Теорема о среднем значении дифференцируемых функции и их приложения
Аннотация
Данная курсовая работа раскрывает
тему «Теорема о среднем значении дифференцируемых функции и их приложения»,
содержит в себе введение, обзор литературных источников, примеры, определения,
теоремы Ферма, Ролля, Лагранжа, Коши и основные понятия. При изучении для
написания данной работы были использованы различные литературные источники,
которые перечислены в настоящем документе. Целью написания данной работы было
получение и закрепление практических навыков различными методами. Курсовая
работа содержит 14 рисунков текст и описание работы.
Содержание
Введение
. Теоремы о среднем значении дифференцируемых функции
.1 Понятие непрерывности функции
.2 Понятие
производной
.3 Локальный экстремум и теорема Ферма
.4 Теорема Ролля о нулях производных
.5 Формула конечных приращении Лагранжа
.6 Некоторые следствия из теоремы Лагранжа
.7 Обощенная формула конечных приращении (формула Коши)
. Задачи на применение теоремы для дифференцируемых функции
Заключение
Список использованной литературы
Введение
Данная курсовая работа раскрывает
тему «Теорема о среднем значении дифференцируемых функции и их приложение».
Актуальность темы. На сей день это
тема является актуальной. Она применяется непосредственно с самого начала
изучения курса математического анализа. Из теоремы Ролля вытекает существование
нулей производной между любыми двуия нулями дифференцируемой функции. Из нее
получается теоремы Лагранжа и Коши. А при помощи теоремы Лагранжа доказывается,
что если на отрезке производная 0, то функция постоянна. Откуда следует
описание неопределенного интеграла (то есть множества всех первообразных) в
виде множества постоянных функций, сдвинутого на любую из первообразных. Из
теоремы Коши получаем остаток в форме Лагранжа в формуле Тейлора, а также
правило Лопиталя.
Цель работы. Целью данной работы
является раскрыть тему о теоремах дифференцируемых функции. Показать на
графиках и примерах пути решения задач, связанных с этой темой.
Задача работы. Для достижения поставленной в
курсовой работе цели нами решались следующие задачи: для полного раскрытия темы
также использовались понятия о непрерывности функции, понятие о производной,
теоремы были полностью раскрыты, а также предоставлены примеры.
Научная новизна. бóльшая часть сведений,
используемых в работе, появилась в научных публикациях лишь во второй половине
ХХ-го века, «время появления новых областей приложения математики»; при
изложении материала основное внимание уделено процессу получения математических
утверждений и алгоритмов как ответов на чётко поставленные вопросы (а не широко
распространённому в преподавании математики абстрактно-дедуктивному стилю
изложения), «сознательный отказ от ответов на не поставленные вопросы».
Объектом исследования курсовой работы
являются основные теоремы дифференцируемых функции.
Предметом исследования являются
свойства теорем дифференцируемых функции с доказательствами и их применимость.
Практическая значимость. В настоящее время практическая значимость этой
работы не теряется, эти теоремы используются в школьной программе, но
дальнейшее глубокое рассмотрение происходит на курсе изучения математического
анализа. Знание производной некоторой
функции позволяет судить о характерных особенностях в поведении этой функции. В
основе всех таких исследований лежат некоторые простые теоремы, называемые
теоремами о среднем в дифференциальном исчислении. Начнем рассмотрение таких
теорем с теоремы, связываемой с именем французского математика Ролля
(1652-1719). Геометрический смысл данной теоремы следующий: если непрерывная
кривая пересекает ось
в двух точках
,
или принимает в них равные значения, то, по крайней
мере, в одной точке между
и
касательная
к кривой параллельна оси
. Результаты теоремы Ролля используются при
рассмотрении следующей теоремы о среднем, принадлежащей Лагранжу (1736-1813).
Геометрический смысл теоремы Лагранжа следующий: внутри отрезка
существует, по крайней мере, одна точка, в которой
касательная параллельна хорде, стягивающей кривую на данном отрезке. В
частности, при
теорема переходит в теорему Ролля. Рассмотрим,
наконец, третью теорему о среднем, принадлежащей Коши (1789-1859), которая
является обобщением теоремы Лагранжа. На основании теоремы Коши о среднем можно
получить удобный метод вычисления некоторых пределов, называемый правилом
Лопиталя (1661-1704).
1. Теоремы о среднем значении
дифференцируемых функции
.1 Понятие непрерывности функции
Определение 1
Функция
определенная в некоторой окрестности точки
, включая саму точку
,
называется непрерывной в этой точке, если
(1)
Замечание
1. Таким образом, согласно определению 20.1. предел функции и ее значение в
точке
равны.
Определение
2
Функция
f(x) непрерывна в точке
тогда и
только тогда, когда для любой последовательности
из
некоторой окрестности точки
,
сходящейся к
, соответствующая последовательность
сходится к
.
