Статистико-экономический анализ себестоимости зерна в Воронежской области
МИНИСТЕРСТВО
СЕЛЬСКОГО ХОЗЯЙСТВА РОССИЙСКОЙ ФЕДЕРАЦИИ
ФГБОУ ВПО
«ВОРОНЕЖСКИЙ ГОСУДАСТВЕННЫЙ АГРАРНЫЙ УНИВЕРСИТЕТ ИМЕНИ ИМПЕРАТОРА ПЕТРА I»
КАФЕДРА
СТАТИСТИКИ И АНАЛИЗА ХОЗЯЙСТВЕННОЙ ДЕЯТЕЛЬНОСТИ ПРЕДПРИЯТИЙ АПК
КУРСОВАЯ
РАБОТА
на тему:
«Статистико-экономический анализ себестоимости зерна в Воронежской области»
Воронеж 2014
Содержание
Введение
. Анализ рядов динамики
.1 Понятие производственных затрат,
их классификация. Динамика производственных затрат на зерно за 6 лет
.2 Себестоимость 1 ц зерна. Динамика
себестоимости 1 ц зерна за 9 лет
.3 Приемы выравнивания рядов
динамики, схемы расчетов, значение. Выявление тенденции себестоимости 1 ц зерна
. Индексный метод анализа
.1 Сущность индексов. Индивидуальные
и общие (постоянного и переменного состава) индексы себестоимости. Взаимосвязь
индексов себестоимости
.2 Индексный анализ средней
себестоимости и производственных затрат
. Методы группировки и
дисперсионного анализа
.1 Сущность группировки, их виды,
задачи и значение. Аналитическая группировка по одному из факторов, влияющих на
себестоимость 1 ц зерна
.2 Сущность и значение
дисперсионного анализа. Оценка существенности влияния группировочного признака
на себестоимость 1 ц зерна
. Проектная часть
.1 Сущность и основные условия
применения корреляционно-регрессионного анализа
.2 Построение
экономико-математической модели себестоимости 1 ц зерна
.3 Расчет резервов снижения средней
себестоимости и производственных затрат на зерно
Заключение
Введение
Сельское хозяйство - отрасль хозяйства, направленная
на обеспечение населения продовольствием (пищей, едой) и получение сырья для
ряда отраслей промышленности. Отрасль является одной из важнейших,
представленной практически во всех странах. В мировом сельском хозяйстве занято
около 1,1 млрд. экономически активного населения. Одна из важнейших его
отраслей - растениеводство, занимающаяся главным образом возделыванием
культурных растений для производства растениеводческой продукции.
Зерно - один из основных продуктов
растениеводства. В 2008 году в России было собрано 108 млн тонн зерновых
культур, это крупнейший урожай с 1990 года. По данным на начало 2010 года,
Россия находится на 3-м месте в мире по экспорту зерновых (после США и
Евросоюза) и на 4-м месте в мире по экспорту пшеницы (после США, Евросоюза и
Канады).
Цель данной курсовой работы - проведение
статистико-экономического анализа себестоимости зерна в Воронежской области.
Задача работы - выявить резервы снижения себестоимости зерна в Воронежской
области. Для анализа будут использованы следующие методы: анализ рядов
динамики, индексный метод, методы статистической группировки и дисперсионного
анализа, корреляционно-регрессионный анализ. В качестве объекта исследования
возьмем годовые отчеты по 32 районам Воронежской области.
Глава 1. Анализ рядов динамики
.1 Понятие производственных затрат, их
классификация. Динамика производственных затрат на зерно за 6 лет
Затраты производственные - объём издержек
предприятия, который он несёт при непосредственном производстве товаров и
услуг.
Для оценки динамики явлений используются
показатели, характеризующие абсолютные и относительные изменения, а так же
средние величины.
Абсолютный прирост определяется по следующей
формуле для цепного:
Для базисного
,
Где А - абсолютное изменение, у -
уровни ряда
Система показателей динамики должна
содержать не только абсолютные показатели, но и относительные, которым является
темп роста. Он определяется по следующей формуле для цепного:
Для базисного:
Темп прироста определяется путем
вычитания от темпа роста 100%
Определяется по формуле
Т=К-100%
Абсолютным значением 1% прироста
называется частное от деления абсолютного прироста за определенный период на
темп прироста за этот же период и рассчитывается по формуле:
П=
Для получения показателей динамики
затрат на производства зерна в Лискинском районе за 2007-2012 годы составим
таблицу 1.1.
