Экономическая оценка эффективности применения композитов Ф-4СФ/полианилин в качестве рН-индикаторов

  • Вид работы:
    Курсовая работа (т)
  • Предмет:
    Химия
  • Язык:
    Русский
    ,
    Формат файла:
    MS Word
    1,34 Мб
  • Опубликовано:
    2015-06-24
Вы можете узнать стоимость помощи в написании студенческой работы.
Помощь в написании работы, которую точно примут!

Экономическая оценка эффективности применения композитов Ф-4СФ/полианилин в качестве рН-индикаторов

МИНИСТЕРСТВО ОБРАЗОВАНИЯ И НАУКИ РОССИЙСКОЙ ФЕДЕРАЦИИ

Федеральное государственное бюджетное образовательное учреждение высшего профессионального образования

"КУБАНСКИЙ ГОСУДАРСТВЕННЫЙ УНИВЕРСИТЕТ"

Кафедра физической химии





КУРСОВАЯ РАБОТА

ЭКОНОМИЧЕСКАЯ ОЦЕНКА ЭФФЕКТИВНОСТИ ПРИМЕНЕНИЯ КОМПОЗИТОВ Ф-4СФ/ПОЛИАНИЛИН В КАЧЕСТВЕ рН-ИНДИКАТОРОВ


Работу выполнил А.А. Мозговая

Научный руководитель,

ст. преподаватель, канд. хим. Наук C.А. Шкирская





Краснодар 2013

СОДЕРЖАНИЕ

Введение

........................................................................................ Аналитический обзор

.1............................... Классификация индикаторов и области их применения

.2................................................................ Строение и свойства полианилина

1.3    Композиционный материал полианилин-полимерная матрица как основа создания высокочувствительного газосенсора на аммиак

2............................................................................... Экспериментальная часть

2.1................................................................................. Объекты исследования

2.2    Синтез композитных материалов на основе пленки Ф-4СФ и полианилина

.3      Свойства полученных материалов Ф-4СФ/ПАн

2.4............................................ Сенсорные свойства композитов Ф-4СФ/ПАн

................................................................................. Результаты и обсуждения

3.1 Экономическая оценка эффективности применения композитов С-4СФ/ПАн в качестве рН-индикаторов

Заключение

Список использованных источников

ВВЕДЕНИЕ

В настоящее время актуальным является вопрос о создании нанокомпозитных материалов для применения в сенсорных системах и индикаторах. Интерес к исследованиям электропроводящих полимеров во многом обусловлен возможностью их применения в различных областях науки и техники. Важнейшим представителем этого класса полимеров является полианилин (ПАн), который может быть легко получен путем относительно несложного химического синтеза. В последнее время интенсивно развиваются исследования по разработке методов получения композиционных систем, позволяющих совместить уникальные свойства ПАН со свойствами полимерной матрицы, обеспечивающей необходимые механические и прочностные характеристики. Известно, что на основе перфторированных матриц и полианилина можно получить композитные материалы для экспрессного визуального определения pH-среды, а также применения в качестве обратимого безреагентного твердофазного индикатора при кислотно-основном титровании. Принципиальной особенностью предлагаемого кислотно-основного индикатора является его быстрая обратимость и высокая чувствительность к изменению рН-среды, что обусловлено нанесением слоев полианилина на незаряженную полимерную пленку Ф-4СФ, которая является прекурсором перфторированной сульфокатионитовой мембраны МФ-4СК.

Данная работа посвящена экономической оценки эффективности композитов Ф-4СФ/полианилин в качестве рН-индикаторов.

1. АНАЛИТИЧЕСКИЙ ОБЗОР

.1 Классификация индикаторов и области их применения

Индикатор - прибор, устройство, информационная система, вещество - объект, отображающий изменение какого-либо параметра контролируемого процесса или состояния объекта в форме, наиболее удобной для непосредственного восприятия человеком визуально, акустически, тактильно или другим, легко интерпретируемым, способом.

Индикаторы (позднелат. indicator - указатель) - химические вещества, изменяющие окраску, люминесценцию или образующие осадок при изменении концентрации какого-либо компонента в растворе. Указывают на определенное состояние системы или на момент достижения этого состояния.

По технике применения различают внутренние и внешние индикаторы. Более распространенные внутренние индикаторы непосредственно вводят в титруемый раствор. Внешние индикаторы применяют тогда, когда нельзя использовать внутренние. С помощью внешних индикаторов полноту оттитрования проверяют в пробах (каплях), последовательно отбираемых из титруемого раствора на часовое стекло или фарфоровую пластину.

По обратимости возникновения различают индикаторы обратимые и необратимые. Обратимые индикаторы - это соединения, способные существовать в двух или более формах, причем переход одной формы в другую форму обратим. Большинство известных индикаторов относятся к этому типу. Например, индикатор метиловый оранжевый окрашен в желтый цвет в щелочной среде, а в кислой - в красный. Переход желтой формы в красную может происходить любое число раз в зависимости от изменения рН раствора, т.е. в зависимости от недостатка или избытка введенного титранта или определяемого вещества. Необратимые индикаторы - это соединения, которые разрушаются при введении избытка реагента и окраска которых не восстанавливается добавлением анализируемого раствора. Тот же метиловый оранжевый может быть примером необратимого индикатора в окислительно-восстановительных реакциях. Одна избыточная капля титранта окислителя необратимо обесцвечивает индикатор. Необратимые индикаторы менее удобны и применяются редко.

Индикаторы применяют чаще всего для установления конца какой-либо реакции, главным образом конечной точки титрования. В соответствии с титриметрическими методами различают следующие виды индикаторов:

·        кислотно-основные;

·        окислительно-восстановительные;

·        комплексонометрические;

·        осадительные;

·        адсорбционные.

Кислотно-основные индикаторы представляют собой растворимые органические соединения, которые меняют свой цвет или люминесценцию в зависимости от концентрации ионов Н+ (рН среды).

Применение для установления конца реакции между кислотами и основаниями (в том числе при кислотно-основном титровании) или других реакций, если в них участвуют ионы Н+, а также для колориметрического определения рН водных растворов. Наиболее важные кислотно-основные индикаторы приведены в таблице 1.

Интервал значений pH (интервал перехода), в котором наблюдается изменение окраски, связан с константой диссоциации индикатора (pK) соотношением pH = pK ± 1.

При проведении анализа индикатор выбирают таким образом, чтобы интервал перехода окраски включал то значение pH, которое раствор должен иметь в точке эквивалентности.

Наиболее часто анализы методом нейтрализации проводят с метиловым оранжевым (интервал перехода 3,1-4,4), метиловым красным (4,2-6,3), фенолфталеином (8,0-9,8).

Таблица 1 - Значения рН перехода наиболее распространенных индикаторов

Индикатор и номер перехода

Интервал рН и номер перехода

Окраска



в кислой среде

в щелочной среде

Метиловый фиолетовый

0,13-0,15 [I]

желтый

зеленый

Метиловый фиолетовый [II]

1,0-1,5 [II]

зеленый

синий

Метиловый фиолетовый [III]

2,0-3,0 [III]

синий

фиолетовый

(Ди)метиловый желтый

3,0-4,0

красный

желтый

Бромфеноловый синий

3,0-4,6

желтый

Метиловый оранжевый

3,1-(4,0) 4,4

красный

оранжево-желтый

Метиловый красный

4,2(4,4)-6,2(6,3)

красный

желтый

Хлорфеноловый красный

5,0-6,6

желтый

красный

Лакмус (азолитмин)

5,0-8,0 (4,5-8,3)

красный

синий

Нейтральный красный

6,8-8,0

красный

янтарно-желтый

Феноловый красный

6,8-(8,0) 8,4

желтый

ярко-красный


Причина изменения цвета индикаторов в том, что присоединение или отдача протонов его молекулами связаны с заменой одних хромофорных групп другими или с появлением новых хромофорных групп.

Хромофоры - ненасыщенные группы атомов, обуславливающие цвет химического соединения. К хромофорам относят азогруппу -N=N-, нитрогруппу -NO2, нитрозогруппу -N=O, карбонильную группу =С=О, сопряженные системы двойных связей [1].

Окислительно-восстановительные индикаторы - вещества, способные изменять окраску в зависимости от окислительно-восстановительного потенциала раствора. Применяют для установления конечной точки титрования окислительно-восстановительного титрования и для колориметрического определения окислительно-восстановительного потенциала (преимущественно в биологии). Такими индикаторами служат, как правило, вещества, которые сами подвергаются окислению или восстановлению.

Комплексонометрические индикаторы - вещества, образующие с ионамиметаллами окрашенные комплексы, по цвету отличающиеся от самих индикаторов. Применяются для установления конечной точки титрования в комплексонометрии.

Осадительные приводят к возникновению осадка с избытком титрана.

Адсорбционные индикаторы - вещества, способные адсорбироваться на поверхности осадка и менять при этом окраску или интенсивность люминесценции. Эти индикаторы, как правило, обратимы и используются в осадительном титровании. В первую очередь осадком адсорбируются ионы, идентичные тем, которые входят в состав самого осадка, после чего адсорбируется индикаторы. Большая группа индикаторов - красители, адсорбирующиеся поверхностью осадка с образованием солей с ионами, содержащимися в осадке.

Для титрования мутных и окрашенных растворов, когда переход окраски цветопеременных индикаторов неразличим, применяют люминисцентные и хемилюминисцентныеиндикаторы. Люминисцентные (например, эозин, хинин и др.) при освещении титруемого раствора УФ-излучением вызывают изменение цвета его свечения (люминисценции) независимо от степени окраски или прозрачности раствора. Действие хемилюминисцентных индикаторов основано на возникновении или исчезновении излучения видимого света при определенном значении рН среды за счет выделения энергии химической реакции (люминол, сидоксен и др.) [6].

Различают специфические, индивидуальные, смешанные и универсальные индикаторы. Специфические индикаторы позволяют обнаружить только одно конкретное вещество. Смешанный индикатор - это смесь двух разных индикаторов или смесь, состоящая из индикатора и нейтрального красителя, окраска которого не изменяется при разных рН (например, метиловый оранжевый с индиго-кармином). Смешанные индикаторы применяют, чтобы сделать переход окраски более контрастным.

Универсальные индикаторы - это смесь нескольких индикаторов, приобретающих различную окраску при нескольких значениях рН, что позволяет судить о величине рН по всему диапазону шкалы.

К твердым индикатором относят универсальную лакмусовую бумагу. Бумагу пропитывают раствором смеси индикаторов и, поэтому, она окрашивается в разные цвета в разных средах: в кислой среде наблюдается красная окраска лакмуса, в щелочной - синяя, а в нейтральной среде - фиолетовая. Например, в азотной кислоте бумага изменяет свой цвет на тёмно-красный. Существуют другие кислоты, в которых бумажка меняет свой цвет на красный. Это серная кислота, соляная и др. Эти кислоты называются сильными кислотами. А такие кислоты, как уксусная, лимонная, винная и др., относящиеся, главным образом, к большому классу химических веществ - органических, называются слабыми. В таких кислотах лакмусовая бумага приобретает розовый цвет.

Значит, с помощью индикаторной бумаги можно определить сильную и слабую кислоту, если они имеют раствор примерно одинаковой концентрации [11, 15].

Электронный индикатор - это электронное показывающее устройство, предназначенное для визуального контроля за процессами и сигналами. Электронные индикаторы устанавливаются в различное бытовое и промышленное оборудование для информирования человека об уровне или значении различных параметров, например, напряжения, тока, температуры, заряде батареи и т.д. Электронный индикатор помогает человеку быстро и наглядно оценить необходимые параметры, особенно которые человек непосредственно не может определить с помощью своих органов чувств. Если требуется высокая точность такой оценки, устанавливаются многоразрядные цифровые индикаторы, в случаях, когда точность не требуется и необходимо увидеть лишь наличие или отсутствие сигнала, применяют единичные индикаторы.

Понятие электронный индикатор объединяет множество различных устройств, и классификация может быть выполнена по различным признакам - конструктивным особенностям, способам управления и по назначению. В литературе встречаются различные способы классификации индикаторов:

По назначению - в зависимости от размера и места установки:

·              индивидуальные

·              групповые

·              коллективного пользования

По цвету:

·              Одноцветные - цвет которых определяется конструкцией.

·              Многоцветные - индикаторы, имеющие возможность передавать информацию различным цветом или оттенками цвета. Обычно имеют ограниченное количество передаваемых цветов. Характерным примером могут быть индикаторы опасности, имеющие в обычном состоянии зеленый цвет, а в случае, требующем внимания - желтый или красный цвет.

·              Полноцветные - индикаторы, имеющие возможность передавать все оттенки воспринимаемого человеческим глазом цвета.

По способу передачи информации:

·              аналоговые- передают информацию яркостью или оттенком цвета.

·              дискретные - передают информацию количеством и совокупностью элементов [4].

Применение индикаторов характеризуется, прежде всего, тем, что именно этими приборами электроника широко входит в быт человека. Можно упомянуть такие изделия, как электронные цифровые часы, калькуляторы, автомобильные индикаторные панели, настроенные шкалы радиоприемников, указатели программ телевизоров, индикаторы кухонного оборудования. В промышленности эти приборы являются обязательным элементом периферийных устройств ЭВМ, автоматизированных систем управления, контрольно-измерительной аппаратуры, сервисных устройств транспортных и связных систем. В военной технике системы отображения информации необходимы на командных пунктах, в различных навигационных устройствах, системах наведения, в приборных щитах самолетов, танков, подводных лодок.

Создание информационной базы, аккумулирующей в себя индикаторы качественной медицинской помощи, позволит в короткие сроки внедрить систему управления качеством медико-социальной помощи населению. Индикаторы качества в данной системе будут играть ключевую роль и отражать ее основные характеристики, такие как эффективность, безопасность, своевременность, способность удовлетворить ожидания и потребности пациентов, стабильность осуществления лечебного процесса и результата и т.д..

Все это предопределяет массовое производство индикаторных приборов: годовой выпуск приборов (в пересчете на знак) превышает 1 млрд., объем производства почти такой же, как у диодов всех типов, очень высоки и темпы роста - удвоение объема за 5-6 лет [7, 8, 12].

.2 Строение и свойства полианилина

Полианилин (ПАн) - это один из представителей класса электропроводящий полимеров, история которых началась в 1977 г. с синтеза электропроводящего полиацетилена. Благодаря наличию протяженной системы они обладают свойствами, типичными для полупроводников. Полианилин представляет большой и научный и практический интерес, поскольку обладает уникальным комплексом свойств: окислительно-восстановительной активностью, широким диапазоном изменения электронной проводимости, наличием ионной проводимости. Благодаря высокой термической и химической стабильности и низкой себестоимости ПАНИ первым среди электропроводящих полимеров стал использоваться на практике. Он применяется в энергосберегающих устройствах, используется для экранирования от электромагнитного излучения и как ингибитор коррозии черных и цветных металлов, служит активным компонентом химических сенсоров, проходит испытания в медицине и в качестве каталитически активного материала.

Исследование строения макромолекул электропроводящего полианилина показало, что структура его цепей в высокой степени регулярна. Мономерные звенья анилина связаны по типу "голова-хвост". Таким образом, ПАНИ состоит из регулярно чередующихся бензольных колец и азотсодержащих групп. Более того, практически все мономерные звенья имеют пара-структуру. Такая организация макромолекул позволяет создать протяженную систему сопряжения и обеспечить высокий уровень электропроводности; в отдельных случаях даже проявляются металлические свойства.

Полианилин может находиться в различных состояниях окисления, т.е. содержать различное число окисленных атомов азота в основной цепи.

Рисунок 1 - Схематическое представление различных форм ПАн [22]

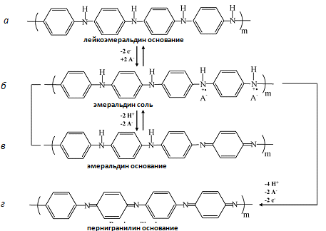
Как следует из рисунка 1, проводящие формы полианилина представляют из себя систему чередующихся фрагментов типа А - В с двумя повторяющимися единицами: аминных и иминных групп [18]. Такая структура называется блочной, состоящей из участков полностью окисленных или полностью восстановленных мономерных звеньев. Аминные фрагменты полианилина являются восстановленной формой , а полностью окисленной - хинониминные фрагменты. Промежуточной степени окисления соответствуют катион-радикальные состояния . В этих участках происходит образование комплексов с переносом зарядов, появление делокализованных электронов, а также образование полуокисленных форм. При этом атом азота активно участвует в образовании связей.

Благодаря наличию основных аминных и иминных атомов азота полианилин взаимодействует с кислотами, давая соли полианилина (рисунок 1 б) [17]. Именно в виде соли полианилин получают при синтезе в кислой среде, при этом происходит окислительная поликонденсация анилина. Взаимодействие солей с растворами щелочей или аммиака переводит полианилин в основание (рисунок 1 б, в).

Выделяют три основных состояния окисления полимера: восстановленная форма - лейкоэмералдин, в котором атомы азота не окислены; средняя степень окисления - эмералдин, в котором окислен каждый второй атом азота; и высшая степень окисления - пернигранилин, в котором окислены все атомы азота.

В работе Wang [32] было показано, что в эмеральдин-основании наряду с бензоидными (0,51 %) и хиноидными (0,40 %) атомами азота обнаружено 0,09 % положительного азота, заряд которых компенсирован суммой зарядов Cl- и OH-. Автор предложил модифицированную химическую формулу эмеральдин-основания с OH- - ионами в качестве противоионов (рисунок 1.2).


Рисунок 2 - Химическая формула эмеральдин-основания [32]

Как следует из ряда работ, полианилин, как проводящий полимер, имеет особый тип проводимости, который называется металлическим, или поляронным. Хотя механизм поляронной проводимости полимеров этого класса до конца не выяснен, можно привести здесь некоторые особенности прохождения тока в таких полимерах.

Рисунок 3 - Схематическое представление механизма проводимости в полианилине: "+" - катион-радикалы, "-" - атомы нейтрального азота [22]

На рисунках 4 - 6 приведены схематические изображения молекулярного дизайна полимерных структур полианилина, по данным разных авторов, которые применяли как расчётные, так и структурные методы [19,20].

Учитывая существенную зависимость химического состояния полианилина от условий его образования и переходы между проводящими и непроводящими формами, очень сложно количественно оценить электропроводность этого полимера. Однако интерес к полианилину и другим проводящим полимерам возрастает после 2000 года, когда внимание к этим полимерам было привлечено присуждением Нобелевской премии по химии Мак-Диармиду, Хегеру и Ширагава [26]. По данным Science Direct количество публикаций по проводящим полимерам в 2010 составило 5000 статей, из которых 48 % посвящено полианилину.

Рисунок 4 - Схематическое представление формирования блочной структуры ПАн при матричном синтезе [19]

Рисунок 5 - Рассчитанные молекулярные структуры ПАн (а) и соль ПАн (б) [20]

Рисунок 6 - Схематическое строение спиральной структуры интерполимерного комплекса полианилина (спираль серого цвета) и поли-(2-акриломидо-2-метил-1-пропан-сульфоновой кислота) (спираль красного цвета), по данным [19]

.3 Композиционный материал полианилин-полимерная матрица как основа создания высокочувствительного газосенсора на аммиак

Полианилин, обладающий высокой электропроводностью, представляет значительный практический интерес, однако такие качества полианилина, как невысокая пластичность, низкая растворимость и достаточно высокая температура плавления, ограничивают возможность его практического применения, поэтому в последнее время все больший интерес вызывают различные композиционные материалы на основе полианилина. Такие материалы применяют для создания как газосенсоров, так и биосенсоров. Известны методы, позволяющие определить влияние природы инициатора и полимерной матрицы на чувствительность газосенсора на аммиак на основе композиционных материалов, состоящих из полианилина и полимерных матриц, таких как найлон-6 и полиэтилен.

Электропроводящий композиционный материал на основе полианилина получали полимеризацией анилина в кислой среде (в 1М HCl в присутствии матриц найлон-6 или полиэтилена. В качестве инициатора использовали 0, 5 М раствор персульфата аммония (NH4)2S2O8 в 1М HCl. Пленки найлона-6, набухшие в водном растворе анилина до равновесного состояния, или пленки полиэтилена помещали в раствор анилина в 1М HCl, к которому добавляли водный раствор персульфата аммония (0,5М) илии хлорида железа (0,5М). Соотношение концентраций инициатора к анилину составляло 1,2:1. Полимеризацию проводили в течение 30 мин при 250С. После проведения реакции пленки промывали дистиллированной водой и сушили на воздухе в течение 24 часов.

Результаты проведения опыта [13] показали, что получение композиционного электропроводящего материала найлона-6 полианилином состоит из двух стадий. На первой из них проводится насыщение пленки полиамида анилином из раствора анилина. Полимеризация анилина осуществляется на второй стадии при помещении полимерной пленки, содержащей анилин, в раствор инициатора. В процессе полимеризации исходные пленки приобретают темную окраску, и одновременно с потемнением пленок происходит образование осадка полианилина в окружающем пленки растворе.

Структура композиционных материалов на основе полианилина и таких полимерных матриц, как найлон-6 или полиэтилен, полученных в результате окислительной полимеризации анилина под действием персульфата аммония была изучена метом ИК-спектроскопии. Из литературных данных известно, что для полианилина отношение интенсивностей полос пропускания при 1589 и 1499 см-1, характерных для плоскостных валентных колебаний связей С=С в хинондииминных и С-С в фенилдиаминных фрагментах, является качественной мерой степени окисления полианилина: чем меньше отношение, тем больше восстановленных единиц присутствует в структуре полианилина. Отношение интенсивности хиноидных к интенсивности бензольных колец в ПАни для композиционных материалов на основе полианилина независимо от типа полимерной матрицы, полученной под действием персульфата аммония, равно 0,8, что несколько выше чем наблюдали для эмеральгида (0,6).

Композиционный материал на основе ПАн и найлона-6 характеризуется значение электропроводности около 12 См/см, что в 4 раза превышает электропроводность ПАн на матрице полиэтилена или порошка (3 См/см). Этот факт также можно объяснить дополнительным структурированием ПАн на матрице найлона-6 за счет возможности образования водородных связей с матрицей.

Из литературных данных известно, что электропроводность ПАн обратимо зависит от pH среды. Возможность ПАн изменять свою электропроводность при депротонировании может быть использована для создания газосенсора на аммиак, также проявляющего слабоосновные свойства. Для исследования чувствительности композиционных материалов на основе ПАн и полимерных матриц оценивали изменение удельного поверхностного сопротивления ПАн в композитной пленке от концентрации аммиака в воздухе. Зависимость сопротивления пленки композиционного материала ПАНИ-Найлон-6 от концентрации аммиака представлена на рисунке 7.

