Специальные методы интегрирования рациональных выражений
Министерство
образования и науки Российской Федерации
Федеральное
государственное бюджетное образовательное учреждение
высшего
профессионального образования
Курский
государственный университет
КУРСОВАЯ
РАБОТА
по
дисциплине «Математический анализ»
«Специальные
методы интегрирования рациональных выражений»
Выполнила:
Олимпиева Н.И.
Курск 2014
Содержание
Введение
. Метод Острограцкого
.1 Алгоритм Евклида
.2 Примеры
. Интегрирование биноминальных
дифференциалов
.1 Тригонометрические и гиперболические
подстановки
.2 Примеры
Заключение
Список литературы
Введение
Класс рациональных функций очень широк, поэтому
универсального способа их интегрирования быть не может. В этой курсовой попытки
выделить наиболее характерные виды рациональных подынтегральных выражений и
поставить им в соответствие метод интегрирования.
Эта тема является одной из главных в
интегральном исчислении. Найти интеграл для функции, или выразить её
первообразную через элементарные функции довольно сложно.
Целью курсовой работы является показать, как
интегрируются рациональные выражения.
В соответствии с целью исследования определены
следующие задачи:
) Выделить основные виды рациональных выражений;
) Показать приемы интегрирования этих выражений;
) Подобрать и прорешать типовые задачи по теме
исследования.
1. Метод Остроградского
Данный метод интегрирования был впервые
предложен известным русским математиком М.В. Остроградским в 1844 г.
Если знаменатель правильной
рациональной дроби P(x)
Q(x) имеет кратные
корни, особенно комплексные, то интегрирование такой дроби обычно связано с
громоздкими выкладками. В этом случае целесообразно пользоваться формулой
Остроградского. Существенная особенность метода Остроградского состоит в том,
что он позволяет без нахождения нулей знаменателя правильной рациональной дроби
выделить рациональную часть неопределённого интеграла от такой дроби.
Пусть Pm(x)
и Qn(x)
- многочлены с действительными коэффициентами степени m ≥ 0 и n > 0
соответственно, причём m < n и многочлен Qn(x)
имеет не совпадающие с нулями многочлена Pm(x),
вообще говоря, кратные нули (действительные и комплексно сопряжённые). Тогда
интеграл от правильной рациональной дроби можно представить в виде суммы рациональной
и трансцендентной частей:
остроградский интеграл алгоритм
дифференциал

- наибольший общий делитель (НОД)
многочлена 
и его производной 
; 
= 
, а - многочлены с неопределенными
коэффициентами. Если корни 
известны, то известны и многочлены 
и 
.
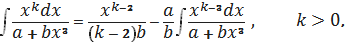
Прежде всего, находим Q1 как
общий наибольший делитель функции 
и её производной 
(например, с помощью алгоритма
Евклида);
После этого в равенстве (формуле)
Остроградского остается определить два многочлена 
и 
. Так как степени искомых
многочленов 
и 
соответственно ниже степеней
найденных уже многочленов 
и 
., то мы их в равенство
Остроградского запишем с неопределенными коэффициентами;
Продифференцируем обе части этого
равенства и получим следующее тождество: 
=
После приведения к общему
знаменателю, приравняв друг к другу коэффициенты при одинаковых степенях x в
числителях левой и правой частей этого тождества, получим систему уравнений
относительно неопределенных коэффициентов искомых многочленов 
и 
. Решая эту систему, найдем
неизвестные коэффициенты (а значит, и сами многочлены).
Теперь для получения интеграла от
первоначально заданной дроби 
остаётся проинтегрировать дробь 
, которая выражается уже только
через трансцендентные функции (логарифмы и арктангенсы).
Итак, в равенстве (формуле)
Остроградского имеем:

, 
и 
- правильные рациональные дроби,

- общий наибольший делитель 
и 
, 
и 
- многочлены, находимые методом
неопределенных коэффициентов.
Многочлен 
может быть найден без разложения
как наибольший общий делитель многочленов 
и 
с использованием алгоритма Евклида.
.1 Алгоритм Евклида
Пусть необходимо найти НОД
многочленов 
и 
. Не ограничивая общности, будем
считать, что степень
не выше
степени 
.
Многочлен 
представим в виде:
где 
- остаток от деления 
на 
. Тогда степень 
меньше степени делителя
.
Далее, в результате деления 
на 
получим:
Причем степень 
меньше степени делителя 
.
При каждом делении степень остатка
будет снижаться по крайней мере на единицу, поэтому на определенном шаге мы
получим нулевой остаток, т.е.
Последний отличный от нуля остаток
является наибольшим общим делителем
многочленов 
и
.
Достаточно доказать два утверждения:
) Многочлены 
и 
делятся на 
, т. е. 
один из делителей 
и 
;
) Многочлен 
делится на любой делитель 
многочленов 
и 
, т.е. 
наибольший общий делитель указанных
многочленов.
Для доказательства первого
утверждения заметим, что в силу 

, а тогда, в силу 
, 
делится на 
.
Поднимаясь вверх по цепочке равенств
мы докажем,
что 
и 
делятся на 
.
Докажем второе утверждение.
Пусть 
- произвольный делитель многочленов

и 
. В силу равенства 

делится на 
, а тогда, в силу равенства (2), 
делится на 
. Опускаясь по цепочке равенств (1)
- (k), докажем, что 
x делится на 
.
Итак, метод Остроградского выделения рациональной
части интеграла от правильной дроби не связан непосредственно с операцией
интегрирования и состоит в сочетании нахождения НОД знаменателя этой дроби и
его производной с методом неопределённых коэффициентов. Но методом
Остроградского удобно находить и трансцендентную часть этого интеграла, так как
при этом приходится интегрировать более простую правильную дробь, знаменатель
которой имеет лишь простые нули. Поэтому интегрирование можно свести в итоге к
нахождению интегралов от простейших дробей только первого и третьего типов.
Комментарий:
НОД - наибольший общий делитель
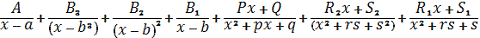
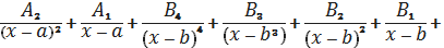
Алгоритм метода неопределённых коэффициентов:
. Раскладываем знаменатель на множители.
. Раскладываемую дробь представляем в
виде суммы простейших дробей с неопределенными коэффициентами.
· Если в знаменателе что-то вроде: 
, количество множителей роли не
играет и не играют роли степени этих множителей (хоть 221ая степень), то дробь
представится в виде суммы простейших дробей первого и второго типов:
a, b, c - числа, 
- неопределенные коэффициенты.
Какая степень - столько и слагаемых.
· Если в знаменателе что-то вроде: 
количество квадратичных выражений
роли не играет, то дробь представится в виде суммы простейших дробей третьего
типа:
, q, r и s - числа, P, Q, R и S - неопределенные
коэффициенты.
· Если в знаменателе что-то вроде: 
, количество множителей роли не
играет и не играBBBют роли степени этих множителей, то
дробь представится в виде суммы простейших дробей третьего и четвертого типов:
p, q, r и s - числа, 
- неопределенные коэффициенты.
· Если собрать все: 
,то дробь представится в виде суммы
простейших дробей всех четырех типов:
. Приводим полученную сумму простейших
дробей с неопределенными коэффициентами к общему знаменателю и группируем в
числителе слагаемые при одинаковых степенях х.
. Приравниваем коэффициенты при
одинаковых степенях х. При этом получаем систему линейных алгебраических
уравнений с неопределенными коэффициентами в качестве неизвестных:
. Решаем полученную систему уравнений
любым способом (при необходимости смотрите статью решение систем линейных
алгебраических уравнений, методы решения, примеры), который нравится Вам,
находим неопределенные коэффициенты.
.2 Примеры
Покажем на примерах работу по методу
Остроградского:
. Вычислить интеграл:
Разложим правильную рациональную алгебраическую
дробь на сумму простейших дробей:
Следовательно,
Последний интеграл вычислим применяя метод
Остроградского:
Дифференцируем и приводим к общему знаменателю:
Получаем:
1. Вычислить интеграл:
Подынтегральная функция -
неправильная рациональная дробь. Разделив многочлен 
на многочлен 
, получим частное 
и остаток 
Следовательно, данная рациональная
дробь представляется в виде суммы многочлена и правильной рациональной дроби
следующим образом:
Многочлен 
имеет действительный корень 
Разделив 
на 
, получим
Трёхчлен
не имеет
действительных корней, поэтому разложение полученной правильной рациональной
дроби на элементарные имеет вид:
Из равенства дробей следует
равенство многочленов:
Положив здесь, получим 
, 
. Приравняв коэффициенты при 
и свободные члены многочленов,
получим:
откуда 
, 
. Таким образом, подынтегральная
функция представима в виде:
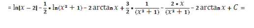
ледовательно:
Ответ:
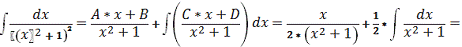
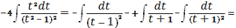
. Вычислить интеграл:
В этом случае многочлен, поэтому
Следовательно, существуют многочлены второй
степени
Для которых верно
равенство:
Рациональную дробь 
удобно сразу представить в виде
суммы элементарных дробей и переписать формулу Остроградского:
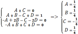
Приравнивая коэффициенты при
одинаковых степенях x, получаем систему:
Решая эту систему, находим 
, 
, 
, 
, 
, 

