Особенности реализации государственных заимствований в современной экономике
Содержание
Введение
Глава 1. Методологические и законодательные основы реализации
государственных заимствований в современной экономике
1.1 Определение государственных займов, их сущность. Связь
государственных займов с бюджетным дефицитом
1.2 Классификация и формы государственных заимствований в рыночной
экономике
1.3 Политика управления государственными заимствованиями: сущность,
основные задачи и инструменты
Глава 2. Сравнительный анализ государственных заимствований в
России и зарубежных странах
2.1 Особенности государственных заимствований в Соединенных Штатах
Америки
2.2 Особенности государственных заимствований в Российской
Федерации
2.3 Сравнительный анализ состояния государственного заимствований
США и Российской Федерации
Глава 3. Стоимостная оценка государственных заимствований
3.1 Оценка внутренних заимствований
3.2 Оценка внешних заимствований
Заключение
Список используемой литературы
Приложения
Введение
Тема данной курсовой работы - "Особенности
государственных заимствований за рубежом и в России". Для анализа были
взяты Соединенные Штаты Америки, представляющие зарубежную модель
заимствования, за рассматриваемый период 2000-2014 годы.
Актуальность темы государственного долга очевидна. Бюджет,
наверное, каждой страны имеет дело с дефицитом, который в свою очередь,
неразрывно связан с появлением государственного долга. В современных условиях
анализ состояния государственного долга важен для дальнейшего осуществления
долговой политики.
Целью данной работы является выявление особенностей реализации
государственных заимствований в Российской Федерации и Соединенных Штатах
Америки и оценка эффективности российской долговой политики.
Задачи нашей работы состоят в сравнении двух моделей
государственных заимствований, выявлении ключевых принципов обеих, анализ
текущего состояния и динамики государственного долга, а также его структуры,
стоимостная оценка государственных заимствований двух стран.
Предметом исследования в данной работе является эффективность
долговой политики и практики заимствований Российской Федерации, которую мы
сможем оценить с помощью сравнения ее с одной из ведущих экономик мира, а
именно США.
Объектом исследования данной курсовой работы является
непосредственно государственный долг Российской Федерации и США, его состояние,
динамика, структура и прочие показатели.
Применимыми методами исследования стали рассмотрение и анализ
текущего состояния и за рассматриваемый период, а также структуры и динамики,
расчет темпов прироста, дюрации и доходности государственных облигаций и
другие.
государственное заимствование бюджетный дефицит
Структура работы: в данной работе содержатся три главы -
теоретическая, основная, в которой рассмотрены ключевые показатели состояния
государственного долга двух стран, и глава, в которой дана стоимостная оценка
государственных заимствований, а именно большей его части, то есть облигаций.
Глава 1.
Методологические и законодательные основы реализации государственных
заимствований в современной экономике
1.1
Определение государственных займов, их сущность. Связь государственных займов с
бюджетным дефицитом
Под государственными заимствованиями Российской Федерации
понимаются государственные займы, осуществляемые путем выпуска государственных
ценных бумаг от имени Российской Федерации, и кредиты, привлекаемые от других
бюджетов бюджетной системы Российской Федерации, кредитных организаций,
иностранных государств, включая целевые иностранные кредиты (заимствования),
международных финансовых организаций, иных субъектов международного права,
иностранных юридических лиц, по которым возникают долговые обязательства
Российской Федерации.
Исходной причиной возникновения государственных займов
является дефицит, т.к. государственные займы являются главным способом его
финансирования.
Дефицит бюджета - превышение расходов бюджета над его
доходами. Дефицит федерального бюджета утверждается федеральным законом о
федеральном бюджете на очередной год и плановый период и определяется как
разница между общим объемом расходов и общим объемом доходов федерального
бюджета на очередной финансовый год и плановый период.
Финансирование бюджетного дефицита - покрытие отрицательного
сальдо бюджета путем привлечения финансовых ресурсов за счет государственных
займов и уменьшения остатков ликвидных финансовых средств государства.
Источники финансирования дефицита бюджета разделяют на
собственные и заемные. К собственным источникам относятся поступления ресурсов
от имущества, находящегося в собственности государства и местного
самоуправления. Поступления от этих источников носят безвозвратный характер.
Заемные источники привлекаются как временно свободные ресурсы финансового рынка
и носят возвратный характер, относятся на увеличение государственного долга,
требуют процентных расходов по их обслуживанию.
Заметим, что государственные займы входят в состав заемных
источников и формируют государственный долг.
К государственному долгу Российской Федерации относятся
долговые обязательства Российской Федерации перед физическими и юридическими
лицами Российской Федерации, субъектами Российской Федерации, муниципальными
образованиями, иностранными государствами, международными финансовыми
организациями, иными субъектами международного права, иностранными физическими
и юридическими лицами, возникшие в результате государственных заимствований
Российской Федерации, а также долговые обязательства по государственным
гарантиям, предоставленным Российской Федерацией, и долговые обязательства,
возникшие в результате принятия законодательных актов Российской Федерации об
отнесении на государственный долг долговых обязательств третьих лиц.
Структура государственного долга Российской Федерации:
. Кредиты от кредитных организаций, иностранных государств и
международных финансовых организаций.
. Государственные ценные бумаги.
. Бюджетные кредиты из других бюджетов бюджетной системы
Российской Федерации.
. Государственные гарантии.
. Долговые обязательства, ранее отнесенные на государственный
долг Российской Федерации.
Государственные займы в свою очередь делятся на внутренние
(пример: кредиты от бюджетов бюджетной системы) и внешние (пример: кредиты от
иностранных государств).
Чем большим оказывается дефицит федерального бюджета, тем
большим обычно оказывается размер государственных заимствований, необходимых
для его покрытия. Также большим оказывается сумма, необходимая для обслуживания
государственного долга, что может привести к увеличению размера бюджетного
дефицита на очередной финансовый год, так как повысятся расходы (к расходам
относится обслуживание государственного долга) и все большим займам.
1.2
Классификация и формы государственных заимствований в рыночной экономике
Государственные и муниципальные внутренние заимствования
осуществляются в целях финансирования дефицитов соответствующих бюджетов, а
также для погашения долговых обязательств.
Государственные займы можно классифицировать следующим
образом:
) в зависимости от эмитента:
· размещаемые центральными органами
управления;
· размещаемые местными органами управления;
2) в зависимости от места размещения:
· внутренние (Государственный внутренний
займы - средства, привлекаемый в основном от резидентов, а также не от
резидентов, выраженные в валюте государства);
· внешние (Государственный внешние займы -
средства, размещаемы на иностранных фондовых рынках, выраженные в иностранной
валюте);
3) в зависимости от обращения на рынке:
· рыночные - свободно обращаются на рынке и
обычно используются для финансирования дефицита бюджета;
· нерыночные - не могут свободно обращаться
на рынке и обычно используются государством, чтобы привлечь определенных
инвесторов;
4) в зависимости от срока привлечения средств:
· краткосрочные - займы со сроком погашения
до одного года;
· среднесрочные - со сроками погашения от
одного года до пяти лет;
· долгосрочные - со сроками погашения от
пяти лет и выше;
5) в зависимости от обеспеченности долговых обязательств:
· закладные;
· беззакладные;
6) в зависимости от формы выплаты доходов:
· процентные;
· выигрышные;
· процентно-выигрышные;
· беспроцентные (целевые);
· беспроигрышные;
· дисконтные;
· процентнодисконтные;
· твердодоходные.
7) в зависимости от условий обращения:
· с правом досрочного погашения;
· без права досрочного погашения;
8) по методам размещения:
· размещаемые на добровольной основе
· размещаемые по подписке;
· размещаемые принудительно.
Государственные займы реализуются в форме кредитов либо путем
выпуска государственных ценных бумаг.
Государственный кредит как экономическая категория - система
денежных отношений, возникающих в связи с привлечением государством на
добровольных основах для использования временно свободных денежных средств
граждан и хозяйствующих субъектов. Государственный кредит как правовая
категория - это самостоятельный институт финансового права, представляющий
собой совокупность финансово-правовых норм, регулирующих общественные
отношения, складывающиеся в процессе привлечения государством временно
свободных денежных средств юридических и физических лиц на условиях
добровольности, возвратности, срочности и возмездности в целях покрытия
бюджетного дефицита и регулирования денежного обращения.
