Разработка контрольных работ по дисциплине алгебра
Содержание
Введение
. Понятие, задачи и требования
контрольной работы
. Вопросы выносимые на
контроль. Векторы и линейные операции над ними
. Демонстрационный вариант
контрольной работы
Заключение
Список использованной
литературы
Приложение к курсовой работе
Введение
Контрольная работа это необходимая часть оценки
усвоения знаний учащегося. Данный тип контроля применяется почти во всех
учебных заведениях. Именно контрольные работы помогают выявить тот материал ,
которые не смогли усвоить студенты. При разработке контрольной работы
преподавателю необходимо разработать такой комплекс упражнений, который смог бы
охватить весь материал изученный студентами.
Цель курсовой работы : дать характеристику к
разработке контрольной работе по алгебре на тему "Векторный метод в
решении задач".
Задачи курсовой работы: раскрыть понятие
контрольная работа, выявить недостатки и достоинства контрольной работы,
раскрыть теоретические вопросы, выносимые на контроль на тему "Векторный
метод в решении задач". Объект
исследования: требования к разработке контрольной работы и основные требования
к ней.
Контрольные
работы по алгебре особенно актуальны в учебных заведениях, так как в них четко
видно, что студент усвоил, а что нет. При решении серии контрольных работ
преподаватель может определить его уровень знаний по данной теме.
Можно сказать, что контрольные работы это
хороший помощник для студентов заочного факультета. Преподаватель может
предоставить им материал на самостоятельное изучение, а позже проверить, как
студенты его освоили. Конечно, к
составлению измерительных работ необходимо подходить серьезно. Если составить
случайный список заданий для контрольной работы, которые даже не встречались
при изучении теории, то такая контрольная работа будет бесполезной, так как при
решении такой работы студенты не смогут решить некоторые задания, что в свою
очередь скажется на их оценке. Таким
образом к контрольной работе есть ряд требований и рекомендации об этом и
пойдет речь в исследовательской работе.
1. Понятие,
задачи и требования контрольной работы
контрольный работа
векторный алгебра
Контрольная работа - один из основных видов
самостоятельной работы студентов, представляющий собой изложение ответов на
теоретические вопросы по содержанию учебной дисциплины и решение практических
заданий.
Обычно проходит в письменном виде и на занятие и
этим отличается от домашней работы. В ходе контрольной работы учащийся обычно
не имеют права пользоваться учебниками, тетрадями, конспектами и т. п. После
серии контрольных работ и ответов на уроке, в конце учебного года или по
семестрам назначается экзамен и зачёт.
Такой тип контроля усвояемости знаний
применяется как в высших учебных заведениях, так и в школах и на
подготовительных курсах.
Также необходимо отметить, что контрольная
работа - это основной способ поверки знаний студентов-заочников, поэтому они
наиболее распространены на заочных факультетах.
В качестве целей контрольной работы можно
выделить следующие:
· Развитие способности к углубленному
анализу учебной и научной литературы, законодательства;
· Выработка умения систематизировать и
обобщать научный и практический материал, критически его оценивать;
· Формирование и укрепление навыков
овладения системой понятий данной науки, аргументированного, логичного,
грамотного изложения ее выводов с использованием положений других наук;
· Развитие умения применять
теоретические разработки для анализа, оценки, выявления и использования
положительного опыта относительно темы контрольной работы;
Контрольные работы выполняются каждым студентом
заочной формы обучения в соответствии с учебным планом; количество контрольных
работ и дисциплины, по которым они выполняются, определяются учебным планом.
Выполнение студентом контрольной работы -
составная часть учебного процесса, одна из форм организации и контроля
самостоятельной работы студента.
Задачами выполнения контрольной работы являются:
· Самостоятельное изучение
соответствующей темы (раздела) учебной дисциплины;
· Выявление способности решать задачи
по изучаемой дисциплине.
· Контроль качества усвоения
изученного материала и самостоятельной работы студента.
Задания для выполнения контрольных работ
составляются преподавателем, проводящим занятия по соответствующей дисциплине,
и доводятся до учащихся .
В современной дидактике понятие
"контроль", (как, впрочем, и многие другие), не имеет однозначной
трактовки. В одних источниках контроль определяют с точки зрения внешней
структурной организации процесса обучения, в других - как часть процесса
обучения. Некоторые исследователи вкладывают иной смысл в термин
"контроль", приписывая ему значение "проверка"… Однако,
сколько бы определений контроля не встречалось в работах дидактов, все они
сводятся к общей сути: контроль - это соотнесение полученных результатов с
поставленной целью. О степени достижения целей обучения судят по результатам
обучения. Следовательно, для того чтобы определить при контроле, соответствуют
ли подобные действия запланированным целям, необходимо эти цели выразить в
категориях действий. Подобные результаты выступают как конкретизация целей
обучения и являются не чем иным, как конкретными требованиями к усвоению,
выраженными в определенных показателях - желаемых действиях учащихся. В отличие
от реально достигнутых результатов их можно назвать необходимыми результатами
усвоения (НРУ). НРУ выступают в этом случае как показатель (критерий)
обученности.
Только после того, как будут определены
конкретные требования к усвоению - НРУ соответствующего учебного материала, -
можно приступать к подбору адекватных выявляемым результатам средств контроля -
заданий, которые должны помочь установить наличие или отсутствие этих
требований в достижениях учащихся. Тогда полученные результаты можно будет
сопоставить с НРУ (показателями обученности), а выводы использовать для
совершенствования следующего цикла процесса обучения.
Таким образом, проблема контроля состоит в
нахождении объективного пути соотнесения достигнутых учащимися результатов с
запланированными результатами обучения.
Решение задач контроля диктует следующие 4
принципа:
. Принцип цели - определение цели контроля.
Формулировка цели контроля должна быть
ориентирована на то содержание учебного курса или те или иные его аспекты,
усвоение которых будет контролироваться.
.Принцип объективности вывода результатов -
установление конкретных объективно необходимых результатов обучения.
При контроле результатов усвоения учащимися того
или иного материала должно предусматриваться по-возможности не только выявление
этих результатов, но и их диагностика, т.е установление причин ошибок и
пробелов в знаниях учащихся.
НРУ могут различаться по сложности в зависимости
от состава умения. В зависимости от цели контроля тот или иной итог обучения
может выступать как самостоятельное НРУ, так и в качестве показателя более
комплексного НРУ.
Рассмотрим на конкретном примере. В качестве НРУ
может выступать усвоение определенного понятия (вектор, скалярное произведение
и т.д). При этом показателями данного результата могут стать умения:
· Воспроизвести определение понятия
· Конкретизировать ответ собственными
примерами
· Подвести объект под понятие
· Выразить понятие в символической
форме и т.д.
· В зависимости от целей контроля
каждый из них может выступать как НРУ.
.Принцип организации - организация контроля.
По мере изучения учебного материала идет
углубление и расширение знаний. Поэтому при определении НРУ следует принимать
во внимание место контроля. В зависимости от места контроля различают следующие
его виды.
· По месту в учебном процессе:
Вводный - актуализация опорных или остаточных
знаний по теме
Текущий - контроль усвоения учебного материала в
самом ходе познавательного процесса
Тематический - итоговый по теме (или другой
логически завершенной части учебного материала
Итоговый - контроль усвоения учебного материала
за весь курс обучения
· По форме
Индивидуальный
Фронтальный (массовый)
· По способу
Устный
Письменный
Практический
.Принцип объективности оценки результатов -
нахождение пути объективного анализа и оценки итогов контроля.
Анализ и оценка итогов контроля подразумевают
сопоставление свойств (качеств) достигнутых учащимися результатов с
запланированными НРУ. Для этой цели удобно использовать поэлементный анализ
работы. Все основные принципы контроля должны быть отражены в общей задаче
контроля. Только после этого можно приступить к подбору и конструированию соответствующих
средств контроля.
Под термином "средство контроля
знаний" следует понимать задание или несколько заданий (контрольная
работа), предназначенных для осуществления определенных действий, направленных
на выявление соответствующих результатов обучения (или отдельных показателей
результатов). К средствам контроля в более широком смысле можно отнести все то,
что способствует выявлению того или иного результата обучения. Содержание
контрольных заданий должно определяться содержанием НРУ, для выявления которых
они предназначены.
Классификация и типизация средств контроля:
· Контрольная работа (предполагает
наличие заданий свободного ответа)
· Тест (предполагает задания с выбором
предложенного ответа)
Использование любого средства контроля должно
соответствовать целям контроля и отвечать следующим принципам.
Выделяют шесть принципов отбора и
конструирования контрольных заданий:
. Соответствие содержания задания
контролируемому результату - адекватность содержанию и целям учебного курса.
. Достоверность выявляемых заданием
результатов - правильность, с которой задание выявляет то, что оно должно
выявить.
. Однозначность понимания всеми учащимися
задания - четкое и однозначное отображение в формулировке желаемого результата.
. Извлечение с помощью задания максимума
информации об объекте контроля.
. Увеличение числа выявляемых показателей
при одновременном уменьшении времени контроля.
. Составление инструкции, позволяющей
однозначно оценить ответ учащегося на задание.
Таким образом, под контрольной работой понимается
совокупность действий по решению заданий, с целью проверки полученных знаний в
процессе обучения. Контрольная работа - это промежуточный этап контроля за
обучаемыми с целью выявления уровня остаточных знаний. Для учащихся контрольная
работа - это хорошая возможность проверить и закрепить свои знания практикой.
Контрольные работы, как способ контроля, стоят на вооружении большинства
учебных заведений.
2. Вопросы
выносимые на контроль. Векторы и линейные операции над ними
Определение. Вектором называется направленный
отрезок (рис. 1).
А - начало, В - конец вектора
.
Так как вектор определяется его началом и
концом, то можно сформулировать эквивалентное данному определение.
Определение. Вектором называется упорядоченная
пара точек.
Определение. Длина вектора
-
расстояние между его началом и концом.
Определение. Два вектора называются равными,
если они имеют равные длины и одинаково направлены. При этом одинаково
направленными называются векторы, лежащие на параллельных прямых и имеющие
одинаковые направления.
Из этого определения следует, что точка
приложения вектора значения не имеет, то есть вектор не изменяется, если его
перемещать параллельно самому себе, сохраняя длину. Такие векторы называются
свободными.
Если начало и конец вектора совпадают, он
называется нулевым:
- нулевой вектор:
его направление не определено, а длина
.
Определение. Векторы
и
называются
коллинеарными, если они лежат на параллельных прямых:
Так как направление нулевого вектора не
определено, то он коллинеарен любому другому.
Определение. Векторы называются компланарными,
если они параллельны одной плоскости.
Нулевой вектор компланарен любой системе
компланарных векторов.
Линейные операции над векторами
Линейными называются операции сложения векторов
и умножения на число.
в) Правило сложения нескольких векторов (рис.
4).
Вектор
замыкает
ломаную линию, построенную таким образом: конец предыдущего вектора совмещается
с началом последующего и
направлен от начала
к
концу
.
Умножение на число
Определение. Произведением вектора
на
число
называется
вектор
,
удовлетворяющий условиям:
а)
;
б)
,
если
,
,
если
и
,
если
.
Произведение
называется
вектором, противоположным вектору
.
Очевидно,
.
Определение. Разностью
называется
сумма вектора
и вектора,
противоположного
:
(рис.
5).
