Математические методы и модели в решении задач по экономике

  • Вид работы:
    Контрольная работа
  • Предмет:
    Математика
  • Язык:
    Русский
    ,
    Формат файла:
    MS Word
    50,01 Кб
  • Опубликовано:
    2015-04-16
Вы можете узнать стоимость помощи в написании студенческой работы.
Помощь в написании работы, которую точно примут!

Математические методы и модели в решении задач по экономике

Министерство образования и науки Российской Федерации

Государственное образовательное учреждение

высшего профессионального образования

«Хабаровская государственная академия экономики и права»

Кафедра математики и математических методов в экономике








Контрольная работа

По дисциплине: «Математика»


Выполнила:

Лабюк Наталия Андреевна






г. Благовещенск 2012 г.

Содержание

Задание №1. Анализ межотраслевых связей

Задание №2. Определение оптимального плана выпуска продукции и анализ оптимального решения с использованием двойственных оценок

Задание 3. Элементы теории игр

Задание 4. Моделирование производственных процессов

Список используемых источников

Задание №1. Анализ межотраслевых связей

Дан следующий отчётный межотраслевой баланс (МОБ):

Отрасли

1

2

3

4

5

Конечная продукция.

1

17,54

128,29

0,82

0,00

14,61

316,3

2

18,81

180,24

107,77

14,75

82,23

306,3

3

5,95

29,71

70,61

85,06

78,49

527,5

4

6,12

34,31

41,62

48,38

101,34

159,2

5

10,83

97,17

89,19

61,55

279,84

1172,4

L

76

36

69

40

58


Ф

33

97

125

75



Требуется:

. Построить таблицу отчетного МОБ, проверить основное балансовое соотношение.

. Составить плановый МОБ при условии увеличения спроса на конечный продукт по отраслям соответственно на 10,9,7,8, и 7 процентов.

. Рассчитать коэффициенты прямых и полных затрат труда и фондов и плановую потребность в соответствующих ресурсах.

. Проследить эффект матричного мультипликатора при дополнительном увеличении конечного продукта по третьей отрасли на 5 %.

. Рассчитать равновесные цены при увеличении зарплаты по всем отраслям на 10 % (считать доли зарплаты в добавленной стоимости по отраслям следующими: 0,33, 0,5, 0,35, 0,43, 0,6). Проследить эффект ценового мультипликатора при дополнительном увеличении зарплаты в первой отрасли на 5 %.

Решение

. Заполним таблицу отчётного МОБ:

Отрасли

1

2

4

5

6

Итого

Конечная продукция.

Валовая продукция.

1

17,54

128,29

0,82

0,00

14,61

161,26

316,3

477,56

2

18,81

180,24

107,77

14,75

82,23

403,80

306,3

710,1

3

5,95

29,71

70,61

85,06

78,49

269,82

527,5

797,32

4

6,12

34,31

41,62

48,38

101,34

231,77

159,2

390,97

5

10,83

97,17

89,19

61,55

279,84

538,58

1172,4

1710,98

Итого

59,25

469,72

310,01

209,74

556,51

1605,23

4086,93

Добавленная стоимость.

418,31

240,38

487,31

181,23

1154,47

2481,7



Валовая продукция.

477,56

710,1

797,32

390,97

1710,98

4086,93



Труд

76

36

69

40

58

279,00

 

Фонды

33

97

125

83

75

413,00

 


Столбец "Итого" - промежуточный продукт отраслей - в сумме с конечной продукцией даёт валовой продукт, а строка "Итого" - стоимость материальных затрат - будучи вычтена из валовой продукции даёт добавленную стоимость отраслей.

Основное балансовое соотношение - общая по всем отраслям добавленная стоимость (2481,7) равна общему для всех отраслей конечному продукту (2481,7) - выполняется.

. Для составления таблицы планового МОБ рассчитаем матрицу А коэффициентов прямых материальных затрат по формуле:



т.е. все элементы каждого столбца матрицы межотраслевых потоков делятся на валовой выпуск соответствующей потребляющей отрасли (1 - ый столбец делится на первое значение, 2 - ой столбец делится на второе значение и т.д.).


Элементы матрицы планового МОБ рассчитаем по формуле:


где Е - единичная матрица;

(Е - А)-1 - матрица, обратная к матрице (Е - А).

Запишем матрицу (Е - А), а матрица В = (Е - А)-1 дана в условии.


Значения Упл получены увеличением конечного продукта планового МОБ на заданный процент его роста:


Получим:пл = (347,93; 333,87; 564,43; 171,94; 1254,47)Т.

индекс Т - означает, что матрица-строка транспонирована.

