Капітал підприємства

  • Вид работы:
    Дипломная (ВКР)
  • Предмет:
    Финансы, деньги, кредит
  • Язык:
    Украинский
    ,
    Формат файла:
    MS Word
    592,97 Кб
  • Опубликовано:
    2015-07-17
Вы можете узнать стоимость помощи в написании студенческой работы.
Помощь в написании работы, которую точно примут!

Капітал підприємства

Зміст

Вступ

Розділ 1. Теоретичні основи управління капіталом підприємства

.1 Сутність капіталу підприємства як економічної категорії

1.2 Види та структура капіталу підприємства

.3 Методика оцінки ефективності управління капіталом на підприємстві

Розділ 2. Аналіз системи управління капіталом на підприємствах різних організаційно-правових форм

.1 Аналіз фінансово-господарської діяльності

.2 Аналіз складу та структури капіталу на підприємствах різних організаційно-правових форм

.3 Оцінка ефективності системи управління капіталом на підприємствах

Розділ 3. Розробка напрямів удосконалення системи управління капіталом підприємств

3.1 Удосконалення системи управління капіталом підприємства

.2 Оцінка економічної ефективності заходів удосконалення системи управління капіталом підприємства

Розділ 4. Охорона праці і безпека в надзвичайних ситуаціях на підприємстві

.1 Організація охорони праці на підприємстві

.2 Безпека у надзвичайних ситуація

Висновки

Список використаних джерел

Вступ

Актуальність теми дослідження. Актуальність даної теми визначається тим, що невпинний перехід України до ринкової економіки, розширення та поглиблення ринкового середовища у всіх сферах діяльності викликає необхідність удосконалення системи управління капіталом підприємства. За сучасних умов підприємство, що відокремлено від інших здійснює господарську діяльність, повинно володіти капіталом. Структура і динаміка капіталу підприємства є найсуттєвішим показником, що визначає його фінансовий стан. Великий спектр організаційно-правових форм підприємств, де спостерігаються відмінності у відносинах власності, регулюванні майнових питань, зумовлює особливості системи управління капіталом. Тому на сучасному етапі діяльності підприємств і в майбутньому виняткове значення мають вдосконалення системи управління капіталом на вітчизняних підприємствах.

Важливість капіталу в розвитку як економіки, так і самого підприємства доведена у науковій літературі. За останні роки з'явилося багато публікацій, у яких йшлося про капітал підприємства, а також про його ключову роль в забезпеченні фінансово-господарських процесів. Крім того, це питання розглядається у працях класиків та неокласиків світової економічної думки: Т. Мальтус, Дж. Міль, К. Маркс, Е. Бем-Баверк, А. Маршалл, Дж. Кларк, І. Фішер, Дж. Хікс, а також провідних вітчизняних та зарубіжних вчених сучасності: Г. Богачева, Ю. Воробйов, Д. Ван Хорн і Д. Ваховач, Г. Дукаль, Л. Козаченко, В. Ковальов, П. Лайко, Є. Мних та В. Панасюк, І. Яремко та ін.

Однак аналіз зазначених робіт показав, що питання ефективного управління капіталом підприємства як відкритою складною системою все ще потребує дослідження. Необхідність розробки обґрунтованих теоретичних рекомендацій щодо формування, аналізу та управління капіталом підприємства і обумовило вибір теми магістерської роботи, мету, завдання та основні напрями дослідження.

Мета дослідження - теоретико-методичне забезпечення розвитку підприємства на основі формування ефективної системи управління капіталом та удосконалення його структури відповідно до стратегічних цілей діяльності підприємства.

Досягнення сформульованої мети передбачає розв’язання таких задач:

         з’ясувати сутність капіталу підприємства як економічної категорії;

         визначити види та структуру капіталу підприємства;

         розглянути методику оцінки ефективності управління капіталом на підприємстві;

         здійснити аналіз фінансового стану досліджуваних підприємств;

         провести аналіз складу та структури капіталу на підприємствах різних організаційно-правових форм;

-        оцінити ефективність системи управління капіталом на досліджуваних підприємствах;

         розробити напрями удосконалення системи управління капіталом підприємств;

         охарактеризувати систему охорони праці і безпеки в надзвичайних ситуаціях на підприємствах.

Об’єкт дослідження - процес управління капіталом на вітчизняних підприємствах різних організаційно-правових форм.

Предмет дослідження - процес удосконалення системи управління капіталом підприємства з метою підвищення ефективності кругообігу капіталу та узгодженості взаємодії складових, що утворюють його структуру.

Інформаційною базою дослідження є законодавчі і нормативні акти України з питань функціонування суб’єктів господарювання, офіційні матеріали Державного комітету статистики України, праці зарубіжних та вітчизняних учених, річні звіти підприємств.

Методологія та методи дослідження. Теоретико-методологічну основу дослідження становлять загальнонаукові методи пізнання та системний підхід до вивчення економічних явищ. У процесі роботи для вивчення теорії та діючої практики управління капіталом на підприємстві використовувалися такі методи дослідження: спостереження, теоретичного узагальнення, порівняння - для встановлення економічної сутності капіталу; історичний, системний підходи - при дослідженні передумов виникнення поняття "капітал"; абстрактно-логічного аналізу - для обґрунтування методики аналізу капіталу підприємства; групування, графічний метод - для наочного відображення структури капіталу; методика розрахунку фінансових коефіцієнтів - для аналізу ефективності використання капіталу на підприємстві. Застосування методу моделювання дозволило розробити удосконалену систему управління капіталом підприємства.

Структура і обсяг магістерської роботи. Магістерська робота складається зі вступу, чотирьох розділів, десяти підрозділів, висновків, списку використаних джерел. Загальний обсяг роботи - 107 сторінок комп’ютерного тексту. Список використаних джерел включає 90 найменувань.

Розділ 1. Теоретичні основи управління капіталом підприємства

1.1 Сутність капіталу підприємства як економічної категорії

Ефективнекфункціонування підприємства, як провідної ланки мікроекономіки, залежить від багатьох чинників, як зовнішніх, так і внутрішніх. Головним серед останніх можна назвати капітал підприємства, що виступає фактором виробництва, джерелом доходу, інвестиційним ресурсом і є важливою ланкою відтворювального процесу. Капітал є фундаментальним, складним, багатоаспектним, і в силу цього не достатньо дослідженим економічним явищем.

Хоча історія наукового дослідження категорії "капітал" досить тривала, проте універсального підходу до її визначення не існує, що пояснюється складністю та динамічністю капіталу: змінювались соціально-економічні умови функціонування господарств різних епох, так само змінювались та розвивались капітал і, відповідно, наукові підходи щодо розуміння капіталу. Отже, важливим елементом та науковим підґрунтям з’ясування економічної сутності капіталу підприємства є аналіз еволюції поглядів на категорію "капітал", який дозволить з’ясувати сутність та зміст поняття "капітал підприємства" у теперішніх економічних умовах.

Так, Ю.М. Воробйов здійснює детальний опис історичної еволюції категорії "капітал" та виокремлює лише два підходи до визначення капіталу підприємства: фінансовий та економічний [11, c. 90-104]. Проте фінанси і як явище, і як система відносин є частиною економіки. Тому з’ясовуючи економічну сутність капіталу, можна лише сказати, що фінансовий капітал є підвидом капіталу взагалі, оскільки за природною ознакою капітал поділяють на фінансовий, фізичний та інтелектуальний або за класифікацією Ю.М. Воробйов - на фінансовий, матеріальний та нематеріальний [11, c. 126].

О.В. Гурнак зазначає, що "категорія капіталу виникла та розвивається разом із капіталістичною системою господарювання" і починає розгляд еволюції поглядів на капітал з вчення меркантилістів, яких називає "першовідкривачами" [17, с. 9]. Проте, на думку більшості вчених, першими дослідниками капіталу є Аристотель (IV ст. до н.е.), Авіцена (Х-ХІ ст.), Фома Аквінський (ХІІІ ст.) та інші давньогрецькі, давньоримські та середньовічні діячі.

Богачова Г.Н., Денисов Б.А. обмежуються розглядом декількох концепцій капіталу, не розглядаючи теорію всеосяжного капіталу І.Фішера, теорії людського та інтелектуального капіталу [7, с. 13].

Відповідно до Гончаренко А.М капітал - сукупність виробничих відносин капіталістичного способу виробництва, за яких засоби праці, певні матеріальні блага, гроші, об'єкти інтелектуальної власності та різні види цінних паперів тощо є знаряддям експлуатації, привласнення частини чужої неоплаченої праці [12, с.102].

Виходячи із результатів досліджень вчених і трактувань поняття капіталу у економічній літературі, побудуємо схему змістовних складових та елементів структури капіталу підприємства (рис. 1.1).

Рис. 1.1. Елементна структура капіталу підприємства [40, с. 160]

Однак, виходячи із обмеженості теми магістерської роботи у нашому дослідженні ми детально зупинимось на аналізі сутності фінансового капіталу підприємства, його структури та складових.

Фінансовий капітал підприємства як економічна категорія існує об’єктивно, його природа визначається не суспільно-економічною формацією або типом економічної системи держави, а реальним процесом формування підприємницьких структур і механізмом здійснення фінансування їхньої діяльності. Тому фінансовий капітал підприємств формується і використовується суб’єктами господарювання в будь-якій економічній системі відповідно до стратегічних і тактичних цільових настанов останньої.

Поняття "фінансовий капітал" на відміну від поняття "капітал" з’явилося в науковому обороті відносно недавно, на початку XX ст. після виходу в1910 р. однойменної книги німецького соціаліста Р. Гільфердінга. Досліджуючи сутність капіталу в нових історичних умовах економічного розвитку провідних країн світу можна зробити висновок, що промисловість стає дедалі залежнішою від банківського грошового капіталу. Відбувається проникнення банківського капіталу в промисловість, у результаті чого відбувається злиття капіталів. Об’єднання банківського капіталу з промисловим визначається поняттям "фінансовий капітал" - це капітал, що перебуває у розпорядженні банків і застосовується промисловцями [66, с.100].

Що стосується теорії фінансів, то в радянський період капітал у будь-якій його формі не був об’єктом дослідження і тільки з початком ринкової економіки почалося формування наукового розуміння економічної природи капіталу підприємства. При цьому більшість сучасних економістів-фінансистів розглядають поняття "фінансовий капітал" як синонім фінансових ресурсів.

Так, І.Т. Балабанов зазначає: "Капітал - це частина фінансових ресурсів. Капітал - це гроші, пущені в обіг, і доходи, які вони приносять від цього обігу" [64, с.108].

З.В. Григорова зазначає, що капітал - це кошти, вкладені в суб’єкт господарювання для початку або продовження господарської діяльності з метою одержання прибутку (доходу) [16, с.18].

К.Я. Ходжава дає таке визначення капіталу: "Фінансові ресурси, що використовуються на розвиток виробничого процесу (купівля сировини, товарів та інших предметів праці, робочої сили, інших елементів виробництва), капітал у його грошовій формі" [75, с.161].

Л.М. Малярець і Н.М. Пономаренко вважають, що фінансовий капітал - це фінансові кошти підприємства, відбиті в пасиві його бухгалтерського балансу. При цьому фінансовий капітал підрозділяється на власний, тобто сформований за рахунок власних джерел фінансових ресурсів, і позиковий, формування якого здійснюється за рахунок позикових фінансових джерел [44, с.132].

О.В. Лебідь визначає капітал як частину фінансових ресурсів, задіяних фірмою в оборот, і доходи, які вони приносять від цього обороту. У цьому розумінні капітал виступає як перетворена форма фінансових ресурсів [38, с.260].

І.О. Бланк, розглядаючи капітал з позиції фінансового менеджменту визначає його таким чином: "Капітал підприємства характеризує загальну

вартість коштів у грошовій, матеріальній і нематеріальній формах, інвестованих у формування його активів" [6, с.52].

Отже, з точки зору підприємства або власника капітал характеризує загальну вартість засобів у грошовій, матеріальній і нематеріальній формах, які інвестуються у формування активів підприємства.

Розглядаючи економічну сутність капіталу підприємства, слід зазначити такі його властивості як [28, с.162]:

1)      капітал підприємства є основним чинником виробництва. У системі факторів виробництва (капітал, земля, праця) капіталу належить пріоритетна роль, тому що він поєднує усі фактори в єдиний виробничий комплекс;

2)      капітал характеризує фінансові ресурси підприємства, що приносять доход. У даному випадку він може виступати ізольовано від виробничого фактора у формі інвестованого капіталу;

)        капітал є головним джерелом формування добробуту його власників. Частина капіталу в поточному періоді виходить з його складу на користь власника, а частина капіталу, що накопичується, забезпечує задоволення потреб власників у майбутньому.

)        капітал підприємства є головним вимірником його ринкової вартості. У цій якості виступає насамперед власний капітал підприємства, що визначає обсяг його чистих активів. Поряд з цим, обсяг використовуваного власного капіталу на підприємстві характеризує одночасно і потенціал залучення їм позикових фінансових засобів, що забезпечують одержання додаткового прибутку. У сукупності з іншими факторами - формує базу оцінки ринкової вартості підприємства.

)        динаміка капіталу підприємства є найважливішим показником рівня ефективності його господарської діяльності. У зв’язку з цим потрібно відмітити, що здатність капіталу до самозростання високими темпами характеризує високий рівень формування й ефективний розподіл прибутку підприємства, його здатність підтримувати фінансову рівновагу за рахунок внутрішніх джерел. У той же час, зниження обсягу власного капіталу є, як правило, наслідком неефективної, збиткової діяльності підприємства.

Зазначені властивості капіталу підприємства можна назвати загальними, але капітал окремого підприємства може мати низку специфічних, характерних тільки йому властивостей. Як було зазначено вище, властивості капіталу підприємства визначають його функціонування, отже, щоб здійснити управлінський вплив на функціонування капіталу підприємства, слід вплинути на його властивості.

У залежності від виду економічної діяльності й форми власності керівні органи висувають певній набір вимог щодо мінімального розміру капіталу, як наприклад, для акціонерних товариств незалежно від виду діяльності або для банківських та страхових установ, щодо величини співвідношення власного та залученого капіталу, величини грошових коштів, заробітної плати тощо.

Таким чином, капітал є головною базою розвитку економіки, яка в процесі свого функціонування забезпечує інтереси держави та власників підприємств. Він є об’єктивною основою створення та подальшого ефективного функціонування підприємств завдяки здатності генерувати грошові потоки та створювати нову вартість.

.2 Види та структура капіталу підприємства

Розглянемо окремі види капіталу підприємства відповідно до класифікацій, наведеній у економічній літературі [29; 59; 78; 80; 82].

1. За приналежністю підприємству виділяють власний і позиковий види його капіталу. Власний капітал характеризує загальну вартість засобів підприємства, що належать йому на правах власності й використовуються ним для формування певної частини активів. Ця частина активів, що сформована за рахунок інвестованого в них власного капіталу, являє собою чисті активи підприємства. Позиковий капітал характеризує залучені для фінансування розвитку підприємства на зворотній основі грошові кошти або інші майнові цінності. Усі форми позикового капіталу, що використовується підприємством, становлять собою його фінансові зобов’язання, що належать до погашення у передбачені строки.

2. За метою використання у складі підприємства можуть бути виділені наступні види капіталу: виробничий, позиковий і спекулятивний. Виробничий капітал характеризує засоби підприємства, що інвестовані в його операційні активи для здійснення виробничо-збутової його діяльності. Позиковий капітал являє собою ту частину, що використовується підприємством у процесі інвестування у грошові інструменти (короткострокові й довгострокові депозитні вкладення в комерційних банках), а також у боргові фондові інструменти (облігації, депозитні сертифікати, векселі і т.п.) Спекулятивний капітал характеризує ту його частину, що використовується у процесі здійснення спекулятивних (що базуються на різниці в цінах) фінансових операцій (придбання деривативів у спекулятивних цілях і т.п.).

. За формами інвестування розрізняють капітал у грошовій, матеріальній і нематеріальній формах, що використовується для формування статутного фонду підприємства. Інвестування капіталу в цих формах дозволено законодавством при створенні нових підприємств, збільшенні обсягу їх статутних фондів.

4. За об’єктом інвестування виділяють основний і оборотний види капіталу підприємства. Основний капітал характеризує ту його частину, що використовується підприємством, який інвестований у всі види його необоротних активів (а не тільки в основні засоби, як це часто трактується в літературі). Оборотний капітал характеризує ту його частину, яка інвестована у всі види його оборотних активів.

. За формою надходження у процесі кругообігу, тобто залежить від стадій загального циклу цього кругообігу розрізняють капітал підприємства у грошовій, виробничій і товарній формах.

6. За формами власності виділяють приватний і державний капітал, що інвестований в підприємство в процесі формування його статутного фонду. Такий розподіл капіталу використовується у процесі класифікації підприємств за формами власності.

. За організаційно-правовими формами діяльності виявляють наступні види капіталу: акціонерний (капітал підприємств, створених у формі акціонерних товариств), пайовий (капітал партнерських підприємств - товариств з обмеженою відповідальністю, командитних товариств і т.п.), індивідуальний (капітал індивідуальних підприємств -сімейних і т.п.).

. За характером використання у господарському процесі виділяють

працюючий і непрацюючий види капіталу. Працюючий капітал характеризує ту його частину, яка бере безпосередню участь у формуванні доходів і забезпеченні операційної, інвестиційної та фінансової діяльності підприємства. Непрацюючий капітал характеризує ту його частину, яка інвестована в активи, що не беруть безпосередньої участі у виконанні різних видів господарської діяльності підприємства й формуванні його доходів.

9. За характером використання власниками виділяють споживаний і накопичувальний (реінвестований) види капіталу. Споживаний капітал після його розподілу на цілі споживання втрачає функції капіталу. Він являє собою дезінвестиції підприємства, що здійснюються з метою споживання (вилучення частини капіталу з необоротних і оборотних активів з метою виплати дивідендів, процентів, задоволення соціальних потреб персоналу і т.п.). Накопичувальний капітал характеризує різні форми його приросту в процесі капіталізації прибутку, дивідендних виплат і т.п.

10. За джерелами залучення розрізняють національний (вітчизняний) і іноземний капітал, інвестований у підприємство. Такий розподіл капіталу підприємств використовується в процесі відповідної їх класифікації.

11. За відповідністю правовим нормам функціонування розрізняють легальний і "тіньовий" капітал, що використовується у процесі господарської діяльності підприємства. Широко використовуваний на сучасному етапі економічного розвитку країни "тіньовий" капітал є своєрідною реакцією підприємців на встановлені державою жорсткі "правила гри" в економіці, в першу чергу на невиправдано високий рівень оподатковування підприємницької діяльності. Зростання обсягу використання "тіньового" капіталу в господарській діяльності підприємств служить для держави своєрідним індикатором низької ефективності прийнятих рішень в галузі податкового регулювання використання капіталу в підприємницький діяльності з позицій дотримання паритету інтересів як держави, так і власників капіталу.

З метою аналізу структури капіталу, джерела капіталу представимо у вигляді таблиці (табл. 1.1) [84, с.38].

Таблиця 1.1 Структура капіталу підприємства

Капітал підприємства

Власний капітал

Позичковий капітал

- статутний капітал - (сформований з емісії акцій)

- довгострокові та короткострокові - кредити банків

- додатковий капітал

- позичкові кошти

- інший додатковий капітал

- емісія облігацій і інші боргових зобов'язань

- резервний капітал

- прострочена кредиторська заборгованість

- нерозподілений прибуток



Для більшості підприємств основною частиною і базою усього фінансового капіталу є власний капітал, але діяльність підприємства в системі ринкової економіки неможлива без періодичного використання різноманітних форм залучення позикових коштів. Використання позикових коштів дає можливість приросту рентабельності власного капіталу, але негативно впливає на фінансову стійкість підприємства.

Для повноти аналізу, розглянемо сутність власного капіталу підприємства, що проявляється через його функції.

.        Функція заснування та введення в дію підприємства. Власний капітал у частині статутного є фінансовою основою для запуску в дію нового суб’єкта господарювання.

.        Функція відповідальності та гарантії. Як уже було зазначено, статутний капітал є свого роду кредитним забезпеченням для кредиторів підприємства. Власному капіталу в пасиві балансу відповідають чисті активи в активній стороні балансу. Чим більший власний капітал підприємства, зокрема статутний капітал, тим більших збитків може зазнати підприємство без загрози інтересам кредиторів, отже, тим вищою є його кредитоспроможність.

