Взаимодействие промышленного и магистрального транспорта
Содержание
Введение
Глава 1. Логистика как фактор оптимизации рыночных связей
1.1 Эволюция концепции логистики
1.2 Основные вехи развития транспортной логистики
1.3 Управление транспортными потоками на принципах логистики
Глава 2. Взаимодействие промышленного и магистрального транспорта
2.1 Роль и значение промышленного транспорта
2.2 Формы организационного взаимодействия и условия взаимоотношения
промышленного и магистрального транспорта
2.3 Синхронный режим работы транспорта и промышленного предприятия
Глава 3. Пояснительная записка
3.1 Технический график обработки маршрута на подъездных путях
промышленного предприятия
3.2 Методика расчета экономических эффектов
транспортно-производственной логистической системы "железная дорогая -
металлургический комбинат", функционирующей по принципу "точно в
срок"
3.3 Расчет экономических эффектов.
3.3.1 Эффекты, возникающие на предприятии.
3.3.2 Эффекты и дополнительные затраты, возникающие на железной
дороге
Заключение
Список используемой литературы
Приложения
Введение
Логистика - наука, предмет которой заключается в организации
рационального процесса продвижения товаров и услуг от поставщиков сырья к
потребителям, функционирования сферы обращения продукции, товаров, услуг,
управления товарными запасами и провиантом, создания инфраструктуры
товародвижения.
Основная задача логистики - изыскать оптимальные варианты
принятия решений по управлению материальными потоками, связанными с этим
информацией и финансами.
Опыт промышленно развитых стран и передовых компаний свидетельствует,
что логистике принадлежит стратегически важная роль в современном бизнесе. В
настоящее время в передовых фирмах традиционные функции логистики -
транспортировка, управление запасами, закупками и заказами, складирование,
грузопереработка.
Основными целями данного курсового проекта являются:
· анализ эволюции развития логистики;
· анализ эволюции развития транспортной
логистики;
· анализ условий взаимодействия
магистрального транспорта и промышленного предприятия.
Основные задачи:
· оптимизация технологических процессов на
магистральном и промышленном транспорте при доставке грузов от поставщика к
потребителям;
· определение эффектов,
транспортно-производственной логистической системы "железная дорога -
металлургический комбинат".
Глава 1.
Логистика как фактор оптимизации рыночных связей
1.1 Эволюция
концепции логистики
Логистика неоднородна как своем теоретико-методологическом
обосновании, так и в конкретно-прикладном значении. Неудивительно поэтому, что
наука и практика исповедуют различные концепции логистики, выстраивают
разнообразные логистические модели, разрабатывают множество логистических
систем. Если под концепцией логистики понимать систему взглядов на
рационализацию хозяйственной деятельности путем оптимизации и рационализации
экономических потоков, то следует выделять аналитическую, технологическую,
математическую и интегральную концепции, которые В.И. Сергеев называет
"исторически сложившимися" парадигмами логистики.
Парадигма (от греч. - пример, образец) - исходная
концептуальная схема, модель постановки проблем и их решения, методов
исследования, господствующих в течение определенного исторического периода в
научном сообществе.
В его интерпретации аналитическая парадигма представляет
собой первоначальный классический подход к логистике как теоретической науке,
занимающейся проблемами управления материальными потоками в производстве и
обращении. Для этого разрабатывались достаточно сложные
экономико-математические модели, отражающие специфику решаемых логистических
проблем.
Технологическая (информационная) парадигма логистики
появилась за рубежом и 60-х годах ХХ века и тесно связана с бурным развитием
информационных технологий. Ее теоретической основой является системотехника,
которая используется как для моделирования самих логистических объектов, так и
для синтеза систем информационно-компьютерной поддержки. При этом автоматизация
тривиальных логистических операций сочетается с использованием информационных
технологий для решения сложных логистических задач управления материальными потоками.
Маркетинговая парадигма логистики появляется в 80-х ХХ
столетия в экономически развитых странах как синтез маркетинга и логистики.
Синтезированная логистическая система призвана реализовать стратегическую цель
фирмы - стратегию конкуренции на рынке сбыта, что требует одновременного
решения маркетинговых и логистических задач. В результате появляется и активно
разрабатывается концепция маркетинговой логистики, которая пытается
интегрировать достижения как маркетинга, так и логистики для повышения конкурентоспособности
фирмы.