Как видно на рисунка 7, сопротивление ПАн в композиционном материале монотонно возрастает с увеличением концентрации аммиака, что свидетельствует о постепенном депротонировании ПАн. Следует отметить, что при увеличении степени депротонирования ПАн зависимость будет выходить из плато, однако это наблюдается при достаточно высоких концентрациях аммиака около 50 мг/мл, что указывает на широкий рабочий диапазон сенсора.

Рисунок 7 - Изменение сопротивления пленки при низких концентрациях газообразного аммиака

Таким образом, в работе было изучено влияние природы инициатора и полимерной матрицы на структуру и свойства композиционных материалов. Показана возможность использования композиционных материалов на основе ПАНИ в качестве высокочувствительных сенсоров на аммиак (концентрация аммиака от 10-7 до 5*10-2 г/мл) [13].

2. ЭКСПЕРИМЕНТАЛЬНАЯ ЧАСТЬ

.1 Объекты исследования

Для получения композиционных материалов на основе полианилина в качестве объектов исследования использовали анилин (АНИ) фирма ICN Biomedicals Inc. (США), который предварительно перегоняли в вакууме в токе инертного газа, а также пленка Ф-4СФ (прекурсор мембраны МФ-4СК), изготовленная в ОАО "Пластполимер" (Санкт-Петербург, Россия), композиты на основе после модифицирования полианилином. Данные ИК-спектроскопии были получены в институте физической химии и электрохимии им. А.Н. Фрумкина РАН. УФ-спектры исследуемых образцов регистрировали с использованием спектрофотометра "Hitachi U-2900" (Япония) в НОЦ "Диагностика структуры и свойств наноматериалов" КубГУ. Измерение толщины слоя полианилина в композитах проводили с помощью микроскопа "ERGAWAL", Karl Zeis (Германия) на физико-техническом факультете КубГУ.

.2 Синтез композитных материалов на основе плёнки Ф-4СФ и полианилина

В данной работе было проведено большое число опытов по выбору условий синтеза для создания композитных материалов на основе сульфонилфторидной матрицы и полианилина.

Первые образцы пытались получить методом встречной диффузии, предварительно выдержав их в этиловом спирте в течение 2 суток и в анилине в течение суток. Встречная диффузия проводилась с использованием растворов 0,1 М анилина на 1 М кислоте и 0,125 М персульфата аммония. Выбор концентраций был обусловлен анализом литературных данных по модифицированию незаряженных плёнок [30,31] с целью получения полианилина в проводящей форме эмеральдина (зеленая окраска полимера). Однако после выдерживания сульфонилфторидной матрицы в ячейке под воздействием полимеризующих растворов в течение 2 часов изменение окраски не наблюдалось. Через 12 часов выдерживания мембраны в ячейке с полимеризующими растворами изменений окраски не наблюдалось.

Кипячение исходной матрицы в воде и в кислоте в течение 2 часов с последующим выдерживанием в растворах 1 М анилина на 1 М кислоте и 0,5 М персульфата аммония, так же не привело к полимеризации анилина в матрице сульфонилфторидной мембраны.

Так как незаряженная матрица является гидрофобной и очень плотной, то для расширения структуры, с целью проникновения модифицирующих растворов в объём мембраны, использовали различные органические растворители: сульфолан, тетрагидрофуран (ТГФ), ацетонитрил, трихлорэтилен, этиловый спирт. Используя вышеперечисленные растворители, варьировались стадии синтеза, концентрации полимеризующих растворов и время выдерживания полимерной матрицы в рабочих растворах. Было проведено 23 различных опыта по синтезу полианилина в сульфонилфторидной матрице. Большинство полученных образцов имели бледную неоднородную окраску, а некоторые - слабоокрашенный слой полианилина на поверхности, который был механически не прочным и легко смывался раствором. Только в нескольких образцах произошла полимеризация анилина в сульфонилфторидной матрице, и образцы имели однородную изумрудную окраску. Таким образом, был выбран оптимальный режим синтеза композитной мембраны Ф-4СФ/ПАн [9].

Синтез ПАн в плёнке Ф-4СФ осуществляли при комнатной температуре с использованием солянокислого раствора фениламмония и растворов персульфата аммония в качестве инициатора полимеризации при следующей последовательности операций:

1)      выдерживание базовой плёнки Ф-4СФ в растворителе (1-2 суток),

2)      выдерживание в смеси растворителя и анилина (2 суток),

)        последовательное насыщение растворами персульфата аммония (2 ч.),

а) мольное соотношение анилин/персульфат 1:1

б) мольное соотношение анилин/персульфат 1:4

4)      насыщение раствором солянокислого фениламмония (2 ч.).

Все операции выполнялись при перемешивании растворов. При этом варьировались концентрация рабочих растворов и время выдерживания полимерной матрицы в них. Условия проведения некоторых синтезов представлены в таблице 2.

Таблица 2 - Условия модифицирования некоторых образцов

№ образца

Растворитель

Последовательность выполнения операций

1

ТГФ

2 → 3 а → 4

2

ТГФ

2 → 3 б→ 4

3

Трихлорэтилен

2 → 3 а→ 3 б →4

4

Ацетонитрил

2 → 3 а → 3 б → 4

5

ТГФ

1 → 2 →3 а→3 б →4

6

Сульфолан

2 → 3 а →3 б →4

7

Сульфолан

1 → 2→ 3 а →3 б → 4

8

ТГФ

2 → 3 а →3 б → 4


Полимерная плёнка Ф-4СФ представляет собой плотный, гидрофобный материал, не смачиваемый водой и водными растворами мономера и окислителя полимеризации, что не позволяет осуществить матричный синтез ПАн без предварительной подготовки плёнки. В связи с этим была разработана методика синтеза Ф-4СФ/ПАн, включающая предварительное выдерживание плёнки в органическом растворителе и в неводном растворе мономера, с целью обеспечения диффузии реагентов вглубь полимерной матрицы. Таким образом, на 1 и 2 стадиях синтеза, описанных выше, полимер не контактировал с водными растворами и только на 3 и 4 стадиях применялись водные растворы реагентов, взаимодействие которых приводило к образованию равномерно окрашенной в изумрудно-зелёный цвет плёнки. Это является визуальным признаком образования полианилина в форме эмеральдин-соль.

