО "МТС", рассмотрена организационная структура маркетинговой службы ОАО "МТС" как эффективный инструмент достижения целей и задач компании, а также проведен анализ функционирования существующей маркетинговой структуры ОАО "МТС".

В третьей главе представлена структурная модификация маркетинговой службы предприятия, а также разработана модульная организационная структура маркетинговой службы ОАО "МТС".

В четвертой главе представлено компьютерное обеспечение проекта, выявлена экономическая оценка проекта, а также представлено правовое обеспечение проекта.

1. Теоретические основы формирования и функционирования организационных структур управления

.1 Виды организационных структур управления на предприятии

Организационная структура аппарата управления - форма разделения труда по управлению производством. Каждое подразделение и должность создаются для выполнения определенного набора функций управления или работ. Для выполнения функций подразделения их должностные лица наделяются определенными правами на распоряжения ресурсами и несут ответственность за выполнение закрепленных за подразделением функций.

Схема организационной структуры управления отражает статическое положение подразделений и должностей и характер связи между ними.

Различают связи:

-     линейные (административное подчинение);

-         функциональные (по сфере деятельности без прямого административного подчинения);

          межфункциональные, или кооперационные (между подразделениями одного и того же уровня).

В зависимости от характера связей выделяются несколько основных типов организационных структур управления:

линейная;

функциональная;

линейно-функциональная;

матричная;

дивизиональная;

множественная.

В линейной структуре управления каждый руководитель обеспечивает руководство нижестоящими подразделениями по всем видам деятельности. Достоинство - простота, экономичность, предельное единоначалие. Основной недостаток - высокие требования к квалификации руководителей. Сейчас практически не используется.

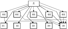
Функциональная организационная структура реализует тесную связь административного управления с осуществлением функционального управления (рисунок 1.1). На рисунке административные связи функциональных начальников с исполнителями (И1 - И4) такие же, как и для исполнителя И5 (они не показаны в целях обеспечения ясности рисунка). В этой структуре нарушен принцип единоначалия и затруднена кооперация. Она практически не используется.

Д- директор; ФН - функциональные начальники; И - исполнители

Рис. 1.1. Функциональная структура управления

Линейно-функциональная структура - ступенчатая иерархическая. При ней линейные руководители являются единоначальниками, а им оказывают помощь функциональные органы. Линейные руководители низших ступеней административно не подчинены функциональным руководителям высших ступеней управления. Она применялась наиболее широко (рисунок 1.2).

Д- директор; ФН - функциональный начальники; ФП - функциональные подразделения; ОП - подразделения основного производства.

Рис. 1.2. Линейно-функциональная структура управления

Иногда такую систему называют штабной, так как функциональные руководители соответствующего уровня составляют штаб линейного руководителя (на рисунке 1.2 функциональные начальники составляют штаб директора). Дивизиональная (филиальная структура) изображена на рисунок 1.3. Дивизионы (филиалы) выделяются или по области деятельности или географически.

Рис. 1.3. Дивизиональная структура управления

Матричная структура (рисунки 1.4 и 1.5) характерна тем, что исполнитель может иметь двух и более руководителей (один - линейный, другой - руководитель программы или направления). Такая схема давно применялась в управлении НИОКР, а сейчас широко применяется в фирмах, ведущих работу по многим направлениям. Она все более вытесняет из применения линейно-функциональную.

Рис. 1.4. Матричная структура управления, ориентированная на продукт

Множественная структура объединяет различные структуры на разных ступенях управления. Например, филиальная структура управления может применяться для всей фирмы, а в филиалах - линейно-функциональная или матричная.

Рис. 1.5. Матричная структура управления по проектам

При кажущемся обилии и разнообразии вариантов структур, суровая действительность говорит нам о том, что редкая организационная структура предприятия (компании, организации) может быть отнесена к одному из "чистых" типов организационных структур. Обилие функциональных служб и "штабных" подразделений усиливается проектными командами, отделы организационного развития не успевают фиксировать и регламентировать возникающие новые горизонтальные и вертикальные связи, и зачастую призывы к определению вида имеющейся организационной структуры предприятия можно услышать только из уст консультантов по управлению, испытывающих затруднения для выбора подходящих методик оценки и анализа организационных структур.

.2 Основные функции маркетинговой службы предприятия и содержание ее работы

Маркетинг в своем развитии, как на уровне страны, так и на конкретном предприятии, как правило, проходит вполне определенные этапы. Их общая последовательность представлена на рисунке 1.6.

Рис. 1.6. Последовательность перехода от производственной к рыночной ориентации предприятий

Двухмерность схемы не позволяет объемно отобразить логику развития. На самом деле надо иметь в виду, что каждая следующая стадия обеспечивает предприятию новые преимущества, новые подвижки не по одной, а по обеим осям координат. Например, в позиции 3 предприятие отличается от конкурента, находящегося в позиции 1, не только степенью учета позиции конкурентов, но и иным уровнем отношений с потребителями (как и позиция 4 отличается от позиции 2). Другое дело, какие изменения являются наиболее принципиальными. В связи с этим не будем полагаться только на схему и рассмотрим каждую позицию более подробно.

Ориентация на продукт предусматривает направленность непосредственно на конкретный продукт, за который на рынке ожидается определенное вознаграждение. В этом случае фирма озабочена тем, как наилучшим образом выявить, преподнести, аргументировать на рынке отличия своих продуктов от продукции конкурентов. При этом основное звено поиска - инженерные, технические решения; запросы потребителей по существу игнорируются. Это производственная ориентация предприятия.

С появлением определенного числа конкурентов, производящих одну и ту же продукцию с примерно одинаковым уровнем ее качества, предприятия начинают соревноваться в умении лучше доставить до потребителя соответствующий продукт и начинают мыслить категориями маркетинга. Подход типа "продукт" сменяется подходом типа "поставки", т.е. ориентацией на поставки. В России он стал возможен с официальным разрешением, а в дальнейшем и с побуждением предприятий реализовывать часть своей продукции не через централизованное распределение, а по прямым договорам. Предприятия наконец-то получили возможность самим выбирать, кому продать, для кого изготовить хотя бы часть из запланированного для них объема производства.

Ориентация на конкурентов предполагает расширение спектра рыночных функций путем создания комплекса возможностей и эффектов для рынка, продуктов (разнообразных по применению и назначению, но связанных по сбыту) и каналов сбыта. Впервые реально почувствовав острую конкуренцию и поняв, что государство не разрешит за них всех проблем, компании начинают, в частности, активно диверсифицироваться: например, фирма, производящая бисквиты, становится одновременно содержательницей ресторанов и розничных магазинов, где она продает свою продукцию. Но если еще не преодолена ситуация товарного дефицита, хозяин товара, даже при появлении нового конкурента, далеко не сразу же стремится угодить потребителям. На заре становления рынка в России даже сосуществование нескольких коммерческих киосков или магазинов в непосредственной близости друг от друга еще не опровергало распространенный тогда на практике принцип отношений с клиентами: "Купил - сам виноват!".

Качественно новый шаг в развитии маркетинга, впервые позволяющий ему занять полноправное положение и достойное место на фирме, - ориентация на рынок, на освоение и завоевание его невзаимосвязанных сегментов, конкретных целевых групп потребителей. При этом маркетинг продолжает концентрировать свои усилия на вполне определенных рыночных сегментах, но он уже вынужден держать под контролем и тщательно анализировать по существу все сегменты рынка как потенциально конкурентные и становиться подлинно комплексным.

Соответствующие метаморфозы претерпевает на предприятии и специализированное маркетинговое подразделение. Исторически сложилось, что первой должностью на предприятии, имевшей отношение к выполнению предшествующих маркетингу функций, стала должность коммерческого директора (заместителя директора по сбыту, начальника отдела сбыта). Сл временем коммерческий директор обзаводился ассистентом, основными функциями которого становились планирование объема продаж, анализ рынка и наблюдение за конкурентами, оценка собственных позиций на рынке и внесение корректив в планы.

Постепенно маркетинг вышел из-под контроля сбытовиков, а соответствующие организационные структуры приобрели паритет, на предприятиях появилась должность вице-президента (заместителя директора) по маркетингу, ликвидировалась его ущемленность. Однако простое сосуществование отделов маркетинга и сбыта провоцировало разрозненность их функций, а часто и конфликты между руководителями.

Решающим стал переход маркетинга на предприятии из утилитарно-инструментальной фазы в фазу общей концепции, объединяющей все функции, связанные с выходом предприятия на рынок. При этом руководителю, ответственному за маркетинг, отводятся первые роли: он становится не только главным арбитром между фактом продажи и действиями подразделений, которые могли на эту продажу повлиять, но и ответственным за рыночные цели предприятия и их достижение. А тот, кто отвечает за цели, отвечает и за средства их достижения.

Основной принцип (цель) маркетинга, определяющий его сущность, состоит в том, чтобы производить только то, что будет безусловно продано, и не пытаться продать то, что предприятие смогло произвести.

Анализ функций маркетинг позволяет выделить основные функции маркетинговой службы предприятия и содержание ее работы:

планирование продажи путем соответствующего сравнения плана и фактического состояния дел;

анализ рынка и наблюдение за конкуренцией как подготовительная работа по планированию;

оценка данных процесса продажи с рекомендациями для плана по разработке рынка.

В ряде учебников по маркетингу перечисленные функции маркетинг в упрощенном виде сведены в блоки, которые расшифрованы здесь по видам выполняемых рыночных действий (таблица 1.1).

Таблица 1.1

Функции маркетинга и выполняемые виды деятельности

Специфическая функция

Вид деятельности

Исследования маркетинга и сбор информации

Комплексное изучение рынка: исследование и анализ экономической, хозяйственной, научно-технической, потребительской, сбытовой и рекламной сфер; сбор и обработка информации; исследование операций маркетинга; изучение деятельности конкурентов.

Планирование ассортимента продукции

Определение и разработка ассортиментной структуры производства. Приспособление технических характеристик изделий, их упаковки, цен, эксплуатационных качеств и технического обслуживания к потребностям покупателя путем усовершенствования изделий и разработки новой продукции.

Сбыт и распределение

Сбыт товаров через торгово-распределительную сеть: выбор каналов сбыта, складирование, транспортировка, торговая отчетность, анализ сбыта, прогноз сбыта, определение торговых бюджетов и квот, планирование товарооборота по ассортиментным позициям (маркам, сортам и т.д.), связь со сбытовыми организациями.

Реклама и стимулирование сбыта

Реклама среди конечных или промежуточных потребителей с использованием всех средств массовой информации (прессы, телевидения, кино, радио). Стимулирование покупателей, рассчитанное как на конечных, так и на промежуточных потребителей (скидка с цены, добавление подарков или сувениров к купленной вещи, премии, конкурсы, купоны и т.д.). Реклама, проспекты, каталоги, буклеты. Стимулирование работников сбыта (марчендайзинг - конкурсы на лучшее оформление витрины или выкладки товаров, на лучшие профессиональные знания или мастерство, сэмплинг-панели и др.).


Способность фирмы перейти от инструментального к концептуальному, стратегическому пониманию роли маркетинга зависит от того, какой из подходов к взаимосвязям основных производственно-экономических функций доминирует в общефирменной концепции: традиционный, ориентированный на производство, или современный, направленный на потребление, рынок.

По мере того, как маркетинг из инструментальной фазы переходит в фазу общей концепции, объединяющей все функции, связанные с выходом предприятия на рынок, качественно изменяется ответственность руководителя службы маркетинга. Он становится ответственным за рыночные цели предприятия и их достижение, а тот, кто отвечает за цели, неизбежно должен отвечать и за все элементы, которые ведут к их достижению.

Управляющий (директор) по вопросам маркетинга со своим аппаратом выполняет следующие функции:

на основе планируемого постоянного сбора и анализа информации о рынках выдает рекомендации по выбору наиболее выгодных и перспективных сегментов рынка;

рекомендует типы и параметрические ряды товаров, которые с наибольшей вероятностью будут куплены, а также цели обоснования ассортимента;

на основе анализа факторов среды дает прогнозы объемов продаж и тенденций их изменений во времени по всему жизненному циклу товаров вплоть до спада спроса и снятия товара с производства;

рекомендует оптимальные каналы сбыта, их соотношение, методы продажи, включая подчинение продажной цены "цене потребления";

вырабатывает требования к имиджу предприятия и пути его продвижения на рынок;

контролирует финансовые, кадровые, исследовательские, конструкторские и технологические действия предприятия на соответствие сформулированным им рекомендациям и прогнозам.

Если общая структура фирмы носит достаточно разветвленный характер, то возможно три варианта организации маркетинговой деятельности:

) формирование самостоятельных отделов маркетинга во всех крупных отделениях, филиалах фирмы (отраслевая или географическая макроструктура с внутренней товарной или функциональной структурой) без какого-либо маркетингового подразделения на высшем уровне управления;

) организация наряду с отделами маркетинга в филиалах общефирменного отдела маркетинга, выполняющего консультационные функции и содействующего в необходимых случаях объединению или хотя бы согласованию усилий;

) формирование общефирменного отдела маркетинга, определяющего целостную стратегию и программу маркетинга и руководящего работой своих подразделений в филиалах, отделениях.

