Нестационарное уравнение Риккати
МИНИСТЕРСТВО ОБРАЗОВАНИЯ РЕСПУБЛИКИ
БЕЛАРУСЬ
Учреждениеобразования
«Гомельский
государственный университет имени Франциска Скорины»
Математический факультет
Кафедра дифференциальных уравнений и
теории функций
Курсовая работа
Нестационарное уравнение Риккати
Исполнитель:
студентка группы М-31 Шевченко О.В.
Гомель 2014
Содержание
Введение
§1. Уравнение Риккати
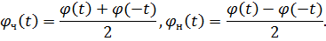
§2. Отражающая функция
§3. Отражающая функция уравнения Риккати
§4. Построение отражающей функции для одного стационарного
уравнения Риккати
§5. Построение рациональных уравнений, которые имеют такую же
отражающую функцию, как и некоторое уравнение Риккати
Заключение
Список использованной литературы
Введение
Большинство дифференциальных уравнений нельзя проинтегрировать не только
в элементарных функциях, но и в квадратурах. Поэтому есть необходимость
исследовать свойство решения дифференциальных уравнений непосредственно по
самому уравнению. С этими целями было разработано много методов. Одним из таких
методов является метод отражающей функции.
В данной работе для уравнения вида:
построим отражающую функцию.
§1.
Уравнение Риккати
.Общее
уравнение Риккати имеет вид:

, (1.1)
где
P, Q, R-непрерывные функции от xпри изменении x в
интервале 
Уравнение
(1.1) заключает в себе как частные случаи уже рассмотренные нами уравнения :
при 
получаем
линейное уравнение, при 
-уравнение
Бернулли.
Уравнение
Риккати сохраняет свой вид при следующих преобразованиях переменных.
1) Произвольное преобразование независимого переменного:
(
-
). В
самом деле, производя в уравнении (1.1) эту замену переменного, получим опять
уравнение Риккати:
2) Произвольное дробно-линейное преобразование зависимой переменной:
где
α, β, γ, δ -
произвольные дифференцируемые функции отx,
удовлетворяющие условию 
в
рассматриваемом интервале. В самом деле, дифференцируя, получаем:
Подстановка
же в правую часть уравнения (1.1) дает дробь с тем же знаменателем и с
квадратным многочленом по 
в
числители. Очевидно, получается уравнение типа Риккати.
Этими
преобразованиями можно воспользоваться для приведения уравнения к наиболее
простому (каноническому) виду.
)
Коэффициент при квадрате зависимой переменной можно сделать равным 
. Для
этого в уравнении (1.1) произведем (линейную) замену искомой функции:
где

- пока
неизвестная функция. Подставляя в уравнение (1.1), получаем:
или
Если
теперь взять 
, то
уравнение примет вид:
(Замена
годиться для интервала изменения 
, в
котором 
не
обращается в нуль.)
)
Не изменяя коэффициент при квадрате зависимого переменного, можно коэффициент
при первой степени зависимого переменного сделать равным 0. Для этого уравнения
введем в уравнение (1.1) новое зависимое переменное 
подстановкой:
Тогда преобразование уравнение будет:
Достаточно
выбрать 
, чтобы
получить коэффициент при 
равным
0. Комбинируя обе подстановки, мы всегда можем привести уравнение Риккати к
виду:

(1.1)
.
Как уже упомянуто, решение уравнения Риккати не сводится, вообще говоря, к
квадратурам. Но имеет место теорема:
Если
известно одно частное решение уравнения Риккати, полное решение получается
двумя квадратурами.
В
самом деле, пусть известно частное решение уравнения (1.1) есть 
т.е. мы
имеем тождественно:
(1.2)
Делаем
замену зависимой переменной:
где
z - новая искомая функция, получаем:
или,
в силу тождества (1.2),
Получилось
уравнение Бернулли, которое, как мы видели, интегрируется двумя квадратурами.
Для приведения уравнения (2) к линейному следует положить 
, откуда 
;
уравнение (линейное) для u будет:
(1.3)
Его
общий интеграл имеет вид:
где

