Интегральное определение логарифма и его исторические корни
КУРСОВАЯ
РАБОТА
Интегральное
определение логарифма и его исторические корни
Содержание
Введение
Глава 1. Исторические аналоги некоторых современных определений
логарифма
§1 Характеристика Европейской математики 17 века
§2 Логарифмы как средство вычислений
п.1 Определение логарифма Иоста Бюрги
п.2 Определение логарифма Джона Непера
§3 Интегральные методы 17 века
§4 Грегуар де Сен-Венсан: нахождение площади под гиперболой
§5 Метод Николая Меркатора нахождения площади под гиперболой
Глава 2. Некоторые современные определения логарифмов
§1 Об историко - генетическом методе
§2 Логарифм как показатель степени
§3 Введение логарифма в школьном курсе математики как площадь под
гиперболой
§4 Интегральное определение логарифма
Заключение
Список литературы
Введение
В данной курсовой работе будет
рассмотрено интегральное определение логарифма и его исторические корни.
Логарифм - число, применение
которого позволяет упростить многие сложные операции арифметики. Использование
в вычислениях вместо чисел их логарифмов позволяет заменить умножение более
простой операцией сложения, деление - вычитанием, возведение в степень -
умножением и извлечение корней - делением. Логарифмы были придуманы для
ускорения и упрощения вычислений.
В период математики переменных величин
в связи с появлением функциональных представлений и развитием интегрального и
дифференциального исчисления появилась возможность по другому подойти к
определению логарифма.
Объект исследования - история
логарифмов.
Предмет - история интегрального определения
логарифма.
Цель курсовой работы: найти
исторические аналоги интегрального определения и сравнить с современными.
Задачи:
. изучить литературу по
данной теме;
. рассмотреть определения
логарифма у Джона Непера и Иоста Бюрги;
. найти исторические аналоги
интегрального определения логарифма;
. привести определения
логарифма как показателя степени; интегральное определение логарифма, вывести
свойства и сравнить их;
. сравнить исторические и
современные определения логарифмов;
. изучить возможность введения
логарифма в школьном курсе математики как площади под гиперболой;
. познакомиться с
историко-генетическим методом;
. рассмотреть возможность
введения логарифма историко-генетическим методом в школьном курсе математики;
. структурировать материал по
главам и параграфам.
Гипотеза: возможно вводить логарифмы
в школьном курсе математики как площадь под гиперболой, опираясь на
исторические корни этого определения.
Курсовая работа состоит из двух
глав. В первой главе прослеживается исторические аналоги некоторых современных
определений логарифма. Вторая глава описывает некоторые современные определения
логарифма и возможность применения историко-генетического метода при введении
этого понятия.
Глава1. Исторические аналоги
некоторых современных определений логарифма
§1 Характеристика Европейской
математики 16-17 века
На протяжении 16 века быстро
возрастало количество приближенных вычислений, прежде всего в астрономии.
Совершенствование инструментов, исследование планетных движений и другие работы
потребовали колоссальных, иногда многолетних, расчетов. Астрономам грозила
реальная опасность утонуть в невыполненных расчетах. Трудности возникли и в
других областях, например, в финансовом и страховом деле нужны были таблицы
сложных процентов для различных значений процента. Главную трудность
представляли умножение, деление многозначных чисел, особенно тригонометрических
величин.
С 17 в. начинается существенно новый
период развития математики. Круг количественных отношений и пространственных
форм, изучаемых теперь математикой, уже не исчерпывается числами, величинами и
геометрическими фигурами. В основном это было обусловлено явным введением в
математику идей движения и изменения. Уже в алгебре в скрытом виде содержится
идея зависимости между величинами (значение суммы зависит от значений слагаемых
и т. д.). Однако чтобы охватить количественные отношения в процессе их
изменения, надо было самые зависимости между величинами сделать самостоятельным
объектом изучения. Поэтому на первый план выдвигается понятие функции, играющее
в дальнейшем такую же роль основного и самостоятельного предмета изучения, как
ранее понятия величины или числа.
Изучение переменных величин и
функциональных зависимостей приводит к далее к основным понятиям
математического анализа, вводящим в математику в явном виде идею бесконечного,
к понятиям предела, производной, дифференциала и интеграла. Создается анализ
бесконечно малых, в первую очередь в виде дифференциального исчисления и
интегрального исчисления, позволяющий связывать конечные изменения переменных
величин с их поведением в непосредственной близости отдельных принимаемых или
значений. Основные законы механики и физики записываются в форме
дифференциальных уравнений, и задача интегрирования этих уравнений выдвигается
в качестве одной из важнейших задач математики. Разыскание неизвестных функций,
определенных условиями другого рода (условиями минимума или максимума некоторых
связанных с ними величин), составляет предмет вариационного исчисления.
Таким образом, наряду с уравнениями,
в которых неизвестными являются числа, появляются уравнения, в которых
неизвестны и подлежат определению функции.
§2 Логарифмы как средство вычислений
Первые идеи логарифмического
вычисления в их грубейшей форме возникли из сопоставления членов геометрической
прогрессии с арифметической прогрессией их порядковых номеров или же чисел, им
пропорциональных.
Следы такого сопоставления восходят
к древности и довольно ясно выражены в одном месте Архимедова «Псаммита». Это
небольшой арифметический трактат. Почти сто лет назад «Псаммит» был переведен
на русский язык Ф. Петрушевским (в 1824 г.). Но эта книга представляет
библиографическую редкость, а язык перевода, в общем довольно точного, слишком
тяжел и архаичен.
И в своем «Псаммите» Архимед
выражается так: „Если будет дан ряд чисел в непрерывной пропорции (т. е., по
нашей терминологии, находящихся в геометрической прогрессии), начиная от
единицы, и если два члена его перемножить, то произведение будет членом того -
же ряда, настолько удаленным от большего множителя, на - сколько меньший удален
от единицы; он же будет удален от единицы одним членом меньше против того,
насколько удалены от нас оба множителя вместе".
При современных обозначениях смысл
этого места можно передать так: если с геометрической прогрессией 1, α, α²,αᵌ,... сопоставить
арифметическую прогрессию порядковых номеров её членов 1, 2, 3, 4,..., то
произведение двух членов первой аᵐ и аⁿ будет членом той же
прогрессии, порядковый номер которого равен сумме порядковых номеров множителей
без единицы, т. е. m+n-1.