Организация специального маркетингового подразделения, ориентированного на внешний рынок, т.е. экспортного, обычно не практикуется. В условиях, когда внешний рынок характеризуется иной, чем в стране пребывания, степенью товарного наполнения и предъявляет качественно другие требования к маркетинговой деятельности, чем внутренний рынок, такое специальное подразделение может быть создано, но на временных основаниях, с перспективой переноса экспортных требований (как правило, более жестких) и на продукцию для внутреннего рынка.

.3 Отличительные черты структуры предприятия, ориентированного на рынок

Различия между сбытовой и маркетинговой ориентациями отражаются на стратегии и структуре соответствующего предприятия. В принципе сбытовая ориентация даже в наших условиях незрелого рынка становится анахронизмом. Тем не менее, еще остается достаточно много предприятий, на которых работа строится по старинке. Руководители таких предприятий, скорее всего, не представляют и поэтому не могут оценить всех возможностей современных информационных технологий. Да, у них есть отдел, который ищет покупателей, но решения по запуску продукции принимаются кулуарно. Разумеется, опытный руководитель на чистой интуиции и везении может угадать актуальные запросы рынка. Но так ли уж часты такие везения? При подобном подходе исчезают все преимущества в планировании и развитии бизнеса. Если в такой организации и присутствует элемент маркетинга, то в виде использования методов стимулирования сбыта, проталкивания и продвижения продукции или услуг, которые планируют без особого учета мнения потребителей.

Предприятия, ориентированные на маркетинг, отличаются, прежде всего, наличием отдела маркетинга с четко прописанными функциями. В нем обязательно должны быть ответственные за исследования рынка (хотя бы один человек), за составление и реализацию маркетинговых планов, за рекламную политику, за продвижение и стимулирование сбыта. Большую пользу приносит аналитический отдел или хотя бы один сотрудник, занимающийся анализом и поиском маркетинговых закономерностей.

Обратим внимание некоторые варианты построения структур служб маркетинга на предприятии, исходя из того, что её основные задачи сводятся к сбору и анализу исходной информации, планированию и прогнозированию, оперативной работе.

Организация по "функциям" означает, что все рынки и виды выпускаемой продукции могут рассматриваться в виде некоторых однородностей, для которой вполне достаточно четкая специализация её подразделений по направлениям. Это оптимальная организация структуры, когда видов продукции и рынков немного.

В этом случае можно рекомендовать выделить в самостоятельные направления следующие виды деятельности:

изучение конъюнктуры рынка, планирование ассортимента и нового сервиса;

реклама, выставки и паблик рилейшнз;

организация товародвижения и создания дилерской сети.

Организация "по видам продукции" - полезна в тех случаях, когда предприятие выпускает несколько видов продукции, ориентированных на разные категории Потребителей и требующих к тому же организации специального сервиса.

В этом случае за менеджерами по каждому виду продукции, как правило, закрепляются все вышеперечисленные виды деятельности за исключением рекламы, выставок и паблик рилейшнз, которые закрепляются за отдельным менеджером.

Организация "по рынкам" - означает, что под термином "рынок" может пониматься какая-либо конкретная отрасль. Такая структура считается целесообразной, если для продвижения продукции на рынок требуются специфические знания по её использованию в конкретных отраслях. В этом варианте за менеджерами также закрепляются предприятия конкретной отрасли, независимо от географического месторасположения, и весь спектр задач, кроме рекламы и т.д.

Организация "по территориям" считается выгодной, когда в каждом из выделенных регионов номенклатура не очень высока, а различия между Потребителями - незначительны. В структуре отдела маркетинга предприятия все менеджеры разбиты по географическим регионам. Это позволяет менеджеру не просто ясно представлять себе картину в регионе, но и поддерживать личностные контакты с руководителями оптового и розничного звеньев торговли в них. На практике нередко используются и различные смешанные схемы организации службы маркетинга.

Основное, на что особо хочется обратить внимание - это на включение в перечень задач любой службы маркетинга вопросов, связанных с планированием ассортимента, разработкой предложений по освоению новых видов продукции и новых видов сервиса, включая анализ организации обслуживания Потребителей при получении и отгрузке им продукции в организации.

Служба (отдел) маркетинга является самостоятельным структурным подразделением предприятия и подчиняется непосредственно генеральному директору предприятия.

Служба (отдел) маркетинга возглавляется заместителем генерального директора предприятия по маркетингу (по коммерческим вопросам), начальником службы (отдела) маркетинга или директором по маркетингу.

Структуру и штаты службы (отдела) маркетинга утверждает генеральный директор предприятия, исходя из условий и особенностей закупок, производства, сбыта и других работ, возложенных на службу (отдел).

Взаимодействие службы маркетинга с другими подразделениями предприятия:

Взаимодействие с отделом главного конструктора (главного инженера). Служба (отдел) маркетинга получает:

-   перечень основных изменений, внесенных в конструкцию выпускаемых товаров;

-         утвержденные технические задания;

          комплект технической документации по авторскому надзору;

          чертежи на узлы и детали машин;

          деталировки для оценки соблюдения принципа модульности конструкции изделия;

          инструкции по эксплуатации, обслуживанию и агрегатированию производимой техники;

          карты испытаний;

          отчеты по надежности техники и нормальной эксплуатации;

          руководящий материал по сбору и переработке информации о надежности и долговечности техники;

          техническую документацию по ремонту и эксплуатации техники;

          сведения о снятии с производства устаревших машин;

          технические условия и данные на вновь разрабатываемые изделия на согласование;

          технические характеристики, описания преимуществ, результаты испытаний и другие данные по вновь разрабатываемым изделиям, необходимые для их рекламно-информационного продвижения на рынок;

          чертежи (эскизы) тары или упаковки;

          комплект нормативно-технической документации, необходимой для предпродажного, гарантийного и послегарантийного обслуживания.

Служба (отдел) маркетинга предоставляет:

    информацию и отчеты по уровню надежности изделий о выявленных дефектах и отказах;

-         анализ и предложения по рекламациям и отказам техники в условиях нормальной эксплуатации;

          справки и перечни по авторскому надзору;

          технические предложения по совершенствованию или изменению конструкции выпускаемой техники, использованию новых и улучшенных материалов;

          предложения и рекомендации по созданию и производству новых образцов техники;

          предложения по расширению возможного диапазона применения товаров (услуг) на основе анализа требований и пожеланий покупателей (заказчиков);

          предложения по созданию модификаций продукции применительно к определенным сегментам рынка;

          рекомендации по совершенствованию отделки, окраски, по изменению стиля, дизайна, обеспечивающих улучшение эстетического вида товаров;

          рекомендации по совершенствованию упаковки и консервации, обеспечивающих улучшение сохранности товаров в процессе транспортировки и хранения;

          предложения по улучшению ремонтопригодности выпускаемой техники, обеспечению адекватного уровня унификации и нормализации конструкции, повышению надежности отдельных агрегатов, узлов и деталей;

          статистику расхода запчастей на гарантийное обслуживание;

          информацию о качестве продукции;

          предложения по разработке и корректировке эксплуатационной и ремонтной документации;

          согласованные технические задания на вновь разрабатываемые изделия;

          предложения по совершенствованию технических условий на новую продукцию;

          рекомендации по снятию с производства устаревших или не имеющих сбыта изделий.

Взаимодействие с отделом главного технолога (технического директора). Служба (отдел) маркетинга получает:

    комплекты технологической документации на изготовление, обработку, консервацию, погрузочно-разгрузочные и транспортно-складские работы (операционные, маршрутные и инструкционно-технологические карты);

-         инструкции и описания технологии восстановления отдельных деталей и узлов. Служба (отдел) маркетинга предоставляет:

          рекомендации и предложения по совершенствованию технологических процессов и качества изготовления продукции;

          предложения по совершенствованию термообработки и упрочнения материалов;

          предложения по улучшению процессов окраски, консервации, упаковки, складирования и хранения;

          информацию о рекламациях и дефектах выпускаемой техники в условиях нормальной эксплуатации;

          задания по разработке технологии восстановления отдельных узлов и деталей;

          предложения по улучшению качества изготовления, сборки и обкатки техники.

Взаимодействие с отделом (бюро) технической подготовки производства. Служба (отдел) маркетинга получает:

    план подготовки производства новых изделий;

-         информационные материалы по конструкторской подготовке производства;

          информационные материалы по технологической подготовке производства.

Служба (отдел) маркетинга предоставляет:

    предложения по совершенствованию подготовки производства новых изделий;

-         информацию по обеспечению соответствия конструкции изделия стандартам качества;

          рекомендации по ускорению оснащения отдельных технологических операций с целью повышения качества и надежности изделия.

Взаимодействие с научно-исследовательским отделом (бюро). Служба (отдел) маркетинга получает:

    информацию о результатах испытаний изделия и его конкурентных аналогов;

-         заключения о результатах исследования рекламационных узлов и деталей.

Служба (отдел) маркетинга предоставляет:

    результаты маркетинговых исследований в отрасли, в смежных и далеких отраслях промышленности, секторах экономики, сегментах рынка;

-         результаты регулярного мониторинга инновационных разработок, появляющихся на рынке;

          рекламационные узлы и детали на исследования предложений по отработке применения новых материалов и методов обработки, покрытия поверхности, окраски, консервации, изготовления и термообработки деталей, сборки узлов и изделий.

Взаимодействие с отделом (службой) материально-технического снабжения. Служба (отдел) маркетинга получает:

    наряды на исследования рынков сырья, материалов, полуфабрикатов и комплектующих изделий;

-         заявки на вхождение в снабженческие телемаркетинговые системы;

          графики закупок товаров и поставок сырья, материалов, полуфабрикатов и комплектующих изделий на предприятие;

          лимитно-заборные карты на получение сырья, материалов, полуфабрикатов и комплектующих изделий;

          лимиты на горюче-смазочные и другие материалы, необходимые для работы подразделений, сервисных и дилерских центров.

Служба (отдел) маркетинга предоставляет:

    результаты исследований рынков сырья, материалов, полуфабрикатов и комплектующих изделий;

-         рекомендации по срокам закупок товаров и поставок сырья, материалов, полуфабрикатов и комплектующих изделий с учетом требований заказчиков конечной продукции;

          заявки на горюче-смазочные и другие материалы, необходимые для работы подразделений, сервисных и дилерских центров, согласованные с транспортным подразделением.

Взаимодействие с производственными подразделениями (цехами). Служба (отдел) маркетинга получает:

    отчеты о принятых мерах по устранению производственных дефектов;

-         документы на взаимные расчеты.

Служба (отдел) маркетинга предоставляет:

    сведения о выявленных дефектах по вине цехов, по принадлежности, акты технической экспертизы на рекламационные детали, узлы и акты-претензии, поступающие с места эксплуатации машин;

-         заказы на ремонт (восстановление) узлов, агрегатов машин;

          заключения на детали и узлы в связи с сертификацией производства и системы качества;

          сведения на изготовление деталей и узлов, необходимых для восстановления гарантийных изделий;

          документы по взаимным расчетам;

          акты-претензии, связанные с качеством изготовления деталей и узлов.

Взаимодействие с отделом (бюро) технического контроля. Служба (отдел) маркетинга получает:

    получает сводки о дефектах, выявленных на предприятии в ходе изготовления продукции;

-         справки внешней приемки на проверенные рекламационные покупные изделия;

          документы, удостоверяющие качество продукции (сертификаты, паспорта).

Служба (отдел) маркетинга предоставляет:

    информацию, сводки, сведения по рекламациям на технику в рядовой эксплуатации;

-         сведения по дефектам, обнаруженным в технике в условиях рядовой эксплуатации по вине производственных подразделений предприятия;

          сведениям по претензиям, поступающим от сервисных центров;

          документацию на покупные рекламационные узлы и детали для предъявления их заводам-поставщикам;

          акты технической экспертизы.

Взаимодействие с бухгалтерией. Служба (отдел) маркетинга получает:

    бухгалтерские данные о движении, реализации и остатках готовой продукции за отчетный период для анализа и планирования;

-         итоги инвентаризации готовой продукции;

          данные о наличии на складе готовой продукции в суммарном выражении на 1-е число каждого месяца;

          директивные и методические материалы по обеспечению правильного ведения бухгалтерского учета;

          сведения о командировочных расходах (ежемесячных, квартальных, годовых);

          расчетные листы по заработной плате.

Служба (отдел) маркетинга предоставляет:

    товарно-транспортные накладные и прилагаемые к ним документы на отгрузку готовой продукции;

-         ведомости на железнодорожный тариф;

          расчет затрат на гарантийное обслуживание;

          документы для балансового отчета;

          справку о нормативной стоимости резервного фонда запасных частей;

          документы по командировкам специалистов;

          документы по приходу и расходу готовой продукции.

Взаимодействие с финансовым отделом (управлением). Служба (отдел) маркетинга получает:

извещения банка о выставленных покупателями и заказчиками аккредитивах (для исполнения);

утвержденные нормативы оборотных средств по готовой продукции;

сведения о покупателях, допустивших просрочку с оплатой счетов, платежных требований за отгруженную продукцию или отказавшихся от акцепта.

