Необхідність та сутність кредиту
1.ЗАГАЛЬНІ ПЕРЕДУМОВИ ТА ЕКОНОМІЧНІ
ЧИННИКИ НЕОБХІДНОСТІ КРЕДИТУ
кредит гроші банк
Кредит існував не завжди. Він виник на певному етапі
розвитку людського суспільства. Його винайдення вважають одним з
найгеніальніших відкриттів людства поряд із винайденням грошей. Причини його
виникнення слід шукати насамперед не у сфері виробництва, а у сфері обміну, де
продавці товарів протистоять один одному як власники, як юридичне самостійні
особи.
Коли товарно-грошові відносини почали ставати
більш-менш регулярними, взаємовідносини між товаровиробниками іноді набували
особливого характеру: продавцеві потрібно було продати товар, а в покупця не
було грошей, щоб його купити (тому що він ще не виготовив свій товар або
виготовив, але не продав його з тих чи інших причин). За таких умов акт
купівлі-продажу товару не міг відбутись. І тут випадково, як і багато інших
винаходів людства, був відкритий кредит - за наявності довіри продавця до
покупця товар був проданий з відстрочкою платежу, у кредит. Таким чином, кредит
виник і розвинувся на основі функції грошей як засобу обігу. З його виникненням
гроші, окрім функції міри вартості і засобу обігу, стали виконувати й функцію
засобу платежу, однією з ознак якої є розрив у часі між передачею товару і
грошей із рук у руки. Отже, кредит полегшував реалізац ію товарів. Саме в цьому
й полягає найбільш поширена причина необхідності кредиту. Але пізніше кредит
розвивався, і необхідність у ньому стала обумовлюватися не тільки потребами
сфери обміну, а й інших сфер суспільного відтворення - виробництва, споживання.
В умовах сучасного розвитку товарного виробництва,
коли воно набуло загального характеру, стан економічних зв'язків не тільки в
межах однієї країни, а й в усьому світі дуже ускладнився. За таких умов його
навіть неможливо собі уявити без кредиту. Адже внаслідок спеціалізації
виробників на виготовленні певних товарів і викликаного нею кооперування
суспільне виробництво перетворилось у свого роду величезний замкнутий ланцюг
тісно пов'язаних між собою товарно-грошовими відносинами ланок -
товаровиробників, продавців, споживачів. І щонайменше порушення у будь-якій із
цих ланок може призвести до того, що вона не розрахується за своїми
зобов'язаннями з іншими його ланками.
Як наслідок, може бути порушений нормальний обмін
товарами між окремими учасниками товарно-грошових відносин, тобто цей ланцюг
може "розірватись". Саме в цьому полягає абстрактно-теоретична
можливість кризи збуту товарів у суспільстві, котра стає реальною, якщо подібні
порушення набувають масового характеру. Все це досить негативно може вплинути
на фінансово-господарську діяльність цілого ряду учасників суспільного
відтворення. Тому суспільство повинно мати у своєму розпорядженні такі
економічні інструменти, з допомогою яких можна було б запобігати перебоям у
сфері суспільного виробництва, загалом суспільного відтворення. Одним із
найважливіших таких інструментів і став кредит. Звідси існування товарного
виробництва і пов'язаного з ним товарного обігу є найбільш загальною
економічною причиною необхідності кредиту.
Історична наука стверджує, що кредит був відомий не
менш, ніж 3000 років тому в Ассирії, Вавилоні, Єгипті. Починаючи з XII ст.
діяла комплексна система торгового кредиту в Європі. З одного боку, купці
продавали свої товари в кредит, а з іншого - надавали аванси товаровиробникам
під майбутню поставку товарів. Активне застосування кредиту було властиве і
середньовічній торгівлі на території сучасної України.
Як показало вивчення вченими Львівської міської книги
за 1382- 1389 pp., у Львові (напевне, й в інших руських містах) були досить
розвинуті кредитні відносини. Гроші позичались під заставу зі сплатою
відсотків. Окрім цього, надання кредиту було пов'язане й з торгівлею, зокрема з
так званим складським правом, коли непроданий протягом відведеного купцеві часу
товар залишався в кредит (при абсолютному складському праві купець не мав права
їхати зі своїм товаром далі).
У тому ж таки XIV ст. був удосконалений переказний
вексель і розширилось надання комерційного кредиту. Щоправда, середньовічні
векселі рідко дисконтувались чи переводились з допомогою індосаменту. Кредит
мав бути забезпечений капіталом, про що вказувалось у векселі. Оплачуватись
вексель мав золотими або срібними монетами. Хоч карбування монет на території
сучасної України почалося ще в X ст., через відсутність власного золота і
срібла обсяги карбування своїх монет (монетні двори розташовувались у Києві і
Львові) були незначні, тому доводилось користуватись чеськими і татарськими
монетами. Срібло на львівський монетний двір завозилось із Семиграддя, що в Угорщині
[Котляр Н. Ф. Кладоискательство й нумизматика. - К.: Наук, думка, 1974. -С. 50
-63].
Перелічені причини, а також потреба розширити
виробництво в умовах, коли бракує нагромаджених для цього власних коштів,
безперечно, свідчить про те, що кредит необхідний уже функціонуючому
товаровиробникові. Однак ще більш він потрібний тому, хто лише бажає
організувати власне виробництво чи розпочати якусь іншу підприємницьку
діяльність, але ще не зміг накопичити для цього власний капітал. Приблизно така
ж ситуація виникає й у сфері споживання. Зазвичай у молодих людей потреби
перевищують їх доходи, тому часто у них виникає необхідність одержати кредит.
Подібна ситуація нерідко виникає й у держави в цілому, що також зумовлює
потребу в кредиті. Отже, без кредиту нормальне функціонування товарного
виробництва, товарного обігу та споживання у сучасному суспільстві взагалі
неможливе. Він стає обов'язковим атрибутом господарювання. "Купуй зараз,
плати потім", - такий принцип кредитного господарства, як називають
сьогоднішню економіку, котра вся пронизана кредитними відносинами.
Проте, окрім цих загальних причин необхідності
кредиту, є ряд специфічних чинників, які її деталізують. Зокрема, кредит
можливий лише за певних передумов. Однією з них, і напевне першою, стало майнове
розшарування суспільства у період розпаду первіснообщинного ладу, коли бідний
мусив звертатися за позичкою до багатшого. У сучасних умовах така
закономірність не є обов'язковою. Через різні причини тимчасово вільна вартість
у грошовій чи натуральній формі може бути в одних юридичних чи фізичних осіб, а
потреба в їх запозиченні виникає в інших. Тому необхідність акумуляції
тимчасово вільної вартості для надання її в позичку є однією з основних
передумов кредитних відносин.
Але для виникнення кредитних відносин насамперед
потрібно, щоб той, хто надає кредит, довіряв тому, хто хоче його отримати. Адже
саме слово "кредит" походить від латинського credere - довіряти, або
відповідно credo - вірю. Довіра - фундамент кредитних відносин, одна з найважливіших
передумов їх виникнення. Проте нині ця передумова часто відступає на другий
план. Для виникнення кредитних відносин і укладення кредитної угоди самої
довіри зараз замало, бо майже завжди існує ризик несвоєчасного чи неповного
повернення кредиту. А тому кредиторові, як правило, потрібні певні гарантії
його повернення, отримані чи від самого позичальника (наприклад, у вигляді
застави), чи від того, хто має певний капітал або майно, чи від страхової
компанії тощо.
Окрім довіри, обов'язковою передумовою виникнення кредитних
відносин є збіг економічних інтересів кредитора і позичальника. Він досягається
через переговори між ними щодо основних параметрів кредитної угоди - розмір і
термін позички, величина позичкового процента та порядок його сплати тощо.
Таким чином, забезпечення інтересів сторін кредитної угоди є результатом
досягнутого ними компромісу.
За своєю природою кредитна угода, в основі якої лежить
тимчасове запозичення чужої власності, обумовлює необхідність матеріальної
відповідальності її учасників за виконання взятих на себе зобов'язань. Тому ці
учасники мають бути юридичне самостійними особами. Фізичні ж особи можуть стати
суб'єктами кредитних відносин за умови їх дієздатності з правового погляду. Це
також є однією з передумов виникнення кредитних відносин.
Ще однією передумовою цих відносин є отримання
позичальником регулярних доходів, за рахунок яких він зможе погасити кредит.
Ними можуть бути виручка від реалізації товарів, отримувані заробітна плата,
пенсія тощо, надходження податків та ін. Як правило, за відсутності цієї
передумови кредит не надається. Наприклад, він не може надаватись організаціям,
закладам і установам, які повністю перебувають на бюджетному фінансуванні. Але
в окремих випадках, коли є надійна гарантія виділення бюджетних асигнувань у недалекому
майбутньому, їм також може бути надано кредит.
Для юридичних осіб - суб'єктів господарювання ще
однією неодмінною економічною передумовою, існування кредиту, яка випливає з
попередньої, є їх функціонування на засадах комерційного чи господарського
розрахунку. У першому випадку діяльність підприємницької структури
здійснюється, як кажуть, на свій страх і ризик. У другому випадку (діяльність
на засадах госпрозрахунку) є можливість у разі необхідності отримати допомогу
від вищої організації (міністерства, відомства тощо).
