Определение функции Ляпунова и реализация в Matlab

  • Вид работы:
    Реферат
  • Предмет:
    Математика
  • Язык:
    Русский
    ,
    Формат файла:
    MS Word
    126,14 Кб
  • Опубликовано:
    2014-10-24
Вы можете узнать стоимость помощи в написании студенческой работы.
Помощь в написании работы, которую точно примут!

Определение функции Ляпунова и реализация в Matlab

Министерство образований и науки Республики Казахстан

Евразийский национальный университет им. Л.Н. Гумилева

Факультет информационных технологий

Кафедра системного анализа и управления

Реферат

Тема: Определение функции Ляпунова и реализация в Matlab


Выполнила:

студентка группы АБ -35к

Асқарова А.С.

Проверила:

преподаватель Ермекбаева Ж.Ж.



г. Астана 2014 год

Содержание

. Определение функции Ляпунова

. Теоремы об устойчивости

. Теоремы о неустойчивости

. Методический пример

1. Определение функции Ляпунова

 

Функция Ляпунова представляет собой скалярную функцию, заданную на фазовом пространстве системы, с помощью которой можно доказать устойчивость положения равновесия. Метод функций Ляпунова применяется для исследования устойчивости различных дифференциальных уравнений и систем. Ниже мы ограничимся рассмотрением автономных систем


имеющих нулевое положение равновесия X ≡ 0.

Предположим, что в некоторой окрестности U начала координат задана непрерывно дифференцируемая функция


Пусть V(X) > 0 для всех XU \{0}, а в начале координат V(0) = 0. Такими функциями являются, например, функции вида


Найдем полную производную функции V(X) по времени t:


Это выражение можно записать в виде скалярного произведения двух векторов:


Здесь первый вектор представляет собой градиент функции V(X), т.е. он всегда направлен в сторону наибольшего возрастания функции V(X). Как правило, функция V(X) возрастает при удалении от начала координат, т.е. при условии |X| → ∞. Второй вектор в скалярном произведении − это вектор скорости движения. В любой точке он направлен по касательной к фазовой траектории.

Рассмотрим случай, когда производная функции V(X) в окрестности U начала координат отрицательна:


Это означает, что угол φ между вектором градиента и вектором скорости больше 90°. Для функции двух переменных это схематически показано на рисунках 1 и 2.


Очевидно, что если производная dV/dt вдоль фазовой траектории всюду отрицательная, то траектория движения стремится к началу координат, т.е. система является устойчивой. В противном случае, когда производная dV/dt положительна, траектория стремится от начала координат, т.е. система является неустойчивой.

Перейдем к строгим формулировкам.

Функция V(X), непрерывно дифференцируемая в некоторой окрестности U начала координат, называется функцией Ляпунова автономной системы


если выполнены следующие условия:

 

2. Теоремы об устойчивости

дифференциальный уравнение matlab алгоритм

Теорема об устойчивости в смысле Ляпунова. Если в некоторой окрестности U нулевого решения X = 0 автономной системы существует функция Ляпунова V(X), то положение равновесия X = 0 является устойчивым по Ляпунову.

Теорема об асимптотической устойчивости. Если в некоторой окрестности U нулевого решения X = 0 автономной системы существует функция Ляпунова V(X) с отрицательно определенной производной dV/dt <0 для всех XU \{0}, то положение равновесия X =0 является асимптотически устойчивым.

Как видно, для асимптотической устойчивости нулевого решения требуется, чтобы полная производная dV/dt была строго отрицательной (отрицательно определенной) в окрестности начала координат.

 

3. Теоремы о неустойчивости

Теорема Ляпунова о неустойчивости. Пусть в окрестности U нулевого решения X = 0 существует непрерывно дифференцируемая функция V(X), такая, что

1.   V(0) = 0;

2.      dV/dt > 0.

Если в окрестности U имеются точки, в которых V(X) > 0, то нулевое решение X = 0 является неустойчивым.

