Статистико-экономический анализ себестоимости прироста живой массы крупного рогатого скота на выращивании и откорме
Министерство сельского хозяйства РФ
Новосибирский Государственный
Аграрный Университет
Институт заочного образования и
повышения квалификации
Кафедра дистанционных и
комбинированных образовательных технологий
КУРСОВАЯ РАБОТА
По дисциплине: «СТАТИСТИКА»
На тему: «СТАТИСТИКО-ЭКОНОМИЧЕСКИЙ
АНАЛИЗ СЕБЕСТОИМОСТИ ПРИРОСТА ЖИВОЙ МАССЫ КРУПНОГО РОГАТОГО СКОТА НА
ВЫРАЩИВАНИИ И ОТКОРМЕ»
Выполнила
Мельник Екатерина Евгеньевна
Новосибирск 2014
Содержание
Введение
. Теоретические и методологические основы поголовья,
продуктивности скота и валового выхода продукции животноводства
. Группировка организаций по продуктивности крупного рогатого
скота на выращивании и откорме
. Корреляционно-регрессионный анализ связи продуктивности
крупного рогатого скота на выращивании и откорме с показателем, с которым по
группировке найдена наибольшая взаимосвязь
. Динамика продуктивности крупного рогатого скота на
выращивании и откорме за 2008-2012 гг.
Заключение
Список литературы
Введение
Животноводство является важной отраслью сельского хозяйства, дающей более
половины его валовой продукции. Мясо, молоко, яйца представляют основные
продукты питания населения и являются главными источниками поставки
незаменимого белка. Без них невозможно обеспечить высокий уровень питания.
Животноводство дает ценные виды сырья для промышленности: шерсть, кожу, смушки
и т.п. Развитие животноводческих отраслей позволяет производительно
использовать в сельском хозяйстве трудовые и материальные ресурсы в течение
года. В отраслях животноводства потребляются отходы растениеводства, создаются
ценные органические удобрения - навоз и навозная жижа.
Важная задача развития животноводства состоит в повышении качества
продукции. Этому способствует методы селекции и научно-обоснованные нормы
кормления животных, улучшение технического оснащения ферм, материальное
стимулирование работников за повышение качества продукции. Общие задачи,
которые необходимо решать в отрасли животноводства, состоят в том, чтобы
обеспечить рост продуктивности и поголовья скота и на этой основе увеличивать
объемы производства высококачественной продукции при наименьших затратах труда
и средств.
Производство продукции сельского хозяйства связано с использованием
производственных ресурсов отрасли - трудовых, материальных, земельных, водных,
в процессе которого они частично или полностью потребляются, а их стоимость
переносится на созданную продукцию. Совокупность потребленных и перенесенных на
продукцию производственных ресурсов составляет издержки ее производства.
Издержки производства предприятия состоят из затрат на оплату труда,
оплата за землю и стоимости потребленных ресурсов - годового износа основных
средств - машин, оборудования, а также средств, потребленных в процессе
производства - семян, кормов, удобрений, горючего. Эти затраты являются частью
стоимости продукции.
Издержки производства продукции являются экономической основой
себестоимости. Отсюда себестоимость - это совокупность текущих, то есть
ежегодных затрат предприятия на производство и сбыт продукции, выраженная в
денежной форме.
Цель работы - выполнить статистико-экономический анализ поголовья,
продуктивности и валового выхода продукции крупного рогатого скота на
выращивании и откорме.
В соответствии с поставленной целью, были поставлены следующие задачи:
. Изучить литературу по теме: основы поголовья, продуктивности скота и
валового выхода продукции животноводства
. Сгруппировать организации по продуктивности крупного рогатого скота на
выращивании и откорме.
. Провести корреляционно-регрессионный анализ связи продуктивности
крупного рогатого скота на выращивании и откорме с показателем, с которым по
группировке найдена наибольшая взаимосвязь
. Рассмотреть динамику продуктивности крупного рогатого скота на
выращивании и откорме за 2008-2012 гг.
1. Теоретические и методологические основы поголовья,
продуктивности скота и валового выхода продукции животноводства
Сельскохозяйственная продукция представляет собой часть общественного
продукта, созданную в сельском хозяйстве. Ее физический объем характеризуется
валовой продукцией сельского хозяйства, представляющей собой денежное выражение
произведенной за год продукции растениеводства и животноводства. В ее состав,
как правило, не включается продукция переработки, несмотря на то, что она может
быть получена на сельскохозяйственном предприятии.
По степени готовности здесь также различают готовую продукцию и
незавершенное производство. Первая может быть реализована и использована в
самом хозяйстве. Незавершенное производство представляет собой затраты, от
которых в данном году продукция не получена, однако будет получена в
последующем. Отраслевой состав включает растениеводство и животноводство.
Животноводство так же важнейшая отрасль народного хозяйства. Развитие
животноводства дает возможность более полного обеспечения населения такими
продуктами как молоко и мясо, которые представляют биологическую ценность. Мясо
является важным источник удовлетворения потребности человека в жизненно
необходимых аминокислотах, минеральных веществах, жире.
Прибыль является главной целью деятельности сельскохозяйственного
предприятия. Учет прибыли позволяет установить, насколько эффективно ведется
хозяйственная деятельность. В процессе формирования прибыли отражаются все
стороны хозяйственной деятельности предприятия: уровень использования основного
капитала, продуктивность животных и урожайность сельскохозяйственных культур,
организация производства и труда, технология [8, с. 327].
Абсолютная величина прибыли показывает результат снижения себестоимости и
рост объемов реализации продукции. Реализация продукции является одним из
показателей планирования, оценки хозяйственной деятельности
сельскохозяйственного предприятия и основным источником дохода. Денежные
средства, поступающие на расчетный счет предприятия и в кассу за реализованную
продукцию, называется выручкой от реализации. Из выручки от реализации
продукции предприятия возмещают производственные затраты на израсходованные
материальные ценности, формируются амортизационный фонд в соответствии с
нормами амортизационных отчислений. Основная часть - это чистая продукция, или
валовой доход. Исключая из чистой продукции зарплату с учетом отчислений на
социальное страхование и обеспечение, а также НДС и акцизы, получаем прибыль
предприятия.
Для оценки эффективности сельскохозяйственного предприятия только
показателя прибыли недостаточно. Для оценки эффективности работы предприятия
необходимо сопоставить прибыль и стоимость производственных фондов, с помощью
которых она создана. Это и есть показатель рентабельности.