Источником погашения государственных займов и выплаты
процентов по ним выступают средства бюджета, где ежегодно эти расходы
выделяются в отдельную строку. Однако в условиях нарастания бюджетного дефицита
государство может прибегнуть к рефинансированию государственного долга, т.е.
погасить старую государственную задолженность путем выпуска новых займов.
Внутренний госкредит представлен следующими формами:
· госзаймы путем эмиссии ценных бумаг;
· кредиты центрального банка;
· кредиты коммерческих банков и предприятий.
Государственные ценные бумаги формируют госдолг страны
и составляют особый сегмент фондового рынка - рынок государственных ценных
бумаг. Существенная особенность государственных ценных бумаг - сочетание в них
всех свойств инструментов фондового рынка с одновременными характеристиками,
присущими государственному регулирующему макроэкономическому инструменту.
Государственные долговые бумаги представлены в основном облигациями (это ценная
бумага, за которую владелец может получить номинальную стоимость, а также
процент от банка-эмитента.). В целом на фондовом рынке соотношение обращающихся
акций и облигаций составляет 1: 0,9.
Государственные ценные бумаги подразделяются на группы в
зависимости от следующих факторов (критериев):
· эмитент:
центральное правительство;
муниципалитеты; госпредприятия;
правительственные финансовые корпорации;
· срочность:
краткосрочные казначейские векселя;
среднесрочные ноты;
долгосрочные облигации;
· держатель:
предъявительские
именные;
· метод выпуска:
документарные (наличная форма);
бездокументарные (безналичная форма);
· цель выпуска:
покрытие дефицита госбюджета соответствующего уровня;
финансирование инвестиционных проектов;
финансирование социальных программ;
· формы выплаты дохода:
выигрышные,
процентные,
дисконтные;
· способ размещения:
проведение аукционов;
открытая продажа;
индивидуальное размещение.
1.3 Политика
управления государственными заимствованиями: сущность, основные задачи и
инструменты
Управление государственным займами представляет собой
совокупность финансовых мероприятий государства и органов местного
самоуправления по погашению займов, организации выплат доходов по ним,
проведению изменений условий и сроков ранее выпущенных займов.
Поскольку государственные займы являются неотъемлемой
составляющей государственного долга, политика управления ими сводится к
политике управления государственным долгом. В связи с этим необходимо
рассмотреть задачи и методы, используемые в процессе управления
государственными долговыми обязательствами.
Итак, под управлением государственным внутренним долгом
понимается совокупность мероприятий государства по выплате доходов кредиторам и
погашению займов, а также порядок, условия выпуска (выдачи) и размещения
долговых обязательств, в процессе этой совокупности решаются следующие задачи:
привлечение государственных и муниципальных заимствований в
объемах, дополняющих доходы органов государственной власти и органов местного
самоуправления до размеров, необходимых и достаточных для обеспечения исполнения
всех их финансовых обязательств;
удержание величины внутреннего и внешнего долга на уровне,
обеспечивающем сохранение экономической безопасности страны;
минимизация стоимости долга на основе удлинения срока
заимствований и снижения доходности государственных и муниципальных ценных
бумаг, перехода на другие рынки и переключения внимания на другие группы
инвесторов;
сохранение репутации Российской Федерации как первоклассного
заемщика на основе безупречного выполнения финансовых обязательств перед инвесторами;
поддержание стабильности и предсказуемости рынка долговых
обязательств;
достижение эффективного и целевого использования средств,
заимствованных органами государственной власти и органами местного
самоуправления, и гарантированных ими заимствований;
диверсификация долговых обязательств по срокам заимствований,
доходности, формам выплаты дохода и другим параметрам для удовлетворения
потребностей различных групп инвесторов;
координация действий федеральных органов государственной
власти, органов власти субъектов РФ и органов местного самоуправления на
долговом рынке страны.
При решении обозначенных выше задач государство использует
следующие методы:
) под рефинансированием государственного долга понимается
погашение старой государственной задолженности путем выпуска новых займов;
) конверсия - изменение доходности займов, т.е. в целях
снижения расходов по управлению государственным долгом государство чаще всего
снижает размер выплачиваемых процентов по займам (однако не исключено и
увеличение процентов);
) консолидация - изменение условий займов, связанных со
сроком. Благодаря консолидации может быть достигнуто увеличение срока действия
уже выпущенных займов;
) унификация займов - это объединение нескольких займов в
один. Цель - уменьшение количества ценных бумаг, что упрощает работу и
сокращает расходы по обслуживанию государственного долга. Унификация обычно
проводится вместе с консолидацией, но может быть проведена и самостоятельно;
) обмен облигаций по регрессивному соотношению проводится с
целью сокращения государственного долга. Это нежелательно, так как он
представляет собой частичный отказ государства от своих долгов;
) отсрочка погашения - это перенос сроков выплаты
задолженности. При этом за период переноса сроков погашения долга выплата
доходов не производится;
) реструктуризация - это применение в комплексе полностью или
частично вышеназванных методов (фактически синонимично рефинансированию);
) аннулирование государственного долга - мера, в результате
которой государство полностью отказывается от обязательств по выпущенному
займу.
Можно выделить следующие инструменты управления
государственным долгом:
· консолидация займа - объединение
нескольких займов в один более долгосрочный с изменением ставки процента;
· конверсия государственного займа -
изменение первоначальных условий займа, касающихся доходности. Чаще всего в
ходе конверсии правительство снижает ставку процента;
· конверсия внешнего долга - средство
сокращения внешнего долга путем выполнения долговых обязательств перед
кредиторами передачей им векселей и акций в национальной валюте;
· новация - замена первоначального
обязательства между сторонами другим обязательством между этими же сторонами,
предусматривающим другой способ исполнения.
Управление государственным долгом Российской Федерации
осуществляется Правительством Российской Федерации либо уполномоченным им
Министерством финансов Российской Федерации.
Государственные заимствования - основной способ покрытия
бюджетного дефицита. Государственные заимствования входят в состав заемных
источников и формируют государственный долг. Однако, несмотря на необходимость
выплачивать по займам суммы по процентам при погашении, большинство государств
охотно идут на взятие займов в силу того, что это дает возможность получить в
распоряжение недостающие средства. Государственные займы представлены в формах
кредитов (внутренних внешних), либо эмиссии ценных бумаг (чаще всего
облигаций).
В связи с этим, одним из приоритетных направлений политики
любого государства становится оптимизация государственных заимствований, в
рамках которой осуществляется маневрирование как внутренними, так и внешними
государственными займами, направленная в первую очередь на обслуживание
текущего долга и нахождение наиболее выгодных условий при формировании нового.
Для этого предусмотрен ряд мер, наиболее распространенным из которых является
рефинансирование государственного долга (то есть погашения обязательств по
старой задолженности путем выпуска новой).
Глава 2.
Сравнительный анализ государственных заимствований в России и зарубежных
странах
2.1
Особенности государственных заимствований в Соединенных Штатах Америки
Структура государственных займов в США
Государственные заимствования для экономики США, как и для
любой другой экономики мира, являются одним из основных способов покрытия
бюджетного дефицита. В частности, в Соединенных штатах Америки, в силу ее
специфичной экономики, основная часть дефицита финансируется за счет выпуска
государственных облигаций, что позволяет федеральному правительству, будучи
эмитентом гораздо более надежным, чем может быть любой резидент, изымать с
кредитного рынка столько денежных ресурсов, сколько необходимо в данный момент.
Кроме того, при этом срабатывает так называемый "эффект вытеснения",
то есть, забирая значительную часть ресурсов с кредитного рынка, государство
существенно ограничивает объем средств, доступный для домохозяйств. Это
срабатывает на руку правительству, в силу того, что снижает возможное
инфляционное воздействие бюджетного дефицита на экономику в целом.
Таблица 1.