В последние годы все большую популярность завоевывает
интегральная парадигма логистики, которая отражает новое понимание бизнеса, где
отдельные фирмы, организации и системы рассматриваются как некоторые центры
логистических активностей, прямо или косвенно связанные в едином интегральном
процессе управления материальным потоком для наиболее полного и качественного
удовлетворения покупателей в соответствии с их специфическими потребностями и
целями бизнеса от поставщика до конечного потребителя (покупателя).
Формирование перечисленных парадигм совпадало по времени с
этапностью развития теории и практики логистики за рубежом, где выделяют три
периода развития систем товародвижения материальной продукции: дологистический,
классический логистический и неологистический. В дологистический период,
который датируется вплоть до 50-х годов ХХ века, управление материальным
распределением носило фрагментарный характер. Транспорт и
материально-техническое обеспечение рассматривались как две не связанные одна с
другой сферы деятельности. При фрагментарном способе управления материальными
потоками координация действий явно недостаточна, не соблюдается необходимая
последовательность и увязка в действиях различных подразделений фирм.
Использование логистики позволило отойти от обособленного управления различными
функциями товародвижения и осуществлять их интеграцию, что дало возможность
получать такой общий результат деятельности, который превосходил сумму
отдельных эффектов.
С начала 60-х годов начинается период классической логистики,
в котором можно выделить три концептуальных подхода к созданию логистических
систем, различающихся сферой применения теории компромиссов (гармонизацией
экономических интересов):
) область действия компромиссов составляли затраты на
отдельные логистические операции одной фирмы;
) извлечение максимальной прибыли фирмы от логистических
операций, ориентированное одновременно и на затраты и спрос;
) максимизация прибыли от логистических операций всех фирм -
участниц логистической системы, что характеризовало переход к периоду
неологистики в 80-х годах ХХ столетия.
Неологистический период характеризуется расширением сферы
действия компромиссов. При этом внимание фокусируется на межфункциональных
компромиссах, включая собственно производственные и другие неологистические
подразделения фирмы. Одновременно логистика выходит за пределы экономической
среды и учитывает социальные, экологические и политические аспекты, что
получило отражение в концепции "общей ответственности".
Практическим воплощением названных концепций стали различные
системы управления материальными ресурсами, широко описанные за рубежом и часто
иллюстрируемые в научной и учебной литературе у нас в стране. Чаще всего
называются системы:
) Materials Requirements Planning (MRP) - планирование
потребностей в материалах;
) Just-in-time (ЛТ) - "точно в срок";
промышленный магистральный транспорт логистика
3) Kanban (канбан) - система организации производства и
снабжения, позволяющая реализовать принцип "точно в срок".
) Optimized Production Technologies - оптимизированные
производственные технологии;
) Distribution Requirements Planning (DRP) - системы управления и
планирования распределения продукции и др.
Система MRP является микрологистической системой, которая
располагает широким набором машинных программ, обеспечивающих согласование и
оперативное регулирование снабженческих, производственных и сбытовых функций
фирмы в режиме реального времени. Первая версия MRP-I, разработанная в 50-х
годах и получившая широкое распространение за рубежом в 70-е годы ХХ века,
включает следующие основные элементы.
Основными целями МRР систем являются:
) удовлетворение потребности в материалах, компонентах
и продукции для планирования производства и доставки потребителям;
2) поддержание низких уровней запасов материальных
ресурсов, незавершенного производства и готовой продукции;
) планирование производственных операций, расписаний
доставки, закупочных операций как непрерывного процесса движения материальных
ресурсов.
.2 Основные
вехи развития транспортной логистики
История развития логистики в Царской России:
В 1670 г. в структуре штаба французской армии имелась
должность "старшего маршала по логистике", в обязанности которого
входили снабжение, транспортировка, выбор лагеря и корректировка совершения
марша. По - видимому, толчком к развитию военной логистики послужили
фундаментальные работы известного теоретика ХIX в. французского генерала
барона Анри Антуана Жомини (1770 - 1869 гг.),
Анри Антуан Жомини (1779-1869 гг.). - французский и русский
военный писатель, французский бригадный генерал, российский генерал от
инфантерии. В своих работах он определял логистику как практическое искусство
управления войсками, включающее широкий круг вопросов, связанных с
планированием, управлением и снабжением, определением мест дислокации войск,
транспортным обслуживанием армии и т.п. В 1812 г. он успешно использовал
логистику при планировании потребности и распределении боеприпасов, продуктов
питания, а также квартирного военнослужащих. Отдельные работы этого выдающегося
военного теоретика вошли в его капитальный 15 - томный труд по истории
революционных войн и были изданы в царской России.
- 1889 гг. - на железнодорожной сети начала действовать
система передачи вагонов между дорогами на основании "Общего соглашения о
взаимном пользовании товарными вагонами".
г. - началась групповая подборка вагонов в поезда, появились
"группировочные" станции.
г. - появились ускоренные поезда, поезда для транспортировки
сборных и повагонных отправок.
г. - Фролов А.Н. впервые в мире провел теоретические
исследования проблем организации вагонопотоков и распределения сортировочной
работы между технологическими станциями железных дорог.
На кануне первой мировой войны - петербургские профессора
путей сообщения разработали методологию транспортной логистики.
История развития логистики в СССР:
1920 г. - план ГЭЛРО (Государственный план электрификации
России, ставший перспективным планом развития экономики, а также других
отраслей народного хозяйства, принятым и реализованным в России после
Октябрьской революции 1917 г.)
г. - разработка плана формирования поездов. План формирования
поездов - это единый технологический процесс работы всех станций сети и
одновременно план распределения сортировочной работы между ними. План
устанавливает род и назначение поездов и групп вагонов, формируемых станциями.
В нем для каждой станции указаны категории отправляемых поездов, станции их
расформирования и назначения вагонов, включаемых в составы, род подвижного
состава поездов из порожних вагонов.
- 1940 гг. - совершенствование теории и практики организации
вагонопотоков (маршрутизация). Академик С.В. Образцов предложил рассматривать
вопросы взаимодействия магистрального и промышленного транспорта.
Конец 1940 гг. - признание логистики "символической,
новейшей разновидностью формалистической логики, получившей преобладающее
влияние современной реакционной буржуазной философии, идеалистическим
извращением математической логики, оторванной от опыта и практики, то же, что
схоластика".
- 1945 гг. - широкое развитие принципы логистики получили в
годы ВОВ в задачах материально - технического обеспечения армии, а также в
организации взаимодействия между поставщиками вооружения, продовольствия,
транспортом и войсками. Параллельно с практическим применением развивается
теория военной логистики, которая определяет логистику как науку о планировании
и управлении перемещением и материально - техническим снабжением войск.
Начало 1950 гг. - появление транспортного процесса "от
двери до двери". Организация грузоперевозки с оформлением услуги доставки
до двери позволяет существенно сократить сроки доставки груза в конечную точку
получения, а также сэкономить временные и денежные ресурсы на самостоятельной
организации доставки грузов по месту назначения и обеспечения сопутствующих
услуг.
г. - профессор В. В Звонков разработал основы формирования
системы технологического планирования и оперативного руководства смешанными
перевозками.
г. - появился метод бригадного подряда в жилищном
строительстве (метод Злобина). Был впервые применен при строительстве 14 -
этажного корпуса в г. Зеленоград. Сущность эксперимента заключалась в том, что
все средства выделялись непосредственно бригаде. Это позволило сэкономить
значительную часть денег и сдать объект раньше нормативного срока. В
дальнейшем, эксперимент получил широкую известность и применяться на
строительстве других объектов народного хозяйства.
г. - непрерывного план-графика работы транспортного узла
(НПГРТУ). План - график содержит согласованное количество подаваемых под
обработку судов, вагонов, автомобилей, сроков из подачи и продолжительности
грузовых операций, последовательности и продолжительности операций по
комплексному обслуживаю судов.
- 1980 гг. - работы В.И. Дмитриева, В.Г. Галабурды, Г.Н.
Ковшова, Е.П. Нестерова, Т.П. Подымайловой и других авторов посвящены вопросам
планирования и оптимизации грузопотоков на основе балансового, нормативного и
экономико - математических методов.
С конца 1980 - х гг. появляются первые переводы отдельных
статей по логистике зарубежных авторов и аналитические обзоры в этой области,
инициируемые в основном центральными институтами Госснаба СССР (НИИМС,
ЦНИИТЭИМС), Всесоюзным центром научно - технической информации, а также рядом
вузов, отраслевых и ведомственных институтов Министерства торговли и Госснаба
СССР.
г. - внедрение системы "Ритм" (унифицированного
комплекса отображения информации). Использовалась для решения отдельных задач,
таких как разработка суточного плана работ, учета сил средств для выполнения
различных мероприятий научно - исследовательской программы. Также
использовалась для обслуживания промышленных предприятий технологическими
маршрутами.
г. - создана Всесоюзная ассоциация логистики (ВАЛ), основными
направлениями деятельности которой стали координация научно - исследовательских
работ и учебно-педагогической деятельности в области логистики,
совершенствование система управления материальными и информационными потоками,
развитие складского хозяйства, участие в продвижении актуальных логистических
технологий контейнеризации и пакетирования грузов, создание банка данных по
проблемам логистики. Первым президентом ВАЛ стал профессор М.П. Гордон.
