Многочлен Жегалкина. Диаграмма Эйлера-Венна. Свойства логической функции двух переменных
Контрольная
работа
Дисциплина:
Дискретная математика
1. Многочлен Жегалкина. Нахождение многочлена
Жегалкина по СДНФ (с обоснованием)
Полином Жегалкина - сумма по модулю 2, в которой
каждое слагаемое представляет собой
· Константу
· отдельную переменную
· произведение нескольких переменных.
Алгоритм построения полинома Жегалкина по СДНФ
(основан на доказательстве теоремы о существовании полинома Жегалкина).
Начало. Задана совершенная ДНФ функции f(x1,
…, xn).
Шаг 1. Заменяем каждый символ дизъюнкции на
символ суммы по модулю 2.
Шаг 2. Заменяем каждую переменную с инверсией x
равносильной формулой x
1.
Шаг 3. Раскрываем скобки.
Шаг 4. Вычеркиваем из формулы пары одинаковых
слагаемых.
Конец. Получен полином Жегалкина функции f(x1,
…, xn).
Сумма по модулю два может быть выражена через
дизъюнкцию, конъюнкцию и отрицание: AÚB=A
Å
B,
откуда AÅ1=
многочлен жегалкин логический
множество
2. Заданы универсальное множество U
и три его подмножества A,
B, C.
Проверить (доказать или опровергнуть)
справедливость соотношения:
Решение:
Построим диаграмму Эйлера-Венна, изобразив универсальное
множество прямоугольником, а подмножества кругами. Отметим на диаграмме
штриховкой дополнение к пересечению A,B,C.
Теперь изобразим на диаграмме штриховкой
дополнения к каждому из подмножеств:

Построим их объединение и получим:
Последняя диаграмм совпадает с диаграммой
множества
,
поэтому,
что
и требовалось доказать.
. Задано бинарное отношение
,
где
.
Определить, выполняются ли для данного отношения
свойства симметричности и рефлексивности. Ответ обосновать.
|
10
|
0
|
1
|
0
|
1
|
0
|
1
|
0
|
1
|
0
|
1
|
|
9
|
1
|
0
|
1
|
0
|
1
|
0
|
1
|
0
|
1
|
0
|
|
8
|
0
|
1
|
0
|
1
|
0
|
1
|
0
|
1
|
0
|
1
|
|
7
|
1
|
0
|
1
|
0
|
0
|
1
|
0
|
1
|
0
|
|
6
|
0
|
1
|
0
|
1
|
0
|
1
|
0
|
1
|
0
|
1
|
|
5
|
1
|
0
|
1
|
0
|
1
|
0
|
1
|
0
|
1
|
0
|
|
4
|
0
|
1
|
0
|
1
|
0
|
1
|
0
|
1
|
0
|
1
|
|
3
|
1
|
0
|
1
|
0
|
1
|
0
|
1
|
0
|
1
|
0
|
|
2
|
0
|
1
|
0
|
1
|
0
|
1
|
0
|
1
|
0
|
1
|
|
1
|
1
|
0
|
1
|
0
|
1
|
0
|
1
|
0
|
1
|
|
0
|
1
|
2
|
3
|
4
|
5
|
6
|
7
|
8
|
9
|
10
|
Рефлексивность. Это отношение
рефлексивно, т.к. для
А выполняется x+x
четно.
Симметричность. Это отношение
симметричное на множестве А, т.к (x +y)-четно => (y+x)-четно.
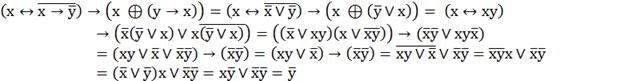
. Упростив логическую функцию двух переменных
,
проверить ее самодвойственность, монотонность и линейность. Ответ обосновать.
Решение:
Функция линейная, т.к. представима в виде
линейного полинома Жегалкина:
Функция не монотонна, т.к. имеются наборы
(10)<(11), при которых f(10)>f(11)
Функция самодвойственна, т.к. на всех наборах
выполняется условие
. На вершину горы ведут девять дорог. Сколькими
различными способами можно подняться на гору и спуститься?
Решение:
По условию задачи, нас интересует выборка из 9
элементов 2 элементов, при которой выбираемые элементы возвращаются в исходное
множество (можно возвращаться теми же дорогами), а порядок выбора элементов не
важен: