Асимптотична поведінка важкої дифузійної частинки в потоці Арратья
Зміст
Вступ
Розділ 1. Асимптотична
поведінка важкої дифузійної частинки
.1
Система броунівських частинок зі склеюванням
.2
Еволюція важкої частинки в системі броунівських частинок зі склеюванням
.3
Асимптотичні властивості важкої частинки
Розділ 2. Охорона праці та
безпека у надзвичайних ситуаціях
.1 Правові, економічні і
соціальні основи охорони праці
.2 Поняття та види надзвичайних
ситуацій. Правові основи забезпечення безпеки у надзвичайних ситуаціях
.3 Санітарно-технічні норми
роботи з комп’ютерною технікою
Висновки
Список літератури
Вступ
Дана модель взаємодіючих
частинок є схемою до моделей, які вивчались Arratia R.
[1] і
Конаровським В.В.
[4].
У роботі [1]
побудовано систему броунівських частинок, що стартують з усіх точок числової
прямої, рухаються незалежно до моменту зустрічі, потім склеюються і рухаються
разом. Основною відмінністю є те, що у роботі розглядається наступна модель
взаємодіючих частинок на прямій. Частинки стартують з цілих точок прямої,
рухаються незалежно одна від одної до моменту зустрічі, потім склеюються і
рухаються разом. Кожна частинка, яка стартувала не з початку координат,
рухається як броунівська (не змінюючи
своєї дифузії) до моменту зустрічі з частинкою, що стартувала з нуля. Частинка,
яка стартувала з нуля, має масу і ця маса в момент часу 
рівна кількості частинок, що
приклеїлись до неї до часу 
. Крім того коефіцієнт дифузії цієї
частинки обернено пропорційно залежить від маси. Дану модель можна
інтерпретувати наступним чином: ми поміщаємо в потік Арратья [1]
важку частинку, яка при склеюванні з іншими частинками “сповільнює”
свій рух (дифузія зменшується).
Дана курсова робота складається
з двох розділів. Перший розділ складається з трьох пунктів. У першому пункті
побудовано систему процесів, яка описує еволюцію броунівських частинок, що
стартували з цілих точок числової прямої, рухаються незалежно до моменту
зустрічі, потім склеюються і рухаються разом. У другому пункті використовуючи
побудовану систему вінерівських процесів із склеюванням (див. теорема 1)
побудовано сукупність процесів, що описує поведінку даної системи процесів зі
склеюванням. У третьому пункті досліджено асимптотичні властивості випадкового
процесу 
. Зокрема встановлено закон
повторного логарифму та доведено, що випадкові процеси склеюються за скінченний
час. Другий розділ даної роботи присвячений охороні праці та безпеки у
надзвичайних ситуаціях.
Розділ 1. Асимптотична поведінка
важкої дифузійної частинки
.1 Система броунівських частинок зі
склеюванням
У даному пункті буде побудовано
систему процесів, яка описує еволюцію броунівських частинок, що стартували з
цілих точок числової прямої, рухаються незалежно до моменту зустрічі, потім
склеюються і рухаються разом.
Основним результатом даного пункту є
наступна теорема.
Теорема 1. Існує система
випадкових процесів 
, яка задовольняє наступні
властивості
) для довільного 
, − вінерівський процес, що
стартував з 
і має дифузію 1;
) для довільних 
і 
;
) для довільних 
і 

,
Де 
.
Причому умови 1) - 3)
однозначно визначають розподіл 
у просторі 
.
Доведення. Дану систему
процесів побудуємо конструктивно, використовуючи систему стандартних
вінерівських процесів. Отже, нехай 
− сукупність
стандартних вінерівських процесів. Покладемо 
, 
.
Далі, для 
по індукції
визначимо систему процесів 
, 
, наступним
чином
частинка
броунівська склеювання асимптотичний
Аналогічно визначимо систему
процесів 
, 