.3 Управление
транспортными потоками на принципах логистики
Основы управления транспортными потоками в нашей стране были
заложены во второй половине 20 столетия, в 50 - х гг.А. А. Фетисовым в работе
"Теория систем".
Система управления состоит из двух подсистем (см. рис.1.3.1):
· Управляющая подсистема;
· Управляемая подсистема.
Управляющая подсистема включает в себя следующие методы и
функции управления:
) Системный подход - это методологическая основа
управления транспортным производством;
2) Экономический метод - его суть состоит в четкой
постановке задачи каждому производственному звену, выбор форм и размеров
материального стимулирования;
) Социально-психологический метод - его суть состоит в
регулировании межличностных и межгрупповых отношений, социальном планировании.
) Экономико-математический метод.
Рис. 1.3.1 Система управления потоками на транспорте.
Функции управления:
) Руководство: определение цели и критериев движения
транспортно-логистической системы;
) Планирование: выработка путей к достижению целей.
Данная функция должна выявлять противоречия и конфликты,
которые возникают на пути достижения цели. Важно добиться синхронного
планированиям пропускной способности с финансовыми возможностями компании и
добиться балансировки мощностей. К одной из главных задач функции планирования
относится разработка нормативов, например, нормативов времени перевозки и
режима работы в цепях поставок.
) Организация: действие, направленное на установление
исходной структуры системы (из каких отделов должна состоять организация).
4) Управление: действия, направленные на изменение
режима работы системы.
) Регулирование и контроль: действия, наваленные на
поддержание работы системы в заданном режиме в рамках установленной структуры
(причины выполнения, невыполнения и решение проблем в ходе нахождения узких
мест).
Глава 2.
Взаимодействие промышленного и магистрального транспорта
2.1 Роль и
значение промышленного транспорта
В 1937 - 1940 гг. академик С.В. Образцов впервые предложил
рассматривать вопросы взаимодействия магистрального и промышленного транспорта.
По функциональным признакам транспорт разделяется на
магистральный и промышленный. Магистральный транспорт перемещает продукцию из
мест ее производства к местам потребления. Промышленный транспорт, в отличие от
магистрального, функционирует как составная часть промышленных предприятий.
Промышленный транспорта непосредственно участвует в процессе
производства нового продукта труда, выполняя технологические перемещения внутри
предприятий, а также осуществляет транспортные связи между предприятиями и
магистральным транспортом по доставке сырья и вывозу готовой продукции.
Таким образом, промышленный транспорт, с одной стороны,
является неотъемлемой частью производства (внутренние технологические перевозки
предприятий), а с другой - важнейшим звеном транспортной системы (внешние
перевозки предприятия). В состав промышленного транспорта в качестве основных
видов входят железнодорожный, автомобильный и конвейерный транспорт. Кроме
того, на предприятиях применяются и специальные виды транспорта:
гидравлический, пневмоконтейнерный, пневматический, канатно-подвесной и др.
Различные виды транспорта, используемые на технологических и внешних перевозках
предприятий, функционируют в едином транспортном комплексе, взаимодействуя
между собой в перевозочном процессе.
Высокопроизводительная и надежная работа транспортного
комплекса и бесперебойное функционирование производственного процесса
предприятия могут быть достигнуты при условии обеспечения высокого уровня:
технической готовности технических средств всех видов транспорта; организации
перевозок всеми видами транспорта; взаимодействия всех видов транспорта в
перевозочном процессе предприятия.
Отсюда следует, что важнейшей задачей обеспечения эффективного
функционирования транспортного комплекса, а, следовательно, и предприятия в
целом является четко налаженное управление перевозочным процессом.
2.2 Формы
организационного взаимодействия и условия взаимоотношения промышленного и
магистрального транспорта
Существует 4 формы организационного взаимодействия:
) Обслуживание предприятий средствами магистрального
транспорта;
2) Обслуживание предприятия средствами промышленного
транспорта;
) Обслуживание предприятий средствами совместного
предприятия промышленного и магистрального транспорта;
) Смешанная форма транспортного обслуживания
магистральным и промышленным транспортом на, так называемых, согласования
началах.
Выбирая ту или иную форму взаимодействия промышленного или
магистрального транспорта, необходимо учитывать основное условие взаимодействия
- это непрерывность транспортного процесса. Чем меньше организационных стыков,
тем в большей степени может быть выдержано это условие.
