Антагонистическая игра

  • Вид работы:
    Контрольная работа
  • Предмет:
    Математика
  • Язык:
    Русский
    ,
    Формат файла:
    MS Word
    236,78 Кб
  • Опубликовано:
    2014-08-14
Вы можете узнать стоимость помощи в написании студенческой работы.
Помощь в написании работы, которую точно примут!

Антагонистическая игра

Содержание

Введение

. Теоретическая часть

.1 Основные определения и положения игры

1.1.1 Определение, примеры и решения матричных игр в чистых стратегиях

1.2 Оптимальные смешанные стратегии и их свойства

.3 Игра порядка 2х2

.4 Алгебраический метод

.5 Графический метод

.6 Игры 2xn или mx2

.7 Решения игр матричным методом

.8 Метод последовательного приближения цены игры

. Практическая часть

.1 Игра 22

.2 Игры 2xn и mx2

.3 Матричный метод

.4 Метод Брауна

Анализ результатов

Список использованных источников

Введение

Антагонистическая игра - это игра с нулевой суммой. Антагонистической игрой называется некооперативная игра <#"814638.files/image002.gif"> действительное число, соответствующее полезности первого игрока при реализации данной ситуации.

Так как интересы игроков противоположны, функция F одновременно представляет и проигрыш второго игрока.

Исторически антагонистические игры являются первым классом математических моделей теории игр, при помощи которых описывались азартные игры. Считается, что благодаря этому предмету исследования теория игр и получила свое название. В настоящее время антагонистические игры рассматриваются как часть более широкого класса некооперативных игр <#"814638.files/image001.gif">п выигрышей первого игрока.[2]

Если рассмотреть матрицу выигрышей

 (1.1)

то проведение каждой партии матричной игры с матрицей А сводится к выбору первым игроком i-й строки, а вторым игроком j-го столбца и получения первым игроком (за счет второго) выигрыша , находящегося в матрице А на пересечении i-й строки и j-го столбца.

Для формализации реальной конфликтной ситуации в виде матричной игры надо выделить и перенумеровать чистые стратегии каждого игрока и составить матрицу выигрышей.

Следующий этап - это определение оптимальных стратегий и выигрышей игроков.

Главным в исследовании игр является понятие оптимальных стратегий игроков. В это понятие интуитивно вкладывается такой смысл: стратегия игрока является оптимальной, если применение этой стратегии обеспечивает ему наибольший гарантированный выигрыш при всевозможных стратегиях другого игрока. Исходя из этих позиций, первый игрок исследует матрицу А своих выигрышей по формуле (1.1) следующим образом: для каждого значения i (i =1, 2,…, т) определяется минимальное значение выигрыша в зависимости от применяемых стратегий второго игрока

 (i = 1, 2,..., m) (1.2)

т. е. определяется минимальный выигрыш для первого игрока при условии, что он применит свою i - ю чистую стратегию, затем из этих минимальных выигрышей отыскивается такая стратегия i=i0, при которой этот минимальный выигрыш будет максимальным, т. е. находится

 =  = α. (1.3)

Определение. Число α, определенное по формуле (1.3), называется нижней чистой ценой игры и показывает, какой минимальный выигрыш может гарантировать себе первый игрок, применяя свои чистые стратегии при всевозможных действиях второго игрока.[2]

Второй игрок при оптимальном своем поведении должен стремиться по возможности за счет своих стратегий максимально уменьшить выигрыш первого игрока. Поэтому для второго игрока отыскивается

 (1.4)

т. е. определяется максимальный выигрыш первого игрока, при условии, что второй игрок применит свою j-ю чистую стратегию, затем второй игрок отыскивает такую свою j = j1 стратегию, при которой первый игрок получит минимальный выигрыш, т. е. находит

 =  = β. (1. 5)

Определение. Число β, определенное по формуле (1.5), называется чистой верхней ценой игры и показывает, какой максимальный выигрыш за счет своих стратегий может себе гарантировать первый игрок. Другими словами, применяя свои чистые стратегии первый игрок может обеспечить себе выигрыш не меньше α, а второй игрок за счет применения своих чистых стратегий может не допускать выигрыш первого игрока больше, чем β.

Определение. Если в игре с матрицей А нижняя и верхняя чистые цены игры совпадают, т. е. α = β, то говорят, что эта игра имеет седловую точку в чистых стратегиях и чистую цену игры:

ν = α = β (1.6)

Седловая точка - это пара чистых стратегий () соответственно первого и второго игроков, при которых достигается равенство

α = β (1.7)

В понятие седловой точки вложен следующий смысл: если один из игроков придерживается стратегии, соответствующей седловой точке, то другой игрок не сможет поступить лучше, чем придерживаться стратегии, соответствующей седловой точке. Имея в виду, что лучшее поведение игрока не должно приводить к уменьшению его выигрыша, а худшее - может приводить к уменьшению его выигрыша, эти условия можно записать математически в виде следующих соотношений:

 (1.8)

где i, j - любые чистые стратегии соответственно первого и второго игроков; (i0, j0) - стратегии, образующие седловую точку. Ниже будет показана эквивалентность определения седловой точки условиям (1.8). [2]

Таким образом, исходя из (1.8), седловой элемент  является минимальным в i0-й строке и максимальным в j0-м столбце в матрице А. Отыскание седловой точки матрицы А происходит легко: в матрице А последовательно в каждой строке находят минимальный элемент и проверяют, является ли этот элемент максимальным в своем столбце. Если он является таковым, то он и есть седловой элемент, а пара стратегий, соответствующая ему, образует седловую точку. Пара чистых стратегий (i0, j0) первого и второго игроков, образующая седловую точку и седловой элемент  называется решением игры.