.        Захисна функція. У той час, як попередня функція характеризує значення власного капіталу та статутного капіталу для кредиторів, захисна функція показує, яке значення має власний капітал для власників. Чим більший власний капітал, тим краще захищеним є підприємство від впливу загрозливих для його існування факторів, оскільки саме за рахунок власного капіталу можуть покриватися збитки підприємства. Якщо в результаті збиткової діяльності відбувається перманентне зменшення власного та статутного капіталу, то підприємство може опинитися на межі банкрутства.

.        Функція фінансування та забезпечення ліквідності. Внесками у власний капітал, разом зі спорудами, обладнанням, цінними паперами та іншими матеріальними цінностями, можуть бути грошові кошти. Вони можуть використовуватися для фінансування операційної та інвестиційної діяльності підприємства, а також для погашення заборгованості по позичках. Це, у свою чергу, підвищує ліквідність підприємства, з одного боку, та потенціал довгострокового фінансування, з іншого.

.        База для нарахування дивідендів і розподілу майна. Одержаний протягом року прибуток або розподіляється та виплачується власникам корпоративних прав у вигляді дивідендів, або спрямовується на збільшення статутного чи резервного капіталу, інших цільових фондів. Нарахування дивідендів, як правило, здійснюється за встановленою ставкою відповідно до частки акціонера (пайовика) в статутному капіталі. Аналогічним чином відбувається розподіл майна підприємства у разі його ліквідації чи реорганізації.

.        Функція управління та контролю. Згідно із законодавством власники підприємства можуть брати участь в його управлінні. Найвищим органом АТ чи ТОВ є збори учасників товариства, які призначають керівні органи та ревізійну комісію. Фактичний контроль над підприємством здійснює власник контрольного пакета його корпоративних прав. Володіння контрольним пакетом дає можливість проводити власну стратегічну політику розвитку підприємства, формувати дивідендну політику, контролювати кадрові питання. Таким чином, статутний капітал забезпечує право на управління виробничими факторами та майном підприємства. [37, с.71]

Розглянемо всі складові власного капіталу підприємства більш докладніше [59; 78; 80; 82].

Статутний капітал. Статутний капітал є одним з найважливіших показників, що дозволяють одержати уявлення про розміри й фінансовий стан економічних суб'єктів. Це один з найбільш стійких елементів власного капіталу організації, оскільки зміна його величини допускається в строго визначеному порядку, установленому законодавчо.

Статутний капітал організації - джерело формування засобів організації, які потрібні їй для виконання статутних зобов'язань. Це стартовий капітал для виробничої діяльності з метою одержання надалі прибутку. Статутний капітал являє собою засоби, вкладені власниками підприємства. Власниками підприємства можуть виступати як юридичні, так і фізичні особи, а також окремі приватні особи.

Формування статутного капіталу пов'язано з цілями створення організації і її організаційно-правовою формою. Порядок формування статутного капіталу організацій різних організаційно-правових форм досить жорстко в даний час регулюють закони України.

Відповідно до законодавства України статутний капітал залежить від організаційно-правової форми підприємства, може виступати у вигляді: статутного капіталу, статутного фонду, складового капіталу, пайового фонду.

Статутний капітал - сукупність у грошовому вираженні внесків засновників (учасників) у майно організації при її створенні для забезпечення діяльності в розмірах, визначених установчими документами.

Пайовий фонд - сукупність пайових внесків членів виробничого кооперативу для спільного ведення підприємницької діяльності, а також придбаного і створеного в процесі діяльності.

Однією з найпоширеніших форм підприємницької діяльності сьогодні є

акціонерне товариство. Можна виділити три функції, які виконує статутний капітал акціонерного товариства: 1) є майновою основою діяльності товариства, тобто первісним (стартовим) капіталом; 2) дозволяє визначити частку (відсоток) участі засновника (акціонера, учасника) у товаристві, оскільки їй відповідає кількість голосів учасника на загальних зборах і розмір його доходу (дивіденду); 3) гарантує виконання зобов'язань товариства перед третіми особами, тому законодавством установлений його мінімальний розмір. Відповідно до законодавства України акціонерним товариством визнається комерційна організація, статутний капітал якої поділений на певне число акцій, що засвідчують обов'язкові права учасників (акціонерів) стосовно товариства. [29, с.20].

Позичковий капітал - це капітал-власність. Особливість позичкового капіталу полягає в тому, що він безпосередньо інвестується у виробничу сферу не його власником, а зовсім іншою особою підприємцем-позичальником, якому капітал передається на тимчасове користування. В результаті відбувається роздвоєння позичкового капіталу на капітал-власність і капітал-функцію: власність на капітал залишається у кредитора навіть після того, як вона з його рук перейшла боржникові. Реальним підтвердженням цієї власності є зобов’язання позичальника повернути отриману позику в строк з виплатою відсотків; капітал-функція означає, що підприємець повинен одержати прибуток на авансовані гроші не менший, ніж розмір плати за позичковий капітал

Додатковий і резервний капітал. У процесі господарської діяльності в підприємства може з'явитися нове майно чи зрости облікова вартість уже наявного, тобто збільшуються розміри активів. Для обліку джерел такого майна чи приросту його вартості в бухгалтерському обліку введене поняття додаткового капіталу. Як об'єкт обліку він виник відповідно до змін правил оцінки статей бухгалтерської звітності організацій для відображення інфляційних процесів.

Доходи організації, що відносяться на додатковий капітал, збільшують власний капітал організації, але не впливають на фінансовий результат діяльності організації у звітному періоді. Наприклад, організація може безоплатно одержати у власність дороге виробниче приміщення, у результаті її майно і капітал будуть мати істотний приріст, однак фінансовим результатом діяльності організації у звітному періоді може стати збиток.

Наявність доходів, що включаються не у фінансовий результат діяльності, приймають в розрахунок у податковому обліку: при обчисленні оподатковуваного прибутку, доходи, що відносяться на додатковий капітал, приєднуються до прибутку, який підлягає оподаткуванню.

Утворення засобів відбувається шляхом:

) приросту вартості необоротних активів (основних засобів, нематеріальних активів, довгострокових фінансових вкладень і інших капітальних вкладень) підприємства в результаті переоцінки;

2) безоплатно отриманого майна і коштів від юридичних і фізичних осіб;

) додаткової емісії акцій чи підвищення номінальної вартості акцій, за

рахунок суми різниці між продажною і номінальною вартістю акцій, вирученої при реалізації їх за ціною, що перевищує номінальну вартість;

4) приросту вартості необоротних активів, створених за рахунок прибутку чи фондів підприємства;

5) відображення позитивних курсових різниць по внесках іноземних інвесторів у статутні капітали українських підприємств.

Додатковий капітал може утворюватися не тільки з перерахованих вище причин. Що включати до складу додаткового капіталу і як його використовувати, вирішують власники підприємства, які розробляють відповідні положення. Ці положення повинні бути затверджені протоколом загальних зборів засновників, після чого закріплюються наказом про облікову політику.

Резервний капітал створюється відповідно до законодавства й установчих документів організації на покриття можливих у майбутньому непередбачених збитків, утрат. Резервний капітал - це так назване запасне фінансове джерело, що створюється як гарантія безперебійної роботи підприємства і дотримання інтересів третіх осіб. Наявність такого фінансового джерела додає останнім впевненість у погашенні підприємством своїх зобов'язань. Чим більше резервний капітал, тим більша сума збитків може бути компенсована і тим більшу можливість маневру одержує керівництво підприємства при подоланні збитків.

Утворення резервного капіталу може мати обов'язковий і добровільний характер. У першому випадку він створюється відповідно до законодавства

України, а в другому - згідно з порядком, встановленим в установчих документах підприємства, чи з його обліковою політикою. У даний час створення резервного капіталу є обов'язковим тільки для господарських товариств і підприємств з іноземними інвестиціями.

Інформація про величину резервного капіталу в балансі підприємства має велике значення для зовнішніх користувачів бухгалтерської звітності, що розглядають резервний капітал як запас фінансової міцності підприємства.

Недостатня величина обов'язкового резервного капіталу свідчить або про недостатність прибутку, або про використання резервного капіталу на покриття збитків.

Засоби резервного фонду призначені для покриття балансового збитку за звітний рік, для погашення облігацій і викупу акцій акціонерного товариства при відсутності інших засобів. Резервний фонд створюється підприємствами також на випадок припинення їхньої діяльності для покриття кредиторської заборгованості. Ні на яку іншу мету використовувати "резервні" гроші не можна.

Нерозподілений прибуток і фонди спеціального призначення. Фінансовим результатом підприємства, яке здійснює підприємницьку діяльність, є прибуток чи збиток. Прибуток виступає джерелом, який може бути використаний, після обов'язкових платежів у бюджет, на цілі, обумовлені статутними документами чи відповідними рішеннями керівництва організації і засновників (акціонерів). При одержанні збитку виникає необхідність вишукування джерел його покриття.

Прибуток, що залишається в розпорядженні підприємства після сплати в бюджет податку на прибуток, у бухгалтерському обліку прийнято називати "нерозподіленим прибутком". Нерозподілений прибуток являє собою суму чистого прибутку, що не був розподілений у вигляді дивідендів між акціонерами організації.

Нерозподілений прибуток звітного року використовується на виплату дивідендів засновникам і на відрахування в резервний фонд (при його наявності). Відповідно до своєї облікової політики організація може прийняти рішення про використання прибутку, що залишився в її розпорядженні, на фінансування своїх планових заходів.

Ці заходи можуть мати виробничий характер у випадку направлення коштів на розвиток і розширення виробництва, модернізацію використовуваного устаткування, і невиробничий характер у випадку використання коштів на заходи соціального характеру і матеріальну підтримку працівників організації та на інші цілі, не пов'язані з виробництвом продукції або довгостроковими фінансовими вкладеннями організації.

Значна частина власного капіталу підприємства акумулюється у фондах спеціального призначення. Ці засоби резервуються і направляються на утворення джерел фінансування витрат, на створення нового майна виробничого призначення і соціальної інфраструктури, а також на потреби соціального розвитку (крім капітальних вкладень).

Реалізація політики організації, спрямованої на акумулювання свого чистого прибутку для фінансування цільових заходів, проводиться шляхом утворення фондів спеціального призначення. Кількість фондів, їхню назву і використання організація визначає самостійно.

Фонди спеціального призначення утворюють за нормами, установленимиьвласниками, а також за рахунок безоплатних внесків засновників та інших підприємств. Вони, як правило, підрозділяються на фонд нагромадження, фонд соціальної сфери і фонд споживання.

Засоби фондів нагромадження направляються на виробничий розвиток організації та інші аналогічні цілі.

Якщо підприємство використовує засоби для капітальних вкладень, то сам фонд нагромадження не зменшується, тому що відбувається перетворення фінансових засобів у майно організації. Якщо ж підприємство використовує засоби фонду на покриття збитків звітного року, на розподіл прибутку між засновниками, а також на списання витрат, включаються не в первісну вартість об'єктів основних засобів, що вводяться в експлуатацію, то величина фонду нагромадження зменшується.

Засоби фонду споживання, на відміну від фонду нагромадження, направляються на соціальний розвиток і матеріальне заохочення персоналу, а також інші заходи, що не приводять до утворення нового майна організації.

Засоби спеціальних фондів використовують відповідно до кошторису, що обговорюється і затверджується власниками організації (акціонерами). Про виконання кошторису вони інформуються у встановлений термін.

Фонд споживання призначений для забезпечення соціального захисту персоналу: дотацій на харчування, придбання проїзних квитків, путівок у санаторії, дитячі установи, на житлове будівництво, а також на матеріальне заохочення працівників (одноразові премії, подарунки, матеріальна допомога) і ін.

До інших резервів відносяться резерви, що створюються на підприємстві в зв'язку з майбутніми великими витратами, які включаються в собівартість і витрати обігу. Рішення про створення резервних фондів повинне бути зафіксоване в обліковій політиці організації.

1.3 Методика оцінки ефективності управління капіталом на підприємстві

В системі дослідження ефективності управління капіталом найбільше розповсюдження отримали такі групи аналітичних фінансових коефіцієнтів [6; 8; 11; 28; 39]:

− коефіцієнти оцінки рентабельності капіталу;

− коефіцієнти оцінки капіталовіддачі;

− коефіцієнти оцінки оборотності капіталу;

− показники фінансової стійкості;

− показники типів фінансової стійкості підприємства;

− показники ліквідності та платоспроможності підприємства;

− коефіцієнт фінансового левереджу;

− показники середньозваженої вартості капіталу.

. Коефіцієнти оцінки рентабельності капіталу характеризують його здатність створювати необхідний прибуток у процесі господарської діяльності підприємства і визначають загальну ефективність його використання. Для проведення такої оцінки застосовують наступні показники:

а) Коефіцієнт рентабельності всього капіталу, що використовується, або коефіцієнт економічної рентабельності. Він характеризує рівень чистого прибутку, який генерується сукупним обсягом капіталу (що використовується) підприємства. Розрахунок цього показника здійснюють за формулою:

 (1.1)

де ЧПо- загальна сума чистого прибутку підприємства, отримана від усіх видів господарської діяльності в даному періоді;

К - середня сума всього капіталу, що використовується на підприємстві в даному періоді (розрахована як середня хронологічна);

б) коефіцієнт рентабельності власного капіталу або коефіцієнт фінансової рентабельності. Він характеризує рівень прибутковості власного капіталу, вкладеного в підприємство. Для розрахунку цього показника використовується наступна формула:

(1.2)

де ЧПо - загальна сума чистого прибутку підприємства, отримана від усіх видів господарської діяльності в даному періоді;

ВК - середня сума власного капіталу підприємства в даному періоді (розрахована як середня хронологічна);

в) коефіцієнт рентабельності всього основного капіталу. Він характеризує ефективність використання всього основного капіталу підприємства, вкладеного в його необоротні активи. Для розрахунку цього показника використовують формулу:

(1.3)

де ЧПо - загальна сума чистого прибутку підприємства, отримана від усіх видів господарської діяльності в даному періоді;

ОсК - середня сума всього основного капіталу, що використовується, в даному періоді (розрахована як середня хронологічна);

г) коефіцієнт рентабельності оборотного капіталу. Він характеризує рівень прибутковості оборотного капіталу, що використовується підприємством. Розрахунок цього показника здійснюють за формулою:

(1.4)

де ЧПрп - сума чистого прибутку підприємства від реалізації продукції

(операційної діяльності) в даному періоді; ОбК - середня сума оборотного капіталу, що використовується в даному періоді (розрахована як середня хронологічна);

д) коефіцієнт рентабельності позикового капіталу. Він характеризує рівень прибутковості позикового капіталу, що використовується в конкретних видах діяльності або господарських операцій. При розрахунку цього показника використовують формулу:

(1.5)

де ЧПд - сума чистого прибутку, що отриманий за рахунок використання позикового капіталу в окремих видах діяльності або господарських операцій;

ПК - середня сума позикового капіталу, що залучена підприємством для здійснення окремих видів діяльності або окремих видів господарських операцій;

. Коефіцієнти оцінки капіталовіддачі характеризують продуктивність (продукт капіталу) окремих видів і всієї сукупності капіталу, що задіяний в операційній діяльності підприємства, тобто в певній мірі слугує вимірником ефективності операційної діяльності підприємства. Для проведення такої оцінки використовують наступні показники:

а) коефіцієнт загальної капіталовіддачі. Він характеризує обсяг виробленої продукції, що приходиться на одиницю капіталу, який використовують в операційному процесі. Розрахунок цього показника здійснюють за формулою:

(1.6)

де ОР - загальний обсяг виробництва продукції в даному періоді;

ООсК - середня сума операційного основного капіталу підприємства, що використовується, в даному періоді (розрахована як середня хронологічна);

ОбК - середня сума оборотного капіталу підприємства, що використовується в даному періоді (розрахована як середня хронологічна);

б) коефіцієнт капіталовіддачі власного капіталу. Він характеризує обсяг виробленої продукції, яка припадає на одиницю власного капіталу, що задіяний в операційній діяльності підприємства. Для розрахунку цього показника використовують формулу:

(1.7)

де ОР - загальний обсяг виробництва продукції в даному періоді;

СК од - середня сума власного капіталу підприємства, який задіяний в його операційній діяльності в розглядуваному періоді (розрахована як середня хронологічна);

в) коефіцієнт капіталовіддачі основного капіталу. Він характеризує обсяг виробленої продукції, яка припадає на одиницю основного капіталу, що використовується у виробничій діяльності підприємства. При розрахунку цього показника використовують формулу:

(1.8)

де ОР - загальний обсяг реалізації (виробництва) продукції в даному періоді;

ООсК - середня сума операційного основного капіталу підприємства, що використовується в даному періоді (розрахована як середня хронологічна);

г) коефіцієнт капіталовіддачі оборотного капіталу. Він характеризує обсяг виробленої продукції, що припадає на одиницю оборотного капіталу підприємства. Розрахунок цього показника здійснюють за наступною формулою:

(1.9)

де ОР - загальний обсяг реалізації (виробництва) продукції в даному періоді;

ОбК - середня сума оборотного капіталу підприємства, що використовується, в даному періоді (розрахована як середня хронологічна);

. Коефіцієнти оцінки оборотності капіталу характеризують, наскільки швидко капітал в цілому й окремі його елементи, що використовуються підприємством, обертаються в процесі його господарської діяльності. Для оцінки оборотності капіталу підприємства застосовують наступні показники:

а) період обороту всього капіталу підприємства, що використовується, в днях. Цей показник характеризує число днів, протягом яких здійснюється один оборот власних і позикових коштів, а також капіталу в цілому. Чим менший період обороту капіталу, тим вище, при інших рівних умовах, ефективність його використання на підприємстві, оскільки кожен оборот капіталу генерує певну додаткову суму прибутку. Цей показник розраховують за формулою:

(1.10)

де К - середня сума всього капіталу, що використовується підприємством, в даному періоді (розрахована як середня хронологічна);

ОРо - одноденний обсяг реалізації продукції в даному періоді;

б) коефіцієнт оборотності, або швидкість обороту показує кількість повних оборотів (разів), які здійснюються оборотним капіталом за період часу, що аналізується. Із зростанням показника прискорюється оберненість оборотних засобів, а отже ефективність використання оборотних засобів покращується:

(1.11)

де Вр - виручка від реалізації продукції, робіт, послуг;

ОК - середня сума оборотного капіталу підприємства, що використовується, в даному періоді (розрахована як середня хронологічна);

в) тривалість одного обороту. Скорочення часу обороту призводить до вивільнення засобів з обороту, а його збільшення - до додаткової потреби воборотних засобах:

(1.12)

де Вр - виручка від реалізації продукції, робіт, послуг;

ОК - середня сума оборотного капіталу підприємства, що використовується, в даному періоді (розрахована як середня хронологічна);

ЗП - звітній період в днях.

г) період обороту капіталу, що використовується в операційній діяльності підприємства:

 (1.13)

де ОРо - одноденний обсяг реалізації продукції в даному періоді;

ООсК -середня сума операційного основного капіталу підприємства, що використовується, в даному періоді (розрахована як середня хронологічна);

ОбК - середня сума оборотного капіталу підприємства, що використовується, в даному періоді (розрахована як середня хронологічна);

д) період обороту власного капіталу в днях:

(1.14)

де ОРо - одноденний обсяг реалізації продукції в даному періоді;

СК - середня сума власного капіталу підприємства в даному періоді (розрахована як середня хронологічна);

е) коефіцієнт закріплення оборотних засобів показує розмір оборотних засобів на 1 грн. реалізованої продукції:

(1.15)

де Вр - виручка від реалізації продукції, робіт, послуг;

ОК - середня сума оборотного капіталу підприємства, що використовується, в даному періоді (розрахована як середня хронологічна).

Прискорення оборотності капіталу сприяє скороченню потреби в оборотному капіталі (абсолютне вивільнення), приросту обсягів продукції (відносне вивільнення), а отже збільшенню прибутку. У результаті покращується фінансовий стан підприємства, закріплюється платоспроможність.

Уповільнення оборотності потребує залучення додаткових коштів для продовження господарської діяльності підприємства хоча б на рівні минулого періоду.

