Решение дробно-рациональных неравенств с параметром методом интервалов
Министерство
образования и науки Российской Федерации
Федеральное
государственное автономное образовательное учреждение высшего профессионального
образования "Казанский (Приволжский) федеральный университет"
ИНСТИТУТ
МАТЕМАТИКИ И МЕХАНИКИ ИМ. Н.И. ЛОБАЧЕВСКОГО
КАФЕДРА
ТЕОРИИ И ТЕХНОЛОГИЙ ПРЕПОДОВАНИЯ
МАТЕМАТИКИ
И ИНФОРМАТИКИ
Направление
подготовки: "050100.62:педагогическое образование"
Курсовая
работа
Решение
дробно-рациональных неравенств с параметром методом интервалов
Студентка II
курса
Гарифуллина Алсу
Ильфатовна
Научный
руководитель:
Доктор
педагогических наук, профессор
Лилиана Рафиковна
Шакирова
Казань
- 2014
Введение
Тема "Решение
дробно-рациональных неравенств с параметром методом интервалов" занимает
очень важное место в курсе алгебры. Это тема очень важная и значимая. Она
богата по содержанию, также по способам и приемам решения неравенств.
Дробно-рациональных неравенств с параметром широко используются в различных
разделах математики, в решении важных прикладных задач. Также это тема
представляет собой богатейший материал для полноценной математической
деятельности учащихся. С их помощью можно проверить глубину знания математики
средней школы, выявить склонности к исследовательской деятельности,
нестандартность мышления. Отсутствие этой темы значительно обедняет курс
математики. Также изучение многих физических процессов часто приводит к решению
задач с параметрами. В некоторых контрольных, на самостоятельных работах, а
также включают и в экзаменационные билеты, много задач и в ЕГЭ также
встречаются неравенства с параметром, которые часто бывают весьма сложными и
требующими нестандартного подхода к решению. Готовя данную работу, я ставила
цель более глубокого изучения этой темы, выявления наиболее рационального
решения, быстро приводящего к ответу, простые методы. На мой взгляд,
графический метод является удобным и быстрым способом решения уравнений и
неравенств с параметрами. Чтобы раскрыть тему я рассматривала каждую тему
отдельно и привела примеры каждом подпунктам. В моём курсовом работе
рассмотрены часто встречающиеся типы неравенств, дробно рациональные
неравенство с параметрами и их систем, и, я надеюсь, что знания, полученные
мной в процессе работы, помогут мне разобраться и узнать по-больше метод
решений этих неравенств.
1. Метод
интервалов
Метод интервалов является одним из важнейших
методов математической деятельности, связанный, прежде всего, с вопросами
нахождения нулей функции или промежутков ее знак постоянства для неравенства.
Также метод интервалов исключительно эффективен и важен в вопросах исследования
функций и построения графиков. Встречается, при выявлении асимптотического
изменения графика функции, в вопросах местоположения точек и видов экстремума,
а также промежутков монотонности функции. Именно этот метод более эффективен и
при решении различного вида задач, без него совершенно невозможно обойтись,
решая сложные неравенства. Также следует отнести простоту его понимания и
эффективность в практическом использовании.
Когда применяется метод интервалов необходимо учитывать
несколько замечаний.
Замечаний 1 Метод интервалов используется тогда
и только тогда, когда многочлен или дробное выражение сравниваются с нулем.
Замечаний 2 Во вторую очередь, раскладывают на
множители: многочлен или числитель и знаменатель дробного выражения.
Замечаний 3 Если неравенство приведено к
каноническому виду, то на крайнем правом промежутке знак "+".
Канонический вид неравенства - это произведение различных двучленов и "не
раскладываемых" многочленов, в которых старший коэффициент положительный.
Решениями неравенства методом интервала можно
решить несколькими методами:) 3х - 5>10 - линейное неравенство. Решение
методом переноса: 3х>15, т.е. х>5, и т.д.) х2>0 можно решить перебором
чисел.) Более сложные неравенства ( дробные, рациональные и др.)
