Разработка биотехнической системы инфракрасной диафаноскопии мягких тканей пародонта

  • Вид работы:
    Курсовая работа (т)
  • Предмет:
    Медицина, физкультура, здравоохранение
  • Язык:
    Русский
    ,
    Формат файла:
    MS Word
    1,06 Мб
  • Опубликовано:
    2015-05-21
Вы можете узнать стоимость помощи в написании студенческой работы.
Помощь в написании работы, которую точно примут!

Разработка биотехнической системы инфракрасной диафаноскопии мягких тканей пародонта













"Теория биотехнических систем"

Разработка биотехнической системы инфракрасной диафаноскопии мягких тканей пародонта

Оглавление

Введение

1. Анализ возможности применения метода ИК диафаноскопии для оценки состояния мягких тканей пародонта

1.1 Строение и функции пародонта

1.2 Заболевания пародонта

1.3 Стадии воспаления

2. Разработка фантома мягких тканей пародонта

3. Экспериментальные исследования оптических характеристик мягких тканей пародонта с использованием фантома

4. Разработка БТС инфракрасной диафаноскопии

4.1 Виды диагностики полости рта

4.1.1 Наблюдение труднодоступных участков с использованием интраоральной камеры

4.1.2 Ультразвуковая диагностика и внутриротовая сонография

4.1.3 Реодонтография

4.1.4 Проба Шиллера-Писарева

4.1.5 ИК диафаноскопия

5. Разработка оптической принципиальной схемы проецирующей оптической системы осветителя

Выводы

Литература

инфракрасный диафаноскопия пародонт интраоральный

Введение


Заболевания пародонта - одна из актуальных проблем в стоматологии. Резкое увеличение распространения заболеваний пародонта, потеря большого количества зубов (больше чем при любом другом заболевании зубочелюстной системы), нарушение акта жевания и речи, влияние на общее состояние организма и снижение качества жизни человека заставляют рассматривать заболевания пародонта как специальный раздел стоматологической науки, а проблемы становятся не только общемедицинскими, но и социальными.

Приведем некоторые статистические данные.

По данным ВОЗ 2005 года результаты обследования населения 53 стран следующие: высокий уровень заболевания пародонта в возрастной группе 15-19 лет (55-99%), в группе 35-44 года (65-98%), в группе 40-50 лет до 80%. [1]

В 2011 году в нашей стране были проведены статистические исследования в области воспалительных заболеваний полости рта у населения. В результате выяснилось, что 92% граждан больны кариесом, среди детей - это 86,75%. И 99% населения страдает пародонтом и пародонтозом. Профилактика, проводимая стоматологами, находится на высшем уровне. К сожалению, общий уровень культуры личной гигиены не так высок. На лечение зубов и десен тратится около 10% из средств, выделяемых на здравоохранение в разных странах. [2]

В 2012 году в КУ "Алчевская городская поликлиника №1" было проведено лечение слизистой оболочки рта 252 человек, полное снятие зубных отложений 733 человек, профилактические меры 318 человек. [3]

В 2013 году там же данные были 348, 1279 и 320, соответственно. [3]

1. Анализ возможности применения метода ИК диафаноскопии для оценки состояния мягких тканей пародонта

 

.1 Строение и функции пародонта


Пародонт - околозубные ткани, основная функция которых состоит в том, чтобы удержать зуб в альвеоле. Все ткани пародонта связаны между собой, поэтому любые изменения в функционировании того или иного элемента неизбежно оказывают влияние на функционирование других элементов. [4]

Рис.1. - Строение пародонта.

Строение пародонта имеет свои особенности. В состав пародонта входят: десна; альвеолярный отросток челюсти; периодонт; цемент.

Десна представляет собой мягкие ткани, которые покрывают часть зубного корня, защищая его от воздействия внешней среды. В основе десны - коллагеновые волокна, которые принимают активное участие в функциональности зубочелюстного аппарата. Мягкие ткани десны покрыты сверху эпителием, который обладает отличными регенерирующими свойствами. [4] Альвеолярный отросток - анатомическая часть челюсти, несущая на себе зубы. Имеются как на верхней, так и на нижней челюсти. Различают собственно альвеолярную кость и поддерживающую альвеолярную кость с компактным и губчатым веществом. [4]

Периодонт - комплекс тканей, находящихся в щелевидном пространстве между цементом корня зуба и пластинкой альвеолы. Его средняя ширина составляет 0,20-0,25 мм. Наиболее узкий участок периодонта находится в средней части корня зуба, а вапикальном и маргинальном отделах его ширина несколько больше. [4]

Цемент - специфическая костная ткань, покрывающая корень и шейку зуба. Служит для плотного закрепления зуба в костной альвеоле. Цемент состоит на 68-70 %. [4]

Функции пародонта весьма разнообразны, а основные функции: опорно-удерживающая; амортизирующая; трофическая; барьерная; рефлекторная; пластическая.