Служба (отдел) маркетинга предоставляет:

    планы отгрузки товарной продукции;

-         документацию на отгруженную продукцию не позднее первой половины дня, следующего за отгрузкой продукции;

          ежедневные справки об отгрузке и остатках готовой продукции на складах;

          договоры на поставку готовой продукции на согласование;

          данные о запасах готовой продукции и их соответствии нормативам;

          платежные требования для выставления счетов на инкассо предприятиям и на взыскание сумм за некачественную продукцию с поставщиков запасных частей.

Взаимодействие с юридическим отделом. Служба (отдел) маркетинга получает:

    завизированные проекты договоров, приказов, распоряжений;

-         незавизированные проекты договоров, приказов, распоряжений с заключением о несоответствии законодательству или интересам предприятия отдельных положений с предложениями о законном порядке разрешения рассматриваемых вопросов;

          заключения или ответы на заявленные контрагентами претензии и иски по поводу ненадлежащего исполнения предприятием договорных обязательств;

          подготовленные претензии и иски к другим предприятиям, организациям, физическим лицам;

          предложения по устранению выявленных при проверке нарушений законодательства.

Служба (отдел) маркетинга предоставляет:

    проекты договоров, приказов, распоряжений на визирование для проверки их соответствия требованиям законодательства;

-         претензии и иски контрагентов по поводу ненадлежащего исполнения предприятием договорных обязательств для дачи заключений или подготовки ответов;

          материалы заявления претензий и исков к другим предприятиям, организациям, физическим лицам;

          документы, справки, расчеты и другие сведения, необходимые для выполнения возложенных на юридический отдел функций.

Взаимодействие с отделом (службой) сбыта. Служба (отдел) маркетинга получает:

    предложения по совершенствованию товаров (услуг), выявленные в ходе опросов, проводимых в товаропроводящей и товаросопровождающей сетях;

-         предложения по ликвидации необоснованных расходов по сбыту продукции;

          перечни удобств для потребителей, созданных в товаросопровождающей сети;

          схемы товаропроводящей сети и предложения по ее совершенствованию;

          сведения о заключенных договорах на поставку продукции;

          информацию об отказах от продукции;

          поквартальные данные о количестве поставляемой продукции по номенклатуре, предусмотренной заключенными договорами;

          рекомендации по содержанию рекламных сообщений;

          запросы о корректировке цен и предложения по изменении форм оплаты товаров (услуг).

Служба (отдел) маркетинга предоставляет:

    состояние и прогнозы развития спроса на продукцию на внутреннем и внешнем рынках;

-         рекомендации по созданию собственной дилерской или агентской сети;

          рекомендации по внедрению в существующие дистрибьюторские сети;

          предложения по привлечению для распространения товаров (услуг) комиссионеров и джаберов;

          предложения по организации франчайзинга товаров (услуг) по комплексным предпринимательским лицензиям в регионах;

          предложения по марчендайзингу (дизайну и оформлению фирменных магазинов, торговых точек и сервисных центров, расположению товаров в торговом пространстве);

          предложения по организации мобильной торговли и приближению товаров (услуг) к покупателю;

          инструкции по ведению переговоров для торгового персонала, менеджеров по телефонным и персональным продажам;

          копии графиков рекламных кампаний и прямых почтовых рассылок рекламной продукции;

          рекламные материалы по товарам (услугам), поставляемым предприятием;

          объекты стендовой рекламы для распространения в товаропроводящей и товаросопровождающей сетях;

          сведения о проведении выставок, ярмарок, салонов, аукционов, конкурсов, соревнований, тендеров, показательных испытаний;

          разрешения на корректировку цены и изменения форм оплаты товаров (услуг), согласованные с экономическими подразделениями предприятия.

Взаимодействие с отделом (управлением) внешнеэкономических связей. Служба (отдел) маркетинга получает:

    стратегические и оперативные планы международного сотрудничества и научно-технического обмена;

-         планы внедрения передового опыта предприятий стран ближнего и дальнего зарубежья;

          предложения зарубежных организаций о сотрудничестве на мировых рынках товаров (услуг);

          планы внешнеэкономической специализации и кооперации производства и поставок;

          заказы-наряды на экспортные поставки с отгрузочными реквизитами и последующими изменениями;

          перечень заказов-нарядов к исполнению на планируемый период по маршруту для заказа транспортных средств;

          проект плана поставок по группам стран на планируемый период.

Служба (отдел) маркетинга предоставляет:

    план мероприятий по улучшению качества и надежности изделий в соответствии с требованиями внешнего рынка и повышения конкурентоспособности продукции;

-         копии отчетов о поставке продукции на экспорт в разрезе года, квартала, месяца;

          данные по комплектации и отгрузке продукции на экспорт в соответствии с заданиями и условиями заказов-нарядов;

          предложения и дополнения к планам в стратегические и оперативные международного сотрудничества и научно-технического обмена;

          планы сотрудничества с зарубежными компаниями с учетом конкурентных преимуществ;

          заявки на получение от международных организаций информационных материалов по конъюнктуре рынка, новым конструкциям и технологиям производства, технической документации по инновационным товарам (услугам);

          предложения и условия по закупке лицензий и образцов новой зарубежной техники.

Мы видим широкий спектр взаимодействия службы маркетинга с другими отделами предприятия.

Таким образом, основной принцип (цель) маркетинга, определяющий его сущность, состоит в том, чтобы производить только то, что будет безусловно продано, и не пытаться продать то, что предприятие смогло произвести.

Предприятия, ориентированные на маркетинг, отличаются прежде всего наличием отдела маркетинга с четко прописанными функциями. В нем обязательно должны быть ответственные за исследования рынка (хотя бы один человек), за составление и реализацию маркетинговых планов, за рекламную политику, за продвижение и стимулирование сбыта.

2. Анализ организационной структуры маркетинговой службы ОАО "МТС"

.1 Краткая характеристика деятельности ОАО "МТС"

Потребительский рынок коммуникационных и смежных услуг на сегодняшний момент является чрезвычайно нестабильным, постоянно видоизменяющимся, трудно прогнозируемым явлением. Операторам, поставляющим соответствующие услуги и товары для получения устойчивого и всевозрастающего дохода просто необходимо постоянно тратить значительные ресурсы на выпуск качественного маркетингового продукта.

Представим краткую характеристику компании - непосредственного объекта исследования: ОАО "Мобильные ТелеСистемы" (далее - ОАО "МТС") - российская телекоммуникационная компания, оказывающая услуги в России и странах СНГ под торговой маркой "МТС". Компания оказывает услуги сотовой связи (в стандартах GSM, UMTS (3G) и LTE), услуги проводной телефонной связи, широкополосного доступа в интернет, мобильного телевидения, кабельного телевидения, цифрового телевидения и сопутствующие услуги, в частности услуги по продаже контента. По состоянию на март 2014 года компания во всех странах своего присутствия обслуживала более 107 млн. абонентов.

Наиболее важной причиной выбора организации маркетинговой структуры ОАО "МТС" является тот факт, что по итогам 2013 года Группа МТС - бессменный лидер по абсолютным значениям выручки, OIBDA и маржи OIBDA среди операторов "большой тройки" (МТС, Билайн, Мегафон). В 2013 году консолидированная выручка Группы МТС выросла на 5% до 398,4 миллиарда рублей, консолидированный показатель OIBDA увеличился на 8% до 175,0 миллиарда рублей, маржа OIBDA составила 43,9%. МТС является одной из компаний - "голубых фишек" российского рынка акций и входит в десятку крупнейших мобильных операторов мира по размеру абонентской базы.

ОАО "МТС" является одним из наиболее дорогих, диверсифицированных и разветвленных брендов Российского рынка, проводящий активную маркетинговую политику на протяжении значительного периода времени и, что не менее важно придерживающийся политики интенсивного развития и применения маркетингового арсенала и инструментария, справедливо полагая, что четкая, отлаженная и гибкая организационная структура (подвергавшаяся многократному реформированию) является одним из обязательных компонентов успеха.

В 2011 произошло разделение функций маркетинга и продаж в компании под руководством вице-президента по маркетингу и вице-президента по продажам и обслуживанию соответственно. Разделение трех критически важных направлений - продаж, маркетинга и операционной деятельности - и прямое подчинение директоров макрорегионов президенту ОАО "МТС" позволят компании ускорить процесс вывода на рынок новых конвергентных продуктов и услуг, а также повысить эффективность операционных процессов. В свою очередь, это положительно отразится на совершенствовании качества сервисов и укрепит стратегические преимущества компании в целом.

Данное разделение свидетельствует как о возросшем объем информационной и операционной деятельности, так и о накоплении достаточного опыта (и формировании объективной потребности) в деятельности специалистов по маркетингу ОАО "МТС". Отдельным аспектом является самостоятельное целеполагание и планирование развития организационной структуры маркетинга (получившей автономность в результате преобразований).

На сегодняшний день ОАО "МТС" - телекоммуникационная компания, обладающая значительным бюджетом маркетинговых исследований рынка сбыта и реализации выработанных концепций.

ОАО "МТС" - телекоммуникационная компания, производящая значительное число различных товаров и услуг, многие из которых ориентированы на различные группы потенциальных потребителей, что определяет гибкость и экстенсивный / диверсифицированный характер маркетинговой политики, которая по определению не может ограничиваться единожды выработанным набором приемов продвижения и интенсификации желаемых параметров продукта.

Основные конкуренты ОАО "МТС" (среди операторов "большой тройки") также соответствуют указанным выше пунктам (1,2), что позволяет говорить о том, что маркетинговое противостояние является ключом и основным компонентом конкурентного противостояния (в силу схожести товаров и услуг и соотносительном уровне цен и содержания пакетов услуг).

В рамках компании выделена самостоятельная вертикаль маркетинговой организации. Компания проводит значительное число маркетинговых инноваций (по крайней мере, для российского рынка), применяя широкий арсенал концептуальных общения с потребителем, являющихся свидетельством методологического и планомерного использования последних наработок европейской и американской теории маркетинга.

Последствия решений выработанных в рамках организационной структуры маркетинга МТС, могут быть легко отслеживаемы и проанализированы вследствие мощной медиа базы, высокого уровня publicity и информационного масштаба сопутствующего каждой маркетинговой компании оператора. Все это значительно облегчает задачу исследователя, в то время, как обилие фактологической базы позволяет приблизиться к широкой аргументации объективных выводов, избегая частных субъективных толкований одиночных, вырванных из контекста решений, структурных форм.

В рамках следующего подпункта рассмотрим непосредственную структуру маркетинга коммуникационного оператора ОАО "МТС", которая была формально определена в начале 2012 гг.

По мере исследования первоисточников, автор пришел к выводу, что руководство оператора совершало целый спектр близких во временном отношении кадровых и структурных перестановок в рамках внутренней системы маркетинга, меняя основных партнеров по маркетингу, в том числе заключая соглашения с компаниями, реализующими кампании по продвижению для своих прямых конкурентов. В целом данный факт позволяет полагать, что сам оператор считает собственную эффективность в указанной сфере недостаточной.

Вне всяких сомнений, повышение общего уровня практики маркетинга, создание качественной статистики и аналитики, проведение маркетинговых исследований, оптимизация всех инфраструктурных процессов, в первую очередь, за счет механизмов логистики маркетинга (т.е. эффективной и оперативной доставки идеи, заключенной в послании, до потенциального или уже включенного в сегмент оператора клиента) должны быть основными приоритетами в деятельности любого, даже малого оператора. В то время, как важность стройной маркетинговой организации приобретает особую важность масштабируясь вместе с ростом оператора.

Однако только теория и практика маркетинга позволяют предприятию обрести особую "чувствительность" к малейшим колебаниям рыночной среды, настроиться на целевого потребителя, преобразовать потенциальный спрос в реальный. Примечательно то, что в рамках деятельности ОАО "МТС" постоянно проводится исследование механизмов воздействия системы качества маркетинга в рамках конкретных кампаний по продвижению на всю совокупность количественно-качественных параметров.

Активным образом используются концепции стандартизации, процессной и структурной автоматизации и унификации в соответствии с принципами Системы менеджмента качества (СМК - стандарты ISO). Актуальность анализа эффекта СМК в управлении современного крупного оператора объясняется многими объективными факторами, например, относительным равенством в области технико-технологических достижений, что дает мощный стимул к развитию неценовой конкуренции, основанной на максимальной экономии и высоком уровне качественных характеристик, чрезвычайной широтой круга, регулируемых методами СМК - воздействия экономических отношений.

В рамках последующих глав и отдельных пунктов дипломного исследования осветим следующие структурные характеристики в организации деятельности по проведению маркетинговых информационных преобразований оператора МТС. Нельзя забывать, что маркетинг операторов "большой тройки" во многом связан между собой и может быть рассмотрен как единое взаимозависимое целое.

Таким образом, маркетинговая структура ОАО "МТС" во многом обращена на прием информации и противодействие соответствующим кампаниям конкурентов. Конкурентоспособность продукции - "это характеристика товара (услуги), отражающая его отличие от товара-конкурента как по степени соответствия конкретной потребности, так и по затратам на ее удовлетворение". В данном случае необходимо обратить особое внимание на два ключевых элемента конкурентоспособности продукции - потребительские свойства и цена.