Таблица 1.1 - Расчет показателей
динамики затрат на производство зерна по Лискинскому району
|
Годы
|
Кол-во
произв. продукции, тыс. ц (х)
|
Себестоимость
1 ц, руб. (у)
|
Себестоимость
всего, тыс. руб. (ху)
|
Абсолютный
прирост, тыс. руб.
|
Темп
роста, %
|
Темп
прироста, %
|
Абсолютное
значение 1% прироста, тыс. руб.
|
|
|
|
|
цепной
|
базисный
|
цепной
|
базисный
|
цепной
|
базисный
|
|
|
2007
|
985
|
383
|
377255
|
|
|
|
|
|
|
|
|
2008
|
1935
|
355
|
686925
|
309670
|
309670
|
182
|
182
|
82
|
82
|
3773
|
|
2009
|
1428
|
305
|
435540
|
-251385
|
58285
|
63
|
115
|
-37
|
15
|
6869
|
|
2010
|
446
|
880
|
392480
|
-43060
|
15225
|
90
|
104
|
-10
|
4
|
4355
|
|
2011
|
855
|
427
|
365085
|
-27395
|
-12170
|
93
|
97
|
-7
|
-3
|
3925
|
|
2012
|
985
|
697
|
686545
|
321460
|
309290
|
188
|
182
|
88
|
82
|
3651
|
При анализе динамики затрат на производство
зерна по Лискинскому району в течение 6 лет выявляется следующее. Наибольшие
затраты на производство зерна наблюдались в 2012 г и составили 686545 тыс. руб.
Затраты увеличились по сравнению с 2011 г на 321460 тыс. руб. или на 88% за
счет увеличения количества продукции на 130 тыс. ц и увеличения себестоимости 1
ц на 270 руб. По сравнению с базисным годом в 2012 г затраты увеличились на
309290 тыс. руб. или на 82% за счет увеличения себестоимости 1ц зерна на 314
руб., количество произведенной продукции осталось неизменным. Наибольшее
уменьшение затрат на производство зерна наблюдалось в 2009 г по сравнению с
2008 г, когда затраты уменьшились на 251385 тыс. руб. или на 37% за счет
уменьшения себестоимости 1 ц зерна на 50 руб. и уменьшения количества
произведенной продукции на 507 тыс. ц. Однако по сравнению с 2007 г затраты на
производство зерна в 2009 г возросли на 58285 тыс. руб. или на 15% за счет
увеличения количества продукции на 443 тыс. ц. В среднем за 2007-2012 годы
затраты увеличились на 61858 тыс. руб. или на 23%.
Для получения обобщающих показателей динамики
определим средние показатели:
Среднее значение уровня ряда:
=492609,8786 тыс. руб.
Средний абсолютный прирост:
61858 тыс. руб.
Средний темп роста:
=112,72%
Средний темп прироста:
=12,72%
Определим показатели вариации затрат
Средние затраты рассчитываются по
формуле
=492609,8786 тыс. руб.
Размах вариации - это разность между
максимальным и минимальным значением признака
R=
=321840
Дисперсия представляет собой средний
квадрат отклонений значений признака от его среднего значения

=20175855450
Среднеквадратическое отклонение
представляет корень квадратный из дисперсии:

=142041,7384
Коэффициент вариации определяется
как отношение среднеквадратического отклонения к средней величине в процентах:

=28,83452902
.2 Себестоимость 1 ц зерна. Динамика
себестоимости 1 ц зерна за 9 лет
Для получения показателей динамики
себестоимости 1 ц зерна в Лискинском районе за 2004-2012 годы составим таблицу
1.2
Таблица 1.2 -
Показатели динамики себестоимости 1ц зерна в Лискинском районе
|
Годы
|
Себестоимость
1ц, руб.
|
Абсолютный
прирост, тыс. руб.
|
Темп
роста, %
|
Темп
прироста, %
|
Абсолютное
значение 1 % прироста, руб.