. Для оцінки ефективності використання капіталу підприємства розглядається система коефіцієнтів фінансової стійкості підприємства, які дозволяють виявити рівень фінансового ризику, пов’язаного зі структурою джерел формування капіталу підприємства, а отже і ступінь фінансової стабільності у процесі майбутнього розвитку . Для проведення такої оцінки розраховують і вивчають в динаміці наступні коефіцієнти:

а) коефіцієнт автономії дозволяє визначити, в якій мірі активи, що використовуються підприємством, сформовані за рахунок власного капіталу, тобто частку чистих активів підприємства в їх загальній сумі. Розрахунок цього показника здійснюють за формулами:

(1.16)

(1.17)

де ВК - сума власного капіталу підприємства на певну дату;

ЧА - вартість чистих активів підприємства на певну дату;

К - загальна сума капіталу підприємства на певну дату;

Нормальне мінімальне значення коефіцієнта автономії оцінюється на рівні 0,5 і означає, що всі зобов’язання підприємства можуть бути покриті його власними коштами. Зростання коефіцієнта автономії свідчить про зростання фінансової незалежності підприємства, зниження ризику фінансових труднощів у майбутніх періодах;

б) коефіцієнт фінансового лівереджу. Він характеризує обсяг залучених позикових коштів на одиницю власного капіталу, тобто ступінь залежності підприємства від зовнішніх джерел фінансування.

(1.18)

де КФ - коефіцієнт фінансування;

ПК - позиковий капітал;

ВК - власний капітал;

в) коефіцієнт співвідношення власного й позикового капіталу, що дорівнює відношенню власних коштів до суми зобов’язань підприємства:

(1.19)

де Ксп - співвідношення власного і позикового капіталу;

ВК - власний капітал;

ПК - зобов’язання.

Нормальним значенням цього показника вважається значення, що перевищує одиницю.

Нерідко в аналітичній практиці використовують показник, обернений до показника фінансової стійкості - коефіцієнт заборгованості (Кз), який показує частку позикового капіталу в загальній сумі капіталу, що використовується. Його розраховують за формулою:

(1.20)

Відповідно позитивно оцінюється значення показника нижче одиниці;

г) коефіцієнт забезпеченості власними оборотними засобами, який розраховується як відношення суми власного оборотного капіталу підприємства та поточних активів (сума запасів і витрат, дебіторської заборгованості, грошових коштів підприємства і короткострокових цінних паперів):

(1.21)

де Квоз - коефіцієнт забезпеченості власними оборотними засобами;

ВОК - власний оборотний капітал;

ПА - поточні активи.

Нормальним вважається значення показника, що перевищує 0,1;

д) коефіцієнт покриття інвестицій або коефіцієнт фінансової стабільності, який характеризує частку власного капіталу і довгострокових зобов’язань у загальній сумі активів підприємства:

(1.22)

де Кпі - коефіцієнт покриття інвестицій;

ВК - власний капітал;

ДЗ - довгострокові зобов’язання;

А - загальна сума активів.

В аналітичній практиці прийнято вважати нормальним значення коефіцієнта, що наближається до 0,9.

е) коефіцієнт інвестування або забезпеченості власним капіталом, який

показує ступінь покриття джерелами власних і прирівняних до них коштів суми основних засобів та інших необоротних активів:

(1.23)

де Кі - коефіцієнт інвестування;

ВК - власний капітал;

ОЗ - основні засоби.

Якщо коефіцієнт інвестування більше одиниці, то це є свідченням про достатність власного капіталу;

є) коефіцієнт довгострокового залучення позикових коштів, який характеризує структуру капіталу, що використовується для довгострокових інвестицій, тобто показує, яка частина основних засобів та інших необоротних активів профінансована зовнішніми інвесторами і належить до них, а не до власників підприємства. Коефіцієнт розраховують як співвідношення довгострокових зобов’язань до суми власного капіталу підприємства та його довгострокових зобов’язань:

(1.24)

де Кдз - коефіцієнт довгострокового залучення;

ВК - власний капітал;

ДЗ - довгострокові зобов’язання.

Зростання цього показника в певному розумінні - негативна тенденція, яка означає, що підприємство все сильніше залежить від зовнішніх інвесторів;

з) коефіцієнт короткострокової заборгованості, який відображає структуру залученого капіталу і визначається через відношення короткострокових зобов’язань до їх загальної суми:

(1.25)

де Ккз - коефіцієнт короткострокової заборгованості;

КЗ - короткострокові зобов’язання;

ДЗ - довгострокові зобов’язання;

и) коефіцієнт кредиторської заборгованості, який показує частку кредиторської заборгованості в загальній сумі зобов’язань підприємства:

 (1.26)

де Ккрз - коефіцієнт кредиторської заборгованості;

КрЗ - кредиторська заборгованість;

КЗ - короткострокові зобов’язання;

ДЗ - довгострокові зобов’язання.

Зростання цього показника характеризується негативно. Перелік наведених показників, що використовуються для оцінки фінансової стійкості підприємств, досить місткий, тому, доцільність вибору тих чи інших показників для цілей аналізу перш за все повинна визначатися специфікою фінансово-господарської діяльності підприємства.

Аналіз фінансової стійкості підприємства дозволяє оцінити ступінь стабільності його фінансового розвитку й рівень фінансових ризиків, що створюють загрозу його банкрутства.

. Залежно від співвідношення показників матеріально-виробничих запасів, власного оборотного капіталу та інших джерел формування запасів

можна з певною відносністю виділити такі типи фінансової стійкості.

а) абсолютна фінансова стійкість, що являє собою граничний тип фінансової стійкості. Вона задається умовою

  (1.27)

де МЗ - матеріально-виробничі запаси; ВОК - власний оборотний капітал. Це співвідношення показує, що всі запаси повністю покриваються власним оборотним капіталом, тобто підприємство не залежить від зовнішніх джерел фінансування;

б) Нормальна фінансова стійкість, яка гарантує платоспроможність підприємства. Вона описується виразом:

 (1.28)

КК - короткострокові кредити банків і позики;

КрЗ - кредиторська заборгованість.

Наведене співвідношення відповідає положенню, коли підприємство, що успішно функціонує, використовує для покриття запасів "нормальні джерела капіталу" - власні й залучені;

в) Нестійке фінансове становище, пов’язане з порушенням платоспроможності, при якому, однак, зберігається здатність поновлення рівноваги за рахунок джерел, що послаблюють фінансове напруження:

 (1.29)

ФН - фінансове напруження.

Фінансова нестійкість вважається допустимою, якщо величина залучених для формування запасів і витрат короткострокових кредитів і позикових коштів не перевищує сумарної вартості виробничих запасів, готової продукції і товарів (найбільш ліквідної частини запасів і витрат);

г) Кризовий фінансовий стан, при якому підприємство знаходиться на межі банкрутства, оскільки в цій ситуації грошові кошти, короткострокові цінні папери й кредиторська заборгованість підприємства не покривають навіть його кредиторської заборгованості й прострочених позик:

 (1.30)

Кризовий фінансовий стан характеризується також наявністю регулярних неплатежів, за якими кризовий стан може бути класифікований наступним чином: перший ступінь - наявність прострочених позик банку; другий ступінь - наявність, крім того, простроченої заборгованості постачальникам за товари; третій ступінь - наявність, крім того, недоїмок до бюджетів, що практично межує з банкрутством.

. Коефіцієнти оцінки ліквідності й платоспроможності характеризують здатність підприємства своєчасно розраховуватися за своїми поточними фінансовими зобов’язаннями за рахунок оборотних активів різного рівня ліквідності. Проведення такої оцінки потребує попереднього групування оборотних активів підприємства за рівнем ліквідності:

Ліквідні - всі оборотні активи;

Швидколіквідні - оборотні активи без урахування суми всіх запасів;

Готові засоби платежу - сума грошових коштів і поточних фінансових інвестицій.

Для проведення оцінки ліквідності і платоспроможності в процесі фінансового аналізу використовують наступні показники:

а) коефіцієнт абсолютної ліквідності, показує в якій мірі всі поточні зобов’язання підприємства забезпечені готовими засобами платежу, які воно має в наявності на певну дату:

(1.31)

де Кал - коефіцієнт абсолютної ліквідності;

ГК - грошові кошти;

ПФІ - поточні фінансові інвестиції;

ПЗ - поточні зобов’язання;

б) Загальний коефіцієнт покриття показує в якій мірі вся заборгованість по поточних фінансових зобов’язаннях може бути погашена за рахунок усіх його поточних (оборотних) активів:

(1.32)

де Кзп - загальний коефіцієнт покриття;

ОА - оборотні активи;

ПЗ - поточні зобов’язання;

в) Загальний коефіцієнт співвідношення дебіторської та кредиторської заборгованості характеризує загальне співвідношення розрахунків за цими видами заборгованості підприємства:

(1.33)

де Кскд - загальний коефіцієнт співвідношення дебіторської та кредиторської заборгованості;

ДЗ - дебіторська заборгованість;

КЗ - кредиторська заборгованість.

. Коефіцієнт фінансового левереджу (коефіцієнт фінансування) дозволяє встановити, яка сума позикових коштів залучена підприємством на одиницю власного капіталу. Фінансовий левередж вимірює ефект, який полягає у підвищенні рентабельності власного капіталу за допомогою збільшення частки позикового капіталу в його загальній сумі. Для розрахунку ефекту фінансового левереджу використовують формулу:

 (1.34)

де ЕФЛ - ефект фінансового левереджу, що полягає в прирості рентабельності власного капіталу, %;

СПП - ставка податку на прибуток;

КВРа - коефіцієнт валової рентабельності активів;

ПК - сума позикового капіталу;

ВК - сума власного капіталу.

Знання механізму впливу фінансового левереджу на рівень прибутковості власного капіталу і рівень фінансового ризику дозволяє цілеспрямовано управляти як вартістю, так і структурою капіталу підприємства.

. Основною з найважливіших передумов ефективного управління капіталом підприємства є оцінка його вартості.

Вартість капіталу являє собою ціну, яку підприємство платить за його залучення з різних джерел. Витрати на залучення капіталу або витрати на капітал - це сума постійних виплат, яку повинна здійснювати фірма власникам капіталу (інвесторам, кредиторам) з урахуванням суми залученого капіталу.

. Вартість капіталу підприємства слугує мірою прибутковості операційної діяльності. Оскільки вартість капіталу характеризує частину прибутку, який повинен бути виплачений за використання сформованого або залученого нового капіталу для забезпечення випуску та реалізації продукції, цей показник виступає мінімальною нормою формування операційного прибутку підприємства, нижньою межею при плануванні його розмірів.

. Вартість капіталу підприємства є базовим показником формування ефективності фінансового інвестування. Цей показник дозволяє оцінити не тільки реальну ринкову вартість або доходність окремих інструментів фінансового інвестування, але й сформувати найбільш ефективні напрямки й види цього інвестування на попередній стадії формування інвестиційного портфеля. І, звичайно, цей показник служить мірою оцінки прибутковості сформованого інвестиційного портфеля в цілому.

. Показник вартості капіталу в розрізі окремих його елементів використовується у процесі управління структурою цього капіталу на основі механізму фінансового левереджу. Мистецтво використання фінансового левереджу полягає у формуванні найвищого його диференціалу, однією з складових якого є вартість позикового капіталу. Мінімізація цієї складової забезпечується у процесі оцінки вартості капіталу, який залучається з різних позикових джерел, і формування відповідної структури джерел його використання підприємством.

. Рівень вартості капіталу підприємства є найважливішим вимірником рівня ринкової вартості цього підприємства. Зниження рівня вартості капіталу призводить до відповідного зростання ринкової вартості підприємства й навпаки. Таким чином, управління вартістю капіталу є одним із самостійних напрямків підвищення ринкової вартості підприємства, що є однією з цілей управління його прибутком.

Підводячи підсумки треба підкреслити, що існує багато підходів до удосконаленя системи управління капіталом на підприємстві. Капітал підприємства представляє собою грошові кошти що знаходяться в розпорядженні підприємства та призначені для покриття потреб у забезпеченні процесу його функціонування. Капітал в залежності від джерел залучення поділяється на власний та позиковий які в свою чергу мають свої особливості переваги та недоліки що здійснюють певний вплив на процес функціонування підприємства. Під структурою капіталу розуміють співвідношення власних та позикових коштів які підприємство використовує в процесі господарської діяльності.

Розділ 2. Аналіз системи управління капіталом на підприємствах різних організаційно-правових форм

2.1 Аналіз фінансово-госоподарської діяльності підприємств

Фінансовий стан підприємства - це комплексне поняття, яке є результатом взаємодії всіх елементів фінансових відносин підприємства, визначається сукупністю виробничо-господарських факторів і характеризується системою показників, що відображають наявність, розміщення і використання фінансових ресурсів.

Відповідно до теми магістерської роботи, дослідження фінансового стану підприємств проведемо через призму капіталу, оскільки саме капітал забезпечує фінансову стійкість підприємства, а отже є основою його діяльності.

З метою найбільш глибокого вивчення особливостей системи управління капіталом на вітчизняних підприємствах для аналізу у нашому дослідженні були обрані чотири підприємства різних організаційно-правових форм: ДП ПАТ "Київський завод "Радар", ПрАТ "Київфундаментбуд", ПАТ "Фармак", ТОВ "Форум 2000".

ПАТ "Київський завод "Радар" - одне з передових підприємств України, що спеціалізується на виробництві сучасного радіоелектронного і радіолокаційного обладнання для літаків і вертольотів. Завод був створений в 1930 році і став одним з перших заводів авіаційного приладобудування в Україні. Завод відомий, як виробник перших у СРСР літакових радіолокаторів ПСБН, радіолокаційних головок самонаведення для авіаційних ракет класу "повітря-повітря", а також складних і особливо складних радіолокаційних комплексів для літаків і вертольотів, що випускаються авіаційними підприємствами Харкова, Києва, Казані, Ульяновська, Новосибірська , Ташкента, Кумертау та інших міст.

У даний час завод здійснює виробництво та ремонт метеонавігаційних РЛС "Буран-А" (для літаків АН-140, АН-148, АН-74ТК-300, БЕ-200, ІЛ-114), бортовий навігаційно-посадкової апаратури "Курс-93М "(для АН-140, МІГ-29, МІ-8), МНРЛС-85,″Гроза″, ″Буран ″ (для літаків ТУ, АН, ІЛ різних типів), головок самонаведення 9Б 1101К (для ракет Р27Р1"повітря-повітря"), прицільно-навігаційних комплексів ПНС-24М (для СУ-24)," Восьминіг "(для КА-27, КА-28), систем держрозпізнавання 6231Р (для СУ-27, МІГ-29).

ПрАТ "Київфундаментбуд", було засноване в 1962 році і вже більше 50 років функціонує як найбільше підприємство з будівництва очисних споруд, яке свого часу було субпідрядною організацією в системі Мінпромбуду України.

На сьогоднішній день основна діяльність ПрАТ "Київфундаментбуд" зводиться до виконання таких будівельно-монтажних робіт, як:

-                  статичні та динамічні випробування паль;

-        улаштування буроін’єкційних та буронабивних паль;

         заглиблення залізобетонних паль;

         улаштування кріплень з шпунта ударним і вібраційним методами;

         будівництво каналізаційних насосних станцій;

         будівництво споруд методом "стіна в грунті";

-                  будівництво залізобетонних резервуарів для води ємністю від 100 до 20000 куб. м..

За кращі будинки та комплекси житлово-цивільного і промислового призначення, збудовані в Україні, ПрАТ "Київфундаментбуд" було затверджено колективним членом Академії будівництва України, а у 2005 році нагороджено Почесним дипломом "Краще підприємство України".

ПАТ "Фармак" - провідна українська фармацевтична компанія, створена в 1925 р., яка забезпечує 15,9% обсягу виробництва лікарських засобів в Україні. На сьогоднішній день підприємство випускає понад 170 найменувань лікарських препаратів.

Серед стратегічних препаратів компанії можна відзначити такі як: Амізон, Антраль, Барбовал, Валідол, Діазолін, Корвалол, Ламікон, Риназолін, Нафтізін, Хондрасил та інші.

Нові лікарські засоби ПАТ "Фармак" випускаються на базі сучасних технологій і досягнень у галузі фармакології та медицини. На підприємстві впроваджуються новітні технології, проводиться технічне переоснащення і модернізація виробничих потужностей відповідно з правилами належної виробничої практики лікарських засобів GMP.

Понад 21% виготовленої продукції ПАТ "Фармак" експортується в 26 країн Європи, СНД, США і Південно-Східної Азії. Компанія "Фармак" є учасником національних конкурсів якості і за останні роки отримала ряд нагород і сертифікатів. Зокрема, компанія ПАТ "Фармак" стала єдиним представником фармацевтичної індустрії країн-членів СНД на престижній Міжнародній виставці фармацевтичних інгредієнтів та допоміжних продуктів "СPHI Worldwide" (2003 р.) у Франкфурті.

ТОВ "Форум 2000" створено як товариство з обмеженою вiдповiдальнiстю і зареєстроване Мінською Районною Державною Адмiнiстрацiєю м. Київ 19 березня 2001 року. Підприємство здійснює оптову та роздрібну торгівлю технікою, побутовою технікою, будiвельно-оздоблювальними матерiалами.

ТОВ "Форум 2000" пропонує широкий вибір матеріалів для реклами, поліграфії та будівництва:

-    плівка ORACAL для реклами і поліграфії, різноманіття кольорів, діапазонів використання;

-    плівки та папір для цифрового широкоформатного друку, ламінації та монтажу зображень;

-    голографічні та світловідбиваючі плівки компанії "LG Chem";

-    ПВХ-плівки товщиною від 0,2 мм для виготовлення POS-продукції та друку;

-    пластмасові листи стіролакрілонітрила (SAN) прозорі та молочні, товщиною від 1 мм;

-    прозорий антибліковий та декоративний полістирол (PS) товщиною від 1 мм;

-    РЕТ-плівки та листи прозорі, товщиною від 0,5 мм для демонстраційних фондів, стендів, торгівельного обладнання, упаковки;

-    листовий та сотовий поліпропілен для реклами, друку, упаковки;

-    банерні тканини для оформлення фасадів, фестивалів, шоу, світлової реклами;

-    вінілові тентові та гоночні тканини для виготовлення тентів;

-    штучний мармур Hi-MACS для кухонних та барних меблів, ванних кімнат, підвіконня, облицювання стін;

-    алюмінієві профілі.

-    клеї та поліролі.

ТОВ "Форум 2000" є членом Європейської Асоціації Дистриб’юторів Пластиків - EPDA (European plastics distributors association). Європейська Асоціація Дистриб’юторів Пластиків була створена в 1975 році і сьогодні в ній представлені майже всі європейські країни. В складі EPDA входять компанії, сферою діяльності яких є дистрибуція та виробництво пластикових листів, стрижнів, труб, плівок та ін. Критерії відбору членів EPDA дуже високі - компанія повинна відповідати високим європейським стандартам.

Для ТОВ "Форум 2000" притаманна висока конкуренцiя в галузi. Конкуренцiю пiдприємству в реалiзацiї технiки та будiвельно-оздоблювальних матеріалів складають оптовi та роздрiбнi мережi магазинiв побутової технiки та будiвельних матерiалiв в м. Києвi: ТОВ "Техномаркет", "Ельдорадо", "Нова лінія" та iншi.

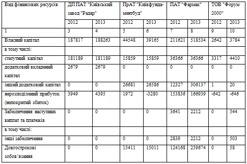
Для проведення аналізу ефективності використання капіталу на підприємствах, ми будемо використовувати данні які наведено в таблиці (табл. 2.1). капітал управління фінанси економічний

Ефективність використання капіталу визначається в першу чергу результатами від його функціонування і зв'язком з витратами, необхідними для одержання цих результатів. У даному випадку, під ефективністю використання капіталу, мається на увазі величина прибутку, отриманого на одну гривню вкладеного капіталу.

Але, так як стан капіталу в процесі діяльності підприємства постійно змінюється, на нашу думку, крім показника величини одержуваного прибутку, ефективність функціонування капіталу визначається саме більш загальним показником - величиною приросту капіталу за період. Виходячи з даного припущення, та щоб більш повно охарактеризувати використання власного капіталу ДП ПАТ "Київський завод "Радар", ПАТ "Фармак", ПрАТ "Київфундаментбуд" та ТОВ "Форум 2000" проаналізуємо забезпеченість цих підприємств фінансовими ресурсами на основі таблиці 2.1.

Таблиця 2.1 Забезпеченість фінансовими ресурсами підприємств різних організаційно-правових форм господарювання


Аналізуючи забезпеченість ДП ПАТ "Київський завод "Радар" фінансовими ресурсами можна сказати, що протягом 2-х років в структурі фінансових ресурсів підприємства власні ресурси збільшились на 446 тис. грн. Підприємство для своєї діяльності не залучає позикові ресурси (короткострокові та довгострокові кредити відсутні).