и 
-
некоторые функции от 
; отсюда
мы выводим форму общего решения уравнения (1.1):
Итак, общее решение уравнения Риккати есть дробно-линейная функция от
произвольной постоянной.
Покажем, что и обратно, если общее решение уравнения есть дробно-линейная
функция от произвольной постоянной, то соответствующее дифференциальное
уравнение есть уравнение Риккати. Действительно, пусть общее решение
дифференциального уравнения есть

или
т.е.
мы, действительно, получили уравнения типа Риккати.
Если
известны два частных решения уравнения Риккати, то общее решение находится
одной квадратурой. В самом деле, если, кроме решения 
известно
второе решение 
то для
уравнения (1.3) известно одно частное решение 
а в
таком случае мы знаем, что решение его требует одной квадратуры.
Наконец,
если известны три частных решения уравнения Риккати, то общее решение находится
без квадратур. Пусть эти три решения уравнения (1.1) суть 
как и в
предыдущем случае, убеждаемся в том, что уравнение (1.3) имеет два известных
частных решения: 
и 
в таком
случае общее решение уравнения (1.3) напишется так:
или,
заменяя 
его со
значением 
перенося
первый член правой части влево, умножая обе части на 
и
разрешая относительно 
Это
и есть общий интеграл уравнения Риккати.
Заметим,
что если вместо 
подставить
какое-нибудь четвертое частное решение 
, то
получим:
т.е.
ангармоническое отношение любых четырех частных решений уравнения Риккати равно
постоянному.
.
Уравнение Риккати специальное есть частный случай уравнения (1.1); оно имеет
вид:
(1.4)
где

и α- постоянные; для определенности мы будем
рассматривать интервал изменения для 
Легко
усмотреть два случая, когда это уравнение интегрируется в элементарных
функциях.
1) α=0;
тогда
переменные разделяются:
2) α=-2;уравнение имеет вид:
Сделаем в (1.5) замену зависимого переменного:
Преобразование уравнения будет:
Получилось однородное уравнение; оно интегрируется в квадратурах.
Примечание. К виду (1.5) приводится более общее уравнение:

разобранной
выше подстановкой, уничтожающей член с 
в первой
степени.
Кроме

существует
еще бесконечное множество других значений 
, при
которых уравнение Риккати (1.4) интегрируется в элементарных функциях. Для
нахождения этих значений, преобразуя в уравнении (1.4) зависимое переменное
линейной подстановкой:
подберем
функции 
так,
чтобы преобразованное уравнение не содержало члена с первой степенью искомой
функции и чтобы свободный член не изменялся. Имеем:
Поставленные
условия дают два уравнения для определения 
После
этого из первого уравнения получаем:
(частное
решение).
Искомая
подстановка имеет вид: 
,и
преобразованное уравнение напишется так:
Далее, делаем подстановку (дробно-линейную):
при
этом 
связан с

соотношением:
новое
уравнение будет:
Деля
обе части на
преобразуем, наконец, независимое переменное так,
чтобы член с
имел постоянный коэффициент:
Очевидно,
что для приведения уравнения к виду (1.4) достаточно положить:
(1.7)
и
мы получаем окончательно:
(1.8)
Это
есть уравнение вида (1.4), где новые коэффициенты имеют значение 
и
показатель α заменился через 
Последнюю
дробно-линейную подстановку, связывающую α и 
,
приводим к следующему «каноническому виду»:
Применяя
к уравнению (1.8) с новыми 
те же
преобразования (1.6),(1.7), придем опять к уравнению того же типа, в котором
показатель 
при 
связан с

и с α соотношениями:
В
результате 
подобных
преобразований придем к показателю 
связанному
с исходным показателем α соотношением:
Если,
отправляясь от показателя α, мы
проведем в обратном порядке вышеуказанные последовательные преобразования
переменных, мы придем к уравнениям с показателями 
связанными
с α соотношениями:
Если,
в результате преобразований мы придем к показателю, для которого уравнение
Риккати интегрируется в квадратурах, то и начальное уравнение обладает тем же
свойством. Как легко видеть из первоначальной формулы, связывающей 
, при 
мы имеем

