Доказательства новых математических фактов с помощью свойств центра масс

  • Вид работы:
    Курсовая работа (т)
  • Предмет:
    Математика
  • Язык:
    Русский
    ,
    Формат файла:
    MS Word
    337,34 Кб
  • Опубликовано:
    2015-04-17
Вы можете узнать стоимость помощи в написании студенческой работы.
Помощь в написании работы, которую точно примут!

Доказательства новых математических фактов с помощью свойств центра масс

План

Введение

Глава 1. Определение центра масс

. Физическое определение центра масс

. Математическое определение центра масс

. Свойства центра масс

Глава 2. Решение геометрических задач барицентрическим методом

. Положительные массы

. Отрицательные массы

. Комплексные массы

Заключение

Литература

Введение

Барицентрические координаты введены Августином Фердинандом Мёбиусом (1790-1868) в 1828 г. Приставка "бари" означает тяжелый (от греч. bario); поэтому «барицентр» означает центр тяжести (центр масс).

Родоначальником метода барицентрических координат был великий древнегреческий мыслитель Архимед. Еще в ІІІ в. до н, э. он обнаружил возможность доказывать новые математические факты с помощью свойств центра масс.

В первой и второй главах раскрывается идея барицентрического подхода. Сущность его состоит в том, что наше внимание концентрируется на определенных точках-центрах масс каких-то систем материальных точек, связанных с рассматриваемой геометрической задачей. Из механических соображений эти точки появляются совершенно естественно. Геометрически же целесообразность рассмотрения именно этих точек заранее неясна; и вдруг чудесным образом оказывается, что их использование позволяет быстро найти (и строго обосновать) решение трудной геометрической задачи. Для решения геометрических задач целесообразно распространить понятие центра масс на случай материальных точек и с отрицательными массами об этом говорится во второй главе, применении изложенных идей к задачам популяционной генетики. И рассматривается закон Харди-Вайнберга.

Глава 1. Определение центра масс

. Физическое определение центра масс

В физике под материальной точкой понимают тело, размерами которого можно пренебречь при сравнении их с расстояниями до других тел, рассматриваемых в задаче. Для упрощения рассуждений такое «малое» тело рассматривают как геометрическую точку (т. е. считают, что вся масса тела сосредоточена в одной точке). Если в точке А сосредоточена масса m, то будем эту материальную точку обозначать через mА, т. е. будем записывать материальную точку в виде «произведения».

Рассмотрим два небольших шарика, имеющих массы m1 и m2, соединенных жестким «невесомым» стержнем. На этом стержне имеется такая замечательная точка Z, что если подвесить всю систему в этой точке, то она будет в равновесии - ни один из шариков не «перетянет». Эта точка Z и есть центр масс двух рассматриваемых материальных точек с массами m1 и m2.

Рис. 1

Такая же картина наблюдается и для большего числа материальных точек. Представим себе, что в некоторой области пространства (например, внутри некоторого куба) находятся п массивных шариков с массами т1, т2, ..., тn. Размеры шариков предполагаем малыми (по сравнению с наименьшим из расстояний между ними). Иначе говоря, речь идет об n материальных точках m1А1, m2А2, …, mnAn. Будем полагать, что вся рассматриваемая область заполнена веществом пренебрежимо малой массы по сравнению с массой каждого шарика (пенопласт); мы полагаем, что этот пенопласт не гнется, не сжимается, не растягивается. Материальные точки «сидят» в нем неподвижно. Можно представлять себе картину и иначе: рассматриваемые шарики соединены «невесомыми» стержнями в одну жесткую систему. Если выбрать произвольную точку одного из соединяющих стержней и подвесить всю систему на ниточке, закрепленной в этой точке, то рассматриваемая система, вообще говоря, не окажется в состоянии равновесия, одна часть «перетянет».