Рентабельность представляет собой доходность, прибыльность, показатель
экономической эффективности производств, который отражает результаты
хозяйственной деятельности. Ее рассчитывают как отношение прибыли к
среднегодовой стоимости основных и нормируемых оборотных фондов. Различают два
вида рентабельности: рассчитанную на основе балансовой (общей) прибыли и на
основе чистой прибыли.
Одним из основных резервов роста эффективности сельскохозяйственного
производства есть рациональное использование главного средства производства -
земли. Поэтому капитальные вложения в сельское хозяйство в первую очередь
должны быть использованные относительно сохранения земель, повышения плодородия
почв, которое обусловит рост производительности земледелия и, в частности,
создания стойкой кормовой базы животноводства.
Продукция животноводческих отраслей делится на две категории:
первая-продукция, получаемая при производственном использовании животных
(молоко, шерсть, яйца, мед и т. д.); вторая-продукция, получаемая от
выращивания животных (приплод, прирост молодняка и взрослого скота на откорме и
нагуле). Показателем выращивания и откорма скота является производство мяса.
Кроме основной, к валовой продукции животноводства относится побочная
продукция: навоз, шерсть-линька, кожа забитого и павшего скота, рога и т.д.
Анализ производства и использования продукции животноводства проводят в
натуральных и стоимостных показателях. Цель анализа - выявить и подсчитать
упущенные возможности и резервы увеличения производства и реализации продукции.
Анализ осуществляют по каждому виду продукции, каждой отрасли, подразделению и
по животноводству в целом путем сравнения фактического объема производства с
плановым или уровнем производства за ряд предшествующих лет. Для каждого
предприятия важно выявить, за счет каких факторов увеличивается производство
продукции животноводства. Поэтому при анализе необходимо установить уровень как
положительного, так и отрицательного влияния каждого фактора на производство.
На выход валовой продукции животноводства влияет большое количество факторов:
обеспеченность животных кормами и их качество, условия содержания скота и
птицы, породность и структура стада, наличие квалифицированных кадров и уровень
комплексной механизации производственных процессов, организация зооветслужбы и
профилактической работы. Однако все они влияют на выход продукции через
изменение поголовья продуктивного скота и его продуктивности [3, с. 156].
Для выявления возможностей предприятия по росту поголовья скота проводят
углубленный анализ выполнения плана оборота стада по всем приходным и расходным
статьям. При анализе состава поголовья и его структуры рассматривают
численность поголовья скота по видам животных, возрастным и производственным
группам, удельный вес отдельных видов скота в общем поголовье (в переводе на крупный
рогатый скот), физическое поголовье по группам животных и птицы в расчете на
единицу земельной площади, условное поголовье скота и птицы в расчете на 100 га
сельскохозяйственных угодий, оценивают размеры животноводческих ферм и развитие
отрасли в целом. Эти данные позволяют судить о концентрации поголовья отдельных
видов и групп животных, определить ведущую отрасль животноводства на
предприятии, а также потенциальные возможности специализации, воспроизводства
стада и производства валовой и товарной продукции животноводства. Для
определения производственного направления, размера и уровня концентрации
животноводства необходимо рассчитать его структуру по видам животных в
физическом и условном исчислении, определить плотность поголовья скота в
расчете на единицу сельскохозяйственных угодий. Анализ показателей
воспроизводства стада в целом по предприятию следует дополнить анализом работы
отдельных ферм, изучением опыта лучших ферм и предприятий. Затем следует
перейти к анализу продуктивности скота и птицы.
Продуктивность животных в каждой отрасли измеряется количеством основной
продукции, полученной на одну голову за определенный период времени. По
взрослому стаду крупного рогатого скота показателями продуктивности являются
надой молока на фуражную корову и выход телят на 100 коров, а по молодняку и
откормочному поголовью - среднесуточный прирост живой массы. В свиноводстве
показателями продуктивности служат выход поросят на свиноматку и живая масса
одного поросенка при отъеме, а по молодняку и откормочному поголовью -
среднесуточный прирост живой массы. Показателями продуктивности в птицеводстве
являются выход яиц на одну несушку и среднесуточный прирост молодняка; в
овцеводстве - настриг шерсти на одну голову, приплод на одну овцу и
среднесуточный прирост живой массы молодняка; в пчеловодстве - масса собранного
меда на одну пчелосемью, а в рыбоводстве - выход рыбы с 1 га зарыбленного
водоема.
Рост и развитие животных, их продуктивность зависят в первую очередь от
уровня кормления, т.е. от количества использованных кормов на одну голову за
сутки, месяц, год. Повышение уровня кормления животных -главное условие
интенсификации производства и повышения его эффективности. При низком уровне
кормления большая часть корма идет на поддержание жизненных процессов в организме
животных и меньшая - на получение продукции, в результате чего увеличиваются
затраты кормов на производство единицы продукции. Более высокий уровень
кормления животных обеспечивает повышение в рационах доли продуктивной части
корма, рост продуктивности животных и сокращение затрат кормов на единицу
продукции. Не менее важным фактором повышения продуктивности животных является
повышение качества кормов и в первую очередь их энергетической и протеиновой
питательности. Корм плохого качества имеет низкую питательность, в связи с чем
не обеспечивает необходимую продуктивность животных. Качество кормов зависит от
способов и сроков их заготовки и хранения, технологии приготовления к
скармливанию.
Существенным фактором повышения продуктивности животных является их
сбалансированное кормление, когда в рационе имеются все питательные вещества,
необходимые организму животного в соответствии с их продуктивностью и
физиологическим состоянием. При недостатке отдельных элементов у животных
ухудшается обмен веществ, что приводит не только к снижению их продуктивности,
но и к различным заболеваниям. Из-за низкого качества кормов и
несбалансированности рационов, по расчетам специалистов, недополучается до
20-30% продукции животноводства. Следовательно, установление рациональной
структуры рационов и кормопроизводства является существенным резервом роста
продуктивности животных и снижения себестоимости продукции.