,т.е.
показатель -2 не изменяется при рассматриваемых преобразованиях и,
следовательно, не может произойти в результате этих преобразований от другого
показателя. Поэтому нас будут интересовать лишь те случаи, когда для некоторого
натурального 
мы
имеем: 
Предполагая
теперь 
любым
целым числом (положительным или отрицательным), мы в обоих случаях имеем:
Мы
получили две бесконечные последовательности показателей, для которых уравнение
Риккати сводится путем ряда преобразований к случаю α=0; это будут:
Обе
последовательности имеют пределом 
.
Разрешая найденную для α формулу относительно 
,
получаем: 
равно
целому числу; это признак того, что α принадлежит к одной из указанных последовательностей.
При

, как
легко убедиться, 
выражается
через показательные и тригонометрические функции от 
;
последовательные преобразования вводят еще дробные степени 
; в
результате 
выражается
через 
в элементарных
функциях.
Как
показал Лиувилль, при всех других значениях α решение специального уравнения Риккати не может быть выражено
квадратурами от элементарных функций.
Уравнение
Риккати имеет то общее свойство с линейными уравнениями, что знание некоторого числа
частных решений позволяет найти общее решение или привести его отыскание к
квадратурам. Дарбу исследовал широкий класс уравнений, обладающих тем
свойством, что, зная достаточное количество их частных решений, можно получить
общее решение без квадратур или с помощью одной квадратуры; это - так
называемые «уравнения Дарбу»; частным случаем этого класса является уравнение
Якоби.
Подстановка

дает:
Далее,
и,
наконец,
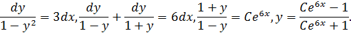
Пример
2.
Показатель
соответствует значению 
следовательно,
надо все подстановки вести в обратном порядке. Для удобства сравнения с
соответствующими формулами обозначим исходные переменные через 
Итак,
имеем:
здесь

, т.е. α=0. Делаем замену независимой переменной: 
Получаем:
Переходя
к переменной 
,
находим:
Мы
имеем 
Разрешая
относительно 
формулу
преобразования 
имеем:
Подставляем
в последнее уравнение:
или,
упрощая,
Интегрируем,
разделяя переменные:
Возвращаемся
постепенно к первоначальным переменным:
и,
наконец,
§2.
Отражающая функция
Будем
рассматривать систему

(2.1)
с
непрерывно дифференцируемой правой частью. Тогда ее решение однозначно
определяются начальными данными 
. Общее
решение этой системы в форме Коши будем обозначать через 
.
Зафиксируем 
и
рассмотрим множество всех тех 
, для
которых непродолжаемое решение 
существует
при всех 
из
промежутка 
. Найдем
точную нижнюю грань этих 
.
Интервал существования решения 
не
вырождается в точку, и поэтому в силу теоремы об интегральной непрерывности 
. Для
таких 
положим
Определение
1. Отражающей функцией системы (2.1) назовем функцию 
определяемую
формулой

(2.2)
или,
иначе, формулами
Для
отражающей функции справедливы следующие свойства:
.
Для любого решения 
системы
(1) верно тождество

(2.3)
.
Для отражающей функции 
любой
системы выполнены тождества

. (2.4)
.
Дифференцируемая функция 
будет
отражающей функцией системы (2.1), правая часть которой непрерывно
дифференцируема, тогда и только тогда, когда она удовлетворяет системе
уравнений в частных производных