Структура заимствований на кредитном рынке
США, (млрд. долл.)
|
Виды
заимствований
|
2000 г.
|
2007 г.
|
2013 г.
|
|
Всего кредитных
ресурсов
|
1 668,6
|
2 982,1
|
3 501,1
|
|
Инструменты
открытого рынка
|
211,6
|
154,7
|
286,7
|
|
Казначейские
облигации
|
-294,9
|
372,5
|
397,3
|
|
Облигации
агентств
|
433,9
|
18,5
|
66,3
|
|
Муниципальные
облигации
|
23,6
|
143,1
|
205,8
|
|
Корпоративные и
иностранные облигации
|
345,1
|
686,8
|
798,6
|
|
Заимствования
банков и других учреждений
|
154,1
|
154,5
|
290,7
|
|
Закладные
|
546,8
|
1 336,8
|
1 584,4
|
|
Потребительский
кредит
|
168,4
|
89,2
|
67,4
|
Источник: Flows of Funds
Accounts of the United States.12/2013
Проанализируем приведенные в Таблице 1 данные.
Во-первых, сразу обращает на себя внимание тот факт, что
объем выпуска казначейских облигаций, определяемый непосредственно размерами
дефицита бюджета, вполне отражает роль государства как одного из крупнейших
заемщиков. Из таблицы же видно, что в 2000 г. выпуск казначейских облигаций
приведен в отрицательном значении - это означает, что бюджет за этот год был
профицитен. В целом на облигации казначейства, таким образом, приходится
примерно 10-12% всех кредитных ресурсов. По сравнению с 80-90 гг. прошлого
века, когда бюджет имел гораздо больший дефицит, этот показатель составлял
приблизительно 25-30%.
Если, тем не менее, взять вместе с казначейскими облигациями
инструменты открытого рынка, обязательства агентств и муниципальные облигации,
то есть все долговые инструменты, так или иначе связанные с государством, то
видно, что при прямом и косвенном участии государства с кредитного рынка изымается
около половины денежных ресурсов.
Снижающиеся год от года показатели заимствований по
направлению потребительских кредитов показывают, что его роль в жизни
современного населения в Америке существенно снизилась - вероятнее всего
причина в возросших доходах населения.
Рассмотрим основные категории держателей казначейских бумаг
(данные представлены на конец каждого года)
Таблица 2.
Основные категории держателей казначейских бумаг (в %, на
конец года)
|
Год Держатель
|
2008
|
2009
|
2010
|
2011
|
2012
|
2013
|
|
Доля иностранных
держателей казначейских бумаг
|
52,9
|
48,4
|
48,6
|
48,8
|
48,9
|
47,9
|
|
Доля
финансового сектора США среди держателей казначейских бумаг
|
36,0
|
33,9
|
32,6
|
38,7
|
37,3
|
38,2
|
|
Доля прочих
держателей (нефинансового сектора) США
|
11,1
|
17,7
|
18,8
|
12,5
|
13,8
|
13,9
|
|
Доля ФРС среди
держателей казначейских бумаг
|
7,8
|
10,3
|
11,1
|
16,2
|
14,7
|
16,6
|
|
Доля финансовых
организаций США за исключением ФРС
|
28,2
|
23,6
|
21,5
|
22,5
|
22,6
|
21,6
|
В публицистике дается обычно несколько упрощенная схема
государственных заимствований США. Говорится о том, что якобы основным
держателем казначейских бумаг выступает Федеральная резервная система США, что
двенадцать Федеральных резервных банков (из которых самым крупным выступает ФРБ
Нью-Йорка) полностью скупают все выпуски этих бумаг. Мы же видим, что еще в начале
финансового кризиса доля эта была весьма скромной. В конце 2008 года на балансе
ФРС находилось казначейских бумаг на сумму 484,5 млрд. долл., или около 8
процентов всего объема таких бумаг. В конце 2013 года бумаг у ФРС было уже
2.159,5 млрд. долл., или 16,6%. Для справки хотелось бы отметить, что в истории
США бывали моменты, когда доля ФРС во владении казначейскими бумагами превышала
нынешний уровень. Например, в середине 1970-х гг. доля ФРС достигла 23% (в
абсолютном выражении - 75 млрд. долл.). При сохранении нынешних тенденций,
полагают эксперты, к концу 2014 года доля ФРС во владении казначейскими
бумагами может возрасти до 20%.
Всего на конец 2013 года, по официальным данным Министерства
финансов США, в руках всех категорий американских держателей находилось
рыночных и нерыночных долгов правительства США на сумму 11.047,4 млрд. долл.
Объем рыночных долгов (казначейских бумаг) у американских держателей в этот
момент составил 6.362,6 млрд. долл. Среди этих держателей (млрд. долл.): ФРС -
1.972,0; депозитно-кредитные организации (банки) - 341,4; частные пенсионные
фонды - 457,7; пенсионные фонды штатов и местных властей - 229,0; взаимные
фонды - 946,4; страховые компании - 263,3; правительства штатов и власти
муниципалитетов - 474,5; прочие держатели - 1.678,2. Последняя из названных
групп очень пестрая, включает в себя компании и организации нефинансового
сектора экономики (корпорации, малый и средний бизнес), физических лиц, иные
виды фондов (в том числе персональные трастовые фонды банков), брокеров и
дилеров, иные виды инвесторов.
Обратим внимание на скромную роль банков среди американских
держателей рыночного долга: на них приходится лишь немногим более 5% всех
казначейских бумаг в пределах США. А еще в середине 2008 года, когда в Америке
раскручивался маховик финансового кризиса, на балансах американских банков было
казначейских бумаг и того меньше - около 100 млрд. долл. Сегодня эта сумма
увеличилась более чем в 3 раза.
Государственные заимствования, как один из основных
источников формирования государственного долга, неразрывно с ним связаны,
поэтому при анализе госзаймов нельзя не проанализировать тенденции развития
долговых обязательств.
Структура и особенности долговых обязательств в США
Государственный долг Соединенных штатов Америки на сегодняшний
день составляет более 17,5 трлн. долларов США (причем эта сумма не включает в
себя долги штатов и корпораций). Каждый день прирост составляет около 3,8 млрд.
долларов США. Если бы каждому жителю Америки пришлось принять непосредственное
участие в покрытии госдолга, на его долю пришлось бы около 54 тыс. долл. США, а
на каждого налогоплательщика - по 134 тыс. долл. США. Государственный долг
постоянно растет, так как в силу неспособности доходов страны насытить ее
бюджет, Америка вынуждена прибегать к займам. Обладая самым, наверное, развитым
рынком ценных бумаг, Америка куда меньше внимания уделяет своей банковской
системе - в частности, выдавая огромное количество кредитов на образование, в
том числе государственных, фактически не отслеживает их возвратность - около
70% всех выданных кредитов так и остаются непогашенными.
Итак, в силу тотальной нехватки доходов, Америка постоянно
вынуждена занимать. Заимствования могут быть привлечены как от резидентов
(внутренние), так и от нерезидентов (внешние). Касательно внешнего долга (то
есть по внешним займам), на данный момент ее крупнейшим кредитором является
Китай (1,37 трлн. долл. США), на втором месте - Япония (1,18 трлн. долл. США).
Россия, в силу обострившихся политических отношений, а также из-за угрозы дефолта,
существовавшей в октябре 2013 года, снизила свои инвестиции в гособлигации США
в ноябре 2013 до 139,9 млрд. долл. США (то есть на 10 млрд. долл. США меньше,
чем в сентябре, например), тем самым оказавшись на 12 месте.
Займы формируют две категории госдолга:
долги, держателями которых являются покупатели долговых бумаг
казначейства США на финансовом рынке. В первую очередь это казначейские
облигации (treasury securities) и казначейские векселя (treasury bills) (может
быть как внешний, так и внутренний).
долги, держателями которых выступают различные внебюджетные
социальные фонды и бюджетные организации (U. S.government Accounts).
Правительство занимает как бы у самого себя, или увеличивает непогашенные
обязательства перед бюджетными организациями. Эти долги характеризуются особым
способом оформления и учета, они в отличие от казначейских бумаг не обращаются
на рынке. Это долги, порождаемые заимствованиями внутри государственного
сектора, так называемые нерыночные долги (nonmarketable debts) (только внутренние).
Отметим, что крупнейшим внутренним нерыночным кредитором
американского казначейства является фонд The Old-Age and Survivors Insurance
Trust Fund. Фактически его можно рассматривать как подразделение казначейства с
самостоятельным балансом. Пакет бумаг на балансе фонда - около 2,5 трлн. долл.