Большое влияние на продуктивность животных оказывает также породный
состав стада. Совершенствование породных качеств животных, создание новых
пород, линий и гибридов являются необходимым условием существенного повышения
продуктивности животных, улучшения качества продукции, внедрения современных
технологий. Одним из факторов, оказывающих значительное влияние на продуктивность
коров, является улучшение возрастного состава дойного стада. В связи с тем что
удои молока у коров после 6-7 лактации начинают постепенно снижаться, замена
старых, низкопродуктивных коров чистопородными первотелками с удоями молока не
менее 3000 кг может быть значительным резервом повышения среднего уровня
продуктивности коров. Необходимо ежегодно обновлять основное стадо крупного
рогатого скота. Продуктивность коров во многом зависит и от процента их
яловости, так как удои молока у яловок примерно наполовину ниже, чем у
растелившихся коров. Кроме того, в связи с высоким процентом яловости коров
хозяйства недополучают много телят [7, с. 112].
Большое влияние на продуктивность животных оказывают тип и условия
содержания животных, организация труда на животноводческих фермах и комплексах,
технология производства, а также обеспеченность сельскохозяйственных
предприятий кадрами животноводов, зоотехников, ветврачей, инженерно-техническим
персоналом. Немаловажное значение имеют система оплаты труда, морального и
материального поощрения работников, формы собственности и т.д. Основные условия
выполнения плана по продуктивности животных - обеспеченность скота кормами,
рациональное кормление, породность скота и условия его содержания. Чтобы
определить обеспеченность скота кормами, плановую потребность в кормах
сопоставляют с фактическим их наличием. Такие расчеты делаются по каждому виду
кормов в натуральных единицах измерения, а затем их пересчитывают в кормовые
единицы.
Основными источниками резервов увеличения производства продукции в
животноводстве являются рост поголовья и увеличение продуктивности животных.
Резервы роста поголовья определяются в процессе анализа выполнения плана по
обороту стада. Это сокращение яловости маточного поголовья, падежа животных и реализация
их на мясо высоким весом. Основными источниками роста продуктивности животных
являются повышение уровня их кормления и эффективности использования кормов,
сокращение яловости коров, улучшение возрастного и породного состава стада, а
также условий содержания животных.
Валовая продукция животноводства определяется стоимостью сырых продуктов,
полученных в результате выращивания и хозяйственного использования
сельскохозяйственных животных, а также стоимостью выращивания скота и птицы и
прочих сельскохозяйственных животных.
В валовую продукцию животноводства входят молоко по видам (коровье,
овечье, козье и т.д.), яйца (куриные, утиные и т.д.), шерсть (овечья, козья и
т.д.) мед и другие продукты нормальной жизнедеятельности животных. Размеры
продукции выращивания скота в натуре определяются в живом весе полученного за
год приплода, прироста молодняка и привеса взрослого скота на откорме и нагуле.
Натуральные показатели отдельных видов произведенной продукции ᴨереводятся
в денежные. Тем самым получают показатель валовой продукции сельского
хозяйства. Ее общая величина определяется по методу валового оборота - как
сумма продукции отдельных отраслей растениеводства и животноводства.
Особенность исчисления заключается в том, что в расчет включается оборот внутри
предприятия. Такой порядок оценки связан со спецификой отрасли и дает
представление об объеме сельскохозяйственного производства.
Если исключить повторный счет, то получится стоимость конечной продукции
сельского хозяйства. По существу, это оценка по отраслевому методу. Готовая
продукция, реализуемая за пределы сельскохозяйственного предприятия и личного
подсобного хозяйства, называется товарной. Сюда же входят натуральная оплата
труда работников предприятия, стоимость проданных им продуктов, отпуск продукции
в общественное питание и т.д. данный показатель характеризует продукцию,
поступающую в народнохозяйственный оборот.
Уровень товарности определяется как отношение товарной продукции к
валовой. На практике из числителя и знаменателя этого показателя вычитают так
называемые малотоварные виды продукции (солома, навоз и т.д.) из-за
ограниченных возможностей их продажи. Из валовой продукции исключают также
стоимость закладки и выращивания молодых многолетних насаждений и стоимость
незавершенного производства. Так как они не могут быть реализованы.
Чистая продукция сельского хозяйства - это вновь созданная в отрасли
стоимость. Для ее расчета необходимо из стоимости валовой продукции вычесть
материальные затраты. К ним в сельском хозяйстве относят затраты на вещества
сельскохозяйственного происхождения (семена, посадочный материал, корма и т.д.)
и затраты промышленного происхождения (удобрения и т.д.), а также прочие
затраты, отнесенные на производство. Чистая продукция в сельском хозяйстве чаще
называется валовым доходом. Этот показатель является синтетическим,
характеризующим деятельность хозяйств в целом. Чистая продукция за вычетом
затрат на оплату труда представляет собой чистый доход. Практически его можно
рассчитать, вычитая из стоимости валовой продукции затраты на ее создание.
Система показателей статистики животноводства должна обеспечить
достоверное и всестороннее освещение состояния отрасли в каждый данный момент,
раскрыть закономерности ее развития и наиболее существенные взаимосвязи,
оценить эффективность ведения производства и мер его регулирования, вскрыть
имеющиеся диспропорции, показать возможные пути их преодоления и использования
имеющихся резервов.
В животноводстве статистика имеет дело со статистическими совокупностями
двух видов:
- совокупность сельскохозяйственных предприятий (коммерческих
организаций), крестьянских, личных подсобных и других хозяйств населения с
признаками самих этих единиц наблюдения и содержащихся в них животных;
- совокупность животных с их индивидуальными признаками вида,
пола, возраста, веса, продуктивности, состояния здоровья, характера
использования и т.п.
Получение и анализ показателей статистики животноводства ведется в
территориальном, социальном и отраслевом разрезах. Полнота и степень охвата
объективно существующей системы показателей зависит от уровня управления,
потребности в информации и задач анализа, материальных и других возможностей ее
изучения.
При изучении системы показателей животноводства широко используются
существующие общеэкономические классификации, а также внутриотраслевые
классификации, регламентирующие выделение подотраслей животноводства, видов и
групп животных, видов и подвидов продукции животноводства, заготавливаемых и
используемых кормов, технологий и т.п.
В практике статистики и хозяйственного управления используется
половозрастная классификация по каждому виду животных. Степень дифференциации
на группы зависит от уровня управления, задач анализа, возможностей получения
информации и других причин.
Исчисление себестоимости продукции в сельском хозяйстве имеет ряд
особенностей, вызванных его спецификой. Первая особенность состоит в том, что
годовой цикл производства продукции в земледелии, а также различие между
временем производства и рабочим периодом обусловливают возможность исчисления
себестоимости продукции только после окончания хозяйственного года.