Аналізуючи забезпеченість фінансовими ресурсами ПрАТ "Київфундаментбуд", слід зазначити, що в структурі фінансових ресурсів підприємства частка власних ресурсів зменшилась на 5252 тис. грн. Це було спричинено виникненням досить значної суми непокритих збитків за цей період діяльності. Тому підприємство для своєї подальшої ефективної діяльності було змушене залучити позикові ресурси (довгострокові кредити банків). Разом з тим залучені кошти також зросли на 2753 тис.грн.

Говорячи про забезпеченість фінансовими ресурсами ПАТ "Фармак" можемо відзначити, що протягом 2-х років в структурі фінансових ресурсів підприємства його власні ресурси зменшились на 103302 тис. грн. з причин, аналогічних вищезгаданим на ПрАТ "Київфундаментбуд". Тому підприємство для своєї діяльності активно залучає капітал, і зокрема позикові ресурси.

Щодо ТОВ "Форум 2000", то підприємство використовує і залучені, і позикові кошти. Однак за рахунок виваженої політики обліку та управління власним капіталом підприємств вдалося збільшити його обсяг на 1142 тис. грн.

Слід зазначити, що при аналізі співвідношення власного та залученого капітало особливої уваги заслуговує вирішення проблеми оптимізації, яке вимагає врахування того, що:

-        з одного боку, зростання долі позичкового капіталу підвищує мінливість чистого грошового потоку, тобто збільшує фінансовий ризик;

         але з іншого боку, більш високе значення долі позичкового капіталу забезпечує зростання рентабельності власного капіталу підприємства, і підвищує величину чистого прибутку, що отримується.

Основним показником, що характеризує ефективність функціонування підприємства, його життєздатність у довгостроковому періоді є наявність власного капіталу та раціональна його структура. Складові власного капіталу та їх динаміка за 2012-2013 рр на досліджуваних підприємствах представлені у таблиці 2.2. Щодо аналізу структури власного капіталу та її складових, для кожної організаційно-правової форми підприємства, то, для кращого сприйняття інформації, відобразимо її у вигляді діаграм (рис. 2.1).

Як бачимо з рисунку 2.1, структура власного капіталу підприємств різних організаційно-правових форм значно різниться. Це пов’язано з низкою факторів, одним з яких є цілі та пріоритети системи управління капіталом на підприємстві.

Отже, в умовах ринкової економіки відбувається зміщення пріоритетів в об'єктах та цільових установах системи управління об'єктом господарювання. Якщо в економіці, що централізовано планувалась, свобода в маніпулюванні ресурсами була достатньо обмежена, а підприємства були поставлені в жорсткі рамки і не могли вибирати найбільш раціональну структуру ресурсів, що ними використовувались, то в ринковій економіці такі обмеження по суті не існують, а ефективне управління ресурсами вимагає здійснення раціоналізації ресурсного потенціалу підприємства.

2.2 Аналіз складу та структури капіталу на підприємствах різних організаційно-правових форм

У ході аналізу ефективності використання капіталу підприємств різних організаційно-правових форм у роботі визначається його величина, вивчається структура і динаміка, проводиться оцінка співвідношень між окремими групами джерел капіталу. Початковим етапом аналізу структури капіталу досліджуваних підприємств є визначення частки власних і позикових джерел у загальній сумі капіталу. При цьому слід використовувати методи вертикального і горизонтального аналізу пасивної частини бухгалтерського балансу. Проаналізуємо фінансовий стан підприємств на основі показників, вказаних у пункті 1.3, а результати згрупуємо в таблицю.

Таблиця 2.3 Дослідження показників фінансового стану підприємств різних організаційно-правових форм через призму власного капіталу по групах аналізу

Нижче проаналізуємо отримані показники по кожному підприємству окремо.

ДП ПАТ "Київський завод "Радар"

. Коефіцієнт абсолютної ліквідності. На досліджуваному підприємстві протягом досліджуваного періоду з’явилася загроза щодо зростання фінансових ризиків, оскільки в результаті аналізу спостерігається дуже стрімке зменшення значення КФЛ, що було викликане збільшенням у 3,2 рази обсягу короткострокових банківських кредитів у 2013 році та одночасним зниженням фінансових інвестицій до 0, у порівнянні з 2012 роком, коли обсяг фінансових інвестицій на підприємстві сягав 7137 тис. грн.

. Коефіцієнт незалежності. Значення КН перебуває в рекомендованих межах і коливалося в межах 88-90%, що свідчить про фінансову незалежність підприємства від зовнішніх джерел фінансування діяльності. Незначне зменшення значення КН у 2013 році зумовлено зростанням обсягів поточних зобов’язань у порівнянні з попереднім періодом на 26%, при чому це збільшення відбулося за рахунок зростання обсягів короткострокових кредитів банків.

. Коефіцієнт фінансової стійкості. Значення КФС перебуває у рекомендованих межах і коливалося в межах 88-90%, що свідчить про фінансову стійкість даного підприємства. Незначне зменшення значення КФС у 2013 році зумовлено тими ж факторами, що і у випадку зменшення коефіцієнта незалежності на підприємстві.

. Коефіцієнт фінансового левериджу. На досліджуваному підприємстві протягом досліджуваного періоду довгострокові зобов’язання були не значними, тому ризик залежності підприємства від довгострокових зобов’язань не суттеві.

ПрАТ "Київфундаментбуд"

. Коефіцієнт абсолютної ліквідності. На досліджуваному підприємстві протягом досліджуваного періоду з’явилася загроза щодо зростання фінансових ризиків, оскільки в результаті аналізу спостерігається дуже стрімке зменшення значення КФЛ, що було викликане збільшенням з 1540 тис.грн. до 3047 тис.грн. кредиторської заборгованості підприємства за товари, роботи і послуги, а також незначним зростанням поточних зобов’язань за розрахунками з оплати праці, бюджетом та інших поточних зобов’язань та одночасним зниженням обсягу грошових коштів підприємства практично до 0, у порівнянні з 2012 роком, коли обсяг грошових коштів підприємства у національній валюті складав 99 тис грн..

. Коефіцієнт незалежності. Значення КН не перебуває в рекомендованих межах і має негативну тенденцію до зниження. Його значення у 2013 році становило 16,1%, що на 18,5% менше ніж у попередньому. Все це свідчить про фінансову залежність підприємства від зовнішніх джерел фінансування діяльності. Зменшення значення КН у 2013 році зумовлено зменшенням обсягу власного капіталу у порівнянні з попереднім періодом на 5252 тис.грн., при чому це зменшення відбулося за рахунок зростання обсягу непокритих збитків підприємства.

. Коефіцієнт фінансової стійкості. Значення КФС перебуває у рекомендованих межах і коливалося в межах 63-82%, що свідчить про фінансову стійкість даного підприємства. Хоча негативним фактором є тенденція до стрімкого зниження значення КН у 2013 році, що зумовлено тими ж факторами, що і у випадку зниження коефіцієнта незалежності.

. Коефіцієнт фінансового левериджу. На досліджуваному підприємстві протягом досліджуваного періоду існувала загроза щодо зростання фінансових ризиків, оскільки підприємство на цей період мало значні довгострокові зобов’язання. Хоча у 2013 році і відбулося часткове погашення довгострокових банківських кредитів, та одночасне зменшення у 2,4 рази обсягів власного капіталу підприємства все одно спричинило негативну тенденцію до збільшення даного показника більш ніж у 2 рази.

ПАТ "Фармак"

. Коефіцієнт абсолютної ліквідності. На досліджуваному підприємстві протягом досліджуваного періоду існує загроза фінансових ризиків, оскільки в результаті аналізу було отримано дуже низьке значення КФЛ, що коливається в межах 9-10%. Негативні наслідки зумовлені значним обсягом короткострокових банківських кредитів та поточної заборгованості за довгостроковими зобов’язаннями, обсяги яких становлять у 2013 році 178184 тис.грн. та 70806 тис.грн. відповідно. Навіть значні суми грошових коштів у іноземній валюті, обсяг яких, до того ж зріс у 2013 році у 2 рази не забезпечують підприємству достатнього рівня ліквідності.

. Коефіцієнт незалежності. З 2013 року значення КН перебуває в рекомендованих межах і становить 54%, що свідчить про фінансову незалежність підприємства від зовнішніх джерел фінансування діяльності. Значне збільшення значення КН у 2013 році зумовлено зростанням обсягів власного капіталу у порівнянні з попереднім періодом на 306913 тис. грн.. або майже у 2,5 рази, при чому це збільшення відбулося за рахунок зростання обсягів нерозподіленого прибутку підприємства у 2013 році.

. Коефіцієнт фінансової стійкості. З 2013 року значення КФС перебуває у рекомендованих межах і становить 80%, що свідчить про фінансову стійкість даного підприємства. Значне збільшення значення КФС у 2013 році зумовлено тими ж факторами, що і у випадку збільшення коефіцієнта незалежності на підприємстві.

. Коефіцієнт фінансового левериджу. На досліджуваному підприємстві протягом досліджуваного періоду існувала загроза фінансових ризиків, оскільки підприємство на цей період мало значні довгострокові зобов’язання. Крім того у 2013 році зріс обсяг довгострокових банківських кредитів у 2,3 рази, порівняно з 2012 роком, негативний вплив від чого урівноважило лише одночасне збільшення обсягів власного капіталу, що і спричинило позитивну тенденцію до зниження коефіцієнта.

ТОВ "Форум 2000"

. Коефіцієнт абсолютної ліквідності. На досліджуваному підприємстві протягом досліджуваного періоду з’явилася загроза щодо зростання фінансових ризиків, оскільки в результаті аналізу спостерігається дуже стрімке зменшення значення КФЛ, що було викликане збільшенням у 2013 році на 1030 тис.грн. або у 6,7 рази обсягу кредиторської заборгованості за товари, роботи, послуги та одночасним зниженням грошових коштів підприємства у 7,4 рази у порівнянні з 2012 роком, коли їх обсяг на підприємстві сягав 1177 тис. грн. Високий показник абсолютної ліквідності підприємства свідчить про ведення ним неефективної грошової політики.

. Коефіцієнт незалежності. Значення КН перебуває в рекомендованих межах і коливалося в межах 52-59%, що свідчить про фінансову незалежність підприємства від зовнішніх джерел фінансування діяльності. Незначне зменшення значення КН у 2013 році зумовлено зростанням обсягів поточних зобов’язань у порівнянні з попереднім періодом на 60%, при чому це збільшення відбулося за рахунок зростання обсягів кредиторської заборгованості за товари, роботи, послуги.

. Коефіцієнт фінансової стійкості. Значення КФС перебуває у рекомендованих межах і коливалося в межах 59-60%, що свідчить про фінансову стійкість даного підприємства. Незначне збільшення значення КФС у 2013 році зумовлено наявністю на підприємстві фонду забезпечення наступних виплат і платежів.

. Коефіцієнт фінансового левериджу. На досліджуваному підприємстві у 2012 році довгострокові зобов’язання були не значними, тому ризик залежності підприємства від довгострокових зобов’язань безпечний. Незначне зменшення цього показника відбулося у 2013 році (1,5%), та не перевищило рекомендованих меж (25%), тому фінансовий ризик є практично відсутнім.

З точи зору інвестиційної привабливості структура джерел капіталу не має великого значення, але для внутрішніх управлінських цілей при оцінці діяльності підприємства цей показник дуже важливий. Тому проаналізуємо співвідношення власних та запозичених джерел приросту капіталу за допомогою таблиці 2.4.

Таблиця 2.4 Співвідношення власного та запозиченого капіталу на підприємствах різних організаційно-правових форм у 2012-2013 роках, %

Назва підприємства

Частка власного капіталу у пасивах підприємства, %

Частка запозичених коштів у пасивах підприємства, %

Відношення власних і запозичених джерел капіталу


2012

2013

2012

2013

2012

2013

1

2

3

4

5

6

7

ДП ПАТ "Київський завод "Радар"

97,8

93,2

2,2

6,8

0,02

0,07

ПрАТ "Київфундаментбуд"

44,5

46,1

45,5

53,9

1,02

1,16

ПАТ "Фармак"

61,1

59,1

38,9

40,9

0,63

0.69

ТОВ "Форум 2000"

81,0

86,0

19,0

14,0

0,23

0,16


Як бачимо у більшості досліджуваних підприємств власні джерела капіталу переважають запозичені, особливо це є характерним для підприємства ДП ПАТ "Київський завод "Радар", 100% акцій якого належить державі. Лише у підприємства ПрАТ "Київфундаментбуд" частка власних коштів у порівнянні з запозиченими є най меншою .

2.3 Оцінка ефективності системи управління капіталом на підприємствах

Управління капіталом підприємства пов’язано з встановленням, описом та аналізом внутрішніх закономірностей його формування, розміщення та використання. Зовнішній прояв дії закономірностей функціонування капіталу підприємства виражається в зміні часткових показників, що характеризують стан капіталу підприємства на певний момент часу.

Виходячи із результатів дослідження, ми дійшли висновку, що ефективність системи управління на підприємствах характеризується стійкістю підприємства. Фінансова стійкість характеризує ступінь фінансової незалежності підприємств щодо володіння своїм майном і його використання.

Значимість оптимізації політики залучення позикових коштів пов’язані з необхідністю прогнозування результатів фінансово-господарської діяльності відповідно до поточного фінансового стану підприємства. Важливим елементом системи його оцінки є аналіз рентабельності вкладень капіталу, яка на сучасному етапі є тим фактором, що безпосередньо впливає на фінансову стабільність суб’єкта господарювання.

Аналіз літератури з економічного аналізу свідчить, що серед провідних вчених і науковців немає єдності щодо застосування коефіцієнтів фінансової стійкості. Зараз в Україні набуло поширення застосування західних методик розрахунку фінансових коефіцієнтів. Функціонуючі в інших країнах світу методики аналізу фінансової стійкості здебільшого неспроможні правильно оцінити стан справ на підприємствах України. Вивчення підходів до проведення аналізу фінансової стійкості, які запропоновані різними авторами, дозволяє з’ясувати, що в нашій країні відсутня єдина методика розрахунку фінансових коефіцієнтів. Тому потрібно розробити науково обґрунтовану методику, яка б задовольнила інтереси широкого кола користувачів. Адже фінансові показники повинні давати об’єктивну і точну характеристику фінансового стану підприємства, його стійкості; для всіх показників мають бути зазначені числові нормативи діапазону їх змін як у просторі, так і в часі. Детально вивчивши літературні джерела, за сучасних умов діяльності для оцінки фінансової стійкості підприємств нами були застосовані показники наведені в табл. 2.5.

Як свідчать дані таблиці 2.5, у 2012-2013 роках фінансова стійкість підприємств характеризується нерівномірністю. Можна сказати, що підприємство ДП ПАТ "Київський завод "Радар" є досить стійким, тоді як ПрАТ "Київфундаментбуд" характеризується невисоким ступенем стійкості. ПАТ "Фармак" та ТОВ "Форум 2000" займають проміжну позицію.

Отже, можемо зробити висновок, що система управління капіталом на усіх досліджуваних підприємствах має певні недоліки, які пов’язані з нераціональним перерозподілом капіталу у його структурі, а також орієнтацією більшості підприємств у своїй діяльності на короткострокові перспективи, а оскільки нарощення капіталу є довготривалим процесом, то необхідність вдосконалення системи управління капіталом є значною.

Для більш повного аналізу стану надходжень до підприємств розглянемо динаміку зміни відносних показників прибутковості табл. 2.6.

Таблиця 2.6 Дослідження показників рентабельності та оборотності капіталу підприємств різних організаційно-правових форм через призму власного капіталу по групах аналізу

№ п/п

Показники

ДП ПАТ "Київський завод "Радар"

ПрАТ "Київфундамент-буд"

ПАТ "Фармак"

ТОВ "Форум 2000"



2012

2013

2012

2013

2012

2013

2012

2013

1

2

3

4

5

6

7

8

9

10

1. Аналіз оборотності капіталу

1.1.

Коефіцієнт обороту власного капіталу

0,2390

0,3551

1,4916

5,1202

2,4382

0,7583

3,4905

0,2895

2. Аналіз рентабельності

2.1.

Рентабельність власного капіталу

0,0036

0,0031

0

0

0

0,0760

0

0

3. Аналіз рентабельності капіталу підприємства

3.1.

Коефіцієнт реінвестування

-

0,7716

-

-

-

7,7843

-

-

3.2.

Коефіцієнт економічного росту

-

0,0024

-

-1,3756

-

0,5919

-

0,0040


Нижче проаналізуємо отримані показники по кожному підприємству окремо.

ДП ПАТ "Київський завод "Радар"

. Коефіцієнт обороту власного капіталу. Протягом досліджуваного періоду на підприємстві спостерігається низька ефективність використання власного капіталу, крім того, значення коефіцієнта не відповідає мінімальним встановленим межам, отже можна говорити про неефективне використання власного капіталу на даному підприємстві. Незначне збільшення показника у 2013 році досягається за рахунок зростання майже у 1,5 рази чистого доходу від реалізації продукції на підприємстві.

. Рентабельність власного капіталу. Рентабельність власного капіталу даного підприємства є дуже низькою Кожна 1 грн. власного капіталу у 2013 році принесла лише 0,3 копійки прибутку підприємства. Спостерігається подальше зниження даного показника, що, як і у попередніх випадках, було спричинено значним зростанням обсягу власного капіталу у порівнянні з прибутком підприємства. Крім того, спостерігається негативна тенденція до падіння частки чистого прибутку що йде на поповнення власного капіталу, що підтверджується зниженням показника у порівнянні з попереднім періодом на 0,05%. Отже, підприємство практично не має можливостей розширення своєї діяльності.

. Коефіцієнт реінвестування. У 2013 році капіталізована частка чистого прибутку підприємства становила 0,772, це означає, що 77,2% чистого прибутку було спрямовано на збільшення власного капіталу підприємства. Але, не зважаючи на досить високий показник, ефективність використання власного капіталу на підприємстві є низькою, оскільки його прибутковість складає лише 0,3%.

. Коефіцієнт економічного росту. Темпи збільшення власного капіталу за рахунок чистого прибутку підприємства є дуже низькими, оскільки значення нерозподіленого прибутку протягом 2012-2013 років зросло лише на 446 тис. грн. Отже, можна стверджувати, що на підприємстві присутні позитивні тенденції щодо прискорення темпів зростання власного капіталу за рахунок чистого прибутку.

ПрАТ "Київфундаментбуд"

. Коефіцієнт обороту власного капіталу. Протягом досліджуваного періоду на підприємстві спостерігається позитивна тенденція до зростання ефективність використання власного капіталу, крім того, оскільки значення коефіцієнта у 2013 році, що у 2012 році навіть не відповідало мінімальним встановленим межам, зросло майже у 3,5 рази. Отже можна говорити про значне покращення ефективності використання власного капіталу на даному підприємстві, що відбулося насамперед за рахунок зростання на 6020 тис.грн. чистого доходу від реалізації продукції, робіт та послуг на підприємстві.

. Рентабельність власного капіталу. Рентабельність власного капіталу дорівнює нулю, оскільки прибутку за даний період підприємство не мало.

3. Коефіцієнт реінвестування. У 2013 році чистого прибутку на збільшення власного капіталу підприємства спрямовано не було, оскільки за даний період прибутку підприємство не мало взагалі.

. Коефіцієнт економічного росту. Темпи збільшення власного капіталу за рахунок чистого прибутку підприємства мають негативне значення, оскільки у 2013 році на підприємстві спостерігалася збиткова діяльність, у результаті якої непокриті збитки підприємства досягли 3280 тис.грн. Отже, на підприємстві спостерігається негативна тенденція щодо прискорення темпів зростання власного капіталу за рахунок чистого прибутку.

ПАТ "Фармак"

. Коефіцієнт обороту власного капіталу. Протягом досліджуваного періоду на підприємстві спостерігається різке зниження ефективності використання власного капіталу, крім того, значення коефіцієнта не відповідає мінімальним встановленим межам, отже можна говорити про неефективне використання власного капіталу на даному підприємстві. Значне зменшення показника у 2013 році зумовлено падінням майже на 25% чистого доходу від реалізації продукції на підприємстві.

. Рентабельність власного капіталу. Рентабельність власного капіталу у 2012 році дорівнює нулю, оскільки прибутку за даний період підприємство не мало. У 2013 році рентабельність власного капіталу даного підприємства мала тенденцію до зростання, але була дуже низькою: кожна 1 грн. власного капіталу у 2013 році принесла лише 7,6 копійки прибутку підприємства. Спостерігається подальше зниження даного показника, що спричинено значним зростанням обсягу власного капіталу у порівнянні з обсягами прибутку підприємства. Отже, підприємство практично не має можливостей розширення своєї діяльності.