|
|
|
цепной
|
базисный
|
цепной
|
базисный
|
цепной
|
базисный
|
|
|
2004
|
171
|
|
|
|
|
|
|
|
|
2005
|
176
|
5
|
5
|
103
|
103
|
3
|
3
|
2
|
|
2006
|
282
|
106
|
111
|
160
|
165
|
60
|
65
|
2
|
|
2007
|
383
|
101
|
212
|
136
|
224
|
36
|
124
|
3
|
|
2008
|
355
|
-28
|
184
|
93
|
208
|
-7
|
108
|
4
|
|
2009
|
305
|
-50
|
134
|
86
|
178
|
-14
|
78
|
4
|
|
2010
|
880
|
575
|
709
|
289
|
515
|
189
|
415
|
3
|
|
2011
|
427
|
-453
|
256
|
49
|
250
|
-51
|
150
|
9
|
|
2012
|
697
|
270
|
526
|
163
|
408
|
63
|
308
|
4
|
При рассмотрении показателей динамики
себестоимости 1 ц зерна в Лискинском районе за 2004-2012 годы можно наблюдать
следующее. Наибольшее увеличение себестоимости 1 ц зерна составило 575 руб. или
189% в 2010 г по сравнению с 2009. По сравнению с 2004 г наибольший прирост
себестоимости составил 709 руб. или 415% в том же 2009 г. Наибольшее уменьшение
себестоимости наблюдалось в 2011 г по сравнению с 2010г. Оно составило 453 руб.
или 51%. По сравнению с 2004 г наибольшее уменьшение себестоимости наблюдалось
в 2005 г и составило 5 руб. или 3%. В среднем за 2004-2012 годы себестоимость 1
ц зерна увеличилась на 66 руб. или на 35%
Для получения обобщающих показателей динамики
определим средние показатели:
Среднее значение уровня ряда:
= 438 руб.
Средний абсолютный прирост:
33 руб.
Средний темп роста:
= 119.2%
Средний темп прироста:
=19,2%
.3 Приемы выравнивания рядов
динамики, схемы расчетов, значение. Выявление тенденции себестоимости 1 ц зерна
В целях выявления общей тенденции
развития себестоимости применяются методы укрупнения периодов и скользящей
средней.
Сущность метода укрупнения периодов
заключается в том, что представленный ряд динамики по каким-либо интервалам
(годы) заменяется новыми, укрупненными интервалами. Укрупнение осуществляется
суммированием абсолютных уровней, на основе которых находится среднее.
Сущность метода скользящей средней
заключается в следующем:
1. Устанавливают интервал, охватывающий
несколько лет (3 года в примере);
2. По этому интервалу определяют среднюю
величину;
. Отбрасывают один показатель, так
называемого «младшего года», а взамен его включают показатель «старшего года»;
. Для нового периода вычисляют среднюю
величину.
Выявим общую тенденцию развития себестоимости
зерна в Лискинском районе, рассмотрев таблицу 1.3
Таблица 1.3 -
Выравнивание динамического ряда себестоимости.
|
Годы
|
Себестоимость
1 ц, руб.
|
Укрупнение
периодов, руб.
|
Скользящая
средняя, руб.
|
|
|
сумма
за трехлетие
|
средняя
за трехлетие
|
сумма
за трехлетие
|
средняя
за трехлетие
|
|
2004
|
171
|
629
|
210
|
629
|
210
|
|
2005
|
176
|
|
|
841
|
280
|
|
2006
|
282
|
|
|
1020
|
340
|
|
2007
|
383
|
1043
|
348
|
1043
|
348
|
|
2008
|
355
|
|
|
1568
|
523
|
|
2009
|
305
|
|
|
1690
|
563
|
|
2010
|
880
|
2004
|
668
|
1507
|
502
|
|
2011
|
427
|
|
|
|
|
|
2012
|
697
|
|
|
|
|
Данное укрупнение периодов свидетельствует о
тенденции роста себестоимости зерновых культур, которая максимально возрастает
в последнем трехлетии и составила 2004 руб., в среднем 668 руб. Себестоимость
неуклонно возрастает с 210 руб. до 348 руб. и 502 руб. Применение метода
скользящей средней в данном случае не совсем эффективно, так как последний
показатель скользящей средней меньше предпоследнего.
Для того, чтобы дать количественную модель,
выражающую общую тенденцию изменений уровня ряда динамики во времени
используется аналитическое уравнение.