Если отдельно рассмотреть ценовой фактор, то необходимо выделить удельную цену, под которой понимается отношение цены товара к полезному эффекту, отражающему оправданную отдачу его востребованных потребительских свойств в конкретных условиях. В ценовом плане, конкурентоспособность продукции определяется разницей стоимости товара и возможной ценой ее предложения на рынке. Переводя в непосредственную плоскость маркетинга, в ценовом плане, конкурентоспособность продуктов услуг определяется разницей стоимости, эффекта маркетинга и возможной стоимостью, эффектом предложения на рынке.

2.2 Организационная структура маркетинговой службы ОАО "МТС" как эффективный инструмент достижения целей и задач компании

В компании применяется структурный синтез, когда на различных иерархических уровнях применяется различный структурный тип, по всей видимости продолжающийся поиск оптимальной формы не позволяет полностью унифицировать отношения между отдельными факторами на основании единой структуры. С другой стороны, продолжается развитие потенциала каждого из "допустимых" теорией и практикой маркетинга направлений.

Рис. 2.1 Основные типы организационных структур

Теперь дадим развернутую характеристику основным компонентам организационной структуры, а именно:

-     структура, основанная на управлении посредством функциональных подразделений (рисунок 2.2);

-         структура, в которой управление осуществляется посредством управления сегментами (рисунок 2.3);

          матрица управления посредством функциональных подразделений и управления сегментами (рисунок 2.4).

Рис. 2.2. Структура, основанная на управлении посредством функциональных подразделений

Структура, представленная на рисунке 2.2 во многом схожа с матричной структурой управления и включает дирекцию по маркетингу, дирекцию по продажам и абонентскому обслуживанию, техническую дирекцию, финансовую дирекцию и HR-отдел.

Далее рассмотрим структура, в которой управление осуществляется посредством управления сегментами.

Рис. 2.3. Структура, в которой управление осуществляется посредством управления сегментами

На рисунке 2.3 представлена структура, основанная на процессе сегментирования, то есть деления потребителей на определенные группы по различным признакам.

Рис. 2.4. Матрица управления посредством функциональных подразделений и управления сегментами

На рисунке 2.4 представлена так называемая смешанная структура, объединяющая матричную структуру и структуру, основанную на управлении сегментами.

Далее представим структуру дирекции по маркетингу.

Рис. 2.5. Структура дирекции по маркетингу

Гигантская зона действия сети ОАО "МТС" вызывают значительные коммерческие и технические трудности. Например, терабайты данных хранятся во множестве систем на различных серверах и в сетевых архитектурах.

Оператор оказывает услуги и за рубежом, в также взаимодействует с огромным числом партнеров и клиентов по всему миру. Достаточно большой спектр товаров и услуг компании виртуален (не имеет реальной оболочки), что соответствующим образом умножает логистический момент маркетинга.

Маркетинговые компании оператора основаны также на принципах региональной локализации и индивидуальности и предусматривают воздействие на клиента не только посредством теле и Интернет-рекламы, но и в месте его пребывания в действительности.

Стремительный рост компании, основанный на использовании стандарта GSM, доступ к капиталу, сотрудничество с российскими и иностранными инвесторами, а также приобретение региональных операторов телефонной связи - все это возможно благодаря грамотному выстраиванию маркетинговой службы предприятия. Отсутствие стремительного роста в некоторые периоды сопровождался несколько хаотичными бесструктурными решениями, поиск оптимального позиционирования бренда, выход на новые маркетинговые рынки и уровни (например, при запуске нового продукта). Также следует отметить что приобретение региональных операторов телефонной связи привело к необходимости переработки, совершенствования, унификации, нового позиционирования, устранения и поглощения огромного числа локальных брендов и различных рентабельных маркетинговых ресурсов, на которые опирались новые компоненты ОАО "МТС" ранее.

Наконец, маркетинговое планирование при стремительном росте и постоянном внедрении принципиально новых продуктов крайне затруднено уже на среднем (тактическом уровне) не говоря уже о стратегическом долгосрочном мышлении. Основа маркетинговой структуры - базовый бренд компании (как выражение направлений движения и развития компании) долгое время оставался не определен, аналогично существующая структура часто вынуждена перестраиваться и расширяться за счет участия в новых проектах, новых рынках, новых потребительских группах (связано с учетом роста операционной деятельности и нагрузки на существующие человеко-мощности).

Отметим некоторые сложности, с которыми сталкивается служба маркетинга компании при работе на российском рынке:

-     высокий уровень оттока клиентов, связанный с различными ценовыми и неценовыми факторами;

-         низкая лояльность клиентов;

          "серый" рынок мобильных телефонов;

          наличие многочисленных дилеров.

Таким образом, распределение ресурсов внутри маркетинговой структуры обязано отвечать неравномерной динамике факторов внешней среды. Уровень оттока и низкая лояльность клиентов должны быть приоритетными задачами маркетингового направления. Кроме того, важным направлением является переориентация ценностей развития стратегических интересов ОАО "МТС". В данный момент времени эти приоритеты сместились с приобретения региональных операторов в сторону их интеграции.

Маркетинговая организация, как вся структура управления нуждается во внедрении "новой структуры управления, чтобы стандартизировать и оптимизировать выполняемые операции". Кроме того, маркетинговая организация нуждается во внедрении систем управления и контроля.

Как считают специалисты по маркетингу ОАО "МТС", компания успешно справляется с поставленными перед ней целями, так проблема низкой лояльности и оттока клиентов была решена. На сегодняшний день у ОАО "МТС" наблюдается один из самых низких показателей оттока абонентов мобильной связи. В третьем квартале 2013 года этот показатель составил 9,1% от абонентской базы за третий квартал.

Таким образом, организационная структура маркетинга ОАО "МТС" определяется целями, стоящими перед оператором. Данные цели во многом формируются хаотично (как оперативная ответная реакция на действия конкурентов) или же являются результатом предыдущих структурных несоответствий и недостатков.

Значительной проблемой является отличительная региональная характеристика деятельности. Программная автоматизация деятельности в компании обладает определяющей операционной процедурой. Все основные показатели производительности отслеживаются на региональном уровне, даже если все полномочия сосредоточены в центральном офисе компании. Поскольку на общую эффективность оказывается совокупное влияние различных основных показателей производительности процессов, мы разделили эти показатели на три разных уровня: корпоративный, функциональный и на уровне отдела.

Применительно к маркетингу, существуют три уровня показателей: корпоративный (матричный), функциональный и на уровне отдела (сегментный), умноженные на количество регионов. Дополнительно учитываются более релевантные центральные показатели, информационные моменты из основного "головного" элемента структуры маркетинга ОАО "МТС". Все вышеуказанные значения обладают различными приоритетами и внутренней иерархией по отношению друг к другу.

Все это, а также некоторые другие рассмотренные аспекты позволяют говорить о наличии потенциала к преобразованию и совершенствованию организационной структуры маркетинга оператора ОАО "МТС".

.3 Анализ функционирования существующей маркетинговой структуры ОАО "МТС"

Организованная деятельность специалистов по маркетингу компании по достижению данных целей основана на целом ряде инструментов и алгоритмов действия, среди них важнейшим является SAS® Telecommunications Intelligence Solutions, которые должны оптимизировать:

-   управление эффективностью бизнеса;

-         автоматизацию маркетинговой деятельности;

          обнаружение случаев мошенничества;

          удержание клиентов;

          сегментацию заказчиков;

          перекрестные/дополнительные продажи.

Автоматизация процессов позволила достигнуть необходимой согласованности действий всех сотрудников департамента маркетинга ОАО "МТС", а также предоставила возможность накопления и многократного использования опыта решения маркетинговых задач.

По мнению автора, максимальная автоматизация маркетинговой структуры является обязательной, несмотря на то обстоятельство, что наиболее важные креативные элементы не могут быть автоматизированы и отданы "на откуп" программному обеспечению, так как:

    позволяет освободить человеческий ресурс от информационной обработки, сбора и исследования данных, соотнесения количественных значений и т.п.;

-         уменьшает время реального реагирования на изменения - в сборе feedback (ответной реакции) на реализованные действия и на действия конкурентов. Позволяет максимизировать количество обрабатываемых источников первичных данных для повышения эффективности планирования перспективных действий;

          уже свершившаяся автоматизация финансовой, логистической и иной деятельности компании не позволяет нарушить принцип комплексного подхода к управлению качества деятельности организации;

          позволяет максимизировать количество обрабатываемых источников первичных данных для повышения эффективности планирования перспективных действий.

К вопросу о сегментировании клиентопотока важно присовокупить важные моменты из собственного опыта компании - кампанию "по продвижению услуг ОАО "МТС", когда огромные средства были брошены на перепозиционирование торговой марки. Эти затраты легли в виде завышенных тарифов на плечи рядовых потребителей, часть которых переключилась на услуги более дешёвых операторов связи. В результате значительная часть клиентуры была "подарена" более экономичному конкуренту ОАО "Мегафон".

В данном случае возникает вопрос - необходимо ли строить всю деятельность маркетинга вокруг развития и укрепления бренда, который является краеугольным камнем всего здания или необходимо относится к бренду, как к гибкому преходящему явлению - ресурсу, эффективность которого проявляется лишь в общей системе.

В рамках данной ситуации автор отмечает, что, как ни парадоксально, затратный маркетинг напрямую снижает эффективность от продажи товаров и услуг - объектов продвижения, так как покрытие средств на его потребление будет реализовано из полученной прибыли. Деньги, потраченные на подзабытую уже рекламную кампанию, можно было бы передать клиентам в виде снижения тарифов или скидок. Что немедленно и сделали конкуренты, перепозиционировав свои услуги в низший (и самый большой) ценовой сегмент потребительского рынка.

Теперь подробным образом рассмотрим внутренние алгоритмы деятельности маркетинговой организации. В рамках индивидуально-разработанной системы было важно сделать более управляемыми процессы подготовки маркетинговой информации и увеличить прозрачность работы корпоративного маркетинга.

Примечательным является объединение всей структуры, то есть всех участников за счет создания большого числа внутренних связей между отдельными участникам маркетинговой организации (даже отвечающих за деятельность в различных регионах, продвигающих различные продукты и относящихся к иерархически отделенным и не соотносящимся сегментам общей структуры).

К таким самостоятельно эволюционировавшим связям относятся:

-   единый информационный пул;

-         прямой доступ к экспертам в профильных направлениях;

          обмен опытом;

          реструктуризация организации в случае проведения кампании не по региональному принципу (например, с использованием универсальных каналов коммуникации или с виртуальной дистрибуцией и т.п.).

Кросс-матричная структура, используемая в компании, предусматривает дополнительное горизонтальное взаимодействие между сегментами и иными подразделениями, как допустимое и "нормальное", что значительным образом влияет на структуру и внутренние отношения в целом, особенно в аспектах анализа информации и эффективного контроля функциональной деятельности.

Маркетинг такой крупной организации нуждается в значительных кадровых ресурсах, так что многочисленные структурные подразделения должны изыскивать качественный человеческий капитал обновления и экстенсивного расширения своей деятельности. Так, примером подобной деятельности является "Практический маркетинг для желающих шагать впереди" - это шесть практических семинаров для студентов от лучших специалистов по маркетингу ведущих компаний страны:

-     организационная структура маркетинга в крупных компаниях;

-         работа с творческими подрядчиками;

          оценка идей творческих подрядчиков;

          взаимодействие маркетинга с PR;

          организация мероприятий и спонсорство;

          проведение исследований;

Важным направлением работы службы маркетинга ОАО "МТС" стал запуск уникального образовательного проекта для студентов, в котором роль преподавателей сыграют специалисты по маркетингу ведущих российских компаний.

Таким образом, в результате проведенного дипломного исследования на основе анализа теории, практической деятельности были выявлены наиболее существенные закономерности и взаимосвязи в процессе практической реализации принципов построения организации маркетинговой структуры на примере оператора ОАО "МТС".

Были проанализированы взаимосвязи между механизмом принятия решений руководством и действиями, направленными на реализацию данных решений посредством маркетинговых инструментов. Вне всяких сомнений грамотный, компетентный специалист по маркетингу в своих действиях опирается на результаты, полученные в ходе различных практических исследований того или иного аспекта реализации товара или услуги потребителю. Оптимальная структура маркетинга, как комплексное явление, способна влиять не только на исключительно экономические процессы, но и активно преобразовывать технико-технологические параметры производства (приобретения, выбора песпективного продукта) и реализации, что делает его универсальным инструментом воздействия.

Независимо от того, что ОАО МТС уже завоевал положительную репутацию на рынке, целесообразным является проведение различных мероприятий и организационных ходов в рамках собственно управленческой деятельности, направленные на оптимизацию реагирования предложения на постоянно колеблющийся спрос.

3. Совершенствование организационной структуры маркетинговой службы предприятия (на примере ОАО "МТС")

.1 Структурная модификация маркетинговой службы предприятия

Одной из отправных точек в данном дипломном исследовании является факт того, что маркетинг (продукт маркетинговой деятельности) может быть представлен как совокупность процессов заключенных в стабильную структуру взаимоотношений, которая может быть скорректирована на достижение максимального потенциала в использовании внутренних скрытых ресурсов продукта или услуги.

Более того, локализованный результат маркетинга (в данном случае -кампания по продвижению нового тарифа ОАО "МТС") рассматривается как самостоятельный продукт, а товар (непосредственные услуги, сопутствующие устройства и доступ к более совершенным технологиям) как сопутствующие атрибуты, символы сопричастности.