На данный момент патогенез заболеваний пародонта окончательно так и не установлен. Известно, что на разных этапах развития пародонтологии на первое место выдвигались такие причины возникновения заболеваний пародонта, как общие заболевания организма, наличие зубной бляшки, наличие большого количества агрессивных вредоносных бактерий во рту пациента. [4]

Частота выявления и степень выраженности изменений пародонта обратно пропорциональны уровню жизни населения и гигиены полости рта. Имеются сведения, что чаще более тяжелое течение заболеваний пародонта встречается у мужчин, а ювенильный пародонтит - у девушек.

Современными исследованиями установлено, что расовое или этническое происхождение больного не влияет на степень тяжести и частоту заболеваний пародонта; большее влияние имеют характер и режим питания, социальное положение. [4]

 


1.2 Заболевания пародонта


Самыми распространенными заболеваниями пародонта являются воспалительные.

Пародонтит иначе воспалительное заболевание тканей пародонта, характеризующееся прогрессирующим разрушением нормальной структуры альвеолярного отростка челюсти (ранняя стадия гингивита). [4][5] Гингивит - воспаление десны, обусловленное неблагоприятным воздействием местных и общих факторов и протекающее без нарушения целости зубодесневого соединения.

Различают 4 вида гингивита.

Катаральный гингивит: жалобы при таком гингивите сводятся в основном к болезненности при чистке зубов и кровоточивости десен. Краевая десна, межзубные десневые сосочки немного увеличены в размерах за счет отека, а также имеют красную или синюшную окраску. На зубах визуально можно обнаружить скопления мягкого зубного налета и твердых зубных отложений.

Язвенно-некротический гингивит: десна покрыта белесоватым или желтоватым налетом, имеются участки изъязвления десны, десневые сосочки некротизированы. Также больные жалуются на высокую температуру (38-39 градусов), потерю аппетита, головные боли, гнилостный запах изо рта, боли в деснах, кровоточивость десен.

Гипертрофический гингивит: Это хронический тип воспаления десны, при котором отмечается разрастание (увеличение объема) десны. Наиболее частой локализацией гипертрофического гингивита является десневой край в области передней поверхности верхних и нижних зубов.

Атрофический гингивит: характеризуется атрофией десневых сосочков и десневого края без наличия каких-либо воспалительных изменений в десне, что позволяет рассматривать эту форму гингивита как начало пародонтоза. [4][5] Пародонтоз - это дистрофическое заболевание тканей окружающих зуб, при котором происходит склероз и атрофия краевой десны, костной ткани, волокон периодонта, прикрепляющих зуб к кости. Пародонтоз захватывает сразу все зубы. [4][5] Пародонтомы - опухоли и опухолевидные процессы в пародонте. [4][5]

 

.3 Стадии воспаления


Воспаление - сложная местная реакция организма на повреждение, которая направлена на уничтожение повреждающего фактора и восстановление поврежденных тканей. Существует 5 признаков воспаления: краснота, опухоль тканей, жар, боль и нарушение функций. Биологический же смысл воспаления в ограничении, ликвидации очага повреждения и вызвавших его факторов и восстановлении гомеостаза. [6]

Причины возникновения воспаления можно разделить на экзогенные (внешние) и эндогенные (внутренние).

Экзогенный фактор - микрофлора, образующая бактериальный налет на поверхности зуба.

Эндогенный фактор - травмы, предрасположенность, уже существующие заболевания (сахарный диабет, например).

В стадии первичного повреждения, развивающегося в мягких тканях, наблюдается воспаление сосудов. Это разрушающе действует на коллагеновые волокна в соединительных тканях десны. В этой стадии развивается привлечение к очагу повреждения продуцирующих медиаторов.

В следующей стадии раннего повреждения снижается количество коллагена в эпителии и попадание лимфоцитов в соединительную ткань десны. [6]

При развившемся повреждении воспаленные клетки накапливаются между сосудами и коллагеновыми волокнами. В поврежденной же области происходит потеря коллагена. [6]

При тяжелом воспалении уже эпителий проникает в соединительную ткань. Воспаление проникает в основном в губчатое вещество альвеолярной кости. [6]

Дальнейшее воспаление происходит в твердых тканях: лейкоциты проникают в костный мозг - необратимые изменения структуры твердых тканей - потеря зубов.

На всех этапах воспаления происходят изменения оптических свойств тканей полости рта. [7]

Определить оптические свойства биотканей (а именно полости рта) можно, опираясь на вещества-хромофоры, хорошо поглощающие свет в ультрафиолетовом диапазоне длин волн. Для тканей это гемоглобин, оксигемоглобин, вода, коллаген (состоит из фибрилл, толщинами 50-100 нм, сам коллаген 1-3 мкм, фибриллы чередуются полосами 64-70 нм), меланин.

Рис. 2. - Спектр поглощения воды. [8]

Воспаление характеризуется увеличением концентрации оксигемоглобина в очаге воспаления, так как пораженным тканям требуется меньше кислорода и уменьшается отток венозной крови. [6]

Оксигемоглобин поглощается на 405 нм, второй пик поглощения 545-575 нм - то есть видимый и ближний ИК диапазон. Это приводит к увеличению коэффициента поглощения.