Начала
и
совмещаются
в одной точке, и
направлен от конца
к
концу
.
Свойства линейных операций.
1.
2.
.
4.
.
Определение. Результат конечного числа линейных
операций над векторами называется их линейной комбинацией:
,
-
линейная комбинация векторов
с коэффициентами
.
Пример. Пусть М - точка пересечения медиан
треугольника АВС, а О - произвольная точка пространства. Представить
как
линейную комбинацию
(рис. 6).
Так как точка пересечения медиан треугольника
делит их в отношении 2:1, считая от вершины, то из правила параллелограмма
следует, что
.
По правилу треугольника
,
то есть
-
линейная комбинация
с коэффициентами
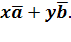
Теорема 1. Пусть
и
-
неколлинеарные векторы. Тогда любой компланарный с ними вектор
может
быть представлен в виде
,
,
(2.1) где коэффициенты (2.1)
определяются единственным образом.
Представление вектора
в
виде (2.1) называется разложением его по двум неколлинеарным векторам.
Теорема 2. Пусть
-
некомпланарные векторы. Тогда любой вектор
может
быть представлен в виде
,
,
причем единственным образом.
Представление вектора
в
виде (2.2) называется разложением его по трем некомпланарным.
Проекция вектора на ось.
Координаты вектора.
Определение. Осью называется направленная
прямая.
Определение. Ортом оси
называется
единичный вектор
, направление
которого совпадает с направлением оси.
Определение. Ортогональной проекцией точки М на
ось
называется
основание М1 перпендикуляра, опущенного из М на
.
Определение. Ортогональной проекцией вектора
на
ось
называется
длина отрезка А1В1 этой оси, заключенного между
ортогональными проекциями его начала и конца, взятая со знаком "+",
если направление вектора
совпадает с
направлением оси, и со знаком "-", если эти направления
противоположны (рис. 8).
Определение. Углом между вектором и осью
называется угол, на который нужно повернуть в положительном направлении ось до
совпадения ее направления с направлением вектора (положительным считается
поворот против часовой стрелки)
(рис. 8).
Очевидно, проекцию вектора на ось можно найти по
формуле
Можно показать, что проекция линейной комбинации
векторов равна такой же линейной комбинации их проекций:
.
В частности, проекция суммы векторов равна сумме
их проекций:
.
Рассмотрим прямоугольную декартову систему
координат ХОY. Обозначим
-
орт оси ОХ,
- орт оси OY.
Выберем точку
, и пусть
-
проекции ее на ОХ и OY,то
есть координаты этой точки (рис. 9).
- радиус-вектор точки
и
, но
Аналогично
-
разложение
по ортам
координатных осей
(разложение
единственно по теореме 1).
Аналогично в пространственной системе OXYZ
-
орты координатных осей) (рис. 10):
- разложение
по
ортам координатных осей (единственно по теореме 2).
Таким образом, если задана прямоугольная
декартова система координат (пдск), то со всяким пространственным вектором
можно
связать три числа
(или два числа
,
если вектор плоский), которые являются коэффициентами разложения этого вектора
по ортам координатных осей, а также являются проекциями этого вектора на
координатные оси.
Определение. Координатами вектора
в
любой пдск называются коэффициенты в разложении этого вектора по ортам
координатных осей.
Таким образом, можно дать еще одно определение
вектора.
Определение. Вектором называется упорядоченная
тройка чисел (упорядоченная пара, если вектор плоский).
Пример. Если
,
то
=(2,3,4)
и наоборот, если
, то
Так как, с одной стороны, вектор - объект,
имеющий длину и направление, а с другой, - упорядоченная тройка чисел, то, зная
длину и направление, можно определить его координаты и наоборот. Направление
вектора в заданной системе координат характеризуется его направляющими
косинусами (рис. 11):
OZ).
Из этих формул очевидно следует основное
свойство направляющих косинусов:
Если известны длина
и
направляющие косинусы вектора, то его координаты вычисляются по формулам:
Пусть
-
произвольный вектор в системе OXYZ,
-
радиус-векторы его начала и конца,
, (рис.12).
(см. свойства линейных операций над векторами).
Таким образом,
,
то есть для определения координат вектора надо из координат его конца вычесть
координаты начала.
Определение. Базисом в пространстве называется
любая упорядоченная тройка некомпланарных векторов (рис. 13).
Если
-
базис, то
- другой базис,
так как изменился порядок следования векторов.
Определение. Базис называется прямоугольным
декартовым, если базисные векторы взаимно перпендикулярны и длина каждого равна
1.
Такой базис принято обозначать
.
Из теоремы 2 следует, что всякий вектор
может
быть разложен по базису
, то есть
представлен в виде:
. Числа
называются
координатами
в базисе
.
Определение. Базисом на плоскости называется
любая упорядоченная пара неколлинеарных векторов.
Если
-
базис, то представление вектора в виде
называется
разложением
по базису
и
-
координаты
в этом базисе.
Определение. Базисом на прямой называется любой
ненулевой вектор этой прямой.
Деление отрезка в данном отношении.
Рассмотрим задачу: дан отрезок
.
Найти точку
, которая делит
в
заданном отношении
:
(рис.
14).
Введем прямоугольную декартову систему координат
(пдск) OXYZ, тогда
Обозначим
Так как
(лежат
на одной прямой) и
, то
Переходя
от этого векторного равенства к равенству соответствующих координат, получим:
(2.3)
Замечание 1. Если
-
середина отрезка
, то
,
поэтому
(2.4)
Замечание 1. Если
,
,
то точка
лежит
за пределами
: так как
,
то при
Скалярное произведение векторов
В этом случае
Пусть
(рис.
15).
Определение. Скалярным произведением векторов
и
называется
скаляр (число), равный
Скалярное произведение обозначается так:
или
.
Так как
(рис.
16) или
,
то
.
Свойства скалярного произведения
.
-
очевидно из определения.
2.
.
.
.
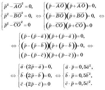
Необходимым и достаточным условием
перпендикулярности векторов является равенство нулю их скалярного произведения:
5.
Пример. Найти, при каком значении
векторы
перпендикулярны.
Два
вектора перпендикулярны тогда и только тогда, когда их скалярное произведение
равно нулю (свойство 5), поэтому найдем скалярное произведение по формуле
(2.5):
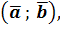
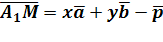
Пример. Найти угол между биссектрисой
и
медианой AM‖ABC,
если
Так как
,
то
.
(2.6)
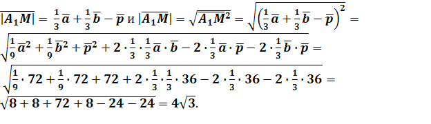
Найдем координаты векторов
и
.
Точка
-
середина
,
поэтому по формулам (2.4)
.
По теореме о биссектрисе внутреннего угла
треугольника
. Чтобы найти
,
вычислим длины
и
:
Разделим отрезок
в
данном отношении по формулам (2.3):
,
отсюда
.
Заметим, что
.
Это замечание позволит нам не иметь дело с дробями, так как
Пример. Найти
,
если
Воспользуемся свойствами 1-4 скалярного
произведения:
.
Отсюда
Замечание. Так как работа силы
по
перемещению материальной точки вдоль вектора
вычисляется
по формуле
, то
.
Векторное произведение векторов
Определение. Тройка некомпланарных векторов
,
имеющих общее начало, называется правой (левой), если с конца третьего вектора
вращение
первого вектора
ко второму вектору
по
кратчайшему пути наблюдается против (по) часовой стрелки (рис. 17).
- левая тройка,
- правая тройка,
- левая тройка.
- правая тройка
(рис. 18)
Определение. Векторным произведением вектора
на
вектор
называется
вектор
,
удовлетворяющий условиям:
.
(
перпендикулярен плоскости векторов
и
).
. Направление
таково,
что тройка
- правая.
3.
.
Векторное произведение обозначается так:
или
.
Замечание. Геометрический смысл векторного произведения:
длина векторного произведения численно равна площади параллелограмма,
построенного на этих векторах.
.
Это следует из того, что площадь параллелограмма
равна произведению длин смежных сторон на синус угла между ними.
Заметим, что
Таким образом, длину вектора векторного
произведения можно вычислить с помощью скалярного произведения по формуле
. (2.7)
Пример. Найти площадь параллелограмма,
построенного на векторах

.
По формуле (2.7):
Замечание 2. Направление вектора
можно
также (кроме п.2) определить по правилу винта: направление вектора
совпадает
с направлением поступательного движения винта в правой резьбой при вращении его
в сторону поворота первого вектора
ко
второму вектору
по кратчайшему
пути (рис. 19).
Свойства векторного произведения.
1.
.
.
- свойство
линейности векторного произведения по первому сомножителю (без доказательства).
Векторное произведение также линейно и по
второму сомножителю.
Используя определение и свойства 1 и 2, составим
таблицу вычисления векторного произведения базисных векторов
:
векторы, стоящие в левом столбце, умножаются на соответствующие векторы верхней
строки (рис. 20).
Пусть в некоторой пдск
.
Найдем векторное произведение этих векторов:
Заметим, что это выражение можно получить,
вычислив символический определитель (сделать это можно по-разному, но лучше
разложить по первой строке):
.
Таким образом,
. (2.8)
Пример. Вычислить векторное произведение
векторов
По формуле (2.8):
Заметим, что площадь треугольника, построенного
на векторах
и
,
можно вычислить двумя способами: как половину длины найденного вектора или
используя формулу (2.7). Заметим, что
.
Пример. Вычислить площадь параллелограмма,
построенного на векторах
и
,
если
Так как
,
то вычислим векторное произведение, используя его свойства:
.
Отсюда
Смешанное произведение векторов
Определение. Смешанным произведением векторов
называется
число
-
скалярное произведение
на векторное
произведение
.
Смешанное произведение обозначается так:
Пусть в некоторой пдск
Обозначим
Таким образом,
(2.9)
По определению скалярного произведения
Совместим начала всех трех векторов в одной
точке. Тогда (рис. 21)
- площадь
параллелограмма,
- высота
параллелепипеда,
- объем
параллелепипеда.
Геометрический смысл смешанного произведения:
модуль смешанного произведения численно равен объему параллелепипеда,
построенного на векторах-сомножителях, при этом
,
если
-
правая тройка, и
, если
-
левая тройка.
.
Свойства смешанного произведения
. Необходимым и достаточным условием
компланарности трех векторов является равенство нулю их смешанного
произведения:
компланарны
. Круговая перестановка сомножителей в смешанном
произведении не изменяет его величины. Перестановка соседних сомножителей
изменяет его знак, не изменяя абсолютной величины:
3. В смешанном произведении векторное и
скалярное произведения можно менять местами:
. Смешанное произведение линейно по каждому из
трех сомножителей.
- линейность по
первому сомножителю.
Пример. Найти объем тетраэдра, построенного на
векторах
,
и его высоту, перпендикулярную плоскости векторов
и
.
Объем тетраэдра в 6 раз меньше объема
параллелепипеда, построенного на этих векторах, поэтому
.
Отсюда
(заметим,
что
-
левая тройка, так как смешанное произведение отрицательно).
Чтобы найти высоту, воспользуемся формулой
По формуле (2.7)
3. Демонстрационный
вариант контрольной работы
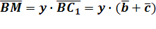
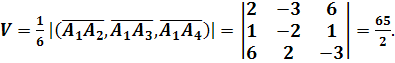
Задание №1. Даны координаты вершин пирамиды А1А2А3А4
: А1(1;2;1), А2(3;-1;7), А3(2;0;2),
А4(7;4;-2).. Требуется найти: 1) длину ребра А1А2;
2) угол между ребрами А1А2 и А1А4;
3) угол между ребром А1А4 и гранью А1А2А3;
4) площадь грани А1А2А3; 5) объем пирамиды.
Решение:
. Находим координаты вектора
и
длину ребра
. Угол
между
ребрами А1А2 и А1А4 вычисляется по
формуле
из скалярного
произведения.
=
Поэтому:
3. Угол
между
ребром А1А4 и плоскостью А1А2А3
- это угол между вектором
и его
ортогональной проекцией А1А4` на грань А1А2А3.
Вектор
перпендикулярен
грани А1А2А3, что вытекает из определения
векторного произведения векторов
:
(Здесь
.
Как и в предыдущем пункте , находим
4. Площадь грани А1А2А3
находим, используя смысл векторного произведения:
5.Объем пирамиды А1А2А3А4 численно равен одной
шестой модуля смешанного произведения векторов
.
Задание №2.
В кубе АBCDA1B1C1D1
со стороной a точка К является
серединой стороны основания В1С1, точка L
делит другую сторону C1D1
этого основания в отношении 2:1, считая от вершины С1, точка N
является серединой бокового ребра АА1. Найдите площадь сечения,
проходящего через точки К, L,N.
Решение:
Построим сечение куба через точки K,
L, N.
(A1B1C1)
KL
A1D1
= Q, (AA1D1)
NQ
DD1=T,
(BB1C)
KG
TN,
NTLKG - искомое сечение.
Площадь сечения вычислим, используя формулу
угол
между нормальными векторами плоскости основания куба и плоскости сечения.
Площадь проекции сечения куба на плоскость ABC
можно вычислить как
В декартовой
системе координат с центром в вершине куба A
координаты вершин имеют вид: K
Отсюда
.
Нормальный вектор
сечения можно
принять пропорциональным (коллинеарным) векторному произведению
.
= (-4;-3;10).
Нормальный вектор плоскости основания
Тогда
и
Ответ:
Задание №3.
Даны координаты вершин параллелепипеда: A(1;2;3),
B(0;1;2), C(1;1;3),
D(0;0;3). Найти
объем параллелепипеда, его высоту, опущенную из вершины С, угол между вектором AD
и гранью, в которой лежат векторы АВ и АС.
Решение: По определению, объем параллелепипеда
равен смешанному произведению векторов, на которых он построен. Найдем эти
векторы:
.
Объем этого параллелепипеда
.
С другой стороны, объем параллелепипеда
,
-
это площадь параллелограмма:
.
,
тогда высота
.
Угол между вектором и гранью
найдем
по формуле
.
Так как вектор
перпендикулярен
грани, в которой лежат векторы 
. Угол между этим
вектором и вектором
находим по
известной формуле
.
Очевидно, что искомый угол
.
Итак:
.
Проверить, лежат ли в одной плоскости точки
,
.
Найти линейную зависимость вектора
,
если это возможно.
Решение: Найдем три вектора:
.
.
Три вектора лежат в одной плоскости, если они
компланарны, т. е. их смешанное произведение равно нулю:
.
Следовательно, эти три вектора линейно зависимы. Найдем линейную зависимость
от
.
.
Решая эту систему, получим ответ:
, т.е.
.
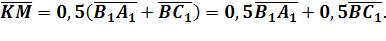
Задание 5.
В параллелепипеде АВСDА1В1С1D1
точка М - середина диагонали А1С1 грани A1B1C1D1,
точка K - середина ребра ВВ1. Докажите, что прямые А1В1,
KМ и ВС1параллельны некоторой плоскости.
Решение:
Введем векторы:
Тройку
некомпланарных
векторов
примем
в качестве базиса. Разложим векторы
по
векторам этого базиса.
Имеем:
Тогда
Это означает, что векторы
компланарны,
следовательно, они параллельны некоторой плоскости, тогда этой плоскости
параллельны и прямые А1В1, KМ и ВС1, для
которых векторы
являются
направляющими.
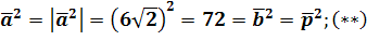
Задание №6
В кубе
,
ребро которого равно 6, найдите:
а) расстояние от вершины
до плоскости
б) угол между диагональю
грани
и
плоскостью
Решение:
а) Пусть отрезок
-
перпендикуляр из вершины
на
Тогда
=
.
Найдем длину отрезка
.
По правилу треугольника имеем:
Обозначим:
=
,
a в плоскости
введем
базис
где
и
запишем разложение вектора
по векторам этого
базиса в виде:
=
Так как
(по
определению прямой, перпендикулярной плоскости), значит,
Коэффициенты x
и y в разложении
вектора
найдем,
пользуясь условием:
,
которое
равносильно системе уравнений
(
прежде чем решать эту систему
уравнений, найдем скалярные произведения векторов:
.
Так как треугольники
-
правильные и равные, то длины их сторон равны
.
Тогда:
Вернемся к решению системы
уравнений (
.
Учитывая соотношения (
и свойства скалярного произведения векторов, получаем:
Таким образом,
б) Обозначим
Так
как
ортогональная
проекция
на
Используя соотношения(**) и
(***) и то, что вектор
при
имеет
вид
Ответ: а)
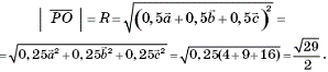
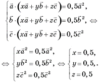
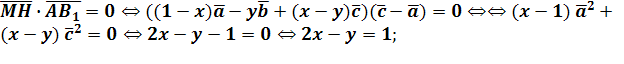
Задание №7.
Найдите расстояние между
скрещивающимися диагоналями АВ1 и ВС1 смежных граней АА1В1В
и ВВ1С1С куба ABCDA1B1C1D1,
если ребро этого куба равно 12.
Решение:
Введем векторы:
Тройку
некомпланарных
векторов
примем
в качестве базиса и разложим векторы
по
векторам этого базиса. Имеем:
по векторам этого.
Имеем:
Пусть отрезок MH
- общий перпендикуляр прямых AB1
и BC1
(
.
Тогда длина отрезка
равна расстоянию
между этими прямыми:
Так как точка H
лежит на диагонали
коллинеарны,
поэтому существует такое число x,
что
.
Аналогично, в силу
коллинеарности векторов
.
По
правилу ломанной находим:
Значения x
и y найдем из условия:
Учитывая, что базисные векторы
попарно
взаимно перпендикулярны и длина каждого из них равна 12, имеем:
Получаем:
Таким образом, система
векторных неравенств (1) равносильна системе уравнений
Тогда
Значит,
Ответ:
Задание №8
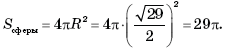
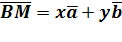
В треугольной пирамиде РАВС все
плоские углы при вершине Р прямые. Найдите площадь сферы, описанной около этой
пирамиды, если РА = 2, РВ = 3, РС = 4.
Решение: Пусть точка О - центр
сферы, описанной около тетраэдра РАВС, R - радиус этой сферы. Тогда ОА = ОВ =
ОС = ОР = R.
Введем некомпланарные векторы
и
примем их в качестве базисных в пространстве. Тогда
при
этом
Найдем
коэффициенты х, у и z в этом разложении вектора
По правилу треугольника имеем:
откуда
Из равенств ОА = ОВ = ОС = ОР
(как радиусы сферы, описанной около тетраэдра РАВС) следует, что
значит,
Тогда получаем:
Заметим, что так как базисные
векторы
попарно
перпендикулярны и длины их равны соответственно 2, 3 и 4, то
(*
Заменяя
выражением
в
последней системе уравнений и учитывая (*), получаем:
Тогда
Ответ: 29π.
Задание №9.
В правильной треугольной призме
ABCA1B1C1
все
ребра которой равны 1, найдите косинус угла между прямыми AD1
и CE1
, где D1
и E1
- соответственно середины ребер A1C1
и B1C1.
Решение:
Введем систему координат, тогда
:
) Координаты точек
задающих прямые, указанные в условии задачи
) Найдем координаты
векторов:
) Найдем косинус угла
между векторами
Ответ:0,7.
Задание №10.
В правильной четырехугольной
пирамиде SABCD с вершиной S
высота равна диагонали основания. Точка F
лежит на середине ребра SA.
Найдите квадрат тангенса между прямыми SD
и BF.
Решение:
то введем прямоугольную систему координат с O(0;0),
OC - ось x,
OD - ось y,
OS - ось z;
2)Пусть
OC=a, то
AC=2a, тогда
SO=2a, то
S(0;0;2); D(0;a;0);B(0;-a;0);
3)Рассмотрим
-
середина AS, то если FF1
AO,
то по теореме Фалеса
4)
)
)
Ответ: 10,25.
Заключение
Оценка пять ставится при условии, что
контрольная работа выполнена полностью верно, но допускается наличие одной
негрубой ошибки, которая не повлияла на правильный ответ! Дан полный ход решения
задачи. Контрольная работа правильно решена на 95-100%.
Оценка четыре ставится при условии, что в
контрольной работе насчитывается 1-2 ошибки, которые не повлияли на правильный
ответ, или одна ошибка, которая привела к неправильному ответу. Контрольная
работа решена правильно на 75-100%.
Оценка три ставится при условии, что в
контрольной работе допущено более трех ошибок, которые привели к неправильному
ответу. Контрольная работа решена правильно на 55-70%.
Оценка два ставится при условии , что в контрольной
работе допущено более 4 ошибок , которые привели к неправильному ответу.
Контрольная работа решена правильно на 30 - 45%.
Таким образом контрольную работу необходимо не
только правильно разработать, но и правильно оценить. Цель исследовательской
работы достигнута. Основным требованием к разработке контрольных работ - это
правильный подбор заданий удовлетворяющих условиям, приведенные в данной
работе, а также содержательная работа с учащимся.
Список использованной литературы
1.Александров П.С. Курс
аналитической геометрии и линейной алгебры. - М.: Наука, Главная редакция
физико-математической литературы, 1979, 512 с.
.Александров А.С. Лекции по
аналитической геометрии, пополненные необходимыми сведениями из алгебры с
приложением собрания задач, снабженных решениями, составленного Пархоменко А.С.
- М., Наука, 1968. - 912 с.
.Антонов В. И. Линейная алгебра и
аналитическая геометрия. Опорный конспект. - Проспект, 2011. - 139 с.
.Беклемишев Д.В. курс аналитической
геометрии и линейной алгебры. 10-е изд., исп. - М.: ФИЗМАТЛИТ, 2005. - 304 с.
.Виноградов И. М. Аналитическая
геометрия. - М.: Наука. Гл. ред, физ-мат. лит., 1986.-176 с.
. Ефимов Н.В. Краткий курс
аналитической геометрии : Учебн. Пособие. - 13-е изд. - М,: ФИЗМАТЛИТ, 2005. -
240 с.
. Ильин В.А. Ким Г.Д. Линейная
алгебра и аналитическая геометрия. - М., Изд. МГУ, 1998. - 320 с.
.Кадонцев С. Б. Аналитическая
геометрия и линейная алгебра. - М.: ФИЗМАЛИТ, 2003. - 160 с.
. Семенова А.Л, Лященко И.В. ЕГЭ
математика. - М., изд. ФИПИ, 2012 - 199 с.
. Любарский М.Г. Векторная алгебра и
ее приложение. Web,
2010 166 с.
Приложение к курсовой работе
25 вариантов контрольной работы, разработанные
по данному теоретическому материалу. Один вариант контрольной работы включает в
себя 10 заданий. При решении некоторых заданий рекомендуется сделать чертеж,
что упростит ход действий при ее решении. Все задачи подобранны таким образом,
что каждый учащийся который ознакомлен с теорией разобранной в данной курсовой
работе сможет дать ответы на задания. Данный комплекс упражнений поможет
выявить уровень знаний по данной теме.
Вариант 1
Задание №1.
Даны координаты вершин пирамиды А1А2А3А4:
А1(2;4;3), А2(7;6;3), А3(4;9;3),
А4(3;6;7). Найти:
)Длину ребра А1А2;
) Угол между ребрами А1А2
и А1А4;
) Угол между ребром А1А4 и
гранью А1А2А3;
) Площадь грани А1А2А3;
) Объем пирамиды.
Задание №2.
В прямоугольном параллелепипеде ABCDA1B1C1D1
ребро AB= 2, ребро AD=
, ребро АА1=2.
Точка К - середина ребра ВВ1. Найдите площадь сечения, проходящего
через точки A1,D1 и К.
Задание№3.
Даны координаты вершин параллелепипеда:A(3;4;4),
B(5;1;3), C(2;2;3), D(1;1;5). Найти объем параллелепипеда, его высоту,
опущенную из вершины С, угол между вектором AD и гранью, в которой лежат
векторы АВ и АС.
Задание №4.
Проверить, лежат ли в одной плоскости точки
A(-2;-13;3), B(1;4;1), C(-1;-1;-4), D(0;0;0). Найти линейную зависимость
вектора
,
если это возможно.
Задание №5.
Докажите, что если точки пересечения медиан
треугольников ABC и А1В1С1 совпадают, то
прямые АА1, ВВ1 и СС1 параллельны некоторой
плоскости.
Задание №6.
Ребро куба АBCDA1B1C1D1
равно
.
Найдите:
а) расстояние от вершины С до плоскости BDC1;
б) угол между диагональю
грани
и
плоскостью
Задание №7.
Найдите расстояние между скрещивающимися
диагоналями АВ1 и ВС1 смежных граней АА1ВВ1
и ВВ1СС1 куба ABCDA1B1C1D1,
если ребро этого куба равно 6.
Задание№8.
В кубе ABCDA1B1C1D1
со стороной a точка K является серединой стороны верхнего основания B1C1,
точка L делит другую сторону C1D1 этого основания в
отношении 2:1, считая от вершины С1 , точка N является серединой
бокового ребра АА1. Найдите площадь сечения, проходящего через точки
К, L, N.
Задание№9.
В правильной треугольной призме ABCA1B1C1,
все ребра которой равны 1, найдите косинус угла между прямыми AB и CA1.
Задание №10.
В правильной прямоугольной призме ABCA1B1C1все
ребра которой равны 1, найдите квадрат косинуса угла между прямыми АВ и А1С.
Вариант 2
Задание №1.
Даны координаты вершин пирамиды А1А2А3А4:1(1;8;2),A2(5;2;6),
A3(0;-1;-2), A4(-2;3;-1). Найти:
) длину ребра А1А2;
) угол между ребрами А1А2
и А1А4;
) угол между ребром А1А4 и
гранью А1А2А3;
) площадь грани А1А2А3;
) объем пирамиды.
Задание №2.
Диагональ основания правильной четырехугольной
призмы равна 5
, а диагональ
призмы наклонена к плоскости основания под углом 60°. Найдите площадь сечения
призы, проходящего через сторону нижнего основания и противоположную сторону
верхнего основания.
Задание №3.
Даны координаты вершин параллелепипеда:
A(1;8;2), В(5;2;6), С(0;-1;-2), D(-2;3;-1). Найти объем параллелепипеда, его
высоту, опущенную из вершины С, угол между вектором AD и гранью, в которой
лежат векторы АВ и АС.
Задание №4.
Проверить, лежат ли в одной плоскости точки
А(4;4;2), В(3;-3;4), С(2;3;-3), D(3;-4; 5). Найти линейную зависимость вектора
,
если это возможно.
Задание №5.
На двух скрещивающихся прямых отмечены по три
точки: A1, A2, A3 и B1, B2,
B3, причем A1A2=k⋅A1A3,
В1В2= k⋅В1В3.
Докажите, что прямые А1В1, А2В2, A3B3
параллельны некоторой плоскости.
Задание№6.
В кубе
,
ребро которого равно
, найдите:
а) расстояние от вершины
до
плоскости
б) угол между диагональю
грани
и
плоскостью
Задание №7.
Дан куб ABCDA1B1C1D1
с длиной ребра AB=
. Найдите
расстояние между скрещивающимися диагоналями AC и А1В смежных граней
ABCD и AA1B1B.
Задание №8.
В правильной треугольной пирамиде SАВС с
вершиной S высота равна 3, а боковые ребра равны 6. Найдите площадь сечения
этой пирамиды плоскостью, проходящей через середины сторон АВ и АС параллельно
прямой SА.
Задание №9.
В правильной треугольной призме ABCA1B1C1,
все ребра которой равны 1, точка D середина ребра A1B1.
Найдите косинус угла между прямыми AD и BC1.
Задание №10.
В правильной четырехугольной пирамиде SABCD с
вершиной S высота равна диагонали основания. Точка F лежит на середине ребра
SВ. Найдите квадрат тангенса между прямыми SD и АF.
Вариант №3
Задание№1.
Даны координаты вершин пирамиды А1А2А3А4:
А1(4;3;4), А2(5;5;3), А3(6;8;0),
А4(4;5;8). Найти:
)Длину ребра А1А2;
) Угол между ребрами А1А2
и А1А4;
) Угол между ребром А1А4 и
гранью А1А2А3;
) Площадь грани А1А2А3;
) Объем пирамиды.
Задание№2.
В основании треугольной пирамиды SABC лежит
прямоугольный треугольник АВС. Середина D гипотенузы этого треугольника
является основанием высоты SD данной пирамиды. Известно, что SD=2, AC=4, BC=3.
Через середину высоты SD проведено сечение пирамиды плоскостью, параллельной
ребрам AC и SB. Найти площадь этого сечения.
Задание№3.
Даны три вершины параллелограмма A(3;-2;4),
B(4;0;3), C(7;1;5). Найти длину высоты, опущенной из вершины С (через площадь
параллелограмма).
Задание №4.
Проверить, лежат ли в одной плоскости точки
А(1;2;3), В(3;-2;1), С(1;1;-3), D(5;-4; 5). Найти линейную зависимость вектора
,
если это возможно.
Задание№5.
Дан параллелепипед ABCDA1B1C1D1
построенный на векторах
. Найти высоту,
проведенную из вершины A1 на грань ABCD.
Задание№6.
Ребро куба АBCDA1B1C1D1
равно
.
Найдите:
а) расстояние от вершины С до плоскости BDC1;
б) угол между диагональю
грани
и
плоскостью
Задание№7.
Основание пирамиды - прямоугольник со сторонами
6 и 8. Одно из боковых рёбер перпендикулярно плоскости основания и равно 6.
Найдите расстояние между этим ребром и скрещивающейся с ним диагональю
основания, а также боковую поверхность пирамиды.
Задание №8.
На ребре МВ правильной пирамиды МАВС взяты точка
К - середина этого ребра и точка L - середина отрезка ВК. Постройте сечение
пирамиды плоскостью, проходящей через точку L параллельно прямым КА и МС.
Найдите площадь полученного сечения, если сторона основания равна
,
а боковое ребро равно 2.
Задание №9.
В основании прямой призмы ABCDA1B1C1D1
лежит ромб ABCD со стороной и углом А, равным 60°. На ребрах AB, B1C1
и DC взяты соответственно точки E, F и K так, что AE=EB, B1F=FC1
и DK=3KC. Найдите косинус угла между плоскостями EFK и ABC, если высота призмы
равна 5.
Задание№10.
В правильной четырёхугольной призме ABCDA1B1C1D1
стороны основания равны 1 , а боковые ребра равны 5. На ребре AA1
отмечена точка E так, что AE:EA1=2:3. Найдите угол между плоскостями
ABC и BED1.
Вариант №4
Задание№1.
Даны координаты вершин пирамиды А1А2А3А4:
А1(0;-1;1), А2(6;-4;-5), А3(9;-3;-1),
А4(1;1;3). Найти:
)Длину ребра А1А2;
) Угол между ребрами А1А2
и А1А4;
) Угол между ребром А1А4 и
гранью А1А2А3;
) Площадь грани А1А2А3;
) Объем пирамиды.
Задание№2.
В параллелограмме ABCD даны векторы
Найти
площадь параллелограмма, построенного на диагоналях параллелограмма ABCD.
Задание№3.
Даны три вершины параллелограмма
.
Найти длину высоты, опущенной из вершины С (через площадь параллелограмма).
Задание№4.
Проверить, лежат ли в одной плоскости точки
Найти
линейную зависимость вектора
, если это
возможно.
Задание№5.
Докажите, что через данную точку можно провести
плоскость, параллельную двум данным скрещивающимся прямым, и притом только
одну.
Задание №6.
Ребро куба АBCDA1B1C1D1
равно
.
Найдите:
а) расстояние от вершины С до плоскости BDC1;
б) угол между диагональю
грани
и
плоскостью
Задание№7.
Найдите угол между скрещивающимися медианами
двух граней правильного тетраэдра.
Задание№8.
В прямоугольном параллелепипеде ABCDA1B1C1D1,
AB=BC=
,
AA1=2
. Сечение
параллелепипеда проходит через точки B и D и образует с плоскостью ABC угол
=arctg
.
Найдите площадь сечения.
Задание№9.
Диаметр АС основания конуса равен образующей РА
этого конуса. Хорда основания ВС составляет угол 600. Найдите
косинус угла между прямыми АР и ВС.
Задание№10.
В правильной четырехугольной призме ABСDA1B1C1D1
стороны основания равны 2, а боковые ребра равны 5. На ребре АА1
отмечена точка Е так, что АЕ:ЕА1 = 3:2. Найдите угол между
плоскостями АВС и ВЕD1.
Вариант№5
Задание№1.
Даны координаты вершин пирамиды А1А2А3А4:
А1(-5;1;3), А2(1;-2;-3), А3(4;-1;1),
А4(-4;3;5). Найти:
)Длину ребра А1А2;
) Угол между ребрами А1А2
и А1А4;
) Угол между ребром А1А4 и
гранью А1А2А3;
) Площадь грани А1А2А3;
) Объем пирамиды.
Задание№2.
В прямоугольном параллелепипеде ABCDA1B1C1D1
ребро AB= 8, ребро AD=
, ребро АА1=4.
Точка К - середина ребра ВВ1. Найдите площадь сечения, проходящего
через точки A1,D1 и К.
Задание№3.
Точки A(-2;1;-3), B(3;4;4), C(5;6;0), E(4;6;t)
служат вершинами параллелепипеда, объем которого равен 16. Найти t.
Задание№4.
Проверить, лежат ли в одной плоскости точки
А(-5;1;3), B(1;-2;-3), C(4;-1;1), D(-4;3;5) Найти линейную зависимость вектора
,
если это возможно.