Наибольший экономический эффективность достигается тогда,
когда магистральные виды транспорта доставляют груз до погрузочно-разгрузочных
фронтов и складов предприятий и забирают этот груз отсюда в обратном
направлении. Это при отсутствии технологических перевозок. Если имеются
технологические перевозки, то магистральные виды транспорта доставляют груз до
приема сдаточных пунктов.
При выборе той или иной формы взаимодействия магистрального и
промышленного транспорта необходимо учитывать характер транспортного
обслуживания промышленных предприятий. С этих позиций промышленные предприятия
классифицируются следующим образом:
) Отдельные предприятия, не имеющие технологических
перевозок и обслуживаемые одним видом магистрального транспорта;
2) Отдельные предприятия, не имеющие технологических
перевозок, обслуживаемые несколькими видами магистрального транспорта;
) Отдельные предприятия, имеющие технологические
перевозки и обслуживаемые одним видом магистрального транспорта;
) Отдельные предприятия, имеющие технологические
перевозки и обсуживаемые несколькими видами магистрального транспорта;
) Промышленные узлы с предприятиями разного профиля,
имеющие и не имеющие технологических перевозок и обслуживаемые одним или
несколькими видами магистрального транспорта.
Взаимодействие магистрального и промышленного транспорта
сдерживается рядом факторов. Рассогласованность организационного взаимодействия
производства магистрального и промышленного транспорта обусловлено причинами
производственного и организационного характера. В производственном к причинам
относятся:
) Различия в длительности или продолжительности
технологических циклов и отдельных операций;
2) Различия в способах и методах оперативного
регулирования производственных и транспортных процессов.
К причинам организационного характера относятся:
) Недостаточность информационного взаимодействия;
2) Структурное и функциональное несоответствие систем
управления и рассогласованность стратегий развития производства и транспорта.
) Формирование рынка транспортных услуг. Для рынка
транспортных услуг характерно дробление парков транспортных средств.
В 2012 году на железной дороге действовало 695 операторских
компаний с парком грузовых вагонов 838 тыс. единиц. И на тот же год
существовало 913 компаний грузовладельцев, в собственности которых находилось
126 тыс. вагонов. В среднем, на 1 операторскую компанию приходилось 1203
вагона, а на компанию грузовладельца 1380 вагонов.
Дополнительное ограничение так же создает потребность
клиентуры в частных, но мелких отправках. В результате, сокращаются мощности
грузопотоков.
Одной из основных причин потерь является высокая сложность
оперативного планирования и управления маршрутами движения вагонопотоков в
условиях колебания уровня загруженности транспортных элементов.
.3 Синхронный
режим работы транспорта и промышленного предприятия
Для синхронного режима работы транспорта и промышленного
предприятия характерно:
· совпадения времени накопления груза на
транспортную партию со временем её отгрузки;
· совмещение времени процесса накопления и
потребления с операциями по отгрузке и поступлению.
Модель синхронного режима работы показана на рис. 2.3.1.
Рис. 2.3.1 Модель синхронного режима работы транспорта и
промышленных предприятий.
На графике показано 2 предприятия.
- линия накопления изделий; 2 - линия отгрузки; 3 - средний темп
производства; 4 - средний темп отгрузки; 5 - средний темп поступления; 6 -
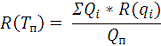
потребление продукции. qi - величина транспортной партии i - ого изделия,
отгружаемая в адрес i - ого потребителя; Qп - среднесуточная производственная мощность
предприятия; Qi - норма потребления продукции в сутки. Σ Qi - сумма норм потребления различных видов продукции;
Qп = Σ Qi
ti - часть времени производственного цикла, которая
расходуется на производство, потребление и i - 1 заказов
потребителей; Tп - продолжительность производственного цикла.
Процесс накопления у отправителя и процесс потребления у
клиента совмещаются по времени с операциями отгрузки и поступления.
При равномерном поступлении и накоплении продукции среднее
время хранения будет равняться:

(2.3.1)
Затраты, связанные с хранением будут равны:

(2.3.2)
Затраты на транспортировку равны:
Стоимость производства равна:
(2.3.4)

(2.3.5)
С учетом всех функций целевая функция будет иметь вид:

(2.3.6)
Fi - расходы по доставке партии груза i - ому потребителю;
Сз - затраты предприятия, отнесенные к
производственному циклу по выпуску транспортных партий.