Однако очень интересный момент представляет собой
безграничное доверие, которое оказывают иностранные инвесторы Соединенным
штатам. Облигации продолжают покупаться, несмотря на то, что экономика страны
оказалась под угрозой вот уже второй раз за 6 лет (кризис 2008, который имел
резонансные последствия во всем мире и практически объявленный технический
дефолт в октябре 2013 года, связанный с достижением правительством потолка
возможных заимствований). В октябре 2013 года США достигло планки, поставленной
правительством в 2012 году - то есть фактически стало невозможным дальше
выпускать новые облигации, тем самым привлекая новые заемные средства, а
средств в распоряжении хватило бы только срок около месяца (при условии
невыполнения гособязательств по выплате денежных средств по социальному
страхованию, медицинскому обслуживанию и военным. Соответственно, пересмотрев
потолок заимствований, США вышли из-под угрозы дефолта до марта 2015, получили
возможность и далее привлекать займы. Доверие к Америке обусловлено в первую
очередь тем, что, покупая американскую облигацию, можно быть уверенным в
возвращении по крайней мере номинальной стоимости - таким образом получается,
что фактически инвесторы больше заинтересованы во вложении своих активов в
надежные ценные бумаги, чем даже Америка в привлечении займов таким образом. И
тем не менее, нельзя не отметить, что для самой Америки, в отличие от России,
например, крайне выгодно продолжать брать займы, то есть только наращивать
государственный долг - фактически нет приемлемых способов для нее по-настоящему
его сократить. Основным методом управления госдолгом в Америке является
реструктуризация, но в условиях данной экономике эффект управления незаметен.
Можно было бы сократить потребность в займах повышением налогов, например, но
это вызовет слишком большое недовольство населения, а как следствие -
увеличение количества потребительских кредитов, что в перспективе замкнет круг.
2.2
Особенности государственных заимствований в Российской Федерации
Факторы, в условиях которых функционирует российская
экономика
Фактор 1. Макроэкономические условия.
Неопределенность темпов восстановления экономики,
региональные и межрегиональные финансово-экономические дисбалансы, некоторое
ослабление курса рубля, сокращение мирового спроса на энергоносители, стабильно
высокий уровень инфляции по сравнению с большинством ведущих европейских стран
влекут за собой слабые темпы развития российской экономики, получение
недостаточно высоких доходов, появление бюджетного дефицита и необходимость в
государственных заимствованиях как основном источнике его финансирования.
Данные о бюджетном дефиците и источниках его финансирования
представлены в Приложении 1.
Фактор 2. Введение в 2013 году бюджетного правила.
Бюджетное правило устанавливает порядок финансирования
бюджетного дефицита из средств Резервного фонда. Оно фактически разрывает связь
между бюджетными расходами и текущими ценами на нефть и призвано поддерживать
устойчивость бюджета, что в свою очередь способствует поддержанию суверенных
кредитных рейтингов России, что может привести к улучшению условий
заимствований и снижению их стоимости.
Фактор 3. Низкий уровень государственного долга и показатели
долговой устойчивости.
Низкие показатели государственного долга и показатели
долговой устойчивости, ни разу за рассматриваемый период не превышавшие
порогового значения, выгодно отличают Россию от значительного большинства как
развитых стран, так и государств формирующихся рынков, и создают предпосылки
для поддержания высокого кредитного рейтинга и даже его повышения, что также
может привести к улучшению условий заимствований и снижению их стоимости.
График, с помощью которого можно сравнить Россию и несколько
других стран по объему государственного долга, представлении в Приложении 2, а
показатели долговой устойчивости Российской Федерации представлены в Приложении
3.
Фактор 4. Состояние внутреннего рынка капитала.
Большую часть государственного долга Российской Федерации
составляет внутренний долг (около 75,5%) . На внутренний рынок капитала
возложена роль основного источника финансирования дефицита федерального
бюджета. В период с 2007 по 2012 годы внутренний рынок государственных ценных
бумаг практически утроился (с 1,1 трлн. рублей до 3,1) . Динамику привлечения
средств за счет эмиссии государственных внутренних облигаций можно рассмотреть
в Приложении 4.
Данный фактор снижает валютные риски, а также зависимость
Российской Федерации от иностранных государств, но нельзя полагать, что
внутренний рынок может полностью обеспечить потребность в заемном капитале.
Российский рынок все еще нуждается в зарубежных заимствованиях.
Фактор 5. Государственные гарантии Российской Федерации.
Эффективное использование такого инструмента, как
государственные гарантии, призвано способствовать решению таких важных
экономико - социальных задач, таких как модернизация экономики, реализация
крупных инвестиционных проектов, поддержка экспорта высокотехнологичной
отечественной продукции. На текущем этапе государственные гарантии играют все
более значимую роль и оказывают влияние на параметры федерального бюджета.
Объем предоставленных гарантий включается в общий государственный долг и
увеличивает объемы как самого долга, так и расходов.
Объем предоставленных государственных гарантий имеет общую
тенденцию к росту, причем темпами, существенно превышающими темпы прироста по
рыночным заимствованиям, что можно увидеть в Приложении 5 и к рассмотрению чего
снова вернемся несколько позже.
Вместе с объемами предоставленных гарантий растут и объемы
средств на возможное их исполнение. Возникает необходимость
"замораживания" некоторого объема бюджетных ассигнований, которые
могли бы быть направлены на другие приоритетные направления.
Предоставление государственных гарантий имеет как
положительные, так и отрицательные стороны. Учитывая объем их предоставления,
государство должно усовершенствовать подход к гарантийной поддержке.
Подведем итоги. Нестабильная ситуации российской экономики и
низкие уровни роста, а также многие другие факторы приводят к образованию
бюджетного дефицита, главным источником финансирования которого являются
государственные заимствования. Также государственный долг увеличивают
государственные гарантии, для которых необходимо усовершенствование системы их
предоставления.
Большую часть государственных заимствований занимают
внутренние, и внутренний рынок капитала является основным источником
финансирования дефицита федерального бюджета, но Россия все еще нуждается во
внешних займах, к снижению стоимости которых существуют определенные
предпосылки, как то низкий уровень государственного долга, показатели долговой
устойчивости, введение бюджетного правила, что может привести к улучшению
кредитного рейтинга Российской Федерации.
Приоритеты долговой политики Российской Федерации
Учитывая факторы, в условиях которых функционирует российская
экономика, выделяются следующие приоритеты в области государственных
заимствований:
) поддержание умеренной долговой нагрузки как важнейшего
конкурентного преимущества России;
) превращение национального рынка капитала в стабильный
источник удовлетворения потребностей бюджета;
) поддержание высокого уровня кредитных рейтингов России и
создание предпосылок для их повышения до категории "А";
) минимизация стоимости заимствований;
) совершенствование сложившейся системы управления
государственным долгом Российской Федерации;
Для реализации данных задач на внутреннем рынке капитала в
2011 - 2012 годы был произведен ряд преобразований:
) обеспечен прямой доступ нерезидентов на российский рынок
государственных ценных бумаг (принят закон "О центральном
депозитарии", внесены поправки в закон "О рынке ценных бумаг");
) обеспечен допуск ОФЗ к обращению на фондовой бирже;
) обеспечена возможность внебиржевого обращения ОФЗ, что
упростило доступ инвесторов на рынок и сократило их издержки;
) создание центрального депозитария (06.11.2012 - НКО ЗАО
Национальный расчетный депозитарий, входящий в группу "Московская
биржа").
В результате этих мероприятий произошли следующие
положительные изменения:
) возросла ликвидность обращающихся выпусков (среднедневной
оборот вторичных торгов ОФЗ вырос на 20%: с 12,5 до 15 млрд. рублей);
) средний объем выпуска в обращение удвоился (с 45 до 87
млрд. руб.);
) дюрация портфеля ОФЗ увеличилась на 5,6%% (с 3,6 до 3,8
года);
) впервые в современной истории на рынке был размещен выпуск
ОФЗ со сроком погашения 15 лет.
Что касается внешних займов, отметим, что в 2012 году Россия
разместила 3 выпуска облигационных займов, было привлечено 7 млрд. долл., а
спрос составил 24 млрд. долл. Неопределенная ситуация в Европейском Союзе, а
также макроэкономические проблемы некоторых развитых стран способствуют
повышению спроса на финансовые инструменты стран формирующихся рынков, в том
числе России.