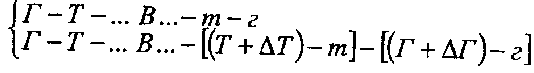
В умовах діяльності на засадах комерційного чи
господарського розрахунку авансований суб'єктом господарювання капітал (Г)
здійснює кругообіг, який можна зобразити формулою:
Мал. 57
У верхній частині наведеної формули зображено
кругообіг основного капіталу протя гом одного циклу виробництва і реалізації
товару. При цьому засоби праці (Т), до яких належать будівлі, споруди,
устаткування, машини, механізми тощо, у процесі виробництва (В) переносять на
виготовлений товар лише частину своєї вартості у вигляді амортизаційних
відрахувань (m), які надходять товаровиробникові у складі виручки від
реалізації товару в сумі (г). Ці амортизаційні відрахування на тривалий час
осідають (тобто є тимчасово вільними) в амортизаційному фонді товаровиробника і
слугують джерелом відшкодування зношених засобів праці на новій чи попередній
технічній основі. Повністю капітал, авансований товаровиробником в основні
засоби, повертатиметься останньому протягом тривалого часу, який визначається
нормативним строком служби цих засобів. До заміни зношених основних засобів
новими кошти амортизаційного фонду можуть зберігатись на депозиті у фінансових
посередників, інвестуватись у цінні папери чи тимчасово використовуватись самим
товаровиробником для розширення масштабів виробництва.
У нижній частині формули зображено кругообіг
оборотного капіталу, який авансований на придбання предметів праці (сировини,
основних і допоміжних матеріалів, палива, тари, залишків незавершеного виробництва
тощо) та формування засобів обігу (готової продукції, товарів у процесі
реалізації, грошових коштів). У цій частині формули deltaГ і deltaГ означають
додаткову вартість, створену робочою силою у процесі виробництва. У цілому ця
формула показує, що амортизаційні відрахування належать до основного, а не
оборотного капіталу.
Відомо, що під впливом різних чинників потреба
підприємств у оборотному капіталі коливається як протягом одного циклу, так і
(особливо) в різних циклах кругообігу. Ці коливання бувають двох видів -
сезонні та постійні. Сезонні коливання переважно викликані природними
чинниками, а постійні - в основному різними випадковими
причинами. З метою забезпечення безперервності індивідуального кругообігу
капіталу обидва види цих коливань зумовлюють необхідність кредиту. За
характером та обсягами ці коливання істотно різняться між собою (рис. 8.1 та
8.2).
Мал. 59
На рис. 8.1 зображені коливання потреби в оборотному
капіталі у підприємства з сезонним характером виробництва - цукрового заводу,
який працює лише на вітчизняній сировині. У першому кварталі, коли вже
закінчилось перероблення цукрових буряків, витрачені допоміжні матеріали
(камінь-вапняк для відбілювання цукру), мішкотара, паливо для ТЕЦ, закінчується
відвантаження виготовленої продукції покупцям, тобто почався період сезонного
простою, потреба в оборотному капіталі зменшується до мінімуму, який у таких
галузях визначається нормативом власного оборотного капіталу.
Але вже десь з другої половини II кварталу потреба в
оборотному капіталі у зв'язку з підготовкою до нового сезону цукроваріння
(здійснення ремонтних робіт, створення запасів палива, тари, вапняку тощо)
починає зростати. Отже, потреба в оборотному капіталі поступово підвищується.
Особливо швидко вона зростає в кінці НІ кварталу - у вересні, коли починається
заготівля цукрових буряків. Але своєї максимальної величини ця потреба досягає
приблизно в середині IV кварталу, коли в основному закінчується перевищення
обсягів заготівлі сировини над обсягами її перероблення. Далі потреба в
оборотному капіталі стрімко знижується. Відповідно зменшується й потреба в кредиті.
У наступному році такий цикл повторюється.
Звичайно, потреба в оборотному капіталі, що перевищує
його норматив, який на підприємствах із сезонним характером виробництва
визначається потребою в тому кварталі, коли вона найменша, могла б покриватися
власними коштами. Але для цього підприємство мусило б нагромадити власні кошти
у розмірі максимальної потреби в них, яка в нашому прикладі виникає у
четвертому кварталі. Проте в інші періоди року значна частина цих коштів була б
вільною.
Але досвід роботи підприємств свідчить, що коли є
вільні кошти, у них, як в аналогічних ситуаціях в окремих людей, виникає
спокуса їх витратити, причому часто без особливої потреби. Цим порушується
режим економії як один із важливих принципів раціонального господарювання. Кошти
більшою мірою використовуються по-господарському, коли підприємство перебуває
на "голодному фінансовому пайку". Тому йому недоцільно нагромаджувати
власні оборотні кошти у розмірі найбільшої протягом року потреби в них.
Підприємству досить мати ці кошти у розмірі мінімальної потреби - нормативу, а
потреби понад норматив у разі їх виникнення можна покривати за рахунок
нормальної кредиторської заборгованості, інших джерел коштів (вільних коштів
фондів цільового призначення, отриманого, але ще не перерахованого до бюджету
прибутку, невиплачених дивідендів тощо). Якщо таких джерел недостатньо,
підприємство мусить позичати кошти або в інших підприємств, або у фінансових
посередників.
Індивідуальний кругообіг і оборот капіталу окремих
суб'єктів господарювання тісно взаємопов'язаний і переплітається в масштабах
усього процесу суспільного відтворення з кругообігом і оборотом капіталів інших
суб'єктів. Коли в одних із них виникає необхідність у кредиті, в інших у цей
час кошти вивільняються. Так, якщо взяти наш приклад, то тоді, коли виникає
потреба цукрового заводу в кредиті, вільні кошти з'являються у
сільськогосподарських товаровиробників, які їх отримали за продані цукрові
буряки. Після реалізації цукру вільні кошти має цукровий завод, а потреба в
кредиті виникає у покупців цукру (підприємств торгівлі та громадського
харчування, кондитерської промисловості та ін.). Тимчасово вільними можуть бути
заощадження населення, нагромадження держави та кошти на рахунках бюджетних
організацій, власні кошти різних фінансових посередників. Саме це дає
можливість перерозподіляти кошти в суспільстві на засадах повернення з
допомогою кредиту.
Передбачити потребу в запозичених коштах на
підприємствах із сезонним характером виробництва, до яких належать
сільськогосподарські, торфодобувні підприємства, підприємства з вирощування і
вилову риби, заготівлі лісу, заготівлі та перероблення сільськогосподарської
сировини тощо, не дуже важко. Адже відомо, коли і яка пора року змінює іншу,
які процеси в той чи той період відбуваються в даній галузі економіки.
Звичайно, точний обсяг потреби у запозичених коштах наперед визначити складно,
але суттєвого значення це не має. Головне, що підприємство знає, в які саме
періоди і в яких приблизно обсягах у нього виникає необхідність залучення кредиту.
Водночас на інших підприємствах у ці періоди з'являються тимчасово вільні
кошти, котрі можуть бути надані в кредит ними безпосередньо або банками, де ці
вільні кошти зберігаються.
Інакше відбувається процес кругообігу оборотного
капіталу на підприємствах з несезонним характером виробництва. Це, як правило,
підприємства гірничої, металургійної, хімічної, машино-і приладобудівної
промисловості, більшість підприємств легкої промисловості та промисловості
будівельних матеріалів та ін. їм не властиві ні сезонне зростання потреби в
оборотному капіталі, ні періоди сезонного простою. Однак і на цих підприємствах
потреба в оборотному капіталі протягом року постійно коливається. Це пов'язано
з нерівномірним надходженням і витрачанням товарно-матеріальних цінностей (сировини,
основних і допоміжних матеріалів, палива, тари тощо), наростанням витрат на
незавершене виробництво, випуском і реалізацією готової продукції та іншими
чинниками. Такі коливання, як показано на рис. 8.2, мають значно меншу і
завчасно непередбачувану амплітуду.
Норматив власного оборотного капіталу на підприємствах
з несезонним характером виробництва також установлюється не за найбільшою
потребою в коштах, але й не за найменшою. Нормативом тут є середня потреба в
оборотному капіталі, яка визначається на підставі середніх величин (середній
інтервал та величина поставки товарно-мат еріальних цінностей, середні витрати
часу на розвантаження, маркування і складування тощо), а середня із середніх і
є середня величина. Фактична ж потреба в оборотних коштах на таких
підприємствах постійно відхиляється від нормативу в обидва боки.
Відхилення від нормативу вниз викликає вивільнення, а
вверх - Додаткову потребу в оборотному капіталі. Якщо у розпорядженні
підприємства немає відповідних джерел коштів, то у нього виникає необхідність
використання кредиту. Звичайно, вона дуже короткочасна, але виникає досить
часто. Тому механізм задоволення такої потреби має бути іншим, більш гнучким,
ніж для підприємств із сезонним характером виробництва.
Але в цілому можна зробити висновок, що коливання
потреби в оборотному капіталі є однією з причин необхідності кредиту. Ця
причина визнається майже усіма економістами, проте у більшості випадків поза їх
увагою залишається необхідність кредиту, яка випливає із коливань структури джерел
формування оборотного капіталу. Щоб це довести, розглянемо умовний приклад,
наведений у табл. 8.1, в якому застосовано метод абстракції, який часто
використовується в економічній науці. Припустимо, що у підприємства ідеально
однакова потреба в оборотному капіталі на всі дати, але обсяг окремих джерел
покриття цієї потреби постійно змінюється.
Мал. 60
З даних таблиці видно, що на ті дати (на 1.01 та
1.04), на які підприємство не мало у своєму розпорядженні достатньо коштів для
покриття загальної потреби в них, у нього виникла потреба в кредиті. На решту
дат воно обходиться тими коштами, які в нього є, а тому потреби в кредиті не
має. Таким чином, кредит є балансуючим джерелом, за рахунок якого покривається
різниця між загальною потребою підприємства в оборотному капіталі та обсягом
коштів, які воно має у своєму розпорядженні на конкретну дату.
Наявністю коливань потреби в коштах і джерелах їх
формування викликається також необхідність кредиту на капітальні вкладення підприємств.
В умовах ринкової економіки і належності суб'єктів господарювання переважно до
приватної або колективної форм власності амортизаційні відрахування як складова
їх основного капіталу (див. наведену
вище формулу кругообігу авансованих підприємством коштів) у них не вилучаються,
а перебувають у їх розпорядженні для самофінансування відновлення об'єктів
основного капіталу шляхом їх ремонту, технічного переозброєння чи
реконструкції. В окремих випадках (наприклад, коли введені в дію засоби праці
дуже швидко морально застаріли) на підприємстві може виникнути необхідність у
залученні кредиту. Зараз у багатьох підприємств накопичені ними для капітальних
вкладень кошти знецінились внаслідок інфляції, яка стала основною причиною
інвестиційної кризи в Україні. Тому майже усі підприємства відчувають гостру
потребу в залученні зі сторони інвестицій або кредитів.
Особливо цю потребу відчувають підприємства, які перед
запровадженням ринкових умов господарювання, тобто ще за часів існування
Радянського Союзу, залишились з дуже зношеним виробничим апаратом. Адже кошти,
призначені для фінансування капітальних вкладень, у них вилучались у
безповоротному порядку для фінансування інших підприємств. А черга на виділення
їм централізованих джерел фінансування цих вкладень так і не підійшла.
Перехідного ж етапу від адміністративно-командної до ринкової економіки, по
суті, не було. Звичайно, такі підприємства опинились у дуже скрутному
становищі, з якого без державної допомоги, зовнішніх інвестицій чи кредиту на
капітальні вкладення вибратись не зможуть.
Для розширення діючого чи організації нового
виробництва кредит необхідний не лише на відновлення об'єктів основного
капіталу, а й на будівництво чи придбання нових. Адже власних коштів для цього
суб'єкти підприємницької діяльності майже не мають. Ці потреби в кредиті на
цілі нагромадження є навіть більш об'єктивними, ніж на відновлення зношених
об'єктів основного капіталу. Джерелом їх погашення буде майбутній прибуток від
експлуатації придбаних за рахунок кредиту основних засобів.
Значні коливання доходів та видатків населення також
зумовлюють необхідність кредиту. В умовах нормального розвитку економіки у
молодих людей потреби часто перевищують їхні доходи. Адже часто необхідно
платити за отримання освіти, купувати житло, меблі, побутову техніку,
автомобіль тощо. Але доходів вони або зовсім не мають, або ці доходи ще
незначні. Водночас у людей похилого віку в нормальних умовах розвитку економіки
часто є вільні кошти, які вони зберігають у фінансово-кредитних установах. Це створює
передумови для надання кредиту.
Отже, можна зробити висновок, що необхідність кредиту
викликана існуванням товарно-грошових відносин. Його передумовою є наявність
поточних або майбутніх доходів у позичальника, а конкретними причинами, що
обумовлюють необхідність кредиту, - коливання потреби в коштах та джерелах їх
формування як у юридичних, так і у фізичних осіб. Коли в одних із них кошти
вивільняються, іншим їх не вистачає. Ця суперечність розв'язується за допомогою
кредиту, котрий необхідний позичальнику для розширення виробництва або для
повнішого задоволення власних потреб.
. СУТНІСТЬ КРЕДИТУ. ТЕОРЕТИЧНІ КОНЦЕПЦІЇ КРЕДИТУ
За своєю сутністю та механізмом
впливу на процес суспільного відтворення кредит є однією з найскладніших
економічних категорій. Щодо цього він поступається хіба що тільки категорії
грошей. Тому в економічній теорії протягом кількох століть ведуться дискусії
навколо питань, пов'язаних із сутністю та роллю кредиту. Ці дискусії тривають і досі. Найбільш
поширеними в економічній літературі є два підходи до визначення сутності
кредиту:
ототожнення кредиту з цінністю, яка передається одним
економічним суб'єктом іншому в позичку. При такому підході увага дослідника
зміщується на саму позичку, її правову форму, що зумовлює вихолощування з
кредиту його економічного змісту;
ототожнення кредиту з певним видом економічних
відносин, які формуються в суспільстві. Такий підхід дає можливість глибше
дослідити економічні аспекти кредиту, економічні чинники його існування, основи
та закономірності його руху. Тому цей підхід у сучасній літературі переважає.
Він покладений в основу висвітлення сутності кредиту і в цьому підручнику.
За своєю сутністю кредит - це суспільні відносини, що
виникають між економічними суб 'єктами у зв'язку з передачею один одному в
тимчасове користування вільних коштів (вартості) на засадах зворотності,
платності та добровільності. Кредитні відносини мають ряд характерних ознак,
які конституюють їх як окрему самостійну економічну категорію - кредит.
Основними ознаками відносин, що становлять сутність
кредиту, є такі:
учасники кредитних відносин повинні бути економічно
самостійними: бути власниками певної маси вартості і вільно нею розпоряджатися;
функціонувати на основі самодостатності та самоокупності; нести економічну
відповідальність за своїми зобов'язаннями. Без цього вони не зможуть набути
статусу ні кредитора, ні позичальника. Щоб стати кредитором, економічний
суб'єкт повинен накопичити у власності певну суму вільних коштів, якими може
вільно розпоряджатися. А щоб стати позичальником, суб'єкт повинен мати
передумови для накопичення в майбутньому у своїй власності достатньої суми
вільних коштів для повернення боргу;
кредитні відносини є добровільними та рівноправними.
Тільки за цих умов вони будуть взаємовигідними і зможуть розвиватися по
висхідній. Інакше ці відносини будуть згасати і розриватися, тобто втратять
здатність до розвитку. Економічна самостійність суб'єктів, добровільність,
рівноправність та взаємна вигода роблять кредитні відносини внутрішньо
адекватними ринковим відносинам, зумовлюють їх розвиток на ринкових засадах;
кредитні відносини не змінюють власника цінностей, з
приводу яких вони виникають. Кредитор залишається власником переданої в борг
вартості, а позичальник одержує її лише у тимчас ове розпорядження, після чого
повинен повернути власникові. Незмінність власника в кредитних відносинах
вимагає особливо чіткого і дійового правового їх оформлення, щоб захистити
інтереси власника. Якщо такий захист не забезпечується правовими засобами, то
кредитні відносини втрачають свої визначальні ознаки і перетворюються в щось
інше, ніж кредит. У цьому зв'язку інтереси кредитора для правового захисту є
більш пріоритетними, ніж інтереси позичальника;
кредитні відносини є вартісними, оскільки виникають у
зв'язку з рухом вартості (грошей чи матеріальних цінностей). Проте вони не є
еквівалентними, тому що кожне переміщення вартості не супроводжується
зустрічним рухом відповідного еквівалента. Однак вартість переміщується на
зворотних засадах, тобто після певного періоду ці кошти повертаються назад у
висхідне положення. Можливість їх неповернення робить позицію кредитора у цих
відносинах досить вразливою, ризикованою. Для захисту своїх позицій кредитори
повинні мати переважні права при визначенні доцільності кредитування та розміру
плати за кредит;
нееквівалентність кредитних відносин значно посилює в
механізмі їх реалізації роль чинника платності, за яким позичальник повертає
власникові більшу масу вартості, ніж сам одержує від нього. Така плата, що
називається процентом, має подвійне призначення:
) компенсувати кредитору втрату доходу у зв'язку з
передан-ням відповідної суми коштів у чуже розпорядження та можливі збитки на
випадок неповернення позички;
) стимулювати позичальника до підвищення ефективності
використання одержаних у позичку коштів.
Платність істотно відрізняє кредитні відносини від
інших видів вартісних відносин, є тільки їх видовою ознакою.
Кредитні відносини на мікроекономічному рівні є
перервними, тобто після повернення одержаної в борг вартості і сплати процента
вони перериваються. Проте на макроекономічному рівні кредитні відносини
підтримуються безперервно як безперервний рух вартості в процесі суспільного
відтворення. Закінчуючи відносини з приводу однієї суми вартості чи з одним
контрагентом, економічні суб'єкти постійно вступають у кредитні відносини з
іншими контрагентами чи з тими самими, але з приводу інших сум вартості. Тому
кредитні відносини виходять за межі відносин двох економічних суб'єктів і мають
характер загальносуспільних.
Безперервність та платність кредитних відносин
визначають ще одну характерну їх рису - здатність забезпечувати зростання
вільної вартості, тобто її капіталізацію. Відтак формується особлива самостійна
форма капіталу - позичковий капітал. Зі становленням капіталістичного способу
виробництва, коли кредитні ресурси стали важливим джерелом формування
промислового і торгового капіталу, позичковий капітал, а разом з ним і кредит
набули особливого суспільного значення. Кредит, по суті, став іманентною формою
руху позичкового капіталу.
Кредит як форма суспільних відносин має багато
спільного з іншими економічними категоріями - грошима, фінансами, торгівлею,
капіталом та ін. Зокрема, всі вони є вартісними категоріями, обслуговують рух
вартості в процесі відтворення. Вони тісно переплітаються між собою
функціонально. Так, гроші як засіб платежу з'явилися на грунті кредитних
відносин. Вони успішно обслуговують їх і нині. Кредит у функції перерозподілу
вартості обслуговує рух капіталу, сприяє формуванню фінансових ресурсів,
розвитку торгівлі. Особливо тісно пов'язаний кредит з грошима, і цей зв'язок
дедалі посилюється в міру розвитку суспільного виробництва й ускладнення
економічних відносин .
Водночас кредит -- це цілком самостійна категорія, що
функціонує поряд з іншими категоріями, не замінюючи жодної з них і не
поступаючись їм сферою свого призначення.
Від грошей (як грошей) кредит відрізняється такими
рисами:
у них різний склад суб'єктів-носіїв відповідно
грошових і кредитних відносин: у першому випадку ними є продавець і покупець, у
другому - кредитор і позичальник, які можуть не збігатися;
у них різний характер руху вартості: в суто грошових
відносинах має місце зустрічне, еквівалентне переміщення двох різних форм
вартості - товарної і грошової, а в кредитних відносинах - нееквівалентне переміщення
вартості в грошовій або в товарній формі;
у них різне суспільне призначення в процесі
відтворення. Гроші призначені забезпечити реалізацію споживної вартості і
довести її до кінцевого споживача. Вони також є засобом накопичення
реалізованої вартості. Кредит призначений задовольняти тимчасові потреби в
додаткових коштах одних економічних суб'єктів та сприяти вигідному розміщенню
вільних коштів - для других. Навіть якщо кредит здійснюється в грошовій формі,
таке його іманентне призначення від цього не змінюється. І навпаки, якщо кредит
(замість грошей) забезпечує доведення виробленої вартості до кінцевого
споживача (продаж товару з відстрочкою платежу), він не замінює грошей в
реалізації цієї вартості: коли настає строк погашення кредиту, тільки гроші
можуть забезпечити еквівалентний платіж за товар, хоч виступає він у формі
погашення боргу;
кредит за сферою використання є більш
"вузькою" категорією, ніж гроші. Гроші обслуговують реалізацію всього
ВВП (крім бартеру), розподіл і перерозподіл його вартості, а кредит обслуговує
рух тільки частини ВВП у процесі відтворення. Тому учасниками грошових відносин
є всі юридичні і фізичні особи суспільства, а кредитних відносин - тільки певна
частина їх;
рух грошей від одного економічного суб'єкта до іншого
(у некредитних відносинах) завжди супроводжується зміною власника відповідної
вартості, представленої грошима: право власності на гроші переходить від
платника до одержувача. При кредитному переміщенні вартості власником її завжди
залишається кредитор. Навіть продаючи товари у кредит, продавець зберігає за
собою право власності на них, яке підтверджується поверненням вартості при
погашенні боргу покупцем.
Отже, кредит і гроші - це дві самостійні економічні
категорії, кожна з яких має своє специфічне призначення, сферу використання та
характер руху вартості.
Істотні відмінності є між кредитом і фінансами. На
відміну від кредиту, фінанси формуються в процесі розподілу вартості (кредит -
у процесі перерозподілу), рух вартості у фінансових відносинах пов'язаний зі зміною
власності, не є зворотним і платним, визначається переважно неринковими,
адміністративно-вольовими чинниками. Фінанси і кредит функціонують переважно
паралельно, на відокремлених економічних сегментах, доповнюючи, а не
підміняючи, один одного. І навіть у тих випадках, коли фінанси і кредит
використовуються на одному й тому ж самому економічному сегменті, вони не
знеособлюються, а зберігають свою видову специфіку.
Наприклад, при виконанні державного бюджету можуть
використовуватися як суто фінансові відносини (податки та бюджетне
фінансування), так і кредитні (державні позики). Проте якщо фінансові відносини
по закінченні бюджетного року в основному завершуються, то кредитні відносини
будуть продовжуватися доти, доки держава не погасить усю суму державного боргу,
пов'язаного з формуванням даного бюджету.
Істотно відрізняється кредит і від торгівлі,
насамперед нееквівалентним рухом вартості при кредитуванні. У торгівлі рух
вартості здійснюється на еквівалентних засадах. Разом з тим кредит і торгівля
теж тісно переплітаються: торгівля все чистіше здійснюється в кредит, а кредит
організується на засадах торгівлі борговими зобов'язаннями.
Для конкретизації сутності кредиту потрібно розглянути
окремі елементи кредитних відносин. Ними є об'єкти та суб'єкти кредиту.
Об'єктом кредиту є та вартість, яка передається в позичку одним суб'єктом
іншому. Суб'єкти кредиту - це кредитори і позичальники. Взяті разом, ці
елементи створюють структуру кредиту (рис. 8.3).

Позичена вартість як об'єкт кредиту є реальною, тобто
має бути наявною і фактично переданою кредитором позичальнику. Така передача
оформляється відповідною угодою з дотрим анням вимог чинного законодавства і
називається позичкою. Надання позички породжує кредитні відносини між
партнерами, які стають їх суб'єктами - кредитором та позичальником. Тому
поняття кредиту ширше за поняття позички, бо передбачає не тільки факт надання
останньої, а й відносини між сторонами, що виникають у зв'язку з наступним
погашенням позички, з урегулюванням взаємних претензій, пов'язаних з
несвоєчасним поверненням позички позичальником чи порушенням умов договору
кредитором тощо. Тому позичка є ключовою ланкою кредитних відносин.
Позичена вартість може бути в грошовій формі, у формі
товарів, виконаних робіт, наданих послуг. Незалежно від форми позичена вартість
є реальною цінністю і має бути збережена в процесі кредитних відносин, але не у
своїй первісній формі, а за своїм обсягом. Наприклад, якщо в позичку передані
товари, то це не значить, що позичальник повинен повернути кредитору ті самі чи
такі самі товари, а лише їх повну вартість у формі, яка задовольняє
позичальника, тобто у грошовій формі. Запорукою збереження позиченої вартості є
її ефективне використання позичальником, яке забезпечить її відтворення через
певний час. Це стосується як використання позиченої вартості на виробничі цілі,
так і на особисте споживання.
Кредитори - це учасники кредитних відносин, які мають
у своїй власності (чи розпорядженні) вільні кошти і передають їх у тимчасове
користування іншим суб'єктам. Кредиторами можуть бути фізичні особи, юридичні
особи (підприємства, організації, установи, урядові структури тощо), держава.
Особливе місце серед кредиторів посідають банки. Вони спочатку мобілізують
кошти в інших суб'єктів, у тому числі і на засадах запозичення, а потім самі
надають їх у позички своїм клієнтам. Тому банки можна розглядати як колективних
кредиторів (детальніше ця роль банків буде розглянута в розділі 10).
Позичальники - це учасники кредитних відносин, які
мають потребу в додаткових коштах і одержують їх у позичку від кредиторів.
Характерною ознакою позичальника є те, що він не стає власником позичених
коштів, а лише тимчасовим розпорядником. Тому його права стосовно використання
цих коштів дещо обмежені - він не може вийти за межі тих умов і цілей, які
передбачені його угодою з позичальником. З цього погляду позичальник перебуває
в певній залежності від кредитора. Проте це не заперечує рівноправності сторін
у кредитних відносинах.
Позичальниками можуть бути всі ті особи, що й
кредиторами: фізичні особи, всі юридичні особи, держава- Особливу роль серед
позичальників виконують банки - вони є не тільки колективними кредиторами, а й
колективними позичальниками: позичають гроші одночасно у великої кількості
кредиторів та у великих обсягах.
Кредитори і позичальники набувають цей статус
добровільно, на договірних засадах. Це дає їм можливість найповніше
задовольнити свої потреби і захистити свої інтереси, які у кожної зі сторін
кредиту відмінні. Зробити це у випадку, коли один з економічних суб'єктів
примушує іншого бути його кредитором, просто неможливо, оскільки сторони тут не
брали на себе відповідних зобов'язань. Наприклад, за станом на 1 січня 2000 р.
загальна сума заборгованості юридичних осіб за невиплаченою заробітною платою в
Україні становила 6,4 млрд. грн. Це примусове залучення юридичними особами у
свій оборот коштів фізичних осіб, яке за зовнішніми ознаками нагадує кредит.
Але між цими сторонами не було добровільної угоди, інтереси кредиторів виявилися
не захищеними, вони зазнають збитків (через інфляцію та неодержання плати за
користування їх коштами). Тому цих суб'єктів не можна вважати суб'єктами
кредиту, тобто кредиторами і позичальниками. Це скоріше фінансові відносини,
хоч теж у деформованому вигляді.
До економічних суб'єктів, які хочуть вступити в
кредитні відносини, тобто стати кредиторами і позичальниками, ставляться певні
вимоги. Вони повинні бути
юридично самостійними особами;
здатними нести майнову відповідальність перед другою
стороною, тобто мати дохід як гарантію виконання своїх зобов'язань;
взаємно заінтересованими у співробітництві один з
одним та готовими підписати відповідні угоди.
Сутність кредиту, як і його форма, постійно
розвивається й ускладнюється. В основі цього процесу лежить розвиток і
вдосконалення економічних відносин у суспільстві, що визначають зміни в
характері формування вільних коштів, ускладнення і розширення потреб
економічних суб'єктів у додаткових коштах, удосконалення організаційних та
правових відносин між суб'єктами кредиту тощо. Першою формою кредиту, що мала
найпростішу сутність, був лихварський кредит. Характерними ознаками цього
кредиту було те, що він має випадковий характер. Його суб'єктами на боці
кредиторів були просто багаті люди, які надавали в кредит лише власні кошти, а
на боці позичальників - незаможні (селяни, ремісники тощо). В останніх ще не
було чіткого розмежування потреб на виробничі та особисті. Тому одержання ними
позичок зумовлювалося не стільки виробничими потребами, скільки особистими. Такі
позички часто "проїдалися" і не поверталися, внаслідок чого
позичальник потрапляв в особисту залежність від кредитора.
З переходом до товарно-капіталістичного виробництва
відбулося чітке розмежування виробничих і особистих потреб у запозиченні
коштів. Підтримання і розвиток виробництва стали широкомасштабною сферою
застосування запозичених коштів і стимулювали масове формування вільних коштів.
Водночас значно зросла роль банків як спеціалізованих інституцій з організації
кредитних відносин. Сам кредит набув капіталістичного характеру і перетворився
в суспільний механізм капіталізації економічних відносин.
У міру розвитку кредитних відносин та підвищення їх
ролі в житті суспільства кредит все більше привертав до себе увагу науковців.
Попервах економічна думка зосереджувалася переважно на самому понятті кредиту,
на пізнанні його сутності. Лише з XVIII ст. розпочалися дослідження механізму
зв'язків кредиту з суспільним виробництвом, що відкривало шлях для формування
суто наукової теорії кредиту. На сьогодні економічна наука визнає дві провідні
теорії кредиту: натуралістичну та капіталотворчу.
Натуралістична теорія кредиту в загальних рисах
зводиться до таких положень:
· об'єктом кредиту є тимчасово вільний
капітал у натурально-речовій формі;
· кредит - це форма руху матеріальних
благ, а тому роль кредиту полягає в перерозподілі цих благ у суспільстві;
· позичковий капітал є реальним
капіталом, тобто капіталом у речовій формі;
· банки є лише посередниками в кредиті,
спочатку акумулюючи вільні кошти, а потім розміщуючи їх у позичку;
пасивні операції банків є первинними порівняно з
активними. Основоположниками натуралістичної теорії кредиту були класики
політичної економії А. Сміт, Д. Рікардо, А. Тюрго, Дж. Міль.
А. Сміт і Д. Рікардо вважали, що об'єктом кредиту є не
грошовий капітал, а капітал у його речовій формі. Гроші, які позичаються, - це
лише технічний засіб перенесення реального капіталу від одного економічного
агента до іншого для використання фактично наявного капіталу; кредит не створює
капітал, він тільки визначає, як цей капітал буде застосований.
На думку А. Сміта, банківські операції можуть сприяти
розвитку виробничої діяльності в суспільстві не збільшенням капіталу, а його
перетворенням на активний і продуктивний капітал, чого не було б за відсутності
банків.
Погляди на кредит класиків політекономії розвивали і
такі відомі економісти, як К. Маркс, Ж. Сей, А. Вагнер, А. Маршалл та ін.
Натуралістичний підхід до трактування сутності й ролі
кредиту мав не тільки теоретичне значення, а й помітно впливав на банківську і
грошову політику тієї доби. Це стосується, зокрема, так званої грошової школи,
представники якої об'єдналися навколо акта Р. Піля (1844 p.), котрий обмежував
випуск банкнот в Англії вузькими рамками золотого забезпечення. Якщо позичковий
капітал - це лише дзеркальне відображення реального капіталу, то випуск банкнот
має обмежуватися їх повним золотим забезпеченням.
Заслугою натуралі стичної теорії було те, що її
представники не просто визнавали зв'язок кредиту з процесами виробництва, а
виходили з первинності виробництва і вторинності кредиту; вони переконливо
доводили, що кредит сам по собі не може створювати реального капіталу, що
останній виникає тільки в процесі виробництва. З цих позицій прихильники
натуралістичної теорії трактували процент як частину прибутку, створеного в
процесі виробництва, визнавали залежність норми процента від норми прибутку.
Усе це було кроком уперед у вивченні кредиту, сприяло розкриттю утопічності
концепцій щодо його "чудодійної" сили у створенні капіталу, у
розвитку суспільного виробництва.
Проте натуралістичний підхід мав і суттєві недоліки,
зумовлені тим, що класики не змогли до кінця з'ясувати різницю між позичковим і
реальним капіталом. Нагромадження позичкового капіталу вони розглядали лише як
відображення нагромадження реального капіталу.
Визначаючи похідний характер кредиту від виробництва,
А. Сміт і Д. Рікардо не побачили його зворотного впливу на сферу виробництва,
на оборот реального капіталу. Роль банків вони зводили до простих посередників
у кредиті, не визнаючи їх активного впливу на процес відтворення. Така
однобічність позначилася і на трактуванні сутності позичкового процента. Вони
не розгледіли залежності процента від зміни попиту на позичковий капітал і його
пропозиції, відносної самостійності руху процента і його впливу на зміну
ринкової кон'юнктури.
У міру зростання ролі кредиту й банків у розвитку
виробництва, заміни справжніх грошей кредитними засобами обігу, використання
кредиту й банків у державному регулюванні економіки послаблювалися передумови
для дальшого розвитку натуралістичної теорії кредиту. Обмежуючи кредитні
можливості банків масштабами їхніх пасивних операцій, ці концепції дедалі
частіше вступали в суперечність із реальною дійсністю в грошово-кредитній
сфері. Тому вони замінювалися іншими теоріями - експансіоністською,
відтворювальною, фондовою, які формувалися в складі так званої капіталотворчої
теорії кредиту.
Сутність капіталотворчої теорії кредиту визначається
такими основними положеннями:
· кредит, як і гроші, є безпосередньо
капіталом, багатством, а тому розширення кредиту означає нагромадження
капіталу;
· банки - це не посередники в кредиті,
а "фабрики кредиту", творці капіталу;
· активні операції банків є первинними
щодо пасивних.
Основоположником капіталотворчої теорії кредиту був
англійський економіст Дж. Ло. Згідно з його поглядами, кредит не залежить від
процесу відтворення і відіграє важливу самостійну роль у розвитку економіки.
Поняття кредиту поєднувалося з грошима й багатством.
На думку Ло, за допомогою кредиту можна залучити і привести в рух усі
невикористані виробничі можливості країни, створити багатство й капітал.
Банки він розглядав не як посередників, а як творців
капіталу. Для цього, на його думку, достатньо лише активно розширювати кредит
за рахунок випуску грошей. Щоб розірвати вузькі межі обігу повністю
забезпечених грошей, Дж. Ло пропонував випускати нерозмінні грошові знаки.
Шляхом розширення кредитування за рахунок емісії незабезпечених банкнот він
обіцяв у короткий строк збагатити країну. Однак ці ідеї на практиці
провалились. Як тільки створений Дж. Ло банк розпочав випуск незабезпечених
банкнот, вони катастрофічне знецінились і банк збанкрутував. Це на тривалий час
підірвало довіру до капіталотворчої теорії і зміцнило позиції прихильників
теорії натуралістичної.
Проте в міру розвитку кредитної системи, акціонерних
банків і чекового обігу капіталотворча теорія знову відродилася. Особливо
сприяв цьому у другій половині XIX ст. англійський економіст Г. Маклеод. На
відміну від Дж. Ло він стверджував, що кредит не створює капіталу, а сам є
капіталом, причому продуктивним, оскільки дає прибуток у вигляді процента;
банки - "фабрики кредиту", вони створюють кредит, а значить і
капітал. Розглядаючи банки як "фабрики кредиту", Г. Маклеод цілком
логічно доводив, що вирішальна роль у їхній діяльності належить активним
операціям. На його думку, банки через депозитну чи готівкову емісію можуть
здійснювати кредитні операції, унаслідок яких потім формуються депозити.
Г. Маклеод, на відміну від Дж. Ло і завдяки його
невдалим експериментам з емісійним банком, уже розумів, що капітало-творення з
допомогою кредиту не може бути безмежним. Він попереджав, що у здатності банків
помножувати капітали криється велика загроза. Тому Г. Маклеод навіть ставив
завдання знайти межі "розумного" збільшення обсягів кредиту. Усе це
стало помітним внеском у розвиток капіталотворчої теорії кредиту, а водночас і
кроком до зближення з натуралістичною теорією.
Кредитна політика, що базувалася на капіталЬтворчій
теорії, дедалі більше набирала експансіоністського характеру, у зв'язку з чим
сама теорія стала називатися експансіоністською.
Першими зробили спробу пристосувати постулати
капіталотворчої теорії до потреб державно-монополістичного регулювання
економіки австрійський економіст Й. Шумпетер і німецький економіст А. Ган.
Й. Шумпетер у своїй книжці "Теорія господарського
розвитку" дійшов висновку, що основним рушієм економічного розвитку є
кредит. Це зумовлено тим, що банки, надаючи кредит, випускають в обіг нові
платіжні засоби, які є капіталом, оскільки використовуються підприємцями для
розширення виробництва.
Ототожнивши кредит із капіталом, Й. Шумпетер оголосив
кредит і банки вирішальними чинниками розвитку виробництва, і здатними запобігти економічним кризам, інфляції,
забезпечити процвітання суспільства. Він впритул підійшов до розроблення
кредитних методів економічного регулювання.
Ще далі в розроблення кредитної політики згідно з
ідеями капіталотворчої теорії кредиту просунувся А. Ган. На відміну від своїх
попередників, А. Ган зробив спробу пояснити механізм капіталотворчої функції
кредиту. Найповніше вона може розкритися під час кредитування за контокорентом.
