|
Наименование характеристик
|
Величина
|
|
Коэффициент, зависящий от
стратификации атмосферы, А
|
200
|
|
Коэффициент рельефа
местности в городе
|
1
|
|
Средняя максимальная
температура наружного воздуха наиболее жаркого месяца года, Т0с
|
29,1
|
|
Средняя температура
наружного воздуха наиболее холодного месяца (для котельных, работающих по
отопительному графику), Т0с
|
-8
|
|
Среднегодовая роза ветров
|
|
С
|
5
|
|
СВ
|
11
|
|
В
|
24
|
|
ЮВ
|
19
|
|
Ю
|
8
|
|
ЮЗ
|
16
|
|
З
|
11
|
|
СЗ
|
6
|
|
Скорость ветра (по средним
многолетним данным), повторяемость превышения которой составляет 5 %, м/с
|
8
|
Январь

Рисунок 2. Роза ветров в г. Новочеркасске
1.1.3 Геологическое строение
Геоморфологические особенности и разнообразие рельефа города
Новочеркасска определяется принадлежностью различных его районов к сложным
тектоническим структурам в зоне регулярного сочленения Скифской плиты со
складчатым сооружением Большого Донбасса.
В тектоническом отношении территория города располагается на стыке двух
крупных региональных структур герцинского возраста - Ростовского выступа
Украинского щита и южной границы герцинского складчатого сооружения Большого
Донбасса. Пойма реки Тузлов в городской черте совпадает и орографически
обусловлена положением погребенного Тузлово-Манычского разлома, западной ветвью
глубинного Манычского грабена субширотного (СЗЗ) простирания. Северный
промышленный район целиком занимает южную пограничную зону складчатого
сооружения Донбасса с системой погребенных надвиговых тектонических структур.
В геологическом строении принимают участие отложения мелового,
палеогенового, неогенового и четвертичного возраста. На дневную поверхность
выходят отложения неогенового и четвертичного возраста, более древние отложения
вскрыты единичными глубокими скважинами.
Неоген в пределах рассматриваемой территории несогласно перекрывает
отложения палеогена и выходит на дневную поверхность в долинах рек Аксай, Тузлов,
Грушевка, Аюта.
Наиболее древними породами, слагающими основание Новочеркасского холма,
являются конские слои миоценового возраста.
На слегка размытой поверхности конских слоев залегает песчано-глинистая
толща нижнего сармата, невыдержанной мощности 5-14 м.
Меотические генетически аллювиальные отложения несогласно залегают на
нижнесарматских и прослеживаются по склонам холма со всех сторон. Меотические
отложения представлены белыми, реже желтыми и серыми среднезернистыми речными
отложениями древнего пра-Дона.
Отложения плиоцена широко развиты в городе и его окрестностях, они хорошо
обнаружены по всей периферии Новочеркасского холма и представлены понтическими
известняками-ракушечниками и скифскими глинами.
Понтические отложения имеют распространение по всем склонам холма и
залегают на мэотических песках. Они представлены желто-бурыми
известняками-ракушечниками, состоящими из ядер раковин кардит, сцементированных
известковистым и глинистым цементом.
Пестроцветные скифские глины перекрывают понтические известняки и
являются водоупором для четвертичных отложений. Мощность толщ глин колеблется в
широких пределах в зависимости от форм рельефа.
Четвертичные отложения, пользуясь исключительно широким распространением
по всей территории города и его окрестностям. Они характеризуются большим
генетическим, стратиграфическим, литологическим разнообразием и представлены
преимущественно глинистыми породами, в числе которых эолово-делювиальные,
делювиальные, элювиальные, пролювиально-делювиальные, покровные суглинки,
делювиально-аллювиальные и аллювиальные отложения голоцена, верхнего, среднего
и нижнего плейстоцена.
Четвертичные покровные отложения пользуются наибольшим распространением в
зоне влияния инженерных сооружений и представлены преимущественно делювиальными
и элювиально-делювиальными лессовидными суглинками, реже супесями и легкими
глинами, которые залегают плащеобразно на породах различного состава и
возраста, чаще - на скифских глинах.
По периферии Новочеркасского холма распространены серые и серовато-бурые
грубослоистые легкие суглинки, часто переходящие в супеси или даже в глинистые
пески.
1.1.4 Геоморфологическая и ландшафтная характеристики
Природные ландшафты г. Новочеркасска находятся на юге Русской равнины и
входят в состав Донецко-Южно-Ергеневской провинции, Донецкой и Нижнедонецкой
геоморфологических областей.
По периферии с севера. Востока и юга Новочеркасского холма отчетливо
прослеживается терраса, образованная понтическими известняками-ракушечниками.
Ширина террасы до 200-300 м, высота 40-43 м над уровнем р.Тузлов; наиболее
выдержана она в северной части холма. Переход от плато к речным долинам
осуществляется путем сноса по склонам лессовидных суглинков и скифских глин и
формированием делювиальных шлейфов протяженностью до 200-600 м.
Территория Новочеркасского холма расположена на восточной окраине
субширотного языковидного останцевого неогенового плато. С трех сторон это
плато ограничено поймами рек Тузлов и Аксай. Городская часть плато имеет форму
плоской возвышенности, с запада ограниченного балками Куричьей и Кундрючьей.
В пределах старой селитебной части города находятся относительно крупные
балки: Западенская, Куричья, Кундрючья, Епифановка с более или менее
выположенными и задернованными склонами.
Северная часть города (бывший первомайский район) занимает левый пологий
склон долины реки Тузлов, представляющей собой водораздельный участок между
левыми притоками реки Тузлова - реками Грушевской и Кадамовской.
Территория Новочеркасска расположена на стыке трех орографических
районов: Приазовской равнины, Донецкого кряжа и Нижнедонской равнины. Южная
часть города приурочена к восточному окончанию языковидного выступа
понтического плато правобережья поймы реки Дон. С севера плато ограничено
долиной реки Тузлов, восточное окончание плато срезается поймой рек Тузлов и
Аксай. Водораздельная линия холма лежит ближе к долине р.Тузлов.
Континентальная аккумуляционно-денудационная равнина, развитая в северной
части промышленного района, на юге и западе переходит в террасированную равнину
рек Тузлов и Грушевка.
Террасы долин рек Тузлова и Грушевки представлены практически ровными
поверхностями, иногда с небольшими уклонами в сторону коренных склонов. Южный и
Северный городские массивы разделены поймой реки Тузлов. Пойма реки Тузлов,
хотя и входит в городскую территорию, не затронута промышленным и гражданским
строительством, прирусловые, ее участки заняты дачными массивами и огородами.
.1.5 Гидрография и гидрогеология
Гидрографическая сеть города Новочеркасска представлена реками Аксай и
Тузлов с притоками Грушевской и Кадамовской, балками Тангаши (приток р.Тузлов)
и Западенской (приток р.Аксай).
Река Аксай - протока, правый рукав древней дельты р.Дон протяженностью
100 км, омывает юго-восточную и южную части города и имеет пологие, редко
крутые, высотой до 2-3 м берега. В летние и зимние месяцы, особенно во время
засух, река на отдельных участках пересыхает, сохраняя свое русло в виде
отдельных плесов.
Река Тузлов - приток реки Аксай - имеет протяженность 187 км и берет
начало в пределах Донецкого кряжа на высоте 200 м над уровнем Азовского моря. В
пределах городской территории река Тузлов течет с запада на восток, разделяя
южный и северный городские районы, впадает в р.Аксай в районе ст.Кривянской.
Субширотное направление реки совпадает с региональным Тузлово-Манычским
глубинным разломом. Тузлов - немноговодная река, относящаяся к категории малых
рек равнинно-степного типа с весьма слабым течением в межень. Речная сеть в
бассейне р. Тузлов развита умеренно, но неравномерно. Водный режим реки
определяется, в основном, атмосферными осадками и характеризуется весенним
половодьем и низкой летней меженью. Зимнее снегонакопление при сильном
промерзании почвы обеспечивает высокое и продолжительное половодье. Подъем
уровня начинается за 5-10 дней до момента вскрытия реки ото льда. Начало
половодья относится в среднем ко второй половине февраля.
По берегам р.Тузлов на территории города Новочеркасска сконцентрированы
выпуски нормативно очищенных сточных вод крупных промышленных предприятий
города. Со сточными водами в реку сбрасываются различные органические и
неорганические соединения, что приводит не только к загрязнению воды, но и к
заилению русла, его кольматации и снижению дренирующей способности реки.