Характеризируя потребительские свойства, необходимо отметить, что это "характеристики товара, направленные на удовлетворение требований потребителя, которые он предъявляет к товару с учетом условий его использования по назначению". На примере потребительских характеристик мы можем наблюдать парадокс прямого взаимодействия качества и конкурентоспособности товара/услуги: самый высококачественный товар может не найти покупателя, оказаться неконкурентоспособным, если он не соответствует условиям потребления.

В условиях развитого конкурентного рынка маркетинг становится эффективным средством решения проблемы качества и конкурентоспособности товаров, в то время, когда конкурентоспособность становится решающим фактором его коммерческого успеха на рынке. Конкурентоспособность товара можно определить только практически, сравнивая товары конкурентов между собой. Вследствие этого, конкурентоспособность - понятие относительное, чётко привязанное к конкретному рынку и времени продажи.

Таким образом, маркетинг может быть доминирующим структурным элементом над всей матрицей продаж товара и указанное выше реформационное разделение маркетинга и продаж на две независимые и самостоятельные структуры не отражает соотношения сосредоточенного потенциала между двумя группами сегментов.

Поэтому первичное преобразование структуры маркетинга на уровне ОАО "МТС", по мнению автора, должна включать в себя следующие направления.

В первую очередь, необходимо сформировать мощное подразделение, отвечающее за конкурентоспособность маркетинга оператора с акцентами на исследование рынка клиентов и их предпочтений именно в сфере выбора содержания и типа желательных каналов коммуникации.

Для применения методологических методов определения конкурентоспособности маркетинга необходимо, в первую очередь, сформулировать цель будущего исследования. Исходя из поставленной задачи, будет возможно выбрать критерии сравнения и базовые примеры маркетинговых операций сравнения. При анализе должны использоваться те же категории, которыми оперирует потребитель, выбирая товар (в данном случае выражая симпатию маркетинговому продукту). По группам параметров (технических и экономических, креативных) проводятся сравнения для выяснения, насколько параметры близки к соответствующему параметру потребности. Так будет сформирована концепция потребности в маркетинге, которая будет существовать вне привязки к конкретному товару.

На первой стадии проводится экспериментальное определение или расчет всех характеристик собственного маркетинга. Определяется набор базовых закономерностей соответствующих большинству кампаний, несмотря на их концептуальное разнообразие. Определяются отличительные особенности и тенденции.

На второй - определяются цели оценки конкурентоспособности. На третьей - методами маркетинга проводятся сегментация рынка и обоснование целевого сегмента.

На сегодняшний момент одним из наиболее эффективных путей достижения конкурентного преимущества является именно внедрение систем менеджмента качества (СМК). С точки зрения темы дипломного исследования особенно важно отметить, что СМК подразумевает в первую очередь структурную реорганизацию как основной и первоначальный шаг на пути к дальнейшим преобразованиям любой сложности.

На отечественном рынке большое количество компаний и производителей за последнее время отдают предпочтение различным системам сертификации и стандартизации организационной структуры, с тем, чтобы в ближайшей перспективе их кампании и маркетинговые проекты вышла на качественно новый уровень и в конкурентной борьбе вытеснила соперников с целевого рынка.

Применение технологий СМК в рамках предприятий (например, адаптированного международного стандарта качества ISO 9001) позволяет компании при сравнительно небольших издержках раскрыть большой ресурсный потенциал внутри, за счет оптимизации процессов, механизмов информационной логистики, коммуникации между подразделениями и т.п. В конкурентной борьбе система менеджмента качества направлена на реализацию внутренних возможностей и мощностей предприятия, а не на подавление конкурентов или привлечение внешних ресурсов. Таким образом, СМК является мощным инструментом в повышении эффективности и, как следствие, в развитии определенных конкурентных преимуществ конкретного товара или услуги.

Одним из ключевых аспектов является акцент на изыскание внутренних ресурсов без значительного удорожания маркетинговых проектов, что как отмечено выше снижает общую рентабельность.

Обратимся к возможным векторам трансформации структуры маркетинговой службы и их обоснованиям, что возможно реализовать несколькими методами:

-     методом расчетных единичных и групповых показателей;

-         методом с использованием функции желательности;

          методом многокритериальной оптимизации и т.п.

На первом этапе выбирается база сравнения, в качестве которой может выступать либо лучший из уже существующих на целевом рынке товар-конкурент (маркетинговый продукт и соответствующий источник - организационная структура оператора + совокупность источников аутсорсинга), либо некоторый абстрактный эталон. На втором этапе выделяются наиболее значимые для потребителя критерии.

Обратимся к проблеме излишнего дробления управляющей вертикали и связующей горизонтали в рамках маркетинговой структуры. Необходимо избрать функциональный или любой иной триггер (индикатор, отправная причина) для создания нового сегмента, подразделения в рамках уже существующей структуры.

Важным направлением исследования является оценка конкурентной позиции отдельных сегментов структуры (главным образом речь идет о внутренней конкуренции - перераспределении ресурсов между отдельными подразделениями внутри существующей иерархии), осуществляемая по двум показателям: качество - цена. Такую оценку рекомендуется осуществлять в следующей последовательности:

-     оцениваются продукты данного сегмента и его главных конкурентов на исследуемом участке по двум критериям: интегральному показателю качества, характеризующему уровень потребительских свойств "товара", его способности решать проблемы потребителей, и цене;

-         все исследуемые сегменты наносят на поле матрицы качество - цена, используя в случае необходимости в качестве третьей координаты объем реализации (диаметр окружности) - отсылки к продажам необходимы на каждом этапе, поэтому объединение двух столь близких направлений деятельности оператора вполне органично и закономерно;

          для всей совокупности анализируемых сегментов определяется среднее значение показателя качества и цены и проводятся линии, характеризующие эти средние значения;

          подобная оценка проводится для всех важнейших рынков и направлений деятельности;

          по степени концентрации продуктов сегментов-конкурентов в различных квадрантах матрицы определяется острота конкурентной борьбы на отдельных рынках (клиентов, сбыта, ифнормации) и на совокупном рынке;

          исходя из принципа предпочтительности деятельности на рынках, где острота конкурентной борьбы наименьшая, корректируется производственно-сбытовая политика с точки зрения качества, цены выпускаемой маркетинговой продукции и рынка. Например, осуществляется переход на выпуск более простой, но и более дешевый маркетинг или любое иное перераспределение ресурсов.

Таблица 3.1

Классификация факторов, оказывающих влияние на качество маркетинговой продукции, как основа структурной сегментации ресурсов оператора ОАО "МТС"

Факторы

Технические

Организационные

Экономические

Социальные

 вид изготавливаемой продукции серийность ее создания (степень отражения, автоматизации, адаптация под алгоритмы конвейера); состояние технической документации - методология (путь и способ) создания удачного продукта; качество технологического оборудования инструмента - соответствие программное и аппаратное обеспечение, скорость информационного потока - состояние испытательного оборудования - среды/ экспериментальный полигон для экономичного апробирования потенциала - качество средств измерения и контроля; - качество исходных материалов, сырья, комплект. Изделий (физические/фактические характеристики товаров - объектов продвижения)

обеспеченность материалами, информацией, соответствующими директивами и полномочиями -техническое обслуживание оборудования, гаджета, товара - полнота информации о характеристиках продукта или технологии.+ экспертная поддержка; -планомерность и ритмичность работы; -организация работ с поставщиками, партнерами, аутсорсинг; -организация информационного обеспечения; - научная организация, культура общения, креативного поиска; -организация питания и отдыха

-форма оплаты труда и величина зарплаты; -премирование за высококачественную работу; премирование за инициативу и позитивные действия "сверх"; -удержание и иные санкции за "брак"; -соотношение между качеством продукции маркетингового сегмента, себестоимостью и ценой; -организация и проведение финансовой и иной численной/ количественной отчетности

-состояние процесса обмена информацией, научения, -подбор, расстановка кадров и перемещение кадров; -организация учебы и повышение квалификации; взаимоотношения в коллективе; - организация отдыха в нерабочее время


Конкурентоспособность и качество - взаимосвязанные экономические характеристики, поэтому факторы, оказывающие влияние на качество продукции или услуг и на конкурентоспособность ОАО "МТС", целесообразно представить в совокупности в таблице 3.1.

Только путем системного и комплексного, взаимосвязанного существования технических, организационных, экономических и социальных мероприятий на научной основе можно быстро и устойчиво совершенствовать качество маркетинговой продукции. В общем и целом нормы стандартизации и сертификации в вопросах упорядочивания структурных отношений между различными участниками процесса позволяют значительно улучшить качественные показатели выпускаемой продукции и тем самым упрочить позиции оператора на рынке. Однако при условии, что все конкурирующие операторы прошли аналогичные системы сертификации и СМК, ситуация опять выравнивается, ни одна из сторон не получает достаточного конкурентного преимущества. Вследствие чего, необходимо постоянно исследовать новые подходы и варианты потенциального улучшения качественных характеристик.

Качество продукции - важнейшая составляющая эффективности, рентабельности маркетинга и поэтому ему необходимо уделять постоянное внимание. Заниматься качеством должны все - от директора подразделения до конкретного исполнителя любой операции. Все процессы по обеспечению, проектированию, сохранению качества объединены в систему управления качеством.

В соответствии с данным моментом автор подчеркивает важность аутсорсинга. Если некоторые процессы переданы во вне то их нельзя выключать из общей структуры маркетинга (фактически они являются её частью, но частью с обременениями - уменьшенные возможности воздействия, корреляции, замедленная коммуникация, меньшая мотивация, нагрузка на стандартизацию и автоматизацию - информационную логистику, отсутствие опыта взаимодействия, дополнительные расходы )

В международных стандартах ИСО серии 9000 уделяется особое внимание удовлетворению запросов покупателя, установлению ответственности, оценке возможных рисков и преимуществ. Несомненно, что включение в систему обеспечения качества рассмотренных выше составляющих будет способствовать её эффективности.

Отдельное подразделение должно сфокусироваться на сборе соответствующей информации у клиентов и потенциальных клиентов оператора, при этом данная информация не должна быть только ответом на предложения оператора, но и наоборот, предложение должно мотивироваться потребностью клиентов изначально.

Каждый элемент структуры маркетинга должен обладать возможностью совершить запрос в рамках указанного выше сегмента информационных коллекторов с тем, чтобы не прогнозировать потенциальный исход своих действий а аргументировано основываться на статистике и аналитике.

Необходимо контрольное подразделение, основной целью которого будет перераспределение ресурсов от наименее рентабельного сегмента к наиболее рентабельному и санация всей организации за счет обновления и реструктуризации "не оправдавших" доверие компонентов.

Организовать строгий контроль качества оказываемых услуг, выполняемых работ. В первую очередь, через выработку системы стандартов и требований к каждой отдельной операции проведения кампаний по продвижению и иных проектов, технологическому процессу, а также доведения этих нормативов до исполнительного персонала. Четкие производственные инструкции, основанные на лучших отраслевых и внутренних методах решений проблем взаимодействия с клиентом и его мотивирования с одной стороны, упорядочат деятельность, облегчат развитие профессиональных навыков у молодых специалистов, а с другой стороны, позволят контролировать процесс на основе единых стандартов и критериев.

Еще одним методом формирования структуры оператора может быть процессный метод, где каждый (совокупность) операционный, управленческий и иной параллельный процесс в рамках деятельности специалистов по маркетингу приводит к созданию небольшого самостоятельного сегмента полностью сосредоточенном на достижении высокой эффективности именно посредством совершенствования данного локализованного процесса.

Рис. 3.1.Связь процессов управления качеством

Любой сегмент структуры в рамках системы менеджмента качества может быть оценен по следующим группам характеристик:

-     результативность и степень достижения запланированного (на определенный срок) результата, достижение поставленной цели;

-         эффективность соотношение между достигнутым результатом и затратами на его достижение (время, финансы и другие ресурсы, затраченные в процессе);

          дополнительные характеристики (нецелевые результаты осуществления процесса).

Промежуточный вывод заключается в том, что несмотря на то, что основной креативный элемент не имеет адекватной математической корреляции эффективность данного элемента может быть оценена в математическом выражении, следовательно, и вся структура может иметь гораздо более широкий конструкционный источник, нежели региональный или функциональный варианты построения.

Второй промежуточный итог заключается в том, что необходим структурный элемент, с целью оценки качества предполагаемого маркетингового продукта до непосредственного соприкосновения с широким потребителем (затраты потенциально потерянных/ не эффективных ресурсов). Несмотря на всю субъективность восприятия, управленческий контроль должен включать элементы перспективного анализа - просчитывая реакцию на еще не существующую кампанию.

Наконец, автор полагает, что именно гибкость и модульность (модуль, как термин, выражающий автономный самостоятельный компонент, который может быть соединен с другими модулями для решения сложных задач в любых последовательностях и условиях) должны лечь в основу принципиально новой структурной организации оператора МТС.

.2 Разработка модульной организационной структуры маркетинговой службы ОАО "МТС"

В ходе подпункта будет раскрыта авторская модульная схема по созданию частной (предметной - для решения единичной предметной задачи) структуры организации для рассматриваемого коммуникационного оператора - ОАО "МТС".