Чистые стратегии i0 и j0 образующие седловую точку, называются оптимальными чистыми стратегиями соответственно первого и второго игроков.

Теорема 1. Пусть f (х, у) вещественная функция двух переменных х  А и у  В и существует

β= (1.9)

тогда α = β.

Доказательство. Из определения минимума и максимума следует, что

 f(x, у)   (1.10)

Или

 . (1.11)

Поскольку в левой части (1.11) х любое, то

. (1.12)

В правой части неравенства (1.12) у любое, поэтому

 (1.13)

что и требовалось доказать. [2]

В частности, матрица () есть частный случай функции f (х, у), т. е. если положить х = i, у = j,  = f (х, у), то из теоремы 1 получим, что нижняя чистая цена не превосходит верхнюю чистую цену игры в матричной игре.

Определение. Пусть f (х, у) действительная функция двух переменных х  А и у  В. Точка (х0, у0) называется седловой для функции f (х, у), если выполняются следующие неравенства

f (х, у0)  f (х0, у0)f (х0, у) (1.14)

при любых х  А и у  В.

.2 Оптимальные смешанные стратегии и их свойства

Исследование матричной игры начинается с нахождения ее седловой точки в чистых стратегиях. Если матричная игра имеет седловую точку в чистых стратегиях, то нахождением этой точки заканчивается исследование игры. Если же в матричной игре нет седловой точки в чистых стратегиях, то можно найти нижнюю и верхнюю чистые цены этой игры, которые указывают, что первый игрок не должен надеяться на выигрыш больший, чем верхняя цена игры, и может быть уверен в получении выигрыша не меньше нижней цены игры. Такие рекомендации относительно поведения игроков в матричной игре без седловой точки в чистых стратегиях не могут удовлетворять исследователей и практических работников. Улучшение решений матричных игр следует искать в использовании секретности применения чистых стратегий и возможности многократного повторения игр в виде партий. Так, например, проводится серия игр в шахматы, шашки, футбол, и каждый раз игроки применяют свои стратегии таким образом, что их противники не догадываются об их содержании, и на этом пути в среднем достигают определенных выигрышей, сыграв всю серию партий. Эти выигрыши в среднем больше нижней цены игры и меньше верхней цены игры. Чем больше это среднее значение, тем лучше стратегии применяет игрок. Поэтому возникла идея применять чистые стратегии случайно, с определенной вероятностью. Это полностью обеспечивает секретность их применения. Каждый игрок может изменять вероятности применения своих чистых стратегий таким образом, чтобы максимально увеличить свой средний выигрыш и на этом пути получать оптимальные стратегии. Такая идея привела к понятию смешанной стратегии.[2]

Определение. Смешанной стратегией игрока называется полный набор вероятностей применения его чистых стратегий.

Таким образом, если первый игрок имеет т чистых стратегий 1, 2, … i,… m, то его смешанная стратегия х - это набор чисел х = (х1, х2, ..., хi ,…, хт) удовлетворяющих соотношениям

xi  0 (i = 1, 2, ... , т),  = 1. (1.15)

Аналогично для второго игрока, который имеет п чистых стратегий, смешанная стратегия у - это набор чисел у = (у1,…, уj , … уn ), удовлетворяющих соотношениям

yj  0 (j = 1, 2, ... , n),  = 1. (1.16)

Так как каждый раз применение игроком одной чистой стратегии исключает применение другой, то чистые стратегии являются несовместимыми событиями. Кроме того, они являются единственно возможными событиями.

Очевидно, чистая стратегия есть частный случай смешанной стратегии. Действительно, если в смешанной стратегии какая-либо i-я чистая стратегия применяется с вероятностью единица, то все остальные чистые стратегии не применяются. И эта i-я чистая стратегия является частным случаем смешанной стратегии. Для соблюдения секретности каждый игрок применяет свои стратегии независимо от выбора другого игрока.[2]

Определение. Средний выигрыш первого игрока в матричной игре с матрицей А выражается в виде математического ожидания его выигрышей

Е (А, х, у)= (1.20)

Очевидно, средний выигрыш первого игрока есть функция двух наборов переменных х и у. Первый игрок имеет целью за счет изменения своих смешанных стратегий х максимально увеличить свой средний выигрыш Е (А, х, у), а второй - за счет своих смешанных стратегий стремится сделать Е (А, х, у) минимальным, т. e. для решения игры необходимо найти такие х, у, при которых достигается верхняя цена игры.

.3 Игра порядка 22

Матричная игра порядка 22 задается следующей матрицей выигрышей первого игрока:

. (1.21)

Решение этой игры следует начинать с отыскания седловой точки в чистых стратегиях. С этой целью находят минимальный элемент в первой строке и проверяют, является ли он максимальным в своем столбце. Если такого элемента не нашли, то аналогично проверяют вторую строку. Если во второй строке такой элемент найден, то он является седловым.[2]

Отысканием седлового элемента, если такой имеется, заканчивается процесс нахождения ее решения, так как в этом случае найдена цена игры -седловой элемент и седловая точка, т. е. пара чистых стратегий, для первого и второго игрока, составляющих оптимальные чистые стратегии. Если же седловой точки в чистых стратегиях не оказалось, то надо отыскать седловую точку в смешанных стратегиях, которая обязательно существует согласно основной теореме матричных игр.[2]

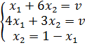
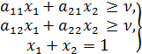
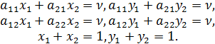
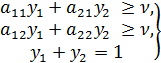
Обозначим через х=(х12), у=(у12) смешанные стратегии соответственно первого и второго игроков. Напомним, что х1 означает вероятность применения первым игроком своей первой стратегии, а х2 = 1 - х1 - вероятность применения им своей второй стратегии. Аналогично для второго игрока: у1 - вероятность применения им первой стратегии, у2 = 1 - у1 - вероятность применения им второй стратегии.