Задание№5.
Дан параллелепипед ABCDA1B1C1D1
построенный на векторах
. Найти высоту,
проведенную из вершины A1 на грань ABCD.
Задание№6.
Ребро куба АBCDA1B1C1D1
равно
.
Найдите:
а) расстояние от вершины С до плоскости BDC1;
б) угол между диагональю
грани
и
плоскостью
Задание№7.
На ребре СС1 куба ABCDA1B1C1D1
отмечена точка Е так, что СЕ:ЕС1=1:2. Найдите угол между прямыми ВЕ
и АС1.
Задание№8.
В правильной треугольной пирамиде МАВС с
вершиной М высота равна 3, а боковые ребра равны 6. Найдите площадь сечения
этой пирамиды плоскостью, проходящей через середины сторон АВ и АС параллельно
прямой МА.
Задание№9.
В правильной четырехугольной пирамиде АВСMT со
стороной основания АВ=4 и высотой ТО1=1. Найдите косинус угла между
прямыми ОТ и MK, где О и К - середины ребер АВ и ТС.
Задание№10.
В правильной треугольной призме ABCA1B1C1,
все ребра которой равны 1, точка D середина ребра A1B1.
Найдите тангенс угла между прямыми AD и BC1.
Вариант№6
Задание№1.
Даны координаты вершин пирамиды А1А2А3А4:
А1(-1;-3;0), А2(5;-6;-6),
А3(8;-5;-2), А4(0;-1;2). Найти:
)Длину ребра А1А2;
) Угол между ребрами А1А2
и А1А4;
) Угол между ребром А1А4 и
гранью А1А2А3;
) Площадь грани А1А2А3;
) Объем пирамиды.
Задание№2.
В правильной четырёхугольной пирамиде MABCD с
вершиной M стороны основания равны 6, а боковые рёбра равны 16. Найдите площадь
сечения пирамиды плоскостью, проходящей через точку B и середину ребра MD
параллельно прямой AC.
Задание№3.
Проверить, лежат ли точки A(2;-2;2), B(1;2;1),
C(2;3;0), D(5;0;-6) в одной плоскости.
Задание№4.
Точки A(-3;2;-3), B(4;4;4), C(6;6;1), E(5;4;t)
служат вершинами параллелепипеда, объем которого равен 36. Найти t.
Задание№5.
Дан параллелепипед ABCDA1B1C1D1
построенный на векторах
. Найти высоту,
проведенную из вершины A1 на грань ABCD.
Задание№6.
Ребро куба АBCDA1B1C1D1
равно
.
Найдите:
а) расстояние от вершины С до плоскости BDC1;
б) угол между диагональю
грани
и
плоскостью
Задание№7.
В прямоугольном параллелепипеде ABCDA1B1C1D1
,AB = 2, AD=AA1=1. Найдите угол между прямой АВ1 и
плоскостью АВС1.
Задание №8.
Точка Е - середина ребра АА1 куба
ABCDA1B1C1D1. Найдите площадь
сечения куба плоскостью C1DE, если ребра куба равны
.
Задание№9.
В правильной четырехугольной пирамиде ABCDS с
вершиной S боковое ребро АS вдвое больше стороны основания АВ. Найдите угол
между прямыми AS и BK, где К - точка пересечения медиан грани СDS.
Задание №10.
Длины всех ребер правильной четырехугольной
пирамиды SABCD равны между собой. Найдите угол между прямыми SН и ВМ, если
отрезок SН - высота пирамиды, точка М - середина ее бокового ребра АS.
Вариант 7
Задание №1.
Даны координаты вершин пирамиды А1А2А3А4:
А1(-3;-2;-1), А2(3;-5;-7),
А3(6;-4;-3), А4(-2;0;1). Найти:
)Длину ребра А1А2;
) Угол между ребрами А1А2
и А1А4;
) Угол между ребром А1А4 и
гранью А1А2А3;
) Площадь грани А1А2А3;
) Объем пирамиды.
Задание№2.
В прямоугольном параллелепипеде ABCDA1B1C1D1
ребро AB= 4, ребро AD=
, ребро АА1=6.
Точка К- середина ребра ВВ1. Найдите площадь сечения, проходящего
через точки A1,D1 и К.
Задание№3.
Даны три вершины параллелограмма А(-3;-2;-1),
B(3;-5;-7), C(6;-4;-3). Найти длину высоты, опущенной из вершины С (через
площадь параллелограмма).
Задание№4.
Точки А(-3;-2;-1), В(3;-5;-7), С(6;-4;-3),
D(-2;t;1) служат вершинами параллелепипеда, объем которого равен 64. Найти t.
Задание№5.
Докажите, что если точки пересечения медиан
треугольников ABC и А1В1С1 совпадают, то
прямые АА1, ВВ1 и СС1 параллельны некоторой
плоскости.
Задание№6.
Ребро куба АBCDA1B1C1D1
равно
.
Найдите:
а) расстояние от вершины С до плоскости BDC1;
б) угол между диагональю
грани
и
плоскостью
Задание№7.
На ребре СС1 куба ABCDA1B1C1D1
отмечена точка Е так, что СЕ:ЕС1=1:3. Найдите угол между прямыми ВЕ
и АС1.
Задание№8.
В прямоугольном параллелепипеде ABCDA1B1C1D1
AB=BC=
,
AA1=2
. Сечение
параллелепипеда проходит через точки B и D и образует с плоскостью ABC угол
=arctg
.
Найдите площадь сечения.
Задание№9.
Найдите площадь сечения правильной
четырехугольной пирамиды SАВСD плоскостью, параллельной апофеме SL боковой
грани SВС и медиане АМ боковой грани SАВ и проходящей через середину бокового
ребра SC, если сторона основания пирамиды равна 8, а расстояние от вершины
пирамиды до секущей плоскости равно 40/21.
Задание№10.
В кубе ABCDA1B1C1D1
точки E и K середины ребер соответственно A1B1 и B1C1.
Найдите косинус угла между прямыми AE и BK.
Вариант№9
Задание №1.
Даны координаты вершин пирамиды А1А2А3А4:
А1(-1;-4;-4), А2(12;-1;-13),
А3(6;-6;-7), А4(-16;1;1). Найти:
)Длину ребра А1А2;
) Угол между ребрами А1А2
и А1А4;
) Угол между ребром А1А4 и
гранью А1А2А3;
) Площадь грани А1А2А3;
) Объем пирамиды.
Задание №2.
Диагональ основания правильной четырехугольной
призмы равна 3
, а диагональ
призмы наклонена к плоскости основания под углом 30°. Найдите площадь сечения
призы, проходящего через сторону нижнего основания и противоположную сторону
верхнего основания.
Задание№3.
Даны координаты вершин параллелепипеда:
A(-1;-4;-4), B(12;-1;-13), C(6;-6;-7), D(-16;1;1). Найти объем параллелепипеда,
его высоту, опущенную из вершины С, угол между вектором AD и гранью, в которой
лежат векторы АВ и АС.
Задание №4.
Проверить, лежат ли в одной плоскости точки
A(2;6;2), B(0;1;3), C(3;0;3), D(4;4;5). Найти линейную зависимость вектора
,
если это возможно.
Задание №5.
Докажите, что если точки пересечения медиан
треугольников ABC и А1В1С1 совпадают, то
прямые АА1, ВВ1 и СС1 параллельны некоторой
плоскости.
Задание №6.
Ребро куба АBCDA1B1C1D1
равно
.
Найдите:
а) расстояние от вершины С до плоскости BDC1;
б) угол между диагональю
грани
и
плоскостью
Задание №7.
Задание №8.
В кубе ABCDA1B1C1D1
со стороной a точка K является серединой стороны верхнего основания B1C1,
точка L делит другую сторону C1D1 этого основания в
отношении 3:2, считая от вершины С1 , точка N является серединой
бокового ребра АА1. Найдите площадь сечения, проходящего через точки
К, L, N.
Задание№9.
В правильной треугольной призме ABCA1B1C1,
все ребра которой равны
, найдите косинус
угла между прямыми AB и CA1.
Задание №10.
В правильной прямоугольной призме ABCA1B1C1все
ребра которой равны
найдите квадрат
косинуса угла между прямыми АВ и А1С.
Вариант№10
Задание№1.
Даны координаты вершин пирамиды А1А2А3А4:
А1(2;2;5), А2(5;6;4), А3(3;2;2),
А4(4;0;2). Найти:
)Длину ребра А1А2;
) Угол между ребрами А1А2
и А1А4;
) Угол между ребром А1А4 и
гранью А1А2А3;
) Площадь грани А1А2А3;
) Объем пирамиды.
Задание№2.
В основании треугольной пирамиды SABC лежит
прямоугольный треугольник АВС. Середина D гипотенузы этого треугольника
является основанием высоты SD данной пирамиды. Известно, что SD=4, AC=6, BC=7.
Через середину высоты SD проведено сечение пирамиды плоскостью, параллельной
ребрам AC и SB. Найти площадь этого сечения.
Задание№3.
Даны три вершины параллелограммаA(4;4;3),
B(6;2;0), C(7;0;8). Найти длину высоты, опущенной из вершины С (через площадь
параллелограмма).
Задание №4.
Проверить, лежат ли в одной плоскости точки
А(2;4;5), В(5;0;1), С(2;2;-1), D(5;-4; 5). Найти линейную зависимость вектора
,
если это возможно.
Задание№5.
Дан параллелепипед ABCDA1B1C1D1
построенный на векторах
. Найти высоту,
проведенную из вершины A1 на грань ABCD.
Задание№6.
Ребро куба АBCDA1B1C1D1
равно
.
Найдите:
а) расстояние от вершины С до плоскости BDC1;
б) угол между диагональю
грани
и
плоскостью
Задание№7.
Основание пирамиды - прямоугольник со сторонами
12 и 18. Одно из боковых рёбер перпендикулярно плоскости основания и равно 4.
Найдите расстояние между этим ребром и скрещивающейся с ним диагональю
основания, а также боковую поверхность пирамиды.
Задание№8.
На ребре МВ правильной пирамиды МАВС взяты точка
К - середина этого ребра и точка L - середина отрезка ВК. Постройте сечение
пирамиды плоскостью, проходящей через точку L параллельно прямым КА и МС.
Найдите площадь полученного сечения, если сторона основания равна
,
а боковое ребро равно 4.
Задание №9.
В основании прямой призмы ABCDA1B1C1D1
лежит ромб ABCD со стороной и углом А, равным 45°. На ребрах AB, B1C1
и DC взяты соответственно точки E, F и K так, что AE=EB, B1F=FC1
и DK=3KC. Найдите косинус угла между плоскостями EFK и ABC, если высота призмы
равна 3.
Задание№10.
В правильной четырёхугольной призме ABCDA1B1C1D1
стороны основания равны 1 , а боковые ребра равны 7. На ребре AA1
отмечена точка E так, что AE:EA1=2:1. Найдите угол между плоскостями
ABC и BED1.
Вариант№11
Задание№1.
Даны координаты вершин пирамиды А1А2А3А4:
А1(1;-5;2), А2(2;-4;-2), А3(6;-3;-3),
А4(2;0;3). Найти:
)Длину ребра А1А2;
) Угол между ребрами А1А2
и А1А4;
) Угол между ребром А1А4 и
гранью А1А2А3;
) Площадь грани А1А2А3;
) Объем пирамиды.
Задание№2.
