Методика формирования умений решать уравнения и неравенства с параметрами в курсе основной общеобразовательной школе
ФБГОУ ВПО
«Мордовский государственный
педагогический
институт имени М.Е. евсевьева»
ФИЗИКО-МАТЕМАТИЧЕСКИЙ ФАКУЛЬТЕТ
Кафедра математики и методики
обучения математики
КУРСОВАЯ РАБОТА
Методика формирования умений решать
уравнения и неравенства с параметрами в курсе основной общеобразовательной
школе
Автор курсовой работы:
студентка группы МДМ-110 А.И. Зимина
Специальность: 050201.65 «Математика» с дополнительной
специальностью 050202 «Информатика»
Саранск 2014
Содержание
Введение
. Теоретические основы линий уравнений и неравенств в
школьном курсе математики
.1 Виды уравнений в школьном курсе математики
.2 Виды неравенств в школьном курсе математики
.3 Особенности решения уравнений с параметрами
.4 Особенности решения неравенств с параметрами
. Методические рекомендации к решению уравнений и неравенств
с параметрами
Заключение
Список используемой литературы
Введение
На современном этапе развития школьного образования становятся
приоритетными развивающие цели обучения. В связи с этим при изучении математики
особую значимость приобретает организованное обучение приемам мышления,
рационального выполнения учебной деятельности, что исключительно важно при
усвоении трудных тем и решении сложных задач таких, как уравнения и неравенства
с параметрами. Именно недостаточная сформированность приемов учебной
деятельности является одной из причин того, что большинство учащихся совершает
ошибки или испытывает затруднения при решении даже несложных задач такого рода.
Изучением задач с параметрами, их роли в обучении, понятий, связанных с
их решением, в разные годы занимались М.И. Башмаков , Г.В. Дорофеев, М.И.
Зайкин, Т.А. Иванова, Г.Л. Луканкин, Я.Л. Крейнин, В.К. Марков, А.Г. Мордкович,
Н.Х. Розов, Г.И. Саранцев, Р.А. Утеева и др. Многие из них подчеркивали
важность обучения школьников приемам решения уравнений и неравенств с
параметрами прежде всего в связи с необходимостью подготовки учащихся к
выполнению работ итоговой аттестации и различного рода конкурсных испытаний.
При этом большинство авторов характеризует задачи с параметрами как
исследовательские задачи, требующие высокой логической культуры и техники
исследования; как наиболее сложные в логическом и семантическом плане вопросы
элементарной математики. В этой связи В.В. Вересова, В.И. Горбачев, Н.С.
Денисова, В.Н. Литвиненко, А.Г. Мордкович, Т.Н. Полякова, Г.А. Ястребинецкий и
др. справедливо замечают, что для описания процесса их решения необходимо
использовать систему понятий, математических утверждений и фактов, определяемую
фундаментальными математическими идеями; некоторые из них предпринимают попытки
к ее разработке. Однако в многочисленных пособиях и руководствах справочного и
методического характера для поступающих в вузы рассматриваются лишь частные
приемы решения конкретных уравнений и неравенств с параметрами, чаще всего в
рамках широкого спектра конкурсных заданий.
Уравнения и неравенства, содержащие параметр, не изучаются систематически
в школьном курсе математики, а рассматриваются лишь отдельные их простейшие
примеры. Поэтому методы и приемы решения таких задач большинству учащихся не
известны.
Актуальность данной темы состоит в том, что анализируя экзаменационные
работы по математике, приходишь к выводу, что за курс математики в
общеобразовательной школе учащимися должны быть отработаны умения решения задач
с параметрами. Кроме непосредственной подготовки учащихся к экзаменам по
данному разделу математики (решение задач с параметрами), главная его задача -
поднять на более высокий уровень изучение математики в школе, следующий за развитием
умений и навыков решения определенного набора стандартных задач.
Объект исследования: процесс формирования умений решать уравнений и
неравенств с параметрами в школьном курсе метематике основной школы.
Предмет исследования: уравнения и неравенства с параметрами.
Цель исследования: выделить виды, методы решения уравнений и неравенств с
параметрами в школьном курсе математике.
Для достижения поставленной цели необходимо было решить следующие задачи:
) Изучить и проанализировать специальную литературу по проблеме
исследования;
)Рассмотреть роль уравнений и неравенств в школьном курсе математике;
)Разработка методических рекомендаций к решению уравнений и неравенств с
параметрами.