Рис. 3. - Спектры поглощения гемоглобина (Hb) и оксигемоглобина (HbO2). [8]

Меланин содержится в малых дозах. Он образуется в меланоцитах, имеющих нейральное происхождение и располагающихся в различных слоях эпидермиса. Гистологические наблюдения большинства исследователей показали, что поверхность слизистой оболочки представлена многослойным плоским эпителием, и имеется определенное сходство в строении эпителия слизистой оболочки полости рта и эпидермиса кожи, что позволяет опираться на известные параметры кожи. Выработка меланина активируется при клеточном замещении, при курении и при злоупотреблении загаром. [9] Частицы меланина, присутствующие в эпидермисе всего 30 нм, сам эпидермис около 100 мкм. Согласно исследованиям Моссэ И. Б. (Институт генетики и цитологии НАН Беларуси, Минск), Жаворонкова Л. П. (Медицинский радиологический научный центр РАН, Обнинск, Россия) меланин является уникальной основой средства профилактики генетических и онтогенетических последствий облучения. Меланин один из основных биологических поглотителей. Коэффициент поглощения меланина монотонно возрастает по всему видимому диапазону спектра с уменьшением длины волны. [10]

Рис. 4. - Спектр поглощения меланина. [8]

При длине волны более 1500 нм спектр поглощения кожи (эпидермиса) определяется спектром поглощения воды.

Табл. 1. - Значения коэффициентов поглощения, рассеяния и анизотропия для эпидермиса.

λ, нм

μа, см-1

μ s, см-1

337

120

12000

0,72

488

50

600

0,76

577

19

480

0,787

633

35

450

0,8

800

40

420

0,85


Рис.5.- Стадии развития воспалительных процессов в пародонте.

Табл. 2. - Признаки воспаления.

 Стадии Изменения

Первичное повреждение

Раннее повреждение

Развившееся повреждение

Тяжелое повреждение

Функциональные изменения

Воспаление сосудов; разрушение коллагена

Воспаление сосудов; разрушение коллагена; инфильтрация лимфоцитов в соединительные ткани десны

Накопление воспаленных клеток между сосудами и коллагеном; потери коллагена в поврежденной области

Проникновение эпителия в соединительную ткань; воспаление альвеолярной кости

Изменение оптических свойств

Увеличение коэффициента поглощения

Увеличение коэффициента поглощения

Увеличение коэффициента поглощения

Увеличение коэффициента поглощения


Основываясь на рассмотренных признаках воспаления тканей пародонта можно заметить, что по мере развития воспалительного процесса происходит изменение концентрации веществ-хромофоров, что обуславливает изменение оптических свойств тканей. Следовательно, существует возможность применения оптических методов для диагностики мягких тканей в полости рта.

2. Разработка фантома мягких тканей пародонта


Биологические ткани - оптически неоднородные поглощающие среды. Средний показатель преломления больше, чем у воздуха, поэтому на границе раздела БО - воздух часть излучения проникает в ткань, а часть - отражается. Основной источник рассеяния в биотканях - разные значения показателей преломления составляющих этих тканей. Например: между внутренней жидкостью и соединительной тканью. Отсюда следует, что модель слоистая.

Все биоткани можно разделить на группы (по оптическим свойствам): 1. сильно рассеивающие (кожа, мышцы, мозг, кровь, сосуд, хрящ, кость); 2. слабо рассеивающие (хрусталик, роговица).

Рассеянное излучение несет информацию о размерах, формах структурных элементов биотканей.

Мягкие ткани образованы группами клеток, которые объединяет волокнистая матрица. Четко выраженных границ под микроскопом выявить не удается. Ткань можно представить в виде непрерывной структуры с различными коэффициентами преломления.

Слизистая оболочка ротовой полости образована многослойным плоским эпителием, располагающимся на базальной мембране, и собственной пластинкой слизистой оболочки, которую формирует рыхлая волокнистая соединительная ткань. Собственная пластинка слизистой оболочки без резкой границы переходит в подслизистую основу. [11][12].

Четыре независимых макроскопических параметра характеризуют распространение излучения в ткани: параметр анизотропии рассеяния g, коэффициент поглощения ma, коэффициент рассеяния ms, показатель преломления n. Перечисленные оптические параметры содержат информацию как о биохимических свойствах, так и морфологических, структурных и функциональных особенностях ткани.

Большинство тканей имеют в своем составе клеточные и субклеточные структуры, которые близко расположены друг к другу. Простейшая модель биологической ткани, дающая приемлемое количественное описание оптических свойств в достаточно широком диапазоне длин волн, может быть представлена в виде монодисперсной системы невзаимодействующих отдельных частиц .Основными компонентами биоткани являются

относительно крупные частицы. При очень малых плотностях упаковки имеет место некогерентное рассеяние независимыми частицами. [13]

На основе сочетания теории многократного рассеяния с представлением ткани как набор рассеивающих частиц можно сделать вывод, что больше всего под нашу модель подходит некогерентное многократное рассеивание.

Рис. 6. - Схема физической модели.