В параллелограмме ABCD даны векторы
Найти
площадь параллелограмма, построенного на диагоналях параллелограмма ABCD.
Задание№3.
Даны три вершины параллелограмма
.
Найти длину высоты, опущенной из вершины С (через площадь параллелограмма).
Задание№4.
Проверить, лежат ли в одной плоскости точки
Найти
линейную зависимость вектора
, если это
возможно.
Задание№5.
Докажите, что через данную точку можно провести
плоскость, параллельную двум данным скрещивающимся прямым, и притом только
одну.
Задание №6.
Ребро куба АBCDA1B1C1D1
равно
.
Найдите:
а) расстояние от вершины С до плоскости BDC1;
б) угол между диагональю
грани
и
плоскостью
Задание№7.
Найдите угол между скрещивающимися медианами
двух граней правильного тетраэдра.
Задание№8.
В прямоугольном параллелепипеде ABCDA1B1C1D1
AB=BC=
,
AA1=2
. Сечение
параллелепипеда проходит через точки B и D и образует с плоскостью ABC угол
=arctg
.
Найдите площадь сечения.
Задание№9.
Диаметр АС основания конуса равен образующей РА
этого конуса. Хорда основания ВС составляет угол 300. Найдите
косинус угла между прямыми АР и ВС.
Задание№10.
В правильной четырехугольной призме ABСDA1B1C1D1
стороны основания равны 3, а боковые ребра равны 6. На ребре АА1
отмечена точка Е так, что АЕ:ЕА1 = 4:3. Найдите угол между
плоскостями АВС и ВЕD1.
Вариант№12
Задание№1.
Даны координаты вершин пирамиды А1А2А3А4:
А1(-3;12;4), А2(4;-4-30),
А3(7;-2;7), А4(-2;13;4). Найти:
)Длину ребра А1А2;
) Угол между ребрами А1А2
и А1А4;
) Угол между ребром А1А4 и
гранью А1А2А3;
) Площадь грани А1А2А3;
) Объем пирамиды.
Задание№2.
В прямоугольном параллелепипеде ABCDA1B1C1D1
ребро AB=
, ребро AD=
,
ребро АА1=6. Точка К- середина ребра СС1. Найдите площадь
сечения, проходящего через точки A1,D1 и К.
Задание№3.
Точки A(-3;5;-3), B(0;1;10), C(0;6;3), E(5;3;t)
служат вершинами параллелепипеда, объем которого равен 36. Найти t.
Задание№4.
Проверить, лежат ли в одной плоскости точки
А(-7;3;5), B(2;0;-1), C(6;1;-1), D(-2;5;10) . Найти линейную зависимость
вектора
,
если это возможно.
Задание№5.
Дан параллелепипед ABCDA1B1C1D1
построенный на векторах
. Найти высоту,
проведенную из вершины A1 на грань ABCD.
Задание№6.
Ребро куба АBCDA1B1C1D1
равно
.
Найдите:
а) расстояние от вершины С до плоскости BDC1;
б) угол между диагональю
грани
и
плоскостью
Задание№7.
На ребре СС1 куба ABCDA1B1C1D1
отмечена точка Е так, что СЕ:ЕС1=2:4. Найдите угол между прямыми ВЕ
и АС1.
Задание№8.
В правильной треугольной пирамиде SАВС с
вершиной S высота равна 5, а боковые ребра равны 12. Найдите площадь сечения
этой пирамиды плоскостью, проходящей через середины сторон АВ и АС параллельно
прямой SА.
Задание№9.
В правильной четырехугольной пирамиде АВСMT со
стороной основания АВ=2 и высотой ТО1=1. Найдите косинус угла между
прямыми ОТ и MK, где О и К - середины ребер АВ и ТС.
Задание№10.
В правильной треугольной призме ABCA1B1C1,
все ребра которой равны 3, точка D середина ребра A1B1.
Найдите тангенс угла между прямыми AD и BC1.
Вариант№13
Задание№1.
Даны координаты вершин пирамиды А1А2А3А4:
А1(0;6;8), А2(6;3;2), А3(9;4;6),
А4(2;8;10). Найти:
)Длину ребра А1А2;
) Угол между ребрами А1А2
и А1А4;
) Угол между ребром А1А4 и
гранью А1А2А3;
) Площадь грани А1А2А3;
) Объем пирамиды.
Задание№2.
В прямоугольном параллелепипеде ABCDA1B1C1D1
ребро AB=
, ребро AD=
,
ребро АА1=2. Точка К- середина ребра ВВ1. Найдите площадь
сечения, проходящего через точки A1,D1 и К.
Задание№3.
Точки A(8;4;6), B(3;0;2), C(1;2;4), E(1;t;2)
служат вершинами параллелепипеда, объем которого равен 16. Найти t.
Задание№4.
Проверить, лежат ли в одной плоскости точки
А(3;2;3), B(3;-1;1), C(5;0;2), D(-4;3;5) Найти линейную зависимость вектора
,
если это возможно.
Задание№5.
Дан параллелепипед ABCDA1B1C1D1
построенный на векторах
. Найти высоту,
проведенную из вершины A1 на грань ABCD.
Задание№6.
Ребро куба АBCDA1B1C1D1
равно
.
Найдите:
а) расстояние от вершины С до плоскости BDC1;
б) угол между диагональю
грани
и
плоскостью
Задание№7.
На ребре СС1 куба ABCDA1B1C1D1
отмечена точка K так, что СЕ:ЕС1=3:2. Найдите угол между прямыми ВK
и АС1.
Задание№8.
В правильной треугольной пирамиде МАВС с вершиной
М высота равна 6, а боковые ребра равны 9. Найдите площадь сечения этой
пирамиды плоскостью, проходящей через середины сторон АВ и АС параллельно
прямой МА.
Задание№9.
В правильной четырехугольной пирамиде АВСMT со
стороной основания АВ=6 и высотой ТО1=2. Найдите косинус угла между
прямыми ОТ и MK, где О и К - середины ребер АВ и ТС.
Задание№10.
В правильной треугольной призме ABCA1B1C1,
все ребра которой равны
, точка D середина
ребра A1B1. Найдите тангенс угла между прямыми AD и BC1.
Вариант №14
Задание№1.
Даны координаты вершин пирамиды А1А2А3А4:
А1(2;-3;5), А2(0;-1;-2), А3(3;-4;-3),
А4(0;-2;3). Найти:
)Длину ребра А1А2;
) Угол между ребрами А1А2
и А1А4;
) Угол между ребром А1А4 и
гранью А1А2А3;
) Площадь грани А1А2А3;
) Объем пирамиды.
Задание№2.
В правильной четырёхугольной пирамиде MABCD с
вершиной M стороны основания равны
,
а боковые рёбра равны 8.Найдите площадь сечения пирамиды плоскостью, проходящей
через точку B и середину ребра MD параллельно прямой AC.
Задание№3.
Проверить, лежат ли точки A(2;5;0), B(3;2;4),
C(3;0;0), D(2;2;-2) в одной плоскости.
Задание№4.
Точки A(-3;2;-3), B(5;5;5), C(0;1;1), E(5;t;2)
служат вершинами параллелепипеда, объем которого равен 36. Найти t.
Задание№5.
Дан параллелепипед ABCDA1B1C1D1
построенный на векторах
. Найти высоту,
проведенную из вершины A1 на грань ABCD.
Задание№6.
Ребро куба АBCDA1B1C1D1
равно
.
Найдите:
а) расстояние от вершины С до плоскости BDC1;
б) угол между диагональю
грани
и
плоскостью
Задание№7.
В прямоугольном параллелепипеде ABCDA1B1C1D1
,AB =
,
AD=AA1=
. Найдите угол
между прямой АВ1 и плоскостью АВС1.
Задание №8.
Точка Е - середина ребра АА1 куба
ABCDA1B1C1D1. Найдите площадь
сечения куба плоскостью C1DE, если ребра куба равны
.
Задание№9.
В правильной четырехугольной пирамиде ABCDS с
вершиной S боковое ребро АS вдвое меньше стороны основания АВ. Найдите угол
между прямыми AS и BK, где К - точка пересечения медиан грани СDS.
Задание №10.
Длины всех ребер правильной четырехугольной
пирамиды SABCD равны
. Найдите угол
между прямыми SН и ВМ, если отрезок SН - высота пирамиды, точка М - середина ее
бокового ребра АS.
Вариант№15
Задание №1.
Даны координаты вершин пирамиды А1А2А3А4:
А1(-6;-4;-2), А2(1;-3;-5),
А3(4;-2;-1), А4(0;2;2). Найти:
)Длину ребра А1А2;
) Угол между ребрами А1А2
и А1А4;
) Угол между ребром А1А4 и
гранью А1А2А3;
) Площадь грани А1А2А3;
) Объем пирамиды.
Задание№2.
В прямоугольном параллелепипеде ABCDA1B1C1D1
ребро AB=
,
ребро AD=
, ребро АА1=
.
Точка К- середина ребра ВВ1. Найдите площадь сечения, проходящего
через точки A1,D1 и К.
Задание№3.
Даны три вершины параллелограмма А(-4;-1;0),
B(1;-3;-5), C(5;-2;-1). Найти длину высоты, опущенной из вершины С (через
площадь параллелограмма).
Задание№4.
Точки А(-0;-3;-1), В(5;-3;-1), С(5;-3;-5),
D(-6;t;2). служат вершинами параллелепипеда, объем которого равен 36. Найти t.
Задание№5.
Докажите, что если точки пересечения медиан
треугольников ABC и А1В1С1 совпадают, то
прямые АА1, ВВ1 и СС1 параллельны некоторой
плоскости.
Задание№6.
Ребро куба АBCDA1B1C1D1
равно
.
Найдите:
а) расстояние от вершины С до плоскости BDC1;
б) угол между диагональю
грани
и
плоскостью
Задание№7.
На ребре СС1 куба ABCDA1B1C1D1
отмечена точка Е так, что СЕ:ЕС1=4:6. Найдите угол между прямыми ВЕ
и АС1.
Задание№8.
В прямоугольном параллелепипеде ABCDA1B1C1D1
AB=BC=
,
AA1=3
. Сечение
параллелепипеда проходит через точки B и D и образует с плоскостью ABC угол
=arctg
.
Найдите площадь сечения.
Задание№9.
Найдите площадь сечения правильной
четырехугольной пирамиды SАВСD плоскостью, параллельной апофеме SL боковой
грани SВС и медиане АМ боковой грани SАВ и проходящей через середину бокового
ребра SC, если сторона основания пирамиды равна 4, а расстояние от вершины
пирамиды до секущей плоскости равно 30/11.
Задание№10.
В кубе ABCDA1B1C1D1
точки E и K середины ребер соответственно A1B1 и B1C1.
Найдите косинус угла между прямыми AE и BK.
Вариант№16
Задание №1.
Даны координаты вершин пирамиды А1А2А3А4:
А1(-2;0;-3), А2(8;-3;-5),
А3(4;-3;-4), А4(-10;0;2). Найти:
)Длину ребра А1А2;
) Угол между ребрами А1А2
и А1А4;
) Угол между ребром А1А4 и
гранью А1А2А3;
) Площадь грани А1А2А3;
) Объем пирамиды.
Задание №2.
Диагональ основания правильной четырехугольной
призмы равна
, а диагональ
призмы наклонена к плоскости основания под углом 45°. Найдите площадь сечения
призы, проходящего через сторону нижнего основания и противоположную сторону
верхнего основания.