1. Теоретические основы линий уравнений и неравенств в школьном курсе
математики
Ввиду важности и обширности материала, связанного с понятием уравнения,
его изучение в современной методике математики организовано в
содержательно-методическую линию уравнений и неравенств. Здесь рассматриваются
вопросы формирования понятий уравнения и неравенства, общих и частных методов
их решения, взаимосвязи изучения уравнений и неравенств с числовой,
функциональной и другими линиями школьного курса математики.
Выделенным областям возникновения и функционирования понятия уравнения в
алгебре соответствуют три основных направления развертывания линии уравнений и
неравенств в школьном курсе математики.
а) Прикладная направленность линии уравнений и неравенств раскрывается
главным образом при изучении алгебраического метода решения текстовых задач. Этот
метод широко применяется в школьной математике, поскольку он связан с обучением
приемам, используемым в приложениях математики.
В настоящее время ведущее положение в приложениях математики занимает
математическое моделирование. Используя это понятие, можно сказать, что
прикладное значение уравнений, неравенств и их систем определяется тем, что они
являются основной частью математических средств, используемых в математическом
моделировании.
б) Теоретико-математическая направленность линии уравнений и неравенств
раскрывается в двух аспектах: во-первых, в изучении наиболее важных классов
уравнений, неравенств и их систем и, во-вторых, в изучении обобщенных понятий и
методов, относящихся к линии в целом. Оба эти аспекта необходимы в курсе
школьной математики. Основные классы уравнений и неравенств связаны с
простейшими и одновременно наиболее важными математическими моделями.
Использование обобщенных понятий и методов позволяет логически упорядочить
изучение линии в целом, поскольку они описывают то общее, что имеется в
процедурах и приемах решения, относящихся к отдельным классам уравнений,
неравенств, систем. В свою очередь, эти общие понятия и методы опираются на
основные логические понятия: неизвестное, равенство, равносильность, логическое
следование, которые также должны быть раскрыты в линии уравнений и неравенств.
в) Для линии уравнений и неравенств характерна направленность на
установление связей с остальным содержанием курса математики. Эта линия тесно
связана с числовой линией. Основная идея, реализуемая в процессе установления
взаимосвязи этих линий, - это идея последовательного расширения числовой
системы. Все числовые области, рассматриваемые в школьной алгебре и началах
анализа, за исключением области всех действительных чисел, возникают в связи с
решением каких-либо уравнений, неравенств, систем. Например, числовые
промежутки выделяются неравенствами или системами неравенств. Области
иррациональных и логарифмических выражений связаны соответственно с уравнениями
(k-натуральное число, большее 1.
Связь линии уравнений и неравенств с числовой линией двусторонняя.
Приведенные примеры показывают влияние уравнений и неравенств на развертывание
числовой системы. Обратное влияние проявляется в том, что каждая вновь
введенная числовая область расширяет возможности составления и решения
различных уравнений и неравенств.
Линия уравнений и неравенств тесно связана также и с функциональной
линией. Одна из важнейших таких связей приложения методов, разрабатываемых в
линии уравнений и неравенств, к исследованию функции (например, к заданиям на
нахождение области определения некоторых функций, их корней, промежутков
знакопостоянства и т.д.). С другой стороны, функциональная линия оказывает
существенное влияние как на содержание линии уравнений и неравенств, так и на
стиль ее изучения. В частности, функциональные представления служат основой
привлечения графической наглядности к решению и исследованию уравнений,
неравенств и их систем.
.1 Виды уравнений в школьном курсе математике
уравнение неравенство математика
Понятие «уравнение » относится к важнейшим общематематическим понятиям.
Существуют различные трактовки понятия «уравнение».
И.Я.
Виленкин и др. приводит логико - математическое определение уравнения. Пусть на
множестве М зафиксирован набор алгебраических операций, х - переменная на М;
тогда уравнением на множестве М относительно x называется
предикат вида 
, где 
и 
- термы
относительно заданных операций, в запись которого входит символ 
.Аналогично
определиться уравнение от двух и более переменных.
Принятые
в логики термины «терм» и «предикат» соответствуют такие термины школьной
математики как «выражение» и «предложение с переменной». Поэтому наиболее
близко к приведенному формальному определению можно считать следующее
определение: «Предложение с переменной, имеющий вид равенства между двумя
выражениями с этой переменной, называется уравнением». Такое определение
приведено в учебнике «Алгебра и начала анализа» А.Н Колмогоров и др. Равенство
с переменной называется уравнением. Значение переменной при котором равенство с
переменной обращается в верное числовое равенство, называется корнем уравнения.
