Вектор-функция. Понятие кривой, линии и поверхности. Дифференциальная геометрия и топология кривых
ПОЯСНИТЕЛЬНАЯ
ЗАПИСКА
к курсовой
работе
по
дисциплине «Дискретная математика»
Вектор-функция.
Понятие кривой, линии и поверхности
Уфа 2014
Постановка задачи
Пользуясь, различными способами решить
поставленные задачи из Сборника задач по дифференциальной геометрии Феденко
А.С.
1. Теоретическая часть
Плоские линии и кривые
Точку, прямую и плоскость называют элементарными
геометрическими фигурами. Из них могут быть созданы все остальные
геометрические фигуры.
Приняв в качестве элементарной фигуры точку,
можно рассматривать любую линию как множество последовательных положений
движущейся точки - траекторию точки.
Ломаная линия - линия, состоящая из отрезков
прямой, расположенных в пространстве под некоторым углом друг к другу.
Кривые линии - могут быть плоскими, когда все
точки кривой лежат в одной плоскости, и пространственными - когда точки кривой
не лежат в одной плоскости. К плоским кривым относятся кривые второго порядка:
окружность, эллипс, парабола, гипербола, синусоида, циклоида и т.д. Прямая,
лежащая в плоскости этих линий, может пересечь любую из них лишь дважды. С
построением этих линий вы уже ознакомились при выполнении задания №1
"Геометрическое черчение" в курсе машиностроительного черчения.
Из пространственных кривых наиболее часто
встречается на практике цилиндрическая винтовая линия. Если точка совершает
равномерное движение по прямой, которая в свою очередь совершает равномерное
вращение вокруг параллельной ей оси, то она (точка) опишет пространственную
кривую - цилиндрическую винтовую линию
Кривые линии, все точки которых принадлежат
одной плоскости, называются плоскими.
Порядок плоской алгебраической кривой линии
определяется наибольшим числом точек её пересечения прямой линией. Любая прямая
линия может пересекать алгебраическую кривую линию п-го порядка не
более, чем в п точках. Рассмотрим несколько примеров:
. Парабола - кривая второго порядка, прямая
пересекает ее в двух точках. При этом парабола может быть определена как:
множество точек М(A,B,C,...) плоскости, расстояние
которых до определенной точки F этой плоскости (фокуса параболы) равно
расстоянию до определенной прямой DD1 - директрисы параболы;
линия пересечения прямого кругового конуса
плоскостью, не проходящей через вершину конуса и параллельная какой либо касательной
плоскости этого конуса;
в прямоугольной системе координат 0ху с началом
в вершине параболы и осью 0х направленной по оси параболы уравнение параболы
имеет так называемый канонический вид
=2px,
где р (фокальный параметр) - расстояние от
фокуса до директрисы.
. Гипербола:
множество точек М(A,B,C,...) плоскости, разность
(по абсолютной величине) расстояний которых до двух определенных точек F и F1
этой плоскости (фокусов гиперболы) величина постоянная:
- F1M=2а<2с
Середина 0 отрезка FF1 (фокусного расстояния)
называется центром гиперболы;
линия пересечения прямого кругового конуса
плоскостью, не проходящей через вершину конуса и пересекающая обе его полости;
в прямоугольной системе координат 0ху с началом
в центре гиперболы, на оси 0х которой лежат фокусы гиперболы уравнение
гиперболы имеет так называемый канонический вид
х2/а2 - у2/b2=1, b2=с2 - а2,
где а и b длины полуосей гиперболы.
. Эллипс :
множество точек М(xy) плоскости, сумма
расстояний МF1 и МF2 которых до двух определенных точек F1 и F2 (фокусов
эллипса) постоянна
МF1+МF2=2а.
Середина 0 отрезка F1F2 (фокусного расстояния)
называется центром эллипса;
линия пересечения прямого кругового конуса
плоскостью, не проходящей через вершину конуса и пересекающей все прямолинейные
образующие одной полости этого конуса;
в прямоугольной системе координат 0ху с началом
в центре эллипса, на оси 0х которой лежат фокусы эллипса уравнение эллипса
имеет следующий вид:
х2/а2+у2/b2=1,
где а и b - длины большой и малой полуосей
эллипса. При а=b фокусы F1 и F2 совпадают и указанное уравнение определяет
окружность, которая рассматривается как частный случай эллипса.
Циркульной называют кривую, которую можно
построить с помощью циркуля. К ним относятся окружность, овал, завиток и т.д.
Лекальной называют кривую, которую нельзя
построить с помощью циркуля. Ее строят по точкам с помощью специального
инструмента, называемого лекалом. К лекальным кривым относятся эллипс,
парабола, гипербола, спираль Архимеда и др.
Определение. Прямая называется асимптотой кривой,
если расстояние от переменной точки M кривой до этой прямой при удалении точки
M в бесконечность стремиться к нулю.
Способы образования кривых
1. Кривая определяется как линия
пересечения данной поверхности плоскостью, положение которой определено.
2. Кривая определяется как геометрическое