(2.5)
и начальному условию

. (2.6)
.
Пусть решение 
системы
(2.1) определено по крайней мере на полуинтервале 
, а
дифференцируемая функция 
,
удовлетворяющая основному соотношению (2.5 -2. 6), определена во всех точках 
. Тогда
это решение 
определено
на интервале 
и при
этом 
при 
.
Уравнение
(2.5) вместе с условием (2.6) будем называть основным уравнением (основным
соотношением) для отражающей функции.
Доказательство
свойств 1-3. Первое свойство следует непосредственно из определения 1.
Для
доказательства второго свойства заметим, что согласно первому свойству, для
любого решения 
системы
(2.1) верны тождества
Из
этих тождеств, в силу того, что через каждую точку 
проходит
некоторое решение 
системы
(2.1), и следуют тождества (2.4).
Приступим
к доказательству третьего свойства. Пусть 
есть
отражающая функция системы (2.1). Тогда для нее верно тождество (2.3).
Продифференцируем это тождество по 
и затем
воспользуемся тем, что 
-
решение системы (2.1), и самим тождеством (2.3). Получим тождество
из
которого, в силу произвольности решения 
, и
следует, что 
есть
решение системы (5). Начальное условие, согласно второму свойству, также
выполняется.
Пусть
теперь некоторая функция 
удовлетворяет
системе (2.5) и условию (2.6). Т. к. этой системе и этому условию удовлетворяет
также и отражающая функция, то из единственности решения задачи (2.5-2.6)
функция 
должна
совпадать с отражающей функцией. Третье свойство доказано.
Доказательство
достаточности можно провести и непосредственно, не ссылаясь на теоремы о
единственности решения задачи (2.5-2.6). Действительно, пусть 
есть
решение задачи (2.5-2.6). Тогда для любого решения 
системы
(2.1) мы можем определить функцию 
для этой
функции верно тождество
т.
е. 
является
решением системы
с
начальным условием 
. Но
функция 
также
является решением этой системы и удовлетворяет тому же начальному условию.
Поэтому
где

есть
отражающая функция системы (2.1).
Отсюда
следует, что для любого решения 
системы
(2.1), определенного при 
,
выполняется тождество
из
некоторого в силу произвольности решения 
в свою
очередь следует тождество
Достаточность,
а вместе с ней и третье свойство, доказаны.
Справедливость
четвертого свойства проверяется подстановкой 
в
систему (2.1).
Непосредственно
из определения отражающей функции следует Лемма (Основная лемма). Пусть правая
часть системы (2.1) 
-периодична
по 
, а ее
решения однозначно определяются своими начальными данными. Тогда отображение за
период 
для
системы (2.1) можно найти по формуле 
и
поэтому решение 
рассматриваемой
системы будет 
-
периодическим тогда и только тогда, когда 
есть
решение недифференциальной системы

. (2.7)
Утверждение.
Пусть непрерывно дифференцируемая функция 

-периодична
и нечетна по 
, т. е.

и 
Тогда
всякое продолжимое на отрезок 
решение
системы (2.1) будет 
-периодическим
и четным по 
.
Доказательство.
Достаточно заметить, что функция 
удовлетворяет
уравнению (2.5) и условию (2.6); поэтому она, согласно третьему свойству,
является отражающей функцией рассматриваемой системы. Уравнение (2.7) в нашем
случае вырождается в тождество и ему удовлетворяет любое 
, для
которого определено значение 
.
Поэтому, согласно основной лемме, любое продолжимое на 
решение
системы (2.1) будет 
периодическим.
Четность
произвольного решения 
системы
(2.1) следует из тождеств 
,
справедливых в силу первого свойства отражающей функции. Доказательство
завершено.
Как
следует из основной леммы, знание отражающей функции 
периодической
системы вида (2.1) позволяет определить отображение за период такой системы и,
значит, найти начальные данные периодических решений этой системы и исследовать
эти решения на устойчивость. Возникает вопрос: Может ли не интегрируемая в
квадратурах система иметь в качестве своей отражающей функции элементарную
функцию? Ответ на этот вопрос положителен. В самом деле, для любой не
интегрируемой в квадратурах системы вида (2.1), для которой 
, можно
построить систему
с
нечетной по 
правой
частью. Эта система не интегрируема в квадратурах, а ее отражающая функция
задается формулой 
.
Теорема
1. Пусть все решения системы (2.1) 
периодичны
и однозначно определяются своими начальными данными. Тогда отражающая функция 
этой
системы 
периодична
по 
.
Доказательство.
Пусть все решения 
системы
(2.1) 
периодичны.
Тогда