Определение 3
непрерывна
в точке
тогда и только тогда, когда:

.
Рис. 1
Пусть
.
Тогда
величина
называется приращением аргумента.
называется
приращением функции.
Преобразуем
формулу (1):
. (2)
Определение
4.
Функция
f(x) называется непрерывной в точке
, если ее приращение в этой точке является бесконечно
малой функцией при
Замечание
2. Определения 1-4 эквивалентны.
Дифференцируемость
функции в точке, связь с непрерывностью
Определение
5. Функция
называется дифференцируемой в точке
, если её приращение
в этой
точке можно представить в виде
(3)
где
А - некоторое число, не зависящее от
, а
- функция аргумента
являющаяся
бесконечно малой при
.
Установим
связь между дифференцируемостью функции в точке и существованием производной в
этой же точке.
Теорема
1. Для того чтобы функция
была дифференцируема в необходимо и достаточно, чтобы
она имела в этой точке конечную производную.
Таким
образом, для функции одной переменной дифференцируемость и существование
производной - понятия равносильные. Поэтому операцию нахождения производной
часто называют дифференцированием.
Установим
связь между понятием дифференцируемости и непрерывности.
Теорема
2. Если функция
дифференцируема в точке
, то она непрерывна в этой точке.
Замечание
3. Обратное утверждение неверно. Функция может быть непрерывной в точке, но не
быть дифференцируемой, т.е. не иметь производной в этой точке.
Например,
функция
непрерывна в точке
, но
производной в этой точке не имеет. Действительно,
.
Если
функция
имеет производную в каждой точке некоторого
промежутка, то будем говорить, что функция
дифференцируема
на данном промежутке.
1.2 Понятие производной
При решении различных задач геометрии, механики, физики и других отраслей
знания возникла необходимость с помощью одного и того же аналитического
процесса из данной функции y=f(x) получать новую функцию, которую называют
производной функцией (или просто производной) данной функции f(x) и обозначают
символом
(4)
Тот процесс, с помощью которого из данной функции f(x)
получают новую функцию f ' (x), называют дифференцированием и состоит он из
следующих трех шагов: 1) даем аргументу x приращение D x и определяем соответствующее
приращение функции D y
= f(x+D
x) -f(x); 2) составляем
отношение
(5)
)
считая x постоянным, а D
x¦0, находим
, (6)
который
обозначаем через f ' (x), как бы подчеркивая тем самым, что полученная функция
зависит лишь от того значения x, при котором мы переходим к пределу.
Определение
6.Производной y ' =f ' (x)данной функции y=f(x)при данном x называется предел
отношения приращения функции к приращению аргумента при условии, что приращение
аргумента стремится к нулю, если, конечно, этот предел существует, т.е.
конечен. Таким образом,
, или
(7)
Заметим,
что если при некотором значении x, например при x=a, отношение
(8)
при
D x¦0 не стремится к
конечному пределу, то в этом случае говорят, что функция f(x) при x=a (или в
точке x=a) не имеет производной или не дифференцируема в точке x=a.
Геометрический смысл производной
Рассмотрим график функции у = f (х), дифференцируемой в окрестностях точки x0
рис. 2
Рассмотрим произвольную прямую, проходящую через точку
графика функции - точку А(x0, f (х0)) и пересекающую график в некоторой точке B(x;f(x)). Такая прямая (АВ) называется
секущей. Из ∆АВС: АС = ∆x; ВС =∆у; tgβ=∆y/∆x.
Так как АС || Ox, то ÐALO = ÐBAC = β (как соответственные при
параллельных). Но ÐALO
- это угол наклона секущей АВ к положительному направлению оси Ох. Значит, tgβ = k - угловой коэффициент прямой АВ.
Теперь будем уменьшать ∆х, т.е. ∆х→
0. При этом точка В будет приближаться к точке А по графику, а секущая АВ будет
поворачиваться. Предельным положением секущей АВ при ∆х→ 0 будет
прямая (a), называемая касательной к графику
функции у = f (х) в точке А.
Если
перейти к пределу при ∆х → 0 в равенстве tgβ =∆y/∆x, то получим
или tga =f '(x0), так
как
a-угол наклона касательной к положительному направлению оси Ох
, по определению производной. Но tga = k - угловой коэффициент касательной, значит, k = tga = f '(x0).
Итак,
геометрический смысл производной заключается в следующем:
Производная
функции в точке x0 равна угловому коэффициенту касательной к графику
функции, проведенной в точке с абсциссой x0.