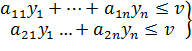
Согласно следствию из теореме, для оптимальности смешанных стратегий х и у необходимо и достаточно, чтобы для неотрицательных х1, х2, у1, у2 выполнялись следующие соотношения:

 (1.22)

 (1.23)

Покажем теперь, что если матричная игра не имеет седловой точки в чистых стратегиях, то эти неравенства должны превращаться в равенства:

 (1.24)

В самом деле. Пусть игра не имеет седловой точки в чистых стратегиях, тогда оптимальные значения смешанных стратегий удовлетворяют неравенствам

<<1, 0<< 1,

< <1, 01. (1.25)

Предположим, что оба неравенства из (1.22) будут строгими

 

тогда согласно теореме должно у1= у2 = 0, что противоречит условиям (1.25).

Аналогично доказывается, что оба неравенства из (1.23) не могут быть строгими неравенствами.[2]

Предположим теперь, что одно из неравенств (1.22) может быть строгим, например первое

 (1.26)

Это значит, что согласно теореме у1 = 0, у2 =1. Следовательно, из (1.23) получаем

 (1.27)

Если оба неравенства (1.24) строгие, то по теореме должно х1 = х2 = 0, что противоречит (1.25). Если же а12  а22, то одно из неравенств (1.27) строгое, а другое - равенство. Причем равенство будет выполняться для большего элемента из а12 и а22, т. е. одно неравенство из (1.27) должно быть строгим. Например а12 < а22. Тогда справедливо а12 < v, а это равносильно тому, что первое неравенство из (1.24) строгое. Тогда согласно теореме должно х1 = 0, что противоречит условию (1.25). Если а12 = а22, то оба неравенства (1.27) превращаются в равенства и тогда можно положить х1= 0, что противоречит (1.25). Итак, предположение о том, что первое неравенство из (1.22) может быть строгим, не справедливо. Аналогично можно показать, что второе неравенство из (1.22) также не может быть строгим.

Таким образом показано, что если матричная игра не имеет седловой точки в чистых стратегиях, то для оптимальных стратегий первого игрока неравенства (1.22) превращаются в равенства. Аналогичные рассуждения относительно неравенств (1.23) приведут к тому, что в этом случае неравенства (1.23) должны быть равенствами.

Итак, если матричная игра порядка 22 не имеет седловой точки, то оптимальные смешанные стратегии игроков и цену игры можно определить, решив систему уравнений (1.24). Установлено также, что если в матричной игре порядка 2x2 один из игроков имеет оптимальную чистую стратегию, то и другой игрок также имеет оптимальную чистую стратегию.

Следовательно, если матричная игра не имеет седловой точки в чистых стратегиях, то она должна иметь решение в смешанных стратегиях, которые определяются из уравнений (1.24). Решение системы (1.25)[2]

, , (1.28)

, ,

. (1.29)

.4 Алгебраический метод

Возможны два случая для решения задач алгебраическим методом:

. матрица имеет седловую точку;

. матрица не имеет седловую точку.[1]

В первом случае решение - это пара стратегий, образующих седловую точку игры. Рассмотрим второй случай. Решения здесь следует искать в смешанных стратегиях:

 

 

Отыщем стратегии  и . При использовании первым игроком своей оптимальной стратегии второй игрок может, например, применить две такие чистые стратегии

 

При этом в силу свойства, если один из игроков применяет оптимальную смешанную стратегию, а другой - любую чистую, входящую в его оптимальную смешанную стратегию с вероятностью не равной нулю, то математическое ожидание выигрыша всегда остается неизменным и равным цене игры, т.е.

 

 

Выигрыш должен в каждом из этих случаев быть равен цене игры V. В таком случае справедливы такие соотношения:[1]

 (1.36)

 (1.37)

Систему уравнений, аналогичную (2.5), (2.6) можно составить и для оптимальной стратегии второго игрока:

(1.38)

(1.39)

Принимая во внимание условие нормировки:

 (1.40)

 (1.41)

Решим совместно уравнение (1.37) - (1.41) относительно неизвестных  можно решать и не все сразу, а по три: отдельно (1.36), (1.38), (1.40) и (1.37), (1.39), (1.41). В результате решения получим:

 (1.42)

(1.43)

(1.44)

(1.45)

(1.46)

.5 Графический метод

Приближенное решение игры 22 можно довольно просто получить воспользовавшись графическим методом. Суть его заключается в следующем:

Рисунок 1.1- нахождение участка единичной длинны

Выделить на оси абсцисс участок единичной длины. Левый конец его будет изображать первую стратегию первого игрока, а правый вторую. Все промежуточные точки соответствуют смешанным стратегиям первого игрока, причем длина отрезка справа от точки  равна вероятности применения первой стратегии , а длина отрезка слева от  - вероятности  применения второй стратегии первым игроком.[1]