.
Доведемо, що система 
задовольняє
умови теореми.
Позначимо
Тоді для 
Використовуючи (1) і
співвідношення


, 

, 
Аналогічно і для 

, 
Далі з (1) та (2) маємо, що 
, 
Отже, 
задовольняє властивість 3) даної
теореми.
Далі покажемо, що для
довільного 

− вінерівський
процес. Не обмежуючи загальності вважаємо, що 
. Обчислимо характеристику 
Використовуючи теорему про
мартингальну характеризацію вінерівського процесу (див. теорема 2.6.1 [2])
маємо, що 
, 
, − система вінерівських
процесів.
Властивість 2) випливає з
конструкції 
, 
.
Теорему доведено.
Зауваження 1. Відмітимо, що
побудована система вінерівських процесів є зліченною підсистемою потоку
Арратья, який був побудований в [1]
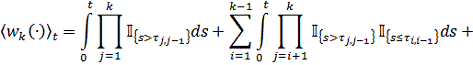
1.2 Еволюція важкої частинки в
системі броунівських частинок зі склеюванням
Розглянемо наступну систему
частинок. Частики, стартують з усіх цілих точок прямої і ті частинки, що
стартували з 
ведуть себе
аналогічно тим, які розглядались у першому пункті. Частина, що стартувала з 
має масу і при склеюванні з іншими
частинками її маса зростає, а дифузія зменшується, а саме: маса частинки в
момент часу 
рівна кількості частинок, що
склеїлись з нею до моменту часу 
і дифузія обернено пропорційна
масі.
У даному пункті,
використовуючи побудовану систему вінерівських процесів із склеюванням (див.
теорема 1) буде побудовано сукупність процесів, що описує поведінку даної
системи процесів зі склеюванням. Має місце наступна теорема.
Теорема 2. Нехай

− система
випадкових процесів, яка задовольняє властивості 1) - 3) теореми 1. Тоді існує
випадковий процес 
, такий, що
a) 
, −
неперервний квадратично інтегрований мартингал відносно фільтрації
b) 
;
c) для довільного 
Де 
;
d) для довільних 
і 

,
Де 
.
Крім того,
розподіл 
, не залежить від вибору сукуності
процесів 
.
Для доведення теореми доведемо
допоміжну лему.
Лема 1. Нехай 
− неперервний
квадратично інтегровний мартингал з характеристикою

, 
,
Де 
,
який стартував з 
. Тоді

,
де 
, (3)

− стандартний
вінерівський процес.
Доведення. Оскільки 
− квадратично інтегровний
мартингал, то за теоремою представлення [2] існує
вінерівський процес 
, такий, що

. (4)
Позначимо для 

.
Тоді з (4), маємо, що

.
Отже, 
.
За умовами леми

.
Отже, 
.
Звідси 
.
Лему доведено.
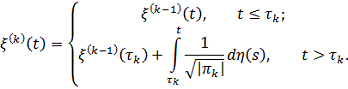
Доведення теореми 2. Нехай 
− стандартний
вінерівський процес, який не залежить від 
. Використовуючи процес 
, побудуємо 
.
Візьмемо 
, 
і 
, 
.
Нехай 
, 
, 
уже
побудовані. Визначимо

,

,
Покажемо, що 
м.н. Спочатку відмітимо, що 
зростає.
Нехай

,

.
Тоді з побудови 
легко бачити, що 
. (5)
Покажемо, що 
. Позначимо

, 
.
Тоді 
− неперервний квадратично
інтегровний мартингал з характерис-тикою

.
Згідно леми 1 для довільне 

.
Оскільки 
[5], то 
.
Аналогічно 
. Звідси 
. Отже, з (5) 
.
Використовуючи лему Рісса
існує підпослідовність 
: 
м.н.
З монотонності 
маємо, що 
м.н. (6)
Зауважимо, що