У такій формі банки задовольняють потреби підприємств не тільки в
короткострокових, а й у довгострокових кредитах, а отже і в капіталах. За контокорентом
банк може будь-коли збільшити "купівельну силу" підприємства,
необхідну для залучення в його оборот робочої сили і матеріальних цінностей.
Збільшення виробництва і зростання цін зумовлюють додатковий попит на кредит.
Такий механізм забезпечує зрощування банків з підприємствами, їх постійний
контроль над економікою.
Виходячи з цього А. Ган розробив рекомендації щодо
широкого використання кредитної політики для підтримування високої економічної
кон'юнктури. Змінюючи умови кредитування, постійно форсуючи надання позик,
банки можуть створити стільки "купівельної сили", скільки необхідно,
щоб збільшити попит, запобігти кризі надвиробництва, згладити коливання
економічного циклу. Рекомендації А. Гана користувалися великою популярністю в
20-ті роки, коли глибокі економічні кризи регулярно уражали капіталістичний
світ. Проте тривала гіперінфляція в самій Німеччині сприяла падінню авторитету
капіталотворчих рекомендацій. Під тиском цих обставин він дещо переглянув свої
позиції. Замість політики постійної кредитної експансії А. Ган почав радити
періодично проводити кредитну рестрикцію.
Проте це не означало принципової відмови А. Гана від
капіталотворчої теорії кредиту. Уже в 1960 р. він стверджував, що значна
частина висунутих ним у 20-ті роки положень, які гостро критикувалися тоді його
опонентами, в кінцевому підсумку набули загального визнання. І це справді так.
Усі сучасні теорії грошово-кредитного регулювання, передусім кейнсіанського
напряму, базуються на основних постулатах капіталотворчої теорії кредиту.
Дж. М. Кейнс повністю сприйняв основні положення
капіталотворчої теорії і запропоновану А. Ганом ідею використання її в
інтересах державного регулювання економіки. Слідом за А. Ганом Кейнс вважав, що
кризи й безробіття можуть бути послаблені втручанням емісійного банку й уряду в
економічні процеси. М. Кейнс уважав за можливе посиленням кредитної експансії
збільшити масу грошей в обігу і пропозицію позичкового к апіталу. Проте вплив
цього чинника на збільшення попиту, а отже на послаблення кризового спаду і
зростання зайнятості, він бачив не прямим, а опосередкованим - через ставку
процента. Якщо внаслідок кредитної експансії ставка процента знижується, то
послаблюється перевага ліквідності і зростають інвестиції, які дають таку саму
або більшу норму прибутку. Це сприяє швидкому виходу з кризового стану. У тому
самому напрямі діє розширення платоспроможного попиту з боку населення, що
стимулюється зростанням схильності до споживання через зростання доходів і
зменшення процента за умов кредитної експансії.
Установлена Кейнсом залежність зростання економічної
активності й зайнятості від зниження позичкового процента, а в кінцевому
підсумку - внаслідок кредитної експансії, базувалася на кількісній теорії
грошей і капіталотворчій теорії кредиту. Проте Дж. Кейнс розумів "вузькі
місця" обох теорій і у своїх побудовах механізму грошово-кредитного
регулювання хотів їх обійти. Він теж відмовився від ідей своїх попередників
щодо безмежних капіталотворчих можливостей кредиту та банків і радив поряд з
кредитними інструментами широко використовувати інші заходи для регулювання
економіки. Більш детально погляди Кейнса щодо регулятивної ролі грошей та
кредиту розглянуті в розділі 7.
Деякі положення капіталотворчої теорії кредиту широко
застосовують у своїх теоретичних побудовах представники нео-кейнсіанства та
кейнсіансько-монетаристського синтезу. Методи грошово-кредитної експансії та
рестрикції, що базуються на ідеях капіталотворчої теорії, міцно ввійшли в
сучасну світову практику грошово-кредитного регулювання ринкової економіки.
Разом з тим накопичений досвід теоретичного аналізу
кредиту та практичного його використання в політиці макроекономічного
регулювання свідчить про те, що в тривалому спорі представників натуралістичної
та капіталотворчої теорій жодна зі сторін не перемогла. Істина, як завжди,
знаходиться посередині. Банки виявилися і посередниками, і
"фабриками" грошового капіталу, їх активні операції хоч і є
первинними відносно пасивних, але держави чітко обмежують обсяги цих операцій.
Позичковий капітал хоч і здійснює самостійний рух, проте він не може зовсім
відірватися від реального капіталу і самостійність його має відносний характер.
Тому сучасна наукова думка з теорії кредиту розвивається теж по шляху синтезу
окремих ідей натуралістичної та капіталотворчої теорій.
. СТАДІЇ ТА ЗАКОНОМІРНОСТІ РУХУ КРЕДИТУ
Кредит як економічне явище являє
собою процес, що характеризується певним рухом елементів його структури
(об'єкта і суб'єктів). Рух кредиту має свою визначеність у часі та в просторі,
має свої специфічні закономірності і є ключовою ознакою кредиту як економічної
категорії.
Рух суб'єктів кредиту має ту особливість, що статус
кредитора чи позичальника економічний суб'єкт набуває не назавжди, а
систематично його змінює. Він періодично буває то позичальником, то кредитором
залежно від особливостей руху його ресурсів (капіталу). Він також може бути
одночасно і кредитором, і позичальником, або ні тим, ні другим з тих же причин.
Рух вартості як об'єкта кредиту проявляється в
переміщенні її від одного суб'єкта кредиту до іншого, в переміщенні по стадіях
кругообороту капіталу, між регіонами (країнами), між галузями та сферами
економіки. Чим ширша сфера і більша різнонапрям-леність руху позиченої
вартості, тим більшу роль виконує кредит у процесі суспільного відтворення.
Рух об'єкта кредиту має чітко виражений часовий та
просторовий виміри. Часовий вимір відбиває тривалість користування
позичальником одержаною від кредитора вартістю. На практиці цей вимір
проявляється в класифікації позичок на короткострокові, середньострокові та
довгострокові. Просторовий вимір руху кредиту не знайшов широкого практичного
прояву. У класифікації кредитів визначається лише один кредит, що має явні
просторові ознаки, - міжнародний кредит, який відображає переміщення позиченої
вартості між окремими країнами. Немає в офіційній статистиці класифікації
кредитів, яка характеризувала б міжрегіональне, міжгалузеве переміщення
кредитів.
Стадії руху кредиту. Для розуміння суті кредиту
важливе значення має рух позиченої вартості відповідно до розвитку кредитних
відносин між двома суб'єктами, тобто на мікрорівні. Економічною основою цього
руху, виділення його окремих стадій слугує кругооборот капіталу в процесі
розширеного відтворення. Рух капіталу в процесі відтворення на засадах
кругообороту, що виражається формулою Г - Т...В...Т - Г', забезпечує послідовне
проходження позиченою вартістю всіх стадій свого руху і повернення на висхідні
позиції - до свого власника-кредитора. Цей рух позиченої вартості можна назвати
відтворювальним і виразити формулою:
ВВ - НП - ОП ... ВП ... ВК - ПК - ОК,
де ВВ - формування вільної вартості у кредиторів;
НП - розміщення вільних коштів у позички;
ОП - одержання додаткових коштів позичальником;
ВП - використання позичальником одержаних коштів на
свої потреби;
ВК - вивільнення коштів з обороту позичальника;
ПК - повернення позичальником коштів кредитору;
ОК - одержання кредитором коштів, наданих у позичку.
Виходячи з цієї формули, можна виділити такі етапи
відтво-рювального руху кредиту:
-а стадія - формування вільної вартості як джерела
надання позичок (операція ВВ);
-а стадія - розміщення вільної вартості в позичку
(операції НП-ОП);
-я стадія - використання позичальником коштів,
одержаних у тимчасове розпорядження (операція ВП);
-а стадія - вивільнення використаних позичальником
коштів з його обороту або формування в нього доходів, достатніх для повернення
позички (операція ВК);
-а стадія - повернення позичальником вартості
кредитору (операції ПК-ОК) та сплата процента. На цьому етапі завершується рух
позиченої вартості і закінчуються відносини між кредитором і позичальником щодо
даної позички.
Рух у п'ять стадій здійснює лише кредит, що бере
участь у формуванні капіталу позичальника. У цьому випадку позичена вартість
може тривалий час затримуватися на 3-ій та 4-ій стадіях руху залежно від
тривалості процесів виробництва та реалізації. Якщо ж кредит не бере участі у
формуванні капіталу позичальника, а використовується ним лише як гроші, то 3-тя
та 4-та стадії випадають і рух його здійснюється значно швидше. Прикладом
такого кредиту є міжбанківський кредит на підкріплення ліквідності. У цьому
разі банку потрібна позичка лише на момент визначення його ліквідності і тому
вона може видаватися лише на дуже короткий строк (декілька годин).
Виділення стадій руху кредиту має дещо умовний
характер, оскільки всі ці стадії між собою нерозривно пов'язані. Зупинка руху
на будь-якій стадії може призвести до розриву відносин між
суб'єктами кредиту, загрожує їх економічним інтересам.
Проте таке вичленення стадій руху сприяє не тільки кращому розумінню сутності
кредиту, а й усвідомленню механізму реалізації взаємовідносин між його
суб'єктами.