Часто,
особенно в начале систематического курса алгебры, понятие уравнение вводится по
средством выделение его из алгебраического метода решения задач. Например, в
учебнике Ш.А.Алимова и др. понятие уравнение вводиться на материале текстовой
задачи. Переход к понятию уравнения осуществляется на основе анализа некоторых
формальных особенностей записи, выражающих содержание данной задачи в алгебраической
форме: «Равенство, содержащее неизвестное число, обозначенное буквой,
называется уравнением». Указываемый способ введения понятия уравнения
соответствует еще одному компоненту понятия уравнения - прикладному.
Еще
один подход к понятию уравнения получается при составления области определения
уравнения и множества его корней. Например, в учебнике Д.К.Фадеева «Буквенное
равенство, которое не обязательно превращается в верное числовое равенство при
допустимых наборов букв, называется уравнение».
Можно
встретить и третий вариант определения, роль которого проявляется при изучения
графического метода решения уравнений: «Уравнение - это равенство двух
функций».
Среди
всех изучаемых в курсе математике типов уравнений В.И. Мишин выделяет
сравнительно ограничение количество основных типов. к их числу относится:
линейное уравнение с одним неизвестным, систему двух линейных уравнений с двумя
неизвестными, квадратные уравнения, простейшие иррациональные и
трансцендентные.
Ю.М.Колягин
и др. классифицируют по виду функций, представляющих правую и левую части
уравнений:
Уравнение

называется:
алгебраическим,
если 
и 
-
алгебраические функции;
трансцендентным,
если хотя одним из функций 
и 
трансцендентная;
рациональным
алгебраическим (или просто рациональным) , если алгебраические функции 
и 
рациональные;
иррациональным
алгебраическим( или просто иррациональным), если хотя бы одна из алгебраических
функций 
и 
иррациональная;
целым
рациональным, если функция 
и 
целые
рациональные;
дробным
рациональным, если хотя бы одна из рациональных функций 
и 
дробная
рациональная.
Уравнение

, где 
- многочлен
стандартного вида, называется линейным (первой степени), квадратным( во второй
степени), кубическим (третьей степени) и вообще 
- ой
степени, если многочлен 
, имеет
соответственно первую, вторую, третью и вообще 
- ую
степень.
В
школе изучаются несколько типов уравнений. К их числу относятся: линейные
уравнения с одной не известной, квадратные уравнения, иррациональные и
трансцендентные уравнения, рациональные уравнения. Эти типы уравнений изучаются
с большой тщательностью, для них указывается и доводиться до автоматизма
выполнение алгоритма решения, указывается форма, в котором должен записываться
ответ.
Виды
уравнений и методы решения:
)
Линейное уравнение
Уравнением
с одной переменной, называется равенство, содержащее только одну переменную.
Корнем
(или решением) уравнения называется такое значение переменной, при котором
уравнение превращается в верное числовое равенство.
Найти
все корни уравнения или доказать, что их нет - это значит решить уравнение.
Решение:

;

;
;
;
;
Ответ:
) Квадратное уравнение
Квадратное
уравнение - это уравнение вида 
, где
коэффициенты a, b и c - любые действительные числа, причем а≠0.
Корнями
квадратного уравнения называют такие значения переменной, при которых
квадратное уравнение обращается в верное числовое равенство.
Решить
квадратное уравнение - значит найти все его корни или установить, что корней
нет.
Пример
2: Решить уравнение 
Решение:
Данное
уравнение можно решить либо через Теорему Виета, либо через дискриминант.
D=9+8=1;

;

=-1;

.
Ответ:
х1=-1, х2=-2.
)
Рациональные уравнения
рациональные
уравнения - уравнения вида

,
где

и 
многочлены,
атак же уравнения вида 
, где 
и 
-
рациональные.
Пример
3: Решить уравнение 
Решение:
Ответ:

.
)
Иррациональные уравнения
Иррациональные
уравнения - это уравнения, в которых переменная содержится под знаком корня или
под знаком операции возведения в дробную степень.
Пример
4: Решить уравнение 
Возведем
обе части в квадрат:
Ответ:

.
)
Показательные и логарифмические уравнения
При
решения показательных уравнений используются два основных метода: а) переход от
уравнения 
к
уравнению 
;б)
введения новых переменных. Иногда приходиться применять исскуственные приемы.
Логарифмические
уравнения - решаются тремя методами, то есть переход от уравнения 
к
уравнению - следствию 
;метод
введения новых переменных логарифмирования, то есть переход от уравнения 
к
уравнению 
.
А
так же во многих случаях при решения логарифмического уравнения приходиться
использовать свойства логарифма произведения, частного, степени , корня.