Река Грушевка - левый приток р.Тузлова, питание реки осуществляется,
главным образом, за счет атмосферных осадков. Меньшее значение имеют в питании
реки подземные воды, дренируемые балками. Водный режим реки определяется хорошо
выраженным половодьем и низкими расходами воды в летне-осенний и зимний
периоды. Берега реки пологие и заболоченные, в пределах речной поймы русло реки
значительно меандрирует, имеется несколько стариц, связанных с запрудами для
местного орошения. Водный режим других более мелких водотоков в общих чертах
повторяет водный режим реки Тузлов.
Наиболее крупные балки Западенская и Тангаши имеют практически постоянный
сток, особенно в среднем и нижнем течениях. Сток зарегулирован каскадом плотин
и формируется преимущественно за счет грунтовых вод, городских сточных вод и
фильтрационных потерь из прудов. Балки обычно с корытообразной долиной, шириной
в устьевой части 200-280 м и глубиной от 3-5 и в верховьях и до 40 м в устье.
Все поверхностные стоки в различной степени загрязнены сбросами
неочищенных шахтных вод, промышленными, бытовыми и ливневыми водами. Наиболее
существенную нагрузку по загрязнению вод несут реки Грушевка и Тузлов,
являющиеся основными водоприемниками сточных вод. Минерализация воды рек
постоянно превышает предельно допустимые нормы. По химическому составу воды рек
относятся к сульфатно-натриевым, за исключением р.Аксай выше устья р.Тузлов,
где вода частично кальциевая.
Территория г. Новочеркасска относится к северной части Азово-Кубанского
артезианского бассейна. Эта часть ограничена складчатой областью Донбасса и
приурочена к Тузлово-Манычскому артезианскому бассейну второго порядка.
Климатические условия, геологическое строение территории,
литолого-фациальные особенности и история геологического развития
препятствовали накоплению в грунтовых породах пресных подземных вод. В связи с этим
на характеризуемой территории отсутствуют водоносные горизонты, имеющие
практическое значение для централизованного хозяйственно-питьевого
водоснабжения. Район города характеризуется развитием порово-трещинных
грунтовых и межпластовых вод с повышенной минерализацией, которые приурочены, в
основном, к отложениям миоцена, плиоцена, плейстоцена и голоцена, дренируются
системой понижений, в рельефе и часто выходят на дневную поверхность.
Нижележащие водоносные горизонты мела и палеогена напорные и содержат
высокоминерализованные воды. Они экранированы толщей майкопских глин мощностью
до 25 м и не имеют гидравлической связи с вышележащими водоносными горизонтами.
Водоносный комплекс верхнего миоцена представлен конским, сарматским,
меотическим и понтическим водоносными горизонтами.
Конский водоносный горизонт имеет повсеместное распространение в
основании Новочеркасского холма, обнажается на его склонах в районе ул.
Советской, у железнодорожной площадки Студенческая, на юго-западе холма - в
карьерах.
Водоносный горизонт нижнего сармата приурочен к песчано-глинистой толще,
вскрыт скважинами на глубинах от 9 до 84 м, подстилается водоупорными темными
сланцеватыми глинами, мощностью около 8 м, и выходит на поверхность в виде
родников по правому склону долины р. Тузлов. Мощность водоносного горизонта
колеблется от 3,3 до 28,8 и, дебит скважин - от 0,2 до л/сек. Воды повышенной
минерализации (1-6 г/дм3) сульфатно-хлоридно-натриевого состава
используются населением для бытовых нужд, рядом предприятий - для технического
водоснабжения.
Меотический водоносный горизонт залегает на нижнесарматских глинах на
высоте 16-24 м над уровнем реки Тузлов, вскрывается скважинами на глубинах
14-67 м и проявляется в виде родников на коренных склонах правого берега реки.
Водовмещающие породы - тонкозернистые пески с прослоями глин. В ряде случаев
пески меотиса не имеют водоупора и практически безводны. Основная зона питания
водоносного горизонта - полоса шириной 200 м, протягивающаяся с северо-запада
до юго-запада по периферии Новочеркасского холма. При мощности пласта
меотических песков 10-18 м мощностью обводненной зоны в основании пласта
изменяется от 1,2 до 5 м. Воды хлоридно-сульфатные, кальциевые и натриевые с
минерализацией 1,3-3,6 г/дм3, используются населением для
сельскохозяйственных нужд.
Понтический водоносный горизонт дренируется реками Аксай, Тузлов,
Грушевка. Водовмещающие породы - известняки, иногда содержат слабо дебитные
безнапорные воды. Нижним водоупором являются понтические, верхним - скифские
глины. Родники, выходящие из понтических известняков, имеют малые расходы и
горько-соленый вкус. Практического интереса водоносный горизонт не
представляет.
Четвертичный водоносный горизонт распространен почти повсеместно,
подвержен наиболее сильному техногенному воздействию и представлен грунтовыми
водами покровных суглинков Новочекасского холма, эолово-делювиальных суглинков
бывшего Промышленного района и аллювиальных отложений террас и поймы рек
Тузлов, Аксай, Грушевка.
Грунтовые воды аллювиальных отложений террас и поймы рек Тузлов,
Грушевка, Аксай образуют единый водоносный горизонт мощностью 15-20 м,
гидравлически связанный с вышележащим.
Грунтовые воды современных пойменных отложений рек Тузлов и Грушевка
протягиваются полосой шириной от нескольких сот метров до 4 км. Они вскрыты
скважинами на глубине от 1 до 3,5 м, характеризуются минерализацией от 1,5 до 6
г/дм3, дебитами скважин от 0,6 до 1,7 л/сек и коэффициентом
фильтрации от 0,1 до 1 м/сутки, редко более. Используются населением для
водопоя скота и полевых нужд.
Естественная дренированность территории бывшего Промрайона обусловлена
неглубоким эрозионным врезом реки Тузлов и его притока Грушевки,
суглинисто-глинистым составом покровных отложений, незначительными уклонами
грунтового потока и не обеспечивает боковой отток.
.1.6 Характеристика гидрологического и гидрохимического режима
поверхностных водотоков
Малые реки Новочеркасска - Грушевка, Кадамовка, Тузлов относятся к типу
рек с четко выраженным половодьем, во время которого проходит до 50-70%
городского стока. Наибольший объем стока наблюдается в марте, а наименьший - в
сентябре и октябре.
Сток рек в значительной степени зарегулирован прудами, а также
равномерным сбросом шахтных и сточных вод в районе г. Шахты. Река Аксай выше
впадения в нее р.Тузлов имеет сравнительно равномерный сток за счет сброса
донской воды, используемой Новочеркасской ГРЭС.
Река Аксай. Река Аксай является не только источником технического и
питьевого водоснабжения промышленных предприятий и населения города, но и
водоприемником сточных вод. В верхней части притока река принимает сточные воды
ОАО «НчГРЭС», ОАО «Новочеркасский рыбокомбинат», коллекторно-дренажные воды
казачьего фермерского хозяйства «Мелиоратор», в районе устья р.Тузлов - сток
этой реки. Кроме того, в реку впадают, в основном с правого берега, несколько
временных водотоков с городской территории и Западенская балка.
По химическому составу и степени загрязнения воды р.Аксай существенно
различаются выше и ниже устья р. Тулов (см. табл. 2). По химическому составу
вода ниже устья р. узлов более загрязнена, так как наблюдается превышение ПДК в
содержании взвешенных веществ, а также в 2001 году содержание азота нитритного
превышает ПДК в 2 раза и составляет 7 мг/дм3. В устье р. Тузлов еще
наблюдается высокое содержание меди.
.2 Организация водоснабжения Первомайского района г. Новочеркасска
Водоснабжение представляет собой комплекс мероприятий по обеспечению
водой различных потребителей.
Комплекс сооружений, осуществляющих задачи водоснабжения, т.е забор воды
из природных источников, ее очистка, транспортирование и подача ее потребителю,
называется системой водоснабжения.
Обеспечение населения чистой доброкачественной водой имеет большое
гигиеническое значение, так как предохраняет людей от различных
эпидемиологических заболеваний.
Подача достаточного количества воды в населенное место позволяет поднять
общий уровень благоустройства. Для удовлетворения потребностей современных
групповых городов в воде требуется громадное ее количество.
Выполнение этой задачи, а также обеспечение высоких санитарных качеств
питьевой воды требуют тщательного выбора природных источников, их защиты от
загрязнений, надлежащих очистки воды на водопроводных сооружениях.
В настоящее время в связи с общим ростом объемов потребляемой воды и
недостаточностью в ряде районов местных природных источников воды все чаще
возникает необходимость комплексного решения водохозяйственных проблем для
наиболее рационального и экономического обеспечения водой всех
водопользователей и водопотребителей.
В настоящий момент работает новый водозабор на р. Дон в районе ст.