Я хочу в своем работе показать и подробно
описать 3 пункт более сложные неравенство это рациональные и
дробно-рациональные неравенство.
Рациональное неравенство.
Определение 1
Неравенство, левая и правая
части которого есть рациональные выражения относительно x,называют
рациональными неравенством с неизвестным x.
Например:
(5x+1)(3-2x)<0
(4x-6/5-x)>2
Определение2
Решением неравенства с
неизвесным x называются число,при подстановки которого в это неравенство вместо
x получается верное
числовое неравенство вместо x
получается верное числовое неравенство.
Решить неравенство - значит
найти все его решения или показать, что их нет.
x-x0<0
x-x0>0
Метод интервалов для решения неравенств вида A(x)<0
и A(x)>0и
основан на следующем утверждении
Точка
x0 делит ось Ox на
две части:
1)Для любого x,находящегося
справа от точки X0,двучлен x-x0 положителен;
2)для любого x,находящегося
слева от точки X0 ,двучлен x-x0
отрицателен.
Пусть требуется решить неравенство
(X-
)
(X-
)∙…∙(X-
)>0;Не
нарушая общности, положим
(X-
)(X-
)(X-
)(X-
)>0
Тогда:
Аналогично рассуждая, получим, что (X-
)(X-
)(X-
)(X-
)>0
для X из интервалов и (
;∞),
(
;
),
(-∞;
);
(X-
)(X-
)(X-
)(X-
)<0
для x интервалов, (
;
),
(
;
),
Замечание 1.
Сами числа (
;
),(
;
)
не являются решением неравенства
(X-
)(X-
)(X-
)(X-
)>0
Замечание 2.
Множество решений неравенств вида A(x)≥0
и A(x)≤0
и где,
(x)=(X-
)
(X-
)∙…∙(X-
);
есть объединение множества всех решений n ≥
1,n∈N
неравенств A(x)>0
и A(x)<0
и
множества всех решений уравнения A(x)=0
Замечаний 4 Если неравенство приведено к
каноническому виду, то на крайнем правом промежутке знак"+".
Замечаний 5 Знак неравенства
"нестрогий": на числовой прямой корни многочлена или числителя -
закрашенные кружки. Корни знаменателя для "строгих" и
"нестрогих" неравенств - "пустые" .
Дробно-рациональные неравенства.
Определение. Дробно-рациональным
называют неравенство вида
, где
и
-
многочлены.
В отличие от рациональных
неравенств, дробно - рациональные могут быть определены не для всех значений
переменной. А именно, необходимо исключить из рассмотрения такие значения
, при
которых многочлен
обращается
в ноль (так как на ноль делить нельзя!).
Если с другой стороны посмотреть
очевидно, что на всех допустимых значениях дробно-рациональное выражение
и многочлен
- произведение
имеют
одинаковый знак.
интервал математический
дробный неравенство
2. Алгоритм
решения
Алгоритм решения
дробно-рационального неравенства методом интервалов.
. Дробно-рациональное
выражение
преобразуем
в многочлен - произведение
(x)=p(x)∙g(x)
. Многочлен раскладываем на
неприводимые множители:
=
(
+
x+
…(
+
x+
(x-
…(x-
. Сокращаем неприводимые
множители второго порядка - квадратные трехчлены,
. Откладываем на числовой оси
корни многочлена,
. В зависимости от знака
коэффициента
определяем
знаки многочлена
на
получившихся интервалах по правилу:
a. На крайнем правом полуинтервале (когда x>xl)
знак многочлена совпадает со знаком коэффициента
,
b. Перемещаемся
по числовой оси влево. При прохождении очередного корня xi знак
многочлена меняем на противоположный, если множитель (x-
имеет
нечетную степень
(в том
числе - единицу), и сохраняем знак, если эта степень - четная,. В
зависимости от того, как распределился знак у рассматриваемого неравенства,
выбираем в ответ "положительные" или "отрицательные"
интервалы,. В случае если неравенство нестрогое, в ответ включаем все корни
многочлена p(x),
e. Обязательно исключаем из ответа все
корни многочлена g(x).