.2
Виды неравенств в школьном курсе
В
целом изучение неравенств в школьном курсе математики организовано так же, как
и уравнений.
Отметим
ряд особенностей изучения неравенств.
.
Как и в случае уравнений отсутствует теория равносильности неравенств. Учащимся
предлагаются её незначительные фрагменты, приведённые в содержании учебного
материала.
.
Большинство приёмов решения неравенств состоит в переходе от данного
неравенства a>b к уравнению а=b и последующем переходе от найденных корней
уравнения к множеству решений исходного неравенства. Например, такая ситуация
возникает при решении рациональных неравенств методом интервалов, при решении
простейших тригонометрических неравенств.
.
В изучении неравенств большую роль играют наглядно - графические средства.
Два
выражения (числовые или буквенные), соединённые одним из знаков: «больше»
(>), «меньше» (<), «больше или равно» (≥), «меньше или равно» (≤)
образуют неравенство (числовое или буквенное). Любое справедливое неравенство
называется тождественным.
В
зависимости от знака неравенства мы имеем либо строгие неравенства ( > ,
< ), либо нестроги ( ≥ , ≤ ).
Буквенные
величины, входящие в неравенство, могут быть как известными, так и
неизвестными.
Решить
неравенство - это найти границы, внутри которых должны находиться неизвестные,
так чтобы неравенство было тождественным.
Основные
свойства неравенств:
.
Если a < b, то b > a; или если a > b, то b < a .
.
Если a > b, то a + c > b + c; или если a < b, то a + c < b + c. То
есть, можно прибавлять (вычитать) одно и то же число к обеим частям неравенства.
.
Если a > b и c > d, то a + c > b + d . То есть, неравенства одного
смысла (с одинаковым знаком > или < ) можно почленно складывать.
.
Если a > b и c < d, то a - c > b - d . Или, если a < b и c > d,
то a - c < b - d . То есть, неравенства противоположного смысла можно
почленно вычитать одно из другого, и брать знак неравенства, являющегося
уменьшаемым.
.
Если a > b и m > 0, то ma > mb и a/m > b/m . То есть, обе части
неравенства можно умножить или разделить на одно и то же положительное число.
Неравенство при этом сохраняет свой знак.
.
Если a > b и m < 0, то ma < mb и a/m < b/m . То есть, обе части
неравенства можно умножить или разделить на одно и то же отрицательное число.
Неравенство при этом меняет свой знак на обратный.
Неравенства,
содержащие неизвестные величины, подразделяются на:
¾ алгебраические;
¾ трансцендентные;
Алгебраические неравенства подразделяются на неравенства первой, второй,
и т. д. степени.
Пример:
Неравенство - алгебраическое, первой степени.
Неравенство - алгебраическое, второй степени.
Неравенство - трансцендентное.
)Линейные неравенства
Пример
5: Решить неравенство 
Решение:
Ответ:
x<-2.
2) Квадратные
неравенства
Пример 6: Решить неравенство х2> 4
Решение:
х2> 4
(х - 2)∙(х + 2) > 0.
Решаем методом интервалов.
Рис. 1
Ответ:

)
Рациональные неравенства
Пример
7: Найти все целые значения, удовлетворяющие неравенству
Решение:

0;
Методом
интервалов:
Рис.
2
Решение
неравенства: 
Целые
числа, принадлежащие интервалу: -6;-5;-4;1.
Ответ:-6;-5;-4;1.
4)
Иррациональные неравенства
Начинать решение иррациональных неравенств нужно с нахождения области
определения.
Пример
8: Решить неравенство 
Решение:
Область
определения: 
Так
как арифметический корень не может быть отрицательным числом, то 
≤x<7.
Ответ:
[-2;7)/
)
Показательные, логарифмические неравенства
Пример
9: Решите неравенство 
..
Решение:
x
Ответ:
x
Пример
10: Решите неравенство 
.
Решение:
;
+5x+1>1;
+5x>0;
x(2x+5)>0
.
Ответ:
.
.3
Особенности решения уравнения с параметрами
Рассмотрим
уравнение
F(х,у,...,z;б,в,...,г)=0 (1)
с неизвестными х, у, ..., z и с параметрами б,в, ..., г ;при всякой допустимой
системе значений параметров б0,в0, ..., г0
уравнение (1) обращается в уравнение
F(х,у,...,z;б0,в0,...,г0)=0 (2)
с неизвестными х, у,..., z, не содержащее параметров. Уравнение (2) имеет
некоторое вполне определенное множество решений.