Но есть такая замечательная точка Z, что если мы подвесим всю систему на вертикальной ниточке, прикрепленной в точке Z (считая, что один из стержней проходит через эту точку, рис. 1), а затем как угодно повернем систему вокруг точки Z, успокоим и отпустим, то она останется в равновесии. Такую точку Z называют центром масс, или барицентром системы материальных точек (8).

. Математическое определение центра масс

Для того чтобы с помощью понятия центра масс получать математически корректные решения геометрических задач, непригодно определение центра масс с помощью «подвешивания на ниточке». Следует разъяснить точный математический смысл понятия центра масс с помощью геометрических терминов.

Выражение «материальная точка mА» будет означать: «Точка А вместе с числом m, которое ей сопоставлено». Число m будем называть массой материальной точки mА; всегда будет предполагаться, что m > 0.

Проведем теперь предварительное эвристическое рассмотрение для того чтобы на основе свойств выяснить, как может выглядеть математическое определение центра масс. Рассмотрим сначала две материальные точки m1A1 и m2А2, и пусть Z - их центр масс (свойство 1). Равенство m1d1 = m2d2 (свойство 2) можно записать в виде

m1| |=m2|| (рис. 2), т. е. |m1|= |m2|. Учитывая, что векторы  и  имеют противоположные направления, получаем отсюда m1 = - m2, т.е.

m1 + m2=. (1)

Итак, если мы хотим, чтобы выполнялись свойства 1 и 2, то центром масс двух материальных точек m1A1 и m2А2 должна быть такая точка Z, для которой справедливо равенство (1).

Пусть теперь даны три материальные точки m1A1, m2А2, m3A3, и пусть Z - центр масс этой системы материальных точек (свойство 1). Обозначим через С центр масс системы двух материальных точек m1A1 и m2А2. Тогда, согласно (1),

m1СA1+ m2СA2= (2)

Далее, согласно свойству 3, центр масс всей системы m1 A1, m2А2, m3A3 совпадает (рис. 2) с центром масс совокупности двух материальных точек (m1 + m2) С и m3А3, т. е. (согласно (1))

(m1 +m2)ZC + m3ZA3 = . (3)

Рис. 2

Но мы имеем (m1 + m2) = m1 + m2 = m1 (- ) + m2 ( - ) = ml + m2 - (m1 + m2) = m1 + m2

(см. равенство (2)), и потому равенство (3) принимает вид

m1 + m2 + m3=. (4)

Итак, если мы хотим, чтобы выполнялось также свойство 3, то центром масс трех материальных точек m1А1, m2А2, m3А3 должна быть такая точка Z, что справедливо равенство (4).

Можно было бы аналогично рассмотреть случай четырех и более материальных точек, но равенства (1) и (4) делают закономерность уже совершенно понятной. Итак, в соответствии с приведенным эвристическим разбором мы принимаем следующее основное

Определение. Центром масс (или барицентром) системы материальных точек

m1А1, m2А2,...,mnАn. (5)

называется точка Z, для которой имеет место равенство

m1 + m2+ ... + mn  = . (6)

Разумеется, предыдущие рассуждения нельзя рассматривать как доказательство равенства (6) - эти рассуждения имели лишь наводящий характер, а равенство (6) является определением, и потому «доказывать» его справедливость бессмысленно. Исходя из определения (6), мы теперь строго докажем, что центр масс системы материальных точек действительно обладает свойствами 1 - 3. Этим и будет осуществлено чисто математическое (не связанное с физическими представлениями) введение понятия центра масс и обоснование его свойств.

Вместо слов «центр масс системы материальных точек» (5) говорят также «центр масс m1, m2,...,mn, помещенных соответственно в точках А1, А2,...,Аn». Центр равных масс, помещенных в вершинах многоугольника (или многогранника), принято называть центроидом этого многоугольника (или многогранника). В частности, по теореме Архимеда точка пересечения медиан треугольника является его центроидом.