3. Коефіцієнт реінвестування. Спостерігається значна позитивна тенденція до зростання частки чистого прибутку що йде на поповнення власного капіталу, що підтверджується зниженням показника, яке становить 7,78. Таке надзвичайно високе значення показника спричинене збільшенням у 24 рази порівняно з 2012 роком іншого додаткового капіталу підприємства. Але, не зважаючи на високий показник, ефективність використання власного капіталу є низькою, оскільки його прибутковість складає лише 7,6%.

. Коефіцієнт економічного росту. Темпи збільшення власного капіталу за рахунок чистого прибутку підприємства є дуже високими, оскільки значення нерозподіленого прибутку та іншого додаткового капіталу протягом 2012-2013 років зросло аж на 306913 тис.грн. Отже на підприємстві спостерігається тенденція стрімкого прискорення темпів зростання власного капіталу за рахунок чистого прибутку, а отже і економічного росту.

ТОВ "Форум 2000"

. Коефіцієнт обороту власного капіталу. Протягом досліджуваного періоду на підприємстві спостерігається погіршення ефективності використання власного капіталу, з 2013 року значення коефіцієнта вже не відповідає мінімальним встановленим межам, що говорить про неефективне використання власного капіталу на даному підприємстві. Зменшення показника у 2013 році відбулося за рахунок падіння майже у 7,4 рази чистого доходу від реалізації продукції на підприємстві.

. Рентабельність власного капіталу. Рентабельність власного капіталу дорівнює нулю, оскільки прибутку за даний період підприємство не мало.

3. Коефіцієнт реінвестування. У 2013 році чистого прибутку на збільшення власного капіталу підприємства спрямовано не було, оскільки за даний період прибутку підприємство не мало взагалі.

. Коефіцієнт економічного росту. Темпи збільшення власного капіталу за рахунок чистого прибутку підприємства є дуже низькими, оскільки значення нерозподіленого прибутку протягом 2012-2013 років зменшилося на 4 тис. грн. і позитивну тенденцію зростання зберегло лише внесення 20 тис.грн. іншого додаткового капіталу підприємства.

Розділ 3. Розробка напрямів удосконалення системи управління капіталом підприємств

3.1 Удосконалення системи управління капіталом підприємства

У сучасних умовах господарювання вітчизняних підприємств особливого значення набули питання підвищення ефективності управління, а, отже - підвищення якості управлінських рішень, що приймаються керівниками підприємства на усіх рівнях. Одним з важливих факторів, що забезпечують становлення та розвиток діяльності підприємства, є грамотне управління його капіталом.

Раціональне формування та використання капіталу підприємства вимагає постійного відстеження змін у його розмірі та структурі. Це здійснюється шляхом ретельного ведення бухгалтерського обліку господарських операцій, пов’язаних зі змінами у розмірі та складі власного капіталу, і відображення відповідних даних в основних формах фінансової звітності підприємства - у першому розділі пасиву Балансу, а також у звіті про власний капітал.

Складність управління власним капіталом полягає в тому, що в процесі поточної діяльності відбуваються безперервні зміни, пов’язані зі збільшенням або зменшенням як його загальної величини, так і окремих його складових. Крім того, на підприємствах різних організаційно-правових форм питання управління капіталом також мають певні особливості.

Проведений аналіз існуючих наукових робіт за тематикою управління капіталом дозволяє стверджувати, що сутність управління капіталом найчастіше висвітлюється у фінансовому аспекті (як управління фінансовими ресурсами) [35, с.144]. Опис та обґрунтування цілісної інтегрованої системи управління всіма видами капіталу наводиться у науковій літературі лише фрагментарно.

В широкому розумінні, система управління капіталом - це сукупність взаємопов’язаних та взаємодіючих елементів, до яких, на нашу думку, відносяться підходи до управління капіталом, базові положення системи управління капіталом, забезпечення управління капіталом та складові системи управління капіталом.

Практичний досвід в сфері управління капіталом свідчить, що невелике число управлінських команд змогли добитися постійного зростання капіталу, замінивши традиційний підхід до управління на критичніший, краще інформований і гнучкіший процес управління капіталом, такий, що тісно прив'язує стратегію до довгострокових цілей.

Рішучість в управлінні капіталом а особливо готовність перерозподілити капітал життєво важлива, оскільки досвід показує, що тільки 10 відсотків нових стратегій і 60 відсотків перевірених часом стратегій, із 179 варіантів направлених на розширення, добиваються запланованого зростання і цілей по прибутковості. Окремі компанії насильно проводять перерозподіл, встановлюючи цілі по мінімальному річному "обороту капіталу" в 10-15% від всього інвестованого капіталу [25, с. 34].

Ми вважаємо, що у процесі свого становлення система управління капіталом повинна проходити певний перелік етапів:

         розробка;

         впровадження;

-        оцінювання;

-        моніторинг;

-        удосконалення.

З метою розробки цілісної системи управління капіталом актуальним і необхідним є проведення аналізу загальних наукових підходів до управління та адаптація їх для використання при управлінні капіталом.

Такі підходи доцільно поділити на дві групи:

         перша розглядає капітал підприємства як елемент глобальнішої системи, наприклад, системи управління фінансами підприємства або системи управління підприємством в цілому (логічний, відтворювально-еволюційний, функціональний, процесний, структурний, ситуаційний та директивний, а також комплексний, глобальний, інтеграційний та маркетинговий);

         друга - як систему із своїми елементами (логічний, відтворювально-еволюційний, функціональний, процесний, структурний, ситуаційний та директивний).

До того ж, до управління капіталом необхідним є застосування всіх перерахованих підходів, так як кожен з них більш глибоко висвітлює свій аспект управління. Вони не дублюють, а доповнюють один одного.

Вітчизняними науковцями обґрунтовано, що до базових положень системи управління капіталом входить встановлення принципів, визначення мети і завдань управління капіталом підприємства.

Забезпечення системи управління капіталом - сукупність матеріальних, фінансових або будь-яких інших засобів і організаційних заходів для реалізації завдань управління капіталом.

Доцільно виділити та розглянути інтелектуальне, інформаційне та технічне забезпечення системи управління капіталом. Однак зазначимо, що такі види забезпечення не є відокремленими елементами, а тісно пов’язані між собою.

Одним з етапів формування системи управління капіталом є виділення її складових. Проведені теоретичні дослідження дають змогу стверджувати, що до них відносяться процесна, функціональна, організаційна та методична.

У межах процесної складової розглядається сукупність взаємозалежних управлінських процесів, спрямованих на обґрунтування, вироблення, прийняття й виконання рішень щодо формування та використання капіталу.

У межах функціональної - сукупність функцій управління як специфічних видів діяльності по обґрунтуванню, виробленню, прийняттю й виконанню управлінських рішень.

У межах організаційної - сукупність спеціалізованих органів управління, взаємодіючих і взаємозалежних між собою для досягнення цілей і завдань управління капіталом.

Методична складова складається з методик та методів організації управління, тобто сукупності способів і прийомів управління, що забезпечують досягнення поставлених цілей і рішення завдань управління капіталом.

Схематично удосконалену систему управління капіталом підприємства зображено на рис. 3.1.

Рис.3.1. Удосконалена система управління капіталом підприємства

Передумовами практичного застосування, тобто системно-процесного підходу до управління капіталом є впровадження на підприємствах ERP-системи, яка включають комплекс програмного забезпечення з навчанням персоналу, задіяного в процесах управління капіталом.

Завданням оцінювання ефективності впровадження системи управління капіталом підприємства є визначення досягнутих у процесі функціонування системи управління результатів і витрачених на досягнення цих результатів матеріальних і часових ресурсів. Жодна система не може успішно розвиватися без орієнтації на формалізований вимірний критерій якості. Якщо є такий критерій якості - можна проводити оптимізацію системи, добиватися від неї максимальних результатів. Якщо такого критерію немає, ніяка оптимізація просто неможлива. Якщо критерій заданий неправильно, розвиток компанії може піти зовсім в інший бік.

Треба відзначити, що поняття показника - критерія якості, що оцінює функціонування системи, використовується у двох сенсах. По-перше, це показники, які вимірюють ті чи інші результати реального (або імітаційного) функціонування системи (експериментальні показники функціонування). Інший варіант - це теоретичні оцінки можливих значень експериментально визначених показників - теоретичні показники функціонування. Значення теоретичних і експериментальних показників функціонування можуть не збігатися. Розбіжність може бути зумовлена недосконалістю методу побудови теоретичних оцінок, недостатньою інформування особи, що дає відповідні теоретичні оцінки, можливістю декількох варіантів перебігу процесу функціонування та ін.. Точність теоретичних оцінок - це "міра відповідності" теоретично побудованих оцінок їх експериментальним значенням [27, с. 23].

Оцінити ефективність впровадження системи управління капіталом на підприємствах, зокрема процесної її складової можливо за допомогою використання збалансованої системи показників (BSC). BSC - це механізм послідовного доведення до персоналу стратегічних факторів успіху, цілей управління капіталом та контроль їх досягнення через так звані ключові показники ефективності, які, по суті, є вимірювачами досяжності цілей, а також характеристиками ефективності бізнес-процесів і роботи кожного окремого співробітника. Перевага BSC полягає в тому, що підприємство, що впровадило цю систему, отримує в результаті "систему координат" дій у відповідності зі стратегією на будь-яких рівнях управління. Така "система координат" включає проекцію фінансів, клієнтів, процесів та навчання і зростання, за рахунок чого з’являється можливість управління не тільки фінансовими показниками, але і не фінансовими.

На основі проведеного дослідження, нами визначено, що в рамках проекції фінансів доцільним є використання концепції економічної доданої вартості шляхом розрахунку показника EVA для підприємств до і після впровадження запропонованої системи управління.

Моніторинг системи управління капіталом - процес систематичного або безперервного збору інформації про параметри управління капіталом, яка може бути використана для поліпшення процесу прийняття рішення, а також, як інструмент зворотного зв'язку з метою ефективного управління капіталом.

Він виконує наступні функції:

.        виявляє стан критичних або перебуваючих у стані зміни явищ навколишнього середовища, у відношенні яких буде вироблений курс дій на майбутнє;

.        забезпечуючи зворотний зв'язок, у відношенні попередніх успіхів і невдач певної системи управління капіталом;

.        встановлює відповідності обраним критерію ефективності.

Безперервне удосконалення системи управління капіталом - політика, яка спонукає, зобов'язує працівників, пов’язаних з управлінням капіталу і наділяє їм повноваженнями до пошуку способів покращення показників ефективності функціонування такої системи на безперервній основі.

3.2 Оцінка економічної ефективності заходів удосконалення системи управління капіталом підприємства

Одним із основних питань управління капіталом підприємства є визначення оптимальної структури капіталу, тобто такого співвідношення власних і позикових коштів, яке забезпечує максимізацію ринкової вартості підприємства. Оптимізація структури капіталу являє собою одну із найбільш важливих та складних задач, що вирішуються в процесі управління підприємством. Оптимальна структура капіталу - це таке відношення використання власних та позикових ресурсів, при якому забезпечується найбільш ефективна пропорційність між коефіцієнтом рентабельності та коефіцієнтом фінансової стійкості підприємства, тобто максимізується його ринкова вартість.

Процес удосконалення системи управління капіталом нерозривно пов’язаний із врахуванням особливостей використання як власного, так і позикового капіталу. Таким чином, підприємство, що використовує лише власний капітал, має найбільшу фінансову стійкість (його коефіцієнт автономії дорівнює одиниці), але обмежує темпи свого розвитку (так як не може забезпечити формування необхідного додаткового об’єму активів в періоди сприятливої кон’юнктури ринку) та не використовує фінансові можливості приросту прибутку на вкладений капітал. А підприємство, що використовує позиковий капітал, має більш високий фінансовий потенціал свого розвитку (за рахунок формування додаткового обсягу активів) та можливості приросту фінансової рентабельності діяльності, однак у більшій мірі генерує фінансовий ризик та загрозу банкрутства (що зростають по мірі зростання питомої ваги позикових ресурсів в загальній сумі використовуваного капіталу).

Аналіз економічної літератури свідчить, що більшість авторів виокремлює три методи оптимізації структури капіталу Рис. 3.2.

Основні методи оптимізації структури капіталу підприємства

Оптимізація


Оптимізація


Оптимізація

структури капіталу


структури капіталу


структури капіталу

за критерієм


за критерієм


за критерієм

максимізації рівня


мінімізації його


мінімізації рівня

прогнозованої


вартості


фінансових ризиків

фінансової





рентабельності










Рисунок 3.2 - Характеристика основних методів оптимізації структури капіталу підприємства.

Для більшої обґрунтованості та наукової значимості отриманих результатів вважаємо за необхідне розрахувати оптимальну структуру капіталу для ПрАТ "Київфундаментбуд" за усіма трьома зазначеними методами.

Метод оптимізації структури капіталу за критерієм максимізації рівня прогнозованої фінансової рентабельності ґрунтується на багатоваріантних розрахунках рівня фінансової рентабельності при різній структурі ресурсів.

Остання виражається через такий показник, як ефект фінансового левериджу, який полягає у тому, що підвищення частки залученого капіталу обумовлює зростання рентабельності власного, але позитивний ефект має місце лише у тому випадку, коли різниця між валовим прибутком та середнім розміром відсотка за кредит є позитивною величиною. Результати розрахунків за даним методом для ПрАТ "Київфундаментбуд" наведено в Таблиці 3.1.

Таблиця 3.1 Оптимізація структури капіталу ПрАТ "Київфундаментбуд" за критерієм максимізації рівня фінансової рентабельності

Показник




Варіант















I

II

III

IV

V

VI

VII




















Варіанти









структури









капіталу, %









а) власний

100

80

60

50

40

35

30


капітал


















б) позиковий

0

20

40

50

60

65

70


(кредит)


















Власний









капітал, тис.

39165

39165

39165

39165

39165

39165

39165


грн.









Можлива









сума









позикового

0

9791,25

26110

39165

58747,50

72735

91385


капіталу,









тис. грн.









Загальний









обсяг

39165

48956,25

65275

78330

97912,50

111900

130550


капіталу,


















тис. грн.









Коефіцієнт









фінансового

-

0,005

0,014

0,020

0,031

0,048


важеля


















Коефіцієнт









валової









рентабельно

25,08

25,08

25,08

25,08

25,08

25,08

25,08


сті активів,









%









Рівень









ставки









процента за









кредит без

-

20,00

20,00

20,00

20,00

20,00

20,00


урахування









премії за









ризик, %









Премія за

-

-

0,50

1,00

1,50

2,00

2,50


ризик, %


















Ставка









відсотка за









кредит з

-

20,00

20,50

21,00

21,50

22,00

22,50


врахування


















м премії за









ризик, %



















Продовження таблиці 3.1

Сума









валового









прибутку

17719

17719

17719

17719

17719

17719

17719


без % за









кредит


















Сума









процентів за

-

1958,25

5352,55

8224,65

12630,71

16001,70

20561,63


кредит, тис.


















грн.


















Сума









валового









прибутку з

17719

15760,75

12366,45

9494,35

5088,29

1717,30

-2842,63


врахування


















м сплати %









за кредит


















Ставка









податку на

0,21

0,21

0,21

0,21

0,21

0,21

0,21


прибуток, %


















Сума









податку на

3721

3309,76

2596,95

1993,81

1068,54

360,63

-


прибуток,


















тис. грн.


















Чистий









прибуток,

13998,01

12450,99

9769,50

7500,54

4019,75

1356,67

-2842,63


тис. грн.


















Чиста









рентабельні

35,74

31,79

24,94

19,15

10,26

3,46

-5,73


сть власного


















капіталу, %



















На основі розрахунків наведених у таблиці 3.1 можна зробити висновки, що найбільше значення чистої рентабельності власного капіталу досягається за варіантом I та ІІ, які відображають структуру капіталу у співвідношенні: 100 % - власний капітал, 0 % - позиковий та 80 % - власний капітал, 20 % - позиковий відповідно.

Вважаємо за потрібне розрахувати значення чистої рентабельності власного капіталу ПрАТ "Київфундаментбуд", виходячи із існуючого співвідношення власного і позикового капіталу Табл. 3.2.

Таблиця 3.2 Показники, що характеризують існуючу структуру капіталу ПрАТ "Київфундаментбуд" за 2013 рік

Показник

Існуючий варіант структури капіталу


Варіанти структури капіталу, %



а) власний капітал

46,05


б) позиковий (кредит)

53,95


Власний капітал, тис. грн.

39165





Можлива сума позикового капіталу, тис. грн.

45876


Загальний обсяг капіталу, тис. грн.

85041





Коефіцієнт фінансового важеля

0,024





Коефіцієнт валової рентабельності активів, %

25,08


Рівень ставки процента за кредит без урахування

20,00


премії за ризик, %









Премія за ризик, %

1,30





Ставка відсотка за кредит з врахуванням премії за

21,30


ризик, %






Сума валового прибутку без % за кредит

17719





Сума процентів за кредит, тис. грн.

9772,83


Сума валового прибутку з врахуванням сплати %

7946,17


за кредит









Ставка податку на прибуток, %

0,21





Сума податку на прибуток, тис. грн.

1668,70





Чистий прибуток, тис. грн.

6277,48





Чиста рентабельність власного капіталу, %

16,03%



Таким чином, ми бачимо, що при існуючій структурі капіталу ПрАТ "Київфундаментбуд" чиста рентабельність власного капіталу дорівнює 16,03 %. З метою збільшення чистої рентабельності власного капіталу підприємству необхідно змінити структуру капіталу. Найлегше для досліджуваного підприємства буде змінити структуру з існуючої на 50 % власного капіталу та 50 % позикового. В такому випадку чиста рентабельність власного капіталу складе 19,15 %. Розглянемо наступний метод, а саме метод оптимізації структури капіталу за критерієм мінімізації його вартості. Метод оптимізації структури ресурсів за критерієм мінімізації його вартості ґрунтується на попередній оцінці власного та залученого капіталу за різних умов їх формування,обслуговування та здійснення багатоваріантних розрахунків середньозваженої вартості капіталу. При цьому залучення власних коштів являється платним, вартість власної частини капіталу прийнято на рівні очікуваних дивідендних виплат, розрахованих з метою зацікавлення інвесторів, а вартість позикового капіталу встановлюється з урахуванням податкового коректора, оскільки частина прибутку, спрямована на сплату відсотків за кредитами, звільняється від оподаткування податком з чистого прибутку підприємств. Процес оптимізації структури за даним методом наведений у Таблиці 3.3.

Таблиця 3.3 Оптимізація структури капіталу ПрАТ "Київфундаментбуд" за критерієм мінімізації його вартості

Показник




Варіант















I

II

III

IV

V

VI

VII




















Варіанти









структури









капіталу, %









а) власний

100

80

60

50

40

35

30


капітал


















б) позиковий

0

20

40

50

60

65

70


(кредит)


















Варіанти









структури









капіталу, тис.









грн.









а) власний

39165

39165

39165

39165

39165

39165

39165


капітал









б) позиковий









(кредит)

0

9791,25

26110

39165

58747,5

72735

91385


Рівень









передбачених

0

0

0

0

0

0

0


дивідендних


















виплат









Рівень ставки









процента за









кредит з

-

20,00

20,50

21,00

21,50

22,00

22,50


урахуванням


















премії за









ризик, %









Ставка









податку на

0,21

0,21

0,21

0,21

0,21

0,21

0,21


прибуток









Податковий

0,79

0,79

0,79

0,79

0,79

0,79

0,79


коректор



















Продовження таблиці 3.3

Рівень ставки









процента за









кредит з

-

15,80

15,84

16,59

16,99

17,38

17,78


урахуванням


















податкового









коректора









Вартість









складових









елементів









капіталу, %:









а) власної









частини

31,50

31,50

31,50

31,50

31,50

31,50

31,50


капіталу









б) позикової









частини

-

15,80

15,84

16,59

16,99

17,38

17,78


Середньозва









жена вартість

31,50

28,36

25,38

24,04

22,79

22,32

21,89


капіталу, %










З даних таблиці 3.3 випливає, що мінімальна величина середньозваженої вартості капіталу ПрАТ "Київфундаментбуд" досягається у варіанті V IІ (21,89 %) при співвідношенні власного та позикового капіталу 30 % : 70 %. В свою чергу максимальна величина середньозваженої вартості капіталу досліджуваного підприємства спостерігається у варіанті I (31,50 %) за умови фінансування діяльності підприємства у співвідношення власних і позикових джерел 100 % : 0 %. Така висока вартість власного капіталу пов’язана із високим значенням коефіцієнту рентабельності власного капіталу, який склав у 2013 році 0,315.