Можно предложить следующий механизм образования полианилина: обработка плёнки Ф-4СФ растворителями позволяет расширить межцепные каналы на поверхности гидрофобной матрицы. Возможно, этому способствуют сольватация сульфонилфторидных групп, а также эфирных кислородов в боковых сегментах перфторированной матрицы молекулами полярных органических растворителей. Образовавшиеся каналы являются теми нанореакторами, в которые могут войти водные растворы компонентов, при этом необходимо, чтобы стенки каналов были покрыты анилином. Поскольку, видимых изменений в плёнке после насыщения раствором персульфата аммония (3 стадия) не наблюдается, то необходимым условием является сорбция раствора фениламмония, вслед за сорбцией окислителя [21].

.3 Свойства полученных материалов Ф-4СФ/ПАн

Измерения спектральных характеристик в УФ и видимой области спектра позволили идентифицировать появление полианилина с помощью характерных пиков (рисунка 8). Как показано в ряде работ, пики поглощения при 300 - 400 нм и 800 - 900 нм соответствуют химической форме полианилина в виде катион-радикала и полярона соответственно [15, 27, 28, 29] (рисунка 1 б, гл.1). № 5, 6, 7, 8).


Рисунок 8 - Спектры поглощения в УФ и видимой области: 1-8 - образцы Ф-4СФ/ПАн после различных методов модифицирования как в таблице 2

индикатор полианилин полимерный композитный

Как видно из рисунка 8, самые низкие пики поглощения наблюдаются у образцов № 1, 2, 3 и 4, что говорит о небольшой степени насыщения полианилином. У образцов № 1 и 2 была изменена последовательность синтеза, предложенная нами ранее. Для образцов 3 и 4 использовались растворители трихлорэтилен и ацетонитрил. Эти образцы имели менее интенсивное окрашивание, чем 5, 6, 7 и 8. Более высокая степень поглощения (А на спектрах) и, соответственно, более высокое содержание полианилина наблюдается при использовании растворителей сульфолан и ТГФ с применением разработанной методики синтеза (образцы

Поперечный срез мембраны Ф-4СФ/ПАн (рисунок 10) был исследован на оптическом микроскопе ERGAWAL (увеличение 120 раз). На срезе мембраны Ф-4СФ/ПАн видны интенсивно окрашенные модифицированные полианилином поверхностные слои с двух сторон полимерной незаряженной плёнки, что свидетельствует о расположении полианилина в поверхностных слоях. Толщина мембраны Ф-4СФ/ПАн существенно не отличается от исходного полимера и составляет в среднем 150 мкм, что свидетельствует об отсутствии значительных по толщине слоёв полианилина на поверхности образца. Из рисунка 10 видно, что модифицированный полианилином слой составляет 6 - 7% от толщины всего образца, что соответствует ≈ 10 мкм. Композитный материал приобретает ионообменные свойства - обменная ёмкость по аниону Cl- (Q = 0,18 мг-экв/гнаб), и слабые гидрофильные свойства (влагосодержание W = 6 %). Содержание воды в исследуемых образцах определялось методом воздушно-тепловой сушки. Определение статической обменной ёмкости (СОЕ) мембран осуществлялось методом смещения равновесия с избытком титранта [2].

Рисунок 9 - Фотография поперечного среза полимера Ф-4СФ/ПАн


Рисунок 2.4 - Краевые углы смачивания исходной плёнки Ф-4СФ (а) и композитной мембраны Ф-4СФ/ПАн (б)

На основании проведённых экспериментальных данных можно предположить, что мембрана Ф-4СФ/ПАн состоит из гидрофобной полимерной незаряженной плёнки сополимера тетрафторэтилена и перфтор(3,6-диокса-4-метил-7-октен)сульфонилфторида (сополимер Ф-4СФ) 1, расположенной между двумя поверхностными слоями мембраны 2, модифицированными полианилином; двух внешних нанослоёв полианилина 3, расположенных на поверхностных слоях мембраны 2 (рисунок 10).

Рисунок 10 - Схема многослойной композитной мембраны Ф-4СФ/ПАн

Таким образом, мы получили материал [9], поверхность которого с двух сторон покрыта наноразмерным внешним слоем полианилина, который образован на модифицированном полианилином поверхностном слое  Ф-4СФ/ПАн (рисунке 10).

.4 Сенсорные свойства композитов Ф-4СФ/Пан.

Было отмечено, что поверхностные слои полианилина при изменении рН-среды характеризуются отчетливыми переходами окраски (в кислой среде изумрудно-зеленая, в нейтральной - васильковая, в щелочной - фиолетовая), малым временем отклика и хорошей обратимостью электрохромных переходов (рисунок 11).

Рисунок 11 - Фотографии модифицированных мембран Ф-4СФ/ПАн: а) кислая среда; б) нейтральная среда; в) слабощелочная среда

Принимая во внимание изменение степени окисления полианилина в зависимости от рН-среды, были исследованы сенсорные свойства полианилина, образованного в поверхностных слоях полимера Ф-4СФ. Для этого полученные плёнки в форме эмеральдин-соль помещались в растворы с различным рН и снимались спектры поглощения в УФ и видимой областях (рисунке 12).

Спектры были записаны на одном и том же образце, который был уравновешен при различных pH раствора в диапазоне от 1,65 до 12,43. Смещение максимумов поглощения в зависимости от pH-среды объясняется изменением соотношения хинониминных и катион-радикальных фрагментов в полианилине [10]. Из рисунка 12 видно, что при переходе из кислой среды (рН 1,65) к щелочной (рН 12,43) максимум поглощения смещается от 850 нм, что соответствует полианилину в форме протонированного эмеральдина, к 570 нм, что соответствует форме эмеральдин-основание.