Старочеркасск - плавучая насосная станция. С плавучей насосной станции вода
перекачивается на насосную станцию в х.Б. Мишкин в районе сыр. воды. Насосная
станция Б. Мишкин перекачивает воду на ВОС-1 - в Р.С.В.
Старый водозабор в районе г. Аксай находится в резерве.
Общие сведения о предприятии.
Производственные подразделения ПУ «Водоканал» расположены на двух
промплощадках, находящихся в г. Новочеркасске.
На территории площадки расположены следующие производственные службы и
сооружения: Управление ПУ «Водоканал», складские помещения, гаражи, ремонтные
службы автотранспорта, производственные мастерские, насосная станция, два
резервуара питьевой воды объемом до 1500 м3, автозаправочная станция и склад
ГСМ, лабораторный корпус.
Ремонтными службами предприятия выполняются работы по прокладке к ремонту
водоводов центральной части города и текущий ремонт запорной и другой арматуры.
Ремонтные службы автотранспорта предприятия занимаются текущим ремонтом и
обслуживанием автотранспорта. В состав ремонтных служб автотранспорта входят:
аккумуляторная, ремонтно-механический участок, токарный участок, сварочный
участок и электроучасток. Территория станции подготовки питьевой воды
расположена на выезде из города с левой стороны автодороги Новочеркасск-Ростов.
Во время ввода в эксплуатацию станции подготовки (1951 год) ее территория
находилась в окружении земель, на которых не располагалась жилая зона. С
расширением производственной, жилой и садоводческой зоны города территория
станции оказалась окружена с запада, юга и востока дачными участками
садоводческих товариществ. С севера, через автодорогу Новочеркасск-Ростов
территория станции граничит с производственными строениями. Санитарно-защитная
зона станции подготовки питьевой воды составляет 300 м согласно СН 245-71.
Основной продукцией ПУ «Водоканал» является вода питьевого качества,
подготавливаемая на очистных сооружениях станции водоподготовки и отвечающая
требованиям ГОСТ 2874-82. Питьевая вода подается на нужды потребителей Первомайского
района г. Новочеркасска. Службами предприятия оказываются услуги по прокладке
водоводов питьевой воды, ремонту существующих водоводов и проведению
сантехнических работ. Кроме того, ремонтные службы МУП «Горводоканал»
занимаются текущим ремонтом и техническим обслуживанием насосных станций,
основных водоводов и сооружений, входящих в состав предприятия. Мобильность
проведения ремонтных, монтажных и эксплуатационных работ обеспечивается
наличием в составе предприятия специализированных мастерских и собственного
автопарка, обеспеченного службами эксплуатации и текущего ремонта.
.3 Общая технологическая схема очистки воды
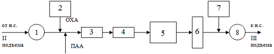
Рис. 3 Детальное описание схемы: резервуары сырой воды: 1 реагентное
хозяйство; 2 смесители; 3 камеры реакций (хлопьеобразования); 4 отстойники; 5
фильтры; 6 хлораторная; 7 резервуары чистой воды
Площадка очистных сооружений расположена вблизи шоссе
Ростов-Новочеркасск.
Водопроводная очистная станции была построена в 2 очереди. Первая очередь
была завершена в 1951 году - производительность 1й очереди - 12,5 тыс. м3/сут.
Вторая очередь в 1961 году - производительность - 30,0 тыс.м3/сут
Проектная производительность очистных сооружений составляет - 42,5 тыс. м3/сут.
Неочищенная вода из резервуаров технической воды поступает в два
смесителя, где происходит смешение воды с реагентами. В данном случае это
коагулянт Полиоксихлорид алюминия (АКВА-АУРАТ-30), флокулянт - полиакриламид
(АК-631) и хлор. Время пребывания воды в смесителе 1-2 минуты. Из смесителя вода
поступает в камеры хлопьеобразования или камеры реакций, где происходит
образование хлопьев коагулянта. Камеры реакций вихревого типа - 6 штук. Время
пребывания воды в них - 10 минут.
Далее вода поступает в 6 отстойников горизонтального типа. Время пребывания
воды - 30-40 минут. Осадок выводится на иловые площадки.
Затем вода по трубопроводу подается на 12 скорых фильтров с
кварцево-песчаной загрузкой.
После этого вода поступает в резервуары чистой воды. Перед резервуарами
чистой воды подается вторичный хлор. Происходит процесс обеззараживания
фильтрованной воды.
гидрологический вода качество очистка
.1 Нормирование качества питьевой воды
Вода играет огромную роль в биосфере. Она составляет важнейшую часть
живого вещества, без которого жизнь невозможна. Доброкачественная питьевая вода
в достаточном количестве обеспечивает организм необходимым количеством влаги
для поддержания его нормальной жизнедеятельности. Без воды человек может
прожить всего 5 -6 дней. Физиологическая потребность человека в воде при
отсутствии физических нагрузок в регионах с умеренным климатом составляет 2,5-
3.0 л/сут или 1000 л/год и 60 000 - 70 000 л за 60-70 лет жизни. При физических
нагрузках эта потребность возрастает до 8-10 л/сут. Вода хорошего качества требует
для производства и обработки пищевых продуктов и напитков, изготовления
лекарственных средств, личной гигиены, поддержания санитарного состояния жилищ.
Водохозяйственные нормативы
Огромное значение для жизни людей имеет нормирование в сфере водопотребления.
Водопотребление- использование воды на нужды населения, промышленности и
сельского хозяйства с изъятием ее из водных объектов. Нормы качества воды
устанавливают по показателям качества воды для конкретных видов водопользования
(ГОСТ 27065 - 86).
В этой связи разработаны ПДК загрязняющего вещества в водоемах
хозяйственно - питьевого и культурно - бытового водопользования. Эти ПДК
определяют концентрацию загрязняющих веществ в воде, которая не должна
оказывать прямого или косвенного влияния на организм человека в течение всей
его жизни и на здоровье последующих поколений, а также не должна ухудшать
гигиенические условия водопользования.
Показатели, обеспечивающие экологическое благополучие водных объектов и
необходимые условия для охраны здоровья населения и водопользования,
зафиксированы в нормах охраны вод (ГОСТ 17.1.1.01-77). Эти нормы
предусматривают создание водоохранного комплекса - системы сооружений и
устройств для поддержания требуемого количества и качества воды в заданных
створах и пунктах водных объектов. Для этих же целей создаются водоохранные
зоны - территории, на которых устанавливается особый режим, способствующий
предотвращению истощения, загрязнения и засорения водных объектов. Важная роль
в этих зонах принадлежит водоохранным лесам, которые регулируют гидрологический
режим рек, уменьшают эрозию почв.
Естественная водообеспеченность (поверхностные и подземные воды) должна
быть такой, чтобы в городах, имеющих канализацию, на каждого жителя приходилось
по 170 - 250 л воды в сутки (крупнейших городах с населением свыше 1 млн
жителей - до 350 л/сут), а при отсутствии канализации - 40 - 60 л/сут.
Требования, предъявляемые к источникам водоснабжения
Пригодность того или иного источника для целей водоснабжения определяется
на основании данных его санитарного обследования с учетом результатов
гидрогеологических, гидрологических, топографических изысканий.
Вода источников водоснабжения не должна содержать нежелательных примесей,
которые не могут быть удалены современными методами обработки, а концентрация
загрязнений, поддающихся устранению, должна соответствовать эффективности
применяемых методов обработки.
Согласно ГОСТ 2874 - 73 в воде источников водоснабжения нормируется
содержание хлоридов (не более 350 мг/л) и сульфатов (не более 500 мг/л) при
общем солесодержании не более 1000 мг/л по плотному остатку. По согласованию с
органами санитарно- эпидемиологической службы в исключительных случаях
допускается использование воды источников с солесодержанием до 1500 мг/л. Кроме
того, в воде источников водоснабжения нормируется содержание веществ, токсичных
для человека.
При несоответствии качества воды требованиям ГОСТ 2761 - 57 по тем или
иным показателям, а также при содержании кишечных палочек более 10 000 в 1 л
должна быть обеспечена дополнительная обработка воды, гарантирующая требуемое
качество питьевой воды. Качество питьевой воды регламентируется ГОСТ 2874 - 73.
Нормирование концентрации тех или иных веществ обусловлено необходимостью
обеспечения благоприятных органолептических свойств питьевой воды, безвредности
ее химического состава и безопасности воды в санитарном отношении.
Несоответствие хотя бы одного из этих нормативов требованиям ГОСТ 2874- 73 дает
основания для признания непригодности воды для питьевых целей.