Решить уравнение содержащее параметры, это значит, для каждой допустимой
системы значений параметров найти множество всех решений данного уравнения.
Основные виды уравнений с параметрами:
) Линейные и квадратные уравнения, содержащие параметр
Линейные и квадратные уравнения, содержащие параметр, можно объединить в
одну группу - группу уравнений с параметром не выше второй степени.
Уравнения с параметром не выше второй степени являются самыми
распространенными в практике итоговых и конкурсных заданий. Их общий вид определяется
многочленом.
Контрольные значения параметра определяются уравнением . На выделенных
контрольными значениями промежутках допустимых значений параметра дискриминант
имеет определенный знак, соответствующие частные уравнения принадлежат одному
из двух последних типов.
Тогда решением всякого уравнения с параметром не выше второй степени
осуществляется по следующим этапам:
. На числовой прямой отмечаются все контрольные значения параметра, для
которых соответствующие частные уравнения не определены.
. На области допустимых значений параметра исходного уравнения при помощи
равносильных преобразований приводится к виду.
. Выделяют множество контрольных значений параметра, для которых
уравнение имеет конечное множество решений, то для каждого найденного контрольного
значения параметра соответствующее частное уравнение решается отдельно.
Проводится классификация частных уравнений по первым трем типам. На
бесконечном множестве решений уравнения проводится решение уравнения,
выделяются типы бесконечных и пустых особых частных уравнений. Множеству
значений параметра, для которых и , соответствует третий тип не особых частных
уравнений.
. Выделяются контрольные значения параметра, для которых дискриминант
обращается в нуль. Соответствующие не особые частные уравнения имеют двукратный
корень .
. Найденные контрольные значения параметра разбивают область допустимых
значений параметра на промежутки. На каждом из промежутков определяется знак
дискриминанта.
) Дробно-рациональные уравнения, содержащие параметр, сводящиеся к
линейным.
Процесс решения дробно-рациональных уравнений протекает по обычной схеме:
данное уравнение заменяется целым путем умножения обеих частей уравнения на
общий знаменатель левой и правой его частей. После чего учащиеся решают
известным им способом целое уравнение, исключая посторонние корни, то есть
числа, которые обращают общий знаменатель в нуль. В случае уравнений с
параметрами эта задача более сложная. Здесь, чтобы посторонние корни исключить,
требуется находить значение параметра, обращающее общий знаменатель в нуль, то
есть решать соответствующие уравнения относительно параметра.
) Иррациональные уравнения, содержащие параметр.
.ограничение области определения неизвестной х, так как она меняется в
зависимости от значения параметра;
. в решении уравнений вида при возведении в квадрат необходимо учитывать
знак и проводить проверку корней.
При рассмотрении всех особых случаев и возведении обеих частей
иррационального уравнения в квадрат мы переходим к решению квадратного
уравнения с параметром.
) Показательные уравнения, содержащие параметр.
Большинство показательных уравнений с параметрами сводится к
показательным уравнениям вида: аf(x) = bg(х), где а>0, b>0.
Область допустимых значений такого уравнения находится как пересечение
областей допустимых значений функций f(x) и g(х). Для решения уравнения аf(x) = bg(х) необходимо рассмотреть следующие
случаи:
. При а=b=1 решением уравнения аf(x) = bg(х) является область его допустимых
значений D.
. При а=1, b≠1 решением уравнения аf(x) = bg(х) служит решение уравнения g(х)=0 на области допустимых значений
D.
. При а≠1, b=1 решение уравнения аf(x) = bg(х) находится как решение уравнения f(х)
= 0 на области D.
. При а=b (а>0, а≠1, b>0, b≠1) уравнение аf(x) =
bg(х) равносильно уравнению f(х) = g(х) на области D.
. При а≠b (а>0, а≠1, b>0, b≠1) уравнение аf(x)
= bg(х) тождественно уравнению (c>0, c≠1)
на области D.
) Логарифмические уравнения, содержащие параметр.
Решение логарифмических уравнений с параметрами сводится к нахождению
корней элементарного логарифмического уравнения.
Важным моментом решения уравнений такого типа является проверка
принадлежности найденных корней ОДЗ исходного уравнения.
Основные методы решения уравнений, содержащих параметр:
. Аналитический метод
.Свойства функций в задачах, содержащих параметр. Функциональный подход.
. Графический метод. Координатная плоскость (x;y).
. Графический метод. Координатная плоскость (x;a).