Так как средневзвешенные удельные затраты для всех i - х назначений и видов продукции равны, то затраты с
производственным процессом составят:

(2.3.7)
Выражение минимизированной целевой функции имеет вид:

(2.3.8)
Это функцию продифференцируем по Тп:

(2.3.9)
Задача состоит в том, чтобы найти такое значение транспортной
партии и времени цикла, которое минимизировало бы расходы R, зависящие от величины транспортной партии и величины
производственного цикла.
Глава 3.
Пояснительная записка
3.1
Технический график обработки маршрута на подъездных путях промышленного
предприятия
Для согласования работы станций примыкания и железнодорожного
транспорта промышленного предприятия (например, металлургического комбината)
разрабатывается технологический график обработки маршрута. Схема взаимного
расположения станции примыкания (СП) и устройств железнодорожного транспорта
металлургического комбината, а также расстояния между элементами, входящими в
технологическую цепочку показаны на рис. 3.1.1.
Рис. 3.1.1 Принципиальная схема размещения устройств
железнодорожного магистрального и промышленного транспорта в узле: 1 -
вагоноопрокидователь; 2 - фронт погрузки грузов; 3 - фронт выгрузки других
грузов; 4 - фронт выгрузки руды; РП - районный парк.
Цикл операций по обработке технологического маршрута руды,
поступающей для выгрузки на металлургический комбинат, включает:
· передвижение состава от станции примыкания
до районного парка;
· подачу состава к вагоопрокидывателю;
· надвиг состава на вагоноопрокидыватель;
· выгрузку;
· уборку вагонов от вагоопрокидывателя на
пути очистки;
· очистку вагонов;
· осмотр вагонов после очистки;
· накопление вагонов;
· перестановку вагонов с пути накопления в
районный парк;
· передвижение состава от районного парка до
станции примыкания.
Уборка порожних вагонов от вагоопрокидывателя на пути очистки
включает два полурейса:
Первый - вытягивание маневрового состава с пути вагоопрокидывателя
на вытяжной путь.
Второй - осаживание вагонов с вытяжного пути на путь очистки.
При разработке технологического графика следует определить
возможность совмещения операций. Обычно после выгрузки на пути
вагоноопрокидывателя вагоны накапливаются группами, а затем переставляются на
пути очистки. При такой организации работы все операции по обработке отдельных
групп вагонов (перестановка на пути очистки, очистка вагонов, осмотр после
очистки, накопление) могут выполняться одновременно с разгрузкой последующих
вагонов, как это показано на рис. 2. Однако по окончании выгрузки последней
группы вагонов все операции, связанные с ее обработкой, будут выполняться
последовательно одна за другой, что повлияет на общую продолжительность
нахождения вагонов на металлургическом комбинате. После завершения накопления
вагонов на путях очистки состав выставляется в районный парк и далее передается
на станцию примыкания для отправления порожнего маршрута на магистральную сеть.
Время продвижения состава от станции примыкания до районного
парка (и обратно) вычисляется по формуле:
Трп = Iп * 60/Vn + tм (3.1.1)
где Iп - расстояние от станции примыкания до
районного парка (Iп = 3000 м);
tм - время на прицепку маневрового локомотива (tм = 3 мин);
Vn - скорость движения передач между станцией
примыкания и районным парком (Vn = 39 км/ч).
Трп = (3000 * 60) / (39 + 3) = 5 мин.
Время подачи (уборки) состава из районного парка до
вагоноопрокидывателю определяют по формуле:
tпод = Iрп * 60/Vрп + tм + tpз (3.1.2)
где Iрп - расстояние от районного парка до
вагоопрокидывателя (Iрп = 1500 м);
Vрп - скорость подачи состава из районного парка к
вагоноопрокидывателю (Vрп = 15 км/ч);
tм - время на прицепку маневрового локомотива (tм = 3 мин.);
tpз - время на разгон и замедления состава (tpз = 3 мин.).
tпод = (1500 * 60) / 15 + 3 + 3 = 12 мин.
Количество вагонов в составе N = 49.
Состав готовится к выгрузке 15 мин.
На смену вагонов на опрокидывателе требуется 3 мин.
На осмотр очищенных вагонов требуется 2 мин.
Время на соединение группы вагонов в состав для перестановки
требуется 5 мин. Следовательно для прицепки 49 вагонов требуется 25 мин.
Время выгрузки одного вагона на вагоноопрокидывателе 0,07 ч.
(4,2 мин.). Следовательно, для выгрузки 49 вагонов требуется 206 мин.
Общая продолжительность маршрута на металлургическом
комбинате составляет 262 мин.