Производство отдельных видов продукции животноводства (молоко, приплод, прирост
и др.) происходит более или менее равномерно в течение года, однако ее
себестоимость невозможно исчислять ежемесячно, так как расходы по обслуживанию
производства и управлению им могут быть распределены только после определения
сумм прямых затрат но всем отраслям. Кроме того, значительную часть продукции
растениеводства используют в качестве корма для животных; поэтому вначале
определяют фактическую себестоимость кормов, а затем уже начисляют
себестоимость продукции животноводства.
Вторая особенность заключается в получении от многих сельскохозяйственных
культур и в животноводстве нескольких видов продукции. В связи с этим возникает
необходимость в распределении затрат между всеми указанными видами продукции.
Третьей особенностью является определение суммы незавершенного производства
только в конце года по состоянию на 1 января. В состав эта затрат включают
расходы под урожаи будущего года и стоимость меда, оставленного в ульях для
кормления пчел. Четвертая особенность характеризуется порядком исчисления
отчетной себестоимости в конце года; в течение года всю продукцию учитывают по
плановой себестоимости, что не позволяет до конца года выявить фактическую
сумму затрат. Пятая особенность связана с различиям” франкировки отдельных
видов продукции. Специфика сельского хозяйства, заключающаяся в территориальном
удалении мест производства ряда видов продукции, от пунктов их хранения,
переработки, подработки и потребления, определяет необходимость различного
подхода к включению в производственную себестоимости некоторых видов расходов.
Так, в себестоимость зерна, включают затраты по доставке его на ток или иное
место первичной обработки и по этой подработке, проводимой одновременно с
уборкой урожая или после ее завершения; себестоимость силоса исчисляют с
включением стоимости зеленой массы, затрат по доставке ее к месту силосования и
расходов но силосованию; себестоимость зеленых кормов определяют с учетом
расходов но доставке их к местам потребления.
Рентабельность показывает, насколько прибыльна деятельность предприятия,
соответственно, чем выше коэффициенты рентабельности, тем эффективней
деятельность. Поэтому предприятие должно стремиться к более высоким
показателям, а руководство должно определить пути повышения рентабельности.
Уровень прибыльности функционирования предприятия наиболее точно
определяют показатели рентабельности, которые характеризуют уровень отдачи
расходов или меру использования имеющихся ресурсов в процессе производства и
реализации товаров, работ и услуг.
Многообразие показателей рентабельности определяет альтернативность
поиска путей её повышения. При анализе путей повышения рентабельности важно
разделять влияние внешних и внутренних факторов. В целом одним из условий
процветания предприятия является расширение рынка сбыта продукции за счёт
снижения цены на предлагаемые товары, но это не всегда так. Поэтому внимания
этому внешнему фактору следует уделять меньше, чем внутренним: увеличению
объёмов производства, снижению себестоимости продукции, повышению отдачи
основных средств.
. Группировка организаций по продуктивности крупного рогатого скота на
выращивании и откорме
Имеются следующие данные:
Таблица 1. Производственные и экономические показатели по
сельскохозяйственным организациям Новосибирской области
|
№
|
Наименование организации
|
Крупный рогатый скот (КРС)
на выращивании и откорме
|
|
|
Поголовье КРС на
выращивании и откорме, голов
|
Валовой прирост живой массы
КРС, ц
|
Прямые затраты труда, тыс.
чел. - час.
|
Общая производственная
себестоимость, тыс. р.
|
|
1
|
ЗАО «Ивановское»
|
2811
|
5691
|
54
|
26875
|
|
2
|
ЗАО «Лепокуровское»
|
1598
|
2734
|
24
|
18995
|
|
3
|
ОАО «А. Невского»
|
826
|
1981
|
46
|
13254
|
|
4
|
ОАО «Вознесенское»
|
1191
|
2307
|
46
|
15630
|
|
5
|
ОАО «Искра»
|
1073
|
1589
|
32
|
13446
|
|
6
|
ОАО «Культура»
|
1311
|
1646
|
38
|
14231
|
|
7
|
ОАО «Надежда»
|
2005
|
3164
|
42
|
33695
|
|
8
|
ОАО «Палецкое»
|
1883
|
2817
|
97
|
22486
|
|
9
|
ОАО «С.-Кулундинское»
|
1176
|
12554
|
22
|
14639
|
|
10
|
ЗАО «Зубковское»
|
972
|
1366
|
20
|
8074
|
|
11
|
ЗАО «Колыбельское»
|
1970
|
2700
|
51
|
25353
|
|
12
|
ЗАО «Коневское»
|
1000
|
2101
|
24
|
15214
|
|
13
|
ЗАО «Локтенское»
|
355
|
134
|
23
|
1173
|
|
14
|
ЗАО «Новомайское»
|
1647
|
2926
|
81
|
19087
|
|
15
|
ОАО «Новая Заря»
|
2049
|
3285
|
37
|
15169
|
|
16
|
СПК «Ульяновское»
|
647
|
1183
|
16
|
6382
|
|
17
|
ЗАО «Морозовское»
|
1791
|
3297
|
57
|
18245
|
|
18
|
ЗАО «Новая Семья»
|
1050
|
1879
|
34
|
14336
|
|
19
|
ЗАО «Благодатское»
|
717
|
1375
|
55
|
12400
|
|
20
|
ЗАО «Калиновское»
|
2688
|
3488
|
87
|
22340
|
|
21
|
ЗАО «Калачинское»
|
1874
|
2447
|
122
|
27513
|
|
22
|
ЗАО «Маяк»
|
870
|
1464
|
27
|
7991
|
|
23
|
ЗАО «Студеновское»
|
2324
|
2641
|
62
|
26069
|
|
24
|
ЗАО «Ш.-Курьинское»
|
681
|
898
|
27
|
9350
|
|
25
|
ОАО «Ирбизино»
|
936
|
1198
|
18
|
8631
|
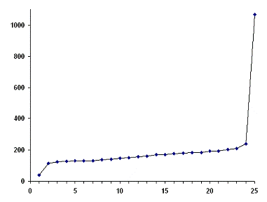
По этим данным вычислим продуктивность крупного рогатого скота на
выращивании и откорме в кг как отношение валового прироста живой массы КРС на
выращивании и откорме к поголовью КРС на выращивании и откорме и построим огиву
- ранжированный ряд организаций по продуктивности крупного рогатого скота на
выращивании и откорме в порядке возрастания этого признака:
Таблица 2. Ранжирование хозяйств области по продуктивности крупного
рогатого скота на выращивании и откорме
|
№
|
Наименование организации
|
Поголовье КРС на
выращивании и откорме, голов
|
Валовой прирост живой массы
КРС, ц
|
Продуктивность крупного
рогатого скота на выращивании и откорме, кг
|
|
13
|
ЗАО «Локтенское»
|
355
|
134
|
37,75
|
|
23
|
ЗАО «Студеновское»
|
2324
|
2641
|
113,64
|
|
6
|
ОАО «Культура»
|
1311
|
1646
|
125,55
|
|
25
|
ОАО «Ирбизино»
|
936
|
1198
|
127,99
|
|
20
|
ЗАО «Калиновское»
|
2688
|
3488
|
129,76
|
|
21
|
ЗАО «Калачинское»
|
1874
|
2447
|
130,58
|
|
24
|
ЗАО «Ш.-Курьинское»
|
681
|
898
|
131,86
|
|
11
|
ЗАО «Колыбельское»
|
1970
|
2700
|
137,06
|
|
10
|
ЗАО «Зубковское»
|
972
|
1366
|
140,53
|
|
5
|
ОАО «Искра»
|
1073
|
1589
|
148,09
|
|
8
|
ОАО «Палецкое»
|
1883
|
2817
|
149,60
|
|
7
|
ОАО «Надежда»
|
2005
|
3164
|
157,81
|
|
15
|
ОАО «Новая Заря»
|
2049
|
3285
|
160,32
|
|
22
|
ЗАО «Маяк»
|
870
|
1464
|
168,28
|
|
2
|
ЗАО «Лепокуровское»
|
1598
|
2734
|
171,09
|
|
14
|
ЗАО «Новомайское»
|
1647
|
2926
|
177,66
|
|
18
|
ЗАО «Новая Семья»
|
1050
|
1879
|
178,95
|
|
16
|
СПК «Ульяновское»
|
647
|
1183
|
182,84
|
|
17
|
ЗАО «Морозовское»
|
1791
|
3297
|
184,09
|
|
19
|
ЗАО «Благодатское»
|
717
|
1375
|
191,77
|
|
4
|
ОАО «Вознесенское»
|
1191
|
2307
|
193,70
|
|
1
|
ЗАО «Ивановское»
|
2811
|
5691
|
202,45
|
|
12
|
ЗАО «Коневское»
|
1000
|
2101
|
210,10
|
|
3
|
ОАО «А. Невского»
|
826
|
1981
|
|
9
|
ОАО «С.-Кулундинское»
|
1176
|
12554
|
1067,52
|
Рис. 1. Огива распределения организаций по продуктивности крупного
рогатого скота на выращивании и откорме
Произведем группировку организаций по продуктивности крупного рогатого
скота на выращивании и откорме, разбив ранжированные данные на 4 группы.
Определим размер интервала, исключив из него последнее значение, существенно
превышающее все остальные значения:
(кг)
Трудоемкость
1 ц прироста живой массы крупного рогатого скота на выращивании и откорме, чел.
- час найдем как частное от деления прямых затрат труда на выращивание КРС,
тыс. чел. - час. на валовой прирост живой массы КРС на выращивании и откорме,
ц, умноженное на 1000. Себестоимость 1 ц прироста живой массы крупного рогатого
скота на выращивании и откорме, руб. найдем как частное от деления общей
производственной себестоимости прироста живой массы КРС на выращивании и
откорме, тыс. р. на валовой прирост живой массы КРС на выращивании и откорме,
ц, умноженное на 1000.
Построим
вспомогательную таблицу (табл. 3):
Таблица 3. Группировка хозяйств района по продуктивности крупного
рогатого скота на выращивании и откорме
|
Группа хозяйств по
продуктивности крупного рогатого скота, кг
|
Номер хозяйства
|
Поголовье КРС на
выращивании и откорме, голов
|
Валовой прирост живой массы
КРС, ц
|
Прямые затраты труда, тыс.
чел. - час.
|
Общая производственная
себестоимость, тыс. р.
|
Продуктивность крупного
рогатого скота на выращивании и откорме, кг
|
Трудоемкость 1 ц прироста
живой массы крупного рогатого скота, чел. - час
|
Себестоимость 1 ц прироста
живой массы крупного рогатого скота, руб.
|
|
А
|
Б
|
1
|
2
|
3
|
4
|
2/1
|
3/2
|
4/2
|
|
37,75-88,27
|
13
|
355
|
134
|
23
|
1173
|
37,75
|
171,64
|
8753,73
|
|
Итого
|
1
|
2324
|
2641
|
62
|
26069
|
113,64
|
23,48
|
9870,88
|
|
88,27-138,79
|
23
|
1311
|
1646
|
38
|
14231
|
125,55
|
23,09
|
8645,81
|
|
6
|
936
|
1198
|
18
|
8631
|
127,99
|
15,03
|
7204,51
|
|
25
|
2688
|
3488
|
87
|
22340
|
129,76
|
24,94
|
6404,82
|
|
20
|
1874
|
2447
|
122
|
27513
|
130,58
|
49,86
|
11243,56
|
|
21
|
681
|
898
|
27
|
9350
|
131,86
|
30,07
|
10412,03
|
|
24
|
1970
|
2700
|
51
|
25353
|
137,06
|
18,89
|
9390,00
|
|
11
|
2324
|
2641
|
62
|
26069
|
113,64
|
23,48
|
9870,88
|
|
Итого
|
7
|
11784
|
15018
|
405
|
133487
|
896,4437
|
185,3426
|
63171,6
|
|
138,79-189,31
|
10
|
972
|
1366
|
20
|
8074
|
140,53
|
14,64
|
5910,69
|
|
5
|
1073
|
1589
|
32
|
13446
|
148,09
|
20,14
|
8461,93
|
|
8
|
1883
|
2817
|
97
|
22486
|
149,60
|
34,43
|
7982,25
|
|
7
|
2005
|
3164
|
42
|
33695
|
157,81
|
13,27
|
10649,49
|
|
15
|
2049
|
3285
|
37
|
15169
|
160,32
|
11,26
|
4617,66
|
|
22
|
870
|
1464
|
27
|
7991
|
168,28
|
18,44
|
5458,33
|
|
2
|
1598
|
2734
|
24
|
18995
|
171,09
|
8,78
|
6947,70
|
|
14
|
1647
|
2926
|
81
|
19087
|
177,66
|
27,68
|
6523,24
|
|
18
|
1050
|
1879
|
34
|
14336
|
178,95
|
18,09
|
7629,59
|
|
16
|
647
|
1183
|
16
|
6382
|
182,84
|
13,52
|
5394,76
|
|
17
|
1791
|
3297
|
57
|
18245
|
184,09
|
17,29
|
5533,82
|
|
Итого
|
11
|
15585
|
25704
|
467
|
177906
|
1819,258
|
197,5631
|
75109,45
|
|
189,31-239,83
|
19
|
717
|
1375
|
55
|
12400
|
191,77
|
40,00
|
9018,18
|
|
4
|
1191
|
2307
|
46
|
15630
|
193,70
|
19,94
|
6775,03
|
|
1
|
2811
|
5691
|
54
|
26875
|
202,45
|
9,49
|
4722,37
|
|
12
|
1000
|
2101
|
24
|
15214
|
210,10
|
11,42
|
7241,31
|
|
3
|
826
|
1981
|
46
|
13254
|
239,83
|
23,22
|
6690,56
|
|
Итого
|
5
|
6545
|
13455
|
225
|
83373
|
1037,859
|
104,0717
|
34447,46
|
|
239,83-1067,52
|
9
|
1176
|
12554
|
22
|
14639
|
1067,517
|
1,75243
|
1166,083
|
|
Итого
|
1
|
1176
|
12554
|
22
|
14639
|
1067,517
|
1,75243
|
1166,083
|
|
ИТОГО
|
25
|
35445
|
66865
|
1142
|
410578
|
4858,825
|
660,3716
|
182648,3
|
Построим итоговую группировочную таблицу, характеризующую взаимосвязь
продуктивности крупного рогатого скота на выращивании и откорме с другими
показателями (табл. 5).
Таблица 4. Взаимосвязь продуктивности крупного рогатого скота на
выращивании и откорме трудоемкостью 1 ц прироста живой массы КРС и
себестоимостью 1 ц прироста живой массы
|
Группа хозяйств
|
Число
|
Средний уровень
|
|
по продуктивности крупного
рогатого скота, кг
|
хозяйств
|
Продуктивность крупного
рогатого скота на выращивании и откорме, кг
|
Трудоемкость 1 ц прироста
живой массы крупного рогатого скота, чел. - час
|
Себестоимость 1 ц прироста
живой массы крупного рогатого скота, руб.
|
|
37,75-88,27
|
1
|
37,75
|
171,64
|
8753,73
|
|
88,27-138,79
|
7
|
127,44
|
26,97
|
8888,47
|
|
138,79-189,31
|
11
|
164,93
|
18,17
|
6921,34
|
|
189,31-239,83
|
5
|
205,58
|
16,72
|
6196,43
|
|
239,83-1067,52
|
1
|
1067,52
|
1,75
|
1166,08
|
|
Итого
|
25
|
188,64
|
17,08
|
6140,40
|
Для расчета средних уровней продуктивности крупного рогатого скота,
трудоемкостью 1 ц прироста живой массы КРС и себестоимостью 1 ц прироста живой
массы применим формулу средней арифметической взвешенной:
,
Где
Х - отдельное значение признака;
F - вес или
частота.
Например,
при расчете среднего уровня продуктивности крупного рогатого скота: Х -
продуктивность КРС, кг по каждой организации; F - площадь по
каждой организации. Тогда средний уровень продуктивности крупного рогатого
скота определим как частное от деления суммы валового прироста живой массы КРС
на сумму поголовья КРС на выращивании и откорме. Аналогичный расчет производим
по каждой группе и по всей совокупности в целом.
Среднюю
трудоемкость 1 ц прироста живой массы КРС найдем как частное от деления суммы
прямых затрат труда на выращивание КРС на сумму валового прироста живой массы
КРС.
Среднюю
себестоимость 1 ц прироста живой массы КРС найдем как частное от деления суммы
общей производственной себестоимости прироста живой массы КРС на сумму валового
прироста живой массы КРС.
По
таблице 4 видим, что при увеличении средней продуктивности крупного рогатого
скота и средняя трудоемкость 1 ц прироста живой массы КРС, и средняя
себестоимость 1 ц прироста живой массы КРС снижаются. Однако снижение средней
себестоимости 1 ц прироста живой массы КРС происходит пропорционально росту
средней продуктивности КРС. Значит, между этими показателями взаимосвязь
наибольшая.
3. Корреляционно-регрессионный анализ связи продуктивности
крупного рогатого скота на выращивании и откорме с показателем, с которым по
группировке найдена наибольшая взаимосвязь
Кроме метода статистических группировок большое значение при изучении
взаимосвязи признаков имеет метод корреляционно-регрессионного анализа. Он не
только позволяет установить наличие и характер связи, но и дать числовую меру и
также направление этой связи.
Проведем корреляционно-регрессионный анализ связи продуктивности крупного
рогатого скота на выращивании и откорме.
1 По группировке, представленной в
таблице 4, видим, что наибольшая зависимость прослеживается между
продуктивностью КРС и средней себестоимостью 1 ц прироста живой массы КРС,
причем эта зависимость имеет обратно пропорциональный характер. Значит,
уравнение регрессии имеет вид:
,
где
- теоретический уровень результативного признака (в
нашем случае - себестоимость 1 ц прироста живой массы КРС);
Х
- фактический уровень факторного признака (в нашем случае - продуктивность
КРС);
a и b -
параметры уравнения.
.
Найдем параметры корреляционного уравнения способом наименьших квадратов. Для
этого составим и решим систему нормальных уравнений. При линейной форме связи
эта система имеет вид:
,
где
n - численность (объем) совокупности (в нашем случае n =
25).