Физический смысл производной
Рассмотрим движение точки по прямой. Пусть задана
координата точки в любой момент времени x(t). Известно (из
курса физики), что средняя скорость за промежуток времени [t0; t0+ ∆t] равна отношению расстояния, пройденного за этот промежуток
времени, на время, т.е. Vср = ∆x/∆t. Перейдем к пределу в последнем равенстве при ∆t → 0. limVср
(t) = n(t0) - мгновенная скорость в момент времени t0, ∆t →
0. а lim = ∆x/∆t = x'(t0) (по определению производной). Итак,
n(t) =x'(t).
Физический смысл производной заключается в следующем:
производная функции y = f(x) в точке x0 - это скорость изменения функции f (х) в точке x0
Производная применяется в физике для нахождения
скорости по известной функции координаты от времени, ускорения по известной
функции скорости от времени. u(t) = x'(t) - скорость, a(f) = n'(t) - ускорение, или a(t) = x"(t).
Если известен закон движения материальной точки по окружности, то можно найти
угловую скорость и угловое ускорение при вращательном движении: φ = φ(t) - изменение угла от времени, ω = φ'(t) - угловая скорость, ε = φ'(t) - угловое ускорение, или ε = φ"(t).
Если известен закон распределения массы неоднородного
стержня, то можно найти линейную плотность неоднородного стержня: m = m(х) - масса, xÎ [0; l], l - длина стержня, р = m'(х) - линейная плотность. С помощью
производной решаются задачи из теории упругости и гармонических колебаний. Так,
по закону Гука F = -kx, x - переменная координата, k- коэффициент упругости пружины. Положив ω2 =k/m, получим дифференциальное уравнение
пружинного маятника х"(t) + ω2x(t) =
0, где ω = √k/√m частота колебаний (l/c), k - жесткость пружины (H/m). Уравнение вида
у" + ω2y = 0 называется уравнением гармонических колебаний
(механических, электрических, электромагнитных). Решением таких уравнений
является функция у = Asin(ωt + φ0) или у = Acos(ωt + φ0), где А - амплитуда колебаний, ω - циклическая частота, φ0 - начальная фаза.
Производные высших порядков
Наряду
с производной
функции f(x) часто возникает потребность в рассмотрении
производной
функции
. Она
называется второй производной функции f(x). Производная
есть скорость изменения функции. Поэтому вторая производная есть скорость
изменения скорости изменения функции или, вторая производная есть ускорение
изменения функции.
Производная
от второй производной называется третьей производной или производной третьего
порядка; производная от третьей производной - производной четвертого порядка и
т.д. Производная порядка п от функции f (х) обозначается f(n) (х).
Первая
производная
функции f(x) имеет ясный
геометрический смысл. Она есть угловой коэффициент касательной, т.е. равна
тангенсу угла наклона касательной коси абсцисс (рис. 3).
Рис.
3
Вторая
производная есть скорость изменения углового коэффициента касательной.
Положительность второй производной на некотором интервале означает, что угол,
образованный касательной с осью абсцисс, растет с увеличением x.
Геометрически это значит, что график направлен выпуклостью вниз. Если же вторая
производная отрицательна на некотором интервале, то на нем график расположен
выпуклостью вверх. На рис. 5 интервал задания функции разбит на участки, на
каждом из которых вторая производная сохраняет знак (этот знак указан на
рисунке). Точки, в которых график меняет направление выпуклости, называются
точками перегиба. точки А1, А2, А3на рис. 5).
При переходе через точку перегиба вторая производная меняет знак.
Наглядно
видно, что если в некоторой точке первая производная равна нулю, а вторая
положительна (точки В1 и В2 на рис. 5), то в этой точке
функция имеет минимум, так как в такой точке касательная к графику
горизонтальна и выпуклость направлена вниз. Соответственно если первая
производная в точке равна нулю, а вторая отрицательна, то в этой точке имеет
место максимум (точки С1 и С2 на рис. 5).
Если
= 0 и
, то
функция f(x) достигает в точке х0 минимума; если же
= 0 и f"(x0)<0,
то функция имеет в этой точке максимум. Рассмотрим случай, когда и
= 0 и f//(х0)
= 0,
Предположим,
что функция f(x) имеет в точке х =x0n
последовательных производных, причем все они, вплоть до (n-1)
в этой точке обращаются в нуль:
(9)
но
. Разложим приращение f{x)-f(x0) функции f(x) по степеням
разности х - х0 по формуле Тейлора с дополнительным членом в форме
Пеано.
Так
к все производные порядков меньших, чем n, равны в точке
х0 нулю, то
(10)
Так
как
при
, при
достаточной близости x к х0 знак суммы в числителе будет
совпадать со знаком f{n) (x0) как для
х<х0, так и для x>x0.
Рассмотрим два случая:
)
n - нечетное число: n = 2k+1.