Согласно ГОСТ 2874-73, интенсивность специфических привкусов и запахов,
появляющихся после хлорирования или любой другой реагентной обработки воды,
должна быть не более 1 балла, т.е. запах и привкус может быть обнаружен только
опытным аналитиком. Безопасность воды в санитарно- эпидемиологическом отношении
гарантируется при условии соблюдения требований ГОСТ 2874-73 по
бактериологическим показателям. Общее количество бактерий в 1 мл неразбавленной
питьевой воды не должны отсутствовать организмы, различаемые невооруженным
глазом.
Оценка качества воды
Качество воды зависит от наличия в ней различных веществ неорганического
и органического происхождения (в том числе микроорганизмов). Эти вещества могут
находиться в воде в растворенном и нерастворенном (различной дисперсности)
состоянии.
Качество воды характеризуется ее температурой, содержанием в ней
взвешенных веществ, ее цветностью, запахом, привкусом, жесткостью, содержанием
отдельных химических элементов и соединений, активной реакцией и другими
показателями.
Качество воды источников водоснабжения и воды питьевой регламентируется
ГОСТами: «Источники централизованного хозяйственно- питьевого водоснабжения.
Правила выбора и оценки качества», «Вода питьевая» и др.
Содержание в воде взвешенных веществ характеризует содержание в ней
нерастворимых веществ. Определяется путем фильтрования исследуемой воды через
бумажный фильтр. Прирост в весе высушенных фильтров показывает содержание в
воде взвешенных веществ. Обычно их измеряют в мг/л (миллиграммов сухого
вещества, содержащегося в 1 л воды).
Взвешенные вещества состоят из частиц песка и глины, смываемых дождевыми
и талыми водами в реки или вымываемых из русл, а также из органических взвесей.
Содержание в воде нерастворимых веществ может характеризоваться
мутностью. Мутность воды определяется на специальных приборах -мутномерах.
Принцип определения мутности основан на сравнении мутностей исследуемой воды с
эталонной мутностью. Мутность выражается в мг/л.
Косвенной характеристикой содержания в воде нерастворенных веществ
является прозрачность. Ее измеряют в стеклянном цилиндре с сантиметровой
шкалой. Прозрачность выражается в сантиметрах слоя воды, через который еще
виден нанесенный черной краской на белой пластинке условный знак в виде двух
крестообразно расположенных линий толщиной 1 мм («крест») или специальный
стандартный шрифт.
Наличие в воде растворенных газов, минеральных солей, органических
веществ и микроорганизмов может придавать ей неприятные запах и привкус. Запах
и привкус оценивают по условной пятибалльной шкале.
Наличие в воде солей кальция и магния характеризуется жесткостью воды,
измеряемой в миллиграмм-эквивалентах на 1 л воды (мг-экв/л). Жесткость
вычисляется путем деления количества вещества в мг/л, обусловливающего
жесткость, на его эквивалентный вес.
Различают карбонатную жесткость, обусловленную наличием в воде
двууглекислых солей кальция и магния, и некарбонатную жесткость, обусловленную
наличием в воде других солей кальция и магния. Суммарную жесткость называют
общей жесткостью.
Важной санитарной оценкой качества воды является содержание в ней
бактерий группы кишечной палочки (Coli) , являющейся типичным представителем кишечной микрофлоры, но не
являющейся болезнетворной. Присутствие кишечной палочки свидетельствует о
загрязнении воды фекальными стоками и возможности попадания в нее
болезнетворных бактерий (бактерий брюшного тифа, дизентирии). Поэтому при
бактериологических анализах определяют коли-титр или коли-индекс. Коли - индекс
- количество кишечных палочек, содержащихся в 1 л воды.
.2 Анализ существующей схемы очистки питьевой воды г. Новочеркасска
Методы очистки воды зависят от качества воды в источнике водоснабжения,
потребляемого расхода и требований, предъявляемых к качеству воды
потребителями. Во второй графе табл. 4 указаны допускаемые величины показателей
качества воды для различных водопотребителей.
При очистке речной воды, используемой для хозяйственно-питьевых целей в
ряде отраслей промышленности, наиболее широко применяют осветление,
обесцвечивание и обеззараживание воды (дезинфекцию). При осветлении и обесцвечивании
из воды удаляют взвешенные и гумусовые вещества, а при обеззараживании
уничтожают бактерии.
Для некоторых производств требуется вода невысокой прозрачности. В этом
случае может оказаться достаточным удаление из воды лишь грубодисперстных
взвешенных веществ. Это достигается процеживанием воды через решетки и сетки,
устанавливаемые в водозаборных сооружениях.
Удаление более мелких взвешенных веществ осуществляется простым
механическим отстаиванием воды в отстойниках или отстаиванием ее в отстойниках
с предварительным коагулированием.
Более глубоко и более эффективно происходит осветление воды при
коагулировании и пропуске ее через «взвешенный слой» хлопьев, ранее отделенных
от воды. Сооружение, в котором происходит очистка воды этим способом, называется
осветлением.
Для глубокого осветления воды обычно применяют ее фильтрование через
песчаные фильтры.
Коагулирование с последующим отстаиванием и фильтрованием, а затем
хлорирование воды применяют также для устранения цветности и снижение
окисляемости воды.
Обеззараживание воды производят хлорированием, озонированием,
ультрафиолетовыми лучами и т.д.
Для снижения жесткости (умягчения), обессоливания и дегазации воды
применяют химические и физико-химические методы обработки воды. Их применяют
одновременно с отстаиванием и фильтрованием.
В третьей графе табл. 4 указаны основные методы обработки воды для
улучшения ее качества по отдельным показателям.
Таблица 2 Методы обработки воды для улучшения ее качества
|
Показатели качества воды
|
Допустимые величины показателя
качества для различных водопотребителей и влияния этого показателя на
водопроводные сооружения
|
Возможные методы обработки
воды и другие мероприятия для изменения показателя качества воды или
устранения его влияния
|
|
|
Температура
|
Оптимальная величина для
питьевой воды от 7 до 11градусов, предельно допустимая для воды, используемой
при охлаждении теплообменных аппаратов, обуславливается экономичностью их
работы и технологическими требованиями
|
Охлаждение в градирнях,
брызгальных бассейнах, водоемах-охлладителях
|
|
|
Привкус и запах
|
Для питьевой воды при
температуре ее 20 градусов не более 2 баллов (см. ГОСТ 2874-54 и ГОСТ 3351-46
|
Обработка хлором или
раствором хлором извести, озоном, активированным углем. При наличии фенольных
запахов хлорирование с предварительной аммонизацией (обработка аммиаком)
|
|
|
Содержание взвешенных
веществ
|
Для питьевой воды не более
2мг/л (прозрачность по шрифту не менее 30 см), для питания паровых котлов и
для некоторых видов производств, где вода соприкасается с продукцией
(производство тканей, кинопленки), не более 5 мг/л
|
Естественное отстаивание,
отстаивание с предварительным коагулированием взвешенных веществ,
фильтрование.
|
|
|
Цветность
|
Для питьевой воды в среднем
за год не более 20 градусов
|
Коагулирование с
последующим отстаиванием и фильтрованием, Хлорирование, озонирование.
|
|
|
Окисляемость
|
Не более 5-8 мг/л О2
(большая величина указывает на возможное загрязнение источниками сточными
водами). Вызывает вспенивание воды в паровых котлах.