.
Поэтому

,
т.
е. отражающая функция 
периодична
по 
.
Теорема
доказана.
Теорема
2. Пусть система (2.1) 
периодична
по 
, а ее
решения однозначно определяются своими начальными данными и существуют при всех

. Если,
кроме того, отражающая функция этой системы 
периодична
по 
, то все
решения системы (2.1) периодичны с периодом 
.
Доказательство.
Система (2.1) 
периодична,
а поэтому и 
периодична
по 
. Отображение
за период 
согласно
основной лемме, вычисляется по формуле 
Таким
образом, любая точка 
является
неподвижной точкой отображения за период. Ссылка на основной принцип завершает
доказательство.
Замечание
1. Аналогичная теорема имеет место в том случае, когда не все решения системы
(2.1) продолжимы на отрезок 
. При
этом заключение о 
периодичности
можно сделать лишь для тех решений, которые существуют при всех 
.
Замечание
2. Из 
периодичности
отражающей функции следует 
периодичность
всех продолжимых на 
решений
периодической системы (2.1). Доказательство этого факта аналогично
доказательству теоремы 2. Из 
периодичности
отражающей функции, вообще говоря, 
периодичность
решений 
периодической
системы.
Теорема
3.Пусть уравнение (2.1) 
периодично
по 
, а его
решения однозначно определяются своими начальными данными и существуют при всех

. Тогда
для того, чтобы все решения уравнения (2.1) были 
периодичны,
необходима и достаточна 
периодичность
по 
отражающей
функции этого уравнения.
Доказательство.
Необходимость следует из теоремы 1. Для доказательства достаточности
предположим, что, вопреки утверждению теоремы, некоторое решение 
уравнения
(2.1) не является 
периодическим.
тогда последовательность чисел 
, строго
монотонна. Поэтому рассматриваемое решение не может быть и 
периодическим,
а это противоречит утверждению теоремы 2. Полученное противоречие доказывает
достаточность, а с ней и теорему.
Из
доказанных теорем следует, что все решения 
периодической
системы (2.1) с продолжимыми на 
решениями
будут периодическими тогда и только тогда, когда отражающая функция этой
системы периодична по 
с
периодом, кратным 
.
Указанные
свойства отражающей функции позволяют выделять дифференциальные системы с
элементарными отображениями за период.
§3.
Отражающая функция уравнения Риккати
Рассмотрим
уравнение Риккати

(3.1)
с
непрерывными на R коэффициенты 
Для
каждой функции 
введем
обозначение
Лемма.
Отражающая функция (ОФ) уравнения (3.1) имеет вид:
где