В качестве физической модели, описывающей распространение ИК-волн, можно выбрать 2% раствор интралипида, который имитирует оптические свойства эпидермиса в ближнем ИК-диапазоне. Интралипид - жировая эмульсия для внутреннего питания, в состав 500 мл которой входят 11,25 г глицерина, 6 г лецитина, 50 г соевого масла, 430,5 г воды. Разброс частиц масла находится в диапазоне от 25 нм до 675 нм с размером 97 нм.

Оптические свойства интралипида следующие: коэффициент поглощения μа=0,002 мм-1 (как и для воды, т.е. нет поглощения), коэффициент рассеяния μs=5,16 мм-1, анизотропия рассеяния g=0,6244. Все эти параметры очень близки реальным, на основе которых ниже приведено математическое моделирование.

Схема, с помощью которой можно представить моделирующую установку представлена на рис. 7.

Рис. 7. - Схема установки.

В качестве источника импульсов - лазерный диод - полупроводниковый лазер, построенный на базе диода. Его работа основана на возникновении инверсии населенности в области p-n перехода при инжекции носителей заряда. Длина волны таких диодов находится в диапазоне 635-980 нм, мощность не менее 4 Вт, температурный диапазон от -10 до 40 ˚С. [15]

Т.к. проводить различные эксперименты на живых тканях затруднительно, то модель должна быть как можно ближе к реальным тканям. Поэтому разработанный фантом должен отвечать геометрическим и оптическим свойствам мягких тканей пародонта.

3. Экспериментальные исследования оптических характеристик мягких тканей пародонта с использованием фантома


Проведем математическое моделирование, цель которого получить зависимость контраста поглощающей области от длины волны. В нашем случае - поглощающая область - это воспаленная область. На рис. 6 схематично представлена ИК диагностика.

Рис. 8. - Схематичное представление диагностики (1 - слизистая оболочка 0.375 мм, 2 - эпителий 0,275 мм, 3 - область воспаления).

Запишем формулу контраста , где Imax() - максимальная интенсивность, а Imin() - минимальная:

 (3.1)

Вместо параметра интенсивности будем использовать коэффициент пропускания:

 (3.2)

 - прошедшее излучение,  - падающее излучение.

 -  и  - , соответственно.

Выведем формулу для .

Рис. 9. - Схематичное изображение хода луча для расчет Imax.

Значение  - коэффициент анизотропии

 (3.4)

Для интенсивности в рассеивающей области (именно так ведет себя здоровая мягкая ткань полости рта) формула:

 (3.5)

 - поток, проходящий сквозь область, S - площадь области (условно круга).

 (3.6)

Значение  выбираем произвольно, а  найдем из геометрических соображений.

Вывод для  проведен на геометрических основаниях и формула следующая:

 (3.7)

Выведем формулу для .

Рис. 10. - Схематичное изображение хода луча для расчет Imin.

 (3.8)

 находится в поглощающей области (воспаленной). Выведем формулу для , использовав закон Бугера- Ламберта-Бера (l - длина свободного пробега фотона)

 (3.9)

 (3.10)

 (3.11)

 (3.12)

 (3.13)

Тогда

 (3.14)

Проведем расчет в среде MathCad.

Для упрощения расчета введены новые переменные:

ρ=μs(λ), k=l, , .


Рис. 11. - Зависимость контраста от длины волны.

Из расчета видно, что максимум контраста приходится на длину волны 1100 нм, это означает, что на данной длине волны лучше всего будут просматриваться мягкие ткани пародонта.

4. Разработка БТС инфракрасной диафаноскопии

 

.1 Виды диагностики полости рта


Диагностика любой болезни представляет весьма сложную систему сопоставления различных логических методов и умозаключений. Цель диагностического процесса - выявление заболевания, особенностей его течения. Методы исследования больных принято подразделять на основные и вспомогательные. Основные методы не связаны с применением различного рода лабораторных и инструментальных методов. В клинической пародонтологии к основным методам исследования относят:

расспрос больного (выяснение жалоб, сбор анамнеза);

пальпация регионарных лимфатических узлов;

осмотр полости рта;

пальпацию десен;

определение подвижности зубов;

исследование клинических карманов;

перкуссия.

Вспомогательные методы позволяют выявить особенности действия этиологических факторов, уточнить различные аспекты патогенеза, изучить эффект применяемых лекарственных препаратов. Благодаря этому, практикующий врач при работе опирается уже на известные данные о том или ином патологическом процессе.

Далеко не все известные в стоматологии вспомогательные методы подходят для диагностики мягких тканей пародонта. Например, рентген способен оценить лишь твердые ткани, такие как челюстно-лицевые кости, расположение зуба, все тело зуба. Поэтому рассмотрим вспомогательные методы исследования, применяемые в пародонтологии.

Рис. 12. - Стоматологический рентгеновский снимок.