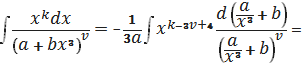
2. Интегрирование биноминальных дифференциалов
Согласно свойству неопределенного интеграла,
подынтегральное выражение является дифференциалом первообразной подынтегральной
функции. Если подынтегральная функция рациональная, то подынтегральное
выражение иногда называют рациональным дифференциалом, а если она
иррациональная, то - иррациональным дифференциалом.
Т.е. при дифференциальный бином будет
рациональным дифференциалом, а если хотя бы один из показателей степени не
является целым числом, то дифференциал будет иррациональным.
Биномиальным дифференциалом
называется выражение:

,
где 
, 
, и 
- рациональные числа, - постоянные,
отличные от нуля.
Как было доказано академиком
Чебышевым П.Л. (1821-1894), интеграл от биноминального дифференциала 
может быть выражен через
элементарные функции только в следующих трех случаях:
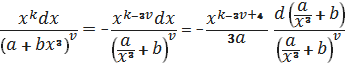
1. Если Р - целое число, то интеграл
рационализируется с помощью подстановки

, где 
- наименьшее общее кратное
знаменателей дробей 
и 
;
. Если 
- целое число, то подстановка 
, где 
- наименьшее общее кратное
знаменателей дробей 
и 
. 
- целое число, то подстановка 
, где 
- знаменатель дроби 
.
Рассмотрим подробнее некоторые
случаи, когда подынтегральная рациональная функция содержит бином (двучлен)
вида 
. Если эта функция является
многочленом относительно переменного 
, то интеграл от такой функции по 
будет линейной комбинацией
интегралов 
. Каждый из таких интегралов может
быть найден путём разложения 
по формуле бинома Ньютона.
В частном случае 
поведением под знак дифференциала
множителя 
найдём:
Если показатель степени 
можно представить в виде 
, то целесообразно сначала применить
интегрирование по частям, обозначив 
Используя этот пример после 
последовательных интегрирований по
частям, мы придём к интегралу 
, вычисляемому при помощи формулы
вида
.
Отметим, что 
остаётся в силе при 
и 
, а 
при 
и 
. В частном случае, когда бином
линейный 
и 