У русі кредиту можна виділити ще один аспект,
пов'язаний з функціонуванням його на макроекономічному рівні. Мова йде про
зміну маси кредитних ресурсів і кредитних вкладень у масштабах всієї
економічної системи. Оскільки в сучасних умовах гроші мають кредитний характер,
зміна маси кредитних ресурсів і кредитних вкладень безпосередньо впливає на
динаміку пропозиції грошей і через неї - на загальну кон'юнктуру ринку і
розвиток економіки. Тому вивчення цього аспекту руху кредиту теж має важливе
теоретичне і практичне значення.
На мікроекономічному рівні основними закономірностями
руху кредиту є:
зворотність руху вартості, що передана в позичку. Цим
рух кредитних коштів істотно відрізняється від власних та бюджетних коштів, які
є в обороті позичальника. Власні кошти постійно залишаються в обороті
економічного суб'єкта. Одержані з бюджету кошти не мають умови обов'язкового
повернення їх у бюджет, вони стають власністю даного суб'єкта. Деякі економісти
вважають сплату податків джерелом повернення бюджетних коштів до бюджету. Проте
це не так - податки не можуть бути ні джерелом повернення одержаних раніше
бюджетних асигнувань, ні формою плати за користування бюджетними коштами. У
податків зовсім інше економічне призначення;
тимчасовість перебування позиченої вартості в обороті
позичальника, яка визначається тривалістю одного кругообороту його капіталу.
Навіть за умови, що для кожного нового циклу кругообороту капіталу позичальнику
знову потрібна буде позичка, з попереднього циклу позичені кошти повинні
вивільнитися і повернутися кредитору. Ця закономірність у таких випадках
реалізується через організацію кредитування підприємств з постійною потребою в
кредиті за методом по обороту, чи овердрафт.
Проте найповніше відповідає цій закономірності
кредитування тимчасових потреб позичальника;
збереження позиченої вартості в процесі руху і
повернення її до кредитора в повному обсязі. У цій закономірності центральним
місцем є збереження позиченої вартості, тому що повернути позичку можливо і за
рахунок іммобілізації власного капіталу позичальника. Проте в такому випадку
кредит не буде вигідним для позичальника, відбудеться трансформація його
сутності;
залежність маси наданої позички від наявних обсягів
вільних коштів. Ця закономірність зумовлена реальним характером об'єкта
кредитування. Надання в позичку неіснуючих коштів неминуче призведе до
розбалансованості ринку, кризових явищ у монетарній сфері.
На макроекономічному рівні закономірності руху кредиту
проявляються в такому:
кількісні параметри розвитку кредиту (за динамікою
зростання кредитних вкладень) повинні бути адекватними динаміці обсягів ВНП.
Якщо темпи розвитку кредитних вкладень істотно випереджатимуть темпи зростання
ВНП, відбудеться надмірне розбухання грошового капіталу, виникне загроза
фінансової кризи, інфляції. Якщо ж темпи розвитку кредиту відставатимуть від
зростання ВНП, економіці загрожуватиме демонетизація, криза неплатежів;
оскільки кожна позичкова операція є двоякою - як
вимога і як зобов'язання, як актив і як пасив, загальні суми кредитних вкладень
і позичених ресурсів у макромасштабах завжди балансуються. Цим рух кредиту на
макрорівні відрізняється від руху власного капіталу та бюджетних ресурсів.
Водночас у цьому криється загроза перекредитування економіки: банки, у тому
числі і центральні, надаючи позички, створюють вільні ресурси, які
використовуються як джерела нових позичок;
зворотність і платність кредиту робить його найбільш
адекватним ринковим умовам інструментом фінансування зростання капіталу в
реальному секторі економіки. Якраз йому належить вирішальна роль у переміщенні
величезних мас заощаджених у сфері особистого споживання коштів у сферу
виробничого споживання. Тому переважне переміщення вільної вартості з сектора
домашніх господарств у сектор фірм теж є закономірністю руху кредиту;
платність кредиту і здатність приносити дохід обом
його суб'єктам визначають таку закономірність міжгалузевого руху кредиту, як
спрямування коштів з галузей і секторів економіки з
низькою рентабельністю у високорентабельні галузі,
види виробництва. Причому таке спрямування здійснюється під економічним
примусом - власники низькорентабельних підприємств заінтересовані вивільнювати
з них свої кошти і спрямовувати на кредитних засадах у високорентабельні. Ця закономірність
руху кредиту визначає його важливу роль у забезпеченні економічного розвитку.
Розглянуті закономірності не вичерпують усіх
особливостей руху кредиту. Проте і названі дають підстави вважати, що практика
управління кредитними відносинами не може будуватися на довільних рішеннях чи
однобічних інтересах, а лише на об'єктивних закономірностях руху кредиту, що
забезпечують збалансоване дотримання інтересів усіх суб'єктів кредитних
відносин. Такий зв'язок між практикою організації кредитних відносин та
закономірностями руху кредиту забезпечується дотриманням суб'єктами кредиту
певних принципів або правил кредитування, які виробила світова кредитна
політика.
Принципи кредитування. Основними, найбільш визнаними є
такі принципи кредитування:
цільове призначення позички;
строковість передачі коштів кредитором позичальнику;
поверненість позичальником коштів кредитору в повному
обсязі;
забезпеченість позички;
платність користування позиченими коштами.
Цільове призначення позички полягає в тому, що
економічні суб'єкти, що виявили намір вступити в кредитні відносини, повинні
заздалегідь чітко визначити, на яку ціль будуть використані позичені кошти.
Визначену ціль повинні однаково розуміти й оцінювати обидві сторони,
погоджуючись на її кредитування. Це висхідна, базова передумова забезпечення
кожною зі сторін своїх інтересів у даній позичці та реалізації їх відносин як
кредитних.
Строковість позички передбачає, що вільні кошти
кредитора передаються позичальнику на чітко визначений строк, який сторони
повинні узгодити в момент вступу в кредитні відносини. Строковість випливає з
цільового призначення позички і сама слугує передумовою для подальшого
розгортання кредитних відносин між сторонами позички: визначення плати за
позичені кошти, порядку повернення коштів тощо. Конкретні строки окремих
позичок визначаються залежно від тривалості кругообороту капіталу позичальника,
у формуванні якого бере участь позичена вартість. Економічно обгрунтоване
визначення строку позички має вирішальне значення для забезпечення інтересів
суб'єктів позички, ефективного використання позиченої вартості, для зменшення
кредитного ризику та ін.
Поверненість позиченої вартості кредитору означає, що
позичальник повинен повернути кредитору весь обсяг одержаної в позичку
вартості. Цей принцип випливає з попереднього - строковості позички і тісно
пов'язаний з ним, але це самостійний принцип. Визначення строку позички при
укладанні відповідної угоди зовсім не гарантує того, що вона буде погашена
якраз у цей термін. Дуже часто позичка повертається не своєчасно. Але якщо
навіть вона погашається в установлений термін, це не значить, що вся позичена
вартість повернута. Девальвація валюти позички, інфляція можуть знецінити
грошову одиницю та основну суму грошової позички, тому при поверненні
номінальної суми позички кредитор зазнає збитків. Подібні втрати він матиме і
при поверненні товарної позички у вигляді тих самих матеріальних цінностей,
якщо ринкова ціна їх впала за період користування позичкою. Тому суб'єкти
кредиту повинні передбачати спеціальні заходи щодо забезпечення повернення
позиченої вартості в повному обсязі: скорочення терміну позички, підвищення
ставки позичкового процента, запровадження плаваючої (змінної) ставки процента
та ін.
Забезпеченість полягає в прийнятті кредитором при
наданні позички додаткових заходів щодо гарантування повернення позички у
визначені строки. Додатковими ці заходи є відносно принципів цільового
спрямування та строковості позички, які за своєю сутністю сприяють поверненню
позички. Але цього "сприяння" часто виявляється недостатньо, і
позички повертаються не своєчасно, не в повному обсязі чи взагалі не
повертаються. Захисту кредитора від неповернення боргу неплатоспроможним
позичальником і слугує принцип забезпеченості позичок.
Забезпеченням позички може бути майно (нерухоме,
рухоме, цінні папери, валютні цінності), що приймається у заставу, а також
зобов'язання третьої особи погасити борг кредитору (гарантії, поручительства).
Розмір майнового забезпечення звичайно встановлюється на рівні, що переви щує
розмір позички, на випадок зниження ринкової ціни застави.
Принцип забезпеченості відіграє важливу роль у захисті
від кредитних ризиків - він є останньою перепоною на шляху вказаного ризику.
Проте й ця перепона не завжди спрацьовує (наприклад, при знеціненні застави чи
банкрутстві гаранта). Тому кредиторам не слід переоцінювати значення
забезпечення позичок, а більше покладатися на високу ефективність проекту, що
кредитується, та кредитоспроможність і надійність позичальника. Якщо
позичальник безумовно має ці якості, то кредитор може і не вимагати додаткового
забезпечення позичок.
Платність користування позичкою полягає в тому, що
позичальник повертає кредитору не тільки основну суму боргу, а й сплачує
додаткові кошти у формі процента. Для встановлення такого принципу є вагомі
економічні підстави. Адже коли кредитор передає свої вільні кошти в позичку, то
зазнає при цьому подвійних втрат:
втрачає частину доходу, яка припадає на вилучену ним з
обороту частину коштів, що стає джерелом кредиту;
втрачає ті переваги та зручності, які властиві
утриманню вивільнених з обороту коштів у ліквідній формі. Більше того, втрати
переваг та зручностей запасів ліквідності супроводжуються появою кредитного
ризику, пов'язаного з наданням позички, та можливих збитків від позички.