Россия осуществляет долговую политику в соответствии с ее приоритетными
направлениями. В период за 2011 - 2013 годы был проведен ряд преобразований,
который привел к положительным изменениям на внутреннем рынке капитала. Что
касается внешнего, следует отметить, что финансовые инструменты стран
формирующихся рынков, в число которых входит и Россия, пользуются повышенным
спросом, что также можно считать положительным фактором.
Динамика государственного долга Российской Федерации в период
с 2000 по 2014 годы и его текущее состояние
Рассмотрим динамику объема государственного долга Российской
Федерации в Приложении 6 и 7. Заметим, что внутренний долг Российской Федерации
имеет устойчивую тенденцию к росту, в то время как внешний долг за
рассматриваемый период сократился и имеет примерно постоянную величину. К тому
же внешний долг составляет гораздо меньшую часть по сравнению с внутренним
(доля внутреннего государственного долга составляет около 75%, внешнего - около
25% всего государственного долга).
Рассмотрим динамику роста внутреннего и внешнего
государственного долга в период 2000-2014 годов с помощью Приложения 8.
Заметим, что темп роста внутреннего долга нестабилен, но
имеет общую тенденцию к повышению. Темп же изменения внешнего долга долгое
время оставался отрицательным, что говорит о снижении его объема. Резкое падение
уровня внешнего долга произошло в 2005 году. В первый раз после длительного
периода уровень внешнего долга повысился только в 2011 году. Обратим внимание
на то, что кризис 2008 года не привел к увеличению роста внешних заимствований.
Однако, в 2012 - 2013 годах наблюдается резкий скачок - внутренний долг резко
увеличивается на 42% (2012), а внешний - на 42% (2013).
Структура государственного долга тоже менялась. В период с
2005 по 2014 годы кардинально изменился внешний долг. Если в начале рассматриваемого
периода заимствования в виде кредита составляли 62, 49% всего долга, то в конце
снизились до 6,63%, облигационные займы возросли с 37,16% до 72,94%, а
предоставленные государственные гарантии - с 0,35% до 20,46%, что
свидетельствует о развитии использования государственных гарантий как
финансового инструмента на российском рынке и переориентации с кредитных
заимствований в сторону облигационных.
В структуре внутреннего займа изменения также значительны.
Предоставленные государственные гарантии в начале рассматриваемого периода
(2005) занимали лишь 2,78% всех внутренних заимствований, а в конце (2014)
стали равны 22,54%. Облигационные займы соответственно снизились с 97,22% до
77,46%.
За рассматриваемое десятилетие (2005-2014) облигационные
займы стали более популярными благодаря некоторым своим преимуществам, таким
как более долгий срок заимствования, отсутствие строгой целевой направленности
расходования привлеченных средств, привлечение широкого круга инвесторов и
снижение зависимости от одного кредитора, более дешевые условия привлечения,
возможность маневрировать при определении характеристик займа - объема, срока,
величины процентной ставки, условий выпуска, обращения, погашения, и так далее.
Что касается государственных гарантий, как уже отмечалось, в
последние годы Россия стала активно их использовать с целью достичь многих
значимых экономико-социальных задач, таких как модернизация экономики,
реализация крупных инвестиционных проектов, поддержка экспорта
высокотехнологичной отечественной продукции.
Динамика изменения структуры внутреннего и внешнего долга
представлена в Приложении 9 и 10.
На сегодняшний день (2014 год) государственный долг
составляет: внутренний - 5722,24 млрд. рублей, а внешний - 55,8 млрд. долл.
Структура внутреннего и внешнего долга наглядно представлена в Приложении 11 и
12. Внутренний долг включает ОФЗ (облигации федерального займа), ГСО
(государственные сберегательные облигации), ОВОЗ (облигации внутренних
облигационных займов), ОГРВЗ (облигации государственного внутреннего займа 1991
года), внешний - задолженность перед официальными кредиторами - членами
Парижского клуба, задолженность перед официальными кредиторами - не членами
Парижского клуба, задолженность перед официальными кредиторами - бывшими
членами СЭВ (Совет экономической взаимопомощи), коммерческая задолженность
бывшего СССР, задолженность перед международными финансовыми организациями,
задолженность по внешним облигационным займам, задолженность по облигациям
внутреннего государственного валютного займа, государственные гарантии в
иностранной валюте.
Подводя итоги, отметим, что государственный дог Российской
Федерации растет. За последнее десятилетии внутренний государственный долг
увеличился более, чем в 7 раз, а внешний - уменьшился более, чем в 2 раза.
Структура долга меняется в пользу увеличения долей облигационных займов и
предоставленных гарантий, облигационных займов - из-за некоторых их преимуществ
перед кредитами, а гарантий - из-за использования их в качестве инструмента для
решения важных экономико-социальных задач.
Кредитный рейтинг Российской Федерации и долговая нагрузка
Кредитный рейтинг Российской Федерации составил BBB с негативным прогнозом
от Fitch (21.03.2014), Baa1 со стабильным прогнозом
от Moody’s (05.08.2011) и BBB с негативным прогнозомот
Standard&Poor’s (24.05.2014) . Заметим,
что кредитный рейтинг был изменен в этом году (в марте текущего года по Fitch и мае по Standard&Poor’s), что связано с
политической сферой, а именно проблемой дестабилизации ситуации на Украине и
участия в решении данной проблемы Российской Федерации.
Долговая нагрузка составляет 13,7% ВВП в текущем 2014 году
при пороговом значении 25% . Данные по динамике показателя долговой нагрузки
были представлены в Приложении 3. Заметим, что данный показатель не преодолевал
порогового значения за рассматриваемый период.
Состояние российского государственного долга следующее:
уровень долговой нагрузки и показатели долговой устойчивости довольно низкие,
что делает Россию привлекательной в качестве заемщика. Факторы, в условиях которых
функционирует отечественная экономика и меры, проводимые в целях осуществления
приоритетных задач, также составляют предпосылки к улучшению кредитного
рейтинга до категории "А".
Большую часть государственного долга составляет внутренний,
что снижает зависимость страны от иностранных государств и минимизирует
валютные риски, а также отток капитала за рубеж.
По большей мере Россия использует облигационные займы, более
для нее выгодные, и увеличивает объем предоставления государственных гарантий,
что позволяет решать многие экономико - социальные задачи.
В целом, состояние российского государственного долга можно
считать удовлетворительным, а меры, проводимые для реализации долговой
политики, успешными. Но существуют и отрицательные стороны, как то низкая дюрация
отечественных ценных бумаг и высокая стоимость обслуживания государственных
заимствований, что будет рассмотрено в следующей главе.
2.3
Сравнительный анализ состояния государственного заимствований США и Российской
Федерации
Рассмотрев ситуацию по государственному долгу отдельно по
двум странам, проведем их сравнительный анализ.
Абсолютные показатели государственного долга США таковы:
внутренний долг составляет 9,5 трлн. долл., внешний - 4,5; России: внутренний
долг - 0,17 трлн. долл. , внешний - 0,05.
Внутренние заимствования США представлены в основном
казначейскими облигациями, России - облигациями и государственными гарантиями,
в которых преобладают облигационные займы. Внешние заимствований США состоят в
основном из кредитных займов, в то время как в России большую часть составляют
еврооблигации и облигации внутреннего валютного займа.
Среднее значение прироста внутреннего долга за
рассматриваемый период для США составляет 15%, России - 18,7%, а внешнего для
США - 12%, для России же этот показатель имеет отрицательное значение, так как
внешний долг Российской Федерации имеет тенденцию к снижению - 5,66%.
Долговая нагрузка США сейчас составляет около 95%, однако не
раз пересекала 100%, для России же она составляет 13,7% ВВП при пороговом
значении 25% (установленным законодательно) и никогда его не пересекала.
Однако кредитный рейтинг США намного выше российского: ААА со
стабильным прогнозом от Fitch, Ааа с негативным прогнозом от Moody’s и АА+ со стабильным
прогнозом от Syandard&Poor’s,
в то время как для России данные оценки составляют ВВВ с негативным прогнозом,
Ввв1 со стабильным прогнозом и ВВВ с негативным прогнозом соответственно, что
может свидетельствовать о том, что российская экономика недооценена.