Теорема 1. А) Если точка Z служит центром масс системы материальных точек (5), то при любом выборе в пространстве точки О справедливо равенство

 =  . (7)

Б) Обратно: если хотя бы при одном выборе в пространстве точки О верно равенство (7), то точка Z - центр масс системы (5).

Доказательство. Ограничимся случаем n=2 (при n>2 доказательство аналогично). А) Выберем произвольно точку О. Равенство

m1 + m2 =

можно переписать так:

m1( -) + m2( - ) = ,

откуда и вытекает требуемое равенство

 = .

Проводя рассуждения в обратном порядке, получаем утверждение Б).

Следствие 1. Всякая система, состоящая из конечного числа материальных точек, имеет однозначно определенный центр масс (т. е. справедливо свойство 1).

В самом деле, выберем произвольную точку О. Тогда положение точки Z однозначно определяется формулой (7).

Докажем теперь, что из определения центра масс (см. (1)) вытекает также справедливость свойства 2.

Теорема 2. Центр масс двух материальных точек расположен на отрезке, соединяющем эти точки; его положение определяется архимедовым правилом рычага: m1d1 = m2d2.

Доказательство. Пусть Z -центр масс системы двух материальных точек m1А1 и m2А2. Тогда (см. (6))

m1 + m2 =,

т. е. m1 = - m2. Из этого видно, что векторы  и  противоположно направлены, так что точка Z лежит внутри отрезка А1А2, причем m1 || = m2 ||, т.е. mld1=m2d2. Это и есть «архимедово правило рычага»; из него видно, что центр масс двух материальных точек ближе к «более массивной» из них, то есть к той, у которой масса больше (рис. 2)

Наконец, докажем справедливость свойства 3.

Теорема 3. Пусть в системе (5), состоящей из n материальных точек, отмечены k материальных точек m1A1,…mкАк (рис. 3) и пусть С - центр масс отмеченных материальных точек. Если всю массу отмеченных материальных точек, сосредоточить в их центре масс С, то от этого положение центра масс всей системы не изменится. Иначе говоря, система (5) имеет тот же центр масс, что и система материальных точек (m1 + ... + mк) C, mk+lAk+1,..,mnAn.


Доказательство. Пусть Z - центр масс системы (5), т. е.(см. (6)) 1 + ... + mk + mk+1k+l + ... + mnn =.

Так как С - центр масс системы материальных точек m1А1,…,mкАк, то по теореме1


(это равенство получается из (7), если 0, Z, n заменить на Z, С, n заменить на Z, C, k). Из написанных двух равенств следует, что

(m1+ ... + mk) + mк+1к+1 + ... + mnn = ,

а это и значит, что центром масс системы материальных точек (m1+... ... + mk)C, mк + 1Ак+1,…,mnAn является та же точка Z.

Доказанная теорема позволяет в ряде случаев видоизменить систему материальных точек, сохраняя положение центра масс всей системы. Например, если в исходную систему (5) входят две материальные точки равной массы, расположенные в точках А и В, то от замены этих двух материальных точек одной материальной точкой удвоенной массы, помещенной в середине отрезка АВ, положение центра масс всей системы (5) не изменится. Именно таким путем была доказана теорема Архимеда о пересечении медиан треугольника.

С теоремой 3 связаны следующие простые замечания, которые часто позволяют сделать более краткими решения задач.

Замечание 1. Пусть Z (рис. 4) - центр трех масс, пометенных в вершинах треугольника АВС. Тогда прямая AZ пересекает сторону ВС в точке А', являющейся центром тех двух масс, которые помещены в концах этой стороны ВС.

Рис. 4                                                   Рис.5

Замечание 2. Пусть в вершинах А, В, С некоторого треугольника (рис. 5) помещены массы т1, т2, m3; пусть В' - центр масс материальных точек. m1А и m3С, а С' - центр масс материальных точек т1А и т2В. Тогда точка Z пересечения прямых ВВ' и СС' есть центр всех трех масс, помещенных в вершинах треугольника.