При переходе от значений x к x0,
меньших, чем х0, к значениям, большим, чем х0, выражение
(х - х0)n изменит знак на обратный, а так как знак первого
множителя при этом не меняется, то и знак разнести f(x)-f(x0) изменится. Таким образом, в точке х0
функция f(x) не может иметь экстремума, потому что вблизи этой
точки принимает значения как меньше, так и большие, чем f(х0).
)
n - четное число: n = 2k. В
этом случае разность f(x) - f(x0) не меняет
знака при переходе от х меньших, чем х0, к большим, так как (х - х0)n>0
при всех х. Очевидно, вблизи х0 как слева, так и справа знак
разнести f(x)-f(х0) совпадает со знаком числа f{n) (х0). Значит,
если
, то f(x)>f(x0) вблизи
точки х0, и в точке х0 функция f(x)
имеет минимум; если же f{n)(х0)<0, то функция имеет максим.
Теорема
3.Пусть функция f(x), заданная на интервале [а, b], имеет
производные
и в некоторой точке
[а,b]
имеет место f'{c)=...
Тогда
если f(n){x) > 0 при всех х
[а, b],
то при четном n функция f(x) имеет минимум
при х = с, если же
нечетно, то функция f(x)
возрастает на [а, b] и для нее х = с-точка перегиба. Соответственно если f(n)(x)<0 при всех
х
[а, b], то при четном n функция f(x)
имеет максимум в точке х = с, а при нечетном
функция f(x)
убывает на [а, b] и для нее х = с-точка перегиба.
Рис.
4
Доказательство.
Пусть условия теоремы выполнены и f(n) (х) > 0 (рис. 6).
Тогда f{n-1)(x) возрастает в интервале [а, b], так что при
х < с будет
(рис. 4) и при х >c:
(рис. 5).
Рис. 5

Рис. 6 Рис. 7
Таким образом, f{n-l)(x) отрицательна при х<c и f(n-1)(x) положительна при x>с. Следовательно, f{n-2)(x) убывает слева от точки х = с и возрастает справа от точки х
= с. Она обращается в нуль при х = с.
Поэтому она принимает положительные значения как
слева, так и справа от точки х = с и имеет минимум при х = с (рис. 6). Функция f{n-3) (х) возрастает слева и справа от
точки x= с, так что, обращаясь в нуль при х
= с, переходит от отрицательных значений к положительным (рис. 7). Функция f(n-4) (х) убывает слева отточки х = с и
возрастает справа. Следовательно, она имеет минимум и равна нулю при х = с и
принимает положительные значения как слева, так и справа от с. Продолжая
аналогичные рассуждения, мы получим, что f{n-1)(x), f(n-3)(x). f(n-5) (x)…. возрастают, когда х проходит
через точку х = с, af(n-2)(x), f{n-4) (x), f(n-6) (x)…. имеют минимум при х = с. При четном n дойдем до исходной функции f (х) через четное число шагов, делаем
вывод, что f (x) имеет минимум при х = с. При нечетном n мы дойдем до f(x) за нечетное число шагов и заключим, что f (x) возрастает слева от точки х = с и продолжает возрастать
справа от нее. f" (x) тоже возрастает, проходя через
нулевое значение, и, следовательно, f" (х) меняет знак с минуса на плюс, значит, точка с есть точка
перегиба для функции f(x).
Случай f{n) (x)
< 0 рассматривается аналогично. Теорема доказана.
Если
функция задана параметрические:
и
, то производные
вычисляются
по формулам:
;
;
,….
Производную
второго порядка можно вычислить по формуле:
Локальный
экстремум функции
Определение
7. Точка
называется точкой локального максимума функции
, определенной в некоторой окрестности
, если
. Если
неравенство строгое для всех
, то
говорят о строгом локальном максимуме.
Определение
8. Точка
называется точкой локального минимума функции
, определенной в некоторой окрестности
, если
. Если
неравенство строгое для всех
, то
говорят о строгом локальном минимуме. Если функция имеет в точке
локальный минимум или локальный максимум, то говорят о
локальном экстремуме функции.
1.3 Локальный экстремум и теорема Ферма
Пусть существует число δ>0 такое, что функция f(x) определена в δ- окрестности точки x0, т.е. на множестве
, и пусть для всех x Є
выполняется неравенство
(11)
Тогда говорят, что функция f(x) имеет в точке х0
локальный минимум.
Аналогично, если существует число δ>0 такое, что для всех x Є
выполняется неравнство.
(12)
то говорят, что функция f(x) имеет в точке х0
локальный максимум. Локальный минимум и локальный максимум объединяются
общим термином локальный экстремум. Функция у= f(x), график который
изображен на рис. 12.1 имеет локальные экстремумы в точках х1=1, х2=3,
х3=4, а именно минимум при х=1 и х=4 и максимум при х=3.