|
Проверка состояния
источника, установление зоны санитарной охраны
|
|
|
Рсстворенный остаток
(сухой)
|
В воде источника,
используемого для питьевых целей, не более 1000 мг/л Для питания паровых
котлов, а также для некоторых предприятий (производство синтетического
каучука, капрона, кинопленки, конденсаторной бумаги) допускаемая величина во
много раз меньше и должна определяться экономическими собраниями
|
Частичное обессоливание
одним из следующих методов: испарение с последующей дистилляцией пара, ионный
обмен, электрохимическое обессоливание Частичное или полное обессоливание
теми же методами
|
|
|
Жесткость
|
Для питьевой воды не более
7 мг-экв/л и в особых случаях не более 14 мг-экв/л. Для паровых котлов и
некоторых предприятий (крашение тканей, производство волокна) Жесткость не
должна быть более 0,005-0,02 мг-экв/л В системах оборотного водоснабжения,
содержащих теплообменные аппараты и охлаждающие устройства (градирни,
брызгальные бассейны), ограничивается карбонатная жесткость добавочной воды
|
Умягчение одним из
следующих методов: термическим, реагентным, ионитовым или комбинацией из
перечисленных методов Обработка кислотой, фосфатами, углекислотой дымовых
газов
|
|
|
Активная реакция (ph)
|
Для питьевой воды в
пределах 6,5-9,5. Малые значения рН обычно вызывают коррозию труб, что может
ухудшить вкус воды Для воды промышленных водопроводов определяются
технологическими требованиями с учетом других показателей качества воды
(температура, общая щелочность, содержание кальция и растворенный остаток)
|
Подщелачивание известью или
другой щелочью (содой, едким натром) Стабилизация одним из следующих методов:
подщелачивание, фосфатирование, подкисление, обработка дымовыми газами
|
|
|
Содержание железа
|
Для питьевой воды не более
0,3 мг/л. Для некоторых предприятий (крашения тканей, производство
кинопленки, триплекса) определяется технологическими требованиями
|
Обезжелезивания одним из
следующих методов: аэрация с последующим отстаиванием и фильтрованием,
коагулирование с последующим отстаиванием и фильтрованием, известкование с
последующим отстаиванием и фильтрованием, катионирование
|
|
|
Содержание сульфатов и
хлоридов
|
Для питания паровых котлов
и для некоторых предприятий (гидрометаллургическая переработка цветных
металлов, производство синтетического каучука, капрона) определяется в
зависимости от общей степени минерализации воды
|
|
Содержание фтора
|
Для питьевой воды не менее
0,5 мг/л инее более 1,5 мг/л
|
Обработка фтористым или
кремнефтористым натрием (при недостатке фтора в воде), обесфторивание воды
магнезиальным методом или фильтрование ее через слой активированной окиси
алюминия
|
|
Содержание аммиака,
нитритов
|
Наличие их является
сигналом о возможном загрязнении источника бытовыми сточными водами
|
Обследование источника,
устранение причин загрязнения загрязнения, установление зоны санитарной
охраны
|
|
Содержание кремнекислоты
|
Наличие ее препятствует
использованию воды для питания котлов высокого давления (из-за отложения
силикатной накипи на стенках котлов и на лопостях турбин)
|
Обескремнивание воды
магнезиальны ми методами или в цикле полного обессоливания воды
|
|
Содержание свободной
углекислоты
|
Может вызвать коррозию
бетонных сооружений и водопроводных труб
|
Аэрация, обработка
известью, фильтрование через фильтр с мраморной крошкой или полуобоженным
доломитом
|
|
Содержание растворенного
кислорода
|
Усиливает коррозию металла
котлов, теплообменной аппаратуры, теплосетей и водопроводных труб
|
Термическая или вакуумная
деаэрация, обработка сульфитом натрия, сернистым газом или гидразингидратом.
Фильтрование через сталестружечные фильтры
|
|
Содержание сероводорода
|
Придает воде неприятный
запах. Вызывает коррозию труб и их зарастание в результате развития
серобактерий
|
Аэрация, хлорирование
|
|
Общее число ччч бактерий
|
Для питьевой воды не более
100 колоний бактерий в 1 см3 воды
|
Обеззараживание одним из
следующих методов: хлорирование, озонирование, обработка ультрафиолетовыми
лучами
|
|
Содержание кишечной палочки
|
Для питьевой воды не более
3 палочек в 1л
|
Обеззараживание теми же
методами
|
Смесители
Смесители вертикального вихревого типа были предложены ВНИИ ВОДГЕО.
Высота смесителей 8,0 м, а высота конической части 3,0 м. Смесители имеют
прямоугольную в плане форму с пирамидальным днищем.
В смесителе происходит быстрое и полное смешение воды с реагентами.
Работа смесителя основана на принципе турбулизации потока из-за
значительного изменения живого сечения и изменения его скорости.
Вода подается по трубе снизу, а растворы коагулянта, флокулянта и хлор
вводятся сверху вниз по патрубкам на некотором расстоянии друг от друга.
Перемешивание осуществляется благодаря изменению скорости движения воды при
переходе ее в конической части смесителя от узкого сечения к широкому. Отвод
воды производится из верхней части смесителя через кольцевой желоб и по двум
трубопроводам диаметром 500 мм.
Скорость в узком сечении конической части смесителя порядка 1 м/с, в
цилиндрической части около 25 мм/с, время пребывания воды в смесителе 1,5-2
минуты, угол конусности 45.
Для того, чтобы не происходил перелив воды при высоком уровне устраивают
боковой карман на дне которого расположен выпуск канализации.
Такого перелива воды на станции не происходит. Существует другая проблема
- заниженный уровень воды в сооружении. Лотки для сбора воздуха не достаточно
покрыты водой вследствие чего происходит засос воздуха, который выходит на
последующих сооружениях.
Реагенты вводятся вниз на расстоянии 1,5-2 м друг от друга. Причем первым
в воду вводится хлор.
Камеры хлопьеобразования
Камеры хлопьеобразования предназначены для создания благоприятных условий
для второй, завершающей стадии процесса коагуляции - хлопьеобразования, чему
способствует плавное перемешивание потока. По принципу действия камеры
хлопьеобразования делится на гидравлические и механические (флокуляторы). В
практике чаще применяют следующие камеры гидравлического типа: водоворотные,
вихревые, перегородчатые. Выбор типа камеры хлопьеобразования зависит от
качества исходной воды и конструкции отстойников.
На очистных сооружениях водопровода установлены 6 камер реакции вихревого
типа.
Особенности эксплуатации
На поверхности воды в камерах хлопьеобразования под действием воздуха
находящегося в воде образуется пена. Эта пена удаляется при понижении уровня
воды камере хлопьеобразования в трубы с отверстиями, отводящими воду в карман
отстойника.
Удаление осадка из камер хлопьеобразования осуществляется путем промывки,
а также отводом его по специальному трубопроводу.
Рис.
4
Промывка
камер хлопьеобразования ведется одновременно с промывкой отстойников 1 или 2
раза в год. Перекрывается подача, открывается канализация и осадок вместе с
водой уходит. Оставшийся осадок и загрязнения с боковых стенок смывают водой из
шлангов.
Отстойники
Осветление
воды в отстойниках при ее движении с небольшой скоростью основано на принципе
осаждения примесей под действием силы тяжести. Плотность этих частиц больше
плотности воды. Осаждение взвешенных веществ происходит с различными скоростями
и зависит от их формы, размеров, плотности, шероховатости поверхности частиц и
температуры воды. В начале процесс отстаивания протекает наиболее эффективно.
После осаждения самых плотных частиц процесс отстаивания замедляется, и
дальнейшее отстаивание воды ввиду незначительного дополнительного эффекта
экономически не оправдано из-за увеличения габаритов и стоимости отстойников.
По
направлению движения воды различают отстойники горизонтальные, вертикальные и
радиальные.
На
водопроводных очистных сооружениях 6 горизонтальных отстойников. Они представляют
собой прямоугольных вытянутые по ходу движения воды железобетонные резервуары,
в которых вода движется в горизонтальном направлении от одного торца сооружения
к другому. обрабатываемая вода поступает через распределительный лоток и при
помощи дырчатой перегородки направляется в объем сооружения. Пройдя через
отстойник осветленная вода собирается с другой стороны перфорированной трубой.
Дно отстойника устроено с уклоном к грязевому приемнику. В отстойнике различают
рабочую зону, где происходит осаждение взвесей (зона осаждения) и нижнюю часть
отстойника, где собирается выпавший осадок, т.е. зона накопления и уплотнения
осадка.
Отстойники
на ВОС имеют прямоугольную форму и размеры 23,09,0 м. Средняя глубина
воды в них 3,5 м. Емкость новых отстойников 960 м3, старых - 720 м3.
Отстойники
периодически - 1-2 раза в год очищают от накопившегося в них осадка. На время
очистки отстойники выключают из работы. открываются канализационный выпуск,
опорожняют сооружение, затем водой из шлангов сливают оставшийся осадок.
Специального устройства для удаления осадка без остановки сооружения на станции
не предусмотрено. Расход воды ан удаление осадка при промывке не определяется и
зависит от количества загрязнений.
Преимущества
Вся продукция отличается высоким качеством изготовления в соответствии с
самой передовой технологией.
Высокая прочность и долговечность.
Химическая стойкость.
Простота монтажа и демонтажа.
Равномерное распределение воздуха или воды.
Минимальные потери напора в системе.
Восстановление диспергирующего слоя.
Устойчивость к гидро - и аэродинамическим ударам.
Контроль качества и испытания.
Производственная и научная деятельность фирмы осуществляется на базе
собственных разработок и изобретений. Все производимое оборудование
запатентовано и сертифицировано. На все проводимые работы имеются лицензии.
Принцип
работы фильтра
Система дренажных фильтров «ПОЛИДЕФ» размещается под фильтрующей
загрузкой в виде параллельно расположенных лучей по всей площади емкости.
Расстояние от низа луча не должно превышать 120 мм по СНиП 2.04.02-84*.
Расстояние по осям дренажных лучей должно быть в пределах 250-350 мм.