 

.1.1 Наблюдение труднодоступных участков с использованием интраоральной камеры

Следующий вид диагностики проходит с использованием интраоральной камеры. Это аналогично осмотру полости рта врачом. То, что снимает камера, врач видит на мониторе компьютера. Это необходимо для более детального осмотра (есть возможность фотографирования изображения и последующей работы с ним), из-за небольших размеров, камера может проникать в те места, которые недоступны невооруженному глазу врача. С помощью камеры можно оценить состояние десны, слизистой полости рта. То есть информация о воспалении мягких тканей доступна, но стадия болезни развитая. Камера позволяет лучше разглядеть полость рта, т.к. иногда пациент не может слишком широко раскрыть рот или же необходимо ближе рассмотреть десны, ткани пародонта и т.д.. Осмотр десны позволяет определить: вид воспаления, характер его течения, распространенность, тяжесть. Могут быть увеличены десневые сосочки за счет их отека, при этом они прикрывают значительную часть зуба. [11] Здоровая слизистая оболочка полости рта имеет бледно-розовый цвет (более интенсивный в области щек, губ, переходных складок и более бледный - на деснах), хорошо увлажнена, на ней нет отека и элементов высыпаний. При заболеваниях слизистой оболочки полости рта она становится гиперемированной, отечной, может появиться кровоточивость, элементы высыпаний, что свидетельствует о вовлечении ее в воспалительный процесс.

Рис. 13. - БТС камеры (видимый диапазон).

ПК - персональный компьютер

БОв - биообъект врач

БОп - биообъект пациент

Следующая схема показывает взаимодействие врача, пациента и камеры. Для камеры так же требуется безопасное питание. Врач держит камеру, которая представлена источником света и оптической системой, в руках, направляя ее на интересующую область в ротовой полости пациента. Камера передает изображения на монитор ПК в режиме реального времени, можно производить запись процедуры, для дополнительной диагностики заинтересовавшей части десны или слизистой оболочки. По средствам программного обеспечения эти изображения можно сохранять и проводить с ними различные необходимые действия. Так как камера с подсветкой, то врач может получить необходимую информацию, осматривая лишь мягкие ткани, без дополнительных исследований на ПК. Для данной диагностики не требуется никакой подготовки. Недостаток этого метода в том, что диагностируют не раннюю стадию воспаления.

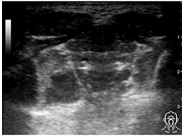
.1.2 Ультразвуковая диагностика и внутриротовая сонография

Благодаря хорошему распространению ультразвука в мягких тканях человека и простоты использования, ультразвук широко применяется для визуализации внутренних органов человека. Для диагностики полости рта выделяют 2 вида исследования, основное различие которых в способе контактирования датчика с человеком.

Рассмотрим исследование, которое называется ультразвуковая диагностика. В данном случае датчик контактирует с шеей или подбородком пациента. А диагностика проходитк в В-режиме (двухмерные серошкальные изображения анатомических структур в реальном времени). Для лучшей визуализации просматривали боковые отделы шеи при повороте головы. Данный метод подходит для выявления заболевания подъязычных желез, кист, воспаления лимф. Недостатки этого метода в том, что исследование происходит в поверхностных слоях, на малой глубине.

Рис. 14. - Киста правой подъязычной слюнной железы (В-режим: в проекции полюса правой подъязычной слюнной железы определяется жидкостное образование с ровными и четкими контурами).

Следующее исследование - внутриротовая сонография. Здесь ультразвуковое сканирование происходит внутри полости рта пациента, непосредственно датчик соприкасается с исследуемым участком. Режим сканирования - так же В-режим. Данный метод позволяет оценить скорость кровотока, основанный на импульсно-волновой доплерографии. Следовательно, косвенно можно обнаружить опухоль или воспаление. [16]

Рис. 15. - Артериовенозная гемангиома подъязычной области посттравмического характера (внутриротовая сонография).

Рис. 16. - БТС УЗД/внутриротовая сонографии.

ПО - программное обеспечение

БОв - биообъект врач

БОп - биообъект пациент

Схема показывает взаимодействие врача, пациента и ультразвукового аппарата. Питание, которое оснащено блоком предохранения, питает генератор ультразвука. Волны, отвечающие необходимым условиям, по средствам контактирующего датчика посылает сигнал пациенту. Врач же управляет датчиком, а результат видит на мониторе прибора, который так же оснащен специальным ПО.

Эхосигнал от генератора ультразвука доходит до пациента, встречает препятствие в виде различных тканей, это явление называется импеданс. Достигнув границы двух сред с различным импедансом, пучок ультразвуковых волн претерпевает различные изменения: часть продолжает распространятся в новой среде, поглощаясь ею, другая часть - отражается. Чем больше отражение, тем больше амплитуда зарегистрированного сигнала, значит, он будет светлее и ярче на экране. Сигнал на ПК поступает в виде изображения срезов объекта, которые имеют различные оттенки черного и белого цветов.

Для ультразвуковой диагностики не нужно никаких специальных подготовок.

В настоящее время не выявлено явных побочных эффектов.

И данная диагностика позволяет обнаруживать повреждения в твердых, мягких тканях, есть возможность определить скорость кровотока.

 

.1.3 Реодонтография

Реодонтография - метод исследования функции кровообращения, основанный на регистрации изменений сопротивления живых тканей проходящему через них электрическому току высокой частоты. Реодонтография позволяет оценить как состояние сосудистой стенки - эластичность, тонус, степень повреждения, органические и функциональные изменения, так и кровообращение тканей пародонта. Для реодонтографии используют двухканальный четырехэлектродный реоплетизмограф или четырехканальный реоплетизмограф.