Теорема 3 (Ферма). Если функция f(x) имеет локальный экстремум в точке х0 и
дифференцируема в этой точке, то
f/(x0)=0. (13)
Пусть, например, функция f(x) имеет локальный
минимум в точке х0. Тогда в силу (11) для всех x Є
=(x0-δ, x0+δ), выполняется неравенство
(14)
Если x Є
, то х-х0<0 и из
условия (14) следует, что
(15)
а если x Є
, то выполняется неравенство
(16)
Так как функция fдифференцируема в точке х0,
то существует предел при
в левой части неравенства (15), равный f/-(x0)= f/(x0). По свойствам пределов из (15) следует, что
f/(x0)≤0. (17)
Аналогично, переходя к пределу в неравенстве (16),
получаем
f/(x0)≥0. (18)
Из неравенств (17) и (18) слдует, что f/(x0)=0.
Замечание 4. Теорема Ферма имеет простой
геометрический смысл: касательная к графику функции у=f(x) в точке
локального экстремума (х0, f(x)) параллельна оси абсцисс (рис. 8)
Теорема 4 (Роля). Если функция f(x) непрерывна на отрезка [a, b], принимает в
концах этого отрезка равные значения, т.е.
f(а)= f(b), (19)
и дифференцируема на интеграле (a, b), то существует точка ξ Є (a, b) такая, что
f/(ξ)=0. (20)
Обозначим М=
f (x), m=
f(x). По теореме Вейерштрасса на отрезка [a, b], существуют такие точки с1
и с2, что f(c2)=M. f(c1)= m
Если m=M, то f (x)=const, и в качестве ξ можно взять любую точку интервала (a, b).
Если
m
M, то m<M, и
поэтому f (c1)<f (c2). В силу условия (19), по крайней мере одна из точек c1, c2 является
внутренней точкой отрезка [a, b]. Пусть, например, c1 Є (a, b).
Тогда
существует число δ>0 такое, что Uδ (с1)
(a, b).
Так как для всех х ЄUδ (с1) выполняется условие f (х)≥
f (с1)=m, то по теореме
Ферма f/ (с1)=0,
т.е. условие (20) выполняется при ξ=с1. Аналогично рассматривается случай, когда с2 Є
Є(a, b).
Теорему
Роля можно кратка сформулировать так: между двумя точками, в которых
дифференцируемая функция принимает равные значения, найдется хотя бы один нуль
производной этой функции. Для случая f (a)= f (b)=0
теорема формулируется еще короче: между двумя нулями дифференцируемой функции
лежит хотя бы один нуль ее производной.
Замечание
4. Геометрический смысл теоремы Роля: при условиях теоремы 4 существует
значение ξ Є (a, b) такое,
что касательная к графику функции y=f(x) в точке
(ξ; f (ξ)) параллельна оси Ох (рис. 9)
Замечание
5. Все условия теоремы Роля существенны. На рис.10, 11 и 12 изображены графики
функций, каждая из которых удовлетворяет всем условиям теоремы Роля, кроме
одного. Для всех этих функций не существует точки на интервале (-2, 2), в
которой производная была бы равна нулю.
1.5 Формула конечных приращений Лагранжа
производный локальный экстремум теорема
Теорема 5 (Лагранж). Если функция f (x) непрерывна на отрезке [a, b] и дифференцируема на интервале (a, b), то в этом
интервале найдется хотя бы одна точка ξ такая, что
f (b)-f (a)=f/ (ξ) (b-a). (21)
Рассмотрим функцию
где число λ выберем таким, чтобы выполнялось
условие
те
Отсюда находим
(22)
Так как функция φ(х) непрерывна на отрезке [a, b], дифференцируема на интервале (a, b) и принимает
равные значения в концах этого интервала, то по теореме Роля существует точка ξ Є (a, b) такая что
Отсюда в силу условия (12.12)
получаем равенство
(23)
равносильное равенству. (21)
Замечание 4 Первая часть формулы (23) равна угловому
коэффициенту секущей, которая проходит через точки А (a, f (a)) B (b, f (b)) графика функции y=f (x), а левая часть этой формулы равна угловому коэффициенту
касательной к графику в точке (ξ, f (ξ)). Поэтому теорема Лагранжа имеет
следующую геометрическую интерпретацию: существует значение ξ Є (a, b) такое, что
касательная к графику функции y=f (x) в точке (ξ, f (ξ)) параллельна секущей (рис. 8), соединяющие точки A (a, f( a)) и B (b,f(b)).
Замечание 5 Пусть функция f удовлетворяет условиям теоремы 12.3. если х0 Є [a, b], приращение ∆х≠0
и таково, что точка х0+∆х также принадлежит отрезку [a, b], то, применив теорему Лагранжа к функции f(x) на отрезка l с
концами х0 и х0+∆х (∆х может быть и
отрицательными), получим
(24)
где ξ- некоторая внутренняя точка отрезка l.
