Бифуркация Андронова-Хопфа
Курсовая работа
по дисциплине:
Качественная теория динамических
систем
на тему:
Бифуркация Андронова-Хопфа
Содержание:
Введение
1. Краткое
теоретическое введение
2. Исследование
заданной однопараметрической системы дифференциальных уравнений
Заключение
Список
литературы
Введение
На основе заданной системы дифференциальных уравнений необходимо провести
следующие исследования:
1. Выяснить, есть ли особые точки и циклы, и найти их;
2. Найти линеаризацию поля в особых точках, ее собственные числа и
векторы, периоды циклов;
. Описать изменения фазового портрета при значениях параметра
вблизи его бифуркационного значения. Предложить аппроксимации функций диаметра,
периода и отображения Пуанкаре для цикла как функций параметра.
1. Краткое теоретическое введение
В теории динамических систем, бифуркация Андронова-Хопфа - локальная
бифуркация векторного поля на плоскости, в ходе которой особая точка-фокус
теряет устойчивость при переходе пары её комплексно-сопряжённых собственных
значений через мнимую ось. При этом либо из особой точки рождается небольшой
устойчивый предельный цикл (мягкая потеря устойчивости), либо, наоборот,
небольшой неустойчивый предельный цикл в момент бифуркации переходит в эту
точку, и её бассейн отталкивания после бифуркации имеет отделённый от нуля
размер (жёсткая потеря устойчивости).
Для того, чтобы эта бифуркация имела место, достаточно в дополнение к
переходу собственных значений через мнимую ось наложить на систему некоторые
условия типичности.
Бифуркация Андронова-Хопфа и седлоузловая бифуркация - единственные
локальные бифуркации векторных полей на плоскости, возникающие в типичных
однопараметрических семействах.
Мягкая и жёсткая потери устойчивости:
Термины «мягкая» и «жёсткая» связаны с описанием поведения системы с
точки зрения «внешнего» наблюдателя, при медленной (в сравнении с динамикой
системы) эволюции параметра системы и зашумлении системы малыми случайными
возмущениями. В случае мягкой потери устойчивости решение перейдёт из положения
равновесия (ставшего неустойчивым) в предельный цикл - наблюдатель будет видеть
периодическое «дрожание» состояния системы недалеко от положения равновесия,
которое будет усиливаться с ростом параметра. Однако, в масштабе времени
«движения параметра», «отклонения» решения нарастают непрерывно. Напротив того,
при жёсткой потере устойчивости решение «резко» срывается и уходит за границу
бассейна отталкивания исчезнувшего предельного цикла: с точки зрения
наблюдателя, живущего в масштабе времени, в котором изменяется параметр, решение
скачком поменяло режим.
Бифуркация Хопфа
Теорема: пусть система с параметром
Имеет не подвижную точку в начале координат при всех значениях
действительного параметра µ, кроме того, предположим, что собственные значения
линеаризованной системы λ1(µ)λ2(µ) являются чисто мнимыми при µ=µ0; если
для действительной части собственных значений Re[λ1(
)] и Re[λ2(
)] выполняется условие
и начало координат - асимптотически
устойчивая неподвижная точка при µ=µ0, то
a) µ=µ0 является точкой бифуркации для системы;
b) существует интервал (µ1,µ0), µ1<
µ0, такой, что при
начало координат является устойчивым фокусом;) существует
интервал (µ0,µ2), µ2> µ0, такой,
что при
начало координат - неустойчивый
фокус, окруженный предельным циклом, размер которого возрастает с возрастанием
µ.
Мы имеем дело с бифуркацией дифференциального уравнения, если
качественное поведение его фазового портрета
Фазовые портреты для системы с параметром:
Меняется при изменении параметра (или параметров). Например для уравнения
точка x=0 - аттрактор при a<0 и репеллер при a>0. Когда a возрастает, проходя через нулевое значение, то решения из
убывающих превращаются в возрастающие функции от t. Говорят, что это дифференциальное уравнение имеет точку
бифуркации при a=0. Аналогично
система
Где
, испытывает бифуркацию при
. Здесь возникают качественно
различные фазовые портреты при
, как это показано на рисунке. Для любого
фазовый портрет является устойчивым узлом; для
- это фазовый портрет непростой
неподвижной точки; для любого
фазовый портрет - седло.
В математике, особой точкой векторного поля называется точка, в которой
векторное поле равно нулю. Особая точка векторного поля является положением
равновесия или точкой покоя динамической системы, определяемой данным векторным
полем: фазовая траектория с началом в особой точке состоит в точности из этой
особой точки, а соответствующая ей интегральная кривая представляет собой
прямую, параллельную оси времени.
В любой малой окрестности фазового пространства, не содержащей особых
точек, векторное поле можно выпрямить подходящей заменой координат - тем самым,
поведение системы вне особых точек устроено очень просто. Напротив, в
окрестности особой точки система может обладать очень сложной динамикой. Говоря
о свойствах особых точек векторных полей, обычно подразумевают свойства
соответствующей системы в малой окрестности особой точки.
Особые точки
векторных полей на плоскости
Простейшими примерами особых точек являются особые точки линейных
векторных полей на плоскости. С понятием векторного поля на плоскости можно
связать линейную систему дифференциальных уравнений вида:
,
где x = (x1,x2) - точка на двумерной плоскости,-
матрица
. Очевидно, точка x = (0,0) в случае
невырожденной матрицы A является единственной особой точкой такого уравнения.
В зависимости от собственных значений матрицы A, различают четыре типа
невырожденных особых точек линейных систем: узел, седло, фокус, центр.
Циклом динамических систем называется любая замкнутая предельная
траектория.
Цикл называется устойчивым, если к нему стремятся траектории при t―>+∞ и неустойчивым при t―>-∞ и полуустойчивым при t―>+∞ и t―>-∞.
Отображение Пуанкаре ставят в соответствии любой точке на трансверсале
точку следующего пересечения траектории и трансверсалей.
Лестница Ламерея - это графическое изображение Пуанкаре
Трансверсаль - это любая прямая, проходящая через особую точку.
В математике, решение дифференциального уравнения (или, шире, траектория
динамической системы) называется устойчивым, если поведение решений с
близким начальным условием «не сильно отличается» от поведения исходного