3.2 Методика
расчета экономических эффектов транспортно-производственной логистической
системы "железная дорогая - металлургический комбинат", функционирующей
по принципу "точно в срок"
Данная транспортно-производственная система ориентирована на
удовлетворение предпочтений металлургического комбината со стороны железной
дороги. Работа системы по принципу "точно в срок" предполагает
обеспечение комбината железорудным сырьем путем организации технологических
маршрутов, т.е. подстраиванием железной дороги под технологический процесс
предприятия. В результате поступления сырья непосредственно "с колес"
в бункер металлургического комбината сокращается потребность в складских
площадях, уменьшаются объемы связного капитала (запасы), сводятся до минимума
погрузочно-разгрузочные операции, железнодорожный подвижной состав
функционирует по принципу "вертушек" и т.д. Все это приводит к
получению соответствующих эффектов, возникающих как на металлургическом
комбинате, так и на железной дороге.
3.3 Расчет
экономических эффектов.
3.3.1
Эффекты, возникающие на предприятии.
1. Экономия приведенных затрат на строительство складов
снабжения и сбыта в результате сокращения уровня запасов:
R1 = q / p * Cскл * (А1 + Е) * Q, где (3.3.1.1)
А1 - среднее значение на амортизацию, ремонт
склада и его технического оснащение; Cскл - стоимость строительства склада с учетом
коммуникаций, отнесенные на 1 кв. м площади, руб/кв. м; Е - коэффициент
эффективности капитальных вложений; q - коэффициент, учитывающий расходы сырья на 1 т
продукции; р - средняя нагрузка на 1 кв. м площади; Q - годовой объем
производства металла, млн. т.
R1 = ( (2 * 2,4) / 2) * 3000 * (0,06 + 0,15) * 2,4
= 3456 млн. руб.
Экономия за счет сокращения затрат на учет и хранение
запасов:
R2 = Cx * Q * q * ∆tx, где (3.3.1.2)
Cx - удельная стоимость хранения груза на складе
предприятия, отнесенная к 1 часу или 1 суткам; ∆tx - сокращение времени
хранения груза на складе.
R2 = (50 * 2,4) * 2,4 * 2 * 5 = 2880 млн. руб.
. Экономический эффект в результате снижения потерь
концентрата при доставке и применении профилактических мер:
R3 = Cк * (Q * q) / qст * ∆qn, где (3.3.1.3)
Ск - средняя цена 1 т концентрата; qст - средняя статическая
нагрузка вагона при перевозке контракта; ∆qп - снижение потерь
железнодорожного концентрата.
R3 = (8000 * 2,4) * ( (2,4 * 2) / 60) * (1,2 * 49)
= 90317 млн. руб.
. Возможный эффект за счет сокращения объема
погрузочно - разгрузочных операций при передаче сырья в производство
непосредственно с колес:
R4 = Cr * n0 * Q * q, где (3.3.1.4)
Cr - стоимость переработки 1 т груза на складе;
n0 - уменьшение количества грузовых операций на
предприятии в результате выполнения требования доставки сырья вовремя.
3.3.2 Эффекты
и дополнительные затраты, возникающие на железной дороге
5. Экономия за счет уменьшения количества вагонов в составе
поезда в результате сокращения времени доставки железнорудного сырья:
R5 = (N1 - N2) * Кв * А2 (3.3.2.1)
N1 - N2/ (tg1/tg2),
при tg1/tg2
= 1,1 (3.3.2.2)2 = N1/1,1 (3.3.2.3)
где N1, N2 - количество вагонов в составе поезда до и после
применения системы "Ритм";
Кв - отпускная цена вагона, руб.;
А2 - коэффициент амортизации подвижного состава.
N2 = 49/1,1 = 45
R5 = (49 - 45) * 2000000 * 0,08 = 640000 руб.
. Дополнительные расходы за счет увеличения порожнего
пробега:
Z1 = (Q * q) / qст * Iв * ∆an * Cn (3.3.2.4)
где Iв - полный рейс (пробег) вагона, км;
∆an - удельный вес дополнительного порожнего
пробега;
Сn - расходная ставка порожнего пробега на 1 вагоно
- км.
Z1 = ( (2,4 * 2) / 60) * 1000 * 0,3 * 2,7 = 64,8
руб.
. Дополнительные затраты на документирование перевозок:
Z2 = 
(3.3.2.5)
где Сд - средняя стоимость документального оформления,
приходящаяся на одну повагонную отправку.
Z2 = 
руб.
Эффект на железной дороге = (640000 + 64,8) - 1,4 = 640063,4 руб.