.
Звідси і з (6) існує границя
Причому

при 
. (7)
З (7) та з побудови 
, 
, легко
бачити, що 
задовольняє умови теореми.
Теорему доведено.
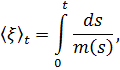
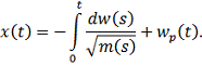
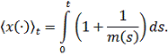
1.3 Асимптотичні властивості
нескінченної системи
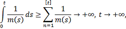
Нехай 
, випадковий процес, який
задовольняє властивості a) - d) теореми
2. У даному пункті буде досліджено асимптотичні властивості 
, 
, та 
.
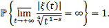
Лема 2.
Існує стандартний вінерівський процес 
, такий, що
Доведення леми випливає з
теореми [2].
Лема 3.
Для довільних 
та 
виконується

.
Доведення леми аналогічне доведенню
леми 1.
Лема 4.
Доведення. Рівність (8)
еквівалентна

,
Нехай 
, 
, 
, де 
, а 
вибирається так, щоб вираз 
був визначений. Позначимо також 
.
Оцінимо

.
Розглянемо при 
і 

,
де 
, 
та 
- незалежні стандартні вінерівські
процеси,
.
Використовуючи асимптотику
хвоста функції розподілу стандартного нормального закону, маємо

,
де 
вибираємо
так, щоб 
.
Оскільки 
, то в силу
леми Бореля-Кантеллі отримаємо, що
Лему доведено.
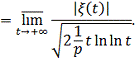
Лема 5.
Для довільного 
процеси 
і 
склеюються за скінченний час, тобто

.
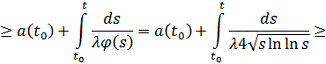
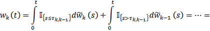
Доведення. Нехай

− система
процесів, яка визначена у теоремі 2. Відмітимо, що з умови d)
теореми 2 і леми 2

, 
Побудуємо незалежний
вінерівський процес 
, такий, що

, 
(9)

, 
. (10)
Це можна зробити наступним
чином.
Нехай 
, −
вінерівський процес, що не залежить від 
і 
. Покладемо
Тоді 
задовольняє (9) та (10). Покладемо
Тоді
Використовуючи лему 4,
отримуємо
а це означає, що 
при 
. Із теореми представлення випливає,
що 
- стандартний
вінерівський процес. Нехай

.

. (11)
Запишемо

.
Звідси випливає, що 
.
Із останньої рівності і
властивості (11)
маємо, що 
.
Лему доведено.
Лема 6.
Для довільного 
Доведення. Доведемо першу
рівність.
Як і у випадку леми 5,
можна показати, що 
при 
. Із теореми представлення випливає,
що
існує стандартний
вінерівський процес 
такий, що