место точек, обладающих данным свойством.
. Кривая определяется как траектория
точки, характер движения которой обусловлен тем или иным образом.
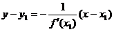
Касательная и нормаль к плоской кривой
Пусть даны кривая y = f(x) и точка M (x1 ; y1)
на ней. Требуется составить уравнения касательной и нормали (см. рисунок )
Как известно, угловой коэффициент k касательной
к кривой y = f(x) в точке M (x1 ; y1) равен значению f '(x1) производной y' = f
'(x) при x = x1/ Следовательно, уравнение касательной можно записать в виде
уравнения прямой, проходящей через данную точку в данном направлении, т.е. в
виде
- y1 = f '(x1)(x - x1)
Нормалью называется прямая, проходящая через
точку касания перпендикулярно касательной. Поэтому ее угловой коэффициент равен
,
а уравнение записывается в виде
Поверхность
Пове́рхность
в геометрии и топологии - двумерное топологическое многообразие. Наиболее
известными примерами поверхностей являются границы геометрических тел в обычном
трёхмерном евклидовом пространстве. С другой стороны, существуют поверхности
(например, бутылка Клейна), которые нельзя вложить в трёхмерное евклидово
пространство без привлечения сингулярности или самопересечения.
«Двумерность» поверхности подразумевает
возможность реализовать на ней метод координат, хотя и необязательно для всех
точек. Так, поверхность Земли (в идеале) представляет собой двумерную сферу,
широта и долгота каждой точки которой являются её координатами (за исключением
полюсов и 180-ого меридиана). Концепция поверхности применяется в физике,
инженерном деле, компьютерной графике и прочих областях при изучении физических
объектов. Например, анализ аэродинамических качеств самолёта базируется на
обтекании потоком воздуха его поверхности.
Вектор-функция
Вектор-функция - функция, значениями которой
являются векторы в векторном пространстве двух, трёх или более измерений.
Аргументами функции могут быть:
одна скалярная переменная - тогда значения
вектор-функции определяют в V
некоторую кривую;
m скалярных
переменных - тогда значения вектор-функции образуют в V,
вообще говоря, m-мерную
поверхность;
векторная переменная - в этом случае
вектор-функцию обычно рассматривают как векторное поле на V
.
Семейство линий
Множество линий, непрерывно зависящих от одного
или нескольких параметров. С. л. на плоскости может быть задано, например,
уравнением вида
(x, у, C1, C2,..., Cn) = 0, (*)
где C1, C2,..., Cn - параметры. Если параметрам
придать какие-нибудь численные значения, то уравнение (*) определит одну линию.
Совершенно аналогично может быть определено С. л. на поверхности; в этом случае
в предыдущем уравнении вместо декартовых координат х, у следует рассматривать внутренние
координаты u, v на поверхности.
Обычно предполагают, что функция F непрерывна по
совокупности своих аргументов и допускает непрерывные частные производные по
каждому из них. В исследовании однопараметрических семейств на плоскости (или
на произвольной поверхности) важную роль играет понятие огибающей. Кривая
называется огиба́ющей
семейства кривых, зависящих от параметра , если она в каждой своей точке
касается хотя бы одной кривой семейства и каждым своим отрезком касается
бесконечного множества этих кривых.
Огибающая семейства линий на плоскости
(поверхностей в пространстве), линия (поверхность), которая в каждой своей
точке касается одной линии (поверхности) семейства, геометрически отличной от
О. в сколь угодно малой окрестности точки касания (см. Семейство линий,
Семейство поверхностей). Уравнение О. семейства линий на плоскости,
определяемого уравнением f (х, у, С) = 0, содержащим параметр С, можно получить
[в предположении, что f (х, у, С) имеет непрерывные частные производные 1-го
порядка по всем трём аргументам], исключив параметр С из системы:
(x, у, С) = 0, f 'c (х, у, С) = 0.
линия вектор нормаль касательная
Задача № 1
В какой точке касательная к параболе y=x2
образует с осью Ox
угол 450?
Решение:
y-y0=f
´(x-x0)
x0=1
x0= 
y0 =
M(
;
)
y - 
= x- 
y=x - 
Ответ: y=x-
Задача № 2
Может ли угол наклона касательной в
некоторой точке линии y=x3 к оси Ox равняться 3π/4?
Решение:
f ´(x0)=tgα=-1
x2= -1
x2= -1/3
Следовательно нет решения, а значит
не может.
Задача № 3.
Докажите, что только одна нормаль
линии y=xn (n- целое
положительное число) проходит через начало координат
Решение:
(x-x0)+(y-y0)f ´(x0)=0
(x-x0)+(y-y0)nx0n-1=0
X=0-нормаль
Корень: x=0; y=0;
Следовательно проходит через начало
координат.
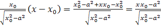
Задача №4.
Докажите, что для любой точки M
равносторонней гиперболы x2-y2=a2
отрезок нормали от точки M
до точки пересечения с осью Ox
конгруэнтен отрезку OM
Решение:
y2=a2-x2=(x-a)(x+a);