Проведя подобное сравнение, заметим, что не только
рассмотренные показатели влияют на восприятие страны кредиторами, но и многие
другие факторы, такие как экономический рост, уровень инфляции и производства,
доверие к национальной валюте, международный авторитет (поскольку снижение
кредитного рейтинга России выступило как часть санкций из-за внешней политики
Российской Федерации) и прочие. Бесспорно, у мира есть доверие к США как
ведущей экономике мира и эмитенту резервной валюты, в то время как Россия
является одной из стран формирующихся рынков. Российская экономика является
сырьевой державой и привязана к спросу на энергоносители и их цены, в то время
как США долгое время оставалась ведущей страной по темпам роста.
России необходимы развитие и рост национальной экономики,
увеличение экспорта высокотехнологичной продукции, снижение уровня инфляции и
многое другое для выхода из состава развивающихся стран и завоевания доверия
кредиторов, для снижения стоимости внешних заимствований, без которых на данном
этапе развития страна не может обойтись и параметры которых мы рассмотрим в
следующей главе.
Глава 3.
Стоимостная оценка государственных заимствований
3.1 Оценка
внутренних заимствований
В данной главе мы оценим государственные заимствования России
и США в количественном измерении. Для этого будем рассматривать государственные
облигации, по которым оценим дюрацию и доходность к погашению.
Для оценки внутренних заимствований России составим выборку
из 20 облигаций и проведем анализ. Данные о выбранных облигациях представлены в
Приложении 13.
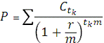
По представленным данным найдем доходность и дюрацию по
следующим формулам:
Полученные данные рассмотрим в Таблице 3.
Таблица 3.
Дюрация и доходность российских облигаций внутреннего займа.
|
№
|
Дюрация (лет)
|
Доходность, %
|
|
1
|
9,46
|
7,84
|
|
2
|
10,08
|
9,05
|
|
3
|
6,48
|
8,81
|
|
4
|
1,04
|
7,74
|
|
5
|
1,99
|
8,22
|
|
6
|
1,51
|
8,04
|
|
7
|
0,96
|
7,85
|
|
8
|
5,35
|
7,04
|
|
9
|
7,89
|
8,53
|
|
10
|
3,97
|
8,12
|
2,66
|
8,24
|
|
12
|
6
|
8,28
|
|
13
|
4,5
|
8,24
|
|
14
|
3,23
|
8, 19
|
|
15
|
8,43
|
8,62
|
|
16
|
6,37
|
8,34
|
|
17
|
1,83
|
8,1
|
|
18
|
5
|
8,29
|
|
19
|
6,68
|
8,4
|
|
20
|
4,24
|
8,24
|
Заметим, что дюрация представленных облигаций намного меньше
срока их погашения. Проведем расчеты и выясним, что средняя доля дюрации в
сроке погашения облигации по данной выборке равняется 0,498, а средняя
доходность 8, 209%.
Проведем аналогичные расчеты для облигаций США (данные о
выборке представлены в Приложении 14) и представим их в Таблице 4.
Таблица 4.
Дюрация и доходность американских облигаций внутреннего
займа.
|
№
|
Дюрация (лет)
|
Доходность, %
|
|
1
|
9,54
|
6,12
|
|
2
|
11,05
|
10,85
|
|
3
|
6,51
|
8,01
|
|
4
|
1,08
|
7,85
|
|
5
|
1,12
|
6,32
|
|
6
|
1,52
|
7,84
|
|
7
|
0,97
|
6,8
|
|
8
|
5,41
|
5,05
|
|
9
|
7,93
|
6,84
|
|
10
|
3,54
|
9,22
|
|
11
|
4,51
|
8,04
|
|
12
|
8
|
7,26
|
|
13
|
4,9
|
6,25
|
|
14
|
4,28
|
8, 20
|
|
15
|
7,41
|
8,78
|
|
16
|
6,39
|
7,36
|
|
17
|
1,88
|
7,2
|
|
18
|
4
|
7,39
|
|
19
|
5,38
|
8,5
|
|
20
|
5,24
|
8,34
|
Так же отметим, что дюрация представленных облигаций намного
меньше срока их погашения. Проведем расчеты и выясним, что средняя доля дюрации
в сроке погашения облигации по данной выборке равняется 0,522, а средняя
доходность 7,611%
Оценим стоимость обслуживания внутреннего государственного
долга.
Под обслуживанием государственного (муниципального) долга понимаются
операции по выплате доходов по государственным и муниципальным долговым
обязательствам в виде процентов по ним и (или) дисконта, осуществляемые за счет
средств соответствующего бюджета.
На обслуживание государственного и муниципального внутреннего
долга Российской Федерации в 2014 году выделяется 354 млрд. рублей, что
составляет 0,48% ВВП и 6, 19% самого внутреннего долга, а в прогнозном периоде
2015 и 2016 годов 392,3 и 445,2 млрд. рублей соответственно.
3.2 Оценка
внешних заимствований
Составим выборку из 10 еврооблигаций, выпущенных Российской
Федерацией, и представим их в Приложении 15.
Найдем доходность и дюрацию по формулам из предыдущего
раздела и рассмотрим их в Таблице 5.
Таблица 5.
Дюрация и доходность российских облигаций внешнего займа.
|
№
|
Дюрация (лет)
|
Доходность, %
|
|
1
|
8,27
|
5,33
|
|
2
|
3,37
|
2,92
|
|
3
|
4,68
|
4,09
|
|
4
|
2,66
|
2,03
|
|
5
|
6,55
|
4,15
|
|
6
|
14,33
|
5,37
|
|
7
|
5,1
|
3,69
|
|
8
|
4,13
|
3,14
|
|
9
|
7,41
|
4,46
|
|
10
|
14,41
|
5,45
|
Проведем расчеты и выясним, что средняя доля дюрации в сроке
погашения облигации по данной выборке равняется 0,459, а средняя доходность
4,063%.
Проведем аналогичные расчеты для США по выборке,
представленной в Приложении 16, и представим их в Таблице 6.
Таблица 6.
Дюрация и доходность американских облигаций внешнего займа.
|
№Дюрация (лет)
Доходность, %
|
|
|
|
1
|
7,37
|
6,21
|
|
2
|
4,06
|
3,02
|
|
3
|
5,61
|
5,11
|
|
4
|
3,51
|
1,04
|
|
5
|
5,53
|
1,15
|
|
6
|
12,33
|
6,37
|
|
7
|
6,1
|
5,69
|
|
8
|
5,25
|
4,14
|
|
9
|
6,52
|
6,41
|
|
10
|
15,01
|
4,98
|
Проведем расчеты и выясним, что средняя доля дюрации в сроке
погашения облигации по данной выборке равняется 0,509, а средняя доходность
4,412%
Оценим стоимость обслуживания внешнего государственного
долга.
На обслуживание государственного и муниципального внешнего
долга Российской Федерации в 2014 году выделяется 98,5 млрд. рублей, что
составляет 0,13% ВВП и 5,2% самого внешнего долга, а в прогнозном периоде 2015
и 2016 годов 111,5 и 123,4 млрд. рублей соответственно.
В США на обслуживание государственного долга в 2014 году
выделяется около 0,5 млрд. долл. США, что составляет примерно 2% от ВВП и около
4% самого долга, а в 2015 и 2016 годах - 0,61 млрд. и 0,71 млрд. долл.
соответственно.
Оценив стоимостные показатели российских и американских
займов, выясним, что дюрация и ее доля в сроке погашения обеих стран довольно
мала, что обе страны схожи в данной цели - увеличении дюрации. Доходность же
российских облигаций либо превышает, либо остается на одном уровне с
американскими. Стоимость обслуживания выгодно отличает Российскую Федерацию:
только 0,61% ВВП текущего года против 34% в США, что говорит о более стабильной
ситуации в России в сфере заимствований и меньшей нагрузки на параметры бюджета
от займов.
В целом, анализ вывел, что по некоторым стоимостным
показателям Россия и США схожи, а по некоторым наша страна выгодно отличается и
имеет большую устойчивость. Как и в конце прошлой главы, приходим к выводам,
что одних только стоимостных показателей недостаточно для того, чтобы страну
воспринимали как высококлассного заемщика.