Примеры
Рассмотрим примеры решения дробно-рациональных
неравенств.
Решение. 1. Сначала найдем область
допустимых значений неравенства (далее сокращенно будем писать - ОДЗ).
Очевидно, что
.
. Преобразуем дробно-рациональное
неравенство в рациональное:
.
3. Разложим на множители левую часть
полученного неравенства:
.
4. Заметим, что корни многочлена -
числа -2, 1, 4 и 7, имеют кратность "единица", отложим их на числовой
оси и расставим на полученных интервалах знаки неравенств:
. Выписываем окончательный ответ,
включая в него корни многочлена, стоявшего в числителе и исключая корни
знаменателя.
Ответ:
.
Внимание! Для записи ответа можно
использовать как неравенства, так и промежутки. Например, данный ответ можно
записать также в виде:
.
В следующем примере мы рассмотрим
неравенства с кратными корнями.
Пример 2. Решить неравенство:
.
Решение. Заметим сначала, что первое
выражение в числителе и выражение в знаменателе являются полными квадратами.
Далее: знаменатель обращается в ноль при
, поэтому ОДЗ:
.
Перейдем к рациональному
неравенству, получаем:
.
Отложим на числовой оси корни
многочлена из левой части полученного неравенства и определим знаки этого
многочлена на полученных интервалах. С учетом кратности корней -2 и 2 получим:
Обратите внимание на то, что знак
меняется только в 9, а в 2 и -2 он сохраняется, так как это корни четной
кратности.
"Соберем" теперь ответ: к
основному интервалу - лучу
добавляем корни числителя 2 и 9, а
корень знаменателя -2 исключаем. Ответ:
.
Рассмотрим еще один важный пример,
так как именно в таких заданиях абитуриенты делают много ошибок.
Пример 3. Решить неравенство
.
Решение. Это неравенство не похоже
на каноническое дробно-рациональное, но оно сводится к таковому. Главное -
сделать это правильно. Для этого перенесем дробь из правой части неравенства в
левую и приведем полученную разность двух дробей к общему знаменателю:
.
Сократим числитель на -1, при этом
знак неравенства изменится на противоположный:
. Теперь перед нами каноническое
дробно-рациональное неравенство, эквивалентное исходному. Решим его методом
интервалов. Ответ:
.
Замечание. Часто такие задачи решают
неправильно, а именно: просто умножают числитель левой части на знаменатель
правой и наоборот. В результате получается совершенно другое неравенство:
, которое
сводится к линейному неравенству
ответ для которого:
только
частично совпадает с правильным.
Пример4.С3
Решение.Решим неравенство методом
интервалов.Найдем нули функций f(x)=x,стоящей под
знаком модуля: x=0.
.Если x≤0,то
неравенство примет вид
>0,
>0.
x∈(-∞;-5)∪(-2;0].
1. Если x>0,
то неравенство примет вид
>0,
>0
x∈(0;2)∪(5;+∞).
Решением исходного неравенства является
объединением решений,полученных в первом и втором случаях:
x∈(-∞;-5)∪(-2;2)∪(5;+∞).
Ответ: ∈(-∞;-5)∪(-2;2)∪(5;+∞).
Пример 5 Решить дробно-рациональное неравенство
>0
Решение.Отметим на числовой прямой точки x=5,x=-1,x=0,x=2,x=3
и иследуем изменение знаков левой части неравенства.Решением неравенства служит
объединение интервалов: (-5;-1)∪(-1;0)∪(2;3)∪(3;+∞).
. Дробно-рациональных неравенств с параметром
методом интервалов
Определения.. Что такое параметр?
Определение1. Параметр(от греч. parametrón-отмеривающий)-
величина, значения которой служат для различения элементов некоторого множества
между собой.
Например, в декартовых координатах уравнение y=a
,a≠0,задает
множество всех парабол с вершинами в начале координат. При конкретном значений a∈(-∞;0)∪(0;+∞)
мы получаем одну из парабол этого семейства.