Для
составления системы нормальных уравнений заполним вспомогательную таблицу
(табл. 5):
Таблица 5. Расчет данных для решения уравнения связи и определения
коэффициента корреляции
|
№
|
Себестоимость 1 ц прироста,
р. (Y)
|
  
|
|
|
|
|
1
|
202,45
|
4722,37
|
956065,46
|
40987,88
|
22300765,6
|
7243,85
|
|
2
|
171,09
|
6947,70
|
1188673,34
|
29271,40
|
48270475,3
|
7484,22
|
|
3
|
239,83
|
6690,56
|
1604600,48
|
57518,67
|
44763597,4
|
6957,42
|
|
4
|
193,70
|
6775,03
|
1312342,57
|
37520,76
|
45901065,5
|
7310,92
|
|
5
|
148,09
|
8461,93
|
1253122,09
|
21930,49
|
71604187,2
|
7660,47
|
|
6
|
125,55
|
8645,81
|
1085507,25
|
15763,56
|
74749996,3
|
7833,18
|
|
7
|
157,81
|
10649,49
|
1680548,63
|
24902,57
|
113411729,
|
7586,01
|
|
8
|
149,60
|
7982,25
|
1194158,26
|
22380,67
|
63716324,9
|
7648,88
|
|
9
|
1067,52
|
1166,08
|
1244812,93
|
1139592,5
|
1359748,45
|
614,51
|
|
10
|
140,53
|
5910,69
|
830658,44
|
19750,08
|
34936234,2
|
7718,36
|
|
11
|
137,06
|
9390,00
|
1286954,31
|
18784,30
|
88172100,0
|
7745,03
|
|
12
|
210,10
|
7241,31
|
1521400,00
|
44142,01
|
52436623,5
|
7185,26
|
|
13
|
37,75
|
8753,73
|
330422,54
|
1424,80
|
76627812,4
|
8506,07
|
|
14
|
177,66
|
6523,24
|
1158894,96
|
31561,78
|
4252659,03
|
7433,89
|
|
15
|
160,32
|
4617,66
|
740312,35
|
25703,18
|
21322747,0
|
7566,73
|
|
16
|
182,84
|
5394,76
|
986398,76
|
33431,89
|
29103425,6
|
7394,13
|
|
17
|
184,09
|
5533,82
|
1018704,63
|
33888,06
|
30623148,5
|
7384,60
|
|
18
|
178,95
|
7629,59
|
1365333,33
|
32023,95
|
58210646,7
|
7423,95
|
|
19
|
191,77
|
9018,18
|
1729428,17
|
36776,22
|
81327603,3
|
7325,72
|
|
20
|
129,76
|
6404,82
|
831101,19
|
16838,15
|
41021674,5
|
7800,92
|
|
21
|
130,58
|
11243,56
|
1468143,01
|
17050,17
|
126417721,
|
7794,68
|
|
22
|
168,28
|
5458,33
|
918505,75
|
28316,77
|
29793402,7
|
7505,77
|
|
23
|
113,64
|
9870,88
|
1121729,78
|
12914,11
|
97434316,2
|
7924,47
|
|
24
|
131,86
|
10412,03
|
1372980,91
|
17388,35
|
108410300,
|
7784,81
|
|
25
|
127,99
|
7204,51
|
922115,38
|
16381,81
|
51904928,5
|
7814,49
|
|
Итого
|
4858,82
|
182648,33
|
29122914,51
|
1776244,2
|
1456373234
|
182648,33
|
Система нормальных уравнений:
Из
системы получим значения параметров уравнения:
,
Получили
уравнение линейной регрессии:
Коэффициент
регрессии («b») показывает, что при росте продуктивности КРС на 1
кг следует ожидать снижения себестоимости 1 ц прироста живой массы на 7,663
рублей.
.
Рассчитаем по каждой организации ожидаемый (по уравнению регрессии)
теоретический уровень результативного признака (то есть себестоимости 1 ц
прироста живой массы КРС) при фактическом уровне факторного признака
(продуктивности крупного рогатого скота) и запишем результаты в табл. 5.
.
Определим средние величины для исчисления линейного коэффициента корреляции:
;
;
;
;
.
Вычислим линейный коэффициент корреляции:
.
Так
как
, то связь обратная. Так как
, то сила связи между признаками средняя.
.
Оценим надежность исчисленного коэффициента корреляции как отношение его
величины к средней ошибке, т.е. по формуле:
,
где
;
- объем
совокупности.
Сравним
полученное значение с табличным значением t-критерия
Стьюдента при уровне значимости
:
. Так как
, то с
надежностью 0,95 можно утверждать, что коэффициент корреляции является
статистически значимым.
.
Рассчитаем коэффициент детерминации:
Таким
образом, в данном разделе курсовой работы было установлено, что между
продуктивностью КРС и себестоимостью 1 ц прироста живой массы КРС существует
средняя связь, направление связи обратное. При этом вычисленное значение
линейного коэффициента корреляции является значимым с надежностью 0,95.
Полученное значение коэффициента детерминации говорит о том, что как минимум
40,1% изменения себестоимости 1 ц прироста живой массы КРС объясняется
изменением продуктивности крупного рогатого скота.
4. Динамика продуктивности крупного рогатого скота на
выращивании и откорме за 2008-2012 гг.
. Вычислим абсолютные и относительные показатели ряда динамики по
формулам, представленным в таблице 6:
Таблица 6. Показатели ряда динамики
|
Показатель
|
Базисный способ исчисления
|
Цепной способ исчисления
|
|
Абсолютный прирост
|
∆б = Уn - У1
|
∆ц = Уn - Уn-1
|
|
Коэффициент роста
|
КРб = Уn / У1
|
КРц = Уn / Уn-1
|
|
Темп роста, %
|
ТРб = КРб *100%
|
ТРц = КРц *100%
|
|
Темп прироста, %
|
ТПРб = ТРб -
100%
|
ТПРц = ТРц -
100%
|
|
Абсолютное значение 1%
прироста
|
Аб = ∆б
/ ТПРб
|
Ац = ∆ц
/ ТПРц
|
Результаты вычислений занесем в таблицу 7:
Таблица 7. Абсолютные и относительные показатели ряда динамики
продуктивности КРС
|
Год
|
Уровень ряда Yi
|
Абсолютный прирост
|
Темп роста, %
|
Темп прироста, %
|
А
|
|
|
цепной
|
базисный
|
цепной
|
базисный
|
цепной
|
базисный
|
|
|
2008
|
159,1
|
|
|
|
|
|
|
|
|
2009
|
162,4
|
3,3
|
3,3
|
102,07
|
102,07
|
2,07
|
2,07
|
1,591
|
|
2010
|
158,5
|
-3,9
|
-0,6
|
97,60
|
99,62
|
-2,40
|
-0,38
|
1,624
|
|
2011
|
162,6
|
4,1
|
3,5
|
102,59
|
102,20
|
2,59
|
2,20
|
1,585
|
|
2012
|
158,3
|
-4,3
|
-0,8
|
97,36
|
99,50
|
-2,64
|
-0,50
|
1,626
|
2. Определим средние показатели ряда динамики:
Данный ряд является интервального рядом динамики с равноотстоящими
уровнями, поэтому его средний уровень рассчитывается по формуле средней
арифметической простой:
(кг)
· Средний абсолютный прирост:
,
где Yn - конечный уровень ряда динамики;
Y1
- первый уровень
ряда динамики;
n -
число уровней.