Розрахуємо середньозважену вартість капіталу ПрАТ "Київфундаментбуд" виходячи із існуючої структури капіталу з метою порівняння та визначення оптимальної структури Табл. 3.4.

Таблиця 3.4 Визначення середньозваженої вартості капіталу ПрАТ "Київфундаментбуд" при існуючій структурі капіталу за 2013 рік

Показник

Існуючий варіант структури капіталу

Варіанти структури капіталу, %


а) власний капітал

46,05

б) позиковий (кредит)

53,95

Варіанти структури капіталу, тис. грн.


а) власний капітал

39165

б) позиковий (кредит)

45876

Рівень передбачених дивідендних виплат

0

Рівень ставки процента за кредит з урахуванням

21,30

премії за ризик, %


Ставка податку на прибуток

0,21

Податковий коректор

0,79

Рівень ставки процента за кредит з урахуванням

16,83

податкового коректора


Вартість складових елементів капіталу, %:


а) власної частини капіталу

31,50

б) позикової частини

17,86

Середньозважена вартість капіталу, %

23,58

Таким чином, ми бачимо, що результати двох наведених методик є різними, тобто вибрати найоптимальніший варіант структури капіталу є неможливим. Саме тому, вважаємо за необхідно здійснити розрахунки ще й за третьою методикою - за методом оптимізації структури капіталу за критерієм мінімізації рівня фінансових ризиків. Даний метод пов'язаний із процесом диференційованого вибору джерел фінансування різних складових частин активів підприємства. Відокремлюють три підходи до фінансування груп активів підприємства, що наведені у Таблиці 3.5. При цьому, КПК - короткостроковий позиковий капітал; ДПК - довгостроковий позиковий капітал.

Таблиця 3.5 Підходи до фінансування груп активів підприємства

Склад активів

Консервативний


Компромісний

Агресивний підхід



підприємства

підхід


підхід




Змінна частина

КПК








оборотних активів




КПК

КПК



Постійна частина









оборотних активів

ДПК + ВК


ДПК + ВК















Необоротні активи





ДПК + ВК




Розподілимо загальну суму оборотних активів ПрАТ "Київфундаментбуд", яку підприємство має на кінець 2013 р., на постійну та змінну частини. Зокрема до постійної частини ми віднесемо виробничі запаси підприємства та незавершене виробництво на кінець аналізованого року, інші необоротні активи, а також середньорічну суму дебіторської заборгованості підприємства та середньорічну суму грошових коштів підприємства.

Відповідно до складу змінної частини оборотних активів підприємства ми віднесемо вартість товарів та готової продукції підприємства на кінець аналізованого року, а також суми перевищення обсягів дебіторської заборгованості та грошових коштів підприємства на кінець 2013 р. над їх середньорічними розмірами Табл. 3.6.

Таблиця 3.6 Розподіл оборотних активів ПрАТ "Київфундаментбуд" сформованих на кінець 2013 р., на постійну та змінну частини, тис. грн.

Вид оборотних активів підприємства

Постійна частина

Змінна частина






Виробничі запаси

21108

-






Незавершене виробництво

0

-






Готова продукція

-

493






Товари

-

949






Дебіторська заборгованість за товари, роботи,

5275

2684


послуги








Дебіторська заборгованість за розрахунками

13892

-2791



Продовження таблиці 3.6

Інша поточна дебіторська заборгованість

0

0


Грошові кошті та їх еквіваленти

4851

765


Векселі одержані

0

0






Поточні фінансові інвестиції

0

0






Інші оборотні активи

41

-






Всього

45167

2100



Схематично модель фінансування оборотних активів ПрАТ "Київфундаментбуд" відображено на рисунку 3.2.

На основі даних рисунку 3.2 можна зробити висновки, що за рахунок короткострокового позикового капіталу фінансуються: змінна частина оборотних активів на 100 % та частина постійних оборотних активів. За рахунок довгострокового позикового капіталу та власного капіталу ПрАТ "Київфундаментбуд" фінансується близько половини постійних оборотних активів та повністю необоротні активи. На основі такої структури фінансування своїх активів можна зробити висновок, що ПрАТ "Київфундаментбуд" використовує підхід,наближений до компромісного. При цьому на кінець 2013 р. підприємство мало наступну структуру свого капіталу Табл. 3.7.

Необоротні активи (37774 тис. грн.) 44,42 %

Власний капітал + Довгостроковий капітал  (61383 тис. грн.) 72,18 %

Постійна частина ОА (45167 тис. грн.) 53,11 %



Короткостроковий капітал (23658 тис. грн.) 27,82 %

Змінна частина ОА (2100 тис. грн.) 2,47 %


Рисунок 3.3 Модель фінансування активів ПрАТ "Київфундаментбуд" за 2013 рік

Розглянемо існуючу структуру капіталу ПрАТ "Київфундаментбуд"Табл. 3.7.

Таблиця 3.7 Структура капіталу ПрАТ "Київфундаментбуд" на кінець 2013 року

Джерело капіталу

Сума, тис. грн.

Питома вага, %






Власний капітал, тис. грн.

39165

46,05






Довгостроковий позиковий

22218

26,13


капітал, тис. грн.




Поточні зобов’язання , тис.

23658

27,82


грн.








Всього джерел, тис. грн.

85041

100,00



Запропонуємо ПрАТ "Київфундаментбуд" в плановому періоді наблизити політику фінансування активів до компромісної. Спираючись на тенденції зміни валюти балансу підприємства та окремих його статей в 2013 році порівняно із 2012 роком, спрогнозуємо на плановий період обсяги необоротних та оборотних активів, очікуючи, що збережуться попередні тенденції. Так, необоротні активи будуть сформовані в розмірі 57103,17 тис. грн.. Відповідно, виходячи із структури поділу оборотних активів на постійну та змінну частини, можемо спрогнозувати, що постійна частина оборотних активів в плановому періоді буде сформована в розмірі 68279,21тис. грн., а змінна - 3174,58 тис. грн.. Розглянемо прогнозовану компромісну модель фінансування оборотних активів для ПрАТ "Київфундаментбуд"" в 2014 році рис. 3.4.

Необоротні активи (57103,17 тис. грн.)



44,42 %




Власний капітал + Довгостроковий капітал






(125382,38 тис. грн.) 97,53 %


Постійна частина ОА (68279,21 тис. грн.)



53,11 %






Змінна частина ОА (3174,58 тис. грн.)

Короткостроковий капітал


2,47 %

(3174,58 тис. грн.) 2,47 %


Рисунок 3.4 - Прогнозована компромісна модель фінансування активів ПрАТ "Київфундаментбуд" в 2014 році

Визначимо прогнозовану структуру капіталу підприємства при використанні компромісної моделі фінансування його активів Табл. 3.8.

Таблиця 3.8 Прогнозована структура капіталу ПрАТ "Київфундаментбуд" на 2014рік.

Джерело капіталу

Сума, тис. грн.

Питома вага, %






Власний капітал

64278,48

50,00






Довгостроковий позиковий

61103,90

47,53


капітал












Поточні зобов’язання

3174,58

2,47






Всього джерел

128556,96

100,00







Таким чином, за третьою методикою ми пропонуємо збільшити власний капітал до 50 %, пропонована структура призведе до зменшення фінансових ризиків, що несе підприємство.

За результатами трьох методик ми отримали 3 різні результати, тому для визначення оптимальної структури капіталу та його управління для ПрАТ "Київфундаментбуд" необхідно їх узагальнити. Ми отримали такі результати:

за першою методикою - 50 % власного капіталу, 50 % позикового;

за другою методикою - 40 % власного капіталу, 60 % позикового;

за третьою методикою - 50 % власного капіталу, 50 % позикового. Отже, ми вважаємо, що для ТОВ "Фавор" оптимальною структурою

капіталу на даний момент є така структура капіталу: 50 % власного капіталу, 50 % позикового капіталу. За такої структури ПрАТ "Київфундаментбуд" зможе збільшити чисту рентабельність власного капіталу з 16,03 % до 19,15 % та збільшити середньозважену вартість капіталу з 23,58 % до 24,04 %. Не дивлячись на те, що більш висока вартість капіталу є негативним фактором для підприємства, така структура дозволить зменшити рівень фінансового ризику підприємства та рівень залежності підприємства від позикових ресурсів, що призведе до зменшення значення коефіцієнта фінансування і, як наслідок, збільшення рівня фінансової стабільності ПрАТ "Київфундаментбуд". Дане твердження може бути підтверджене шляхом підстановки нового прогнозного значення коефіцієнту фінансування в методику оцінки рівня фінансової безпеки підприємства.

Розділ 4. Охорона праці і безпека в надзвичайних ситуаціях на підприємстві

4.1 Організація охорони праці на підприємстві

Охорона праці - це система правових, соціально-економічних, організаційно-технічних, санітарно-гігієнічних і профілактичних заходів та засобів, спрямованих на збереження здоров'я і працездатності людини в процесі праці. Ефективним методом організації охорони праці є системний підхід, тобто в єдину систему цілеспрямованих дій на всіх рівнях і стадіях управління виробництвом шляхом створення і забезпечення функціонування системи управління охороною праці.

Система управління охороною праці на підприємстві - це складова частина управління виробництвом, яка визначає єдиний порядок підготовки, прийняття та реалізації рішень по здійсненню організаційних, технічних, санітарно-гігієнічних, соціально-економічних і лікувально-профілактичних заходів, спрямованих на запобігання нещасних випадків, професійних захворювань і створення безпечних умов праці.

Основною метою системи управління охорони праці є:

-    створення і забезпечення нормальних умов праці, збереження здоров'я і працездатності робітника в процесі праці;

-    забезпечення безпеки виробничого обладнання технологічних процесів;

-    попередження виробничого травматизму;

-    профілактика захворювань, аварій, отруєнь, пожеж і запалювань.

Об'єктом управління охороною праці є діяльність функціональних служб і структурних підрозділів підприємства по забезпеченню безпечних і здорових умов праці на робочих місцях, цехах, дільницях і по підприємству вцілому.

Нормативною базою СУОП є: Національна програма поліпшення безпеки, гігієни праці та виробничого середовища, Закон України "Про охорону праці", постанови ВРУ "Про охорону праці", Постанови Кабінету Міністрів України, Кодекс законів про працю України, інші законодавчі нормативні документи (діючі стандарти, правила, норми, положення, інструкції), постанови і вказівки Держкомнаглядохоронпраці.

Організаційно-методичну роботу по управлінню охороною праці на підприємстві здійснює відділ охорони праці. Підготовка управлінських рішень і контроль за її організацією здійснює служба охорони праці спільно з начальниками цехів, дільниць.

Система управління охороною праці базується на законодавчих та нормативних актах України про охорону праці.

Управління охороною праці на ТОВ "Продсервіс" забезпечує здійснення наступних функцій:

-    організація і координація робіт з охорони праці;

-    планування робіт по охороні праці;

-    контроль за станом охорони праці;

-    облік, аналіз і оцінка показників стану охорони праці;

-    стимулювання за працю з охорони праці.

Згідно з Законом України "Про охорону праці", служби охорони праці створені на підприємствах для організації виконання правових, організаційно-технічних, санітарно-гігієнічних, соціально-економічних і лікувально-профілактичних заходів, спрямованих на запобігання нещасних випадків, професійних захворювань і аварій в процесі праці. Служби охорони праці виконують з відповідними службами наступні функції:

а)забезпечують безпеку виробничих процесів, устаткування, будівель, споруд;

б)забезпечують працюючих засобами індивідуальними та колективного захисту;

в)здійснюють професійну підготовку і підвищення кваліфікації працівників з питань охорони праці, пропагують безпечні методи праці;

г)здійснюють вибір оптимального режиму праці і відпочинку працюючих;

д)здійснюють професійний добір виконавців для визначених видів робіт.

Завданнями служби охорони праці є:

-    опрацювання ефективної системи управління охороною праці на підприємстві та сприяння удосконаленню діяльності у цьому напрямі кожного структурного підрозділу і кожного працівника;

-    забезпечення фахової підтримки рішень роботодавця з цих питань;

-    організація проведення профілактичних заходів, спрямованих на усунення шкідливих і небезпечних виробничих факторів, запобігання нещасним випадкам на виробництві, професійним захворюванням та іншим випадкам загрози життю або здоров'ю працівників;

-    вивчення та сприяння впровадженню у виробництво досягнень науки і техніки, прогресивних і безпечних технологій, сучасних засобів колективного та індивідуального захисту працівників;

-    контроль за дотриманням працівниками вимог законів та інших нормативно - правових актів з охорони праці, розділу "Охорона праці" колективного договору та виконання заходів комплексного плану;

-    інформування та надання роз'яснень працівникам підприємства з питань охорони праці.

На підприємствах розроблені інструкції з охорони праці відповідно до вимог Положення про розробку інструкцій з охорони праці, затвердженого наказом Держнаглядохоронпраці України від 29.01.98 N 9, зареєстрованого в Міністерстві юстиції України 07.04.98 за N 226/2666 (НПАОП 0.00-4.15-98).

При прийманні на роботу працівник відповідно до вимог Закону України "Про охорону праці" ознайомлюється з умовами праці на робочому місці та вимогами щодо запобігання несприятливій дії небезпечних і шкідливих чинників виробничого процесу, а також з його правами, у тому числі на компенсацію за роботу в таких умовах.

Навчання і перевірка знань з питань охорони праці працівників проводиться відповідно до вимог Типового положення про порядок проведення навчання і перевірки знань з питань охорони праці, затвердженого наказом Держнаглядохоронпраці України від 26.01.2005 N 15, зареєстрованого в Міністерстві юстиції України 15.02.2005 за N 231/10511 (НПАОП 0.00-4.12-05).

Попередній (під час прийняття на роботу) і періодичний (протягом трудової діяльності) медичні огляди працівників проводяться відповідно до Закону України "Про охорону праці" та Порядку проведення медичних оглядів працівників певних категорій, затвердженого наказом Міністерства охорони здоров'я України від 21.05.2007 N 246, зареєстрованого в Міністерстві юстиції України 23.07.2007 за N 846/14113.

Розслідування і облік нещасних випадків, професійних захворювань і аварій проводяться відповідно до Порядку розслідування та ведення обліку нещасних випадків, професійних захворювань і аварій на виробництві, затвердженого постановою Кабінету Міністрів України від 25.08.2004 N 1112.

Розглянемо тепер безпеку праці при роботі технологічного обладнання на підприємстві ПрАТ "Київфундаментбуд". На обладнання, що працює, та нове обладнання наявні паспорти з технічними характеристиками і даними щодо охорони праці. Усі зміни, що вносяться в конструкцію обладнання в процесі його експлуатації, ремонту і модернізації, фіксуються у паспорті згідно з ГОСТ 12.2.003-91.

На всіх машинах, потокових лініях, апаратах та інших пристроях усі небезпечні частини, що рухаються, огороджені. Небезпечні зазори між рухомими і нерухомими частинами огороджені. Огородження мають зручні ручки чи скоби і виконуватись таким чином, щоб зусилля на відкривання або зняття його вручну не перевищувало 40 H під час обслуговування і 120 H під час ремонту машини. Огородження робочих органів і механізмів, а також дверцята, кришки, щитки в цих огородженнях, що відкриваються, мають надійні електричні, механічні або інші блокування, які забезпечують зупинку машини при зніманні або відкриванні огородження і неможливість пуску при відкритому положенні жодного з огороджень.

Обладнання з інерційним ходом має гальмовий пристрій, який забезпечує його зупинку і унеможливлює доступ до робочих органів, які обертаються за інерцією.

Для обслуговування високорозташованих частин обладнання і установок (на висоті 2,0 м і більше) встановлені стаціонарні площадки і драбини до них з перилами заввишки не менше 1,0 м із суцільною обшивкою їх нижньої частини на висоту не менше 0,15 м.

Усі види обладнання або його частини, що працюють під тиском, мають запобіжний клапан та повірені манометри із зазначенням граничнодопустимого тиску.

Температура поверхонь обладнання, що нагрівається під час технологічних процесів, відповідно до ДСТУ EN 563-2001 не перевищує 43°C.

Прокладання проводів різного призначення в межах машини виконується з урахуванням захисту їх від механічних пошкоджень, перегріву, попадання мастил, води й агресивних рідин.

Корпуси електродвигунів та інших електричних пристроїв приєднуються до заземленого пристрою за допомогою окремої гілки або мають надійний металевий контакт із заземленим корпусом машини. Послідовне включення до заземленого провідника декількох заземлених елементів не допускається.

В управлінні автоматизованими лініями та агрегатами передбачається відключення місцевих пускових пристроїв при переході на робочий режим з централізованим управлінням з дистанційного пульта. Автоматизовані лінії та агрегати, що складаються з декількох машин, обладнані сигналізацією, яка попереджає працівників про пуск машини.

Елементи системи управління (кнопки, рукоятки, маховики, штурвали, важелі тощо) розміщують на висоті 0,8 - 1,6 м від підлоги при роботі стоячи та 0,6 - 1,2 м при роботі сидячи з метою забезпечення легкого доступу до них без великого напруження і поворотів корпуса тіла працівника, який при цьому повернутий обличчям у бік машини.

При розміщенні на одній панелі декількох елементів системи управління їх розташовують так, щоб працівник виконував найменшу кількість рухів при виконанні необхідних операцій і попереджались помилкові включення.

Маховики, рукоятки і важелі системи управління надійно фіксуватись у заданому положенні.

Несучі та інші елементи обладнання, органи управління і контрольно-вимірювальні прилади, які виступають за габарити загальних огороджень і укриттів, мають яскраві розпізнавальні кольорові знаки.

Безпеку працівників на виробництві контролює не тільки підприємство, але й держава. Турбота держави заключається в регулюванні охорони праці через прийняття законів і нормативних актів. Також держава створює відповідні служби, які здійснюють нагляд і контроль за дотриманням вимог, які регулюють заходи по охороні праці на підприємствах.

Системний підхід до вирішення проблеми безпеки праці передбачає вивчення повної сукупності чинників, що впливають на умови праці, на всіх стадіях виробничого процесу. Працівники зайняті на виробництві, забезпечені спеціальним одягом і засобами індивідуального захисту відповідно до санітарних норм і правил.

Заходи щодо покращення умов праці.

При реалізації технологічного процесу виготовлення продукції на працівників здійснюють вплив наступні чинники: освітлення, вентиляція та опалення, водопостачання і каналізація, електроустановки та електросилове обладнання, небезпечні та шкідливі виробничі чинники.

Освітлення. Виробничі, побутові, допоміжні та інші приміщення мають штучне та природне освітлення відповідно до НАПБ А.01.001-2004 та ДБН "Природне і штучне освітлення", затверджених наказом Мінбуду України від 15.05.2006 N 168 (далі - ДБН В.2.5-28:2006).

Природне освітлення максимально використане. Для захисту працівників від прямих сонячних променів застосовуються штори, жалюзі тощо.

У разі припинення подачі електроенергії виробничі приміщення обладнуються аварійним освітленням для евакуації людей.

Для забезпечення нормованої освітленості і рівномірного світлового потоку на робочу поверхню машини передбачається місцеве освітлення стаціонарними світильниками. Для додаткового освітлення закритих вузлів і механізмів під час огляду і ремонту в обладнанні передбачаються спеціальні стаціонарні світильники або штепсельні розетки для підключення переносних ламп з закритими ковпаками. Для місцевого освітлення застосовуються світильники з лампами розжарювання з напругою не вище 42 В. Допускається застосування світильників з люмінесцентними лампами з напругою 127 - 220 В за умов недопущення їх струмовідвідних частин для випадкових доторкань. Світильники місцевого освітлення як з лампами розжарювання, так й з люмінесцентними лампами мають відбивачі з непрозорого матеріалу із захисним кутом не менше 30°, а при встановленні світильника не вище рівня очей працівника - не менше 10°. Світильники штучного освітлення у цехах, де проводяться процеси рідинної обробки, установлюються у герметичній арматурі відповідно до вимог чинних нормативно-правових актів.