.
Використовуючи закон
повторного логарифма для вінерівського процесу, маємо
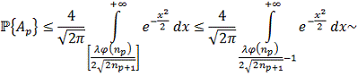
Візьмемо довільне 
і виберемо 
так, щоб 
. Тоді для 
Спрямувавши 
до
нескінченності, отримуємо доведення першої рівності.
Доведемо другу рівність. Ми
будемо використовувати позначення із доведення леми 4.
Отже
Візьмемо 
, тоді в силу
монотонності 
отримаємо,
що
Нехай 
, 
і 
. Розглянемо
Прямуючи 
до одиниці та враховуючи
довільність 
, отримаємо потрібну рівність.
Лему доведено.
Розділ 2. Охорона
праці та безпека у надзвичайних ситуаціях
.1 Правові, економічні і
соціальні основи охорони праці
Стан справ з охороною праці у
світі стає все більш актуальною проблемою як для профспілок, так і для
міждержавних структур, насамперед Міжнародної організації праці (МОП), яка
спрямовує свою діяльність на розвиток та забезпечення можливостей населення у
отриманні якісних та продуктивних робочих місць в умовах свободи,
справедливості, захищеності та поваги до людської гідності. Її головними
завданнями є сприяння дотриманню трудових прав, підтримка можливостей гідної
зайнятості, покращення соціального захисту та зміцнення діалогу задля вирішення
завдань, що виникають у сфері праці. За роки незалежності України її співпраця
з МОП відбувалася у рамках понад 20 проектів технічного співробітництва,
об’єднаних у 3 широкомасштабні програми, найбільшими із яких стали Програми
гідної праці, що є частиною UNDAF (Рамкова програма допомоги ООН). Дані програми
стали ключовим елементом державної соціальної політики, правил функціонування
багатьох організацій профспілок та роботодавців, реформування системи трудового
законодавства та соціального забезпечення.
Підвищена увага до проблем
безпеки праці пояснюється в першу чергу тим, що з кожним роком, незважаючи на
заходи, що вживаються, у різних країнах зростає рівень виробничого травматизму
та профзахворювань, у тому числі зі смертельними наслідками. Причому це
стосується і тих країн, де їм приділяється, підвищена увага. До сфери безпеки
праці все більшою мірою залучаються питання, пов'язані з самопочуттям
працівника, і фактори, що побічно впливають на трудову діяльність.
безповоротними втратами
економіки країни, яких вона зазнає через значну загальну захворюваність
працівників з тимчасовою втратою працездатності, високі рівні виробничого
травматизму, професійної захворюваності;
незадовільним фінансуванням
роботодавцями на підприємствах усіх форм власності заходів з охорони праці;
розбалансованістю системи
управління охороною праці в центральних органах виконавчої влади, обласних і
міських держадміністраціях та органах місцевого самоврядування;
багаторічною практикою
приховування значної кількості нещасних випадків на виробництві від
розслідування і обліку, або не завжди об’єктивну кваліфікацію їх як
непов’язаних з виробництвом;
відсутністю об’єктивної
інформації про реальний стан охорони праці, кількість нещасних випадків на виробництві
та професійних захворювань;
зруйнованою системою трудової
медицини, що вкрай негативно впливає на виявлення профпатології і професійних
захворювань на ранніх стадіях, відсутністю ефективної системи медичної та
професійної реабілітації працівників (згортання регулярних профілактичних
медичних оглядів, загальної диспансеризації працюючих, закриття більшості
санаторіїв-профілакторіїв), що призводить до погіршення їх здоров’я, зниження
продуктивності праці, професійної непридатності, стримує інноваційний та
інвестиційний розвиток провідних галузей економіки.
Національна Стратегія охорони
праці спрямована на забезпечення:
конституційного права
працівників на безпечні і здорові умови праці, створення ефективної системи
запобігання нещасним випадкам на виробництві і виникненню професійних
захворювань;
зменшення втрат економіки
України в результаті виробничого травматизму і професійних захворювань,
інвалідизації, внаслідок яких виробництво втрачає професійно підготовлені