Проведены две оси I-I и II-II. На I-I будем откладывать выигрыш при использовании первым игроком первой стратегии, на II-II при использовании им второй стратегии. Пусть, например, второй игрок применил свою первую стратегию, тогда на оси I-I следует отложить величину , а на оси II-II - величину

При любой смешанной стратегии  первого игрока его выигрыш определится величиной отрезка . Линия I-I соответствует применению первой стратегии вторым игроком, будем её называть первой стратегией второго игрока. Аналогично можно построить и вторую стратегию второго игрока. Тогда в целом графическое отображение матрицы игры примет такой вид:

Рисунок 1.2 - нахождение цены игры

Следует однако отметить, что это построение проводилось для первого игрока. Здесь длина отрезка  ровна цене игры V. [1]

Линия 1N2 называется нижней границей выигрыша. Здесь наглядно видно, что точка N соответствует максимальной величине гарантированного выигрыша первого игрока.

Вообще то говоря, стратегию второго игрока также можно определить из этого рисунка, например такими способами. На оси I-I:

(1.47)

(1.48)

либо на оси II-II

(1.49)

(1.50)

Однако стратегию второго игрока можно определить и аналогично тому, как это делается для первого игрока, т.е. построить такой график.

Рисунок 1.3 - определение стратегии второго игрока

Здесь линия 1N2 - верхняя граница проигрыша. Точка N соответствует минимальному из возможных проигрышей второго игрока, она то и определяет стратегию . [1]

В зависимость от конкретных значений коэффициентов матрицы графика могут иметь и иной вид, например, такой:

 

Рисунок 1.4 - определяет оптимальную стратегию первого игрока

В такой ситуации оптимальная стратегия первого игрока  является чистой:

 

.6 Игры 2n или m2

В играх порядка 2n первый игрок имеет 2 чистых стратегии, а второй n чистых стратегий, т.е. матрица выигрышей первого игрока имеет вид:

 (1.52)

Если такая игра имеет седловую точку, то её легко найти и получить решение.[1]

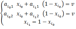
Предположим, что игра имеет седловые точки. Тогда необходимо найти такие смешанные стратегии  и  соответственно первого и второго игроков и цену игры v, которые удовлетворяют соотношениям:

 (1.53)

 (1.54)

(1.56)

Поскольку игра не имеет седловой точки, то неравенство (1.54) заменяют не равенствами

 (1.56)

Для решения систем (1.56), (1.55), (1.53) целесообразно воспользоваться графическим методом. С целью введем обозначения для левой части неравенства (1.53)

матричный игра математический модель

(1.57)

или, поставив  из (1.55) и проведя простые преобразования, получим

 (1.58)

где  - это средний выигрыш первого игрока при условии, что он применяет свою смешанную стратегию, а второй свою j-ю чистую стратегию.[]

Каждому значению j=1, 2, … , n согласно выражению  соответствует прямая линия в прямоугольной системе координат.

Цель второго игрока минимизировать выигрыш первого игрока за счет выбора своих стратегий. Поэтому вычисляем

 (1.59)

где  - нижняя граница множества ограничений. На рисунке 1.6 график функции  изображен жирной линей.

Рисунок 1.6 - график функции

Цель первого игрока максимизировать свой выигрыш за счет выбора , т.е. вычислить

 (1.60)

На рисунке 1.6 точка  означает максимальное значение , которое получается при . Цена игры , так как: [1]

(1.61)

Таким образом графически определяется оптимальная смешанная стратегия  первого игрока и пара чистых стратегий второго игрока, которые в пересечении образуют точку  На рисунке 1.6 изображены 2-я и 3-я стратегия второго игрока. Для таких стратегий неравенства (1.53) превращаются в равенства. На рисунке 1.6 это стратегии j=2, j=3.

Теперь можно решить систему уравнений

 (1.62)

и точно определить значения  и  (графически они определяются приближенно). Затем положив все значения  при тех j, для которых  не образуют точку , решая систему уравнений (1.56) Для примера, приведенного на рисунке 1.6, это следующая система:

(1.63)

а остальные  Эту систему можно решить, пологая  Если при некоторой j=j0 стратегии второго игрока образуют точку М0 и  то максимальное значение нижней границы множеств ограничений изображается отрезком, параллельным оси  В этом случае первый игрок имеет бесконечно много оптимальных значений  а цена игры  Этот случай изображен на рисунке 1.7, где  и отрезок MN изображают верхнее ограничений, оптимальные значения  находятся в пределах  У второго игрока имеется чистая оптимальная стратегия j=j0.

Матричные игры порядка m2 решаются также с помощью графического метода. Матрица выигрышей первого игрока в этом случае имеет вид

 (1.64)

Смешанные стратегии  соответственно первого и второго игроков определяются аналогично, как в случае игр порядка 2n. Пусть по горизонтальной оси откладывается значение  от 0 до 1, по вертикальной - значение среднего выигрыша ) первого игрока при условиях, что первый игрок применяет свою чистую i-ю стратегию (i=1, 2, …, m), второй - свою смешанную стратегию (y1, 1- y1 ) =y. Например, при m=4 графически ) могут быть представлены так, как изображено на рисунке 1.7. [1]










Рисунок 1.7 - график функции )

Первый игрок старается максимизировать свой средний выигрыш, поэтому он стремиться найти

 (1.65)

Где

 (1.66)

Функция изображена жирной линей и представляет собой верхнюю границу множества ограничений. Второй игрок старается минимизировать  за счет выбора своей стратегии , т.е. величина  соответствует [1]

 (1.67)

На рисунке значение  обозначено точкой . Другими словами определяются такие две стратегии  первого игрока и вероятность  для второго игрока, при которых достигается равенство

 (1.68)

Или

(1.69)

Из рисунка видим, что  цена игры  - это ордината точки , вероятность  - это абсцисса точки . Для остальных чистых стратегий первого игрока в оптимальной смешанной стратегии должно   ().