y=f(x0)+f ´(x0)(x-x0)

=

=
y=
+
- уравнение касательной KM
= 
=
x= 
K(
)

=

=
y=
y-
=
при y=0

= 
x=
L (
)


=
Задача №5.
Докажите, что касательные к
кардиоиде r=2a(1-cosα),
проведенные в концах хорды, проходящей через полюс, взаимно перпендикулярны
Решение:

=

=

=
Следовательно, взаимно
перпендикулярны.
Задача №6.
Докажите, что угол µ, составленный
касательной в произвольной точке лемнискаты Бернулли 
с радиус-вектором точки касания,
равен 2α +
, где 
- полярный угол точки касания. На
основе этого свойства укажите способ построения касательной и нормали в
произвольной точке лемнискаты
Решение:


нужно доказать





т.к. XPO - равноб.,
а прямая XO и PO-симметричные
относительно 
, следовательно <PXO=<XOP=µ=
, что и требовалось доказать.
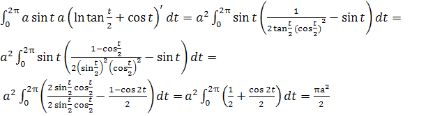
Найдите линии, у которых длина
поднормали постоянна и равна k
Решение:
QN-поднормаль
QN=
Следовательно
k=
f(x)=
y=±
Задача №8.
QT-подкасательная
QT=
Следовательно f(x)= - k
f=
Задача №9.
Покажите, что площадь S,
ограниченная трактрисой и осью абсцисс, конечна
Решение:
Уравнение трактрисы
x=
x=
y=
S=
Следовательно площадь трактрисы
ограничена.
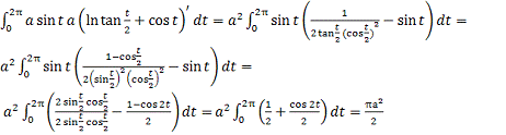
Задача №10.
Найдите кривые, у которых длина полярной
подкасательной постоянна и равна k








TO-подкасательная
MN=
=k=




Задача №11.
Найдите кривые, у которых длина полярной
поднормали постоянна
Решение:
ON-поднормаль=

Заключение
В ходе курсовой работы, с помощью предложенной
теории, были решены поставленные задачи.
Список литературы
1. Сборник задач по дифференциальной
геометрии Феденко А.С.
Аминов Ю.А. Дифференциальная
геометрия и топология кривых.
. Феденко А.С. Дифференциальная
геометрия.