Тому, щоб зберегти своє попереднє положення на ринку,
кредитор мусить стягувати плату за надані в позичку кошти. Без цього надання
позички перетворюється з комерційної кредитної операції в спонсорську і в
кредитора зникають економічні мотиви здійснювати позичкову діяльність,
розвивати кредит.
Платність позички має важливе значення і для
позичальника. Вона стимулює його до більш виваженого рішення щодо доцільності
одержання позички, строгого дотримання інших принципів кредитування,
ефективного використання позичених коштів тощо. У процентній ставці, що
визначає розмір плати за позичку, перехрещуються інтереси кредитора і
позичальника, тому дуже важливо для нормального розвитку кредиту, щоб розмір її
задовольняв як кредитора, так і позичальника.
Усі принципи кредитування тісно між собою пов'язані,
оскільки випливають з сутності кредиту, і тільки в комплексі можуть забезпечити
її реалізацію. Тому для ефективного кредитування дотримання всіх його принципів
є обов'язковим.
ВИСНОВКИ
1. Причиною виникнення кредиту була необхідність
одного товаровиробника продати свій товар, а покупця - купити його, коли він ще
не отримав гроші за свій товар. Проте з розвитком суспільного відтворення
з'явилося чимало інших чинників, що зумовлюють необхідність кредиту: поява
вільних коштів в одних суб'єктів господарювання і виникнення потреби в них у
інших; коливання потреб у коштах і джерелах їх формування, які виникають у
юридичних і фізичних осіб та держави; надання в тимчасове користування коштів
під майбутні, віддалені в часі, доходи.
. Сутність кредиту полягає не в масі позиченої
вартості, а в тих економічних відносинах, які виникають у зв'язку з рухом
вартості на засадах зворотності та платності. Ці відносини характеризуються
низкою специфічних рис, які конституюють явище кредиту і відрізняють його від
інших економічних явищ.
. Кредит є вартісною категорією і з цього погляду має
багато спільного з іншими економічними категоріями - грошима, фінансами,
торгівлею, капіталом тощо. Разом з тим це самостійна категорія, яка має свої
функції і особливе призначення в економічному житті суспільства.
. Натуралістична теорія кредиту трактує сутність
кредиту з позицій його ролі в забезпеченні руху реального капіталу в
натурально-речовій формі, недооцінює відносної самостійності руху грошового
капіталу і його впливу через кредит на розвиток суспільного виробництва.
. Капіталотворча теорія кредиту трактує сутність
кредиту як механізм творення капіталу, переоцінюючи самостійність руху
грошового капіталу і можливості банків у його розширенні в інтересах розвитку
виробництва.
. Кредит - явище руху, який здійснюється у різних
напрямах і на різних рівнях. Рух кредиту у зв'язку з його участю у
відтворювальному процесі проходить п'ять етапів:
формування вільної вартості;
розміщення вільної вартості в позички;
використання позиченої вартості на потреби
позичальника;
вивільнення позиченої вартості з обороту позичальника;
повернення вивільненої вартості кредитору і сплата
процентів.
. Рух кредиту здійснюється за певними
закономірностями, які зумовлюються особливою сутністю кредиту. Ці
закономірності є визначальними чинниками в організації управління кредитними
відносинами. На їх підставі формуються принципи (правила) кредитування.
. Основними принципами кредитування є: цільове
спрямування позички; строковість позички; поверненість кредитору позиченої
вартості; забезпеченість позички і платність користування позиченими коштами.
СПИСОК
ВИКОРИСТАНОЇ ЛІТЕРАТУРИ
1. Адамик Б.П. Національний банк
і грошово-кредитна політика: Навчальний посібник. - Тернопіль: Карт-бланш,
2012. -278 с.
. Александрова М.М., Маслова
СО. Гроші. Фінанси. Кредит: Навчально-методичний посібник. - 2-е видання,
перероблене і доповнене. - К.: ПУЛ 2011. - 336 c.
. Банківські операції/Під.
ред. А.М.Мороза. -К.:Лібра, 2010.
. Бірюков В., Єфімов Ю., Залетов
О. та інші Страхове посередництво: теорія та практика. Навчальний посібник. За
редакцією О.М.Залєтова - К: Міжнародна агенція "Вве2опв", 2012. -416
с.
. Бобровников А. 10% за
безделье//Бізнес. -2011. - № 41(612). - С 54-55.
. Боринець СЯ. Міжнародні
валютно-фінансові відносини: Підручник. - 2-ге вид., перероб. й доп. -К.: Т-во
"Знання", КОО, 2012. -305с
. Боринець СЯ. Міжнародні
фінанси: Підручник. -К: Знання-Прес, 2012. - 311с.
. Васюренко О. В. Банківські
операції: Навчальний посібник. -4-тевид. випр. і доп. -К: Т-во
"Знання": КОО, 2004. -324с.
. Гроші та кредит: Підручник /
За ред. проф. Б. С. Івасіва. - Тернопіль: Карт-бланш, 2012.-510 с
. Деньги. Кредит. Банки:
Учебник для вузов/Е.Ф. Жуков, Л.М. Максинова, А.В. Печникова и др.;Под.ред.
академ. РАЕНЕ.Ф.Жукова. -2-еизд., перераб. и доп . - М.: ЮНИТИ-ДАНА, 2013. -
600с.
. Загородиш А.Г., Вознюк Г.Л.Ю
Смовженко Т.С. Фінансовий словник. -4-те вид., випр. та доп. -К: Т-во
"Знання", КОО;Л.:Вид-воЛьвів банк. Ін-ту НБУ, 2012. -566 с
. Дзюблюк О. В. Організація
грошово-кредитних відносин суспільства в умовах ринкового регулювання
економіки. - К.: Поліграф книга, 2012. -512 с.
. Дмитрієнко М., Ющенко В.,
Литвин В., ЯковлєваЛ. Гроші в Україні: факти і документи. -K..ARC Ukraine,
2011. - с. 454.
. Коваленко М. А., Білінкіс
В.М., СухомлинЛ.Є.: Операції сучасного комерційного банку: Навчальний посібник.
- Херсон: Олді-плюс, 2012. - 472 с
. Любунь О. С, Любунь В. С,
Іванець І.В. Національний банк України: основні функції, грошово-кредитна
політика, регулювання банківської діяльності: Навчальний посібник. - К.: Центр
навчальної літератури, 2012. -351 с
. Кумицький С. Світова
ієрархія валют і перспективи її трансформації// Вісник НБУ - К: -2010. -№10. -
С 49-53.
. Лагутін В.Д. Гроші та
грошовий обіг: Навч. посіб. -5-тевид., стер . -К.: Т-во "Знання",
КОО, 2012. - 199с.
. Миллер Р.Л., Ван-ХузД.Д.
Современные деньги и банковское дело. - М.: ИНФРА.-2012.
. Міжнародні валютно-кредитні
відносини: Підручник/А.С. Філіпенко, В.І. Мазуренко, В.Д. Сікоратаін.;заред.
А.С. Філіпенко. -К:Либідь. 2011
с.
. Міжнародні організації:
Навчальний посібник/За редакцією Ю.Г. Козака, В. В. Ковалевського.-К: ЦУЛ,
2013. -288 с
. Міжнародні фінанси в
питаннях і відповідях: Навчальний посібник: 2-е вид., перероб. і допов.-К: ЦУЛ,
2013. -294с.
. Міжнародні фінанси:
Підручник /О. І. Рогач, А.С. Філіпенко, Т.С. Шемет та ін.; за ред. О.І. Рогача. -К.Либідь, 2012. - 784 с
. Маконнел К.Л., Брю С.Л.
Экономике: принципы, проблемы и политика. -К.: Хачар-Демос. -2013. - 263 с.
. Финансы, денежное обращение и
кредит: Учебник. -2-е изд., перебидоп./ В.К. Сенчагов, А.И. Архипов и др.:Пос1
редак. В. К. Сенчагова, А.И. Архжова.- М.: ТКВенби, Изд-ео Проспект, 2004. -
720 с.
. Ходаківська В.П., Беляева
В.В. Ринок фінансових послуг: теорія і практика.: Навчальний посібник. - К.:
ЦУЛ, 2012. - 616 с.
. Ватманюк З І., Дорош О.Л.
Небанківські фінансові інститути в економічній системі США//Фінанси України.
-2011. -№3. - С 119-127.
. Геєць В. Ще раз про складові
економічного піднесення в Україні//Економіка України. -2011. - №11.-С 17- 26.
. Дербенцев В. Особливості
інфляційних процесів в Україні//Вісник КНЕУ.-2011.-№1.-C. 11-23.
. Ковбасюк Ю. Стратегічні
пріоритети діяльності світового банку в Україні//Економіка України. -К. -2012.
-№2. -С. 13-17.
. Ковбасюк Ю. Участь
європейського банку реконструкції і розвитку в реформуванні економіки
України//Економіка України. -К. -2011. -№4.
. Красавина Л. Проблемы денег
в экономической науке//Деньги и кредит. - 2011. -№10.
. Нікіфоров П. Глобалізація
грошових відносин і проблеми валютної політики України//Вісник ТАНГ. -
Тернопіль. -2012. -№ 8-1. - С. 144-148.
. Шамшетдінов Ю. Пріоритети
валютно-курсової політики НБУ// Вісник НБУ. - К. -2012. -№8.- С 9-11.
. Шаров О. Україна та МВФ:
"У пошуках втраченого часу "//Вісник НБУ. - К-2012.-№9.-С 38-46.