Таким образом, решая систему (1.69), получим оптимальную стратегию второго игрока  и цену игры. Оптимальную смешанную стратегию для первого игрока найдем, решая следующую систему уравнений:

(1.70)

.7 Матричный метод решения игр

Обозначения:

 ; (1.71)

 - любая квадратная подматрица матрицы  порядка  [3]

 - матрица (1);

 - матрица, транспонированная к ;

 - матрица, присоединенная к В;

 - (1) матрица полученная из X вычеркиванием элементов, которые соответствуют строкам, вычеркнутым из  при получении ;

 - (1) матрица полученная из  вычеркиванием элементов, которые соответствуют строкам, вычеркнутым из  при получении .

Алгоритм:

1. Выберем квадратную подматрицу  матрицы  порядка () и вычислим

, (1.72)

. (1.73)

2. Если некоторое  или , то отбрасываем найденную матрицу  и пробуем другую матрицу .

3.      Если  (),  (), вычисляем и строим X и  из  и , добавляя в соответствующих местах нули.

 (1.74)

Проверяем, удовлетворяются ли неравенства

  для каждого  (1.75)

и неравенства

  для каждого  (1.76)

Если одно из соотношений не выполнено, то пробуем другое . Если все соотношения справедливы, то X,  и искомые решения. [3]

.8 Метод последовательного приближения цены игры

При исследовании игровых ситуаций часто может случиться так, что нет необходимости в получении точного решения игры или в следствии каких-либо причин найти точное значение цены игры и оптимальных смешанных стратегий невозможно или очень трудно. Тогда можно воспользоваться приближенным методами решения матричной игры.[2]

Опишем один из таких методов - метод последовательного приближения цены игры. Количество вычисленных при использовании метода увеличивается примерно пропорционально числу строк и столбцов матрицы выигрышей.

Сущность метода состоит в следующем: мысленно игра проводится много раз, т.е. последовательно, в каждой партии игры игрок выбирает ту стратегию, которая дает ему наибольший общий (суммарный) выигрыш.

После такой реализации некоторых партий вычисляет средние значение выигрыша первого игрока, проигрыша второго игрока, и их среднее арифметическое принимается за приближенное значение цены игры. Метод дает возможность найти приближенное значение оптимальных смешанных стратегий обоих игроков: надо подсчитать частоту применения каждой чистой стратегии и принять её за приближенное значение в оптимальной смешанной стратегии соответствующего игрока.

Можно доказать, что с неограниченным увеличением числа программных партий средний выигрыш первого игрока и средний проигрыш второго игрока будет неограниченно приближаться к цене игры, а приближенные значения смешанных стратегий в том случае, когда решение игры единственное, будет стремиться к оптимальным смешанным стратегиям каждого игрока. Вообще говоря, стремление приближенных значений выше указанных величин к истинным значениям происходит медленно. Однако этот процесс легко механизировать и тем самым помочь получению решения игры с требуемой степенью точности даже при матрицах выигрышей сравнительно большого порядка.[2]

. Практическая часть

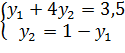
2.1 Игра 22

Пара решает куда пойти погулять и с пользой для двоих провести время.

Девушка решает пойти погулять в парк подышать свежим воздухом, вечером сходить на просмотр кинофильма в ближайший кинотеатр.

Парень предлагает пойти сходить в технопарк, после посмотреть матч футболистов местного клуба в центральном стадионе.

В соответствии с этим нужно найти за какое время будет достигнута цель одного из игроков. Матрица выигрышей будет выглядеть таким образом:

Таблица 1. Матрица выигрышей

Стратегии

Игрок 1


Игрок 2

7

3


4

5


Решение:

 1=max{3,4}=4

 2=min{7,5}=5

Так как  1  2,         Очевидно, в этой игре нет седловой точки в чистых стратегиях. Поэтому воспользуемся следующими формулами, и получим:

 

 

 

 

 











 


 

V4.5

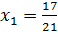
Ответ: , , , ,

2.2 Игра 2xn и mx2

Задача 1(2xn)

Выращивается две зерновые культуры для сухого и влажного климата.

А состояние природы можно рассматривать как: сухое, влажное, умеренное.

 

Решение:


 

 

 

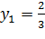
Максимальное значение М() достигается в точке М, образуемой пересечением линий, соответствующих j=1, j’=2. По этому полагаем: ,

Для определения значения , ,  , v надо решить следующие уравнения:

 

 

 

 

 

 

 

 

 

 

 

 

Ответ: , , , , .

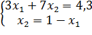
Задача 2(mx2)

Парень и девушка рассматривают варианты куда пойти на выходные.

Выбор места отдыха можно представить как: парк, кино, рессторан.

 

Решение:


 

 

 

Максимальное значение М() достигается в точке E, образуемой пересечением линий, соответствующих j=1, j’=2. По этому полагаем: ,

Для определения значения , ,  , v надо решить следующие уравнения:

 

 

 

 

 

 

 

 

 

 

 

 

Ответ: , , , , .