В основе метода лежит измерение полного импеданса ткани и его изменения при колебании кровенаполнения органов. Переменный ток высокой частоты относительно хорошо проводится к глубоко расположенным тканям. Значения импеданса рассчитываются с помощью специального программного обеспечения на персональном компьютере, с помощью которого так же происходит управление всей системой.

Для оценки функционального состояния сосудов пародонта записывают реограмму пальца кисти и измеряют артериальное давление. Сравнение результатов дает представление о тонусе и эластичности сосудов пародонта. При анализе реопародонтограммы учитывают в первую очередь форму кривой, инцизуру и выраженные дополнительные волны. Реографический индекс (РИ) вычисляют путем деления амплитуды реографической волны в миллиметрах на высоту стандартного калибровочного сигнала РИ (частные амплитуды от деления реографической волны на калибровочный сигнал). Среднее значение реографического индекса у здоровых людей колеблется от 0,21 до 0,23 Ом, при воспалении в пародонте значение РИ уменьшается. [17]

Рис. 17. - БТС реодонтографа.

ПК - персональный компьютер

БОп - биообъект пациент

Эта схема показывает взаимодействие врача, пациента и реоднотографа. На пациента накладываются токовые и измерительные электроды (снимают напряжение). Врач контролирует величину подаваемого тока, фиксируя показания измерительных электродов. Для оценки реографической кривой после измерительных электродов сигнал попадает аналоговую, а затем на цифровую часть прибора. После этого врач может заключить диагноз, видя результат на мониторе ПК. Или назначить дополнительные исследования. В качестве подготовки к диагностике можно выделить обработку области в полости рта для наложения электродов. Область необходимо сделать сухой и нанести специальный гель, и только после этого накладывать электроды. Этот метод появился, когда в стоматологии появилась необходимость исследования кровообращения в десне и пародонте для диагностики и изучения патогенеза пародонта, пульпитов, кариеса и т.д. Но изучение электрического импеданса пульпы зуба трудно из-за высокого сопротивления (около 1000 Ом) твердых тканей зуба (эмали, дентина), в толще которых располагается пульпа. [17]

Реопародонтография позволяет определить нарушение в микроциркуляторном русле пародонта, изменение тканевого метаболизма.

Рис. 18. - Пример реопародонтограммы.

 

.1.4 Проба Шиллера-Писарева

Пробу Шиллера-Писарева применяют для определения интенсивности воспаления десны. Проба основана на выявлении содержания гликогена в десне, содержание которого повышается при воспалении из-за отсутствия кератинизации (обеспечение защитной функции кожного покрова от внешних воздействий) эпителия. Десну смазывают раствором, состав которого: 1 г йода кристаллического, 2 г калия йода и 40 мл дистиллированной воды. Здоровая десна окрашивается в желтоватый цвет. При хроническом воспалении - коричневый цвет. В зависимости от степени воспаления цвет десны варьируется от светло-коричневого до темно-бурого цвета. Для объективности пробу можно выразить количественно: оценить окраску сосочков - 2 балла, окраску края десны - 4 балла, окраску альвеолярной десны - 8 баллов. Полученную сумму баллов необходимо разделить на количество зубов, в области которых проводят исследование (обычно это 6 зубов). Оценка значений: до 2,3 баллов - слабо выражено воспаление, от 2,677 до 5 баллов - умеренно выраженное воспаление, от 5,33 до 8 баллов - интенсивное воспаление. [6]

Данный метод позволяет определить симптомы хронического воспаления десен. Проба предварительной подготовки не требует.

Побочных действий после этого вида диагностики не наблюдалось.

 

.1.5 ИК диафаноскопия

Все вышеприведенные виды диагностики либо не могут обнаружить воспаление мягких тканей, либо воспаление прошло стадию первичного повреждения.

Поэтому следующий вид диагностики может определять воспаление тканей пародонта на ранней стадии - инфракрасная диафаноскопия.

Диафаноскопия - просвечивание узким пучком света околокожных образований.

Этот метод диагностики проводят в затемненном помещении со специальным источником света (в данном случае - лазерный диод, так как необходимо излучение инфракрасного диапазона). Прибор вводят полость рта пациента, излучение проходит сквозь мягкие ткани пародонта. Здоровая ткань будет рассеивать излучение и иметь красноватый цвет. Воспаленные же области не смогут просвечивать, а будут лишь поглощать излучение, соответственно, при диагностике врач будет видеть темные участки в области поражения. Так как прибор находится в полости рта, то его размеры должны быть невелики, прибор должен быть водостойким и устойчивым к температуре 37±0,5 ˚С.

Рис. 19. - БТС диафаноскопа.