.4 Особенности решения неравенства с параметрами
Неравенство с параметрами - математическое неравенствовнешний вид и
решение которого зависит от значений одного или нескольких параметров. Как при
решении уравнения, так и при решении неравенства требуется найти все те
значения неизвестной величины, для каждого из которых указанное соотношение
оказывается верным.
Решение неравенства (уравнения) может включать в себя несколько методов
решения, соответствующих каждому виду уравнения при определенных значениях
параметра. Например, при каком-то значении параметра неравенство линейное,
поэтому решаем его аналитически тождественными преобразованиями; при остальных
значениях параметра неравенство квадратичное, - решаем его
функционально-графическим способом.
Аналогично уравнениям с параметрами, неравенства с параметрами имеют ту
же классификацию видов и методов решения.
) Линейные и квадратные неравенства, содержащие параметр
) Дробно-рациональные неравенства, содержащие параметр, сводящиеся к
линейным.
Решение некоторых дробно-рациональных неравенств сводится к решению
неравенств первой или второй степени.
) Иррациональные неравенства, содержащие параметр.
) Показательные неравенства, содержащие параметр.
) Логарифмические неравенств, содержащие параметр.
Основные методы решения неравенств, содержащих параметр:
. Аналитический метод
.Свойства функций в задачах, содержащих параметр. Функциональный подход.
. Графический метод. Координатная плоскость (x;y).
. Графический метод. Координатная плоскость (x;a).
2. Методические рекомендации к решению уравнений и неравенств с
параметрами
Решение задач с параметрами является одним из самых трудных разделов
школьной математики. При решении задач с параметрами требуется, кроме хорошего
знания стандартных методов решений уравнений и неравенств, умение проводить
довольно разветвленные логические построения, аккуратность и внимательность для
того, чтобы не потерять решений и не приобрести лишних. Это требует от
школьника более развитого логического мышления и математической культуры, но, в
свою очередь, эти задачи сами способствуют их развитию. Опыт вступительных
экзаменов показывает, что учащиеся, владеющие методами их решения, обычно
успешно справляются и с другими задачами.
К сожалению, в программах по математике для неспециализированных школ
задачам с параметром практически не отводится места, а, например, в учебнике
для учащихся школ и классов с углубленным изучением курса математики («Алгебра
и математический анализ для 10 и 11 классов», Н.Я. Виленкин, О.С.
Ивашев-Мусатов, С.И. Шварцбурд) им отведено место только в 11-м классе. Между
тем, задачи с параметрами можно и нужно использовать уже начиная с линейных и
квадратных уравнений и неравенств. Это могут быть задачи нахождения решений в
общем виде, определения корней, удовлетворяющих каким-либо свойствам, исследования
количества корней в зависимости от значений параметра. Так сделано в «Сборнике
задач по алгебре для 8-9 классов», 1994 г. (авторы: М.Л. Галицкий, А.М.
Гольдман, Л.И. Звавич). Важно, чтобы школьники уже на первых простых примерах
усвоили: во-первых, необходимость аккуратного обращения с параметром -
фиксированным, но неизвестным числом, поняли, что оно имеет двойственную
природу (с одной стороны, это некоторое число, с другой стороны, степень
свободы общения с ним ограничивается его неизвестностью); во-вторых, что запись
ответа существенно отличается от записи ответов аналогичных уравнений и
неравенств без параметра.
Методически было бы правильно каждый пройденный тип уравнений
(неравенств) завершать задачами с использованием параметра. Во-первых, школьнику
трудно привыкнуть к параметру за два-три занятия - нужно время; во-вторых,
использование подобных задач улучшает закрепление пройденного материала;
в-третьих, оно способствует развитию его математической и логической культуры,
а также развитию интереса к математике, поскольку открывает перед ним новые
методы и возможности для самостоятельного поиска.
Понятие параметра является математическим понятием, которое часто
используется в школьном курсе математики и в смежных дисциплинах.
класс - при изучении линейной функции и линейного уравнения с одной
переменной.
класс - при изучении квадратных уравнений.
Общеобразовательная программа школьного курса математики не
предусматривает решение задач с параметрами, а на вступительных к заменах в
вузы и на ЕГЭ по математике задачи с параметрами присутствуют, решение которых
вызывает большие затруднения учащихся.Задачи с параметрами обладают
диагностической и прогностической ценностью, которые позволяют проверить знания
основных разделов школьного курса математики, уровень логического мышления,
первоначальные навыки исследовательской деятельности.
При решении уравнения (неравенства) можно пользоваться следующим
алгоритмом.
Алгоритм решения уравнения или неравенства с параметром
1.