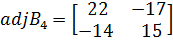
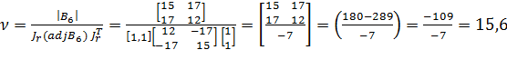
.5 Матричный метод

Два конкурирующих друг с другом ресторана(предприятия общественного питания) предоставляют следующие наборы услуг. Первый ресторан расположен в центре, а другая на окраине города.

Центральный ресторан включает следующие услуги:

) более дорогое и качественное обслуживание клиентов;

) блюда ориентированы на французскую кухню;

Второй ресторан предоставляет:

1)   не дорогое и качественное обслуживание;

2)      меню сочетает в себе различные известные кухни мира;

)        также постоянные акции и скидки;

)        осуществляет доставку и принимает заказы по доставке на дом.

В соответствии с заданием прибыль за один день между двумя ресторанами распределится следующим образом:

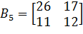
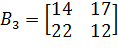
Таблица 2. Матрица выигрышей

Стратегии

Игрок 2


y1

y2

y3

y4

Игрок 1

x1

15

26

14

17


x2

17

11

22

12


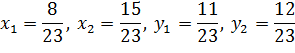
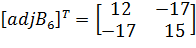
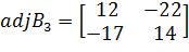
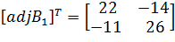
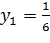
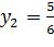
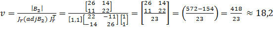
Решение игры вида [2xn] матричным способом:

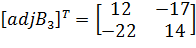
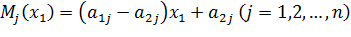
Существует шесть подматриц и :

, , , , .

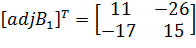
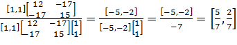
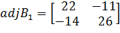
Рассмотрим матрицу :

, ,

 = ,


Так как x2= < 0, то мы отбрасываем .

Рассмотрим теперь матрицу :

, ,

 = ,

x1=  ≥ 0, x2= ≥ 0

,

y1= ≥ 0, y2= ≥ 0, то продолжаем дальше:


Или

 - цена игры.

Теперь проверяются основные соотношения:

 

Это соотношение противоречит требованию , поэтому  не подходит.

Рассмотрим теперь матрицу :

, ,

 = ,

x1= , x2= ≥ 0,

,

y1= < 0, y2= ≥ 0.

Так как y1= < 0, то мы отбрасываем и .

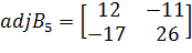
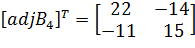
Рассмотрим теперь матрицу :

, ,

 = ,

x1= , x2=  0, так как x2= 0, то мы отбрасываем и .

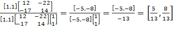
Рассмотрим теперь матрицу :

, ,

 = ,

x1= , x2= ≥ 0. Так как x1= 0, то мы отбрасываем и .

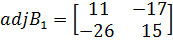
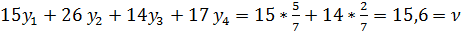
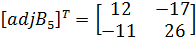
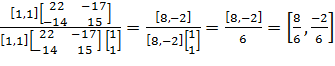
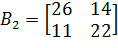
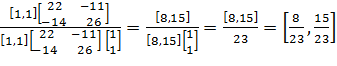
Рассмотрим теперь матрицу :

, ,

 = ,

,

x1= , x2=, y1= , y2=, то продолжаем дальше:

x1= , x2=, y1= , y2= или

 - цена игры.

Теперь проверяются основные соотношения:

 

 

 

 

 и , тогда

 

 


 


 

 

Ответ: x1= , x2=, y1= , y2= , y3=0, y4=0,.

Метод Брауна

По требованию рабочих некоторой компании профсоюз ведет с ее руководством переговоры об организации горячих обедов за счет компании. Профсоюз, представляющий интересы рабочих, добивается того, чтобы обед был как можно более качественным и, следовательно, более дорогим. Руководство компании имеет противоположные интересы. В конце концов стороны договорились о следующем. Профсоюз (игрок 1) выбирает одну из трех фирм (А1, А2, А3), поставляющих горячее питание, а руководство компании (игрок 2) - набор блюд из трех возможных вариантов (B1, B2, B3). После подписания соглашения профсоюз формирует следующую платежную матрицу, элементы которой представляют стоимость набора блюд:

Пусть игра задана следующей матрицей выигрышей:

 

Решение:

Предположим, что второй игрок выбрал свою 2-ю стратегию, тогда первый      получит:

, если он применит свою 1-ю стратегию,

, если он применит свою 2-ю стратегию,

, если он применит свою 3-ю стратегию.

Полученные значения сводится в таблицу 1.

Таблица 3. Стратегия второго игрока

№ партии

Стратегия 2-го игрока

Выигрыш 1-го игрока



1

2

3

1

2

2

3

3


Из таблицы 3 видно, что при 2-й стратегии второго игрока первый получит наибольший выигрыш 3, используя свою 2-ю либо 3-ю стратегию. Поскольку первый игрок желает получить максимальный выигрыш, то он на 2-ю стратегию второго игрока отвечает своей 2-й стратегией. При 2-й стратегии первого игрока второй проиграет:

, если он применит свою 1-ю стратегию,

, если он применит свою 2-ю стратегию,

, если он применит свою 3-ю стратегию.

Таблица 4. Стратегия первого игрока

№ партии

Стратегия 1-го игрока

Проигрыш 2-го игрока



1

2

3

1

2

1

3

4


Из таблицы 2 видно, что при 2-й стратегии первого игрока второй игрок будет иметь наименьший проигрыш 1, если он применит свою 1-ю стратегию. Поскольку второй игрок желает проиграть меньше, то в ответ на 2-ю стратегию первого игрока он применит свою 1-ю стратегию. Полученные результаты сводятся в таблицу 5.