БОв - биообъект врач

БОп - биообъект пациент

Последняя схема показывает взаимодействие врача, пациента и диафаноскопа. Перед началом процедуры врач запускает источник ИК излучения, который испускает пучок света (излучения). Далее пучок проходит оптическую систему, которая включает в себя линзы, диафрагмы и зеркало, чтобы создать узкий направленный пучок света. С полостью рта контактирует медико-биологическое стекло. Вся конструкция водостойка. Врач вводит в полость рта диафаноскоп так, что излучение проходит сквозь ткани, просвечивает (без нагрева) необходимый участок полости рта, и может видеть неравномерную освещенность. Области, которые поглощают излучения - образованы более плотными тканями. [18] Что и позволяет сделать предположение о наличии ранней стадии воспаления. Именно это позволяет предполагать наличие заболеваний. Чаще всего так можно оценить болезни пародонта.

Возможные заболевания пародонта подробно описаны выше.

Попробуем свести все в таблицу.

Табл. 3. - Соотношения видов диагностики с возможными заключениями.

 Вид диагностики Параметр

Интраоральная камера

Ультразвуковая диагностика/ Внутренняя сонография

Реодонтография

Проба Шиллера-Писарева

ИК диафаноскопия

Опухоли

+

+

+

+

+

Воспаления желез

+

+

+

-/+

+

Воспаления лимф

+

+

+

-/+

+

Воспаления мягких тканей пародонта

+

+

+

+

+

Наличие кист

+

+

+

-

+

Сосуды (кровообращение)

-

+

+

-

+/-

Сосуды (эластичность, тонус)

-

-

+

-

-

Пародонтит

-/+

-/+

+

+

Гингивит

-/+

-/+

-/+

+

+

Пародонтоз

-/+

-/+

-/+

+

+

Пародонтом

-/+

-/+

-/+

+

+

Облучение

-

-

+/-

-

-

Засвеченные области

-

-

-

-

-

Наложение одной ткани на другую

+

+

-

-

-

Поражение тканей эл. током

-/+

-/+

+

-

-

Нагрев тканей

-

-

-/+

-

-

Размер всего аппарата


300х290х100 мм

500х400х200 мм

100х150х100 мм


Размер контактирующей части


∅25 мм; 200 мм

10-2 м2

10 мм


Масса аппарата


8 кг

9 кг

0.5 кг


Время диагностики


7 мин.

3 мин.

3 мин.

7 мин.


Таблица 3 отображает возможности обнаружения заболеваний полости рта и заболеваний пародонта с помощью вспомогательных методов диагностики мягких тканей. Так же приведены данные о вредных воздействиях каждого метода. И технические характеристики.

Табл. 4. - Сравнение видов диагностики.

Этап обследования

Информация

Опрос больного

Выяснение наличия возможных этиологических факторов, особенности течения патологического процесса и анализ эффективности раннего лечения

Пальпация лимфатических узлов

Оценка размеров узлов, консистенции, подвижности, болезненности

Основной метод

Осмотр полости рта

Оценка цвета десны, консистенции, контура, расположение десневого края, кровоточивость. Взаимоотношение зубов, наличие назубных отложений, степень стертости коронок, качество пломб, определение прикуса

Пальпация десен

Оценка консистенции, болезненности, кровоточивости

Определение подвижности зубов

Смещение зуба в вестибулярном направлении не более 1 мм, в вестибулярном и медиодистальным более 1-2 мм, смещение зуба во всех направления

Исследование клинических карманов

Выявление назубных отложений, оценка состояния поверхности корня зуба, измерение глубины пародонтальных карманов

Перкуссия

Определение состояния пародонта при помощи постукивания по зубу вдоль оси зуба или в боковом направлении

Интраоральная камера

Получаемая информация аналогична осмотру полости рта

Вспомогательный метод

Проба Шиллера-Писарева

Обнаружение воспаления мягких тканей

ИК диафаноскопия

Обнаружение начальной стадии воспаления мягких тканей

Таблица 4 показывает, какую информацию получает врач от каждого метода и конкретного этапа обследования. В вспомогательные методы вынесены лишь те из рассмотренных выше, которые используются для диагностирования лишь мягких тканей пародонта.

5. Разработка оптической принципиальной схемы проецирующей оптической системы осветителя


Методика расчета проецирующей оптической системы для ИК области спектра аналогична методу расчета проецирующей оптической системы (далее просто система) для видимой области спектра. Такая система состоит из р одиночных сферических линз, разделенных воздушным пространством.

Проведем габаритный и светоэнергетический расчеты. [19] А именно, определим фокусное расстояние, апертуру, мощность излучения.

Нам известны размер проецирующего пятна d=1 мм, размер излучающей области y=30 мм, регистрация объекта будет происходить с расстояния L=50 мм.

Определим апертуру системы:

 (5.1)

Теперь необходимо найти заднее фокусное расстояние системы:

 (5.2)

 - расстояние от оси системы до изображения в плоскости изображений

 (5.3)

 (5.4)

Найдем освещенность в плоскости приемника излучения , учитывая: коэффициент отражения ρпасп=0,7 и диафрагменного числа Fпасп=1,4,

 (5.5)

 (5.6)

 (5.7)

 (5.8)

 (5.9)

Для Fраб=0,11:

 (5.10)

Сделаем пересчет:

 (5.11)

Тогда

 

 (5.12)

Учитывая полученные значения и то, что , найдем весь поток, падающий на систему:

 (5.13)

Выразим мощность источника через телесный угол Ω и весь поток излучения, попадающий на систему:

 (5.14)

Предположим, что источник излучения находится на расстоянии L=0,05 м от системы. Тогда телесный угол будет равен:

 (5.15)

Тогда:

 (5.16)

Определим мощность выходного источника:

 (5.17)

 (5.18)

Именно такая мощность необходима для создания нужной длины волны.