Доказанными теоремами 1 - 3 завершается математическое введение понятия центра масс и доказательство основных его свойств.

. Свойства центра масс

1. Всякая система, состоящая из конечного числа материальных точек, имеет центр масс и притом единственный.

2. Центр масс двух материальных точек расположен на отрезке, соединяющем эти точки; его положение (рис. 6) определяется архимедовым правилом рычага (или, как его еще называют, «золотым правилом механики»): произведение массы материальной точки на расстояние от нее до центра масс одинаково для обеих точек, т.е. m1d1 = m2d2, где ml, m2 - массы материальных точек, a d1, d2 - соответствующие плечи, т. е. расстояния от материальных точек до центра масс.

3. Если в системе, состоящей из конечного числа материальных точек, отметить несколько материальных точек и массы всех отмеченных точек перенести в их центр масс, то от этого положение центра масс всей системы не изменится.



Глава 2. Решение геометрических задач барицентрическим методом

При решении геометрической задачи барицентрическим методом мы загружаем отдельные точки массами (т. е. сопоставляем, приписываем этим точкам определенные положительные числа). Затем привлекаем свойства центров масс всех полученных материальных точек или части этих материальных точек. Искусство применения барицентрического метода состоит в том, чтобы по условию задачи осуществить такой выбор точек и помещаемых в этих точках масс, при котором задача легко решается. Три основных свойства центров масс особенно важны при решении задач: 1) наличие и единственность центра масс у любой системы материальных точек; 2) принадлежность центра масс двух материальных точек отрезку, соединяющему эти точки ; 3) возможность перегруппировки материальных точек системы без изменения положения центра масс всей системы;

. Положительные массы

Задача 1: В треугольнике ABC (рис. 7) точка F делит основание ВС в отношении 3:1, считая от вершины В. Точки М и Р отсекают от боковых сторон АВ и АС по одной шестой, считая соответственно от вершины А и от вершины С. В каком отношении делится каждый из отрезков MP и AF точкой их пересечения?

Решение: Загрузим точки В и С такими массами, чтобы их центром оказалась точка F; очевидно, достаточно (в силу правила рычага) поместить в В массу 1 (т. е. рассмотреть материальную точку 1В), а в С - массу 3. Далее, имея уже материальную точку 1В, подберем для точки А такую массу х, чтобы точка М оказалась центром масс двух материальных точек 1B и хА. По правилу рычага имеем 1• |ВМ| = х |МА|, откуда х = |ВМ|:|МА| = 5. Наконец, имея материальную точку ЗС, подберем для точки А еще другую массу у так, чтобы точка Р оказалась центром масс двух материальных точек ЗС и уА. По правилу рычага имеем 3|CP| = у|РА|, откуда у = 3|CP| : |РА| = 0.6. У нас возникла новая ситуация: кроме материальных точек 1В и ЗС, мы имеем в точке А две различные массы 5 и 0,6.


Рассмотрим систему из всех четырех материальных точек 1В, 5А, ЗС и 0,6А. Её центр масс обозначим через Z. Перенесем массы материальных точек 1B и 5А в и их центр масс М, а массы материальных точек ЗС и 0,6А - в их центр масс Р. Тогда Z окажется центром масс лишь двух материальных точек 6М и 3,6Р. Значит, ZЄ[MP]. Мы могли бы и иначе сгруппировать те же четыре материальные точки: перенести массы материальных точек 1В и ЗС в их центр масс F, а вместо 5А и 0,6А рассмотреть одну материальную точку 5,6А. Тогда Z окажется центром масс двух материальных точек 4F и 5,6А. Поэтому ZЄ[AF]. Следовательно, Z - точка пересечения отрезков MP и AF. Так как Z - центр масс материальных точек 5,6А и 4F, то 5,6|AZ| = 4|FZ|, так что |AZ|: |ZF| = 5:7. Аналогично убедимся, что 6|MZ| = 3,6|PZ|, откуда | MZ| : |ZP| = 3: 5.