Ремонт та нагляд за справністю проводів, вимикачів ламп, запобіжників, рубильників та іншої апаратури здійснюють відповідно до вимог Правил безпечної експлуатації електроустановок, затверджених наказом Держнаглядохоронпраці України від 06.10.97 N 257, зареєстрованих у Міністерстві юстиції України 13.01.98 за N 11/2451 (НПАОП 40.1-1.01-97), Правил безпечної експлуатації електроустановок споживачів, затверджених наказом Держнаглядохоронпраці України від 09.01.98 N 4, зареєстрованих у Міністерстві юстиції України 10.02.98 за N 93/2533 (далі - НПАОП 40.1-1.21-98).

Очищення світильників та арматури здійснюється тільки після вимкнення напруги електричної мережі та їхнього охолодження (перевіряється їх стан, зіпсовані вузли та деталі підлягають заміні). Під час виконання цієї роботи необхідно використовувати спеціально призначені пересувні вишки, випробувані драбини тощо.

У темну пору доби або за поганої видимості (туман, дощ, снігопад) територія підприємства, місця руху людей та транспортних засобів, майданчики, стоянки, а також робочі місця повинні бути освітлені відповідно до вимог ДБН В.2.5-28:2006. Освітлення повинно бути виконано відповідно до вимог ГОСТ 12.1.038-82.

Вентиляція і опалення. Виробничі, допоміжні будівлі й приміщення обладнуються природною і припливно-витяжною вентиляцією, а також системою опалення відповідно до СНиП "Отопление, вентиляция, кондиционирование", затверджених Держбудом СРСР 28.11.91 (далі - СНиП 2.04.05-91), та НАПБ А.01.001-2004. Цехи і дільниці виробництва нетканих матеріалів, де проводяться процеси обробки та оздоблення полотна, обладнуються системами вентиляції (загальною припливною та місцевою витяжною), що забезпечує нормовані параметри повітря робочої зони відповідно до ГОСТ 12.1.005-88.

Для очищення запиленого та загазованого повітря, що видаляють місцеві витяжні пристрої, перед викидом його в атмосферу обладнані пилогазоочищувальні пристрої (циклони, фільтри, пилоосадові камери або водяні завіси тощо).

Пилові камери, циклони, фільтри, за винятком індивідуальних аспіраційних пристроїв, змонтованих на машинах, повинні встановлюватись поза робочим приміщенням.

Рециркуляція повітря дозволяється в робочий час тільки в приміщеннях, де немає виділення шкідливих речовин (1, 2 класів небезпеки) відповідно до ГОСТ 12.1.007-76 або їх кількість не перевищує допустимих концентрацій, а в повітрі відсутні різко виражені неприємні запахи цих речовин. При роботі з рециркуляцією повітря припливна вентиляція працює з обов'язковою промивкою його в припливно-зволожувальній камері. При високій запиленості повітря робочої зони (процеси сортування, тіпання, очищення) повинна бути передбачена двоступенева суха очистка повітря.

Не дозволяється підключати до вентиляційної установки більшу кількість споживачів, ніж це передбачається проектом.

Заново змонтовані або реконструйовані вентиляційні установки підлягають налагодженню та випробуванню на ефективність їх дії. Стан повітряного середовища виробничих приміщень періодично перевіряється відповідно до затверджених роботодавцем графіків.

У разі зміни технологічного процесу та розташування виробничого обладнання, що забруднює повітря на дільниці (у цеху), вентиляційні установки пристосовуються до нового режиму роботи.

Опалювальні прилади мають огорожу, яка запобігає попаданню на них пилу, різних матеріалів виробництва та можливому дотику працівника, а також гладку поверхню, яку легко очищувати від пилу.

Водопостачання і каналізація. Виробничі та побутові приміщення обладнуються внутрішнім водопроводом та каналізацією відповідно до вимог СНиП "Внутренний водопровод и канализация зданий", затверджених постановою Держбуду СРСР від 04.10.85 N 169 (далі - СНиП 2.04.01-85), а також протипожежним водопостачанням згідно з вимогами НАПБ А.01.001-2004.

Зовнішні мережі, споруди водопроводу та каналізації відповідають вимогам СНиП "Водоснабжение. Наружные сети и сооружения", затверджених постановою Держбуду СРСР від 27.07.84 N 123 (СНиП 2.04.02-84), СНиП "Канализация. Наружные сети и сооружения", затверджених постановою Держбуду СРСР від 21.05.85 N 71 (СНиП 2.04.03-85), та Правил приймання стічних вод підприємств у комунальні та відомчі системи каналізації населених пунктів України, затверджених наказом Держбуду України від 19.02.2002 N 37, зареєстрованих у Міністерстві юстиції України 26.04.2002 за N 403/6691. Експлуатація водопровідних, каналізаційних споруд і мереж здійснюється відповідно до вимог ГОСТ 12.3.006-75.

ПрАТ "Київфундаментбуд" забезпечене подачею води для:

-    санітарно-гігієнічних потреб;

-    виробничо-технічних потреб;

-    потреб зовнішнього і внутрішнього пожежогасіння.

Для забезпечення працівників питною водою встановлено водопровідні колонки з фонтанчиками з корозійно стійких матеріалів або сатураторні установки газованої води, кулери або інші пристрої. Питна вода відповідає вимогам Державних санітарних правил і норм "Вода питна. Гігієнічні вимоги до якості води централізованого господарсько-питного водопостачання", затверджених наказом Міністерства охорони здоров'я України від 23.12.96 N 383, зареєстрованих у Міністерстві юстиції України 15.04.97 за N 136/1940 (ДСанПіН 383-96). Вода для душових, умивальників, для охолодження повітря в кондиціонерах відповідає вимогам до питної води.

Відпрацьовані розчини, у яких можливі утворення шкідливих речовин, перед викиданням у водойми та землю знешкоджені і проходять очищення.

Трубопроводи для спуску виробничих чистих і забруднених стічних вод мають крани для відбору проб.

Електроустановки й електросилове обладнання. Експлуатація електроустановок, електричних станцій і підстанцій та електричних мереж проводиться з дотриманням вимог електробезпеки відповідно до НАПБ А.01.001-2004, ГОСТ 12.1.013-78, ГОСТ 12.1.045-84, ГОСТ 12.2.007.1-75, ДСанПіН 3.3.6.096-2002, чинних нормативно-правових актів, у тому числі цих Правил та експлуатаційної документації.

Улаштування та експлуатація внутрішніх мереж електроустановок і установок електричного освітлення в приміщеннях відповідають вимогам чинних нормативно-правових актів.

Електропроводка та арматура силової та освітлювальної мережі у виробничих приміщеннях надійно ізолюються і захищаються від впливу високої температури, механічних пошкоджень і хімічної дії згідно з вимогами НАПБ А.01.001-2004.

Експлуатацію електрозахисних засобів, що використовуються під час експлуатації та ремонту електропроводок, здійснюють відповідно до вимог чинного законодавства.

Обладнання, під час роботи якого можливе утворення статичної електрики, має пристрій, який виключає можливість її накопичення.

Увімкнення до електричної мережі ручних переносних інструментів здійснюють відповідно до вимог НПАОП 40.1-1.21-98 та ГОСТ 12.2.013.0-91.

Усі будівлі, споруди та зовнішні установки захищаються від потрапляння блискавки і вторинних її проявів відповідно до вимог чинного законодавства.

Небезпечні та шкідливі виробничі чинники. Під час виконання технологічних процесів у виробництві беруть до уваги небезпечні та шкідливі виробничі чинники, які можуть впливати на працівників, відповідно до вимог ГОСТ 12.0.003-74

Заходи щодо підвищення пожежної безпеки.

На пожежних щитах фабрики розміщені такі первинні засоби пожежогасіння:

.        вогнегасники;

.        пожежний інвентар (ящики з піском, пожежні відра, совкові лопати, бочки з водою);

.        пожежний інструмент (гаки, ломи, сокири тощо).

ПрАТ "Київфундаментбуд" забезпечене необхідною кількістю води для цілей пожежогасіння (виходячи з вимог будівельних норм та інших нормативних документів). Мережа протипожежного водогону забезпечує потрібні за нормами витрату та напір води.

Пожежні гідранти справні і розміщуються таким чином, щоб забезпечувалося зручне набирання води пожежними машинами.

У разі відключення ділянок водогінної мережі та гідрантів або зменшення тиску мережі нижче за потрібний сповіщається про це підрозділи пожежної охорони.

Наявні пожежні резервуари, що захищені від замерзання води.

Внутрішні пожежні крани встановлені в доступних місцях - біля входів, у вестибюлях, коридорах, проходах. При цьому їх розміщення не заважає евакуації людей.

Пожежний рукав утримують сухим, складеним в "гармошку" або подвійну скатку, приєднаним до крана та ствола і не рідше одного разу на шість місяців розгортати та згортати наново.

Пожежні крани розміщуються у вбудованих або навісних шафках, які мають отвори для провітрювання і пристосовані для опломбування та візуального огляду їх без розкривання. Влаштовуючи шафки враховують можливість розміщення в них двох вогнегасників.

Для покращення умов праці на ПрАТ "Київфундаментбуд", потрібно більше приділяти увагу на охорону праці і техніку безпеки. Потрібно щоб підприємство виділяло більше коштів на заходи щодо охорони праці і техніки безпеки. Щоб забезпечити всі умови які потрібні працівникам для продуктивної праці. Потрібно забезпечити всіх працівників спецодягом і засобами індивідуального захисту.

Проаналізувавши все, що було сказано вище, можна зробити висновок, що в даний час охорона праці є дуже важливим елементом виробництва на кожному підприємстві. Науково-технічний прогрес потребує великих вимог, щодо охорони праці і техніки безпеки.

.2 Безпека у надзвичайних ситуаціях

На підприємстві ПрАТ "Київфундаментбуд" може статися надзвичайна ситуація, пов’язана зі спалахом технологічної лінії, внаслідок замикання електричного струму, що призведе до виникнення пожежі у споруді.

Клас надзвичайної ситуації: 10000 - техногенного характеру.

Підклас надзвичайної ситуації: 10200 - пожежі, вибухи.

Група надзвичайної ситуації: 10211 - пожежі, вибухи у спорудах, на комунікаціях та технологічному обладнанні промислових об’єктів.

Ознака надзвичайної ситуації буде відповідати - загибель або травмування людей (персоналу) внаслідок руйнування підземних споруд, випадків пожеж та вибухів.

Рівень надзвичайної ситуації - місцевий.

Заходи по усуненню надзвичайної ситуації:

) встановити причину аварії;

) розвідку стану в зоні аварії;

) усунути причини поширення аварії;

) організувати першу допомогу потерпілим та їх евакуацію;

) привести в дію засоби захисту та пожежогасіння;

) встановити стійку систему зв’язку з діючими формуваннями;

) організувати охорону об’єкта;

) виявити очевидців аварії та організувати їх опитування;

) встановити необхідну проектно-технологічну документацію для визначення причин аварії та її ліквідації;

) встановити напрями розгортання аварії, розробити та впровадити заходи щодо усунення можливостей розгортання аварії.

Керівник ліквідації аварії зобов’язаний установити своє керівництво по ліквідації аварії, виявити обставини аварії, ввести план ліквідації аварії в дію, ввести в дію повідомлення про аварію, ввести в дію формування підприємства, що передбачені планом ліквідації аварії за спеціальним сигналом, скласти уявлення про стан розвитку аварії, ввести в дію план евакуації з підприємства, встановити завдання керівників відповідних формувань підприємств за планом ліквідації та станом розвитку подій аварії, запровадити за необхідності коректування плану за змістом стану розвитку аварії.

Керівники формувань підприємства, відповідальні за різні напрямки робіт в ліквідації аварії, повинні:

) зібрати склад формувань у відповідному місці за планом ліквідації аварії та станом розвитку подій;

) перевірити оснащення формувань, провести інструктаж з питань розподілу обов’язків на місці аварії, взаємодії та зв’язку;

) визначити оптимальні шляхи до місця аварії;

) приступити до виконання ліквідації аварії;

) постійно підтримувати зв’язок їз керівником ліквідації аварії та повідомляти про зміни стану на місці аварії.

План ліквідації аварії.

Конкретний план ліквідації аварії 1 та 2 категорій складений на всіх підприємствах незалежно від форм власності, коли є можливість її виникнення за переліком встановлених ДБН.В.1.2195.

План ліквідації має містити такі розділи:

) можливі аварійні ситуації;

) дії посадових осіб і працівників підприємства;

) обов’язки працівників інших підприємств ,установ ,організації , що залучаються до ліквідації аварії.

Заходи по усуненню надзвичайної ситуації:

. встановити причину аварії;

. розвідку стану в зоні аварії;

. усунути причини поширення аварії;

. організувати першу допомогу потерпілим та їх евакуацію;

. привести в дію засоби захисту та пожежогасіння;

. встановити стійку систему зв’язку з діючими формуваннями;

. організувати охорону об’єкта;

. виявити очевидців аварії та організувати їх опитування;

. встановити необхідну проектно-технологічну документацію для визначення причин аварії та її ліквідації;

. встановити напрями розгортання аварії, розробити та впровадити заходи щодо усунення можливостей розгортання аварії.

Виконання робіт в місці аварії:

- визначити місце знаходження потерпілих;

скласти план проникнення на місце аварії;

визначити джерела виникнення небезпечних чинників аварії;

постійно контролювати можливість повторного виникнення аварійної ситуації;

зупинити розвиток цих чинників;

припинити постачання енергії, газу, води;

звільнити шляхи евакуації потерпілих;

визначити та застосувати оптимальні заходи звільнення потерпілих;

вести постійний контроль небезпек та шкідливостей, що можуть завдати ушкоджень командам формувань під час їх рятувальної роботи.

Отже, нами були досліджені всі аспекти організації охорони праці на ПрАТ "Київфундаментбуд", вказані нормативні документи системи управління охороною праці на підприємстві (Національна програма поліпшення безпеки, гігієни праці та виробничого середовища, Закон України "Про охорону праці", постанови ВРУ "Про охорону праці", Постанови Кабінету Міністрів України, Кодекс законів про працю України, інші законодавчі нормативні документи (діючі стандарти, правила, норми, положення, інструкції, постанови і вказівки Держкомнаглядохоронпраці), визначені особи, які несуть відповідальність за порушення норм охорони праці на підприємстві, а також визначені безпечні умови праці при виконанні основних технологічних процесів.

Висновки

Результатом проведеного дослідження є різнобічний аналіз капіталу підприємства, його складу, структури та системи управління ним на вітчизняних підприємствах. Результати проведеного дослідження дозволили сформулювати такі висновки:

Визначено, що з точки зору підприємства або власника капітал характеризує загальну вартість засобів у грошовій, матеріальній і нематеріальній формах, які інвестуються у формування активів підприємства. Основні властивості капіталу:капітал підприємства є основним чинником виробництва; капітал характеризує фінансові ресурси підприємства, що приносять доход; капітал є головним джерелом формування добробуту його власників. Частина капіталу в поточному періоді виходить з його складу на користь власника, а частина капіталу, що накопичується, забезпечує задоволення потреб власників у майбутньому; капітал підприємства є головним вимірником його ринкової вартості; динаміка капіталу підприємства є найважливішим показником рівня ефективності його господарської діяльності.

Відповідно до класифікацій, наведених у економічній літературі, виділяють такі види капіталу: за приналежністю підприємству виділяють власний і позиковий види його капіталу; за метою використання у складі підприємства можуть бути виділені наступні види капіталу: виробничий, позиковий і спекулятивний; за формами інвестування розрізняють капітал у грошовій, матеріальній і нематеріальній формах, що використовується для формування статутного фонду підприємства; за об’єктом інвестування виділяють основний і оборотний види капіталу підприємства; за формою надходження у процесі кругообігу, тобто залежить від стадій загального циклу цього кругообігу розрізняють капітал підприємства у грошовій, виробничій і товарній формах; за формами власності виділяють приватний і державний капітал, що інвестований в підприємство в процесі формування його статутного фонду; за організаційно-правовими формами діяльності виявляють наступні види капіталу: акціонерний (капітал підприємств, створених у формі акціонерних товариств), пайовий (капітал партнерських підприємств - товариств з обмеженою відповідальністю, командитних товариств і т.п.), індивідуальний (капітал індивідуальних підприємств -сімейних і т.п.); за характером використання у господарському процесі виділяють працюючий і непрацюючий види капіталу; за характером використання власниками виділяють споживаний і накопичувальний (реінвестований) види капіталу; за джерелами залучення розрізняють національний (вітчизняний) і іноземний капітал, інвестований у підприємство; за відповідністю правовим нормам функціонування розрізняють легальний і "тіньовий" капітал, що використовується у процесі господарської діяльності підприємства.

У структурі капіталу підприємства виділяють: власний капітал (статутний капітал, додатковий капітал, інший додатковий капітал, резервний капітал, нерозподілений прибуток), позичковий капітал (довгострокові та короткострокові кредити банків, позичкові кошти, емісія облігацій і інші боргових зобов'язань).

В системі дослідження ефективності управління капіталом найбільше розповсюдження отримали такі групи аналітичних фінансових коефіцієнтів: коефіцієнти оцінки рентабельності капіталу; коефіцієнти оцінки капіталовіддачі; коефіцієнти оцінки оборотності капіталу; показники фінансової стійкості; показники типів фінансової стійкості підприємства; показники ліквідності та платоспроможності підприємства; коефіцієнт фінансового левереджу; показники середньозваженої вартості капіталу.

Проведений аналіз ефективності використання та управління капіталом на підприємствах різних організаційно-правових форм, зокрема ДП ПАТ "Київський завод "Радар", ПАТ "Фармак", ПрАТ "Київфундаментбуд" та ТОВ "Форум 2000", показав, що на ДП ПАТ "Київський завод "Радар" в структурі фінансових ресурсів підприємства власні ресурси збільшились на 446 тис. грн. Підприємство для своєї діяльності не залучає позикові ресурси (короткострокові та довгострокові кредити відсутні). Однак зросли залучені кошти на 4949 тис.грн. ПрАТ "Київфундаментбуд: в структурі фінансових ресурсів підприємства частка власних ресурсів зменшилась на 5252 тис. грн., це було спричинено виникненням досить значної суми непокритих збитків за цей період діяльності, тому підприємство для своєї подальшої ефективної діяльності було змушене залучити позикові ресурси (довгострокові кредити банків), разом з тим залучені кошти також зросли на 2753 тис.грн. На ПАТ "Фармак" можемо відзначити, що на протязі 2-х років в структурі фінансових ресурсів підприємства його власні ресурси зменшились на 103302 тис. грн. з причин, аналогічних згаданим на ПрАТ "Київфундаментбуд". Тому підприємство для своєї діяльності активно залучає капітал, і зокрема позикові ресурси. ТОВ "Форум 2000", то підприємство використовує і залучені, і позикові кошти, однак за рахунок виваженої політики обліку та управління власним капіталом підприємству вдалося збільшити його обсяг на 1142 тис. грн.

Ефективність системи управління на підприємствах характеризується стійкістю підприємства. Фінансова стійкість характеризує ступінь фінансової незалежності підприємств щодо володіння своїм майном і його використання. У 2012-2013 роках фінансова стійкість підприємств характеризується нерівномірністю. Можна сказати, що підприємство ДП ПАТ "Київський завод "Радар" є досить стійким, тоді як ПрАТ "Київфундаментбуд" характеризується невисоким ступенем стійкості. ПАТ "Фармак" та ТОВ "Форум 2000" займають проміжну позицію.

Система управління капіталом - це сукупність взаємопов’язаних та взаємодіючих елементів, до яких відносяться підходи до управління капіталом, базові положення системи управління капіталом, забезпечення управління капіталом та складові системи управління капіталом. У процесі свого становлення система управління капіталом повинна проходити певний перелік етапів: розробка; впровадження; оцінювання; моніторинг; удосконалення. Дня удосконалення системи управління капіталом запропоновано віділити такі складові: процесна, функціональна, організаційна та методична. У межах процесної складової розглядається сукупність взаємозалежних управлінських процесів, спрямованих на обґрунтування, вироблення, прийняття й виконання рішень щодо формування та використання капіталу.У межах функціональної - сукупність функцій управління як специфічних видів діяльності по обґрунтуванню, виробленню, прийняттю й виконанню управлінських рішень. У межах організаційної - сукупність спеціалізованих органів (підрозділів - відділів, бюро, груп і т.п.) управління, взаємодіючих і взаємозалежних між собою для досягнення цілей і завдань управління капіталом. Методична складова складається з методик та методів організації управління, тобто сукупності способів і прийомів управління, що забезпечують досягнення поставлених цілей і рішення завдань управління капіталом.