Определяют ограничения, налагаемые на значения неизвестного 
и
параметра , вытекающие из того, что функции и арифметические операции в 
или 
имеют
смысл.
.
Определяют формальные решения, записываемые без учета ограничений. Если при
решении возникают контрольные значения параметра, то их наносят на числовую ось

. Эти
значения разбивают область допустимых значений параметра на подмножества. На
каждом из подмножеств решают заданное уравнение..
.
Исключают те значения параметра, при которых формальные решения не удовлетворяют
полученным ограничениям.
.
На числовую ось 
.
добавляют значения параметра, найденные в п.3. Для каждого из промежутков на
оси 
.
записывают все полученные решения в зависимости от значений параметра 
. (В
случае достаточно простых уравнений п.4 можно опустить).
.
Выписывают ответ, т.е. записывают решения в зависимости от значений параметра 
.
Наличие
параметра в задаче предполагает специальную форму записи ответа, позволяющую
установить, каков ответ для любого допустимого значения параметра. Недопустимые
значения также указываются в ответе, и считается, что при этих значениях
параметра задача не имеет решения. При записи ответа обычно значения параметра
перечисляются в порядке возрастания от −∞ до +∞, но иногда
для компактности ответа объединяют промежутки для параметра, на которых формулы
решения совпадают.
В
случае ветвления решения удобно использовать числовую прямую 
., на
которую наносятся контрольные значения параметра, а на промежутках, на которые
эти значения разбили прямую, указываются ответы задачи. Данный прием позволяет
в дальнейшем не потерять найденные ответы и четко указать значения параметра,
которым они соответствуют.
Продемонстрируем
сказанное выше на примере.
Пример
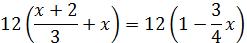
10: Решить неравенство 
.
Решение:
Контрольные
значения параметра получаются из условия 
, так как
при 
неравенство
не содержит переменной x.
Нанесем
на числовую ось Oa контрольные значения. Они разбивают ось Oa на промежутки:
)
a<0; 2) 0< a <2; 3) a>2
На
каждом из этих промежутков решим данное неравенство. Значения a=0 и . a=2
требуют отдельного рассмотрения.
Если
a<0, то a(a-2)>0. Разделив обе части неравенства на множитель a(a −
2) ≠ 0 , получим x>
.
Если
2>a>0, a(a − 2) < 0 и, следовательно, x<
.
Если
a>2, a(a −
2) > 0 и x>
/
Нанесем
получаемые в ходе решения ответы на соответствующие промежутки числовой оси Oa
и запишем ответ.
Промежуток,
к которому относится соответствующее решение, помечается на рисунке дугой. На
ее конце ставится стрелочка в том случае, если это решение не относится к
крайней точке промежутка.
Рис.
3
Ответ:
Если a<0, то x>
; если 0<a<2,
то x<
; если
a>2, то x>
; если
a=0 и a=2, то решений нет.
Главная
особенность задач с параметрами - ветвления решения в зависимости от значений
параметров. Другими словами, процесс решения осуществляется классификаций
частных уравнений (неравенств) по типам с последующим поиском решений каждого
типа.
Одновременно
решение бесконечной совокупности частных уравнений и неравенств с учетом
требования равносильности преобразований возможно лишь при развитии
достаточного уровня логического мышления. С другой стороны, формирование
методов решения уравнений и неравенств с параметрами обеспечивает значительный
процесс в развитии математической культуры учащихся. Развивающий характер
уравнений и неравенств с параметрами определяется их способностью реализовывать
многие виды мыслительной деятельности учащихся:
.
Выработка определенных алгоритмов мышления.
.
Умение определить наличие и количество корней в уравнении.
.
Выражение одной переменной через другую.
.
Нахождение области определения уравнения.
.
Повторение большого объема формул при решении.
.
Значение соответствующих методов решения.
.
Широкое применение словесной и графической аргументации.
.
Развитие графической культуры учащихся.
Все
вышесказанное позволяет говорить о необходимости изучения решений задач с
параметрами.
уравнение неравенство параметр
Заключение
Таким образом, в нашей курсовой работе речь шла о уравнениях и
неравенствах с параметрами в школьном курсе математике, особенности их решения.
Были рассмотрены уравнения и неравенства в школьном курсе математике,
особенности решения уравнений и неравенств с параметрами .Была разработана
методики к решению уравнений и неравенств с параметрами.
Цель нашей курсовой работы заключалась в выявление видов, методов решения
уравнений и неравенств с параметрами.