Задача 2: Через точку Р, расположенную внутри параллелограмма ABCD, проведены прямые, параллельные сторонам параллелограмма. Они пересекают стороны АВ, ВС, CD, DA соответственно в точках К, L, М, N (рис. 8). Пусть Q - точка пересечения средних линий четырехугольника KLMN, a S - центр параллелограмма. Докажем, что точка Q лежит на отрезке PS, и определим, в каком отношении делит она этот отрезок. Решение: Сначала загрузим вершины четырехугольника KLMN массами так, чтобы центром полученных четырех масс оказалась точка Q.


Для этого достаточно поместить в каждую из точек К, L, М, N массу 1. Заметим теперь, что KBLP - параллелограмм; поэтому можно заменить материальные точки 1К и 1L на материальные точки 1B и 1Р, т. е. Q является центром масс материальных точек 1B, 1P, 1М, 1N. Аналогично материальные точки 1M и 1N можно заменить на материальные точки 1D и 1P. Точка Q окажется центром масс четырех материальных точек 1В, 1P, 1D, 1P, а значит, центром масс двух материальных точек 2S и 2Р (поскольку S - середина отрезка BD). Но тогда по правилу рычага точка Q расположена на отрезке SP и делит его пополам.

. Отрицательные массы

В предыдущих рассуждениях все массы выражаются положительными числами. Однако формальные определения понятий «материальная точка» и «центр масс» пригодны и тогда, когда «массы» берутся из других числовых множеств. Если стать на такую более общую точку зрения возникают новые содержательные геометрические приложения понятия центра масс. И хотя формально определенным «материальным точкам с отрицательными массами» мы не можем сопоставить физические образы столь же привычные, как в случае положительных масс, однако и в таких более общих случаях использование терминологии, заимствованной из механики, позволяет привлечь физическую интуицию к поиску решений задач. Математически же решения получаются безупречно строгими. Ниже приводятся корректные определения центров масс для случая действительных или комплексных масс и доказательства их свойств.

Данные выше (в 2) математические определения понятий «материальная точка» и «центр масс системы материальных точек» применимы и в том случае, когда «массы» (все или некоторые из них) являются отрицательными числами. Например, «материальная точка» (-3)А - это точка А вместе с сопоставленным ей числом -3, а «центр масс двух материальных точек (-3)А и 5В» - это такая точка для которой выполняется векторное равенство (рис. 9).

Если потребовать, чтобы суммарная масса системы m1A1, m2A2,…,mnАn (т.е. число m1+ m2+…+mn) была отлична от нуля (что мы и будем предполагать всюду в дальнейшем), то остаются в силе: а) определение центра масс; б) теорема 1; в) следствие из теоремы 1 о существовании и единственности центра масс у любой системы материальных точек.


Некоторое изменение претерпевает теорема 3 о возможности перегруппировки материальных точек: для справедливости этой теоремы приходится предполагать, что не только суммарная масса m1 + ... + mn всей системы отлична от нуля, но и сумма масс отмеченных материальных точек (т. е. m1 + ... + mk ) отлична от нуля. Причина этих ограничений понятна: суммарная масса m1 + ... + mn стоит в знаменателе дроби в формуле (7), а в доказательстве теоремы 3 используется формула, в знаменателе которой стоит сумма масс отмеченных материальных точек. Доказательства же теорем 1 и 3 остаются без изменения.

Далее, теорема 2 для случая действительных (не обязательно положительных) масс заменяется следующим утверждением:

Центр Z двух масс m1 и m2 с ненулевой суммой, помещенных в концах отрезка A1A2, лежит на прямой, содержащей этот отрезок, и удовлетворяет условию , где  - соответствующие «плечи»; при этом точка Z лежит на отрезке А1А2, если знаки чисел m1 и m2 одинаковы, и вне его, если они противоположны.