Таблица 5. Стратегии соответственно первого и второго игроков

№ партии

Стратегия 2-го игрока

Суммарный выигрыш 1-го игрока

Стратегия 1-го игрока

Суммарный проигрыш 2-го игрока

u

w

v



1

2

3


1

2

3




1

2

2

3

3

2

1

3

4

3

1

2

2

1












В табл. 5 в столбце стратегии второго игрока во второй строке находится цифра 1, которая указывает, что во второй партии второму игроку выгодно применять свою 1-ю стратегию; в столбце и находится наибольший средний выигрыш 3 первого игрока, полученный им в первой партии; в столбце w стоит наименьший средний проигрыш 1, полученный вторым игроком в первой партии; в столбце v находится среднее арифметическое v = (и + w) - т. е. приближенное значение цены игры, полученное в результате проигрывания одной партии игры. Если второй игрок применит свою 1-ю стратегию, то первый получит 3, 1, 2 соответственно при своих 1-й, 2-й, 3-й стратегиях, а суммарный выигрыш первого игрока за обе партии составит:

+ 3=5 при его 1-й стратегии,

+ 1=4 при его 2-й стратегии,

+ 2=5 при его 3-й стратегии.

Эти суммарные выигрыши записываются во второй строке табл. 3 и в столбцах, соответствующих стратегиям первого игрока: 1, 2, 3.

Из всех суммарных выигрышей наибольшим является 5. Он получается при 1-й и 3-й стратегии первого игрока, то ему можно выбирать любую из них; скажем, в таких случаях, когда имеются два (или несколько) одинаковых суммарных выигрышей, выбирают стратегию с наименьшим номером (в нашем случае надо взять 1-ю стратегию).

При 1-й стратегии первого игрока второй проиграет 3, 2, 3 соответственно 1-й, 2-й, 3-й его стратегиям, а суммарный проигрыш второго игрока за обе партии составит:

+ 3=4 при его 1-й стратегии,

+ 2=5 при его 2-й стратегии,

+ 3=7 при его 3-й стратегии.

Эти суммарные проигрыши записываются во второй строке табл. 5 и в столбцах, соответствующих 1-й, 2-й, 3-й стратегиям второго игрока.

Из всех суммарных проигрышей второго игрока наименьшим является 4. Он получается при его 1-й стратегии, следовательно, в третьей партии второй игрок должен применить свою 1-ю стратегию. В столбец и ставится наибольший суммарный выигрыш первого игрока за две партии, деленный на число партий, т. е. ; в столбец w ставится наименьший суммарный проигрыш второго игрока за две партии, деленный на число партий, т. е. ; в столбце v ставится среднее арифметическое этих значений, т. е. = Это число  принимается приближенное значение цены игры при двух «сыгранных» партиях.

Таким образом, получается следующая таблица 4, для двух партий игры.

Таблица 6. Суммарные выигрыш и проигрыш игроков при двух сыгранных партиях

№ партии

Стратегия 2-го игрока

Суммарный выигрыш 1-го игрока

Стратегия 1-го игрока

Суммарный проигрыш 2-го игрока

u

w

v



1

2

3


1

2

3




1

2

2

3

3

2

1

3

4

3

1

2

2

1

5

4

5

1

4

5

7

5/2

4/2

9/4

3

1












В третьей строке таблицы 6 в столбце стратегии второго игрока находится число 1, которое показывает, что в третьей партии второй игрок должен применить свою 1-ю стратегию. В этом случае первый игрок выигрывает 3, 1, 2, используя соответственно свои 1-ю, 2-ю, 3-ю стратегии, а его суммарный выигрыш за три партии составит:

+ 5 = 8 при его 1-й стратегии,

+4 = 5 при его 2-й стратегии,

+ 5 = 7 при его 3-й стратегии.

Эти суммарные выигрыши первого игрока записываются в третьей строке таблица 6 и столбцах, соответствующих его стратегиям 1, 2, 3. Так как наибольший суммарный выигрыш 8 первого игрока получается при 1-й стратегии, соответственно выбирает 1-ю.

При 1-й стратегии первого игрока второй проиграет 3, 1, 2 соответственно 1-й, 2-й, 3-й его стратегиям, а суммарный проигрыш второго игрока за обе партии составит:

+ 4=7 при его 1-й стратегии,

+ 5=7 при его 2-й стратегии,

+ 7=10 при его 3-й стратегии.

Эти суммарные проигрыши записываются во третьей строке табл. 6 и в столбцах, соответствующих 1-й, 2-й, 3-й стратегиям второго игрока. Из всех суммарных его проигрышей 7 является наименьшим и получается при его 1-й и 2-й стратегиях, далее второму игроку надо применить свою 1-ю стратегию.

В табл. 6 в третьей строке в столбце и записывается наибольший суммарный выигрыш первого игрока за три партии, деленный на число партии, т. е. ; в столбце w ставится наименьший суммарный проигрыш второго игрока за три партии, деленный на число партий, т. е. ; в столбце v ставится их среднее арифметическое

=  = .

Таким образом получаем табл. 7 для трех партий.