Прошедшая предочистку вода поступает сверху в емкость фильтра. В процессе
фильтрования вода проходит фильтрующий слой, задерживающий механические
загрязнения, затем поступает через пористый слой и отверстия труб в дренажно -
распределительную систему и далее в резервуар чистой воды. Пористый слой
предотвращает вынос фильтрующегося материала через отверстия труб вместе с
отфильтрованной водой.
Промывка фильтра производится обратным током профильтрованной воды путем
ее подачи под напором в дренажно - распределительную систему. Вода с большой
скоростью (=60м/ч) проходит через отверстие каркаса, пористый слой и далее
через фильтрующую загрузку, взвешивая и поднимая ее. Налипшие на зернах
фильтрующей загрузки загрязнения в процессе хаотического движения зерен
оттираются и вымываются промывной водой в сборные лотки и далее в систему
отвода грязной промывной воды. Вследствие большого сопротивления движению воды
через проходные отверстия достигается равномерность распределения промывной
воды по площади фильтра.
Использование дренажно - распределительных систем «ПОЛИДЕФ» исключает
вынос загрузки, улучшает отвод промывной воды, позволяет отказаться от
поддерживающих слоев, устраняет грязевые скопления на поверхности и повышает
полезную производительность работы фильтра до 10%.
Резервуары чистой воды
На водопроводных очистных сооружениях имеются три резервуара чистой воды.
Два из них - емкостью по 1500 м3 и один - 2000 м3. Общий
объем РЧВ - 5000 м3. РЧВ на станции имеют цилиндрическую форму с
купольным перекрытием. Они заглублены на половину своей высоты и обсыпаны
землей с целью теплоизоляции. В верхней части на резервуарах имеются люки,
которые опломбированы, с целью соблюдения санитарно-гигиенических требований.
Наружная часть перекрытия резервуаров покрыта рубероидом и заасфальтирована. В
резервуарах обеспечены циркуляция и обмен всей воды в течение пяти суток.
Полная емкость каждого резервуара разделяется на регулирующую (из которой вода
идет на город) и запасную - пожарную. Воду из которых могут забирать только
пожарные насосы.
Резервуары чистой воды оборудованы вентиляционными трубами, снабженными
сетками. Резервуары оборудуют подводящими, отводящими, переливными и спускными
трубами, защищая их от замерзания воды в них. Для регулирования подачи воды в
резервуар установлено автоматическое устройство. Уровень воды измеряется
специальным уровнеметром на расстоянии. Контроль за содержанием активного хлора
производится ежедневно в лаборатории. Пробу воды титруют азотно-кислым серебром
при добавлении 1 мл K2CrO4.
Рис.
5
Скорые
фильтры
Фильтрование
- один из методов осветления воды - отделение твердых частиц от жидкости. При
этом из раствора могут быть выделены не только диспергированные частицы, но и
коллоиды. При фильтровании жидкость, содержащая примеси, пропускается через
фильтрующий материал, проницаемый для жидкости и непроницаемый для твердых
частиц. Это осуществляется на фильтрах. На водопроводных очистных сооружениях
установлены 12 скорых фильтров размерами: 5,5*4,25 = 23,4 м2 (старых
- 4 шт.) и 5,95*4,2 = 25,0 м2 (новых фильтров - 8 штук).
Общая
площадь фильтров 92 м2.
Скорость
фильтрации 6 м/с.
Высота
слоя воды над поверхностью загрузки при фильтровании 2 м.
Важным
элементом фильтра, обеспечивающим успех работы сооружения, является
распределительная система.
Она
собирает и отводит профильтрованную воду без выноса зерен фильтрующего или
поддерживающего слоев, а при промывке равномерно распределять воду по площади
фильтра.
На
водопроводных очистных сооружениях распределительная система большого
сопротивления. На дне фильтра уложена труба d = 400 мм, от
которой в обе стороны отходят лучи «ПОЛИДЕФ».
При
фильтровании быстро происходит загрязнение фильтра, за счет чего идет
уменьшение скорости фильтрования и ухудшение качества фильтра.
Промывку
фильтра производят 2 раз в сутки, т.е. через 12 часов, а в паводок, когда вода
наиболее загрязнена, промывку осуществляют через каждые 6-8 часов.
Рис.
6
Промывают
скорые фильтры чистой профильтрованной водой, подаваемой под напором в
распределительную систему. Промывная вода, двигаясь с большой скоростью и
значительным гидродинамическим давлением через фильтрующий материал снизу
вверх, расширяет и взвешивает его. Зерна расширившейся загрузки, хаотично
двигаясь, ударяются друг от друга, налипшие загрязнения оттираются и попадают в
промывную воду. Промывная вода вместе с загрязнениями переливается через кромки
сборных желобов и отводится в водосток. Желоба выполнены из стали. Одной из
трудностей эксплуатации является быстрый выход из строя желобов. Металлические
желоба ржавеют, за счет чего дно и края становятся неровными. Происходит
неравномерная подача воды, приводящая к размыву загрузки.
На
всех трубопроводах фильтра установлены автоматизированный задвижки диаметром
350 и 400 мм. Пульты управления ими находятся возле каждого фильтра.
На
водопроводных очистных сооружениях производится постоянный контроль за
качеством фильтра. Контроль осуществляется путем химических анализов в
лаборатории. Пробы берутся через каждые три часа, а если вода наиболее
загрязнена - через каждый час. На станции есть специальный баки для хранения
промывной воды. Их общая емкость 200 м3. Эти баки заполняются водой
в течении 30 мин. Вода на фильтр подается двумя центробежными насосами.
На
водопроводных очистных сооружениях осуществляется повторное использование
промывной воды. Для этого предусмотрен оборотный резервуар, емкостью 200 м3.
При промывке, которая длится около 15 мин, грязная вода 2-мя фекальными
насосами перекачивается в оборотный резервуар, откуда она перекачивается в
смеситель. Удаление осадка производится путем промывки.
Для
улучшения работы фильтров на станции произведена реконструкция с заменой
распределительного коллектора, фильтрующего материала (кварцевого песка) + ОДМ
и дренажно-распределительной систем
Общие
сведения
Дренажные
фильтры «ПОЛИДЕФ» предназначены для устройства сборно -распределительных систем
в напорных и безнапорных фильтрах на станциях водоподготовки и сооружениях до
очистки сточных вод, а так же для устройства дренажей на иловых и шламовых
площадках.
Прочная,
жесткая конструкция фильтра получена за счет применения в качестве несущего
каркаса перфорированной полимерной трубы. Фильтрующий слой нанесен методом
пневмоэкструзии в виде пористого волокнистого материала с размерами пор 150…300
мкм. Исполнение дренажных фильтров «ПОЛИДЕФ» полностью полимерное.
Материалы,
применяемые для изготовления фильтров, разрешены Минздравом РФ для
использования хозяйственно-питьевом водоснабжении.
Таблица
3 Основные характеристики и технические данные дренажных фильтров
|
2.1 Длина элемента мм
500…2000
|
|
2.2 Внутренний диаметр мм
56/98/140
|
|
2.3 Наружный диаметр мм
75/122/172
|
|
2.4 Вес одного элемента
длиной 1м кг 1,25/3,0/5,4
|
|
2.5 Диаметр нити
напыленного волокна мкм 200…400
|
|
2.6 Скважность каркаса
0,3…0,45
|
|
2.7 Пропускная способность
л/см 3…5
|
|
2.8 Потери напора в
элементе при распределении воды м.в.ст. 0.98…2,9
|
|
2.9 Соединение резьбовое.
Размер резьбы М57 3/М104 4 (шаг, угол профиля)
|
|
2.10 Минимальный размер частиц
песказадерживаемых дренажным элементом мм 0,3
|
|
2.2 Химическая стойкость
стоек к большинству кислот, щелочей и агрессивных газов
|
|
2.3 Эксплуатационный и
температурный режим
|
Преимущества
дренажных фильтров.
Вся продукция отличается высоким качеством изготовления в соответствии с
самой передовой технологией.
Ø Высокая прочность и долговечность.
Ø Химическая стойкость.
Ø Простота монтажа и демонтажа.
Ø Равномерное распределение воздуха или воды.
Ø Минимальные потери напора в системе.
Ø Восстановление диспергирующего слоя.
Ø Устойчивость к гидро - и аэродинамическим ударам.
Ø Контроль качества и испытания.
Производственная и научная деятельность фирмы осуществляется на базе
собственных разработок и изобретений. Все производимое оборудование
запатентовано и сертифицировано. На все проводимые работы имеются лицензии.
.3 Химические и физические процессы, происходящие при очистке воды
В процессе осветления воды происходит коагуляция примесей воды - это
процесс укрупнения мельчайших коллоидных и дисперсионных частиц вследствие их
взаимного слипания под действием сил молекулярного притяжения. Коагуляция
завершается образованием видимых невооруженным глазом агрегатов - хлопьев и
отделением их от жидкой среды.
Частицы примесей природной воды при столкновении друг с другом или с
частицами контактной массы обычно отталкиваются, так как они обладают
определенной агрегативной устойчивостью. Она обусловлена электростатическими
силами отталкивания, определяемыми наличием вокруг частиц двойного
электролитического слоя, состоящего из противоположно заряженных ионов. Чтобы
вызвать коагуляцию примесей воды, к ней добавляют химические реагенты -
коагулянты - соли алюминия или железа. При введении в обрабатываемую воду
сернокислотного алюминия происходит диссоциация его молекул:
Образовавшиеся
ионы алюминия частично адсорбируются коллоидными и взвешенными частицами, а
частично гидролизуется с образованием гидроокиси алюминия. В первом случае
нарушается агрегативная устойчивость примесей воды, происходит их взаимное
слипание при контакте друг с другом или с частицами контактной массы. Во втором
случае формируются хлопья гидроокиси алюминия, на поверхности которых
сорбируются дисперсные и коллоидные вещества (примеси). Отдельные хлопья при контакте
укрупняются, а затем выпадают в осадок ила, задерживаются в толще фильтрующей
загрузки.
Процесс
коагуляции в значительной степени зависит от следующих факторов: правильного
выбора дозы коагулянта, концентрации водородных ионов в воде, щелочности и температуры
воды, условий перемешивания (в КХО), быстроты смешивания коагулянта с водой и
содержания в воде естественных взвесей.
Для
улучшения процесса коагуляции в воду могут вводиться флокулянты - химические
вещества, способствующие образованию крупных флокул. В качестве флокулянтов
используется полиакриламид или активированная кремневая кислота.
Действие
полиакриламида на укрупнение хлопьев объясняется следующим: он представляет
собой полимер амида и солей акриловой кислоты:
При
диссоциации в водном растворе в цепочке полимера могут образовываться
отрицательно заряженные группы R-COO. Положительные группы получаются в результате
гидротации амидов с образованием
. В воде,
содержащей коллоидные загрязнения, их частицы собираются молекулами
полиакриламида. При этом частицы загрязнений оказываются связанными цепочками
полимера.
Это
приводит к образованию крупных быстроосаждающихся хлопьев - флоккул. Но для
образования хлопьев необходимо чтобы молекулы ПАА и взвешенные частицы
сближались настолько, чтобы начали действовать силы молекулярного притяжения.
Для этого необходимо вводить флокулянт в воду после введения коагулянта.
Для
обеззараживания воды применяют хлорирование. Под действием хлора большинство
бактерий погибает в результате окисления веществ, входящих в состав протоплазмы
клеток. Хлорирование является также хорошим средством борьбы с развитием в воде
мельчайших водорослей.
При
хлорировании в результате гидролиза хлора образуется хлорноватистая и соляная
кислоты.
Хлорноватистая
кислота HOCl - соединение не стойкое, диссоциирующее с
образованием гипохлоритного иона OCl- . При
этом окислительное действие оказывают как хлорноватистые кислота, так и
гипохлоритный ион.
.4 Рекомендации по организации работы очистных сооружений
Оксихлориды алюминия во многих странах мира уже давно применяются для
очистки природных и сточных вод. В 1935 году опубликована первая работа, в
которой предложено проводить флокуляцию загрязненного сахарного раствора с
помощью оксихлорида алюминия.
Интенсивные работы по получения и применению ОХА для очистки природных
вод проводятся в Японии, Италии, Франции, Англии и других странах. Уже впервые
работы по получению ОХА в качестве коагулянтов в нашей стране показали
целесообразность его производства и применения.
Физико-химические свойства водных растворов хлорида и
оксихлоридов алюминия
С увеличением содержания соли плотность, вязкость и кислотность растворов
увеличивается. Вязкость в растворах хлорида алюминия заметно выше, чем в
растворах оксихлоридов. Это свидетельствует о том, что в растворах АlCl3 имеет место комплексообразование.
Максимум электропроводности по мере увеличения основности оксихлорида
сдвигается в область более концентрированных растворов.
В растворах ОХА, где кислотность среды заметно ниже, вклад ионного
механизма в перенос тока возрастает с увеличением основности оксихлорида. А
поскольку электропроводность зависит от концентрации ионов, ответственных за перенос
тока, повышение концентрации оксихлорида способствует увеличению
электропроводности.
По данным Танабе, состав основного хлорида, полученного различными
методами, отвечает по формуле Аl2+n (ОН)3n Cl3. В зависимости от способа получения этих соединений
изменяется скорость нейтрализации их соляной кислотой, что указывает на
различное содержание ОН - в комплексных ионах, находящихся в
равновесии в растворе.
Этим же автором изучался состав растворов основного хлорида алюминия с
помощью электрофореза на бумаге. Исследованиям подвергались оксихлориды общей
формулы Аl2+n (ОН)3n Cl3 в присутствии буферных растворов с
рН 3-7. Путь перемещения ионов уменьшается с ростом рН. При рН >5 он растет
с увеличением, а при рН < 5 с уменьшением основности (n). Конденсация гидроксоалюминиевых
ионов солевыми мостиками, измеренная по скорости нейтрализации растворов
действием 0,1N HCl, зависит как от температуры и времени, так и
концентрации алюминия. Степень конденсации в растворах высокой основности
увеличивается с ростом концентрации, а в растворах низкой основности - с
падением концентрации. В первом случае главную роль играет сближение ионов, во
втором - прогрессирующий гидролиз за счет координационно связанной воды.
Э.И. Левицкий и В.Н. Максимов считали, что в растворах реально существует
только один основной хлорид алюминия - 5/6-оксихлорид, который можно легко
выделить с свободном состоянии. Более низкоосновные продукты гидролиза
представляют собой комбинацию из АlCl3 и Аl2 (ОН)3Cl в различных соотношениях, а высокоосновные - есть не что
иное как «полимеризованные разности 5/6-оксихлорида».
Из гидролизованных растворов хлорида алюминия практически удается
выделитъ только один основной продукт - 5/6-оксихлорид. Впервые его строение
описал Тредвелл. По ходу кривых потенциометрического титрования он предположил
существование катионов [Al2O3(ОН)]+.
Температура кипения растворов 5/6-оксихлорида с увеличением концентрации
от 1 до 15% массы (по Аl2О3)
изменяется незначительно от 99,9 до 100,7 °С. При длительном кипячении растворов
Al2(ОН)3 Сl разлагается с образованием
Аl(ОН)3, а при длительном хранении
(больше месяца) растворы начинают опалесиировать.
Товарный продукт 5/6-оксихлорида алюминия может поставляться как в виде
растворов различной концентрации, так и в виде стекловидных пластин или порошка
с зернистостью примерно 1 мм и насыпным весом 1 г/cм3. Твердый
продукт негигроскопичен и хорошо растворим в воде. Содержание Аl2О3 в нем - 42%.
Остальные основные хлориды алюминия существуют только в растворах.
Каждому из них отвечает определенный интервал рН. Однако свойства этих
растворов подробно не изучались.
Формы существования оксихлоридов алюминия в водных растворах
В работах предпринята попытка с помощью различных методов
физико-химического исследования (радиометрия, УФ, КРС и др.) определить состав
продуктов гидролиза и некоторые количественные характеристики системы АlCl3 - вода в состоянии равновесия.
Исследованию подвергались растворы ОХА различного состава Аl(ОН)Cl2, Al(ОН)2Сl, Al2(ОН)3Сl,
получаемые при взаимодействии алюминия с водным раствором АlCl3, а также самого хлорида алюминия в
широком диапазоне концентраций - от 1·10-3 до 2 мол/л.
Результаты спектроскопических исследований примерно одинаковы.
Спектральные кривые молекулярных растворов исследуемых объектов во всех случаях
индивидуальны. Накладка происходит лишь при смешении растворов оксихлоридов
различной основности. Так, спектральные кривые растворов АlCl3 + Al(ОН)2Cl и Al(ОН)Cl2 полностью идентичны.
В растворах оксихлоридов присутствует в основном хлорид-ионы и
алюминийсодержащие катионы, которые ответственны за перенос тока.
С
помощью концентрационной зависимости функции Бьеррума были рассчитаны
ступенчатые константы гидролиза в растворах АlCl3 для стадий
образования 1/3 - 2/3 и 5/6-оксихлоридов и равновесные концентрации каждой из
форм. Полученные данные свидетельствуют о том, что равновесные концентрации
всех трех продуктов гидролиза сравнительно мало зависят от аналитической
концентрации АlCl3. При этом наблюдается довольно хорошее постоянство
константы гидролиза для стадий Al(ОН)Cl2→ Al(ОН)2Cl→ Al2(ОН)3Сl.