Дадим ещё одно определение параметра.
Определение 2. Параметром называется независимая
переменная, значение которой в задаче считается заданным фиксированным или
произвольным действительным числом, или числом, принадлежащим заранее
оговоренному множеству.
Комментарий. Независимость параметра заключается
в его "неподчинении" свойствам, вытекающим из условия задачи.
Например, из не отрицательности левой части уравнения |=a-1 не следует не
отрицательность значений выражения a-1, и если a-1<0, то мы обязаны
констатировать, что уравнение не имеет решений.
Определение 3. Неизвестные величины, значения
которых мы задаем сами, называются параметрами.
Какие неизвестные следует выбрать в качестве
параметров, обычно определяется уже самим подходом к исследованию выражения.
Определение 4.Пусть дано равенство с переменными
x и а:f(x,a)=0.Если
ставится задача для каждого действительного значения а решить это уравнение
относительно x,то уравнение f(x;a)=0
называется уравнение относительно с переменной х и параметром а.
Параметр обычно обозначается первыми буквами
латинского алфавита:a,b,c,d,…..
Переменная, относительно которой решается
уравнение,-последними буквами алфавита:x,y,z,t,u,….
.
Определение5.Под областью определения уравнения f(x;a)=0
с параметром а будем понимать все такие системы значений х и а, при которых f(x;a)
имеет смысл.
Заметим, что иногда область определения
уравнения устанавливается довольно легко, а иногда в явном виде это сделать
трудно. Тогда ограничиваемся только системой неравенств, множество решений
которой и является областью определения уравнения. Этого бывает, как правило,
достаточно для решения уравнения.. Что означает "решить задачу с
параметром"?
Естественно, это зависит от вопроса в задаче.
Если, например, требуется решить уравнение, неравенство, их систему или
совокупность, то это означает предъявить обоснованный ответ либо для любого
значения параметра, либо для значения параметра, принадлежащего заранее
оговоренному множеству.
Если же требуется найти значения параметра, при
которых множество решений уравнения, неравенства и т. д. удовлетворяет
объявленному условию, то, очевидно, решение задачи и состоит в поиске указанных
значений параметра.
Например решить неравенство с параметром -
значит для любого допустимого значения параметра найти множество всех корней
(решений) заданного уравнения (неравенства).
Это можно сделать, если по некоторому
целесообразному признаку разбить область допустимых значений параметра на
подмножества и затем решить заданное уравнение (неравенство) на каждом из этих
подмножеств.
Для разбиения области допустимых значений
параметра на подмножества удобно воспользоваться теми значениями параметра, при
которых или при переходе через которые происходит качественное изменение
уравнения (неравенства). Такие значения параметра называют контрольными.. Какие
основные типы задач с параметрами?
Тип 1. Уравнения, неравенства, их системы и
совокупности, которые необходимо решить либо для любого значения параметра
(параметров), либо для значений параметра, принадлежащих заранее оговоренному
множеству.
Этот тип задач является базовым при овладении
темой "Задачи с параметрами", поскольку вложенный труд предопределяет
успех и при решении задач всех других основных типов.
Тип 2. Уравнения, неравенства, их системы и
совокупности, для которых требуется определить количество решений в зависимости
от значения параметра (параметров).
Обращаю внимание на то, что при решении задач
данного типа нет необходимости ни решать заданные уравнения, неравенства, их
системы и совокупности и т. д., ни приводить эти решения; такая лишняя в
большинстве случаев работа является тактической ошибкой, приводящей к
неоправданным затратам времени. Однако не стоит абсолютизировать сказанное, так
как иногда прямое решение в соответствии с типом 1 является единственным
разумным путем получения ответа при решении задачи типа 2.
Тип 3. Уравнения, неравенства, их системы и
совокупности, для которых требуется найти все те значения параметра, при
которых указанные уравнения, неравенства, их системы и совокупности имеют
заданное число решений (в частности, не имеют или имеют бесконечное множество
решений).