Заключение
Мы провели сравнительный анализ двух моделей заимствований -
Российской Федерации и Соединенных Штатов Америки - и выявили особенности
реализации государственных заимствований в двух странах, а также оценили
эффективность отечественной долговой политики.
Анализ текущего состояния и динамики государственного долга,
его структуры и стоимостная оценка заимствований показала, что реализацию
долговой политики Российской Федерации можно считать успешной, а саму страну -
недооцененной как заемщика со стороны кредиторов. Такие показатели, как
долговая нагрузка, низкие показатели долговой устойчивости, относительно низкая
стоимость заимствований (в сравнении с США) выгодно отличает Россию на рынке
заимствований.
Отметим, что российские облигационные выпуски уже пользуются
повышенным спросом на рынке иностранного капитала, но не только по причине их
привлекательности, но и из-за нестабильной ситуации в Евросоюзе и некоторых
региональных и межрегиональных кризисов.
К сожалению, не только данные показатели оцениваются
кредиторами. В этом году кредитный рейтинг Российской Федерации был снижен двумя
независимыми кредитными агентствами. Согласимся, что у кредиторов нет
достаточно высокого уровня доверия к России. Нашей стране необходимо развитие,
более высокие темпы экономического роста, снижение инфляции, укрепление курса
национальной валюты, повышение экспорта высокотехнологичной продукции для того,
чтобы выйти из состава развивающихся стран и стран формирующихся рынков. Вместе
с этим решатся и другие проблемы, такие как снижение стоимости обслуживания
заемных средств, улучшение условий их привлечения.
Список
используемой литературы
Нормативно-правовые
акты
.
Бюджетный кодекс Российской Федерации по состоянию на 20 мая 2014 года // М.:
ПРОСПЕКТ, 2014, 288с.
.
Гражданский кодекс Российской Федерации от 21 октября 1994 года №83-ФЗ (в
последней редакции) // М.: Эксмо, 2011, 656с.
.
Федеральный закон от 02.12.2013 № 349-ФЗ "О федеральном бюджете на 2014
год и на плановый период 2015 и 2016 годов" // #"816349.files/image004.gif">
Источник: МВФ (2011 год)
Приложение 3
Показатели долговой устойчивости Российской Федерации
(бюджетная позиция), %
|
Показатель
|
2012 год
|
2013 год
|
2014 год
|
2015 год
|
Пороговое
значение
|
|
Отношение
государственного долга Российской Федерации к ВВП
|
11,8
|
13,1
|
13,7
|
13,4
|
25
|
|
Доля расходов
на обслуживание государственного долга Российской Федерации в общем объеме
расходов федерального бюджета
|
2,6
|
3,2
|
3,4
|
3,3
|
10
|
|
Отношение
платежей на обслуживание и погашение государственного долга Российской
Федерации к доходам федерального бюджета
|
7,9
|
9,9
|
7,1
|
9,3
|
10
|
|
Отношение
государственного долга Российской Федерации к доходам федерального бюджета
|
56,2
|
68,0
|
72,1
|
71,4
|
100
|
|
Отношение
государственного внешнего долга Российской Федерации к годовому объему
экспорта товаров и услуг
|
11,5
|
13,2
|
14,8
|
15,4
|
220
|
|
Отношение
расходов на обслуживание государственного внешнего долга Российской Федерации
к годовому объему экспорта товаров и услуг
|
0,5
|
0,6
|
0,6
|
0,6
|
25
|
Источник: МинФин России
Приложение 4
Объемы фактического и прогнозируемого привлечения средств за
счет эмиссии государственных внутренних облигаций, млрд. рублей (данные за 2011
год)
Источник: МинФин России
Приложение 5
Объем государственного внутреннего долга Российской Федерации
по государственным гарантиям, млрд. рублей
Источник: МинФин России
Приложение 6
Динамика объема внутреннего государственного долга Российской
Федерации, млрд. рублей
Источник: МинФин
Приложение 7
Динамика объема внешнего государственного долга Российской
Федерации, млн. долл.
Источник: МинФин
Приложение 8
Динамика роста внутреннего и внешнего государственного долга
|
Год
|
Прирост
внутреннего долга, %
|
Прирост
внешнего долга, %
|
|
2001
|
-3,60
|
-10,21
|
|
2002
|
-4,29
|
-8,56
|
|
2003
|
27,44
|
4,10
|
|
2004
|
0,31
|
22,13
|
|
2005
|
14,14
|
-38,66
|
|
2006
|
12,46
|
-32,95
|
|
2007
|
21,64
|
-32,95
|
|
2008
|
22, 19
|
-13,65
|
|
2009
|
15,27
|
-9,58
|
|
2010
|
39,64
|
-7,39
|
|
2011
|
40,40
|
5,85
|
|
2012
|
42,52
|
-10,05
|
|
2013
|
18,79
|
41,82
|
|
2014
|
14,92
|
9,91
|
Приложение 9
Динамика и структура внутреннего долга Российской Федерации
|
Год
|
Внутренний долг
всего
|
Облигационные
займы
|
Государственные
гарантии
|
|
Млрд. рублей
|
Темп прироста,%
|
Млрд. рублей
|
Темп прироста,%
|
Доля долга,%
|
Млрд. рублей
|
Темп прироста,%
|
Доля долга,%
|
|
2005
|
778,47
|
-
|
756,82
|
-
|
97,22
|
21,65
|
-
|
2,78
|
|
2006
|
875,43
|
+12,46
|
851,15
|
+12,46
|
97,23
|
24,28
|
+12,15
|
2,77
|
|
2007
|
1064,88
|
+21,64
|
1028,06
|
+20,78
|
96,54
|
36,82
|
+51,65
|
3,46
|
|
2008
|
1301,15
|
+22, 19
|
1248,89
|
+21,48
|
95,98
|
52,26
|
+41,93
|
|
2009
|
1499,82
|
+15,27
|
1421,47
|
+13,10
|
94,78
|
78,35
|
+49,92
|
5,22
|
|
2010
|
2094,33
|
+39,64
|
1837,17
|
+30,07
|
87,72
|
257,16
|
+228,22
|
12,28
|
|
2011
|
2940,39
|
+40,40
|
2461,59
|
+33,99
|
83,72
|
478,8
|
+86, 19
|
16,28
|
|
2012
|
4190,55
|
+42,52
|
3546,43
|
+43,95
|
84,63
|
644,12
|
+34,53
|
15,37
|
|
2013
|
4977,9
|
+18,79
|
4064,28
|
+14,60
|
81,65
|
913,62
|
+41,84
|
18,35
|
|
2014
|
5722,24
|
+14,95
|
4432,38
|
+9,06
|
77,46
|
1289,86
|
+41,18
|
22,54
|
|
Прирост за 10
лет
|
4942,77
|
+635,06
|
3307,46
|
+485,66
|
-
|
1268,21
|
+5857,78
|
-
|
|
Средний прирост
за год
|
549,31
|
+70,56
|
367,50
|
+53,96
|
-