Это, хотя и простое, но важное
замечание Архимеда не осталось незамеченным и повторяется почти во всех
значительных сочинениях XV и XVI столетий с тем лишь улучшением более позднего
происхождения, что за порядковые номера членов геометрической прогрессии
принимаются числа 0, 1, 2, 3,... или им пропорциональные. Так, у французского
математика Chuquet в его сочинении 1484 года LeTripаrty сnlascicncecles
Nombres" мы находим, в виде примеров, сопоставление прогрессий 0, 1, 2,
3,... или 0, 1, 2, 3,…. 1, 2, 4, 8,… 1, 3, 9, 27,… с вполне ясным указанием на
то, что произведению двух членов геометрической прогрессии отвечает в
арифметической прогрессии член, равный сумме тех, которые отвечают множителям.
Похожие замечания, которые были у
Архимеда встречаются и у других авторов.
п.1 Определение логарифма Бюрги
Швейцарец Иост Бюрги (1552-1632) был
высококвалифицированным механиком и часовых дел мастером, математику он изучил
самостоятельно. Он состоял придворным часовщиком, а также мастером
астрономических инструментов сначала в Касселе, затем с 1603 г. в Праге, где
сблизился с Кеплером. Мы не знаем, когда в точности Бюрги приступил к созданию
своих таблиц, но, вероятно, они были готовы около 1610 г. Бюрги долго медлил с
их изданием, и они вышли в свет уже после двух трудов Непера; за эту задержку
Кеплер впоследствии порицал своего друга. Книга Бюрги озаглавлена «Таблицы
арифметической и геометрической прогрессий, вместе с основательным
наставлением, как их нужно понимать и с пользой применять во всяческих вычислениях»
Бюрги - об этом он писал
сам - исходил из соображений о соответствии между умножением в геометрической
прогрессии и сложением в арифметической, которые он почерпнул, правда, не у
Штифеля (так как не знал латыни), а у других авторов, писавших по-немецки.
Задача состояла в выборе прогрессии со знаменателем, достаточно близким к
единице с тем чтобы ее члены следовали друг за другом с интервалами, достаточно
малыми для практических вычислений. Бюрги взял знаменатель 1,0001 и сопоставил
числа 0, 10, 20,..., 10n,... арифметической прогрессии с членами геометрической
10000000, 100010000, 100020001,..., 108·1,0001ⁿ,... Первые
числа, напечатанные красной краской, называются красными, вторые напечатаны
черной краской и называются черными. Красные числа являются логарифмами черных,
разделенных на 108, при основании 
. Множитель 108
введен для того, чтобы по возможности долго избегать дробей. Так как таблицы
расположены по красным числам, то они представляют собой таблицы антилогарифмов
(термин, введенный в этом смысле Валлисом, 1693). Поэтому для умножения и
деления черных чисел чаще всего нужна интерполяция. Вычислены черные числа с
девятью верными цифрами.
Красные числа следуют с
интервалом в десять, за одним исключением. Таблица черных чисел начинается с 108,
и Бюрги заканчивает ее черным числом 108, для которого с помощью
интерполяции вычисляет «полное красное число» 230270,022. Это число применяется
при делении a/b, когда а<b, подобно тому как в десятичных логарифмах
добавляется целая характеристика, чтобы избежать отрицательной мантиссы.
Именно, вместо a/b Бюрги в этом случае находит 
он складывает красные
числа соответствующие а и 108, вычитает из суммы красное число,
соответствующее b, и по результату находит черное число с девятью десятичными
знаками, дающее дробь a/b. Если а>b, Бюрги вычитает из красного числа для a
красное число для b и находит черное число, соответствующее результату;
полученное число дает восемь десятичных знаков дроби a/b.
Таблицы Бюрги не получили
значительного распространения. Они не могли конкурировать с таблицами Непера,
более удобными и к тому же к 1620 г. уже широко известными.
п.2 Определение логарифма Непера
К открытию логарифмов Непер пришел
не позднее 1594 г., но лишь двадцать лет спустя опубликовал свое «Описание
удивительной таблицы логарифмов» 1614, содержавшее определение неперовых
логарифмов, их свойства и таблицы логарифмов синусов и косинусов от 0 до 90° с
интервалом в 1', а также разности этих логарифмов, дающие логарифмы тангенсов.
Теоретические выводы и объяснения способа вычисления таблицы он изложил в
другом труде, подготовленном, вероятно, до «Описания», но изданном посмертно, в
«Построении удивительной таблицы логарифмов», 1619г. В обоих сочинениях Непер
рассматривает и некоторые вопросы тригонометрии. Особенно известны удобные для
логарифмирования «аналогии», т. е. пропорции Непера, применяемые при решении
сферических треугольников по двум сторонам и углу между ними, а также по двум
углам и прилежащей к ним стороне.
В отличие от Бюрги, сопоставившего
две дискретные прогрессии, Непер с самого начала вводил понятие логарифма для
всех значений непрерывно меняющихся тригонометрических величин - синуса и
косинуса. При тогдашнем состоянии математики, когда еще не было аналитического
аппарата исчисления бесконечно малых, естественным и единственным средством для
этого являлось кинематическое определение логарифма. Быть может, здесь не остались
без влияния и традиции, восходившие к оксфордской школе XIV в. Исходные
определения из «Описания»:
«Опp. 1. Говорят, что линия растет
равномерно, когда описывающая ее точка проходит в равные моменты равные
промежутки.
Опр.2. Говорят, что линия сокращается
пропорционально, когда пробегающая по ней точка в равные моменты отсекает
отрезки, сохраняющие постоянно одно и то же отношение к тем линиям, от которых
они отсекаются
Опр.3. Говорят, что количества
иррациональные, или невыразимые числом, определяются числами с наибольшим
приближением, когда они определяются большими числами, отличающимися от
истинных значений иррациональных количеств меньше, чем на единицу.
Опр.4. Синхронными движениями
называются те, которые происходят вместе и в течение одного и того же времени.
Опр.5 и постулат. Так как существуют
движения как более медленные, так и более быстрые, чем всякое данное движение,
то отсюда необходимо следует, что существует движение равно быстрое всякому
данному (которое определяется как движение ни более медленное, ни более
быстрое, чем данное).
Опр.6.Логарифмом всякого синуса
называется, наконец, число, определяющее с наибольшим приближением линию,
возрастающую равномерно, между тем как линия полного синуса убывает
пропорционально до величины данного синуса, причем оба движения синхронны и
вначале равно быстры».
Здесь в геометрическом выражении
высказаны многие замечательные идеи. Отметим только своеобразную формулировку
идеи о непрерывности в третьем определении и обратимся к основному, шестому
определению логарифма.
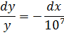
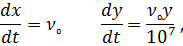
Если изобразить полный синус, т. е.
радиус круга, у Непера равный 107, отрезком АВ, а линию синуса -
отрезком YB= у, то логарифмом у (обозначим его Lу) будет отрезок ОХ = х,
проходимый точкой X, начинающей движение из О с постоянной скоростью v0,
за то самое время, в какое точка Y, одновременно выходящая из А с той же
начальной скоростью v0, проходит отрезок AY со скоростью,
пропорциональной расстоянию, остающемуся до другого конца В, т. е.
пропорциональной YB. На языке дифференциального исчисления

Как видно, неперов
логарифм числа у не есть, как иногда пишут в учебниках анализа, натуральный
логарифм этого числа: Ly выражается через ln у линейно. Многие свойства
логарифмов Непера поэтому несколько отличаются от свойств логарифмов в нашем
смысле слова. Главное, конечно, у них общее: если четыре числа образуют
геометрическую пропорцию1:y2=y3:y4
то их логарифмы составляют арифметическую пропорцию1 
Ly2 = Ly3

Ly4, т.е. геометрической
прогрессии чисел соответствует арифметическая прогрессия логарифмов. Однако,
поскольку = 107 ln 107, т. е. L1 не равен
нулю, правила действий усложняются: так, например,
(ab) = La + Lb
L1, L 
=La
Lb + L1
и т. п. В примерах
Непера, правда, L1 выпадает, но лишь потому, что в них вычисляются четвертая и
средняя пропорциональные, например:

= L (ab) - Lc + L1=La
+ Lb - Lc.
Нулю равен неперов
логарифм числа 107, т. е. полного синуса или радиуса. Этого и
добивался Непер, имевший в виду прежде всего тригонометрические вычисления.
Поскольку тригонометрические величины рассматривались еще не в отношении к
радиусу, а как отрезки, выраженные в тех же единицах, что полный синус,
последний входил в формулы и на него часто приходилось умножать и делить.
Равенство нулю логарифма полного синуса представляло в таких условиях
определенные преимущества. По мере уменьшения натуральных значений синуса
неперов логарифм возрастает, а при синусе, равном нулю, обращается в
бесконечность. В таблице Непера в строке, в которой в графе синуса обозначен 0,
в графе логарифма синуса стоит слово Infinitum- «бесконечность».
Разумеется, Непер не
записывал и не интегрировал приведенное выше дифференциальное уравнение,
которое выражает кинематическое определение логарифма. Но фактически его прием
составления таблиц равносилен приближенному численному решению
дифференциального уравнения. Сначала находится весьма малый отрезок, проходимый
точкой X, когда точка Y перемещается из начального положения А на расстояние 1,
т. е. вычисляется L9999999. Опираясь на представление о мгновенной скорости и
сравнивая скорости точек X иY, Непер выводит, что
7-y<Ly<107/y
(107- y)
и для y = 9999999
принимает в качестве логарифма среднее арифметическое чисел 1 и 107/9999999
= 1,00000010000001..., так что L9999999= 1,00000005 (с точностью до
четырнадцатого знака). Здесь, как и всюду, Непер пользуется десятичными
дробями. Далее для арифметической прогрессии логарифмов
хn =
1,00000005n он находит соответствующую геометрическую прогрессию чисел
уп = 107(1-1/107)n,
где п = 1, 2, 3,… ,100.
Это нетрудно, так как
здесь нужны только вычитания; уk=уk-1- 0,0000001yk-1
Так получается, при
подходящих округлениях, L9999900.
Отношение числа 9999900
к 107 есть 1-1/105, и Непер переходит к вычислению
логарифмов уп = 107(1-1/105)n, до
n=50, причём логарифму у1 известен. Аналогично применяются
прогрессии 107(1-1/2·103)ⁿ и в особенно большом
объёме 107(1-1/102)ⁿ.Числа уп
округляются, и с помощью оценки разности логарифмов близких чисел, основанной
на приведенном выше неравенстве, вычисляются их логарифмы. Так Непер доходит до
L5000000.
Термин «логарифм»
(logarithmus) принадлежит Ненеру, он возник из сочетания греческих слов -
отношение и число, которое означало «число отношения» что напоминает о двойных,
тройных, полуторных и иных целых или дробных отношениях древней и средневековой
математики. Первоначально Непер пользовался другим термином:
numeriartificiales- «искусственные числа» - в противоположность
numerinaturales- «числам естественным».
§3 Интегральные методы 17 века
Под интегральным исчислением
понимают раздел математического анализа, изучающий интегралы функций и их
приложения.
Элементы интегрального исчисления
можно найти в трудах Архимеда (287 г. до н. э. - 212 г. до н. э.): в сочинении
«Об измерении длины окружности» рассматривается вопрос об определении площади и
длины окружности круга, а в трактате «О шаре и цилиндре» - о поверхностях и
объёмах некоторых тел. Для решения этих задач Архимед использовал метод
исчерпывания Евдокса Книдского (ок. 408 г. до н. э. - ок. 355 г. до н. э.).
Таким образом, интегральное
исчисление возникло из потребности создания общего метода нахождения площадей,
объёмов и центров тяжести.
Систематическое развитие эти методы
получают в XVII веке в работах Б. Кавальери Б (1598-1647),Э. Торричелли
(1608-1647), П. Ферма (1601-1665), Б. Паскаля (1623-1662) и других учёных. Но
их изыскания в основном имели разрозненный и утилитарный характер - решались
конкретные самостоятельные задачи. В 1659 году И. Барроу (1630-1677) установил
взаимосвязь между задачей о нахождении площади и задачей о нахождении
касательной.
Основы классического интегрального
исчисления были заложены в работах И. Ньютона (1643-1727) и Г. Лейбница
(1646-1716), которые в
-х годах XVII века отвлеклись от
упомянутых частных прикладных задач и установили связь между интегральным и
дифференциальным исчислением. Это позволило Ньютону, Лейбницу и их ученикам
развить технику интегрирования. Своего нынешнего состоянию методы
интегрирования в основном достигли в работах Л. Эйлера (1707-1783). Развитие
методов завершили труды М. В. Остроградского (1801-1861) и П. Л. Чебышёва
(1821-1894).
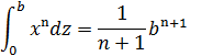
Исторически под интегралом понимали
площадь криволинейной трапеции, образованной заданной кривой f(x) и осью
координат. Для нахождения этой площади отрезок ab разбивали на n необязательно
равных частей и строили ступенчатую фигуру (на рисунке 1.1 она заштрихована).
Её площадь равна
(1.1)
где yi - значение функции
f(x) в i-той точке (
), а dxi
= xi + 1 − xi.
Г. Лейбниц в конце XVII века
обозначил предел этой суммы как
(1.2)
Так как на тот момент времени
понятие предела ещё не сформировалось, поэтому Лейбниц ввёл новый символ для
суммы бесконечного числа слагаемых
- видоизменённую курсивную латинскую «S» - первую букву лат. summa
(сумма).
Слово «интеграл» происходит от лат.
integralis - целостный. Это название было предложено учеником Лейбница Иоганном
Бернулли (1667-1748), чтобы отличить «сумму бесконечного числа слагаемых» от
обычной суммы.
В дальнейшем обозначение Лейбница
усовершенствовал Ж. Фурье (1768-1830). Он явно стал указывать начальное и
конечное значение x:
(1.3)
введя тем самым современное
обозначение определённого интеграла.
В теории определённых интегралов
интегрирование рассматривается как процесс обобщения суммирования на случай
бесконечно большего числа бесконечно малых выражений. Таким образом, результатом
определённого интегрирования (в случае его возможности) является некое число (в
обобщениях, бесконечность).
§4 Грегуар де Сен-Венсан: нахождение
площади под гиперболой
Грегуа́р де Сен-Венса́н (фр. Grégoire de
Saint-Vincent, 22 марта 1584, Брюгге - 5 июня
1667, Гент) - бельгийский математик, иезуит.
Закончил университет в Дуэ (1600
год). В 1605 году в Риме стал иезуитом, изучал там труды Галилея и Клавиуса.
После смерти Клавиуса (1612) вернулся в родную Фландрию. Был профессором в
Антверпене (1617-1620) и Лёвене (1621-1625).
Главное сочинение де Сен-Венсана:
«Геометрический труд о квадратуре круга и конических сечений» (лат. Opus
Geometricum Quadraturae Circuli et Sectionum Coni, закончен в 1629 году,
опубликован в 1647 году). Среди его значительных открытий:
Вычисление площади под гиперболой.
Рассмотрим равнобочную
гиперболу 
Возьмём на гиперболе
четыре точки A,B,A',B', так чтобы a,b,a',b' получили пропорцию a:b=a':b'. Тогда
криволинейные трапеции AabB и A'a'b'B' будут равновеликими:
y
А
В
А'
В'
а b aʹ
bʹ x
Рассмотрим на гиперболе несколько
точек, абсциссы которых
0=1, x1=q, x=q2…, составляют прогрессии xk=qk,...
(1)
Получим ряд криволинейных трапеций,
площадь каждой из которых равна какому-то числу S, т.е.
Обозначим площадь криволинейной
трапеции, построенной на отрезке
(x, xk) или
(1,x) через Sk, соответственно S(x), т.е. S(x) =
, тогда получим Sk =
kS или S(x)=xS. (3)
Это говорит о том, что
если абсцисса x точки, скользящей по гиперболе, образуют геометрическую
прогрессию, то площади S(x), соответствующих криволинейных трапеций образуют
арифметическую прогрессию
, S, 2S, 3S,...,xS,...
Если обозначим через e
такое число, для которого S(e)=1 и принять q=e1/n, где n -
натуральное число, то получаем геометрическую и арифметическую прогрессии:
,e1/n, e2/n,…
eх/n,…,e,…,
, S, 2S, 3S,...,xS,…,1,…
согласно (3) получим:
S(qn)=nS(q), т.е. 1= nS(e1/n) или S(e1/n)=1/n
Обобщая полученный
результат имеем:
(x)=
или S(x)=
Это означает, что
площадь криволинейной трапеции над отрезком (1,х) оси абсцисс, ограниченная
дугой равнобочной гиперболы, представляет собой натуральный логарифм числа x.
§5 Метод Николая Меркатора вычисления
логарифмов
Около 1686 г. математику
Николаю Меркатору из Голштинии случайно удалось, путём несложного
преобразования, найти естественное решение задачи о площади «под» гиперболой. И
до Меркатора было известно несколько решений задачи о площади «пол гиперболой»,
но все они были сложны и искусственны. Гипербола, которая является графиком
функции y 
Теперь, оставляя ось Ох
прежней, перенесём ось Оу на единицу вправо в положение О1у1.
Если точка N, взятая на гиперболе, имела раньше абсциссу ОР = х, то новая
абсцисса будет О1Р- обозначим её через z. Тогда z = x ̶ 1 или
же х = 1 + z. Уравнение нашей линии (гиперболы) y 
принимает вид: 
.
Если, например, ОР = 1,8
ед. и искомый логарифм обозначен как 
, то теперь мы должны
его обозначить как 
,
так как новая абсцисса z
изменяется, от значения 0 до значения 0,8. И вот Меркатор (в этом решающий
шаг!) привлекает формулу суммы убывающей геометрической прогрессии. А именно,
1-z+z²-z³-z-z+…
= 

= 
Стоящий знак интеграла,
означает площадь, а уравнения
у = 1, у = -z, у = z2,
у = -z3,...
означают параболы
последовательных степеней. Итак, «ключ» Меркатора, который он применил для
открытия незнакомой замкнутой шкатулки - это замена площади гиперболы рядом
площадей последовательных парабол.
Во времена Меркатора
формула площади для параболы
была уже хорошо
известна. Что же касается того, что ряд парабол тянется неограниченно далеко
(до бесконечности), то Меркатор об этом мало беспокоился. Примерно через 150
лет после него математикам стоило многих трудов доказательство того, что при
этом переходе сразу к несметному множеству площадей парабол мы не совершаем
ошибки, одним словом, логически-строгое доказательство далось нелегко. Но в ту
эпоху, когда жил Меркатор, можно было не входить в эти тонкости и беззаботно
попеременно прибавлять и вычитать площади последовательных парабол:
=0,8
кв. ед
Эти последовательные
площадки под параболами у = z0, у = z1, у = z2,
у = z3,..., у = z9. Конечно, значение z = 0,8 взято лишь
в качестве примера. Можно написать в общем виде: площадь «под»
гиперболой[1…1+z]:т.е
=
Окончательная формула
такова:
log(1+z)=
или изменяя букву
log(1+x)=
Глава 2. Некоторые
современные определения логарифмов
§1 Об историко-генетическом методе
Использование на уроках элементов
истории математики повышает интерес учащихся, имеет большое мировоззренческое и
общекультурное значение, может оказывать воспитывающее влияние.
Учитель не только должен знать, как
происходило развитие основных математических понятий и идей, но и понимать, что
учащиеся в своем обучении кратко повторяют этот путь и сталкиваются с теми же
трудностями, с какими сталкивались ученые, стоявшие у истоков формирования того
или иного математического понятия. Учителю необходимо не только быть знакомым с
историей науки, но параллельно, неразрывно с излагаемым материалом, обращать
внимание на то, какие методические идеи и находки подсказывает ему история
науки, следовать с историко-генетическому метод.
В основе историко-генетического
метода лежит следующее наблюдение: изучая математику, учащиеся кратко повторяют
путь человечества, который оно прошло, добывая математические знания. Если мы
знаем этот путь, знаем историю математики, то можем, используя это знание,
координировать учебный процесс, делая его более эффективным, а математику,
преподносимую учащимся, более понятной. Поясним эту идею следующим
высказыванием американского профессора М. Клайна: «Нет никакого сомнения, что
затруднения, которые встретили великие математики, являются теми же камнями
преткновения, какие встречают студенты, и что никакие попытки смазать эти трудности
с помощью логической словесности не достигнут цели. И если нужны были 1000 лет,
чтобы первоклассные математики добрались до понятия отрицательных чисел, и
потребовалось еще 1000 лет, чтобы математики признали отрицательные числа, то
можно быть уверенным, что учащиеся испытают затруднения с отрицательными
числами. Больше того, учащимся придется преодолеть эти трудности почти тем же
путем, каким это преодолели математики, постепенно привыкая к новым понятиям,
оперируя с ними и используя все интуитивные средства, которые учитель сможет им
привести».
Для того чтобы лучше разъяснить суть
историко-генетического метода, рассмотрим кратко главные этапы его становления.
Началом его проникновения в преподавание математики можно считан, появление в
1685 г. «Исторического и практического трактата по алгебре» Дж. Валлиса.
Исторический подход к изложению предмета и метода алгебры, реализованный в
трактате, вызывал у читателей большую заинтересованность и тем самым
способствовал ускоренному постижению смысла излагаемого материала, логики
выводов и доказательств. Таким образом, впервые было замечено, что если к
математическим понятиям, терминам и символам подойти с позиции исторического
развития, то они перестанут казаться искусственными и оторванными от жизни.
Станет, виден их глубокий жизненный смысл, их естественность и необходимость.
«Трактат по алгебре» Валлиса можно считать первым курсом алгебры, построенном
на историко-генетических началах.
В XVIII в., т.е. спустя почти двести
лет, французский математик А.К. Клеро, следуя за педагогической идеей Валлиса,
уделил большое внимание историческому методу в процессе обучения математике. Он
считал очень продуктивной методику, которая учит искать и делать открытия,
потому что при таком изложении математических утверждений указывается, каким
образом люди пришли к открытию.
В середине XIX столетия англичанин
В.Г. Спенсер опубликовал книгу «Геометрия путем изобретения», в которой излагал
для детей геометрию не обычным дидактическим способом, а знакомил читателей с
геометрическими представлениями, постепенно и как бы только подготавливая к ее
изучению. Такая методика также дала положительные результаты.
В конце XIX - начале XX столетий
историко-генетический метод стал широко популяризироваться деятелями
математического образования. В 1904 г. французский математик А. Пуанкаре писал:
«Зоологи считают, что за короткий период развития эмбриона животного он
воспроизводит историю своих предшественников всех эпох. Кажется, что-то же
самое происходит в развитии ума. Задача воспитания - дать уму ребенка пройти
то, что изведали его предки, пройти быстро определенные этапы, но не опустить
ни одного из них. Для достижения этой цели история науки должна служить
поводырем».
В России одним из активных
пропагандистов историко-генетического метода был русский исследователь истории
математики и математического образования В.В. Бобынин. Приведем цитату из его
работы 1886 г. «Философское, научное и педагогическое значение истории
математики»: «Умственное развитие молодых поколений управляется теми же законами
и вследствие этого проходит в существенных чертах те же самые фазы развития,
которые имели место в соответствующих ступенях умственного развития всего
человечества... преподавание каждой науки должно идти тем же путем, которым шла
при своем развитии сама наука...». Такой метод В.В. Бобынин называет
генетическим, понимая под этим «метод, развивающий в преподавании положения и
выводы науки именно таким образом, как они развивались в действительности». В
качестве основного педагогического значения истории математики Бобынин
указывает именно на значение ее для генетического метода преподавания.
Фактически о том же говорит и русский психолог и педагог П.Ф. Каптерев:
«Наиболее удобная в педагогическом отношении форма изложения есть генетическая,
когда сообщается история происхождения знания, показывается, как знание
возникло и развивалось».
Определенного рода повторяемость
общего пути умственного развития человечества в формировании индивидуального
сознания, которую на опыте собственной педагогической деятельности подмечали
многие преподаватели XIX в., в середине XX столетия стала предметом
психологических исследований. Психолог В.В. Давыдов считает, что учащиеся
присваивают культурные формы в процессе учебной деятельности, осуществляя при
этом мыслительные действия, адекватные тем, посредством которых исторически
вырабатывались продукты духовной культуры, т.е. школьники как бы воспроизводят
реальный процесс создания людьми понятий, образов, ценностей и норм. Отсюда
В.В. Давыдов делает важный вывод о том, что обучение в школе всем предметам
необходимо строить так, чтобы оно «в сжатой сокращенной форме воспроизводило
действительный исторический процесс рождения и развития... знаний». Таким
образом, историко-генетический метод действительно может играть большую роль в
преподавании математики, так как именно он позволяет учащимся пройти тот путь,
который проходило человечество, добывая математические знания.
Историко-генетический метод
побуждает каждый раз обосновывать введение того или иного понятия, рассказывая,
какие задачи практики привели к его открытию, и как оно впервые использовалось.
С его помощью учитель может предвидеть трудности, возникающие при усвоении
учащимися школьной программы и преодолевать их, используя исторический опыт.
Историко-генетический метод способен
подсказать учителю решение и некоторых чисто методических проблем, например,
как лучше спланировать изучение данного учебного материала, какой методической
разработке отдать предпочтение, в какой последовательности изучать те или иные
темы. «Вообще, мы можем ожидать больший успех делая то, что нам подсказывает
генетический принцип, чем следуя чисто формальной концепции математики». Этот
метод может оказать учителю большую помощь при реализации в учебном процессе
эвристических приемов: чтобы подвести учащихся к открытию математического
факта, учитель должен кратко пройти вместе с ними тот путь, который привел
людей к установлению этого факта.
Однако преподаватели прекрасно
понимают, что попытка воспроизвести весь исторический путь познания математической
истины, повторяя все детали ошибок и заблуждений первооткрывателей, приведет к
отказу от тех преимуществ, которые предоставляют дидактике современные
обобщающие идеи, концепции и методы науки, и, как следствие, к разрушению
логической структуры курса. Поэтому историко-генетическому методу
противопоставляется другой метод преподавания - логический.
При логическом изложении не должно
быть ничего лишнего, никаких нарушающих стройность предмета исторических
случайностей. Однако и ходе преподавания стало очевидным, что логический метод
также не лишен недостатков. В своей строго логической форме, без указаний на
происхождение понятий и выхода теории в практику, математическая дисциплина
принимает слишком искусственный характер, «...мы видим, как вопросы могут быть
разрешены, но перестаем понимать, как и почему они были поставлены». По этой
причине логическое изложение не заинтересовывает даже способных учащихся так,
как могло бы.
Вот почему уже много лет не угасает
интерес к историко-генетическому методу. Однако очевидно, что этот метод
эффективен лишь в том случае, когда в процессе изложения научных понятий
правильно найдено соотношение логического и исторического подхода в
преподавании. Говоря об историко-генетическом методе, мы, безусловно, не имеем
в виду его крайние формы - повторение в преподавании развития математического
знания со всеми нюансами и тонкостями. Для методически правильной организации
обучения учителю, прежде всего, необходимо знать общие законы развития
математической науки, пути формирования и становления математических понятий и
идей.
В конце XIX в. история математики
как наука лишь зарождалась и поэтому не могла решить поставленных перед нею
задач. Только в наше время, когда, благодаря исследованиям таких историков
математики, как Г.Г. Цейтен, Б.Л. Ван-дер-Варден, Г. Вилейтнер, И.Я. Депман,
А.П. Юшкевич, Б.А. Розенфельда и др., накоплен и систематизирован колоссальный
историко-математический материал, стало возможным на основе этих данных делать
обобщения, говорить об общих законах развития математического знания,
прослеживать пути формирования математических понятий от их зарождения до
современного состояния.
Исторические справки и сведения,
эвристические идеи выводов формул и доказательств теорем, яркие несложные
примеры, несомненно, заинтересуют учащихся и сделают более эмоциональными уроки
математики, и главное, позволят им в случае необходимости даже через несколько
лет снова вывести уже забытую формулу или теорему. Отметим также, что основные
этапы эвристического рассуждения, реализуемого на уроке, могут быть подсказаны
учителю данными истории математики и осуществлены с помощью
историко-генетического метода.
Историко-генетический метод
преподавания нельзя сводить только к использованию отдельных
историко-математических сведений на уроках математики. Реализуя этот метод в
своей работе, учитель повторяет вместе с учащимися путь развития науки, ведет
их по пути новых открытий. Отдельные историко-математические сведения, которые
он использует, - это лишь вершина айсберга, каким является метод. Разумеется,
учителю необходимо знать и отдельные частные сведения, которые он может
непосредственно рассказывать на уроке. Но если учитель знает основные этапы
развития математических понятий и идей и знает конкретно, какой фрагмент этих
сведений он хочет изложить учащимся, то подобрать нужный
историко-математический материал ему будет несложно.
Историко-математические сведения,
излагаемые учителем, могут быть самыми разными и нести самую разнообразную
смысловую нагрузку, однако наиболее эффективным их использование будет лишь в
том случае, если они излагаются в системе, единым методом и если их
использование позволяет сделать изложение материала более последовательным,
понятным, целостным и интересным.
§2 Логарифм как показатель степени
Логарифмы в школьном курсе
математики обычно вводят как показатель степени некоторого положительного
неравного единице числа.
О: Логарифм числа b по основанию a
называется показатель степени, в которую нужно возвести основание a, чтобы
получить b.
Исторически понятие логарифма
возникло для упрощения вычислений. Один из таких приемов был известен во
времена Архимеда, он состоит в сопоставлении арифметической и геометрической
прогрессии.
, 1, 2, 3, 4, 5, 6, 7...
, 2, 4, 8, 16, 32, 64, 128…
Если перемножить какие-нибудь два
числа нижнего ряда, например 4 и 32 (4·32=128), то параллельно с этим
умножением, происходит сложение соответственных «верхних» чисел: 2+5=7. Это
происходит потому, что 4=22; 32=25 4·32=22·25=(2·2)·(2·2·2·2·2)=27
Логарифм, число, применение которого
позволяет упростить многие сложные операции арифметики. Использование в
вычислениях вместо чисел их логарифмов позволяет заменить умножение более
простой операцией сложения, деление - вычитанием, возведение в степень -
умножением и извлечение корней - делением.
Общее описание. Логарифмом данного
числа называется показатель степени, в которую нужно возвести другое число,
называемое основанием логарифма, чтобы получить данное число. Например,
логарифм числа 100 по основанию 10 равен 2. Иначе говоря, 10 нужно возвести в
квадрат, чтобы получить число 100 (102 = 100). Если n - заданное
число, b - основание и 1 - логарифм, то b1 = n. Число n также
называется антилогарифмом по основанию b числа 1. Например, антилогарифм 2 по
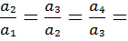
основанию 10 равен 100. Сказанное можно записать в виде соотношений 10gb
n = 1 если с геометрической прогрессией 1, α,
α²,αᵌ,... сопоставить арифметическую прогрессию порядковых
номеров её членов 1, 2, 3, 4,..., то произведение двух членов первой аᵐ и
аⁿ будет членом той же прогрессии, порядковый номер которого равен сумме
порядковых номеров множителей без единицы, т. е. m+n-1. с вполне ясным
указанием на то, что произведению двух членов геометрической прогрессии
отвечает в арифметической прогрессии член, равный сумме тех, которые отвечают множителям.
° Сложению в арифметических
прогрессиях отвечает умножение в геометрических.
° Вычитанию в арифметических
прогрессиях отвечает деление в геометрических.
° Простому умножению (т. е. числа на
число) в арифметических прогрессиях в геометрических отвечает умножение на себя
(возвышение в степень). Так, удвоению члена арифметической прогрессии в
геометрической отвечает возведение в квадрат.
" Делению в арифметических
прогрессиях отвечает извлечение корня в геометрических.
Формула alogab=b (где
b>0,a>0 и a≠1) называют основным логарифмическим тождеством.
Основные свойства логарифмов.:
При любых a>0 и (a≠1) и
любых положительных x и y выполнены равенства:
1° 
°
° 
° 
.
° 
для любого
действительного p.
Для доказательства
правила 3° воспользуемся основным логарифмическим тождеством:
х=alogaх у=alogaу
перемножая почленно эти
равенства, получаем:
ху= alogaх · alogaу
=alogaх + logaу
т.е. ху=alogaх +
logaу
Следовательно, по
определению логарифма
Для доказательства
правила 5°воспользуемся тождеством х=alogaх откуда xp =(alogaх)p=aᴾlogaх.
Следовательно, по определению
Основное свойство
логарифмов широко применяется в ходе преобразования выражений. содержащих
логарифмы. Докажем, например, формулу перехода от одного основания логарифма к
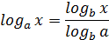
другому основанию:
Эта формула верна, если
обе части имеют смысл, т.е. при х>0, a>0 и a≠1, b>0 и b≠1.
откуда

разделив обе части
полученного равенства на 
, приходим к нужной
формуле.
П р и м е р ы:
3
81 = 4, так как 34 = 81; 1/3 27 = - 3, так как (1/3)3
= 33 = 27.
Десятичным логарифмом
называется логарифм по основанию 10. Он обозначается lg, т.е. 1оg 10
N = lg N. Логарифмы чисел 10, 100, 1000,... равны соответственно 1, 2, 3,...,
Т.е. имеют столько положительных единиц, сколько нулей стоит в логарифмируемом
числе после единицы. Логарифмы чисел 0.1, 0.01, 0.001,... равны соответственно
-1, -2, -3,..., Т.е. имеют столько отрицательных единиц, сколько нулей стоит в
логарифмируемом числе перед единицей (считая и нуль целых). Логарифмы остальных
чисел имеют дробную часть, называемую мантиссой. Целая часть логарифма
называется характеристикой. Для практического применения десятичные логарифмы
наиболее удобны.
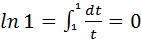
Натуральным логарифмом
называется логарифм по основанию е. Он обозначается ln, т.е. 1оg е N
= ln N. Число е является иррациональным, его приближённое значение 2.718281828.
Оно является пределом, к которому стремится число (1 + 1 / n) n при
неограниченном возрастании n. Как это ни покажется странным, натуральные
логарифмы оказались очень удобными при про ведении различного рода операций,
связанных с анализом функций. Вычисление логарифмов по основанию е
осуществляется гораздо быстрее, чем по любому другому основанию.
Число е является
иррациональным числом - числом, несоизмеримым с единицей, оно не может быть
точно выраженным ни целым ни дробным рациональным числом.
Буква е - первая буква
латинского слова exponere - выставлять напоказ, отсюда в математике название
экспоненциальная - показательная функция. Число е широко применяется в
математике, и во всех науках, так или иначе применяющих для своих нужд
математические расчеты.
§3. Введение логарифма в школьном
курсе математики как площадь под гиперболой
Ту же идею сопоставления
арифметической и геометрической прогрессии можно интерпретировать так.
Рассмотрим геометрическую
прогрессию, у которой а = 2; q = 1,2.
Строим оси координат и
график гиперболы у = 
Вдоль оси Ох откладываем
от начальной точки О последовательно отрезки:
Величина площади таких
фигур не зависит от длины отрезков

…=q=1,2.
Получаем:
площадь на отрезке [1...
1 ] = O.
» » » [1... q] = S;
» » » [1...
q²] = 2S;
» » » [1...
q³] = 3S;
» » » [1... q] = 4S;
.............................................................
» » » [1... qⁿ] =
nS₀;
И здесь имеет место
соответствие между геометрической прогрессией
Связь между геометрической
прогрессией длин отрезков и арифметической прогрессией площадей можно
формулировать cлeдующим образом: возвышению в степень длины отрезка q
соответствует умножение площади S на число n. Площадь криволинейной трапеции
над отрезком (1,х) оси абсцисс, ограниченная дугой равнобочной гиперболы,
представляет собой натуральный логарифм числа x.