Контрольный тип модуля - специализированный модуль, основная функция которого - анализ качества, посредством которого с помощью данных и статистических методов определяется отношение между точными и замененными качественными характеристиками.

Как отмечено выше, непосредственный анализ качества ключевого процесса создания и развития новых креативных инициатив не проводится. Проводятся два опосредованных анализа:

-     анализ качества инфраструктуры "процесса создания и развития новых креативных инициатив" - информационной базы, квалифицированного целеполагания, необходимой технологической базы, временных, кадровых и финансовых ресурсов. Т.е. исследования до момента непосредственного поиска решения посредством инструментов маркетинга;

-         анализ качества инфраструктуры "процесса создания и развития новых креативных инициатив" - изменений, имевших причиной конкретный маркетинговый ход оператора. Т.е. исследования после момента непосредственного поиска решения посредством инструментов маркетинга и даже более после момента завершения кампании в целом (или начального интегрального этапа).

Организационный (сборный) тип модуля - инициирующий весь процесс. Основная функция - анализ процесса, позволяющий уяснить связь между причинными факторами и такими результатами, как качество, стоимость, производительность и т.д. Контроль процесса предусматривает выявление причинных факторов, влияющих на бесперебойное функционирование маркетингового процесса.

Получив управленческую директиву в рамках данного модуля, определяются потребности будущего проекта и из пула всех ресурсов оператора набираются необходимые микромодули (сегменты специалистов, экспертов, партнеров, технологий) для движения к цели конкретной кампании. Именно за счет данного модуля структура может приобретать уникальный и неповторимый вид, с тем, чтобы удовлетворять требованиям конкретной задачи

Для технических систем характерна жесткая функциональная интеграция всех элементов, поэтому в них нет второстепенных элементов. В данном случае необходимо избегать любого стороннего воздействия на инициативу и свободу решений организационного (сборного) типа модуля. Таким образом, допустимо использование системного метода в обход локальной или общей иерархии и соподчинения.

Системный подход позволяет объективно выбирать масштабы и направления управления качеством, виды операционной деятельности, формы и методы реализации процесса, обеспечивающие наибольший эффект усилий и средств, затраченных на повышение качества маркетинговых усилий и поиска решений.

Модуль аутсорсинга - когда основные ресурсы модуля привлечены из вне, если оператор не обладает достаточными ресурсами (или не может их использовать в данное время в рамках конкретной структуры), то необходимо для максимальной эффективности воспользоваться внешними потенциалами.

Одним из возможных вариантов данного модуля может быть внешний маркетинговый аудит (оценка эффективности с привлечением сторонних объективных наблюдателей)

Внешний аудит (как комплекс инициатив по обмену мнениями, совершенствованию коммуникации, социальные эксперименты), проводимые клиентами (постфактум) (второй стороной) и независимыми экспертами (третьей стороной) обеспечивают, соответственно, доверие клиентов, которые чувствуют себя вовлеченными в общий процесс развития и формирования бренда и конкретных услуг, которые по мере создания, они будут готовы приобрести.

На уровне ОАО "МТС" необходимо применять использование стандартов маркетинга во взаимодействии с клиентом: мотивированным заинтересованным лицом.

Рассматривая практическую реализацию, следует отметить, что изначально важно рассматривать маркетинг как ответ на непосредственные требования потребителей. В данном случае, руководство рассматриваемого оператора играет ведущую роль, но движущей силой является внешнее заинтересованное лицо (потребители).

Автор считает необходимым проведение анализа рынка компаний, предлагающих услуги в области маркетинговых инноваций и стандартизации/ автоматизации их деятельности (желательно международного уровня и специализирующейся именно на крупных компаниях). Важно отказаться от использования не личных ресурсов оператора в рамках маркетинга и, поэтому важно создать необходимые сегменты в рамках собственной структуры (для оптимального использования чужого опыта возможно заключение краткосрочных партнерских соглашений).

Маркетинговым структурам ОАО "МТС" необходимо самостоятельно проанализировать существующую систему менеджмента и взаимодействия, оценить степень соответствия действующей у оператора системы требованиям стандартов и изначальному посланию/ концепции всей организации.

На основе данного исследования целесообразно разработать практические рекомендации по доработке системы маркетинга с целью достижения соответствия ее установленным требованиям. Внутренний аудит способствует установке направлений деятельности, реализация которой обеспечит соответствие действующей системы менеджмента требованиям принятых у оператора стандартов.

По мнению автора, оператор ОАО "МТС" извлечет не малую пользу из проведения интенсивного, специализированного обучения (повышения квалификации) высшего, среднего и оперативного руководства. Желательно разработать учебно-методические материалы на основе практической деятельности или отрасли в целом. Необходима разработка и постоянное совершенствование механизма внутреннего обучения персонала вне зависимости от ранга и стажа работы. На сегодняшний момент маркетинг-процессы представляют собой высокотехнологический междисциплинарный синтез теоретических и практических знаний, поэтому неготовность исполнителя или руководителя принять и осознать все преимущества данной системы может крайне негативно сказаться на процессах производства и планирования.

По мнению автора, ситуация, в которой рядовой специалист по маркетингу обладает более глубокими (пусть даже в небольшой специализации) познаниями, чем его руководитель, не позволяет менеджеру эффективно контролировать процесс, предугадывать последствия позитивных и негативных действий, оценивать качественный уровень и порой четко усматривать причинно следственную связь в целом.

Автор считает, что для оптимизации структуры маркетинговых процессов, необходимо проанализировать сложившуюся организационную структуру оператора, скорректировать ее в соответствии с требованиями интегрированной системы менеджмента. Для разрешения потенциальных противоречий необходимо создать отдельную, самостоятельную, независимую ветвь управления и контроля за процессом, подчиненную непосредственно совету директоров или генеральному директору (аналог судебной власти, которая будет обладать оперативной компетенцией над несколькими различными сегментами объединенными временно для участия в едином проекте, но по умолчанию, имеющим различных руководителей). К задачам нового подразделения будет отнесен общий контроль за внедрением, использованием и совершенствованием любых структурных инноваций на всех стадиях технологического процесса.

В зависимости от фактического состояния структуры управления маркетингом оператора необходима соответствующая корректировка объемов работ. Таким образом, взаимоувязку бизнес-процессов и процессов СМК необходимо проводить на основе главенства принципов повышения качества, следовательно, если возможен рост объема маркетинговой "продукции" без ущерба качеству и долгосрочной перспективе взаимоотношений с потребителем, то такой рост необходимо реализовать. В противном случае, свободные ресурсы и мощности лучше употребить на развитие качественной составляющей уже запущенного цикла;

Вне всяких сомнений следующим шагом, в развитии СМК для ОАО "МТС" должны быть разработка и внедрение комплексной (интегрированной) системы менеджмента маркетингом (в сочетании с внутренним аудитом и корректировочным анализом), которая объединила бы разрозненные стандарты различных структурных подразделений единый механизм. Интегрированные системы менеджмента строятся на основе системного подхода к управлению, позволяющего связать в единое целое различные аспекты деятельности, оказывающие в итоге значимое влияние на успешную работу всего целого. Деятельность любого оператора связана с рисками, которые определяют основные потери.

Целью создания интегрированной системы менеджмента маркетинга является совместное оптимальное управление рисками, позволяющее сократить требующиеся оператору материальные и организационные ресурсы. Таким образом, возрастет использование внутреннего потенциала, и, что самое важное, начнет функционировать превентивный (предварительный, аналитический) контроль за потенциальными угрозами и рисками компании, таким образом Оператор получит эффективное планирование и прогнозирование своей деятельности, своеобразную страховку функциональных процессов. Ключевым преимуществом внедрения подобной системы является уменьшение числа внутренних и внешних связей в интегрированной системе, по сравнению с суммарным числом этих связей в нескольких системах.

Нельзя не упомянуть о необходимости разработки особой политики и древа целей в маркетинговой эволюции оператора, так как данный элемент внутренней политике (к сожалению, недооцененный у отечественного производителя, как "символический") позволяет в полной мере раскрыть моральные, личностные ресурсы исполнителей и управленческого штата любого экономического фактора;

Автор считает необходимым перераспределение ответственности и полномочий в комплексной системе менеджмента структуры маркетинга. Данная мера послужит прекрасным дополнением к общей модернизации системы управления и структурной иерархии в рамках рассмотренной структуры. Безусловно, нечеткое разделение полномочий и диспропорции в объеме прав и обязанностей руководящего состава ведет к произволу и недостаточному контролю за практической реализацией СМК и любых одобренных инициатив. Неслучайно, компании прошедшие сертификации аналогичные ISO, среди главных преимуществ и изменений отмечают именно перераспределение властных полномочий внутри предприятия именно в пользу наиболее продуктивно и эффективно функционирующих подразделений;

По мнению автора, желательно ввести в организационную структуру подразделения отвечающие за управление несоответствующей (нестандартной) продукцией (точнее псевдо случайными результатами деятельности маркетингового механизма). Логично предположить, что в процессе освоения новых стандартов и требований, возможно образование большого объема продукции несоответствующей по тем или иным показателям плану (то есть решений предложений инициатив не уместных при решении конкретной ситуации, но обладающих потенциалом к реализации в качестве отдельного проекта).

Также нельзя забывать о техническом и концептуальном сопровождении уже "произведенных" решений и идей и доработки готового информационного продукта в соответствии с требованиями заказчика.

Таким образом, модульная структура маркетинга организационной структуры оператора ОАО "МТС" способна обеспечить выполнение целого ряда незаменимых функций, имеющих жизненно важное значение для всего цикла информационного создания, трансляции, восприятия и поглощения и преобразования. К таким элементам относят выработку и аргументацию стратегии именно производственной деятельности оператора - вопрос ввода тех или иных товаров и технологий на рынок, ввода конкретных услуг в торговую сеть, разработка собственных продуктов, инвестиции и т.п., а также координацию деятельности по формированию и проведению закупочной, сбытовой и сервисной политики оператора, направление и опосредованное перераспределение ресурсов.

Если маркетинговая структура создала или усовершенствовала определенный канал коммуникации с пользователем, создав тем самым локальный и временный дефицит предложения товара или услуги, то подобная возможность должна быть зафиксирована и реализована также посредством ресурсов маркетинговой структуры. Именно поэтому автором в работе предложен механизм объединения смежных направлений деятельности оператора в рамках домината маркетинговых приоритетов. Для достижения данной цели необходимо проведение анализа внутренней и внешней среды, анализа конкурентов, сегментирование рынка и позиционирование услуги, ценообразование, формирование ассортимента и формулирование требований к качеству продукции и обслуживанию клиентов, продвижение, формирование и поддержание положительного имиджа предприятия и торговых марок.

4. Оценка эффективности предложенных мероприятий

.1 Компьютерное обеспечение проекта

В рамках компьютерного обеспечения дипломного проекта были использованы различные вспомогательные инструменты. Перечислим их.

Операционная система Windows 7 представляет собой успешную, зарекомендовавшую себя версию операционной системы Windows. Основанная на технологии Windows NT, Windows 7 включает многие черты Windows Vista, в том числе внешний вид и набор функций. Помимо этого, Windows 7 предлагает новые функции, упрощающие взаимодействие с сетью и Интернетом, и более эффективную защиту данных. Windows 7 успешно работает как на компьютерах, подключенных к сети, так и автономных, и совместима с большинством программ, ориентированных на Windows XP, Windows Vista.

Интерфейс Windows 7 содержит новый экран с понятным интерфейсом, упрошенное меню и многое другое. Windows 7 превращает работу с персональным компьютером в удовольствие. Мощность, быстродействие, новый внешний вид, множество справочных данных, доступных при первой необходимости. Windows 7 обладает всеми этими качествами, а также непревзойденной надежностью и безопасностью. Возможно, организовать совместный доступ к файлам, фотографиям, музыке, принтерам и даже подключение к Интернету.7 предлагает мощную справочную систему, которая включает контекстно-ориентированный поиск, раздел справки, а также запрос о поддержке и выбор задания. С помощью этих инструментов можно найти ответ на любой вопрос, касающийся функционирования Windows.Office for Windows - это универсальная, многозадачная и многопоточная система, с графическим интерфейсом и расширенными сетевыми функциями, позволяющими совместно использовать ресурсы компьютера различными программами. Несомненным достоинством системы является интерфейс в виде рабочего стола, позволяющего быстро работать с приложениями, инструментами и файлами. Данный интерфейс легко настроить под индивидуальные запросы пользователя.

В стандартную версию данного пакета входят MS Excel, MS Word, MS Power Point и другие. Данные программы позволяют реализовать решения сложных задач, автоматизировать рутинные процессы, эффективно организовывать обмен информации.

Электронные таблицы MS Excel представляют собой мощную систему с графическим интерфейсом, оперативной подсказкой, "мастером", встроенным языком программирования, а также в программе имеется 400 математических, статистических и других функций. С помощью электронных таблиц можно создать таблицы, различные диаграммы, рисунки, подготовить отчеты, провести анализ финансового положения или составить прогноз на будущее.может работать не только с цифровыми данными, но данными других типов. Текст в Excel используется наравне с цифрами, что позволяет изготавливать различные, в том числе платежные и бухгалтерские документы. Для формирования документов, принятых в нашей стране, имеется большое количество шаблонов. Excel позволяет строить графики и диаграммы.