Рисунок 12 - Спектры поглощения в УФ и видимой области в зависимости от рН среды: 1 - 1,65; 2 - 3,56; 3 - 4,01; 4 - 6,86; 5 - 9,18; 6 - 12,43

На рисунке 13 представлены зависимость величины поглощения от рН-среды для композита Ф-4СФ/ПАн.

Рисунок 13 - Зависимость величины поглощения от рН-среды для композитного образца Ф-4СФ/ПАн

Из рисунка видно, что кривые имеют резко-возрастающий и убывающий характер. Композитный образец с полианилином в форме эмеральдин-соль начинает дедопироваться уже при рН = 2. Также полианилин в форме эмеральдин-основание начинает редопироваться при рН = 12. Процесс дедопирования/редопирования является обратимым.        Таким образом, полученные плёнки Ф-4СФ/ПАн можно использовать в качестве датчика для определения рН растворов в широком диапазоне от 2 до 12. Эти эффекты связаны с доступностью слоёв полианилина на поверхности плёнки, обеспечивающей быстрое насыщение слоя контактирующим раствором [20].

В данной работе найдены условия для нанесения анионообменных слоёв полианилина на поверхность гидрофобной незаряженной плёнки  Ф-4СФ. Выбраны органические растворители, обработка которыми исходного образца Ф-4СФ, позволяет осуществить синтез слоёв полианилина путём самосборки на инертной подложке. Показано, что наноразмерные слои полианилина в форме эмеральдин-соль, придают поверхности гидрофильные и анионообменные свойства, а также характеризуются высокой чувствительностью и обратимостью к изменению pH-среды. Таким образом, полученные мембраны Ф-4СФ/ПАн могут служить перспективным материалом для применения в сенсорных системах для определения рН-среды от 2 до 12. На способ получения многослойной композитной мембраны Ф-4СФ/ПАн получено положительное решение о выдаче патента РФ [9].

3. РЕЗУЛЬТАТЫ И ОБСУЖДЕНИЯ

.1 Экономическая оценка эффективности применения композитов Ф-4СФ/полианилин в качестве рН-индикаторов

Было проведено исследование для определения экономической оценки эффективности применения композитов Ф-4СФ/полианилин по сравнению с традиционными индикаторами.

В качестве объектов исследования использовали традиционный индикатор фенолфталеин, затраты которого составляют 200 г в год и композитный материал Ф-4СФ/ПАн, который получают, используя анилин (2мл), сульфолан (50 мл) и кусочек материала Ф-4СФ 3х3 м2.

Для получения композита Ф-4СФ/полианилин стоимость будет определяться исходя из следующих затрат:

         пленка Ф-4СФ 3х3 м2 - 9 рублей;

         Анилин (2мл) - 1,5 рублей (1 кг стоит 728,06 рублей);

         сульфолан (50 мл) - 200 рубля (стоимость за 500 мл - 2003,36 рублей);

         персульфат аммония (50 мл) - 35 (стоимость за 1 кг - 700 рублей).

Таким образом, стоимость получения композита Ф-4СФ/полианилин будет составлять 246 рублей.

ЗАКЛЮЧЕНИЕ

В результате синтеза ПАн в пленке Ф-4СФ был получен композитный материал Ф-4СФ/ПАн для кислотно-основного титрования.

Проанализировав расчеты по определению экономической оценки эффективности применения композитов Ф-4СФ/полианилин в качестве рН-индикаторов по сравнению с традиционным, можно сделать следующие выводы.

Стоимость получения композита Ф-4СФ составляет 246 рублей в год, стоимость фенолфталеина - 360 рублей. Отсюда следует, что использование твердофазного кислотно-основного индикатора Ф-4СФ/полианилин, чем традиционного.

Принципиальной особенностью полученного кислотно-основного индикатора является его быстрая обратимость, так как он может быть регенерирован кислотой или основанием. Это позволит экономить ценные, дорогостоящие химические реактивы-индикаторы, а также избежать загрязнения сточных вод вредными органическими соединениями, которыми характеризуются сливы при использовании традиционных кислотно-основных индикаторов.

СПИСОК ИСПОЛЬЗОВАННЫХ ИСТОЧНИКОВ

 

Бейтс Р., Определение рН. Теория и практика, пер. с англ., 2 изд., Л., 1972.

Березина, Н.П. Физико-химические свойства ионообменных материалов / Н.П. Березина, Н.А. Кононенко, Г.А. Дворкина, Н.В. Шельдешов. - Практикум. Краснодар: КубГУ, 1999. - 82 с.

Березина, Н.П. Электротранспортные и структурные свойства перфторированных мембран Нафион-117 и МФ-4СК / Н.П. Березина, С.В. Тимофеев, А.-Л. Ролле, Н.В. Федорович, С. Дюран-Видаль // Электрохимия. − 2002.− Т. 38. − С. 1009-1015.

ГОСТ 25066-91 Индикаторы знакосинтезирующие. Термины, определения и буквенные обозначения

Гнусин, Н.П. Электротранспорт воды и селективные свойства ионообменных мембран / Н.П. Гнусин, О.А. Демина, Н.П. Березина, С.Б. Паришков // Теория и практика сорбционных процессов. - 1999. - T.25. - С. 213-220.

. Денеш И.Индикаторы, пер. с англ., т. 1-2, М., 1976.

. Ермаков О.Н., В.П. Сушков Полупроводниковые знакосинтезирующие

индикаторы. - М.: Радио и связь, 1990. - 240 с.

Забродин Ю.С. Промышленная электроника. Учебник для вузов. - М.: Высшая школа, 1982. - 496 с.