Для достижения данной цели, была подобрана и изучена литература по данной
проблеме, исследовано особенности решения уравнений и неарвенств с
параметрамишкольном курсе математики основной школы, представлена методические
рекомендации к решению уравнений( неравенств) с параметрами.
Вывод: Задачи с параметрами являются самыми сложными из всех заданий
школьного курса математики. Для их решения требуется умение мыслить логически:
необходимо в каждый момент проведения решения достаточно отчётливо представлять
себе, что уже сделано, что ещё надо сделать, что означают уже полученные
результаты. В заданиях ЕГЭ по математике проверяется умение выпускника мыслить
сжато, логично и аргументировано.
Изучение уравнений и неравенств с параметрами в общеобразовательных
школах дает учащимся большие возможности для анализа различных ситуаций, то
есть показывает значимость этих понятий при решении многих практических задач.
Именно с простейших практических задач и приложений математически постепенно
формируется у школьников понимание значимости математики в жизни.
Список используемой литературы
уравнение неравенство математика
1. Алгебра. 7 класс: Учеб.для общеобразовательных учеб.
заведений / К.С. Муравин, Г.К. Муравин, Г.В. Дорофеев. - М.: Дрофа, 2010.
2. Алгебра. 7 класс: В двух частях. Ч. 1: Учебник для
общеобразоват. учреждений / А.Г. Мордкович. - М.: Мнемозина, 2010.
3. Алгебра. 7 класс: Учебник для общеобразоват.
учреждений / С.М. Никольский, М.К. Потапов и др. - М.: Просвещение, 2011.
. Алгебра. 8 класс: Учеб.для общеобразовательных учеб.
заведений / К.С. Муравин, Г.К. Муравин, Г.В. Дорофеев. - М.: Дрофа, 2012.
. Алгебра. 8 класс: В двух частях. Ч. 1: Учебник для
общеобразоват. учреждений / А.Г. Мордкович. - М.: Мнемозина, 2011.
. Алгебра. 8 класс: Учебник для общеобразоват.
учреждений / С.М. Никольский, М.К. Потапов и др. - М.: Просвещение, 2011.
. Алгебра. 9 класс: Учеб.для общеобразовательных учеб.
заведений / К.С. Муравин, Г.К. Муравин, Г.В. Дорофеев. - М.: Дрофа, 2013.
. Алгебра. 9 класс: В двух частях. Ч. 1: Учебник для
общеобразоват. учреждений / А.Г. Мордкович. - М.: Мнемозина, 2013.
. Алгебра. 9 класс: Учебник для общеобразоват.
учреждений / С.М. Никольский, М.К. Потапов и др. - М.: Просвещение, 2011.
. Алгебра. Учеб.для 7 класса средней школы / Ю.Н.
Макарычев, Н.Г. Миндюк и др.; под ред. Теляковского. - М.: Просвещение, 2011.
. Алгебра. Учеб.для 7 класса средней школы /Ш.А.
Алимов, Ю.М. Колягин и др. - М.: Просвещение, 2012.
. Алгебра. Учеб.для 8 класса средней школы / Ю.Н.
Макарычев, Н.Г. Миндюк и др.; под ред. Теляковского. - М.: Просвещение, 2014.
. Алгебра. Учеб.для 8 класса средней школы /Ш.А.
Алимов, Ю.М. Колягин и др. - М.: Просвещение, 2011.
. Алгебра. Учеб.для 9 класса средней школы / Ю.Н.
Макарычев, Н.Г. Миндюк и др.; под ред. Теляковского. - М.: Просвещение, 2010.
. Алгебра. Учеб.для 9 класса средней школы /Ш.А.
Алимов, Ю.М. Колягин и др. - М.: Просвещение, 2001.
. Беляева Э.С. Математика. Уравнение и неравенство с
параметрами в 2 ч.: Учебное пособие/ Беляева Э.С., Потапов А.С., Титоренко С.А.
-., - М.:,2009.
. Крамор В.С. Задачи с параметром и методы их решения :
Учебное пособие /- М.: Оникс; Мир и Образование,2007
. Козко А.И. Задачи с параметрами и другие сложные задачи:
Учебное пособие для вузов/Козко А. И.,Чирский В. Г. - М.:,МЦНМО,2007.
. Мирошин В.В. Решение задач с параметрами. Теория и
практика: Учебное пособие /. - М.: Экзамен,2009.
. Прокофьев А.А. Задачи с параметрами: Учебное пособие. - М.:
МИЭТ, 2004.
. Севрюков П.Ф. Школа решения задач с параметрами: Учебное
пособие /Севрюков П.Ф., Смоляков А. Н.-2-е изд.- М.:,2009.