Теорема Четаева о неустойчивости. Пусть в окрестности U нулевого решения X = 0 автономной системы существует непрерывно дифференцируемая функция V(X). Пусть окрестность U содержит подобласть U1, включающую начало координат (рис.3), такую, что

1.   V(X) > 0 для всех XU1\{0};

2.      dV/dt > 0 для всех XU1\{0};

3.      V(X) = 0 для всех XδU1,

где δU1 обозначает границу подобласти U1.

Тогда нулевое решение X = 0 системы неустойчиво. В этом случае фазовые траектории в подобласти U1 будут стремиться от начала координат.

Таким образом, функции Ляпунова позволяют установить устойчивость или неустойчивость системы. Преимуществом данного метода является то, что здесь не требуется знать само решение X(t). Кроме того, данный метод позволяет исследовать устойчивость положений равновесия негрубых систем, − например, в случае, когда точка равновесия является центром. Недостаток заключается в том, что не существует общего метода построения функций Ляпунова. В частном случае однородных автономных систем с постоянными коэффициентами функцию Ляпунова можно искать в виде квадратичной формы.

 

Пример 1

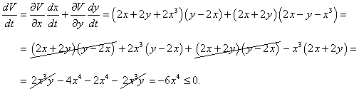
Исследовать на устойчивость нулевое решение нелинейной системы

 

Решение.

Очевидно, что якобиан данной системы в точке (0,0) представляет собой нулевую матрицу:


Собственные значения этой матрицы равны нулю: λ1,2 = 0. Поэтому метод исследования устойчивости по первому приближению неприменим.



которая является положительно определенной всюду, кроме начала координат. Вычислим полную производную:


Здесь снова, как и в предыдущем примере, производная тождественно равна нулю. Это значит, что нулевое решение системы устойчиво (в смысле Ляпунова).

Пример 2

Исследовать на устойчивость нулевое решение системы, используя метод функций Ляпунова:

 

Решение.

В качестве возможной функции Ляпунова выберем функцию вида


Очевидно, эта функция является положительно определенной всюду, кроме начала координат, где она равна нулю. Вычислим ее производную (в силу данной системы):


Как видно, производная является отрицательно определенной всюду, кроме точки (0,0). Тогда нулевое решение будет асимптотически устойчивым.

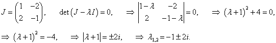
Используя метод первого приближения, можно убедиться, что нулевое положение равновесия представляет собой устойчивый фокус. Действительно, собственные значения линеаризованной системы являются комплексно-сопряженными числами с отрицательной действительной частью:

. Методический пример

Задана система управления, описываемая конечно-разностными уравнениями в пространстве состояний

x(k+1) = A(k) x(k) + B(k) u(k), (),


и известна матрица K, определяющая закон управления

u = Kx,

.

. Зададим матрицы, определяющие систему:


. Определим решение уравнения Ляпунова


. Произведем расчет главных миноров


По критерию Сильвестра решение не является положительно-определенной матрицей, следовательно, система не является асимптотически устойчивой. График свободного движения системы при начальных условиях  показан на рис. 4.1 и 4.2.

Рис. 4.1. x1(k).

Рис. 4.2. x2(k).

. Аналогично можно определить свойство асимптотической устойчивости в управляемой системе.


По критерию Сильвестра решение дискретного уравнения Ляпунова не является положительно-определенной матрицей, следовательно, система не является асимптотически устойчивой.

. Приведем текст script-файла для определения устойчивости матрицы X на основе использования метода Раусса-Гурвица.

получение коэффициентов характеристического полинома

= poly(X);

определение размерности

[L, N] =size(lm);

создание матрицы с нулевыми значениями

=zeros(N, N);

заполнение нечетных строк матрицы Гурвица


заполнение четных строк матрицы Гурвица


вычисление главных миноров


вывод результатов


Результат вычисления показывает, что система управления не является асимптотически устойчивой. График динамики управляемой системы при начальных условиях  показан на рис. 4.3 и 4.4.

Рис. 4.3. x1(k).

Рис. 4.4.. x2(k).

Полученные графики динамики системы иллюстрируют полученный аналитический результат о неустойчивости системы.

Похожие работы на - Определение функции Ляпунова и реализация в Matlab

 

Не нашли материал для своей работы?
Поможем написать уникальную работу
Без плагиата!
Без нейросетей!