Эффект на предприятии = 3456 + 2880 + 90317 + 2492 = 99145 млн.
руб.
Заключение
Логистика позволяет сократить эффекты, которые возникают как
на промышленных предприятиях, так и на железной дороге. Внедрение системы
"точно в срок" позволяет обеспечивать промышленное предприятие
необходимым сырьем путем организации технологических маршрутов, т.е.
подстраивание железной дороги под технологический процесс предприятия.
В результате поступления сырья непосредственно с "колес"
в бункер предприятия сокращает потребность в складских площадях, уменьшаются
объемы связанного капитала (запасы), сводятся до минимума
погрузочно-разгрузочные операции, железнодорожный подвижной состав
функционирует по принципу "вертушек". Все это приводит к получению
следующих эффектов:
· Экономия затрат на строительстве складов
снабжения и сбыта в результате сокращения уровня запасов;
· Экономия за счет сохранения затрат на учет
и хранение;
· Экономия в результате снижения потерь
концентрата при доставке;
· Экономия за счет сокращения объема
погрузочно-разгрузочных операций при передаче сырья непосредственно в
производство;
· Экономия за счет уменьшения количества
вагонов в составе поезда в результате сокращения времени доставки сырья;
· Экономия за счет снижения затрат на
документирование.
В данном курсовом проекте были рассчитаны следующие эффекты,
возникающие на предприятии:
Эффект на железной дороге, равный 640063,4 руб.
Эффект на предприятии, равный 99145 млн. руб.
Список
используемой литературы
1. Курс
лекций проф. Л.В. Федорова.
2. Фёдоров
Л.С. Общий курс транспортной логистики: учебное пособие / Л.С. Фёдоров, В.А.
Персианов, И.Б. Мухаметдинов; под. Общ. Ред.Л.С. Фёдорова. - М.: КНОРУС, 2011 -
312 с.
. Дыбская
В.В. Логистика: учебник / В.В. Дыбская, Е.И. Зайцев, В.И. Сергеев, А.Н.
Стерлингова; под. Ред. В, И. Сергеева. - М.: Эксмо, 2011. - 944 с. - (Полный
курс MBA).
. Григорьев
М.Н. Логистика - базовый курс / М.Н. Григорьев. - М.: ЮРАЙТ, 2011 - 782 с.
. Гаджинский
А.М. Логистика: Учебник для высших и средних специальных учебных заведений. -
2-е изд. - М.: Информационно-внедренческий центр "Маркетинг", 1999. -
228 с.
Приложения
Приложение 1
Исходные данные:
. Цена 1 т концентрата (Ск) - 8000 руб.
2. Годовой объем производства металла (Q) 2,4 млн. т
. Средние затраты на хранение 1 т груза на складе
предприятия (Сх) - 50 руб/сут.
. Среднее значение стоимости переработки 1 т груза на
складе (Сг) - 150 руб.
. Стоимость 1 кв. м. при строительстве склада (Сскл)
- 3000 руб.
. Средняя нагрузка на 1 кв. м. площади (р) - 2 т.
. При реализации принципа доставки "точно в
срок" время хранения груза на складе сокращается (∆tх) - 5 суток.
. Операции по документированию перевозок в рамках
транспортного сервиса осуществляет железная дорога при средней стоимости
документального оформления, приходящая на одну повагонную отправку (Сд)
- 200 руб.
. Полный рейс (пробег) вагона (Iв) - 1000 км.
. Удельный вес дополнительного порожнего пробега (∆an) = 0,3.
. Расходная ставка (Сn) - 2 руб. 70 коп.
. Сокращение времени доставки железнодорожного сырья
по сравнению с перевозкой груза повагонной отправкой: tg/tg = 1,1. Это время
соответствует величине ускорения оборота вагона.
. Среднее количество сокращенных операций в результате
доставки груза по прямой схеме (n0) - 1,5.
. Коэффициент, учитывающий расход сырья на 1 т
продукции (q)
= 2.
. Средняя статистическая нагрузка вагона при перевозке
железнодорожного концентрата (qст) - 60 т.
. Потери железорудных концентратов в результате
ускорения доставки и применения профилактических мер могут быть снижены в
среднем (∆qп) на 1,2 т на вагон.
. Отпускная цена вагона (Кв) - 2 млн. руб.
. Количество вагонов в составе поезда до применения
принципов логистики (N1) - 49.
. Коэффициент амортизации для строения (А1)
- 6%.
. Коэффициент амортизации подвижного состава (А2)
- 8%.
. Коэффициент эффективности капитальных вложений (Е) -
15.