Пусть ∆х>0, тогда 0<ξ-x0<∆x, и
поэтому
Полагая
получаем
где
(25)
Аналогично, если ∆х<0. то 0<x0-ξ<
, и поэтому
полагая
снова получаем равенство (25), где
0<Ө<1.
Следовательно, равенство (24) можно записать в виде
, (26)
где 0<Ө<1.
Формулу (26) называют формулой конечных риращений
Лагранжа. Она дает точно выражение для приращения функции в отличие от
приближенного равенства
которое иногда называют формулой бесконечно малых
приращений.
Пример1.
Доказать что
а ) ln (1+x) <х приx>0 (27)
б )
(28)
∆ а) Применяя теорему Лагранжа к функции f (x)=ln (1+x) на отрезке [0, x] где x>0, получаем ln(1+x)=
откуда следует неравенство (27), так
как 0<ξ<х.
б) По теореме Лагранжа для функции arctgx на отрезке с концами х1 и
х2 находим
arctgx2-arctgx1=
откуда получаем
так как
Полагая в соотношении (28) х2=х,
х1=0, получаем
(29)
и, в частности,
(30)
1.6 Некоторые следствия из теоремы Лагранжа
Следствие 1. Если функция f(x) дифференцируема
на интервале (a, b) и
f/ (x)=0 для всех x Є (a, b), то
f(x)=C=const, x Є (a, b).
Пусть x0-фиксированная точка интервала (a, b), x-
любая точка этого интервала. Применяя теорему Лагранжа к функции f(x) на отрезке с концами х0 и х, получаем
где
откуда
Следствие 2. Если функция f(x) непрерывна на
отрезке [a, b], дифференцируема на интервале (a, b) и для всех x Є (a, b) выполняется
равенство f/(x)=r, где r-постоянная, то
F(x)=rx+B, x Є [a, b],
т.е f-линейная функция.
Применяя теорему Лагранжа к функции f
на отрезке [a, x], где a≤x≤b, получаем f(x)-f(a)=r(x-a), откуда
следует, что f(x)=rx+B, где B=f(a)-r.a.
Следствие 3. Пусть функция f(x) дифференцируема
на интервале (a, b), за исключением, быть может, точки х0 Є (a, b), и непрерывна в точке х0. Тогда если
существует конечный или бесконечный
(31)
то в точке х0 существует левая производная,
причем
(32)
Аналогично, если существует
(33)
то
(34)
Пусть приращение ∆х таково, что ∆х≠0
и точке х0+∆х принадлежит интервалу (a, b). Запишем
равенство (34). В виде
(35)
Если существует передел (31), т.е.
то правая часть (35)
имеет передел, равный А, а поэтому существует предел в левой части (35) и справедливо равенство (32)
Предположим, что функция f(x) дифференцируема
в точке х0, тогда
(36)
Если пределы (31) и (33) существуют и конечны, то из
соотношений (32), (34) и(36) следует, что
Это означает, что если функция f(x) дифференцируема на интервале (a, b), то ее
производная f/(x) не
может иметь точек разрыва первого рода. Иначе говоря, каждая точка х0
Є (a, b) является либо точкой непрерывности функции f/(x),
либо точкой разрыва второго рода.
Пример 2. Найти
и
если f(x)=arcsin
.
Функция f
определена на R, так как 1+х2≥2(х).
Откуда
Применяя следствие 12.3, получаем
Аналогично находим
Пример3. Найти точки разрыва функции f/(x), если
Если х≠0, то
если х=0, то по определению
производной
Следовательно, функция f/(x) определена на R и непрерывна при х≠0. В точке
х=0 эта функция имеет разрыв второго рода, так как не существует предела
функции
при
Следствие 4. Если функции φ и ψ дифференцируемы при
и удовлетворяют условиям
при х>x0 то φ(x)>ψ(x) при x>x0.
Примения теорему Лагранжа к функции f(x)= φ(x)-ψ(x) на отрезке [x0, x], где x>x0, получаем f(x)=f/(ξ) (х-х0), так как f (х0)=0. Отсюда, учитывая,
что
ξ>x0, f/(ξ)=φ/(ξ)-ψ/(ξ)>0,
получаем f(x)>0, т.е. φ(x)>ψ(x) приx>x0.
Пример 4. Доказать, что
при
(37)
Пусть
тогда
и при x>0
справедливо неравенство
так как при
это неравенство равносильно очевидному неравенству 1>1-x2. Применяя следствие (4) к функциям φ(х) и ψ(х), получаем неравенство (37).