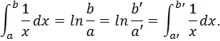
Ф.Клейн (1849-1925)
принадлежит к числу математиков-классиков обогативших науку новыми идеями и в
значительной степени определивших её лицо излагает свою идею введения
логарифмов в школе по простому и естественному способу: по его мнению основным
принципом должно быть признание квадратуры уже известных кривых правильным
источником для введения новых функций. Это соответствует, с одной стороны,
историческому положению вещей, а с другой, методу, применяемому в высших частях
математики. Следуя этому общему принципу, надо исходить из гиперболы ɳ=
и назвать логарифмом х
число, измеряющее площадь, которая содержится между кривой и осью абсцисс, а с
боков ограничена ординатами боков ограничена ординатами 
и 
=х
Передвигая вторую
ординату, можно легко на основании геометрической интуиции составить себе
качественное представление об изменении этой площади при изменении х и,
следовательно, приблизительно построить кривую у= ln х. Чтобы возможно более
просто получить функциональное уравнение логарифма, можно, например, исходить
из равенства
которое получается при
преобразовании c
переменных
интегрирования; это равенство говорит, что площадь, заключенная между
ординатами 1 и х, равна площади, заключенной между ординатами с и с х, в с раз
более удаленными от начала. Этот факт легко сделать весьма наглядным
геометрически, если обратить внимание на то, что величина площади должна
оставаться неизменной, если передвигать ее под гиперболой и в то же время
растягивать в такой же мере, в какой уменьшается высота. Но из этой теоремы
вытекает непосредственно теорема сложения!
Этот путь можно
применить в школьной практике.
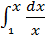
§4 Интегральное определение
логарифма
В современных учебниках по высшей
математике даётся интегральное определение логарифма, его суть та же что и
площади под гиперболой, но присутствует интеграл.
Понятие интеграла позволяет
определить некоторые элементарные функции с помощью интеграла. Определим
функцию ln x равенством
логарифм вычисление интеграл функция
1. Так как функция
f(t)=
непрерывна в интервале
(0,+∞), то интеграл (1) существует в том же интервале изменения x и,
следовательно, интервал (0,+∞) является областью определения функции ln
x.
. Функция ln x
дифференцируема (и поэтому непрерывна) в каждой точке области определения.
(ln x)'=
. Функция ln x
возрастает в интервале (0,+∞). Это следует из того что в данном интервале
, то есть (ln x)' >0

5. Для любых a > 0 и
b>0 ln (a·b)=ln a+ln b. Для доказательства рассмотрим функцию g(x) = ln(ax).
Ее производная g(x)'=
, но тогда ln
(ах) и ln x являются различными первообразными функции 
и поэтому
(ах)= ln х + С.
Полагая в этом равенстве x=1,
получаем lna =С. Таким образом,
(ах)= ln х + ln a
Очевидно, методом математической
индукции это свойство распространяется на любое конечное число слагаемых. Из
равенства
ln a=
)+lnb
Получаем

)=ln a ̶ ln b
. Для любого xϵ(0,∞)
и любого действительного a справедливо равенство
ln(xª)=a ln x
. Множество значений
функции ln x есть все множество действительных чисел. В самом деле, в силу
непрерывности функции ln x множество её значений есть промежуток, но этот
промежуток не ограничен сверху и снизу, так как, например, ln2n =nln2,
а ln2-n =-nln2.
Заключение
В данной курсовой работе мы
рассмотрели исторические аналоги некоторых современных определений логарифма и
современные определения логарифма. Трехсотлетняя практика всех вычислителей
вполне доказала, что благодаря логарифмам числовые вычисления были чрезвычайно
облегчены.
Таким образом, с точки зрения
вычислительной практики, изобретение логарифмов по важности можно смело
поставить рядом с другим более древним великим изобретением Индусов- нашей
десятичной системой нумерации..
История логарифмов служит одним из
бесчисленных подтверждений мысли о взаимоотношении теории и практики, блестяще
выраженной великим русским математиком П. Л. Чебышевым: «Практика предлагает
вопросы существенно новые для науки и, таким образом, вызывает на изыскание
совершенно новых метод. Если теория много выигрывает от новых приложений старой
методы или от новых развитей ее, то она еще больше приобретает открытием новых
метод, и в этом случае науки находят себе верного руководителя в практике».
Были изучены 17 источников по данной
теме. Нашли исторические аналоги интегрального определения логарифма,
рассмотрели определения Джона Непера и Иоста Бюрги. Сравнили определения
логарифмов как показателя степени, исторические и современные определение.
Изучили возможность введения логарифма в школьном курсе математики как площадь
под гиперболой. Наша гипотеза подтвердилась и мы убедились что логарифмы в
школьном курсе математики можно вводить опираясь на исторические корни этого
определения, но так как формат курсовой работы не позволяет этот объёмный
вопрос раскрыть полностью, то более полно этот вопрос мы рассмотрим при
выполнение дипломной работы. Использование на уроках элементов истории
математики повышает интерес учащихся, имеет большое мировоззренческое и общекультурное
значение, может оказывать воспитывающее влияние.
Список литературы
1 Абельсон И.Б. Рождение логарифмов. М.: ГИТТЛ,- 1948.
Белобородова С.В. Об историко-генетическом методе.
Гиршвальд Л.Я. История открытия логарифмов. Харьков,
-1952.
Глейзер Г.И. История математики в школе. -М.:
Просвещение, -1964.
Глейзер Г.И. История математики в школе: 7-8 класс - М.:
Просвещение.-1982.
Глейзер Г.И. История математики в школе: 9-10 класс - М.:
Просвещение. - 1983.
История математики под редакцией А.П. Юшкевича в трёх
томах, М.: Наука.
Том 2 Математика17 столетия.- М.: Наука,- 1970
Том3 Математика18 столетия.- М.: Наука, -1972
11 Малыгин К.А. Элементы историзма в преподавании математики
в средней школе. - М.:Учпедгиз. - 1958.
12 Маркушевич А.И. Площади и логарифмы.- М.: Наука -1979.
Математический энциклопедический словарь. Гл.ред Ю.В.
Прохоров.
М.: Сов энциклопедия,1988.
Успенский Я.В. Очерк истории логарифмов. Петраград,
-1923.
16 Энциклопедический словарь юного математика. - М.:
Педагогика. - 1989.
Клейн Ф. Элементарная математики с точки зрения высшей