Умножая матрицу В на матрицу-столбец Yпл получим матрицу-столбец Хпл (плановый валовой продукт):


Значения Хпл вписаны в таблицу планового МОБ:

Отрасли

1

2

3

4

5

Итого

Конечная продукция.

Валовая продукция.

1

19,20

138,96

0,88

0,00

15,65

174,69

347,93

522,6

2

20,58

195,24

115,50

88,11

435,32

333,87

769,2

3

6,51

32,18

75,67

91,61

84,10

290,08

564,43

854,5

4

6,70

37,16

44,61

52,11

108,58

249,16

171,94

421,1

5

11,85

105,26

95,59

66,29

299,85

578,83

1254,47

1833,3

Итого

64,84

508,80

332,25

225,90

596,30

1728,09

2672,6

4400,7

Добавленная стоимость.

457,76

260,4

522,25

195,2

1237

2672,6



Валовая продукция.

522,6

769,2

854,5

421,1

1833,3

4400,7




Значения межотраслевых потоков планового МОБ получены по формуле:

Хij = aij×Xj,

где aij - элементы матрицы А; - соответствующие значения валового продукта планового МОБ.

Значения Хij, например для отрасли 1 получены произведением плановой валовой продукции этой отрасли (522,6) на первый столбец матрицы прямых материальных затрат (матрицы А):

Эти значения немного отличаются от величин Х1j, показанных в таблице, т.к. расчёты в таблице выполнены в Excel, т.е. без округления промежуточных результатов.

Основное балансовое соотношение - общая по всем отраслям добавленная стоимость (2672,64) равна общему для всех отраслей конечному продукту (2672,53) - выполняется с учётом округлений.

. Коэффициенты прямой трудоёмкости и фондоёмкости по отчётному году составляли:

= Lj/ = 0,1591; 0,0507; 0,0865; 0,1072; 0,0339;= Фj/ = 0,0691; 0,1366; 0,1568; 0,2225; 0,0438;

где  - валовая продукция отчётного МОБ

Тогда плановая потребность в труде и фондах при этих же коэффициентах и плановых значениях валовой продукции составят:

= tj×Xj = 83,17; 38,995; 73,949; 43,082; 62,147;

Фj = fj×Xj = 36,114; 105,071; 133,966; 89,396; 80,362;

. Увеличив спрос на конечный продукт на 5 % по отрасли № 3, получим матрицу - столбец прироста спроса по отраслям:

ДY = (0; 0; 28,22; 0; 0)T;


ДХ = В×ДY = (1,30; 6,41; 32,23; 2,68; 5,90)Т;

Таким образом, изменение спроса на конечную продукцию только по третьей отрасли вызвало изменение спроса на валовую продукцию по всем отраслям. В процентном соотношении эти изменения составят: (0,25; 0,83; 3,77; 0,64; 0,32) %, т.е. по третьей отрасли изменения наибольшие.

. Равновесные цены наёдём из соотношения Р = ВТ×V, а доли добавленной стоимости V найдём, разделив добавленную стоимость по отраслям на валовой выпуск:= (0,876; 0,339; 0,611; 0,464; 0,675).

Выделив отсюда заработную плату по долям из условия и прибавив 10 % заработной платы к найденным долям Vj, получим:

доли заработной платы в валовой продукции: (0,289; 0,169; 0,214; 0,199; 0,405).

доли добавленной стоимости в валовой продукции: V = (0,905; 0,356; 0,633; 0,484; 0,715)

Транспонируя матрицу В и умножая ВТ на матрицу - столбец V, получим матрицу - столбец равновесных цен:

;

Таким образом, при росте заработной платы на 10 % по всем отраслям цены на продукцию выросли в пределах от 4,1 % до 5,7 %, причём в наибольшей степени цены выросли в пятой отрасли, где доля заработной платы в добавленной стоимости самая высокая.

При дополнительном увеличении заработной платы в первой отрасли на 5 % изменение равновесных цен определим по формуле:

ДР = ВТ×ДV,

где ДV определим из условия задачи: ДV = (0,0145; 0; 0; 0; 0,)Т;

Тогда: ДР = (0,0152; 0,0038; 0,00066; 0,0004; 0,00043)Т.

Из расчёта следует, что при 5% - ном росте зарплаты в первой отрасли цены на её продукцию вырастут на 1,52%, а в остальных отраслях этот прирост составил от 0,04 % до 0,38%.

Эффект мультипликатора в п.4 и в п.5 проявился в том, что изменение спроса на конечную продукцию в одной отрасли привело к изменению валового спроса по всем отраслям, а изменение заработной платы в одной отрасли привело к изменению цен во всех отраслях.