Основной тип документа в Excel - это книга. Книга может состоять из нескольких листов, на каждом из которых может располагаться отдельный документ. Например, на первом листе - таблица, на втором - диаграмма или график, на третьем - другая таблица или диаграмма. То есть в книге на разных листах может быть несколько таблиц. Механизм связей обеспечивает автоматическое изменение по всем таблицам и диаграммам при внесении изменений на одном из листов.

Еще одной интересной особенностью Excel является возможность работы с таблицами, удовлетворяющими определенным условиям, как с реляционной базой данных.

Текстовый редактор MS Word - одна из самых популярных программ. Текстовый редактор позволяет вводить, выводить, редактировать, форматировать, импортировать текстовые файлы, осуществлять автоматическую орфографическую проверку текста. Он так же позволяет осуществить автоматизированный процесс форматирования документов (рамки, заголовки, списки, шрифты), выделять текст разными цветами. С его помощью был написан основной текст дипломного проекта.

В интегрированной среде Microsoft Office Word является одной из самых популярных программ. Это объясняется теми возможностями, которые характеризуют Word:

-    использование шаблонов для ускорения создания документов конкретного типа;

-         одновременная работа с нужным количеством документов;

          автоматическая проверка орфографии, грамматики и даже стилистики в тексте;

          коррекция наиболее часто повторяющихся ошибок;

          широкие возможности форматирования текста, многоколоночная верстка;

          использование стилей для формирования документа;

          автоматизация ввода повторяющихся и стандартных элементов текста;

          включение в текст объектов, созданных другими программами Microsoft Office - таблиц, графических изображений, текстов;

          возможность подготовки гипертекстовых документов для сети Интернет;

          работа с математическими формулами;

          автоматизированное создание указателей и оглавлений;

          возможность отправки готового документа по факсу или электронной почте;

          встроенный мастер подсказок и развитая система помощи.Point - программа презентационная, которая также входит в состав многофункционального пакета Microsoft Office. Она представляет собой слайд-шоу и позволяет комбинировать звук, анимацию и видео. В данной программе хорошо продуманный интерфейс, в котором все необходимые меню, инструментальные средства. Благодаря этому можно добавлять текст, графику, делать плавные появления и исчезания надписей, картинок, сопровождать текст звуковыми эффектами. Предназначена для подготовки иллюстративного материала к докладу, защите курсовой или дипломной работы.

Несмотря на то, что в нашу жизнь все больше проникают электронные документы, бумажные источники информации по-прежнему не теряют своей актуальности. Все мы читаем книги, газеты и журналы, получаем факсы, письма, отчеты, материалы с выставок и множество других печатных документов. Как было бы здорово, если бы вся нужная информация немедленно попадала в компьютер и была под рукой, когда это необходимо! Ведь в современном стремительном мире более успешным будет тот, кто умеет управлять информацией, независимо от того, в каком виде она представлена. Как было бы здорово, если бы компьютер умел читать.FineReader - это система оптического распознавания текстов (Optical Character Recognition, OCR). Она предназначена для того, чтобы быстро перевести отсканированные бумажные документы, а также PDF-файлы в удобный для дальнейшего использования электронный формат - файл Word или Excel, HTML-страничку, презентацию Power Point или в любой другой из поддерживаемых форматов, при этом полностью сохранив оформление документа. Использование таких систем уже стало стандартом при работе с документами по всему миру, и все меньшему числу людей приходится перепечатывать бумажный документ, чтобы получить его электронный аналог. Систему ABBYY FineReader очень легко использовать - даже тот, кто впервые открыл программу, сможет получить результат за несколько минут. При этом FineReader удовлетворяет самым высоким требованиям профессиональных пользователей благодаря большому количеству различных опций и настроек.

Для правового анализа исследуемой темы так же использовалась справочно-правовая система "Гарант" - это программный комплекс, включающий в себя массив правовой информации и программные документы, позволяющий специалисту работать с этим массивом (производить поиск конкретных документов, выводить информацию на печать). Комплект "Гарант max" содержит федеральное законодательство плюс законодательство одного региона (более 140 тысяч документов).

Справочная правовая система Консультант Плюс - это комплекс по федеральному законодательству.

Глобальная компьютерная сеть INTERNET, предоставляющая возможность общения, передачи и поиска необходимой информации по всему миру. В Интернете множество полезной информации - прогноз погоды, курсы акций и валют, сводки новостей, цены и ассортимент товаров, спорт, кино, электронные версии газет и журналов, литература, музыка и политика. Также в Интернете множество бесполезной и поверхностной информации - навязчивая реклама, вздорные размышления, плохие литература и музыка, просто глупость и тщеславие в бесконечных размерах и количествах.

С помощью браузера Microsoft Internet Explorer можно получить доступ ко всем ресурсам Интернета, будь то электронная почта, хранилища файлов, Web-странички, базы данных или другое.

В настоящее время большинство пользователей Интернета получают информацию через Web. Web включает миллионы Web-страниц, которые хранятся на Web-серверах, расположенных по всему миру. Доступ к Web-сайту осуществляется с помощью Web-браузеров, которые воспроизводят на экране компьютера Web-страницы, включая текст, рисунки, видео и звуковое оформление.

Наиболее популярными среди пользователей является две функции Интернета: поиск информации и обмен сообщениями электронной почты.

.2 Экономическая оценка проекта

Применительно к коммерческой компании цель может быть представлена как желаемый конечный результат, к которому стремится в своей деятельности организация в лице его собственников и сотрудников - совершенствование организационной структуры маркетинговой службы предприятия (на примере ОАО "МТС").

Именно наличие эффективно функционирующего отдела маркетинга является основой успешной работы всей организации, что, в свою очередь, является стратегическим показателем успешности компании.

Внедряя мероприятия, необходимо тщательно следить за их эффективностью. Самые блестящие бизнес-идеи и вдохновляющие миссии так и останутся на бумаге, если количественно не проконтролировать их воплощение в жизнь. Если мы хотим повысить эффективность работы службы маркетинга, то должны внедрить успешные, зарекомендовавшие себя решения, используемые в практике деятельности эффективных компаний.

И эффект, и эффективность позволяют не только охарактеризовать, но и выбрать нужное направление совершенствования, а также проконтролировать его выполнение. Как правило, для целей выбора нужного решения и последующего мониторинга используют критерии экономической эффективности предложений.

Мы воспользуемся статистическим методом оценки экономической эффективности, он более прост, используется для быстрой, но приближенной оценки экономической привлекательности мероприятий.

Используем такие статистические показатели эффективности, как суммарная прибыль, среднегодовая прибыль, период окупаемости инвестиций.

Дадим оценку экономической эффективности мероприятиям, требующим финансовые вложения.

Представим расчет внедрения модульной организационной структуры маркетинговой службы ОАО "МТС". По мнению автора, внедрение предлагаемых мероприятий целесообразно начать на уровне отдельных филиалов компании, одним из которых является филиал в г.Нижнекамске, находящийся по адресу ул. 30 лет победы 12/19.

Компания получит дополнительную прибыль от повышения эффективности продаж, увеличения скорости продаж товаров и предоставляемых услуг. Зарубежная практика показывает, что в среднем выручка компании после внедрения модульной организационной структуры маркетинговой службы увеличивается на 1,5%. Таким образом, учитывая, что выручка отделения ОАО "МТС" за март 2014 года составила 1560355, 65 рублей, рост выручки от внедрения модульной организационной структуры маркетинговой службы составит 23 405 руб. в месяц, т.е. 280863 рубля в год.

Стоимость оборудования для функционирования модульной организационной структуры маркетинговой службы - 20000 руб., надбавка операционисту за выполняемую работу - 4500 рублей в месяц, обучение операциониста - 2000 рублей, изменение организации службы маркетинга с учетом новых требований - 15000 рублей, организация семинара для сотрудников компании по использованию модульной организационной структуры маркетинговой службы - 7000 рублей. Кроме того, к расходам отнесем расходные материалы, амортизацию оборудования, а также накладные расходы.

В первый месяц затраты на внедрение системы составят 60500 рублей. В годовом исчислении сумма затрат будет равна 206500 рублей.

Рассчитаем экономический эффект от использования модульной организационной структуры маркетинговой службы:

Годовой эк. эфф. = доп. доходы - расходы = 280863 руб. - 206500 руб. = 74363 руб. Таким образом, экономический эффект в год внедрения составит 74363 руб.

Далее рассчитаем экономическую эффективность от использования модульной организационной структуры маркетинговой службы:

Эк. эфф-ть = (Доп.доходы / Расходы) * 100% = (280863 / 206500 руб.) * 100% =136%. Таким образом, экономическая эффективность от внедрения составит 136%.

Период окупаемости проекта - это промежуток времени, в течение которого будут возвращены капитальные вложения чистым доходом от реализации проекта. Срок окупаемости предлагаемого проекта, по мнению автора, составит менее 1 года.

Представим экономические показатели эффективности проекта в виде таблицы 4.1.

 
Таблица 4.1

Основные экономические показатели предлагаемого проекта

Наименование статей

Всего

Выручка, руб.

280 863

Расходы, руб.

206 500

Среднегодовая прибыль, руб.

74 363

Экономическая эффективность, %

136

Период окупаемости

7 месяцев


Таким образом, ОАО "МТС" может получить высокие экономические показатели, что говорит о привлекательности проекта по внедрению модульной организационной структуры маркетинговой службы в г. Нижнекамске.

4.3 Правовое обеспечение проекта

Важнейшим нормативно - правовым актом, регулирующим деятельность операторов сотовой связи, является Федеральный закон №126-ФЗ "О связи", который устанавливает правовые составляющие, способствующие созданию благоприятных условий для правильного и удобного оказания услуг связи во всех регионах нашего государства и на находящихся под юрисдикцией России территориях.

Закон озвучивает права и обязанности лиц, участвующих в процессах данного сервиса или пользующихся услугами связи. Определяет полномочия органов государственной власти в области связи. Содействует защите интересов пользователей услуг связи и лиц, осуществляющих деятельность в области связи хозяйствующих субъектов. Помогает обеспечению добросовестной конкуренции на рынке услуг связи.

Федеральный закон "О связи" на сегодняшний день не вполне отвечает отношениям, которые уже существуют или складываются на рынке телекоммуникационных услуг. В частности, нормативный акт был разработан до принятия законодательства о регулировании естественных монополий и не учитывал установленных норм и правил. Кроме того, телекоммуникации являются базой для Internet-технологий, которые в России развиты недостаточно.

С учетом всего комплекса этих обстоятельств был разработан и принят новый закон "О внесении изменений и дополнений в федеральный закон "О связи" (новая редакция)". К его наиболее важным новациям относятся изменение условий конкурентной среды, детализация лицензирования, уточнение правил взаимодействия между операторами; введение универсального обслуживания.

В новой редакции исчезло прямое указание на иностранных лиц как возможных собственников сетей и средств связи. Теперь им разрешается лишь принимать участие в приватизации на определенных государством условиях. Кроме того, отсутствуют специальные статьи, регламентирующие инвестиции и конкуренцию в области связи.

Изменены статьи, связанные с размещением имущества связи, использованием территорий и акваторий. В частности, на органы государственной власти субъектов РФ и органы местного самоуправления возлагается обязанность предоставлять фирмам, оказывающим универсальные услуги связи, нежилые помещения в соответствии с установленными технологическими нормами.

Для сетей, которые входят в состав ЕСС РФ, Минсвязи определяет единый порядок взаимодействия, централизованного мониторинга, а в случаях, предусмотренных законодательством, - и централизованного управления. В зависимости от категории сетей связи (за исключением СССН) Минсвязи устанавливает требования к их построению, управлению, нумерации, организационно-техническому обеспечению устойчивого функционирования (в том числе в чрезвычайных условиях), к защите от несанкционированного доступа к самим сетям связи и передаваемой по ним информации, к использованию выделенного радиочастотного ресурса, порядку пропуска трафика, условиям взаимодействия сетей, оказанию услуг связи.

Закон требует, чтобы операторы всех категорий сетей связи ЕСС РФ в обязательном порядке создавали системы управления своими сетями, удовлетворяющие единому порядку взаимодействия и централизованного мониторинга. По новому закону только ССОП РФ имеет присоединение к сетям связи общего пользования иностранных государств.

Выделенные сети связи предназначены для предоставления возмездных услуг ограниченному кругу пользователей. ВСС могут взаимодействовать между собой, но не имеют присоединения к ССОП РФ и иностранных государств. Технологии и средства связи, применяемые для организации таких сетей, а также принципы построения устанавливаются их владельцами. ВСС может быть присоединена к ССОП (с переводом в соответствующую категорию), если она соответствует определенным требованиям. Оказание услуг связи операторами ВСС осуществляется на основании лицензий в пределах указанных в них территорий и с использованием нумерации, присвоенной каждой из выделенных сетей в порядке, который установлен Минсвязи.

Цены на услуги присоединения и пропуска трафика, а также размер компенсационной надбавки устанавливаются Министерством по антимонопольной политике (МАП) по представлению Минсвязи. Для определения экономически обоснованных затрат на оказание услуг присоединения и пропуска трафика операторы, занимающие существенное положение в ССОП, обязаны вести раздельный учет доходов и расходов по видам деятельности и услугам.