Так видоизменяется архимедово правило рычага для случая произвольных действительных масс. Доказательство проводится так же, как и доказательство теоремы 2. Заметим, что центр масс двух материальных точек (с ненулевой суммарной массой) расположен ближе к «более массивной» из них, т. е. к той, масса которой больше по модулю; это сразу следует из равенства

.

Пусть ABCD - параллелограмм; докажем, что центром масс трех материальных точек mA, (-m)B, mC (рис. 10) является четвёртая вершина D, т.е. mA+(-m)B+mC=mD.


Решение: Пусть О - центр параллелограмма, а Z - искомый центр масс. Тогда по формуле

 = , т.е. Z=D.

Пусть А1, А2, А3 - вершины треугольника (рис. 11); В1, В2, В3 - середины противолежащих им сторон; М - произвольная точка; М1, М2, М3 - точки, симметричные М относительно точек В1, В2, В3. Докажем, что прямые А1М1, А2М2, А2М2 пересекаются в одной точке.

Так как А1, М, А2, М3 - вершины параллелограмма, то имеем )M.


Любая точка Z прямой М3А3 (кроме A3) является центром масс двух материальных точек 1М3 и хА3, где х - число (положительное или отрицательное), зависящее от выбора точки Z. Иначе говоря,


Теперь видно, что при х = 1 точки А1, A2, А3 входят в правую часть с одинаковыми коэффициентами. Иначе говоря, точка Z, определяемая равенством 2Z = 1M3 + 1А3 (т. е. середина отрезка А3М3), удовлетворяет условию

Ввиду одинаковости коэффициентов точки A1, A2, A3 равноправны в этой записи, и потому рассматриваемая точка Z принадлежит не только прямой M3A3, но и двум другим прямым M1A1, M2A2. Кроме того, эта точка Z является серединой не только отрезка A3M3, но и отрезков A1M1, A2M2. Таким образом, три отрезка A1M1, A2 M2, A3M3 имеют общую точку Z и каждый из них делится в этой точке пополам.

. Комплексные массы

В этом параграфе предположим, что массы рассматриваемых материальных точек могут принимать не только отрицательные значения, но и, более того, не быть действительными, т. е. могут принимать произвольные комплексные значения.


Отрицательные массы могут оказаться весьма полезными при решении геометрических задач. Нетрудно привести соображения, показывающие, что отрицательные массы могут иметь и прямое механическое истолкование. Вообразим себе однородную жидкую или газообразную среду (например, сосуд, наполненный водой), в которой находятся небольшие шарики («материальные точки»), соединенные друг с другом жесткими невесомыми стержнями. Пусть шарик, расположенный в точке А1 имеет объем  и массу m1. Тогда на него действует направленная вниз сила тяжести, имеющая величину m1, и архимедова выталкивающая сила, которая имеет величину (p) (где р - плотность жидкости) и направлена вверх - противоположно силе тяжести (рис. 12). Иначе говоря, сила тяжести равна (а выталкивающая сила равна - (pгде e - единичный вектор, направленный вниз. В результате окатывается, что на шарик А1 действует сила (. Это можно условно истолковать так (отбросив среду), как будто шарик находится в вакууме и имеет «приведенную» массу  тогда как раз на него будет действовать сила тяжести, равная. Если при этом (шарик имеет большую плотность, чем жидкая среда), то «приведенная» масса положительна; если же  (шарик рыхлый, т. е. его плотность меньше плотности среды), то «приведенная» масса  отрицательна. Таким образом, при нахождении центра «приведенных» масс надо учитывать, что они могут быть как положительными, гак и отрицательными.

Например, если в воду помещены деревянный и стальной шарики, насаженные на невесомый стержень, то «приведенная» масса первого из них отрицательна, а второго - положительна. Поэтому центр Z этих масс («приведенных») находится вне отрезка, концами которого являются шарики. Если укрепить стержень шарнирно в этой точке Z, то вся система останется в равновесии (рис. 13). Это и понятно: результирующая сила, действующая на деревянный шарик, направлена вверх (шарик всплывает), а действующая на стальной шарик - вниз (он тонет), и поскольку - по правилу рычага - моменты (т. е. произведения плеч на соответствующие «приведенные» массы) равны по величине и противоположно направлены, система останется в равновесии.