Задание №2. Определение оптимального плана выпуска продукции и анализ оптимального решения с использованием двойственных оценок

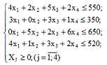
Составить модель задачи и на примере ее решения проиллюстрировать свойства двойственных оценок. Рассмотреть задачу по определению оптимального плана выпуска продукции, максимизирующего выручку при известных нормах расхода ресурсов, объемах ресурсов и ценах реализации продукции.

Дано: матрица расхода ресурсов (А), объём ресурсов (В), цены реализации (С):


Модель задачи формулируется следующим образом: Найти х1; х2; х3; х4 (объёмы производства каждого вида продукции), удовлетворяющие ограничениям:


Для решения этой задачи симплекс - методом она приводится к каноническому виду добавлением в левые части ограничений неотрицательных балансовых переменных S1; S2; S3; S4:

 


Значения балансовых переменных показывают объёмы неизрасходованных ресурсов в соответствующем плане.


Х1

Х2

Х3

Х4

RHS

Dual

Maximize

3

3

4

5



Constraint 1

4

2

5

2

550

0,2917

Constraint 2

3

0

3

1

350

0

Constraint 3

0

5

2

6

650

0,5833

Constraint 4

4

1

3

2

520

0,4583

Solution

67,0833

0

15

103,3333



Отчёт о решении этой задачи представлен в таблице.

В последней строке этого отчёта под переменными Х1; Х2; Х3; Х4 указаны их значения в оптимальном решении, а также значение целевой функции в столбце RHS.

В последнем столбце указаны двойственные оценки оптимального решения.

Для получения максимального дохода необходимо продукцию Х1; Х2; Х3; Х4 выпускать в объёмах: Х1 = 67,083; Х2 = 0; Х3 = 15; Х4 =103,33; При этом Zmax = 777,92


Двойственная задача: Найти значения переменных Y1; Y2; Y3; Y4, удовлетворяющих ограничениям:

 при которых целевая функция:

 становится минимальной.

Решения двойственной задачи из отчёта таковы:= 0,292; Y2 = 0; Y3 = 0,583; Y4 = 0,458;

Из анализа двойственных оценок следует:

. Так как каждая из них указывает, на сколько изменится максимальное значение целевой функции (максимальная выручка) если изменить на единицу запасы соответствующих ресурсов, то наибольшее изменение выручки произойдёт, если изменить объём 3-го ресурса. Изменение 2-го ресурса в пределах остатка не приведёт к изменению целевой функции (у2 = 0).

. Y1; Y3;Y4 положительны, т.е. эти ресурсы расходуются полностью.

Проверка по неравенствам исходной задачи:

(1) 4∙67,0833 + 2∙0 + 5∙15 + 2∙103,333 = 550 = 550;

(3) 0∙67,0833 + 5∙0 + 2∙15 + 6∙103,333 = 650 = 650;

(4) 4∙67,0833 + 1∙0 + 3∙15 + 2∙103,333 = 520 = 520;

следовательно, эти ресурсы дефицитны. Поскольку у2 = 0, то второй ресурс расходуется не полностью:

(2) 3∙67,0833 + 0∙0 + 3∙15 + 1∙103,333 = 349,583 < 350;

Остаток 2-го ресурса S2 = 350 - 349,583 = 0,417 единиц определяет значение балансовой переменной в оптимальном решении исходной задачи.

. Рентабельными являются 1-я, 3-я, и 4-я продукция т.к. Х1; Х3; Х4 - положительны, а 2-я продукция нерентабельна т.к. она не производится (Х2 = 0). Проверка по неравенствам двойственной задачи:

(1) 4∙0,2917 + 3∙0 + 0∙0,5833 + 4∙0,4583 = 3 = 3;

(2) 2∙0,2917 + 0∙0 + 5∙0,5833 + 1∙0,4583 = 3,96 > 3;

(3) 5∙0.2917 + 3∙0 + 2∙0.5833 + 3∙0.4583 = 4 = 4;

(4) 2∙0.2917 + 1∙0 + 6∙0.5833 + 2∙0.4583 = 5 = 5;

Таким образом, по 1-у , 3-у и 4-у уравнениям получены строгие равенства т.е. суммарная оценка ресурсов равна цене продукции, а во 2-м уравнении (для 2-ей продукции) затраты превышают цену на 3,96 - 3 = 0,96 ед., что даёт такой убыток на единицу в случае её производства.