.7 Обобщенная формула конечных приращения (формула
Коши)
Теорема 6. Если функции f (x) и g(x)непрерывны на
отрезке [a, b], дифференцируемы на интервале (a, b), причем g/(х)≠0 во всех точках этого интервала, то найдется хотя
бы одна точка ξ Є (a, b) такая, что
(38)
Рассмотрим функцию
где число λ выберем таким, чтобы выполнялось
равенство φ(а)=φ(b), которое равносильно следующему
f (b)-f (a)+λ(g(b)-g(a))=0. (39)
Заметим, что g(b)≠g(a), так как в
противном случае, согласно теореме Роля, существовала бы точка c Є (a, b) такая, что g/(c)=0
вопреки условиям теоремы 4. Итак, g(b)-g(a)≠0, и за
равенства (39) следует, что
(40)
Так как функция φ при любом λ непрерывна на отрезке [a, b] и дифференцируема на интервале (a, b), а при значении
λ, определяемом формулой (40), принимает равные значения в точках
а и b, по теореме Роля существует точка ξ Є (a, b) такая, что φ/ (ξ)=0, т.е. f/ (ξ)+λg/ (ξ)=0, откуда
Из этого равенства и формулы (40) следует утверждение (39).
Замечание 8. Теорема Лагранжа- частный случай теоремы
Коши (g(x)=x).
Замечание 9. Теорема 4 нельзя получить применением
теоремы12.3 к числителю и знаменателю дроби, стоящей в левой части равенства (38). Действительно, это дробь по
теореме 3 можно записать в виде
где ξ1 Є (a, b), ξ2 Є (a, b), но вообще говоря ξ1 ≠ξ2.
2. Задачи на применение теорем о среднем значении
дифференцируемых функций
Задачи на применение теоремы Ролля.
Задача 1. Доказать теорему: если уравнение
(1)
имеет положительный корень
, то уравнение
(2)
также имеет положительный корень и притом меньший
.
Рассмотрим функцию
Проверим для этой функции условия теоремы Ролля на
отрезке
1)
как многочлен;
2)
.
так как
- корень
Условия теоремы Ролля выполняются, отсюда следует
.
Найдём
.
Используя условие (3) получили, что
,
что значит что
- корень уравнения (2). Так как
, то следовательно
.
Получаем что уравнение (1) имеет положительный корень
, который больше чем корень уравнения
(2).
Задача 2. Показать, что уравнение
не может иметь двух различных корней
в интервале (0,1).
Доказательство будем проводить методом от противного.
Рассмотрим функцию
Пусть
имеет два различных корня
в интервале (0,1). Проверим
выполнение условий теоремы Ролля на отрезке [
:
1)
как многочлен;
2)
- корни
, то
Условия Теоремы Ролля выполняются, а это значит, что
существует такая точка
.
Рассмотрим равенство
, оно равносильно
.

Точки
не принадлежат отрезку [
, следовательно и интервалу
!!!
Не выполняется заключение теоремы Ролля, а это
означает, что функция не может иметь двух различных корней в интервале
.
Задачи на применение теоремы Лагранжа
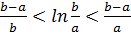
Задача 3. Доказать неравенство
, (
Рассмотрим функцию
и применим для неё теорему Лагранжа
на отрезке
1) f непрерывна на отрезке
2) f дифференцируема на отрезке
условия теоремы Лагранжа выполняются, отсюда следует,
что существует такая точка
, что:
.
Рассмотрим
:
по свойствам логарифма
.
Производная
, подставим
:
.
Получаем что
, где
.
Так как по условию теоремы Лагранжа
, отсюда следует неравенство
Учитывая (1) получаем, что
(2).
Аналогично при
получаем, что
(3)
Из неравенств (2) и (3) следует, что
.
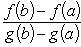
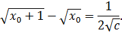
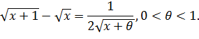
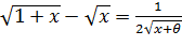
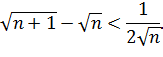
Задача 4. Показать, что
, где
Пользуясь этим, убедиться в том, что корни квадратные
из двух последовательных натуральных чисел, превышающих 25, отличаются между
собой менее чем на
.
Рассмотрим функцию
Проверим выполнение условий теоремы Лагранжа на
отрезке
1)
непрерывна на отрезке
;
2)
дифференцируема на отрезке
Выполняются условия теоремы Лагранжа, следовательно,
существует такая точка
, что:
.
Найдём производную:
. Подставим с, получим:
Получаем, что:
Из того, что число
больше числа
на единицу и
, следует, что
, где для числа
выполняется условие
Получаем, что:
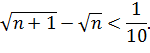
Покажем, что корни квадратные из двух последовательных
натуральных чисел, превышающих 25, отличаются между собой менее чем на
.