Резкое де изменение концентрационной константы гидролиза для стадии АlCl3→
Al(ОН)Cl2 связано с существенными изменениями коэффициентов
активности при быстром изменении истинной концентрации АlCl3,
в равновесных растворах с ростом его аналитической концентрации.
Таким
образом, полученные данные свидетельствуют об одновременном существовании в
хлоридных растворах алюминия нескольких гидролизованных форм, находящихся в
динамическом равновесии друг с другом. Соотносительное
содержание
этих форм является функцией состава и рН раствора. Именно поэтому многие
методы, в частности спектральные, кондуктометрические, показывают плавный
характер изменения состава продуктов гидролиза в растворах, которые удобно
выражать одной общей формулой [Al(ОН)3-хClх]n, где х, в зависимости от кислотности и концентрации
раствора, может принимать любые значения от 1 до 3. Приведённые данные не
противоречат мнению о том, что оксихлориды алюминия - это соединения
переменного состава, находящиеся в различной степени гидратации.
Основные технологические параметры
В настоящее время на ОСВ применяется новый реагент для очистки воды
оксихлорид алюминия (ОХА).
Для использования оксихлорида алюминия на ВОС-1 была проведена
реконструкция существующего склада коагулянта [Al2(SO4)3] и замена существующих
насосов подачи рабочего раствора коагулянта на новые.
Существующий склад коагулянта разделяется на две части кирпичной стеной.
В одной части будет хранится сульфат алюминия, во второй оксихлорид алюминия.
Проектируемый склад рассчитан на хранение жидкого товарного оксихлорида
алюминия 10-18% концентрации и приготовление жидкого 10% ОХА из сухого реагента
30% активности.
Доставка жидкого ОХА на очистные сооружения предусматривается в
автоцистерне марки КО-505-А, оборудованной насосом. Из автоцистерны насосом
жидкий ОХА подается в 4 емкости по 16 м3 каждая (поз. 1…4), которые
имеются на ВОС-1.
Настоящим проектом предусматривается антикоррозийная защита внутренней
поверхности этих емкостей.
Для их установки в складе необходимо воспользоваться существующими
проемами ворот, которые в дальнейшем закладываются кирпичом.
Доставка сухого реагента ОХА, расфасованного в мешки весом 25 кг,
осуществляется автотранспортом, а его хранение предусмотрено в существующем
складе пустой тары.
Потребление товарного жидкого коагулянта ОХА 10% активности составляет
3,8 м3/сут; 114 м3/мес.
Приготовление 10% раствора ОХА из сухого коагулянта предусматривается в
двух гуммированных вертикальных аппаратах с мешалками емкостью по 2 м3
(поз. 8,9).
Из склада коагулянта ОХА 10% активности подается насосами-дозаторами
ДП2500/10 (поз. 6,7-1 раб., 1 рез.) в 3 существующие растворно - расходные
емкости объемом по 12 м3, где готовится 1-2% раствор ОХА. Из
растворно-расходных емкостей раствор ОХА насосами - дозаторами ДП2500/10 (поз.
12…15-2 раб., 2рез.) подается в два существующих вихревых смесителя.
Приготовление растворов оксихлорида алюминия, подвод затворной жидкости к
насосам - дозаторам предусматривается от проектируемого хоз - питьевого
водопровода.
Для этого настоящим проектом предусмотрен водопровод, запитанный от
существующей сети хозяйствено- питьевого водопровода на собственные нужды
очистных сооружений.
Монтаж оборудования и трубопроводов склада оксихлорида алюминия и
подключение их к существующему оборудованию реагентного хозяйства похволяет
производить эти работы без остановки процесса очистки воды и уменьшения
производительности очистных сооружений.
Внутренние
сети растворов коагулянта запроектированы из полиэтиленовых напорных труб по
ГОСТ 18599-83 диаметром
Сети
хозяйственно - питьевого водопровода запроектированы из полиэтиленовых напорных
труб по ГОСТ 18599-83 диаметром
.5
Рекомендации по контролю качества питьевой воды
Основными
технологическими приемами, обеспечивающими благоприятные органолептические
свойства воды и ее безопасность в санитарно-эпидемиологическом отношении,
являются осветление, обесцвечивание и обеззараживание воды. В отдельных случаях
комплекс сооружений по осветлению, обесцвечиванию и обеззараживанию дополняется
установками по кондинционированию ионного состава воды (обесфторивание,
фторирование, обезжелезивание, умягчение), если качество воды источника по
отдельным показателям не соответствует требованиям стандартов.
Качество
воды оценивается комплексом различных показателей, определяемых
санитарно-химическим и гидробиологическим анализом.
Повседневный
контроль качества воды обеспечивается значительно меньшим числом анализов.
Характер и число показателей, по которым осуществляется повседневный контроль,
может значительно изменяться в зависимости от вида водоисточника, методов
обработки воды и требований, предъявляемых к воде потребителем.
Необходимость
и частота определения того или иного показателя зависят от цели, с которой
выполняется анализ. Основные показатели, быстро изменяющиеся в процессе
очистки, например мутность и цветность, по которым нормируется качество воды,
определяются часто. Для их определения на крупных станциях применяются
автоматические регулирующие приборы. Если на очистной станции предусмотрено
кондиционирование ионного состава воды, постоянно контролируется показатель, по
которому осуществляется кондиционирование. Часто определяются и показатели,
характеризующие санитарное состояние воды. Все перечисленные показатели дают
возможность оценить эффективность работы очистной станции и каждого из
сооружений, входящих в её состав. Постоянный контроль этих показателей
позволяет технологу оперативно управлять процессом очистки.
При обработке воды её качество зависит и от остаточных концентраций
применяемых реагентов. Концентрации алюминия, ПАА, железа и других соединений
строго нормируются в питьевой воде. Определение остаточных концентраций хлора и
озона проводится непрерывно автоматическими регистрирующими приборами, а в
случае невозможности такого контроля определение проводят 1 раз в час. Столь
частое выполнение этих анализов диктуется необходимостью поддержания
определённой остаточной концентрации окислителя для достижения требуемого
бактерицидного эффекта. Кроме того, по этим показателям контролируется доза
окислителя. Однако для исходной воды данные полного санитарно-химического
анализа ещё не могут дать полного представления о свойствах воды. Как правило,
качество воды контролируется на всех этапах ее обработки, поэтому перед каждым
сооружением и после него должны быть предусмотрены приспособления для отбора
проб.Заключение
Для Новочеркасска - крупного промышленного центра юга России, характерен
высокий уровень потребления воды, при этом возрастают требования к ее качеству.
Подготовка питьевой воды на МУП “Водоканал” г.Новочеркасска осуществляется по
общепринятым методикам, с использованием методов механического отстаивания,
коагуляции, флокуляции, хлорирования, фильтрации. Но эти методы очистки
оказывают отрицательное воздействие на окружающую среду. И по этому необходимо
внедрять современные методы очистки питьевой воды. Оксихлорид алюминия является
одним из коагулянтов современного поколения, который отличается высокой
эффективностью процесса очистки воды от взвешенных веществ при относительно
щадящем воздействии на окружающую среду.
При обработке воды её качество зависит от остаточных концентраций
применяемых реагентов. Концентрации алюминия, ПАА, железа и других соединений
строго нормируются в питьевой воде. Определение остаточных концентраций хлора и
озона проводится непрерывно автоматическими регистрирующими приборами, а в
случае невозможности такого контроля определение проводят 1 раз в час. Столь
частое выполнение этих анализов диктуется необходимостью поддержания
определённой остаточной концентрации окислителя для достижения требуемого
бактерицидного эффекта. Кроме того, по этим показателям контролируется доза
окислителя.
Список используемой литературы
1. Отчет по производственной практике
. Дикаревский В.С., Курчатов А.М. и др. Отведение и очистка
поверхностных сточных вод. - Л.: Стройиздат, 1990
. Канализация населенных мест и промышленных предприятий.-
М.: Стройиздат, 1981
. Методические указания по разработки нормативов предельно
допустимого сброса вредных веществ в поверхностные водные объекты.- М., 1999.
. Правила охраны поверхностных вод (основные положения). -
1991.
. СанПиН 4630-88.Охрана поверхностных вод от загрязнений.-
М., 1988.
. СНиП 2.04.01-85.Внутренний водопровод и канализация
зданий.- М., 1986.
. Обобщенный перечень предельно допустимых концентраций (ПДК)
и ориентировочно безопасных уровней воздействия(ОБУВ) вредных веществ для воды
рыбохозяйственных и коммунально - бытовых водоемов.- М.: Мединор, 1995.