решения. Слова «не сильно отличается» при этом можно формализовать по-разному,
получая разные формальные определения устойчивости: устойчивость по Ляпунову,
асимптотическую устойчивость и т.д. (см. ниже). Обычно рассматривается задача
об устойчивости тривиального решения в особой точке, поскольку задача об
устойчивости произвольной траектории сводится к данной путем замены неизвестной
функции.
В теории динамических систем, разделе математики, отображение Пуанкаре
(также отображение последования, отображение первого возвращения) - это
проекция некоторой площадки в фазовом пространстве на себя (или на другую
площадку) вдоль траекторий (фазовых кривых) системы.
Более подробно, отображение Пуанкаре определяется следующим образом.
Рассмотрим некоторый участок поверхности в фазовом пространстве (сечение
Пуанкаре), трансверсальный к векторному полю системы (то есть не касающийся
поля; часто говорят просто трансверсаль). Из точки x на трансверсали выпустим
траекторию системы. Предположим, что в какой-то момент траектория впервые
пересекла трансверсаль снова; обозначим точку пересечения через y. Отображение
Пуанкаре точке x ставит в соответствие точку первого возвращения y. Если
траектория, выпущенная из x, никогда не возвращается на трансверсаль, то
отображение Пуанкаре в этой точке не определено.
Аналогично можно определить отображение Пуанкаре (отображение последования)
не только с трансверсали на себя, но и с одной трансверсали на другую.
Итерации отображения Пуанкаре с некоторой трансверсали на себя образуют
динамическую систему с дискретным временем на фазовом пространстве меньшей
размерности. Свойства этой системы находятся в тесной связи со свойствами
исходной системы с непрерывным временем (например, неподвижные и периодические
точки отображения Пуанкаре соответствуют замкнутым траекториям системы). Тем
самым, устанавливается связь между векторными полями и их потоками с одной
стороны и итерациями отображений - с другой. Отображение Пуанкаре является
важным инструментом исследования динамических систем с непрерывным временем.
Линеаризация - один из методов приближённого представления замкнутых
нелинейных систем, при котором исследование нелинейной системы заменяется
анализом линейной системы, в некотором смысле эквивалентной исходной. Методы
линеаризации имеют ограниченный характер, т. е. эквивалентность исходной
нелинейной системы и её линейного приближения сохраняется лишь для ограниченных
пространственных или временных масштабов системы, либо для определенных
процессов, причем, если система переходит с одного режима работы на другой, то
следует изменить и её линеаризированную модель. Применяя линеаризацию, можно
выяснить многие качественные и особенно количественные свойства нелинейной
системы.
Фазовая плоскость - координатная плоскость, в которой по осям координат
откладываются какие-либо две переменные (фазовые координаты), однозначно
определяющие состояние системы второго порядка. Фазовая плоскость является
частным случаем фазового пространства, которое может иметь большую размерность.
В физике колебаний на оси абсцисс фазовой плоскости откладывается
значения параметра x, а на оси ординат - первая производная x по
времени (что, очевидно, связывает ось ординат с импульсом.
Каждая точка фазовой плоскости отражает одно состояние системы и
называется фазовой, изображающей или представляющей точкой. Изменение состояния
системы отображается на фазовой плоскости движением этой точки. След от
движения изображающей точки называется фазовой траекторией. Через каждую точку
фазовой плоскости проходит лишь одна фазовая траектория, за исключением особых
точек. Стрелками на фазовых траекториях показывается перемещение изображающей
точки с течением времени. Полная совокупность различных фазовых траекторий -
это фазовый портрет. Он даёт представление о совокупности всех возможных
сочетаний системы и типах возможных движений в ней.
Фазовый портрет удобен для рассмотрения движений макроскопических и
квантовых частиц, однако, по отзывам сотрудников СО РАН, в механике
предпочтительно использовать схемы в терминах зависимости потенциальной энергии
от координаты.
С изменением времени t точка М движется по траектории, называемой фазовой
траекторией. Если менять начальные условия получим семейство фазовых
траекторий, называемых фазовым портретом. Фазовый портрет определяет характер
переходного процесса в нелинейной системе. Фазовый портрет имеет особые точки,
к которым стремятся или от которых уходят фазовые траектории системы (их может
быть несколько).
Фазовый портрет может содержать замкнутые фазовые траектории, которые
называются предельными циклами. Предельные циклы характеризуют
автоколебания в системе. Фазовые траектории нигде не пересекаются, кроме особых
точек, характеризующих равновесные состояния системы. Предельные циклы и
состояния равновесия могут быть устойчивыми или не устойчивыми.
Фазовый портрет полностью характеризует нелинейную систему. Характерной
особенностью нелинейных систем является наличие различных типов движений,
нескольких состояний равновесия, наличие предельных циклов.
Аппроксимация, или приближение - научный метод, состоящий в замене одних
объектов другими, в том или ином смысле близкими к исходным, но более простыми.
Аппроксимация позволяет исследовать числовые характеристики и
качественные свойства объекта, сводя задачу к изучению более простых или более
удобных объектов (например, таких, характеристики которых легко вычисляются,
или свойства которых уже известны).
При математическом моделировании часто требуется представить некую
зависимость, заданную отдельными точками, в виде гладкой функции. Исходные
точки могут быть заданы с ошибками. В этом случае целесообразно применить
аппроксимацию исходных данных методом наименьших квадратов. Выбор
аппроксимирующей функции во многом определяется физикой описываемого процесса.
Если известен вид аппроксимирующей функции, то задача сводится к отысканию
коэффициентов, входящих в функцию.
2. Исследование заданной однопараметрической системы дифференциальных
уравнений
Нам дана система:
x’1=μ*x1+ x2+μ*x12-
x12- x1*x22
x’2=-
x1+ x22
Первая вариация бифуркационного значения
>