а
функции 
являются
решениями линейной системы
(3.3)
с
начальными условиями
При
этом функции 
нечетны,
а 
четная
функция. Область определения отражающей функции есть связное подмножество всех
точек
, для
которых 
.
Доказательство.
Функции
образуют
решение линейной системы
С
начальными условиями
По
теореме существования и единственности это решение совпадает с тривиальным
(нулевым) решением. Отсюда и следует честность
и
нечетность остальных функций.
Для
того, чтобы показать, что функция (3.2) там, где она определена, совпадает с
отражающей функцией уравнения (3.1), достаточно показать, что она удовлетворяет
основному соотношению для отражающей функции. А это можно сделать, подставив
функцию (3.2) в основное соотношение и воспользовавшись соотношением (3.3). При
этом уравнение (3.1) целесообразно переписать в виде:
Ввиду
элементарности производимых при этой подстановке операций, саму подстановку
здесь проводить не будем.
Покажем
теперь, что область определения функции (3.2) содержит в себе область
определения отражающей функции уравнения (3.1). С этой целью заметим, что эта
область может сузиться за счет того, что числитель и знаменатель функции (3.2)
при некотором
одновременно
обращается в нуль. Тогда функция (3.2) не будет определена при этом 
.
Покажем, что это не может осуществиться, т.к. 
и
одновременно
в нуль не обращаются. Действительно, система (3.3), в чем нетрудно убедиться,
имеет первый интеграл 
поэтому
для решений системы (3.3) с начальным условием (3.4) следуют справедливые при
всех 
тождества
Эти
тождества показывают, что 
одновременно
в нуль обратиться не могут, а область определения функции 
содержит
в себе область определения 
отражающей
функции уравнения (3.1). Область 
, как
известно, содержит в себе точки прямой 
. На этой
прямой 
Поэтому,
с учетом непрерывности отражающей функции, неравенство 
выполнено
во всей области 
Лемма
доказана.
§4.
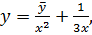
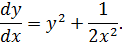
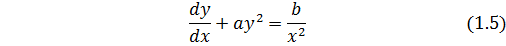
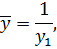
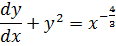
Построение отражающей функции для одного стационарного уравнения Риккати
Лемма.
Отражающая функция (ОФ) уравнения
имеет
вид:
.
Доказательство:
Рассмотрим уравнение вида:
(4.1)
λ - постоянная.
Проинтегрируем ДУ (13), и получим:
подставляем
пределы интегрирования, получаем:
вычитаемое
переносим в правую часть:
левую
и правую часть умножим на 
,
получаем:
проэкспонируем
левую и правую часть:
получим:
распишем
как произведение:
получим:
умножим
левую и правую часть на 
:
и
раскроем скобки:
переносим
λ в правую часть, получаем:
выносим y за скобки:
выразим
y:
находим
отражающую функцию:

приводим
к общему знаменателю:
раскроем
скобки и с группируем коэффициенты при степенях y:
Лемма
доказана.
§5.
Построение рациональных уравнений, которые имеют такую же отражающую функцию,
как и некоторое уравнение Риккати
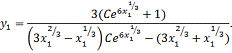
Рассмотрим
дифференциальное уравнение вида
.
Найдем
такое рациональное уравнение, которое будет иметь такую же ОФ как и некоторое
уравнение Риккати. Возьмем произвольные функции
,
,
где
действительные числа, а
-нечетные,
Лемма.
Для любой функции
уравнение
имеет
такую же ОФ как и уравнение
.
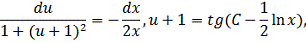
Доказательство.
Пусть даны функции
,
.
При
этом
- нечетные,
.
Для
того чтобы найти ОФ данного уравнения:
(5.1)
воспользуемся леммой 1из §4:
(5.2)
Для
начала найдем дифференциал функции
по
:
приводим
к общему знаменателю:
Раскрыв
в числители скобки и приведя подобные, получим:
.
Теперь
получим
:
.
Подставим
найденную функцию
и данные функции
и
в
уравнение (5.1):
преобразуем
числитель и знаменатель. Получим:
Приведя
к общему знаменателю и сделав некоторые преобразования, получаем:
Доказали,
что уравнение
имеет
такую же ОФ, что и уравнение Риккати.
Лемма
доказана.
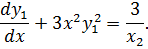
В данной работе мы рассмотрели уравнение Риккати вида:
.
Нашли для него отражающую функцию и дифференциальное уравнение с такой же
отражающей функцией. Воспользовались понятием ОФ ее свойствами и рядом теорем.
Были сформулированы и доказаны леммы для ОФ уравнения Риккати.
дифференциальный уравнение риккати
Список использованных источников
1. Мироненко В.И. Отражающая функция и исследование
многомерных дифференциальных систем. Монография /В.И. Мироненко - Мин. образов.
РБ, УО ”ГГУ им. Ф. Скорины”. - Гомель, 2004. - 196с.
. Степанов В.В. Курс дифференциальных уравнений. ОГИЗ,
Государственное издательство технико-теоретической литературы, Москва, 1945.