кадри, створення умов для забезпечення інноваційного розвитку економіки
здоровими, продуктивними і професійними робітничими кадрами;
створення належних гарантій
соціального захисту потерпілих на виробництві та сімей загиблих на виробництві.
Відновлення комплексного
управління охороною праці неможливе без відновлення вертикалі державних органів
управління охороною праці. Для цього необхідно:
- поновити структурні підрозділи у
штатах галузевих міністерств, місцевих державних адміністрацій та органах
місцевого самоврядування для координації роботи, методичного та інформаційного
забезпечення заходів з охорони праці роботодавців, здійснення контролю за їх
своєчасністю і повнотою проведення, зокрема за атестацією робочих місць за
умовами праці, усуненням або істотним зменшенням негативної дії шкідливих
виробничих факторів на робочих місцях;
- регулярно розглядати і оцінювати
на засіданнях Рад з безпеки життєдіяльності всіх рівнів стан охорони праці в
галузях промисловості, на підприємствах та приймати рішення щодо його
поліпшення;
законодавчо впроваджувати
європейські стандарти і вимоги Конвенцій Міжнародної Організації Праці у
практику управління охороною праці;
органам державного управління усіх
рівнів реалізовувати політику заохочення роботодавців до організації
внутрішнього корпоративного управління охороною праці на підприємствах, в
акціонерних товариствах, холдингах та інших суб’єктах економічної діяльності;
забезпечити підготовку у вищих
навчальних закладах дипломованих спеціалістів з охорони праці, включення
відповідних програм до курсу підготовки спеціалістів для галузей народного
господарства та післядипломного навчання, затвердження відповідної
загальнодержавної програми.
Проведення реформи державного
нагляду за станом охорони праці та його ефективне поєднання з контролем
профспілок і роботодавців зумовлює перегляд функцій центральних органів
виконавчої влади у сфері державного нагляду за охороною праці та приведення їх
у відповідність до вимог Конвенцій МОП.
Впровадження загальнодержавної
системи запобігання виробничому травматизму і професійним захворюванням полягає
у своєчасному виявленні та усуненні причин їх виникнення, а також вживанні
відповідних профілактичних заходів, що дозволяє значно знизити рівень
економічних втрат підприємств, зберегти здоров’я та високу професійну
працездатність працівників.
На сьогоднішній день є потреба в
побудові сучасної системи реагування на випадки виробничого травматизму і
професійного захворювання, яка б забезпечила об’єктивне і повне розслідування
нещасних випадків на виробництві та унеможливила їх масове приховування від
розслідування та обліку.
Зважаючи на зазначену ситуацію,
існує гостра необхідність у створенні єдиної державної інформаційної бази з
охорони праці, яка б включала дані про виробничий травматизм, професійну
захворюваність, атестацію робочих місць за умовами праці, відповідність
нормативно-правовим актам з охорони праці, рівні ризику у галузях економічної
діяльності, соціально-економічні втрати від виробничого травматизму та
професійних захворювань, а також дані про підприємства, що виготовляють засоби
індивідуального і колективного захисту, наукові розробки у сфері охорони праці
та заклади, які здійснюють такі розробки.
Правове і науково-методичне
забезпечення охорони праці потребує:
встановлення єдиного порядку
атестації робочого місця і вдосконалення нормативної бази з її проведення;
ратифікації Конвенції МОП з питань
охорони та гігієни праці;
організації розробки перспективних
науково-дослідних робіт з охорони праці, зокрема з економічних аспектів
виробничого травматизму та професійних захворювань, їх економічних наслідків
для роботодавців і держави в цілому, розробки методик визначення вартості життя
людини з метою розрахунку економічних втрат в результаті загибелі працівника на
виробництві;
створення обласних
інформаційно-методичних центрів з охорони праці при обласних державних