Таблица 7. Суммарные выигрыш и проигрыш игроков при трех сыгранных партиях

№ партии

Стратегия 2-го игрока

Суммарный выигрыш 1-го игрока

Стратегия 1-го игрока

Суммарный проигрыш 2-го игрока

u

w

v



1

2

3


1

2

3




1

2

2

3

3

2

1

3

4

3

1

2

2

1

5

4

5

1

4

5

7

5/2

4/2

9/4

3

1

8

5

7

1

7

7

10

8/3

7/3

15/6

4

1












Продолжая этот процесс далее, составим табл. 8 партии от четвёртой до двадцатой.

Таблица 8. Конечная таблица при двадцати сыгранных партиях

№ партии

Стратегия 2-го игрока

Суммарный выигрыш 1-го игрока

Стратегия 1-го игрока

Суммарный проигрыш 2-го игрока

u

w

v



1

2

3


1

2

3




4

1

11

6

9

1

10

9

13

11/4

9/4

15/8

5

2

13

9

12

1

13

11

16

13/5

11/5

24/10

6

2

15

12

15

1

16

13

19

15/6

13/6

28/12

7

2

17

15

18

3

18

16

19

15/7

16/7

31/14

8

2

19

18

21

3

20

19

19

21/8

19/8

40/16

9

2

21

21

24

3

22

22

19

24/9

19/9

43/18

10

3

24

25

24

2

23

25

23

25/10

23/10

48/20

11

1

27

26

26

1

26

27

26

27/11

26/11

55/22

12

30

27

28

1

29

29

29

30/12

29/12

59/24

13

1

33

28

30

1

32

31

32

33/13

31/13

64/26

14

2

35

31

33

1

35

33

34

35/14

33/14

68/28

15

2

37

34

36

1

38

35

37

37/15

35/15

82/30

16

2

39

37

39

1

41

37

40

39/16

37/16

76/32

17

2

41

40

43

3

43

40

40

43/17

40/17

83/34

18

2

43

43

46

3

45

43

40

46/18

40/18

86/36

19

3

46

47

46

2

46

46

44

47/19

44/19

91/38

20

1

49

48

48

1

49

47

46

49/20

46/20

95/40


Из табл. 7 и 8 видно, что в 20-ти проигранных партиях стратегии 1, 2, 3 для первого игрока встречаются соответственно 12, 3, 5 раз, следовательно, их относительные частоты соответственно равны ; стратегии 1, 2, 3 для второго игрока встречаются соответственно 7, 11,2 раза, следовательно их относительные частоты соответственно равны ; приближенное значение цены игры . Такое приближение достаточно хорошее.

Продолжая этот процесс далее, можно получить приближения цены игры и оптимальных смешанных стратегий обоих игроков сколь угодно близкими к истинным.

В заключение отметим, что, если игра имеет больше одного решения, то приближенные значения цены игры по-прежнему будут неограниченно приближаться к истинной цене игры, а относительные частоты появления стратегий игроков уже не обязательно будут приближаться к истинным оптимальным смешанным стратегиям игроков.

Анализ результатов

В данной курсовой работе изучен материал нахождения решения антагонистических игр графическим, матричным методом, методом последовательного приближения цены игры. Найдены оптимальные стратегии первого и второго игрока, а также цена игры в играх 2x2, 2xn и mx2, а так же в играх с использованием матричного метода и метода Брауна.

На примере пары была смоделирована игра 2x2, которая была решена алгебраическим и графическим методом. Решая игру алгебраическим методом решение показывает, что применяя свои оптимальные смешанные стратегии первый и второй игрок проведут вместе 4.6 часа. Графическое решение задачи получилось с небольшой погрешностью и составило 4.5 часа.

А так же были смоделированы две задачи 2xn и mx2. В задаче 2xn была рассмотрена с/х культура и стратегия показывает, что лучше поле засадить 50 на 50, а цена игры составила 3.75 млн. рублей. А в задаче mx2 была рассмотрена пара, стратегия которой показала, что дешевле пойти в парк и кино, а цена затраты составят 4.3 рублей.

Была смоделирована задача для матричного метода, в которой рассматривались два ресторана, решение задачи показало, что при применение свой оптимальной смешанной стратегии прибыль первого ресторана составит 15.6 млн. рублей, а при использовании своей оптимальной смешанной стратегии вторым рестораном, он не позволит первому заработать больше 15.6 млн. рублей. Решение графическим методом дало погрешность и цена игры составила 14.9 млн. рублей.

Для метода Брауна была составлена задача в которой рассматривается профсоюз и руководство компании, их задача обеспечить питание рабочих. При использовании обоими игроками своих оптимальных стратегий питание на человека составит 2.45 тыс. руб.

Список использованных источников

1) Вилисов В.Я. Конспект лекций «Теория игр и статистических решений», - Филиал - «Восход» МАИ. 1979. 146 с.

) Крушевский А.В. Теория игр, - Киев: Вища школа, 1977. - 216 с.

3) Черчмень У., Акоф Р., Арноф Л., Введение в исследование операций. - М.: Наука. 1967. - 488 с.

) http://www.math-pr.com/exampl_gt2.htm

5) <http://ru>.wikipedia.org/wiki/%D0%90%D0%BD%D1% 82%D0%B0%D0 %B3%D0%BE%D0%BD%D0%B8%D1%81%D1%82%D0%B8%D1%87%D0%B5%D1%81%D0%BA%D0%B0%D1%8F_%D0%B8%D0%B3%D1%80%D0%B0

Похожие работы на - Антагонистическая игра

 

Не нашли материал для своей работы?
Поможем написать уникальную работу
Без плагиата!
Без нейросетей!