Легко увидеть, что задачи типа 3 в каком-то
смысле обратны задачам типа 2.
Тип 4. Уравнения, неравенства, их системы и
совокупности, для которых при искомых значениях параметра множество решений
удовлетворяет заданным условиям в области определения.
Комментарий. Многообразие задач с параметром
охватывает весь курс школьной математики (и алгебры, и геометрии), но
подавляющая часть из них на выпускных и вступительных экзаменах относится к
одному из четырех перечисленных типов, которые по этой причине названы
основными.
Наиболее массовый класс задач с параметром -
задачи с одной неизвестной и одним параметром. Следующий пункт указывает
основные способы решения задач именно этого класса.. Каковы основные способы
(методы) решения задач с параметром?
Способ I (аналитический). Это способ так
называемого прямого решения, повторяющего стандартные процедуры нахождения
ответа в задачах без параметра. Иногда говорят, что это способ силового, в
хорошем смысле "наглого" решения.
Комментарий. По мнению авторов, аналитический
способ решения задач с параметром есть самый трудный способ, требующий высокой
грамотности и наибольших усилий по овладению им.
Способ II (графический). В зависимости от задачи
(с переменной x и параметром a) рассматриваются графики или в координатной
плоскости (x; y), или в координатной плоскости (x; a).
Способ III (решение относительно параметра). При
решении этим способом переменные x и a принимаются равноправными и выбирается
та переменная, относительно которой аналитическое решение признается более
простым. После естественных упрощений возвращаемся к исходному смыслу
переменных x и a и заканчиваем решение.
Понятиями неравенства пользовались уже древние
греки. Архимед (III
в. до н. э.), занимаясь вычислением длины окружности, установил, что
"периметр всякого круга равен утроенному диаметру с избытком, который
меньше седьмой части диаметра, но больше десяти семьдесят первых". Иначе
говоря, Архимед указал границы числа ∏:
Евклид
<п<3
Ряд неравенств приводит в своем знаменитом
трактате "Начала" Евклид. Он, например, доказывает, что среднее
геометрическое двух положительных чисел не больше их среднего арифметического,
т. е. что верно неравенство
Архимед
≤
В "Математическом собрании" Паппа
Александрийского (III
в.) доказывается, что если
>
(a,
b, с и d
- положительные числа), то ad
> bc.
Однако все эти рассуждения проводили словесно,
опираясь в большинстве случаев на геометрическую терминологию. Современные
знаки неравенств появились лишь в XVII-
XVIII вв. Знаки < и
> ввел английский математик Т. Гарриот (1560-1621), знаки ≥ и ≤
французский математик П. Буге (1698-1758).
Неравенства и системы неравенств широко
используются как в теоретических исследованиях, так и при решении важных
практических задач.
Определение и основные свойства неравенств.
Определения:
Неравенствами называют выражения вида a<b
(a≤ b)
,a>b
(a≥b),где
a и b
могут быть числами или функциями.
Символы <(≤), >(≥) называются
знаками неравенства и читаются соответственно: меньше(меньше
или равно) ,больше(больше или равно).
Свойства числовых неравенств :
· Если
a>b , то b<a; если
a<b, то
b>a.
· Если a<b
и
b<c, то a<c.
· Если a<b
и c-любое число, то a
+c<b+c.
· Если a<b
и c>0,то ac<bc.
Если a<b
и c<0,то ac>bc.
· Если a<b
и c<d,то
a +c<b
+d.
· Если a<b
и c<d,где
a, b,
c, d-положительные
числа, то ac<bd.
Неравенство могут быть линейными, квадратными,
рациональными и дробно рациональными и т.д.
Я
хочу остановиться на дробно-рациональные неравенства и хочу более подробно
описать, как решаются эти неравенства.