адміністраціях для надання консультативно-правової допомоги з питань охорони
праці профспілковому активу, роботодавцям і працівникам підприємств;
проведення регулярних наукових
досліджень з охорони праці з метою вивчення впливу виробничого травматизму,
захворювань і смертності працівників на економіку України;
забезпечення розробки і реалізації
спільних програм з наукового та науково-практичного співробітництва МОЗ з
Фондом соціального страхування, об’єднаннями роботодавців щодо створення
здорових та безпечних умов праці, поліпшення медичного обслуговування працюючих
громадян України.
.2 Поняття та види надзвичайних
ситуацій. Правові основи забезпечення безпеки у надзвичайних ситуаціях
Територія та населення України, як і
території та населення інших країн світу, не убезпечені від ризику надзвичайних
ситуацій природного й техногенного характеру, які можуть зумовити людські
втрати й заподіяти значної матеріальної шкоди.
У законодавстві України надзвичайною
ситуацією вважають порушення нормальних умов життя й діяльності людей на
об'єкті або території, спричинене аварією, катастрофою, стихійним лихом,
епідемією, епізоотією, епіфітотією, великою пожежею, застосуванням засобів
ураження, що призвели або можуть призвести до людських і матеріальних втрат.
Відповідно до причин походження
подій, що можуть зумовити виникнення надзвичайної ситуації на території
України, розрізняють надзвичайні ситуації:
техногенного характеру - транспортні
аварії (катастрофи), пожежі, неспровоковані вибухи чи їх загроза, аварії з
викидом (загрозою викиду) небезпечних хімічних, радіоактивних, біологічних
речовин, раптове руйнування споруд і будівель, аварії на інженерних мережах і
спорудах життєзабезпечення, гідродинамічні аварії на греблях, дамбах тощо;
природного характеру - небезпечні
геологічні, метеорологічні, гідрологічні, морські та прісноводні явища,
деградація ґрунтів чи надр, природні пожежі, зміна стану повітряного басейну,
інфекційна захворюваність людей, сільськогосподарських тварин, масове ураження
сільськогосподарських рослин хворобами чи шкідниками, зміна стану водних
ресурсів і біосфери;
соціально-політичного характеру -
пов'язані з протиправними діями терористичного й антиконституційного
спрямування: здійснення або реальна загроза терористичного акту (збройний
напад, захоплення й утримання важливих об'єктів, ядерних установок і
матеріалів, систем зв'язку й телекомунікацій, напад чи замах на екіпаж
повітряного або морського судна), викрадення (спроба викрадення) чи знищення
суден, захоплення заручників, встановлення вибухових пристроїв у громадських
місцях, викрадення або захоплення зброї, виявлення застарілих боєприпасів;
воєнного характеру - пов'язані з
наслідками застосування зброї масового ураження, під час яких виникають вторинні
фактори ураження населення внаслідок зруйнування атомних і гідроелектростанцій,
складів і сховищ радіоактивних та токсичних речовин і відходів, нафтопродуктів,
вибухівки, транспортних та інженерних комунікацій.
Відповідно до територіального
поширення обсягів заподіяних або очікуваних економічних збитків і кількості
людей, які загинули, визначають чотири рівні надзвичайних ситуацій:
загальнодержавний, регіональний, місцевий та об'єктовий.
Правове регулювання забезпечення
безпеки в надзвичайних ситуаціях має комплексний характер і поєднує норми
різних галузей права (конституційного, адміністративного, кримінального,
господарчого, фінансового).
Правову основу забезпечення безпеки
за надзвичайних ситуацій складають Конституція України, Закони України «Про правовий
режим території, що зазнала радіоактивного забруднення внаслідок Чорнобильської
катастрофи», «Про правовий режим надзвичайного стану», «Про зону надзвичайної
екологічної ситуації» від 17 грудня 1993 p., «Про пожежну безпеку» від 18 січня
2001 p., «Про об'єкти підвищеної небезпеки» від 28 жовтня 1996 р., Положення
«Про Міністерство України з питань надзвичайних ситуацій у справах захисту