|
140,91
|
+650,86
|
-
|
Источник: МинФин
Приложение 10
Динамика и структура внешнего долга Российской Федерации
|
Год
|
Внутренний долг
всего
|
Кредит
|
Облигационные
займы
|
Государственные
гарантии
|
|
Млрд. долл
|
Темп прироста,
%
|
Млрд долл
|
Темп прироста,
%
|
Доля долга, %
|
Млрд долл
|
Темп прироста,
%
|
Доля долга, %
|
Млрд долл
|
Темп прироста,
%
|
Доля долга, %
|
|
2005
|
114,1
|
-
|
71,3
|
-
|
62,49
|
42,4
|
-
|
37,16
|
0,4
|
-
|
0,35
|
|
2006
|
76,5
|
-32,95
|
37,6
|
-47,27
|
49,15
|
38,6
|
-8,96
|
50,46
|
0,3
|
-25
|
0,39
|
|
2007
|
52,0
|
-32,03
|
14,6
|
-61,17
|
28,08
|
36,8
|
-4,66
|
70,77
|
0,6
|
+100
|
1,15
|
|
2008
|
44,9
|
-13,65
|
11,2
|
-23,29
|
24,94
|
33,1
|
-10,05
|
73,72
|
0,6
|
0
|
1,34
|
|
2009
|
40,6
|
-9,58
|
10,5
|
-6,25
|
25,86
|
29,5
|
-10,88
|
72,66
|
0,6
|
0
|
1,48
|
|
2010
|
37,6
|
-7,39
|
8,7
|
-17,14
|
23,14
|
28
|
-5,08
|
74,47
|
0,9
|
+50
|
2,39
|
|
2011
|
39,8
|
+5,85
|
6,7
|
-22,99
|
16,83
|
32,3
|
+15,36
|
81,16
|
0,8
|
-11,11
|
2,01
|
|
2012
|
35,8
|
-10,05
|
5,7
|
-14,93
|
15,92
|
29,1
|
-9,91
|
81,28
|
1
|
+25
|
2,8
|
|
2013
|
50,8
|
+41,90
|
4,5
|
-21,05
|
8,86
|
34,9
|
+19,93
|
68,70
|
11,4
|
+1040
|
22,44
|
|
2014
|
55,8
|
+9,84
|
3,7
|
-17,18
|
6,63
|
40,7
|
+16,62
|
72,94
|
11,4
|
0
|
20,43
|
|
Прирост за 10
лет
|
-58,3
|
-51,10
|
-67,6
|
-90,70
|
-
|
-1,7
|
-4,01
|
-
|
11
|
+2750
|
-
|
|
Средний прирост
за год
|
-6,48
|
-5,68
|
-7,51
|
-10,08
|
-
|
-0, 19
|
-0,45
|
-
|
1,22
|
+305,55
|
-
|
Источник: МинФин
Приложение 11
Структура внутреннего государственного долга Российской
Федерации, 2104 год
Источник: МинФин
Приложение 12
Структура внешнего государственного долга Российской
Федерации, 2014 год
Источник: МинФин
Приложение 13
Данные о выпущенных Российской Федерацией облигациях
внутреннего займа
|
№
|
Дата эмиссии
|
Дата погашения
|
Номинал
|
Ставка купона,
%
|
Количество
выплат в год
|
|
1
|
05.02.2003
|
05.02.2029
|
1000
|
1.697
|
1
|
|
2
|
06.02.2006
|
06.02.2036
|
1000
|
6.9
|
2
|
|
3
|
19.07.2008
|
19.07.2023
|
1000
|
6
|
2
|
|
4
|
15.07.2010
|
15.07.2015
|
1000
|
6.88
|
2
|
|
5
|
03.08.2010
|
03.08.2016
|
1000
|
6.9
|
2
|
|
6
|
20.01.2011
|
20.01.2016
|
1000
|
7.35
|
2
|
|
7
|
03.06.2011
|
03.06.2015
|
1000
|
7
|
2
|
|
8
|
23.07.2011
|
23.07.2026
|
1000
|
8.16
|
2
|
|
9
|
03.02.2012
|
03.02.2027
|
1000
|
8.15
|
2
|
|
10
|
27.02.2012
|
27.02.2019
|
1000
|
7.5
|
2
|
|
11
|
19.04.2012
|
19.04.2017
|
1000
|
7.4
|
2
|
|
12
|
20.07.2012
|
20.07.2022
|
1000
|
7.6
|
2
|
|
13
|
11.12.2012
|
11.12.2019
|
1000
|
6.8
|
2
|
|
14
|
31.01.2013
|
31.01.2018
|
1000
|
6.2
|
2
|
|
15
|
19.01.2013
|
19.01.2028
|
1000
|
7.05
|
2
|
|
16
|
25.01.2013
|
25.01.2023
|
7
|
2
|
|
17
|
11.05.2013
|
11.05.2016
|
1000
|
6
|
2
|
|
18
|
27.05.2013
|
27.05.2020
|
1000
|
6.4
|
2
|
|
19
|
16.08.2013
|
16.08.2023
|
1000
|
7
|
2
|
|
20
|
13.11.2013
|
13.11.2019
|
1000
|
6.7
|
2
|
Приложение 14
Данные о выпущенных США облигациях внутреннего займа
|
№
|
Дата эмиссии
|
Дата погашения
|
Номинал
|
Ставка купона,
%
|
Количество
выплат в год
|
|
1
|
07.03.2003
|
07.03.2019
|
100
|
1.710
|
1
|
|
2
|
10.07.2006
|
10.07.2036
|
100
|
7.5
|
2
|
|
3
|
21.05.2008
|
21.05.2023
|
100
|
5
|
2
|
|
4
|
20.05.2010
|
20.05.2015
|
100
|
6.81
|
2
|
|
5
|
10.07.2010
|
10.07.2016
|
100
|
5.4
|
2
|
|
6
|
15.01.2011
|
15.01.2016
|
100
|
7.11
|
2
|
|
7
|
20.06.2011
|
20.06.2015
|
100
|
6
|
2
|
|
8
|
17.09.2011
|
17.09.2026
|
100
|
8.14
|
2
|
|
9
|
06.03.2012
|
06.03.2027
|
100
|
8.14
|
2
|
|
10
|
23.05.2012
|
23.05.2019
|
100
|
7.7
|
2
|
|
11
|
28.06.2012
|
28.06.2017
|
100
|
7.5
|
2
|
|
12
|
13.03.2012
|
13.03.2022
|
100
|
7.7
|
2
|
|
13
|
16.12.2012
|
16.12.2019
|
100
|
5.1
|
2
|
|
14
|
11.01.2013
|
11.01.2018
|
100
|
6.1
|
2
|
|
15
|
18.01.2013
|
18.01.2028
|
100
|
7.15
|
2
|
|
16
|
29.01.2013
|
29.01.2023
|
100
|
8
|
2
|
|
17
|
15.05.2013
|
15.05.2016
|
100
|
7
|
2
|
|
18
|
29.05.2013
|
29.05.2020
|
100
|
6.9
|
2
|
|
19
|
11.08.2013
|
11.08.2023
|
100
|
7.1
|
2
|
|
20
|
16.11.2013
|
16.11.2019
|
100
|
6.2
|
2
|
Приложение 15
Данные о выпущенных Российской Федерацией облигациях внешнего
займа
|
№
|
Дата эмиссии
|
Дата погашения
|
Номинал, долл.
США
|
Ставка купона,
%
|
Количество
выплат в год
|
|
1
|
24.06.1998
|
24.06.2028
|
10
000
|
12.75
|
2
|
|
2
|
24.07.1998
|
24.07.2018
|
1000
|
11
|
2
|
|
3
|
31.03.2000
|
31.03.2030
|
1000
000
|
7.5
|
2
|
|
4
|
04.04.2012
|
04.04.2017
|
200
000
|
3.25
|
2
|
|
5
|
04.04.2012
|
04.04.2022
|
200
000
|
4.5
|
2
|
|
6
|
04.04.2012
|
04.04.2042
|
200
000
|
5.625
|
2
|
|
7
|
29.04.2012
|
29.04.2020
|
100
000
|
5
|
2
|
|
8
|
16.09.2013
|
16.09.2019
|
200
000
|
3.5
|
2
|
|
9
|
16.09.2013
|
16.09.2023
|
200
000
|
4.875
|
2
|
|
10
|
16.09.2013
|
16.09.2043
|
200
000
|
5.875
|
2
|
Приложение 16
Данные о выпущенных США облигациях внешнего займа
|
№Дата
эмиссииДата погашенияНоминал, долл. СШАСтавка купона, %Количество выплат в
год
|
|
|
|
|
|
|
1
|
14.07.1998
|
14.07.2028
|
1000
|
11.75
|
2
|
|
2
|
23.08.1998
|
23.08.2018
|
1000
|
12
|
2
|
|
3
|
13.03.2000
|
13.03.2030
|
100
000
|
7.65
|
2
|
|
4
|
05.05.2012
|
05.05.2017
|
100 000
|
3.15
|
2
|
|
5
|
06.05.2012
|
06.05.2022
|
200
000
|
3.6
|
2
|
|
6
|
05.04.2012
|
05.04.2042
|
2000
|
5.715
|
2
|
|
7
|
30.04.2012
|
30.04.2020
|
100
000
|
5
|
2
|
|
8
|
15.10.2013
|
15.10.2019
|
200
000
|
3.5
|
2
|
|
9
|
16.11.2013
|
16.11.2023
|
200
000
|
5.175
|
2
|
|
10
|
17.11.2013
|
17.11.2043
|
200
000
|
4.175
|
2
|