Задание 3. Элементы теории игр

Найти решение игры заданной матрицей:

Нижняя цена игры: Верхняя цена игры:  

Матрица игры имеет седловую точку V = 4. Из систем уравнений:

 


Таким образом, решение игры:

Задание 4. Моделирование производственных процессов

труд межотраслевой игра дуглас

Пусть производственная система характеризуется производственной функцией Кобба-Дугласа


где Y - произведённый продукт;

С - масштабный множитель;

К - затраты капитала; - затраты труда;

б - коэффициент эластичности выпуска по капиталу (0<б<1);

(1 - б) - эластичность выпуска по труду.

За период времени системой было произведено 110 единиц продукции при затратах 20 единиц труда и 40 единиц капитала. Известно, что б = 0,75.

. Записать производственную функцию Кобба-Дугласа.

. Сколько единиц продукта будет произведено системой при затратах 25 единиц труда и 50 единицах капитала?

. Определить для данной производственной системы средние продукты труда и капитала, используя формулы 4.2; 4.3; 4.4.

. Определить предельные продукты труда и капитала, используя формулы 4.5 и 4.6. Прокомментировать результаты расчётов.

. Проверить вычислениями точность равенства 4.10.

Решение

. Подставим в формулу (4.1)

 исходные данные:

= С∙400,75∙200,25.

После вычислений получим:

= С∙15,905∙2,115 или С = 110/33,636 = 3,27.

Окончательно имеем: = 3,27 K0,75L0,25.

. Подставим в полученное выражение для производственной функции новые данные: = 3,27∙500,75∙250,25 = 3,27∙18,803∙2,236 = 137,5.

Таким образом, системой при новых данных будет произведено 137,5 единиц продукта.

. Подсчитаем средние продукты факторов, используя формулы (4.2), (4.3) и (4.4).

Из формулы (4.2) Ayk = Y/K следует, что фондоотдача Ayk = 110/40 = 2,75.

Из формулы (4.3) Ayk = C (L/K)1-. следует:

= 3,27∙K0,75L0,25/К = 3,27∙L0,25/К0,25 = 3,27∙ (20/40)0,25 = 2,75.

Из левого выражения (4.4)

Ayl = Y/L = C (K/L)= Y/L = 110/20 = 5,5.

Правая часть этого выражения даёт:

= C∙(K/L)= 3,27∙(40/20)0,75 = 5,5.

Таким образом, проверяемые равенства выполняются.

. Предельный продукт капитала - это частная производная выпуска по капиталу:


Получили, что действительно,

Мyk =∙Ayk = 0,75∙2,75 = 2,062.

Аналогично предельный продукт труда:

МyL = (1-) Ayl = 0,25∙5,5 = 1,375.

Сравнивая средние и предельные продукты факторов, видим, что действительно, предельные продукты меньше средних, подтверждая тем самым закон убывающей эффективности факторов.

Средний продукт капитала, равный 2,75 означает, что в исследуемой экономической системе на единицу основных фондов приходится в среднем 2,75 единиц выпускаемого продукта, а предельный продукт капитала, равный 2,062, означает, что в исследуемой экономической системе на единицу прироста основных фондов приходится в среднем 2,062 единиц прироста выпуска продукта. Аналогично и по продукту труда.

. Пусть левая часть выражения (4.10)

Y(K+K, L+L)  Y +  (Y/K)K + (1-) (Y/L)L.

- это выпуск продукта, подсчитанный в п. 2. Тогда K = 10, а L = 5. Подсчитаем правую часть выражения (4.10).

+ (Y/K)K + (1-)∙(Y/L)L = 110 + 0,75∙(110/40)∙10 + 0,25∙(110/20)∙5 = 110 + 20,625 + 6,875 = 137,5.

Таким образом, равенство 4.10 выполняется точно.

Список используемых источников

1.      Бушин П.Я., Захарова В.Н. Математические методы и модели в экономике: учеб. пособие. - Хабаровск, 1998.

2.      Бушин П.Я. Математические модели в управлении: учеб. пособие. - Хабаровск, 1999.

.        Экономико-математическое моделирование: учебник для студентов вузов / под общ. ред. И.Н. Дрогобыцкого. - М.: Экзамен, 2004.

.        Пелих А.С. Экономико-математические методы и модели в управлении производством / А.С. Пелих, Л.Л. Терехов, Л.А. Терехова. - Ростов-на-Дону: Феникс, 2005.

.        Бережная Е.В. Бережной В.Н. Математические методы и модели экономических систем: учеб. пособие. - М.: Финансы и статистика, 2003.

.        Фомин Г.П. Математические методы и модели в коммерчесокй деятельности: учебник. - 2-е изд., перераб. и доп. - М.: Финансы и статистика, 2005.

Похожие работы на - Математические методы и модели в решении задач по экономике

 

Не нашли материал для своей работы?
Поможем написать уникальную работу
Без плагиата!
Без нейросетей!