Сохранять свою функциональность прибор должен, не смотря на перепады температуры окружающей среды.

Основные параметры:

o   расстояние до объекта 50 мм

o   расстояние до изображения 50 мм

o   фокусное расстояние 1,61 мм

o   основная длина волны - ИК диапазон 1100 нм

Конструктивные элементы:

o   количество элементов 5

o   используемые материалы К8, ТФ10, ТК21

Воздействие окружающей среды:

o   температурный диапазон хранения - (-20)-(+30)˚С

o   влагоустойчивость - должен быть устойчив

Источник излучения:

o   тип источника - лазерный диод

Основываясь на выше приведенных расчетах для оптической схемы можно подобрать лазерный диод с длиной волны 1100 нм и мощностью 113,696 Вт. И больше всего удовлетворяет этим требованиям мощный одномодовый лазерный диод на основе квантворазмерных гетероструктур InGaAs/AlGaAs, легированных углеродом.

Выводы


По мере развития воспалительного процесса происходит изменение оптико-физических свойств тканей, что делает возможным применение оптического метода инфракрасной диафаноскопии для обнаружения области воспаления мягких тканей пародонта. Но прежде чем эта методика станет широко применяемой необходимо провести исследования. Для этого существуют физическое и математическое моделирование.

Для разработки фантома мягких тканей пародонта (физическое моделирование) необходимо подбирать геометрические (толщины слоев, из которых состоит пародонт, размер воспаленной области) и оптические (параметр анизотропии рассеяния g, коэффициент поглощения ma, коэффициент рассеяния ms) параметры как можно ближе к реальным тканям.

Математическое моделирование основывается на расчете контраста поглощающей области в зависимости от длины волны. В ходе моделирования был получен результат, который показывает, что из исследуемого диапазона длин волн (800-1200 нм) максимальное значение контраста приходится на 1100 нм.

Разработка биотехнической системы диагностики воспалительных заболеваний мягких тканей пародонта показала, что существует не так много методик выявления воспалений в принципе, но еще меньше на ранних стадиях воспаления. И инфракрасная диафаноскопия просто необходима для диагностирования на начальных этапах заболевания.

Проведенные габаритный и светоэнергетический расчеты показали, что разработанная проецирующая оптическая система осветителя является удовлетворительной для исследований в области ближнего ИК диапазона.

Литература


.        Краевой центр ПАРОДОНТОЛОГИИ. - URL: http://parodent.net

.        Дентал Ньюз. - URL: http://www.dentalnew.ru

.        Алчевськ. - URL: http://www.al.lg.ua/ua/soc

.        Данилевский Н.Ф., Борисенко А.В., Заболевания пародонта // К.: Здоров’я, 2000. - 464 с.: ил. ISBN 5-311-011874

.        Безрукова И.В., Грудянов А.И., Агрессивные формы пародонта // М.: МИА, 2000. - 127 с.: ил.

.        Цепов Л.Н., Николаев А.И., Михеева Е.А., Диагностика, лечение и профилактика заболеваний пародонта // М.: МЕДпресс-информ, 2008. - 272 с.: ил.

.        Симоненко Г.В., Тучин В.В. // Оптические свойства биологических тканей // СГУ, 2007. - 48 с.

.        Пушкарева А.Е., Методы математического моделирования в оптике биотканей // Спб.: ИТМО, 2008. - 103 с.

.        Здоровьеinfo. - URL.: http://www.zdorovieinfo.ru

.        Башкатов А.Н., Управление оптическими свойствами биотканей при воздействии на них осматически активными иммерсионными жидкостями // СГУ, 2002

.        Сообщество студентов Кировской ГМА. - URL.: http://www.vmede.org

12.    Meduniver гистология. - URL.: http://www.meduniver.com

.        Тучин В.В., Волоконная оптика в биомедицине // 477 с.

.        Попов А.П., Лазерная диагностика сильнорассеивающих сред и изменение их оптических свойств путем имплантации наночастиц // МГУ, 2006

15.    Cobra-Optics. - URL.: http://www.scitc.ru/ru

16.    Выклюк М.В., Сибирский медицинский журнал, выпуск 3-2, том 25 // Томск, 2010

.        Полищук В.И., Терехова Л.Г., Техника и методика реографии и реопетизмографии // М.: Медицина, 1983. - 176 с.: ил.

.        Все о зрении. - URL.: http://www.zreni.ru

.        Заказнов Н.П., Кирюшин С.И., Кузичев В.И., Теория оптических систем // М.: Машиностроение, 1992. - 448 с.: ил. ISBN 5-217-01995-6

Похожие работы на - Разработка биотехнической системы инфракрасной диафаноскопии мягких тканей пародонта

 

Не нашли материал для своей работы?
Поможем написать уникальную работу
Без плагиата!
Без нейросетей!