(кг)
· Средний темп роста:
· Средний темп прироста:
По
вычисленным показателям можно сделать следующие выводы. Продуктивность КРС
имеет тенденцию к снижению. За 5 лет она снизилась на 0,8 кг. В среднем
урожайность ежегодно сокращалась на 0,13% или на 0,2 кг. Наибольший темп
снижения продуктивности крупного рогатого скота наблюдался в 2012 году - на
2,64% или на 4,3 кг, наибольший темп роста - в 2011 году: на 2,59% или на 4,1
кг. Средний уровень продуктивности крупного рогатого скота составляет 160,18
кг.
)
Выявим основные закономерности (тенденции) динамики продуктивности крупного
рогатого скота.
Произведем
сглаживание уровней временного ряда по методу укрупнения интервалов:
Таблица
8
|
Годы
|
2008-2010
|
2010-2012
|
|
Урожайность, кг
|
480
|
479,4
|
Видим, что значения продуктивности КРС в целом незначительно снижаются со
временем.
Произведем
сглаживание уровней временного ряда по методу скользящей средней (
):
Таблица
9
|
Годы
|
 
|
|
|
|
Урожайность, кг
|
160
|
161,167
|
159,8
|
В этом случае значения продуктивности крупного рогатого скота также в
целом падают со временем.
Метод
аналитического выравнивания. Выравнивание произведем с помощью линейной модели
. Придадим показателям времени такие значения, чтобы
их сумма была равна нулю:
Таблица
10
|
Год
|
t
|
Y
|
 
|
|
|
|
2008
|
-2
|
159,1
|
4
|
-318,2
|
160,46
|
|
2009
|
-1
|
162,4
|
1
|
-162,4
|
160,32
|
|
2010
|
0
|
158,5
|
0
|
0
|
160,18
|
|
2011
|
1
|
162,6
|
1
|
162,6
|
160,04
|
|
2012
|
2
|
158,3
|
316,6
|
159,9
|
|
Итого
|
0
|
800,9
|
10
|
-1,4
|
800,9
|
,
Это
значит, что средняя продуктивность КРС в среднем за 5 лет (2008-2012 гг.)
составила 160,18 кг, причем наблюдается тенденция к понижению уровня
продуктивности КРС в среднем ежегодно на 0,14 кг (так как параметр b -
отрицательный). То есть тренд представляет собой убывающую прямую.
Фактические
и выровненные уровни ряда динамики изобразим графически:
Заключение
Животноводство - одна из важнейших отраслей сельского хозяйства,
обеспечивающая население важнейшими продуктами питания и снабжающая сырьем
многие отрасли промышленности (мясная, маслодельно-сыроваренная, кожевенная и
др.). Вместе с тем это одна из самых сложных отраслей, требующая больших усилий
для успешного развития и постоянного внимания аналитиков.
В развитии животноводства актуальной проблемой является исследование
эффективности производства в животноводстве и проведение
экономико-статистического анализа для выявления и роли факторов влияющих на
экономические показатели деятельности сельскохозяйственных предприятий. сельский скот животноводство
Сельское хозяйство - самая обширная жизненно важная отрасль народного
хозяйства, определяющая уровень жизни людей. Экономика сельского хозяйства
изучает технологические (земледелие, растениеводство, агрохимия, мелиорация,
механизация и электрификация, животноводство, хранение и переработка с/х
продукции и другие) и экономические (математика, политология, охрана труда,
бухгалтерский учет) науки. Экономика сельского хозяйства дает базу для изучение
дисциплин: организация сельскохозяйственного производства, анализ хозяйственной
деятельности, финансирование и кредитование, управление сельскохозяйственным
производством, международные экономические связи, сельскохозяйственные риски и
другие.
Животноводство представляет собой отрасль сельского хозяйства,
занимающаяся разведением сельскохозяйственных животных для производства
животноводческих продуктов. Животноводство (скотоводство) возникло в глубокой
древности, когда человек начал приручать диких животных, одомашнивать их и
использовать для хозяйственных нужд. Упорным и долгим трудом человек изменил
природу диких животных и добился резкого повышения их продуктивности.
Животноводство обеспечивает население продуктами питания (молоко, масло, мясо,
сало, яйца и др.), а легкую промышленность - сырьем (шерсть, кожа, щетина,
мясо, молоко и др.), дает живую тягловую силу (лошади, волы, мулы, верблюды,
олени) и органическое удобрения - навоз. Из продуктов и отходов животноводства
получают некоторые корма (обрат, мясокостная, костная мука и др.), а также
различные лекарственные препараты (лечебные сыворотки, гормональные препараты и
др.).
Список литературы
1. Маличенко И.П. Социально-экономическая статистика с решением
типовых задач / И.П. Маличенко, Е.М. Бортник, О.Е. Лугинин. - Ростов н/Д:
Феникс, 2010. - 379 с.
. Практикум по статистике в Excel: учебное пособие / Б.В. Соболь [и др.] - Ростов н/Д:
Феникс, 2010. - 381 с.
. Просветов Г.И. Экономика и статистика труда: задачи
и решения: учеб.- прак. пособие / Г.И. Просветов. - М.: Альфа-Пресс, 2008. -
160 с.
. Рудакова Р.П., Букин Л.Л., Гаврилов В.И. Практикум
по статистике. - СПб.: Питер, 2007. - 288 с.
. Социально-экономическая статистика: практикум; учеб.
пособие для студ. вузов по спец. «Статистика» / Н.М. Гордеева [и др.]; под ред.
проф. С.А. Орехова. - М.: Эксмо, 2007. - 384 с.
. Статистика финансов: учебник для студ. вузов по
спец. «Статистика» / под ред. д.э.н., проф. М.Г. Назарова. - 3-е изд. испр. -
М.: Омега-Л, 2007. - 460 с.
. Статистика: учебник / под ред. И.И. Елисеевой. - М.:
Издательство Юрайт, ИД Юрайт, 2010. - 565 с.
. Томас Р. Количественный анализ хозяйственных
операций и управленческих решений: Учебник: Пер. с англ. / Науч. ред. канд.
экон. наук В.М. Матвеева. - М.: Дело и Сервис, 2003.
. Ульянов И.П. Анализ экономики сельскохозяйственных
предприятий: Учебник. 2-е изд., перераб. и доп. - М: Высшая школа, 2001.