>
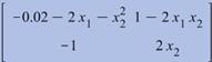
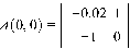
В ходе решения получили 4 особые точки, рассмотрим каждую из них и
определим их тип.
Первая особая точка
>
>
>
>
>
Получили, что в точке (0,0) особая точка - устойчивый фокус.
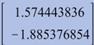
Находим собственные числа и вектора:
Вторая особая точка
>
>
Получили, что в точке (0,6366447672; 0,7979002238) особая точка - седло.
Находим собственные числа и вектора:
Третья особая точка:
>
>
>
>
Получили, что в точке
(-0.3083223836-0.5455464893I;
-0.3989501119+0.6837277056I)
особая точка - устойчивый фокус.
Находим собственные числа и вектора:
Четвертая особая точка:
>

>

Получили, что в точке
(-0.3083223836+0.5455464893I;-0.3989501119-0.6837277056I) особая точка -
устойчивый фокус.
Находим собственные числа и вектора:
Вторая вариация бифуркационного значения
>
однопараметрический дифференциальный фазовый бифуркационный
В ходе решения получили 4 особые точки, рассмотрим каждую из них и
определим их тип.
Первая особая точка:
>
Получили, что в точке (0,0) особая точка - седло.
Находим собственные числа и вектора:
Вторая особая точка:
>
>
>
>
Получили, что в точке (0.6233115583,0.7895008286) особая точка - седло.
Находим собственные числа и вектора:
Третья особая точка:
>
>
>
>