Задание№3.
Даны координаты вершин параллелепипеда:
A(-0;-5;-3), B(5;-6;-10), C(7;-5;-3), D(-6;2;2). Найти объем параллелепипеда,
его высоту, опущенную из вершины С, угол между вектором AD и гранью, в которой
лежат векторы АВ и АС.
Задание №4.
Проверить, лежат ли в одной плоскости точки
A(6;4;1), B(5;2;7), C(3;7;0), D(0;2;1). Найти линейную зависимость вектора
,
если это возможно.
Задание №5.
Докажите, что если точки пересечения медиан
треугольников ABC и А1В1С1 совпадают, то прямые
АА1, ВВ1 и СС1 параллельны некоторой
плоскости.
Задание №6.
Ребро куба АBCDA1B1C1D1
равно
.
Найдите:
а) расстояние от вершины С до плоскости BDC1;
б) угол между диагональю
грани
и
плоскостью
Задание №7.
Найдите расстояние между скрещивающимися
диагоналями АВ1 и ВС1 смежных граней АА1В1В
и ВВ1С1С куба ABCDA1B1C1D1,
если ребро этого куба равно
.
Задание №8.
В кубе ABCDA1B1C1D1
со стороной a точка K является серединой стороны верхнего основания B1C1,
точка L делит другую сторону C1D1 этого основания в
отношении 4:3, считая от вершины С1 , точка N является серединой
бокового ребра АА1. Найдите площадь сечения, проходящего через точки
К, L, N.
Задание№9.
В правильной треугольной призме ABCA1B1C1,
все ребра которой равны
, найдите косинус
угла между прямыми AB и CA1.
Задание №10.
В правильной прямоугольной призме ABCA1B1C1все
ребра которой равны
найдите квадрат
косинуса угла между прямыми АВ и А1С.
Вариант№17
Задание№1.
Даны координаты вершин пирамиды А1А2А3А4:
А1(5;0;5), А2(7;6;3), А3(1;2;3),
А4(7;0;1). Найти:
)Длину ребра А1А2;
) Угол между ребрами А1А2
и А1А4;
) Угол между ребром А1А4 и
гранью А1А2А3;
) Площадь грани А1А2А3;
) Объем пирамиды.
Задание№2.
В основании треугольной пирамиды SABC лежит
прямоугольный треугольник АВС. Середина D гипотенузы этого треугольника
является основанием высоты SD данной пирамиды. Известно, что SD=2, AC=4, BC=9.
Через середину высоты SD проведено сечение пирамиды плоскостью, параллельной
ребрам AC и SB. Найти площадь этого сечения.
Задание№3.
Даны три вершины параллелограммаA(5;7;2),
B(8;3;0), C(6;0;3). Найти длину высоты, опущенной из вершины С (через площадь
параллелограмма).
Задание №4.
Проверить, лежат ли в одной плоскости точки
А(5;1;1), В(1;0;2), С(7;5;-1), D(1;-4; 1). Найти линейную зависимость вектора
,
если это возможно.
Задание№5.
Дан параллелепипед ABCDA1B1C1D1
построенный на векторах
. Найти высоту,
проведенную из вершины A1 на грань ABCD.
Задание№6.
Ребро куба АBCDA1B1C1D1
равно
.
Найдите:
а) расстояние от вершины С до плоскости BDC1;
б) угол между диагональю
грани
и
плоскостью
Задание№7.
Основание пирамиды - прямоугольник со сторонами
6 и 10. Одно из боковых рёбер перпендикулярно плоскости основания и равно 3.
Найдите расстояние между этим ребром и скрещивающейся с ним диагональю
основания, а также боковую поверхность пирамиды.
Задание№8.
На ребре МВ правильной пирамиды МАВС взяты точка
К - середина этого ребра и точка L - середина отрезка ВК. Постройте сечение
пирамиды плоскостью, проходящей через точку L параллельно прямым КА и МС.
Найдите площадь полученного сечения, если сторона основания равна
,
а боковое ребро равно 2.
Задание №9.
В основании прямой призмы ABCDA1B2C3D4
лежит ромб ABCD со стороной и углом А, равным 35°. На ребрах AB, B1C1
и DC взяты соответственно точки E, F и K так, что AE=EB, B1F=FC1
и DK=3KC. Найдите косинус угла между плоскостями EFK и ABC, если высота призмы
равна 8.
Задание№10.
В правильной четырёхугольной призме ABCDA1B1C1D1
стороны основания равны 2 , а боковые ребра равны 5. На ребре AA1
отмечена точка E так, что AE:EA1=3:1. Найдите угол между плоскостями
ABC и BED1.
Вариант№18
Даны координаты вершин пирамиды А1А2А3А4:
А1(6;-8;4), А2(5;-2;-8), А3(6;-9;-63),
А4(3;1;5). Найти:
)Длину ребра А1А2;
) Угол между ребрами А1А2
и А1А4;
) Угол между ребром А1А4 и
гранью А1А2А3;
) Площадь грани А1А2А3;
) Объем пирамиды.
Задание№2.
В параллелограмме ABCD даны векторы
Найти
площадь параллелограмма, построенного на диагоналях параллелограмма ABCD.
Задание№3.
Даны три вершины параллелограмма
.
Найти длину высоты, опущенной из вершины С (через площадь параллелограмма).
Задание№4.
Проверить, лежат ли в одной плоскости точки
Найти
линейную зависимость вектора
, если это
возможно.
Задание№5.
Докажите, что через данную точку можно провести
плоскость, параллельную двум данным скрещивающимся прямым, и притом только
одну.
Задание №6.
Ребро куба АBCDA1B1C1D1
равно
.
Найдите:
а) расстояние от вершины С до плоскости BDC1;
б) угол между диагональю
грани
и
плоскостью
Задание№7.
Найдите угол между скрещивающимися медианами
двух граней правильного тетраэдра.
Задание№8.
В прямоугольном параллелепипеде ABCDA1B1C1D1
AB=BC=
,
AA1=2
. Сечение
параллелепипеда проходит через точки B и D и образует с плоскостью ABC угол
=arctg
.
Найдите площадь сечения.
Задание№9.
Диаметр АС основания конуса равен образующей РА
этого конуса. Хорда основания ВС составляет угол 450. Найдите
косинус угла между прямыми АР и ВС.
Задание№10.
В правильной четырехугольной призме ABСDA1B1C1D1
стороны основания равны 8, а боковые ребра равны 12. На ребре АА1
отмечена точка Е так, что АЕ:ЕА1 = 6:3. Найдите угол между
плоскостями АВС и ВЕD1.
Вариант№19
Задание№1.
Даны координаты вершин пирамиды А1А2А3А4:
А1(-6;10;2), А2(2;-2-15),
А3(4;-1;4), А4(-1;3;2). Найти:
)Длину ребра А1А2;
) Угол между ребрами А1А2
и А1А4;
) Угол между ребром А1А4 и
гранью А1А2А3;
) Площадь грани А1А2А3;
) Объем пирамиды.
Задание№2.
В прямоугольном параллелепипеде ABCDA1B1C1D1
ребро AB=
, ребро AD=
,
ребро АА1=3. Точка К- середина ребра СС1. Найдите площадь
сечения, проходящего через точки A1,D1 и К.
Задание№3.
Точки A(-5;4;-8), B(0;2;5) C(1;6;3), E(4;3;t)
служат вершинами параллелепипеда, объем которого равен 36. Найти t.
Задание№4.
Проверить, лежат ли в одной плоскости точки
А(-6;7;8), B(2;5;-1), C(7;4;-1), D(-2;2;10) Найти линейную зависимость вектора
,
если это возможно.
Задание№5.
Дан параллелепипед ABCDA1B1C1D1
построенный на векторах
. Найти высоту,
проведенную из вершины A1 на грань ABCD.
Задание№6.
Ребро куба АBCDA1B1C1D1
равно
.
Найдите:
а) расстояние от вершины С до плоскости BDC1;
б) угол между диагональю
грани
и
плоскостью
Задание№7.
На ребре СС1 куба ABCDA1B1C1D1
отмечена точка Е так, что СЕ:ЕС1=2:2. Найдите угол между прямыми ВЕ
и АС1.
Задание№8.
В правильной треугольной пирамиде SАВС с
вершиной S высота равна 15, а боковые ребра равны 17. Найдите площадь сечения
этой пирамиды плоскостью, проходящей через середины сторон АВ и АС параллельно
прямой SА.
Задание№9.
В правильной четырехугольной пирамиде АВСMT со
стороной основания АВ=3 и высотой ТО1=5. Найдите косинус угла между
прямыми ОТ и MK, где О и К - середины ребер АВ и ТС.
Задание№10.
В правильной треугольной призме ABCA1B1C1,
все ребра которой равны a, точка D середина ребра A1B1.
Найдите тангенс угла между прямыми AD и BC1.
Вариант№20
Задание №1.
Даны координаты вершин пирамиды А1А2А3А4:
А1(8;2;0), А2(5;3;1), А3(9;0;3),
А4(2;4;1). Найти:
)Длину ребра А1А2;
) Угол между ребрами А1А2
и А1А4;
) Угол между ребром А1А4 и
гранью А1А2А3;
) Площадь грани А1А2А3;
) Объем пирамиды.
Задание №2.
В прямоугольном параллелепипеде ABCDA1B1C1D1
ребро AB= 12, ребро AD=3
, ребро АА1=3.
Точка К- середина ребра ВВ1. Найдите площадь сечения, проходящего
через точки A1,D1 и К.
Задание№3.
Даны координаты вершин параллелепипеда:A(5;1;4),
B(6;1;2), C(6;2;6), D(5;1;8). Найти объем параллелепипеда, его высоту,
опущенную из вершины С, угол между вектором AD и гранью, в которой лежат
векторы АВ и АС.
Задание №4.
Проверить, лежат ли в одной плоскости точки
A(-2;9;0), B(7;0;5), C(7;9;5), D(3;5;0). Найти линейную зависимость вектора
,
если это возможно.
Задание №5.
Докажите, что если точки пересечения медиан
треугольников ABC и А1В1С1 совпадают, то
прямые АА1, ВВ1 и СС1 параллельны некоторой
плоскости.
Задание №6.
Ребро куба АBCDA1B1C1D1
равно
.
Найдите:
а) расстояние от вершины С до плоскости BDC1;
б) угол между диагональю
грани
и
плоскостью
Задание №7.
Найдите расстояние между скрещивающимися
диагоналями АВ1 и ВС1 смежных граней АА1В1В
и ВВ1С1С куба ABCDA1B1C1D1,
если ребро этого куба равно
.
Задание №8.
В кубе ABCDA1B1C1D1
со стороной a точка K является серединой стороны верхнего основания B1C1,
точка L делит другую сторону C1D1 этого основания в
отношении 3:1, считая от вершины С1 , точка N является серединой
бокового ребра АА1. Найдите площадь сечения, проходящего через точки
К, L, N.
Задание№9.
В правильной треугольной призме ABCA1B1C1,
все ребра которой равны
, найдите косинус
угла между прямыми AB и CA1.
Задание №10.
В правильной прямоугольной призме ABCA1B1C1все
ребра которой равны
, найдите квадрат
косинуса угла между прямыми АВ и А1С.
Вариант№21
Задание №1.