Возьмём натуральное число
и запишем для него полученное
равенство:
Из того что
, получим:
Рассмотрим неравенство:
Получаем, что если
, то выполняется неравенство:
Задача 5. Показать, что разность между синусами
синусами двух углов не превышает по абсолютной величине разности между этими
углами, взятыми в радиальной мере.
Рассмотрим функцию
Проверим выполнение условий теоремы Лагранжа на
отрезке
1)
непрерывна на отрезке
2)
дифференцируема на отрезке
Выполняются условия теоремы Лагранжа, следовательно,
существует такая точка
Найдём производную функции:
Подставим
Получаем, что:
Так как
может принимать значения только от
-1 до 1, то получаем, что:

Задача
6.Найти условный экстремум функции
при
условии
Решение:
Составим функцию Лагранжа
Имеем
Система
имеет два решения


Далее



При

поэтому
функция
в точке
имеет
условный минимум, а при
следовательно,
функция
имеет в точке
условный
максимум.
Задача
7.Найти условные экстремумы функции
при
наличии ограничения
Решение:
Построим функцию Лагранжа
Стационарные
точки определим из системы
Умножим
первое уравнение на
, а второе - на
. После
вычитания получим
Если
, то из первых двух уравнений системы
. Но такие значения переменных
и
не
удовлетворяют уравнению связи. Значит
и так
как
то из (27) имеем
.
Подставляя это в уравнение связи, получаем:
откуда
. Таким образом, из (1.27)
.
Итак,
единственная стационарная точка функции Лагранжа
Далее,
Тогда
для
при

Получаем
Из
уравнения связи при
находим соотношение для дифференциалов
и
,
.
Подставляя
в (1.28), получаем равенство
Поэтому,
при
в точке
функция
имеет условный максимум, а при
-
условный минимум. Экстремальное значение равно
.
Заключение
Настоящая работа даёт учащимся новый подход к многим
преобразованиям в математике, которые стандартным путём трудно разрешимы или
разрешимы, но громоздкими способами. Рассмотренные подходы нестандартного
характера для учащихся покажутся новыми и необыкновенными, что расширит их
кругозор и повысит интерес к производной.
Итак, геометрический смысл производной: производная функции
в точке x0 равна угловому коэффициенту касательной к графику
функции, проведенной в точке с абсциссой x0.
В результате написания курсовой работы мною были
изучены теоремы о среднем значении дифференцируемых функции. Для достижения
поставленной цели я решила следующие задачи: 1. Дала понятие производных и
экстремумов и исследовала общие сведения о нем. 2. Рассмотрела теоремы Ферма,
Ролля, Коши, Лагранжа. 3. Изучила методы решений задач с доказательствами на
данную тему.
Подводя итоги курсовой работы, можно сделать следующие
выводы.
Теорема Ролля
Пусть функция f: [a, b] → R непрерывна на
сегменте [a, b], и имеет конечную или бесконечную производную внутри этого
сегмента. Пусть, кроме того, f(a) = f(b). Тогда внутри сегмента [a, b] найдется
точка ξ такая, что f'(ξ) = 0.
Теорема Лагранжа
Если функция f: [a, b] → R непрерывна на
сегменте [a, b] и имеет конечную или бесконечную производную во внутренних
точках этого сегмента, то 
такое, что f(b) - f(a) = f'(ξ)(b - a).
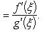
Теорема Коши
Если каждая из функций f и g непрерывна на [a, b] и
имеет конечную или бесконечную производную на ]a, b[ и если, кроме того,
производная g'(x) ≠ 0 на ]a, b[, то 
такое, что справедлива формула

Если дополнительно потребовать, чтобы g(a) ≠
g(b), то условие g'(x) ≠ 0 можно заменить менее жестким:


Список использованной литературы
1 Берман Г.Н. Сборник задач по курсу математического анализа;
учебное пособие - М., 1969. - 440с.
Давыдов Н.А., Коровкин П.П., Никольский В.Н. Сборник задач по
математическому анализу: учебное пособие - М., 1973. - 256 с.
Зайцев И.А. Высшая математика. ДРОФА, 2005. - 400 с.
Краснов М. Вся высшая математика т. 1 изд. 2. Едиториал УРСС,
2003. - 328 с.
Краснов М.Л., Макаренко Г.И., Киселев А.И., Шикин Е.В. Вся
высшая математика Интегральное исчисление. Дифференциальное исчисление функций
нескольких переменных. Дифференциальная геометрия Том 2.: Учебник - 3-е изд.
ЛКИ, 2007.
Мироненко Е.С. Высшая математика. М: Высшая школа, 2002. - 109
с.
Юнусов А.А. Курс лекции по высшей математике: учебное пособие -
Шымкент, 2003. - 129 с.
Юнусов А.А. Конспект лекции по математическому анализу: учебное
пособие - Шымкент, 2012. - 113 с.