Заявка на полезную модель РФ № 2011117672/05 (026219), Многослойная композитная мембрана / Березина Н.П., Шкирская С.А., Колечко М.В., Тимофеев С.В. 03.05.2011 (положительное решение).

Иванов, А.Н. Спектральные характеристики полианилиновых плёнок при периодическом изменении потенциала / А.Н. Иванов, Ю.А. Кучеренко, А.А. Некрасов, А.В. Ванников // Электрохимия. - 1992. - Т. 28, вып. 1. - С. 44-49.

Коренман И. М. Титрование в неводных средах, пер. с англ., М., 1971.

Лаврентьев Б.Ф. Аналоговая и цифровая электроника: Учебное пособие. - Йошкар-Ола: МарГТУ, 2000. - 155 с.

Милакин К.А., Меньшикова. И.П., Сергеев В.Г. Композиционный материал полианилин-полимерная матрица как основа для создания высокочувствительного газосенсора на аммиак / Миалкин К.А. / ВМС. - 2007. - УДК 541.64.

Ролдугин, В.И. Физико-химия поверхности. М.: Интеллект. 2008, - 565 с.

Сапурина, И.Ю. Свойства протонпроводящих мембран типа "Нафион" с поверхностными наноразмерными слоями электропроводящего полианилина / И.Ю. Сапурина, М.Е. Компан, В.В. Малышкин, В.В. Розанов, Я. Стейскал // Электрохимия. - 2009. - Т. 45, № 6. - С. 744-754.

Симонова Л.Н. Новые титриметрические методы, М., 1983.

Скундин, А.М. Химические источники тока: 210 лет. // А.М. Скундин, Г.Я. Воронков. - М.: Поколение, 2010. - 352 с.

Электрохимия полимеров / Под ред. М.Р. Тарасевича, С.Б. Орлова, Е.И. Школьникова и др. - М.: Наука, 1990. - 238 с.

Яблоков, М.Ю. Структурно-обусловленная оптическая активность в плёнках полианилина / М.Ю. Яблоков, В.Ф. Иванов, О.А. Грибкова, А.В. Ванников // Электронный журнал "Исследовано в России". - 2004. - С. 1577-1585.

Amado, F.D.R. High-impact polystyrene/polyaniline membranes for acid solution treatment by electrodialysis: Preparation, characterization and chemical calculation / F.D.R. Amado, M.A.S. Rodrigues, F.D.P. Morisso, A.M. Bernardes, J.Z. Ferreira, C.A. Ferreira // J. of Colloid and Interfase Sci. - 2008. - V. 320. - P.52-61., N.P. Perfluorinated nanocomposite membranes modified by polyaniline: electrotransport phenomena and morphology / N.P. Berezina, N.A. Kononenko, A.A.-R. Sytcheva, N.V. Loza, S.A. Shkirskaya, N. Hegman, A. Pungor // Electrochimica Acta. - 2009. - V.54. - P. 2342-2352.

Bhadra, S. Progress in preparation, processing and applications of polyaniline / S. Bhadra, D. Khastgir, N. K. Singha, J. H. Lee // Progress in Polymer Science. - 2009. - V. 34. - P. 783-810.

Cindrella, L. Membrane electrode assembly with doped polyaniline interlayer for proton exchange membrane fuel cells under low RH conditions / L. Cindrella, A.M. Kannan // J Power Sources. - 2009. - V. 193. - P. 447-453., G.K. Thermochemical and deformational stability of microporous polyethylene films with polyaniline layer / G.K. Elyashevich, L. Terlemezyan, I.S. Kuryndin, V.K. Lavrentyev, P. Mokreva, E.Yu. Rosova, Yu.N. Sazanov // Thermochimica Acta. - 2001. - V. 374. - P. 23-30., R. Amperometric glucose biosensors based on Prussian Blue- and polyaniline-glucose oxidase modified electrodes / R. Garjonyte, A. Malinauskas // Biosensors & Bioelectronics. - 2000. - V. 15. - P. 445-451., V.F. Redox heterogeneity in polyaniline films: from molecular to macroscopic scale / V.F. Ivanov, O.L. Gribkova, S.V. Novikov, A.A. Nekrasov, A.A. Isaakova, A.V. Vannikov, G.B. Meshkov, I.V. Yaminskiy // Synthetic Metals. - 2005. - V.152. - P. 153-156.

Iyoda, T. Diaphragmatic Chemical Polymerization of Pyrrole in the Nafion Film / T. Iyoda, A. Ohtani, K. Honda, T. Shimidzu // Macromolecules - 1990. - V. 23. - P. 1971-1976., T. Raman based pH measurements with polyaniline / T. Lindfors, A. Ivaska // Journal of Electroanalytical Chemistry. - 2005. - V. 580. - P. 320-329.

Malmonge, L. A new route to obtain PVDF/PANI conducting blends / L. Malmonge, G. Lopes , S. Langiano ,J. Malmonge, J. Cordeiro, L. Mattoso // European Polymer Journal. - 2006. - V. 42. - P.3108-3113., Y. The hydration of ions and their effects on the structure of water / Y. Marcus // J. Chem. Soc., Faraday Trans. - 1986. - V. 82. - P.233-242.

Sata, T. Ion Exchange Membranes. Preparation, characterization, modification and application. - Gateshead: The Royal Society of Chemestry, 2004. - 350 c., L. Cs2.5H0.5PW12O40/SiO2 as addition self-humidifying composite membrane for proton exchange membrane fuel cells / L. Wang, B.L. Yi, H.M. Zhang, D.M. Xing // Electrochimica Acta. - 2007. - V. 52, № 17. - P. 5479-5483.

Похожие работы на - Экономическая оценка эффективности применения композитов Ф-4СФ/полианилин в качестве рН-индикаторов

 

Не нашли материал для своей работы?
Поможем написать уникальную работу
Без плагиата!
Без нейросетей!