Даны координаты вершин пирамиды А1А2А3А4
:1(7,9,2), A2(7,2,4), A3(0,-10,-8), A4(-7,2,-1).
Требуется найти:
) длину ребра А1А2;
) угол между ребрами А1А2
и А1А4;
) угол между ребром А1А4 и
гранью А1А2А3;
) площадь грани А1А2А3;
) объем пирамиды.
Задание №2.
Диагональ основания правильной четырехугольной
призмы равна a
, а диагональ
призмы наклонена к плоскости основания под углом 45°. Найдите площадь сечения
призы, проходящего через сторону нижнего основания и противоположную сторону
верхнего основания.
Задание №3.
Даны координаты вершин параллелепипеда:
A(2;5;9), В(2;6;5), С(2;-1;0), D(-1;3;2). Найти объем параллелепипеда, его
высоту, опущенную из вершины С, угол между вектором AD и гранью, в которой
лежат векторы АВ и АС.
Задание №4.
Проверить, лежат ли в одной плоскости точки
А(7;0;3), В(3;-3;5), С(2;3;-5), D(1;-4; 7). Найти линейную зависимость вектора
,
если это возможно.
Задание №5.
На двух скрещивающихся прямых отмечены по три
точки: A1, A2, A3 и B1, B2,
B3, причем A1A2=k⋅A1A3,
В1В2= k⋅В1В3.
Докажите, что прямые А1В1, А2В2, A3B3
параллельны некоторой плоскости.
Задание №6.
В кубе
,
ребро которого равно
, найдите:
а) расстояние от вершины
до плоскости
б) угол между диагональю
грани
и
плоскостью
Задание №7.
Дан куб ABCDA1B1C1D1
с длиной ребра AB=
. Найдите
расстояние между скрещивающимися диагоналями AC и А1В смежных граней
ABCD и AA1B1B.
Задание №8.
В правильной треугольной пирамиде SАВС с
вершиной S высота равна 7, а боковые ребра равны 9. Найдите площадь сечения
этой пирамиды плоскостью, проходящей через середины сторон АВ и АС параллельно
прямой SА.
Задание №9.
В правильной треугольной призме ABCA1B1C1,
все ребра которой равны 6, точка D середина ребра A1B1.
Найдите косинус угла между прямыми AD и BC1.
В правильной четырехугольной пирамиде SABCD с
вершиной S высота равна диагонали основания. Точка F лежит на середине ребра
SВ. Найдите квадрат тангенса между прямыми SD и АF.
Вариант№22
Задание№1.
Даны координаты вершин пирамиды А1А2А3А4:
А1(0;0;10), А2(10;18;9), А3(8;18;0),
А4(7;6;8). Найти:
)Длину ребра А1А2;
) Угол между ребрами А1А2
и А1А4;
) Угол между ребром А1А4 и
гранью А1А2А3;
) Площадь грани А1А2А3;
) Объем пирамиды.
Задание№2.
В основании треугольной пирамиды SABC лежит
прямоугольный треугольник АВС. Середина D гипотенузы этого треугольника
является основанием высоты SD данной пирамиды. Известно, что SD=8, AC=8, BC=9.
Через середину высоты SD проведено сечение пирамиды плоскостью, параллельной
ребрам AC и SB. Найти площадь этого сечения.
Задание№3.
Даны три вершины параллелограмма
,
,
.
Найти длину высоты, опущенной из вершины С (через площадь параллелограмма).
Задание №4.
Проверить, лежат ли в одной плоскости точки
А(9;3;3), В(0;-2;3), С(9;1;-4), D(4;-4; 11). Найти линейную зависимость вектора
,
если это возможно.
Задание№5.
Дан параллелепипед ABCDA1B1C1D1
построенный на векторах
. Найти высоту,
проведенную из вершины A1 на грань ABCD.
Задание№6.
Ребро куба АBCDA1B1C1D1
равно
.
Найдите:
а) расстояние от вершины С до плоскости BDC1;
б) угол между диагональю
грани
и
плоскостью
Задание№7.
Основание пирамиды - прямоугольник со сторонами
a и 8. Одно из боковых рёбер перпендикулярно плоскости основания и равно 6.
Найдите расстояние между этим ребром и скрещивающейся с ним диагональю
основания, а также боковую поверхность пирамиды.
Задание №8.
На ребре МВ правильной пирамиды МАВС взяты точка
К - середина этого ребра и точка L - середина отрезка ВК. Постройте сечение
пирамиды плоскостью, проходящей через точку L параллельно прямым КА и МС.
Найдите площадь полученного сечения, если сторона основания равна 3
,
а боковое ребро равно 5.
Задание №9.
В основании прямой призмы ABCDA1B1C2D1
лежит ромб ABCD со стороной и углом А, равным 36°. На ребрах AB, B1C1
и DC взяты соответственно точки E, F и K так, что AE=EB, B1F=FC1
и DK=3KC. Найдите косинус угла между плоскостями EFK и ABC, если высота призмы
равна 30.
Задание№10.
В правильной четырёхугольной призме ABCDA1B1C1D1
стороны основания равны 10 , а боковые ребра равны 15. На ребре AA1
отмечена точка E так, что AE:EA1=5:3. Найдите угол между плоскостями
ABC и BED1.
Вариант№23
Задание№1.
Даны координаты вершин пирамиды А1А2А3А4:
А1(7;-10;4), А2(8;-14;-3),
А3(7;-3;-2), А4(3;2;3). Найти:
)Длину ребра А1А2;
) Угол между ребрами А1А2
и А1А4;
) Угол между ребром А1А4 и
гранью А1А2А3;
) Площадь грани А1А2А3;
) Объем пирамиды.
Задание№2.
В параллелограмме ABCD даны векторы
Найти
площадь параллелограмма, построенного на диагоналях параллелограмма ABCD.
Задание№3.
Даны три вершины параллелограмма
.
Найти длину высоты, опущенной из вершины С (через площадь параллелограмма).
Задание№4.
Проверить, лежат ли в одной плоскости точки
Найти
линейную зависимость вектора
, если это
возможно.
Задание№5.
Докажите, что через данную точку можно провести
плоскость, параллельную двум данным скрещивающимся прямым, и притом только
одну.
Задание №6.
Ребро куба АBCDA1B1C1D1
равно
.
Найдите:
а) расстояние от вершины С до плоскости BDC1;
б) угол между диагональю
грани
и
плоскостью
Задание№7.
Найдите угол между скрещивающимися медианами
двух граней правильного тетраэдра.
Задание№8.
В прямоугольном параллелепипеде ABCDA1B1C1D1
AB=BC=
,
AA1=2
. Сечение
параллелепипеда проходит через точки B и D и образует с плоскостью ABC угол
=arctg
.
Найдите площадь сечения.
Задание№9.
Диаметр АС основания конуса равен образующей РА
этого конуса. Хорда основания ВС составляет угол 250. Найдите
косинус угла между прямыми АР и ВС.
Задание№10.
В правильной четырехугольной призме ABСDA1B1C1D1
стороны основания равны a, а боковые ребра равны 3. На ребре АА1
отмечена точка Е так, что АЕ:ЕА1 = 4:2. Найдите угол между
плоскостями АВС и ВЕD1.
Вариант24
Задание№1.
Даны координаты вершин пирамиды А1А2А3А4:
А1(-7;2;4), А2(2;-5;-6), А3(2;-0;4),
А4(-5;1;0). Найти:
)Длину ребра А1А2;
) Угол между ребрами А1А2
и А1А4;
) Угол между ребром А1А4 и
гранью А1А2А3;
) Площадь грани А1А2А3;
) Объем пирамиды.
Задание№2.
В прямоугольном параллелепипеде ABCDA1B1C1D1
ребро AB= 4, ребро AD=
, ребро АА1=4.
Точка К- середина ребра ВВ1. Найдите площадь сечения, проходящего
через точки A1,D1 и К.
Задание№3.
Точки A(0;7;0), B(2;6;3), C(4;7;0), E(t;7;1)
служат вершинами параллелепипеда, объем которого равен 16. Найти t.
Задание№4.
Проверить, лежат ли в одной плоскости точки
А(-4;0;2), B(3;-4;-1), C(3;0;1), D(-5;2;5) . Найти линейную зависимость вектора
,
если это возможно.
Задание№5.
Дан параллелепипед ABCDA1B1C1D1
построенный на векторах
. Найти высоту,
проведенную из вершины A1 на грань ABCD.
Задание№6.
Ребро куба АBCDA1B1C1D1
равно
.
Найдите:
а) расстояние от вершины С до плоскости BDC1;
б) угол между диагональю
грани
и
плоскостью
Задание№7.
На ребре СС1 куба ABCDA1B1C1D1
отмечена точка Е так, что СЕ:ЕС1=2:3. Найдите угол между прямыми ВЕ
и АС1.
Задание№8.
В правильной треугольной пирамиде МАВС с
вершиной М высота равна a, а боковые ребра равны 9. Найдите площадь сечения
этой пирамиды плоскостью, проходящей через середины сторон АВ и АС параллельно
прямой МА.
Задание№9.
В правильной четырехугольной пирамиде АВСMT со
стороной основания АВ=1 и высотой ТО1=
.
Найдите косинус угла между прямыми ОТ и MK, где О и К - середины ребер АВ и ТС.
Задание№10.
В правильной треугольной призме ABCA1B1C1,
все ребра которой равны
, точка D середина
ребра A1B1. Найдите тангенс угла между прямыми AD и BC1.
Вариант№25
Задание№1.
Даны координаты вершин пирамиды А1А2А3А4:
А1(1;-5;2), А2(2;-4;-2), А3(6;-3;-3),
А4(2;0;3). Найти:
)Длину ребра А1А2;
) Угол между ребрами А1А2
и А1А4;
) Угол между ребром А1А4 и
гранью А1А2А3;
) Площадь грани А1А2А3;
) Объем пирамиды.
Задание№2.
В параллелограмме ABCD даны векторы
Найти
площадь параллелограмма, построенного на диагоналях параллелограмма ABCD.
Задание№3.
Даны три вершины параллелограмма
.
Найти длину высоты, опущенной из вершины С (через площадь параллелограмма).
Задание№4.
Проверить, лежат ли в одной плоскости точки
Найти
линейную зависимость вектора
, если это
возможно.
Задание№5.
Докажите, что через данную точку можно провести
плоскость, параллельную двум данным скрещивающимся прямым, и притом только
одну.
Задание №6.
Ребро куба АBCDA1B1C1D1
равно
.
Найдите:
а) расстояние от вершины С до плоскости BDC1;
б) угол между диагональю
грани
и
плоскостью
Задание№7.
Найдите угол между скрещивающимися медианами
двух граней правильного тетраэдра.
Задание№8.
В прямоугольном параллелепипеде ABCDA1B1C1D1
AB=BC=
,
AA1=2
. Сечение
параллелепипеда проходит через точки B и D и образует с плоскостью ABC угол
=arctg
.
Найдите площадь сечения.
Задание№9.
Диаметр АС основания конуса равен образующей РА
этого конуса. Хорда основания ВС составляет угол 300. Найдите
косинус угла между прямыми АР и ВС.
Задание№10.
В правильной четырехугольной призме ABСDA1B1C1D1
стороны основания равны 3, а боковые ребра равны 6. На ребре АА1
отмечена точка Е так, что АЕ:ЕА1 = 4:3. Найдите угол между плоскостями
АВС и ВЕD1.