, причем слагаемое в сумме при 
(это слагаемое присутствует при)
следует заменить на выражение:
2. Если 
, и 
, то, обозначив 
и 
, с учетом (
) можно написать:
3. Если подынтегральное
выражение 
включает произведение двух линейных
биномов, то заменой переменного 
это выражение можно привести к уже
рассмотренному виду
4. Рассмотрим подынтегральную
функцию 
некоторых значений 
. При 
и нечётном 

подынтегральное выражение 
подстановкой 
, содержащему линейный бином. В
случае чётного 
- интегрированием по частям:
Следует последовательно понизить
степень 
под знаком интеграла до нуля и
затем воспользоваться обобщением рекуррентного соотношения
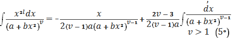
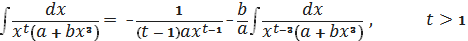
При интегрировании функции вида
проще всего
использовать её разложение на простейшие рациональные дроби.
В случае 
можно пойти таким путём.
Подынтегральное выражение преобразуем при 
к виду:
Далее интегрированием по частям:
Последовательно понизим до единицы
степень бинома в знаменателе подынтегральной функции, а затем также
интегрированием по частям по формулам:
придём к одному из следующих
неопределённых интегралов:
где
. Аналогичный приём можно
использовать и в случае других значений 
.
.1 Тригонометрические и
гиперболические подстановки
В данной главе мы рассмотрим
вычисление интегралов вида 
, где R - рациональная функция x и
квадратного корня
.
Предварительно преобразуем
квадратичную функцию под знаком корня, выделив в ней полный квадрат:
Выполнив замену 
, мы получим один из следующих 3
интегралов в зависимости от значений коэффициентов a, b и с:
Каждый из этих трех интегралов вычисляется
с помощью специальных тригонометрических или гиперболических подстановок.

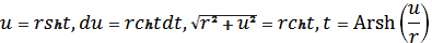
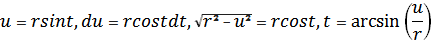
Тригонометрическая подстановка:

Тригонометрическая подстановка:
Гиперболическая подстановка:
Тригонометрическая подстановка:
Гиперболическая подстановка:
Примечания:
· Вместо
тригонометрических подстановок в случаях 1, 2, 3 можно использовать,
соответственно, подстановки x = r cos t, x = r ctg t, x = r cosec t.
· В приведенных выше
формулах рассматриваются только положительные значения квадратного корня.
Например, в строгой записи
Полагаем, что 
.
.2 Примеры
1. Вычислить
интеграл:

2.
Вычислить интеграл
Рассмотрим данный интеграл как интеграл от
дифференциального бинома.
Разложим правильную рациональную алгебраическую
дробь на сумму простейших дробей:
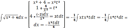
3. Вычислить
интеграл:
Рассмотрим данный интеграл как интеграл от
дифференциального бинома.

Заключение
Данная тема является не только объёмной, но и
достаточно сложной, особенно, достаточно сравнить процесс вычисления
производных и процесс нахождения интегралов различных функций. Это связано с
тем, что существует большое количество функций, отыскать первообразную для
которых не всегда легко.
В курсовой работе показано, как необходимо
действовать, если перед нами ставится задача найти интеграл от функции f(x),
которая является рациональной, специальными методами. Основным специальным
методом является метод Острограцкого, который позволяет избежать трудоёмкого
интегрирования дробей четвёртого типа.
В ходе работы были выделены основные виды
рациональностей, а также определены подстановки, которые позволяют
рационализировать те или иные функции.
Список литературы
1. В.А. Ильин,
Э.Г. Позняк. Основы математического анализа, - М.: Наука, 1982. стр. 227, 228.
2. Фихтенгольц Г.М. Курс
дифференциального и интегрального исчисления ч. 1,2,3, - М.: «Наука», 1969.
3. В.С. Зарубин, Е.Е. Иванова.
Интегральное исчисление функций одного переменного, - М: МГТУ им. Н.Э. Баумена,
1999, стр. 81 - 98.
. Зорич В.А. Математический
анализ ч. 1, - Москва: ФАЗИС, 1997, стр. 330.