населення від наслідків Чорнобильської катастрофи», Постанови Кабінету
Міністрів України від 25 лютого 2009 року № 156 «Про затвердження Державної
цільової соціальної програми розвитку цивільного захисту на 2009-2013 роки».
.3 Санітарно-технічні норми роботи з
комп’ютерною технікою
Широке промислове та побутове
використання персональних комп’ютерів актуалізувало питання охорони праці
безпосередніх користувачів. Найбільш повним нормативним документом щодо
забезпечення охорони праці користувачів комп’ютерної техніки є “Державні
санітарні норми і правила роботи з візуальними дисплейними терміналами (ВДТ)
електронно-обчислювальних машин” ДСанПіН 3.3.2.007-98.
Дотримання вимог цих правил може
значно знизити наслідки несприятливої дії на працівників шкідливих та
небезпечних факторів, які супроводжують роботу з відеодисплейними матеріалами,
зокрема можливість зорових, нервово-емоційних переживань, серцево-судинних
захворювань. Виходячи з цього, роботодавець повинен забезпечити гігієнічні й
ергономічні вимоги щодо організації робочих приміщень для експлуатації ВДТ,
робочого середовища, робочих місць з ВДТ, режиму праці і відпочинку при роботі
з ВДТ.
Відповідно до встановлених
гігієнічно-санітарних вимог (ГОСТ 12.1.005-88, СН 4088-86) роботодавець
зобов’язаний забезпечити в приміщеннях з ВДТ оптимальні параметри виробничого
середовища щодо температури, відносної вологості та швидкості руху повітря.
Природне освітлення в приміщеннях з
ВДТ повинно здійснюватися через вікна, орієнтовані переважно на північ або
північний схід і забезпечувати коефіцієнт природної освітленості не нижче, ніж
1,5%. Для захисту від прямих сонячних променів, які створюють прямі та відбиті
відблиски з поверхні екранів комп’ютерів повинні бути передбачені сонцезахисні
пристрої.
Основними вимогами до виробничого
приміщення для експлуатації ВДТ є:
площа на одне робоче місце повинна
становити не менше 6,0м2, а об’єм не менше 20,0 м3;
наявність природного та штучного
освітлення відповідно до СНіПП-4-79;
забезпечення спеціального місця
для зберігання паперових та електронних документів з урахуванням вимог відносно
площі приміщення;
проведення щоденного вологого
прибирання;
існування побутової кімнати
відпочинку та психологічного розвантаження поруч з приміщенням для роботи з
ВДТ.
Під час роботи з ВДТ основними
вимогами до освітлення приміщень та робочих місць є:
освітленість на робочому місці
повинна відповідати характеру зорової роботи, який визначається трьома
параметрами: об’єктом розрізнення - найменшим розміром об’єкта, що
розглядається на моніторі, фоном, який характеризується коефіцієнтом відбиття
та контрастом об’єкта і фону;
забезпечення достатнього рівня
розподілення яскравості на робочій поверхні монітора, а також в межах
навколишнього простору;
відсутність різких тіней та
відблисків на робочій поверхні;
постійність величини освітленості
під час роботи;
оптимальна спрямованість світлового
потоку і необхідний склад світла.
В приміщенні повинні забезпечуватися
допустимі рівні звуку (див. табл. 2.1),
електромагнітних випромінювань (див. табл. 2.2)
та електричного поля під час роботи з ВДТ.
Таблиця 2.1. Допустимі рівні звуку,
еквівалентні рівні звуку і рівні звукового тиску в октавних смугах частот
|
Вид трудової діяльності, робочі місця
|
Рівні звукового тиску в дБ в октавних смугах
із середньо-геометричними частотами, Гц
|
Рівні звуку, дБА/дБАекв
|
|
31,5
|
63
|
125
|
250
|
500
|
1000
|
2000
|
4000
|
8000
|
|
|
Програмісти ЕОМ
|
7
|
61
|
54
|
49
|
45
|
42
|
40
|
38
|
50
|
|
Оператори в залах обробки інформації та
оператори комп’ютерного набору
|
96
|
83
|
74
|
68
|
63
|
60
|
57
|
55
|
54
|
65
|
|
В приміщеннях для розташування шумних
агрегатів ЕОМ
|
103
|
91
|
83
|
77
|
73
|
70
|
68
|
66
|
64
|
75
|
Таблиця 2.2.
Допустимі параметри електромагнітних випромінювань і електричного поля
|
Види поля
|
Допустимі параметри поля
|
Допустима поверхнева щільність потоку енергії,