На досліджуваних підприємствах дотримано всіх вимог щодо організації охорони праці, що підтверджується вказаними нормативними документами системи управління охороною праці, які застосовуються на підприємстві (Національна програма поліпшення безпеки, гігієни праці та виробничого середовища, Закон України "Про охорону праці", постанови ВРУ "Про охорону праці", Постанови Кабінету Міністрів України, Кодекс законів про працю України, інші законодавчі нормативні документи (діючі стандарти, правила, норми, положення, інструкції), постанови і вказівки Держкомнаглядохоронпраці).

Список використаних джерел

.        Абрамов С.И. Управление инвестициями в основной капитал / С.И. Абрамов. - М.:Экзамен, 2012.-544с.

2.      Азізова К. М. Побудова системи моніторингу функціонування капіталу підприємства / К. М. Азізова // Коммунальное хозяйство городов : науч. тех. сб. Серия : Экономические науки. - К.: Видавництво "Техника", 2010. - № 92. - С. 211-222.

3.      Аналіз і контроль в системі управління капіталом підприємства:монографія / Є.В. Мних, А.Д. Бутко, О.Ю. Большакова та ін. - К. : КНТЕУ, 2005. - 232 с.

4.      Афанасьєв М. В. Економіка підприємства: навчально-методичний посібник для самостійного вивчення дисципліни / М. В. Афанасьєв, А. Б. Гончаров. - Х.: ВД „ІНЖЕК", 2003. - 409с.

5.      Бланк И. Управление капиталом: Ученый курс. - К.: Ника-центр, 2004. - 573 с.

.        Бланк И.А. Финансовый менеджмент [Учебный курс] / И.А. Бланк.- К.: "Ника-Центр", Эльга - 2001. - 528 с.

7.      Богачева Г. Н. О многообразной трактовке категории „капитал" / Г. Н. Богачева Г. Н. , Б. А. Денисов // Менеджмент в России и за рубежом. - 2000. - № 1. - С. 13 - 24.

8.      Боримська К. П. Удосконалення організаційних засад проведення аналізу формування та змін власного капіталу в корпоративних підприємствах [Електронний ресурс] / К. П. Боримська, Р. В. Варічева. - Режим доступу: http://www.nbuv.gov.ua/portal/Soc_gum/Vzhdtu_econ/2011 _3/2.pdf

9.      Варичева Р. В. Поняття власного капіталу / Р. В. Варичева // Вісник ЖДТУ. 2010. - № 2 (52). - С. 81-85.

.        Ватченко, О. Б. Управління оборотним капіталом підприємства / О. Б. Ватченко, І. Б. Тахмазова // Економічний простір. - 2011. - № 50. - С. 193-200.

11.    Воробьев Ю. Н. Финансовый капитал предприятий. Теория, практика, управление: монография / Юрий Николаевич Воробьев, Киевск. нац. ун-т им. Т. Шевченко. - Симферополь: Таврия, 2002. - 363 с.

12.    Гончаренко А.М. Економічний зміст та етапи управління капіталом у машинобудуванні та сфері послуг // Економіка та управління підприємствами машинобудівної галузі:проблеми теорії та практики. - 2008. - №2. - с.102.

.        Грачев А. Характеристики финансово-экономического состояния предприятия: рациональный механизм сочетания собственного капитала, финансового рычага и платежеспособности предприятия на конец отчетного периода / А. Грачев // Генеральный директор . - 2004. - №: 11. - С.39-46

14.    Грачев А.В Рост собственного капитала, финансовый рычаг и платежеспособность предприятия / А.В. Грачев // Финансовый менеджмент 2002. -№2.- С.21-34

.        Грещак М. Управління витратами / М.Г. Грещак, О.С. Коцюба. - К.: КНЕУ, 2002. - 131 с.

16.    Григорова З. В. Формування та ефективність використання основного капіталу підприємств: автореф. дис. ... канд. екон. наук: 08.06.01.; Європейський ун-т / Зоя Валентинівна Григорова. - К., 2005. - 18 с.

17.   Гурнак О. В. Формування оптимальної структури капіталу промислових підприємств: автореф. дис... канд. екон. наук: 08.04.01 / НАН України; Інститут економіки промисловості. - Донецьк, 2005. - 18 с.

18.    Дороніна М. С. Капітал підприємства як потоковий процес / М. С. Дороніна // Управління економічними та соціальними процесами підприємства: монографія. - Х.: ХДЕУ, 2002. - С. 147 - 160 с.

19.    Дорошенко І. Сучасні теоретичні концепції розвитку фінансових ринків капіталу / І. Дорошенко // Фондовый рынок. - 2009. - № 35. - С. 24-32.

20.    Дукаль, Г.С. Управління обіговим капіталом та його вплив на фінансовий стан підприємств / Г.С. Дукаль [Електронний ресурс] - Режим доступу:http://archive.nbuv.gov.ua/portal/chem_biol/nvnltu//19_1/181_Dukal_19

21.    Дучинська Н. I. Нагромадження капіталу в умовах трансформації економіки України: монографія / Ніна Іванівна Дучинська. - К.: ННЦ "Інститут аграрної економіки", 2007. - 400 с.

22.    Єрмак, С.О. Концептуальні основи ефективного управління оборотним капіталом на підприємствах роздрібної торгівлі побутовим обладнанням / С.О. Єрмак // Вісник Донецького університету економіки та права. - 2008. - № 1 - 2. - С. 76-83.

23.    Журавльова І. В. Методичний підхід до формування стратегії розвитку структури капіталу на підґрунті кластеризації підприємств / І. В. Журавльова, І. Л. Латишева // Вісник Хмельницького національного університету. Серія: Економічні науки. - Т.2. - 2009. - № 2 (66). - С. 235 - 238.

24.    Ивашковская И.В. От финансового рычага к оптимизации структуры капитала компании / И.В. Ивашковская // Управление компанией. -2004. - Т. 42.- № 11. -С.18-21.

25.    Ивашковская И.В. Структура капитала: резервы создания стоимости для собственников компании / Ивашковская И.В., Куприянов А. //Управление компанией. -2005. -Т.45. -№ 2. -С.34-38.

26.    Іонін Є. Є. Аналітичне підґрунтя реалізації концепції збереження власного капіталу / Є. Є. Іонін // Актуальні проблеми економіки України.- 2005. - № 1(43). - С. 43-53.

27.    Киреева Е.Ф. Капитал предприятия: формы, источники финансирования. Цена капитала и оптимизация его структуры / Е.Ф. Киреев //Финансовый менеджмент: Учебное пособие. - Минск, 2004. - С.23-41

28.    Ковалев В. В. Финансовый анализ: Управление капиталом. Выбор инвестиций. Анализ отчетности / Валерий Викторович Ковалев. - 2-е изд., перераб. и доп. - М.: Финансы и статистика, 2000. - 511 с.

.        Козаченко Л. А. Управління формуванням капіталу виноробних підприємств: автореф. дис... канд. екон. наук: 08.00.04 / Південний філіал "Кримський агротехнологічний ун-т" Національного аграрного ун-ту. - Сімф., 2008. - С.20-21.

30.    Колеснік Я. В. Банківський капітал як об'єкт статистичного вивчення / Я. В. Колеснік // Статистика України. - 2010. - № 3. - С. 35-38.

31.   Кононов О. Ю. Аналіз і оцінка динамічних характеристик структури капіталу / О. Ю. Кононов // Управління розвитком. - 2003. - №1. - С.100 - 103.

32.    Кустріч, Л.О. Підвищення рівня управління оборотним капіталом / Л.О. Кустріч // Вісник Хмельницького національного університету. - 2010. - № 3. - С.103-106.

33.    Лайко П. А. Стратегія і тактика управління капіталом акціонерних підприємств в агропромисловому виробництві: моногр. / П.А.Лайко, А.Г. Борщ, О.Г. Борщ. - К: ННЦ "Інститут аграрної економіки", 2010. - 254 с.

.        Ламанов, С.В. Система завдань управління оборотним капіталом підприємства / С.В. Ламанов // Управління розвитком. - 2011. - №1 (98). - С. 155-158.

35.    Лебідь О. В. Алгоритм управління капіталом підприємства на синергетичних засадах / О. В. Лебідь // Культура народов Причерноморья. Научный журнал.Серия: Экономические науки. - Симферополь: Межвузовский центр "Крым", 2007. - №103. - С. 144 - 149.

36.    Лебідь О. В. Еволюція поглядів на сутність категорії "капітал"/ О. В. Лебідь // Коммунальное хозяйство городов. Науково-технічний збірник. Серія: Економічні науки. - К.: Видавництво "Техніка", 2006. - Вип. 73. - С. 362 - 373.

.        Лебідь О. В. Капітал підприємства як об’єкт управління / О. В. Лебідь // Збірник наукових праць Черкаського технологічного університету. Серія: Економічні науки.- Черкаси: ЧДТУ, 2006. - Вип. 16. - С. 71 - 74.

38.    Лебідь О. В. Методика оцінки ефективності управління капіталом підприємства / О. В. Лебідь // Економіка: проблеми теорії та практики. Збірник наукових праць. -- Дніпропетровськ: ДНУ, 2007. - Вип. 233: В 5-ти. Т. І. - С. 260 - 274.

39.    Лебідь О. В. Обґрунтування показників аналізу та оцінювання капіталу підприємства / О. В. Лебідь // Держава та регіони. Серія: Економіка та підприємництво. - 2010. - №5. - С. 57 - 64.

.        Лебідь О. В. Підвищення ефективності функціонування капіталу підприємства за рахунок управління узгодженістю його підсистем / О. В. Лебідь // Коммунальное хозяйство городов. Науково-технічний збірник. Серія: Економічні науки. - К.: Видавництво "Техніка", 2008. - Вип. 80. - С. 160 - 171.

41.  Любунь О. С. Організація управління взаємодією промислового та банківського капіталу в ринкових умовах / О. С. Любунь; Університет економіки та права "Крок". - К., 2006. - 335 с.

42.    Лютий І. О. Вплив держави на ринок фінансового капіталу України / І.О. Лютий, Н. В. Дрозд // Фінанси України. - 2010. - № 8. - С. 63-72.

43.    Малин А.С. Исследование систем управления: Учебник для вузов / А.С. Малин, В.И. Мухин; Гос. ун-т - Высшая школа экономики. - 3-е изд. - М.: Изд. Дом. ГУВМЭ, 2008. - 399.

44.    Малярець Л. М. Управління процесом росту власного капіталу підприємства : моногр. / Л. М. Малярець, Н. М. Пономаренко. - Харків: вид. ХНЕУ, 2011. - 132 с.

45.  Маргасова В. Г. Оцінка діючої системи управління оборотним капіталом на підприємствах харчової промисловості Чернігівського регіону / В. Г. Маргасова // Актуальні проблеми економіки. - 2006. - № 9. - С. 75 - 84.

46.  Маркс К. Капитал: Критика политической экономии. Т.1: Кн.1: Процесс производства капитала. - М.: Политиздат, 1988. - 891 с.

47.    Маркс К. Капитал: Критика политической экономии. Т.2: Кн.2: Процесс обращения капитала. - М.: Политиздат, 1988. - 654 с.

48.    Мішеніна Н.В. Механізм формування оптимальної структури фінансового капіталу в системі забезпечення стійкого розвитку підприємства / Н. В. Мішеніна, І. С. Мареха // Вісник Сумського державного університету. Серія Економіка. - 2010. - № 1. - С. 7-14.

49.    Мних Є. В. Аналіз і контроль в системі управління капіталом підприємства / за ред. проф. Є. В. Мниха. - К.: КНТЕУ, 2005. - 232 с.

50.  Осипов В. І. Економіка підприємства: підручник / В. І. Осипов. - Одеса: Маяк, 2009. - 724 с.

51.    Оцінка і діагностика фінансової стійкості підприємства: монографія / М. О. Кизим, В. А. Забродський, В. А. Зінченко, Ю. С. Копчак. - Х. Видавничий Дім „ІНЖЕК", 2003. - 144 с.

.        Панасюк В. Витрати виробництва: управлінський аспект / В.М. Панасюк. - Тернопіль: Астон, 2005. - 288 с.

53.  Пантелеев А. В. Теория управления в примерах и задачах: учеб. пособ / А. В. Пантелееев, А. С. Бортаковский. - М.: Высшая школа, 2003. - 583 с.

54.    Пархоменко, О.П. Концепція формування та використання оборотного капіталу промислового підприємства / О.П. Пархоменко // Наук. пр. Нац. ун-ту харч. технологій. - 2010. - N 36. - С. 21-25.

55.    Пархоменко, О.П. Система управління оборотним капіталом промислового підприємства / О. П. Пархоменко // Торгівля і ринок України. - 2009. - Вип. 28. - Т.2. - С. 232-240.

56.    Пастернак-Таранушенко Г. Капитал: как его получить и использовать в Украине: практическое пособие / Г. Пастернак-Таранушенко, В. Рожок. - К. : ЦУЛ, 2010. - 722 с.

57.    Пельтек, Л.В. Методологічні аспекти формування системи управління оборотними активами підприємства / Л.В. Пельтек, С.М. Писаренко // Вісник Запорізького національного університету. - 2010. - №1(5). - С. 43-49.

58.  Пенская И. А. Рейтинговая оценка привлечения, размещения и использования капитала предприятия/ И.А. Пенская // Вісник Хмельницького національного університету. Економічні науки. - 2005. - №3 (Т.1). - С.127 - 132.

59.  Поляк Г. Б. Финансовый менеджмент: учеб. для вузов / Г. Б. Поляк, И. А. Акодис, Т. А. Краева. - 2-е изд., перераб. и доп. - М.: ЮНИТИ-ДАНА, 2004. - 518 с.

61.    Раєвнєва О. В. Управління розвитком підприємства: методологія, механізми, моделі: монографія / Олена Валентинівна Раєвнєва. - Х.: ВД „ІНЖЕК", 2009. - 496 с.

.        Рясних Є. Г. Основи фінансового менеджменту: навч. посіб., 2-е вид., доп. і перероб. / Є. Г. Рясних. - К.: Скарби, 2004. - 238 с.

63.    Смирнова О. О. Теоретичні аспекти визначення вартості інвестиційного капіталу / О. О. Смирнова // Фінанси України. - 2008. - № 7. - С. 102 - 107.

64.  Стоянова Е. С. Финансовый менеджмент: теория и практика: учеб. для вузов / Е. С. Стоянова, Г. Б. Крылова, И. Т. Балабанов; Финансовая акад. при Правительстве РФ, Акад. менеджмента и рынка, Ин-т финансового менеджмента. - 5-е изд., перераб. и доп. - М.: Перспектива, 2003. - 655 с.

65.    Струченкова Т.В. Движение капитала в условиях финансовой глобализации / Т.В. Струченкова // Банковское дело. - 2004. - № 1. - с. 25-27

66.  Сысоев С. А. Эволюция категории „капитал" / С. А. Сысоев // Наукові праці Донецького національного технічного університету. Серія: Економічна. - Донецьк. - 2012. - № 91. - С. 100 - 103;

67.    Телиженко А.М. Управление инвестициями фирмы: определение эффективной структуры капитала / Телиженко А.М., Федоренко Н.О. // Вісник Сумського державного університету. - Суми: Вид-во СумДУ, 2006. - С. 54

68.    Теплова Т.В. Финансовый менеджмент: управление капиталом и инвестициями: Учебник для вузов / Т.В. Теплова. - М., 2001. -504с.

.        Трубочкина М. Управление затратами предприятия / М.И. Трубочкина. - М.: ИНФРА - М, 2006. - 217 с.

.        Федоренко Н.О. Анализ факторов, определяющих финансовый результат деятельности предприятия / Н.О. Федоренко // Вісник Сумського державного університету. Серія Економіка. - 2009. - №2. - С. 206-210.

71.    Федоренко Н.О. Застосування методу максимізації вартості активів підприємства для визначення оптимальної структури капіталу / О.М. Теліженко, Н.О. Федоренко // Науковий вісник Буковинської державної фінансової академії: Збірник наукових праць: Економічні науки. Вип. 3 (16). - Чернівці, Технодрук, 2009. - 558 с. - С. 473-479.

.        Федоренко Н.О. Разработка методического подхода к определению оптимального соотношения собственного и заемного капитала предприятия / Н.О. Федоренко // Вісник Сумського державного університету. Серія Економіка - Суми: Вид-во СумДУ, 2008. - №2 (2). - С. 178-187.

.        Федоренко Н.О. Управление финансовыми ресурсами: определение зоны оптимальных значений структуры капитала / О.М. Теліженко, Н.О. Федоренко // Управління розвитком. - Харків: Вид-во ХНЕУ, 2006. - №7. - С.172-174.

74.  Хикс Дж. Р. Стоимость и капитал: / Джон Ричард Хикс . - М.: Прогресс, 1988. - 487 с.

75.    Ходжава, К. Я. Стратегічні напрями підвищення ефективності управління оборотним капіталом / К. Я. Ходжава // Управління розвитком. - 2012. - №19(140). - С. 161-163.

76.  Хомяков В. І. Менеджмент пiдприємства: навчальний посiбник для вузiв / В. І. Хомяков. - 2-е вид., перероб. i доп. - К.: Кондор, 2005 . - 431 с.

77.  Циклы воспроизводства капитала: монография / С. Н. Козьменко, Т. А. Васильева, И. Д. Скляр, А. А. Епифанов, С. В. Леонов. - Сумы: Деловые перспективы, 2012. - 224 с.: рис.

78.    Циклы воспроизводства капитала: монография / С.Н. Козьменко, Т.А. Васильева, И.Д. Скляр и др. - Сумы : Деловые перспективы, 2005. - 221 с.

79.    Череп А.В. Управління собівартістю / А.В. Череп. - Харків: ВД "ІНЖЕК", 2005. - 373 с.

80.    Чмутова І. М. Принципи управління капіталом підприємства / І. М. Чмутова, О. В. Лебідь // Теорії мікро-макроекономіки. Збірник наукових праць. - К.: Видавничо-поліграфічний центр Академії муніципального управління, 2006. - Вип. 25. - С. 168 - 173.

81.    Чмутова І. М. Факторний аналіз функціонування капіталу підприємства / І. М. Чмутова, О. В. Лебідь // Економічний аналіз. Збірник наукових праць Тернопільського національного економічного університету. - Тернопіль: Економічна думка, 2008. - Вип. 2 (18). - С. 252 - 260.

82.  Чорна О. Є. Управління капіталом підприємства в умовах ринкової трансформації економіки України: автореф. дис... канд. екон. наук: 08.04.01 / Одеський держ. економічний ун-т. - О., 2005. - 21 с.

83.    Чубка, О. М. Оцінка методів управління оборотним капіталом промислових підприємств / О. М. Чубка, О. М. Рудницька // Проблеми економіки та управління. - Л.: Вид-во Нац. ун-ту "Львів. політехніка". - 2009. - №640. - С. 440-445.

84.    Швиданенко Г.О., Шевчук Н.В. Управління капіталом підприємства: Навч. посіб. - К: КНЕУ, 2007. - 440 с.

85.    Шевчук Н. Капітал підприємства: формування та ефективність функціонування / Н. Шевчук // Ринок цінних паперів України. - 2009. - № 5-6. - С. 39-43.

86.  Шеремет А. Д. Финансы предприятий: менеджмент и анализ: учеб. пособ. / А. Д. Шеремет, А. Ф. Ионова; Моск. гос. ун-т им. М. В. Ломоносова. - М.: ИНФРА-М, 2004. - 537 с.

87.    Федоренко Н.О. Мирошниченко, Ю.О. // Актуальні проблеми економіки. - Київ: ВНЗ "Національна академія управління", 2008. - № 2. - С. 209-220.

88.  Юхименко П. І. Історія економічних вчень: навч. посіб. / П. І. Юхименко, П. М. Леоненко, 2-ге від., випр. - К.: Знання-Прес, 2001. - 514 с.

89.    Яремко І. Й. Управління капіталом підприємства: економічний і фінансовий інструментарій: монографія / Ігор Йосифович Яремко. - Л.: Каменяр, 2011. - 176 с.

.        Ярощук О. В. Аналіз формування капіталу підприємства: автореф. дис. ... канд. екон. наук: 08.06.04.; Терноп. акад.. нар. госп-ва / Олексій Вікторович Ярощук. - Тернопіль, 2004. - 20 с.

Похожие работы на - Капітал підприємства

 

Не нашли материал для своей работы?
Поможем написать уникальную работу
Без плагиата!
Без нейросетей!