Решение рационального неравенства
> 0 (5)
где Рn(х) и Qm(х) ¾ многочлены,
сводится к решению эквивалентного неравенства (Рn(х) >
0)следующим образом: умножив обе части неравенства (5) на многочлен [Qm(x)]2,
который положителен при всех допустимых значениях неизвестного х (т.е. при тех
х, при которых Qm(x) ¹ 0), получим
неравенство
Рn(х)
×
Qm(x)
> 0,
эквивалентное неравенству (5).
Дробно-линейным называется неравенство вида
> k
где a, b, c, d, k ¾ некоторые
действительные числа и с ¹ 0, (если с
= 0, то дробно-линейное неравенство превращается в линейное, неравенство (6) не
содержит аргумента). К дробно-линейным неравенствам относятся и неравенства
вида (6), где вместо знака > стоят знаки <, ³, £. Решение дробно-линейного
неравенства сводится к решению квадратного неравенства. Для этого необходимо
умножить обе части неравенства (6) на выражение (сх + d)2,
положительное при всех хÎR и x ¹ -d/c.
3. Алгоритм
решение дробно рациональных неравенств
При решении таких неравенств можно
придерживаться следующей схемы.
. Перенести все члены неравенства в
левую часть.
. Все члены неравенства в левой
части привести к общему знаменателю, то есть неравенство записать в виде
> 0 (<0).
3. Найти значения х, при которых функция y=
может менять свой знак. Это корни уравнений
. Нанести найденные точки на числовую ось. Эти
точки разбивают множество действительных чисел на промежутки, в каждом их
которых функция будет знакопостоянной.
. Определить знак
в
каждом промежутке, вычисляя, например, значение данного отношения в
произвольной точке каждого промежутка.
. Записать ответ, обращая особое внимание на
граничные точки промежутков. При решении строгого неравенства
>0
(<0) граничные точки в ответ не включаются. При решении нестрогого
неравенства
≥ 0 ( ≤
0), если точка является корнем знаменателя, то она не включается в ответ (даже
если она одновременно является корнем числителя). Если же точка является корнем
одного числителя, то она включается в ответ.
Примеры
Пример из реальных заданиях ЕГЭ.
С4 Найдите все значения параметра а,при которых
множество решений неравенства
+
)
содержится в некотором отрезке длиной 7 и при
этом сожержит какой-нибудь отрезок длиной 4.
Решение.
)Преобразуем данное неравенство.
<0.
2)Так как
,то
<0,если
и
-противоположных
знаков, т.е.
<0,x≠4
равносильна исходному неравенству.
3)Если 0≤a≤4,то
решение -интервал (0;a),длиной
меньшей 4.Если a≥4,то
решение-объединение интервалов(0;4)∪(4;
).Отрезок
длиной 4 может содержать только интервал (4;
)
следовательно a<8 и полученные
интервалы не содержатся в отрезке длиной 7.
)Если a<0,то
решение-это интервал
.Этот интервал содержит отрезок
длиной 4,при a<-4,Он
содержится в отрезке длиной 7 при -7≤ a.
Ответ:
2)Найдите все значения параметра
,при
каждом из которых неравенство
≤1
справедливо при всех значениях
из отрезка
.
Решение
≤1 ↔
↔
.
Рассмотрим два возможных случая.
↔
↔
.
При условию задачи, отрезок[0;1] должен весь
входить в решение данного нам неравенства(подмножество его решения ).В
рассматриваемом нами примере это не так, поскольку решение последнего
неравенства системы не содержит указанный отрезок.
.
Если
и,значит,требование
задачи не будет выполнено.
Если
,то
решением системы будет
и требование задачи
удовлетворяет.
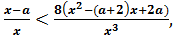
.С5)Найдите все значения параметра a,
при каждом из которых неравенство 
имеет единственное
решение на отрезке [1;3].
. Упростим выражение под знаком модуля:




2. Неравенство
равносильно
системе:
Запишем наше неравенство в виде равносильной
системы:
Перенесем все влево и приведем к общему
знаменателю:
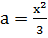
Начнем с первого неравенства. Смена знаков
происходит в точках, в которых числитель и знаменатель дроби равны нулю.