Лицензирование деятельности в области связи осуществляет Минсвязи, которое выполняет следующие функции:

-    определяет лицензионные условия, вносит в них изменения и дополнения;

-         регистрирует заявления на получение лицензий; выдает лицензии на деятельность в области связи на территории РФ;

          контролирует соблюдение лицензионных условий, выносит предписания об устранении выявленных нарушений и предупреждения о приостановке действия лицензий; приостанавливает и возобновляет действие лицензий; аннулирует и переоформляет лицензии;

          ведет реестр лицензий.

Правительство РФ утверждает перечень услуг связи, которые образуют подлежащие лицензированию виды деятельности, и ежегодно его уточняет.

Заключение

Основной принцип (цель) маркетинга, определяющий его сущность, состоит в том, чтобы производить только то, что будет безусловно продано, и не пытаться продать то, что предприятие смогло произвести.

Предприятия, ориентированные на маркетинг, отличаются, прежде всего, наличием отдела маркетинга с четко прописанными функциями. В нем обязательно должны быть ответственные за исследования рынка (хотя бы один человек), за составление и реализацию маркетинговых планов, за рекламную политику, за продвижение и стимулирование сбыта.

Потребительский рынок коммуникационных и смежных услуг на сегодняшний момент является чрезвычайно нестабильным, постоянно видоизменяющимся, трудно прогнозируемым явлением. Операторам, поставляющим соответствующие услуги и товары для получения устойчивого и всевозрастающего дохода просто необходимо постоянно тратить значительные ресурсы на выпуск качественного маркетингового продукта.

На сегодняшний день ОАО "МТС" - телекоммуникационная компания, обладающая значительным бюджетом маркетинговых исследований рынка сбыта и реализации выработанных концепций.

ОАО "МТС" - телекоммуникационная компания, производящая значительное число различных товаров и услуг, многие из которых ориентированы на различные группы потенциальных потребителей, что определяет гибкость и экстенсивный/диверсифицированный характер маркетинговой политики, которая по определению не может ограничиваться единожды выработанным набором приемов продвижения и интенсификации желаемых параметров продукта.

В результате проведенного дипломного исследования на основе анализа теории, практической деятельности были выявлены наиболее существенные закономерности и взаимосвязи в процессе практической реализации принципов построения организации маркетинговой структуры на примере оператора ОАО "МТС".

Были проанализированы взаимосвязи между механизмом принятия решений руководством и действиями, направленными на реализацию данных решений посредством маркетинговых инструментов. Вне всяких сомнений грамотный, компетентный специалист по маркетингу в своих действиях опирается на результаты, полученные в ходе различных практических исследований того или иного аспекта реализации товара или услуги потребителю. Оптимальная структура маркетинга, как комплексное явление, способна влиять не только на исключительно экономические процессы, но и активно преобразовывать технико-технологические параметры производства (приобретения, выбора перспективного продукта) и реализации, что делает его универсальным инструментом воздействия.

Независимо от того, что ОАО МТС уже завоевал положительную репутацию на рынке, целесообразным является проведение различных мероприятий и организационных ходов в рамках собственно управленческой деятельности, направленные на оптимизацию реагирования предложения на постоянно колеблющийся спрос.

Модульная структура маркетинга организационной структуры оператора ОАО "МТС" способна обеспечить выполнение целого ряда незаменимых функций, имеющих жизненно важное значение для всего цикла информационного создания, трансляции, восприятия и поглощения и преобразования. К таким элементам относят выработку и аргументацию стратегии именно производственной деятельности оператора - вопрос ввода тех или иных товаров и технологий на рынок, ввода конкретных услуг в торговую сеть, разработка собственных продуктов, инвестиции и т.п., а также координацию деятельности по формированию и проведению закупочной, сбытовой и сервисной политики оператора, направление и опосредованное перераспределение ресурсов.

Если маркетинговая структура создала или усовершенствовала определенный канал коммуникации с пользователем, создав тем самым локальный и временный дефицит предложения товара или услуги, то подобная возможность должна быть зафиксирована и реализована также посредством ресурсов маркетинговой структуры. Именно поэтому автором в работе предложен механизм объединения смежных направлений деятельности оператора в рамках домината маркетинговых приоритетов.

Для достижения данной цели необходимо проведение анализа внутренней и внешней среды, анализа конкурентов, сегментирование рынка и позиционирование услуги, ценообразование, формирование ассортимента и формулирование требований к качеству продукции и обслуживанию клиентов, продвижение, формирование и поддержание положительного имиджа предприятия и торговых марок.

Список использованных источников и литературы

Источники

1.       Гражданский кодекс Российской Федерации: Части первая, вторая, третья, четвертая. - М.: Издательство "Омега-Л", 2008. - 669 с.

2.       Федеральный закон "О рекламе" от 13.03.2010 №38-ФЗ. - М.: Приор, 2010. - 129 с.

.         Абчук В.А. Азбука маркетинга. - СПб: Издательство "Союз", 2011.

.         Александров О.А. Методика бюджетирования в торговых организациях // Экономический анализ: теория и практика. - 2008. - №5. - С. 21.

.         Багиев Г.Л. Основы организации маркетинговой деятельности на предприятии. - СПб: Питер, 2011.

.         Баканов М.И. Теория экономического анализа. - М.: Финансы и статистика, 2011.

.         Барышев А.Ф. Маркетинг: учебник. - 3-е изд. - М.: Издательский центр "Академия", 2010.

.         Беляев В.И. Маркетинг: основы теории и практики: учебник. - М.: КНОРУС, 2011.

.         Березин И.С. Маркетинг и исследования рынков. - М.: Русская Деловая Литература, 2009.

.         Вествуд Д. Маркетинговый план: учебник. - СПб.: Питер, 2013.

.         Виноградова С.Н. Коммерческая деятельность. - М.: Юрисдицинформ, 2011.

.         Винокурова О.С. Оптимизация программ лояльности на рынке розничной торговли // Экономический анализ. - 2010.- №11. - С. 51.

.         Влад О.В. Определяем стоимость товаров при их продаже // Торговля: бухгалтерский учет и налогообложение. - 2008. - №7. С.21.

.         Глазунов В.В. Торговая реклама - М.: Экономика, 2009.

.         Годин А.М. Маркетинг. - М.: Издательский дом "Дашков и К", 2008.

.         Голубков Е.П. Основы маркетинга. - М.: Финпресс, 2008.

.         Голубков Е.П. Маркетинговые исследования: учебник. - М.: Финпресс, 2011.

.         Маркетинг: учебник / А.Н. Романов; общ. ред. А.Н. Романова. - М.: Банки и биржи, 2010.

.         Маркетинг: учебник для вузов / Н.Д. Эриашвили; общ. ред. Н.Д. Эриаiвили. - 3-е изд., перераб и доп. - М.: ЮНИТИ-ДАНА, 2011.

20.     Маркетинговое право: терминол. словарь - М.: Издательство НОРМА, 2013.

21.     Официальный сайт ОАО "МТС": http//www.mts.ru

22.     Протасов В.Ф. Анализ деятельности предприятия: производство, экономика, финансы, инвестиции, маркетинг. - М.: Финансы и статистика, 2010.

23.     Семенихин В.В. О расчете валовой прибыли в розничной торговле // Официальные материалы для бухгалтера. Комментарии и консультации. - 2009. - №9. - С. 37.

24.     Толпегина О.А. Анализ прибыли: теория

25.     Филимонова Е.М. Транспортные расходы в торговле (бухгалтерский и налоговый учет транспортных расходов у торговых организаций) // Главная книга. - 2008. - №11. - С. 84.

26.     Хайруллин А.Г. Управление финансовыми результатами деятельности организации // Экономический анализ. - 2010. - №10. - С. 35.

Литература

27.     Аванесов Ю.А. Основы коммерциологии на рынке товаров и услуг: учебник. - М.: ТОО "Люкс - арт", 2012.

28.     Айсина Р.Г. Теория маркетинга и методология. Сущность, цели и задачи маркетинга // Директор по маркетингу. - 2009. - №2. - С. 23

.         Алексеев А.А. Маркетинговые исследования рынка услуг: учебное пособие. - СПб.: Изд-во СПбГУЭФ, 2013.

.         Алферова Л.А. Маркетинг. - Томск: Бизнес-книга, 2008.

.         Альбеков А.У. Экономика коммерческого предприятия. Серия "Учебники, учебные пособия". - Ростов н/Д: Феникс, 2012.

.         Аипкин С.М., Богданова Ю.В. Скидки в торговле: особенности учета у продавца и покупателя // Все для бухгалтера. - 2009. - №3. - С. 18.

.         Барсуков А.В. Необходимость проведения рекламной политики // Рекламное дело - 2010. - №12. - С.54.

.         Бланк А.И. Управление торговым предприятием. - М.: Ассоциация авторов и издателей "Тандем", изд-во ЭКМОС, 2008.

.         Булаев С.В. Дисконтная карта клиента - двигатель торговли// Торговля: бухгалтерский учет и налогообложение. - 2009. - №2. - С. 32.

.         Готовчиков И.Ф. Практические предложения по оптимизации управления финансовой деятельностью предприятия // Финансовый менеджмент. - 2008. - №2. - С. 22.

.         Дашков Л.П. Коммерция и технология торговли: учебник для вузов. - 3-е изд. перераб. и доп. - М.: Маркетинг, 2011.

.         Денисова М.О. Зарубежный опыт организации деятельности дистрибьюторской фирмы // Торговля: бухгалтерский учет и налогообложение. - 2009. - №8. - С. 43.

.         Деркач Д.И. Анализ производственно-хозяйственной деятельности промышленного предприятия. Учебник для вузов. - М.: Экономика, 2011.

.         Диксон П. Упраление маркетингом : учебник. - М. : Бином, 2011.

.         Ермолаева Н.Н. Качество услуг в розничной торговле // Экономический вестник Республики Татарстан. - 2008.- №2. - С. 94.

.         Заров К.Г. Обобщенный анализ возможностей повышения прибыли коммерческого предприятия // Финансовый менеджмент. - 2008. - №1. - С. 13.

.         Зиновьев С.Н. Расчеты по претензиям в торговых организациях // Торговля: бухгалтерский учет и налогообложение. - 2008. - №12. - С. 43.

.         Имидиятова С.Г. Роль маркетинга в повышении эффективности работы предприятия в условиях рыночной экономики // Маркетолог. - 2008. - №4. - С. 13.

.         Касьянова Г.Ю. Купля-продажа, поставка и прочая реализация: правовое регулирование, бухгалтерский и налоговый учет. - М.: Информцентр XXI века, 2011.

.         Кириллов М.В. Ритейлеры в сфере розничных продаж // Торговля: бухгалтерский учет и налогообложение. - 2009. - №1. - С. 61.

.         Кириллов М.В. Текущий контроль за состоянием продаж// Торговля: бухгалтерский учет и налогообложение. - 2009. - №7. - С. 71.

.         Ковалев В.В. Финансовый анализ: методы и процедуры. - М.: Финансы и статистика, 2011.

.         Коростелкин М.М. Особенности учета продажи товаров в кредит в розничной торговле // Бухгалтерский учет и налоги в торговле и общественном питании. - 2010. - №6. - С. 63.

.         Котлер Ф. Основы маркетинга: пер. с англ. - М.: Ростинтэр, 2011.

.         Крылов Э. Анализ финансовых результатов, рентабельности и себестоимости продукции: финансы и статистика. - М.: ИНФРА-М, 2011.

.         Крылов Г.Д. Маркетинг. - М.: Магистр, 2009.

.         Крылова Г.Д. Маркетинг. Теория и практика: учебник для вузов. - М.: ЮНИТИ-ДАНА, 2011.

.         Лебедева С.Н. Экономика торгового предприятия: Учеб. пособие. - 3-е изд., испр. - Мн.: Новое знание, 2013.

.         Любушин Н.П. Анализ финансово-экономической деятельности предприятия: Уч. пос. для вузов. - М.: ЮНИТИ-ДИН, 2008.

.         Магомедов Ш.Р. Метод оценки конкурентоспособности предприятия розничной торговли // Маркетинг. - 2008. - №5. - С. 91.

.         Мильруд Е.Д. Учет доходов и расходов от продажи товаров в розницу // Финансовый вестник: финансы, налоги, страхование, бухгалтерский учет. - 2008. - №12. - С. 61.

58.     Савицкая, Г.В. Анализ хозяйственной деятельности предприятия: Учеб. пособие. - 7-е изд., испр. - Мн.: Новое знание, 2012.

.         Семенихин В.В. Рентабельность торговой организации // Финансовая газета. - 2008. - №31. - С.95.

60.     и практика исследования // Экономический анализ. - 2009. - №2. - С. 35.

61.     Толпегина О.А. Показатели прибыли: экономическая сущность и их содержание // Экономический анализ. - 2008. - №20. - С. 10.

62.     Финансовое управление фирмой: настольная книга менеджера / В.И. Терехин; общ. ред. В.И. Терехина. - 3-е изд. - М.: Экономика, 2008.

Приложение

Организационная структура ОАО "МТС"

Похожие работы на - Изучение проблем организационной структуры маркетинговой службы предприятия

 

Не нашли материал для своей работы?
Поможем написать уникальную работу
Без плагиата!
Без нейросетей!