Вт/м2
|
|
за електричною складовою (Е), В/м
|
за магнітною складовою (Н), A/M
|
|
|
Напруженість електромагнітного поля, 6 кГц-3
МГц
|
50
|
5
|
-
|
|
Напруженість електромагнітного поля, 3
МГц-30МГц
|
2
|
-
|
-
|
|
Напруженість електромагнітного поля, 30 МГц-5
ГГц
|
-
|
-
|
10
|
|
Електромагнітне поле оптичного діапазону в
ультрафіолетовій частині спектру: УФ-С (220-280 мм)
|
-
|
-
|
0,001
|
|
УФ-В (280-320 мм)
|
-
|
-
|
0,01
|
|
УФ-А (320-400 мм)
|
-
|
-
|
10,0
|
|
в інфрачервоній частині спектру: 0,76-10,0 мкм
|
-
|
-
|
35,0-70,0
|
|
Напруженість електричного поля ВДТ
|
-
|
-
|
20 вВ/м
|
Основними гігієнічними нормами до
організації і обладнання робочих місць з ВДТ є:
робочі місця з ВДТ повинні бути
розташовані від стіни з вікнами на відстані не менше 1,5 м, від інших стін - на
відстані 1 м, відстань між собою - не менше ніж 1,5 м;
зона найкращого бачення площини
екрану монітора повинна бути перпендикулярною нормальній лінії зору, при цьому
повинна бути передбачена можливість переміщення монітора навколо вертикальної
осі в межах ±30° (справа наліво) та нахилу вперед до 85° і назад до 105° з
фіксацією в цьому положенні;
клавіатура повинна бути
розташована на поверхні столу на відстані 100-300 мм від краю, кут нахилу
клавіатури до столу повинен бути в межах від 5 до 15°;
принтер повинен бути розміщений у
зручному для користувача положенні, так, що максимальна відстань від
користувача до клавіш управління принтером не перевищувала довжину витягнутої
руки користувача;
конструкція робочого стола повинна
забезпечувати можливість оптимального розміщення на робочій поверхні
обладнання, що використовується з врахуванням його кількості та конструктивних
особливостей і документів, а також враховувати характер роботи, що виконується.
Вимоги до режимів праці і відпочинку
при роботі з ВДТ передбачають таку тривалість регламентованих перерв під час
роботи з персональним комп’ютером за 8-годинної денної робочої зміни залежно
від характеру праці:
15 хвилин через кожну годину
роботи для розробників програм зі застосуванням ЕОМ;
15 хвилин через кожні дві години
для операторів із застосуванням ЕОМ;
10 хвилин після кожної години
роботи за ВДТ для операторів комп’ютерного набору.
У випадках, коли виробничі обставини
не дозволяють застосовувати регламентовані перерви, тривалість безперервної
роботи з ВДТ не повинна перевищувати 4 години.
Для зниження нервово-емоційного
напруження, втомленості зорового аналізатора, для поліпшення мозкового
кровообігу і запобігання втомі доцільно деякі перерви використовувати для виконання
комплексу вправ, які передбачені ДСанПіН 3.3.2.007-98, в тому числі і для
сеансів психологічного розвантаження у кімнаті з відповідним інтер’єром та
кольоровим оформленням.
Ігнорування санітарних правил і норм
роботи з ВДТ може викликати у осіб, які з ними професійно працюють загальну та
зорову втому, болі та відчуття піску в очах, відчуття засміченості та свербіння
очей, болі в хребті, закам’янілість та оніміння м’язів шиї та плечового поясу,
пошкодження дисків хребта, порушення постави, судоми м’язів ніг, синдром RSI
хронічний розтяг зв’язок, синдром тунелю Карпаля, головні болі, поганий сон,
депресивні стани тощо.
Висновки
У процесі виконання курсової роботи
побудовали випадковий процес, який описує еволюцію частинки, що стартувала з
нуля, і досліджено асимптотичні властивості цього процесу.
Список літератури
1. Arratia R.A. Brownian
motition on the line: PhD dissertation. − Wiskonsin, Madison, 1979.
2. Ватанабе С., Икеда Н.
Стохастические дифференциальные уравнения и диффузионные
процессы. - М.: Наука, 1986. - 448 с.
3. Дороговцев А.А. Мерозначные
процессы и стохастические потоки. - Киев: Ин-т математики НАН Украины, 2007. -
289 с.
4. Конаровський В.В. Система
дифузійних частинок із склеюванням змінної маси. - Український математичний
журнал, 2010. - Т. 62, №1. - с. 90− 103.
5. Хида Т. Броуновское
движение. - М.: Наука, 1987. - 304 с.