Приравняем числитель и знаменатель дроби к нулю:
a=-
x-a=0
a=x
Числитель обращается в ноль в точках параболы a=-
(Нам проще выразить параметр a
через переменную x, поэтому в
нашей параметрической плоскости вертикальной осью мы назначим ось a,
а горизонтальной - ось x)
Знаменатель обращается в ноль в точках прямой a=x.
Так как знаменатель не равен нулю, прямую a=x
изобразим пунктирной линией. Точки пересечения графиков
a=-
и a=x
мы выкалываем:
При пересечении графиков дробь меняет знак.
Определимся со знаками. Возьмем точку с координатами x=2;a=0
и подставим значения x
и aв первое
неравенство: .
Следовательно в области, содержащей эту точку, дробь в левой части первого
неравенства меньше нуля. При переходе через график знак меняется:
Нас интересуют области, где левая часть
неравенства меньше или равна нулю:
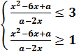
Теперь займемся вторым неравенством системы:
Числитель
обращается в ноль в точках параболы
,
а знаменатель в точках прямой a=x:
Определим знак дроби в левой части неравенства в
точке с координатами x=2;a=0.
Нас интересуют области, в которых выполняется
неравенство:
Совместим закрашенные области:
Итак, множество точек координатной плоскости (x;a)
удовлетворяющих системе неравенств представляют из себя такую фигуру:
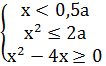
По условию задачи, нам нужно узнать, при каком
значении параметра неравенство имеет единственное решение на отрезке [1;3]
, то есть в
этой выделенной области:
Если мы будем двигать прямую, параллельную оси x
вдоль оси a(
ординаты
всех точек этой прямой равны определенному значению параметра), то увидим, что
эта прямая имеет с нужной нам областью одну точку пересечения при a=3:
Ответ: {3}
Заключение
На протяжений своей работы я
прочитала и изучила решение и способы как решаются примеры дробно-рациональные
неравенство с параметром. Я ставила перед собой цель более глубокого изучения
этой темы, выявления наиболее рационального решения, быстро приводящего к
ответу, простые методы. Чтобы раскрыть тему я рассматривала каждую тему
отдельно. Я усвоила алгоритм решения неравенство методом интервалов, научилась
применят метод интервалов для решения неравенство, дробно-рациональных
неравенств с параметрами. Узнала какие есть типы, какими способами можно решить
трудные задачи, некоторые замечания.
В настоящее время эта тема
стала как никогда актуальной, так как задачи с параметром стали часто встречаться
в едином государственном экзамене. Задачи с параметром позволяют получить
достаточно точную информацию об уровне развития логического мышления учащихся,
умений решать новые задачи, проводить исследования.
Работа над данной темой
доставила мне не только трудности, но и удовольствие.
Я восстановила в памяти весь
теоритический материал, углубила и расширила свои знания по методам решения
дробно-рациональные неравенство с параметром.
Список литературы
1)C.М.Никольский,
Алгебра и начала анализа.//Учебник для 10класса общеобразовательных учреждения;
2003.С.3-6§2п.2.7-2.9.
)Беляева,Э.С,
Математика,Уравнения и неравенства с параметром // Учебное пособие;2009.C.8-13,29-34.
)П. И. Горнштейн,В.
Б. Полонский, М. С. Якир,Задачи с параметрами.//3-е издание, дополненное и
переработанное.-Илскса, Харьков: Гимназия; 2005,C.11-12,41-55.
)В.В.Вавилов, И.И
Мельников,Задачи по математике,Уравнения и неравенства.// 2-е
издание,Физматлит; 2007.
)Кузнецова Л.В.,
Бунимович Е.А., Пигарев Б.П., Суворова С.Б,// Сборник заданий для проведения
письменного экзамена по алгебре за курс основной школы: 9 класс.2002.
)Заданий ЕГЭ по
математике брошюра//2005,С.37.
)М.Я.Выгодский,Справочник
по элементарной математике.// Издательство "наука";М.:2006.C.250-262.