На сторонах ∆А1А2А3 , как на основаниях, построены равнобедренные треугольники А1В3А2, А2В1А3, А3В2А1 с одним и тем же углом  при вершинах В1, В2, В3, не имеющие с ∆А1А2А3 общих внутренних точек. Докажем, что точка пересечения медиан ∆В1В2В3 совпадает с точкой пересечения медиан ∆А1А2А3 (рис. 14).


Решение: Вектор  может быть получен из вектора  поворотом па угол . Поэтому Значит, В3  центр масс двух материальных точек 1А1 и А2.

Аналогично, В1 - центр масс материальных точек 1А2 и А3, а В2 - центр масс материальных точек 1А3 и А1.


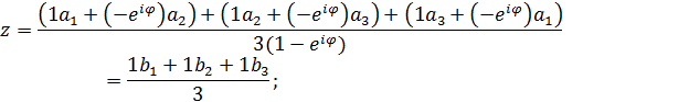
Рассмотрим систему всех шести материальных точек и обозначим через Z ее центр масс (суммарная масса этой системы равна 3 (1 ) ). Применяя формулу

 

и производя двумя способами группировку, находим


Отсюда ясно, что центроиды (т. е. точки пересечения медиан) обоих треугольников А1А2А3 и В1В2В3 совпадают с точкой Z. Заметим, что доказанное утверждение остается в силе, если на сторонах треугольника А1А2А3 строятся не равнобедренные, а подобные и одинаково ориентированные треугольники

На сторонах произвольного треугольника А1А2А3, как на основаниях построены равносторонние треугольники A1B3A2, A2B1A3, A3B2A1, не имеющие с треугольником А1А2А3 общих внутренних точек. В этих треугольниках отмечены их центры P3,P1,P2. Докажем, что ∆ P1P2P3 - также равносторонний.


Вектор  можно получить из  поворотом на угол 2π/3 (рис.15). Поэтому, пологая , имеем  значит, P3 - ценрт масс материальных точек 1А1 и (-с)А1. Аналогично, P1 - центр масс материальных точек 1А3 и (-с)А2; далее, P2 - центр масс материальных точек 1А1 и (-с)А3, а значит, P2 - центр масс материальных точек (-1)А3 и (1/с)А1. Рассмотрим теперь четыре материальные точки 1А3, (-с)А2, (-1)А3, (1/с)А1 и пусть Z - их центр масс (суммарная масса этой системы равна -с+(1/с)≠0). Произведём группировку масс:


Из этого видно, что Z - центр масс материальных точек (1/с)А1 и (-с)А2, а следовательно, и двух материальных точек 1А2 и (-с)А1 (поскольку с3=1). Следовательно, Z=P3. С другой стороны,

.

Умножая для упрощения на  и учитывая, что Z=P3, перепишем это равенство в виде  Так как , то вектор  можно получить из вектора  поворотом на  Следовательно, ∆ P3P1P2 - правильный.

Заключение

Ещё в ɪɪɪ веке до нашей эры Архимед обнаружил возможность доказывать новые математические факты с помощью свойств центра масс. Несколько простых свойств позволяют решать различные задачи геометрии и алгебры.

Применяются барицентрические координаты в различных химических, топологических задачах. Интересно их применение в колориметрии (это метод количественного определения содержания веществ в растворах).

Литература

Балк М.Б. и Болтянский В.Г. «Геометрия масс» 1987г.

Яглом И.М. «Генетика популяций и геометрия // Квант» 1986, №4, стр. 5-11.

Похожие работы на - Доказательства новых математических фактов с помощью свойств центра масс

 

Не нашли материал для своей работы?
Поможем написать уникальную работу
Без плагиата!
Без нейросетей!