Получили, что в точке
(
,
)
особая точка - неустойчивый фокус.
Находим собственные числа и вектора:
Четвертая особая точка:
>
>
>
>
>
Получили, что в точке
(
,
)
особая точка - неустойчивый фокус.
Находим собственные числа и вектора:
Третья вариация бифуркационного значения:
>
В ходе решения получили 4 особые точки, рассмотрим каждую из них и
определим их тип.
Первая особая точка:
>
>
>
>
Получили, что в точке (0,0) особая точка - неустойчивый фокус.
Находим собственные числа и вектора:
Вторая особая точка:
>
>
>
>
Получили, что в точке (0.6433639117, 0.8020996894) особая точка - седло.
Находим собственные числа и вектора:
Третья особенная точка:
>

>
>
>
Получили, что в точке
(
,
)
особая точка - неустойчивый фокус.
Находим собственные числа и вектора:
Четвертая особая точка:

>
>
>
>
>
Получили, что в точке
(
,
)
особая точка - неустойчивый фокус
Находим собственные числа и вектора:
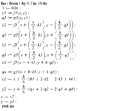
используем формулы Рунге-Кутта для поиска точек траектории

|
eps
|
1.1
|
1.2
|
1.3
|
1.4
|
|
|
5.7730e+001
|
6.0241e+001
|
6.3434e+001
|
6.7506e+001
|
коэффициенты аппроксимации [
]
.0250 -65.0415 82.0652
|
eps1.11.21.31.4
|
|
|
|
|
|
|
3.5761e+000
|
3.9025e+000
|
4.2404e+000
|
4.5896e+000
|
коэффициенты аппроксимации [
]
0.5700 1.9534 0.7377
|
eps
|
1.1
|
1.2
|
1.3
|
1.4
|
|
|
1.9885e-002
|
8.1797e-003
|
2.8024e-003
|
7.7173e-004
.2419 -0.6674 0.4612
коэффициенты аппроксимации:
k_approcs = 1.0675e+000 7.0326e-002 -2.2563e-002
отбображение Пуанкаре:
otobr_puan_kare = 1.9885e-002
координата z цикла:
koord_z_c = 1.1178e+000
диаметр цикла:
diametr_c = 3.5761e+000
время периода цикла:
_c = 5.7730e+001
массив значений z:
mas_ys = Columns 1 through 6
.0000e+000 1.1179e+000 1.1178e+000 1.1178e+000 1.1178e+000
.1178e+000 7 1.1178e+000_yk = Columns 1 through 6
.0000e-001 1.0742e+000 1.1178e+000 1.1178e+000 1.1178e+000
.1178e+0007 through 8
.1178e+000 1.1178e+000
массив времен периодов:
mas_time_s = 5.7833e+001 5.7769e+001 5.7705e+001 5.7770e+001
.7706e+001 5.7772e+001_time_k = Columns 1 through 6
.1893e+001 5.7662e+001 5.7727e+001 5.7663e+001 5.7729e+001
.7664e+0017 5.7730e+001
массив разностей z:
mas_razn_s = 1.1179e+000
9.6659e-005 2.2708e-005 2.3115e-005
2.4454e-
005 2.4810e-005_razn_k = Columns 1 through 6
.0742e+000 4.3524e-002 4.2087e-005 3.2264e-005 3.0743e-005
3.0502e-
7 2.9015e-005
Изменение фазового портрета исследуемой системы вблизи бифуркационного
значения параметра:
Заключение
В процессе исследования системы дифференциальных уравнений
x’1=μ*x1+ x2+μ*x12-
x12- x1*x22
x’2=-
x1+ x22
было доказано, что μ=0 является точкой бифуркации для данной системы;
существует интервал такой, что начало координат является устойчивым фокусом;
существует интервал такой, что начало координат является неустойчивым фокусом, окруженным
предельным циклом, размер которого растет с возрастанием .
Список литературы
1. В.И.
Арнольд, В.С. Афраймович, Ю.С. Ильяшенко, Л.П. Шильников «Теория бифуркаций»
2010.
2. Д.
Эрроусмит, К. Плейс, «Обыкновенные дифференциальные уравнения, качественная
теория с приложениями», 2009.
Похожие работы на - Бифуркация Андронова-Хопфа
|