|
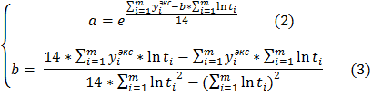
V (t)
|
1.35
|
1.8
|
2.25
|
2.7
|
4.1
|
4.55
|
7.3
|
7.7
|
8.2
|
9.1
|
11.8
|
15
|
18.2
|
|
t
|
6
|
7
|
9
|
10
|
11
|
12
|
13
|
14
|
15
|
17
|
18
|
19
|
21
|
22
|
|
|
0.3
|
0.587
|
0.81
|
0.99
|
1.41
|
1.492
|
1.945
|
2.079
|
2.104
|
2.2
|
2.468
|
2.708
|
2.74
|
2.89
|
|
ln  1.7911.9452.1972.3022.3942.4842.5492.6392.7212.8332.8792.9953.0443.091
|
|
|
|
|
|
|
|
|
|
|
|
|
|
|
|
ln  3.23.7834.8265.2995.7456.176.4976.9647.4038.0258.2888.979.2659.554
|
|
|
|
|
|
|
|
|
|
|
|
|
|
|
Из таблицы получаем:

;

;

;

;
Подставим полученные значения в (2) и (3):
Исходя из произведенных расчетов можно утверждать, что расчетное
значение коэффициента а для степенной функции приближенно равно
значению, найденному с помощью составленной программы.
4. Расчет
запаса жизненных сил. Время жизни после лечения

Геометрический смысл переменой - площадь под выбранной кривой.
Следовательно, расчет запаса жизненных сил производится по формуле:
При подстановке значений в нашу программу получаем:
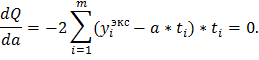
Далее находим эффект вводимой инъекции в зависимости от
максимально допустимой дозы (МДП).

, где 

Отсюда:
E (D) = D*E=4
Рис. 5. - График дозовой зависимости
Учитывая эффект от дозы, можно найти время жизни организма после
лечения:

- временные интервалы, 
запас жизненных сил на заданном интервале, площади под кривыми
зависимости от доз. Стоит отметить, что сумма 
численно должна быть равна 
. Исходя из этого вычисляем жизненные силы на каждом интервале для
степенной функции.
Запас жизненных сил величина постоянная и не зависит от
производимой терапии, расчёт времени жизни после лечения будет производиться по
следующей формуле:


После подстановки данных получен следующий результат: T (ж) = 44,6.
Рис. 6. Кривые роста опухоли до и после лечения (при многократном
введении дозы n=3)
5. Заключение
Проанализировав исходные данные и сделав определенные расчеты
времени жизни при однократном введении максимально переносимой дозы и при
многократном введении (n=5) дозы D=0.8 МПД с интервалом t=6 суток, я пришел к
выводу, что проведение длительного лечения эффективнее, следовательно,
продолжительность жизни организма увеличивается в данном случае на 10 суток.
На основании исходных данных и расчетов СКО можно сделать
вывод, что развитие опухоли лучше всего аппроксимирует степенная функция.
онкологической заболевание время жизнь
Список
литературы
1.
Бабушкина Н.А. Математическое моделирование как метод изучение функционирования
организма. М.: МИРЭА, 1995. - 63с.
.
Ван дер Варден Б.Л. Математическая статистика. - М: Эдиториал УРСС, 2006, 435 c.
.
Дрейпер Н., Смит Г. Прикладной регрессионный анализ. Множественная регрессия.
Изд.2, перераб. и доп. - М.: Диалектика, 2007, 212 с.
.
Потемкин В. Введение в MATLAB CHM. М.: Диалог-МИФИ, 2000. - 256 с.
.
Михальский А.И. Лекционные материалы по курсу КТ в МБС, 2013 год.
Приложение
Текст программы в MATLAB:
=
[1.35,1.8,2.25,2.7,4.1,4.55,7.3,7.75,8.2,9.1,11.8,15,15.45,18.2]; % Значения
объёма по точкам.= [6,7,9,10,11,12,13,14,15,17,18, 19,21,22]; % Значения
времени по точкам.=1.35;=14;=fminsearch (@G1,1, [],Y1,T1,V01) %
Экспоненциальная.
Y2=V01. *exp (T1*P (1));= (1/n) * sum ( (Y1 -
Y2). ^2);=fminsearch (@G2, [1,1], [],Y1,T1,V01) % Степенная.=V01. *
(1+T1/ (P1 (1))). ^ (P1 (2));= (1/n) * sum ( (Y1 - Y3).
^2);(T1,Y1,'ko-',T1,Y2,'k+: ',T1,Y3,'k-. '),grid;('Исходные
данные','Экспоненциальная','Степенная');('Время');('Объём');= [];
m2= [];V01=0.0001: 0.01: 3;
[P3,f] =fminsearch (@G1,1, [],Y1,T1,V01);= [m1;
V01];= [m2; f];(m1,m2,'k-. ','LineWidth',2),grid;('Мин. Объём');('СКО');= [];=
[];V01=0.001: 0.01: 2;
[P4,f2] =fminsearch (@G2, [1,1], [],Y1,T1,V01);=
[n1; V01];= [n2; f2];(n1,n2,'k-. ','LineWidth',2),grid;('Мин. Объём');
ylabel ('СКО');
% До лечения.
V01=0.8200;=0.1440;=V01*exp (T1. *a1);=0.0755;2=0.029;=2.065;=0.1;
%Промежуток развития=V02*diag (1+ (T1/a2)) ^b; % Создадим массив объёма
созданного по формуле с учётом оценки.
Y3=diag (Y3);=Y3';(T1,Y1,'ko',T1,Y2,'k-. ',T1,Y3,'k'); %
Сравниваем получившиеся данные, на графике без лечения. В качестве проверки
строим экспоненциальную оценку.on('Время');('Объём');('Исходные данные',
'Экспоненциальная функция','Степенная функция');
% Без лечения.m= [0: h: 32]; % Время жизни без
лечения.=V02*diag (1+ (T2m/a2)) ^b; % Создадим массив объёма созданного по
формуле с учётом оценки.
Y8=diag (Y8);=Y8';=sum (Y8. *h); % Считаем примерный
запас жизненных сил, на примере без лечения.
% С лечением.= [0: 1: 5]; % Зависимость эффекта, от
максимально переносимой дозы.
MPD= [0: 0.2: 1];(MPD,E,'k-. ');on('Переносимая доза');
ylabel ('Эффект');
%Найдем эффект, при дозе n от переносимой.=0.8;=E/MPD;
%Находим тангенс при макс. дозе.=1;=D*MPD*tgEMPD; %Находим эффект при дозе
n.=7; %Время начала лечения.=3; %Количество инъекций.=6; %Промежуток между
инъекциями.=t1+ (n1-1) *td; %День последней инъекции.
Y41= [];= [];= [];= [];= [];= [];= [];
Tx4= [];=0; % Введём время развития, максимальное значение
которого, на выходе из последнего цикла и будет временем жизни с лечением.=t1;
% Время 1-ой инъекции.=t1+ (n1-2) *td; % Время 2-ой инъекции.=tj1; % Время
последней инъекции.=31; % Время жизни.Tj<Taux1
Y4=V02*diag (1+ (Tj/a2)) ^b;= [Y41; Y4];= [Tx1;
Tj];=Tj+h;;=Tj-ED; % Ввод дозы
1.Tj<Taux2=V02*diag (1+ (Tj1/a2)) ^b;= [Y41; Y4];= [Tx1; Tj];=Tj1+h;=Tj+h;;=Tj1-ED;
% Ввод дозы
2.Tj<Taux3=V02*diag (1+ (Tj2/a2)) ^b;= [Y41; Y4];= [Tx1;
Tj];=Tj2+h;=Tj+h;;=Tj2-ED; % Ввод дозы 3.
Zp=sum (Y41. *h);Zp<zp3; % Рассчитаем график, до
летального объёма.
Zp=Zp+Y4*h;=V02*diag (1+ (Tj3/a2)) ^b;= [Y41;
Y4];= [Tx1; Tj];=Tj3+h;=Tj+h;;(T2m,Y8,'k-. ',Tx1,Y41,'k');on('Время');('Объём');('Без лечения','С лечением');-файл G1 для расчета
экспоненциальной функции:
function out=G1 (P,V1,T1,V01)=P (1);=V01. *exp
(T1*a);=V1-Y;
out=sum (out. *out);
M-файл G2 для расчета степенной функции:
function out=G2 (P1,V1,T1,V01)=P1 (1);=P1
(2);=V01. * (1+T1/a). ^b;=V1-Y;=sum (out. *out);