Рассмотрим аналитическое выравнивание
себестоимости зерновых культур по уравнению прямой:
,
где t -
обозначение времени,
-
неизвестные параметры,
-
теоретическое значение себестоимости каждый год
Для нахождения
решается система
нормальных уравнений:
Исходные и расчетные данные для
решения системы уравнений представлены в таблице 1.4
Таблица 1.4 -
Аналитическое выравнивание себестоимости
|
Годы
|
Себестоимость
1ц, руб (y)
|
Условное
обозначение периода времени (t)
|
Расчетные
данные
|
|
|
|
|
yt
|
|
|
2004
|
171
|
-4
|
16
|
-684
|
143
|
|
2005
|
176
|
-3
|
9
|
-528
|
210
|
|
2006
|
282
|
-2
|
4
|
-564
|
276
|
|
2007
|
383
|
-1
|
1
|
-383
|
342
|
|
2008
|
355
|
0
|
0
|
0
|
408
|
|
2009
|
305
|
1
|
1
|
305
|
475
|
|
2010
|
880
|
4
|
1760
|
541
|
|
2011
|
427
|
3
|
9
|
1281
|
607
|
|
2012
|
697
|
4
|
16
|
2788
|
673
|
|
Итого
|
3676
|
0
|
60
|
3975
|
3676
|
Как видно из таблицы, ∑t=0,
поэтому система уравнений принимает следующий вид: Параметр 
показывает, на сколько ежегодно
увеличивается уровень ряда. У нас 
=66,25 руб., это свидетельствует,
что себестоимость зерновых культур ежегодно возрастает на 66,25 руб., то есть
имеет место тенденция роста. Уравнение прямой имеет вид 
=408,44+66,25t. Подставляя в это
уравнение значение t, определяем выровненные уровни ряда динамики себестоимости

. Для первого года это 143 руб, для
второго 210 руб., для третьего 276 руб., для четвертого 342 руб., для пятого
408 руб., для шестого 475 руб., для седьмого 541 руб., для восьмого 607 руб.,
для девятого 673 руб.
Глава 2. Индексный анализ
себестоимости 1 ц зерна
.1 Сущность индексов. Индивидуальные
и общие (постоянного и переменного состава) индексы себестоимости. Взаимосвязь
индексов себестоимости
Индексами называют сравнительные
относительные величины, которые характеризуют изменение сложных
социально-экономических показателей (показатели, состоящие из несуммируемых
элементов) во времени, в пространстве, по сравнению с планом.
Индекс - это результат сравнения
двух одноименных показателей, при исчислении которого следует различать
числитель индексного отношения (сравниваемый или отчетный уровень) и
знаменатель индексного отношения (базисный уровень, с которым производится
сравнение). Выбор базы зависит от цели исследования. Если изучается динамика,
то за базисную величину может быть взят размер показателя в периоде,
предшествующем отчетному. Если необходимо осуществить территориальное
сравнение, то за базу можно принять данные другой территории. За базу сравнения
могут приниматься плановые показатели, если необходимо использовать индексы как
показатели выполнения плана.
Существует 2 вида индексов:
Индивидуальные индексы (i) - это
индексы, которые характеризуют изменение только одного элемента совокупности.
Общий (сводный) индекс (I)
характеризует изменение по всей совокупности элементов сложного явления. Если
индексы охватывают только часть явления, то их называют групповыми. В
зависимости от способа изучения общие индексы могут быть построены или как
агрегатные (от лат. аggrega - присоединяю) индексы, или как средние взвешенные
индексы (средние из индивидуальных).
2.2 Индексный анализ средней
себестоимости и производственных затрат
Рассмотрим индексный анализ
себестоимости зерна по районам Воронежской области на основе данных таблицы:
Таблица 2 - Себестоимость,
количество произведенного зерна и затраты на его производство.
|
Наименование
предприятия
|
Себестоимость
1ц, руб.
|
Количество,
ц
|
Затраты
на производство зерна, руб.
|
|
базисный
2011год
|
отчетный
2012 год
|
базисный
2011 год
|
отчетный
2012 год
|
базисный
год
|
отчетный
год
|
условный
год
|
|
Аннинский
р-н
|
411
|
428
|
383708
|
783803
|
157688993
|
335265040
|
322112402
|
|
Бобровский
р-н
|
412
|
512
|
629850
|
1203412
|
259502678
|
616634362
|
495814300
|
|
Богучарский
р-н
|
417
|
500
|
376611
|
451734
|
157195345
|
226002583
|
188551269
|
|
Борисоглебский
р-н
|
329
|
381
|
187648
|
344445
|
61782254
|
131356247
|
113406956
|
|
Бутурлиновский
р-н
|
502
|
577
|
286496
|
521365
|
143781610
|
300622630
|
261653563
|
|
Верхнемамонский
р-н
|
364
|
505
|
309032
|
338347
|
112516314
|
170704886
|
123189693
|
|
Верхнехавский
р-н
|
464
|
576
|
282605
|
363323
|
131173321
|
209356740
|
168639212
|
|
Воробьевский
р-н
|
346
|
443
|
253004
|
285609
|
87413654
|
126644054
|
98678781
|
|
Грибановский
р-н
|
390
|
468
|
373901
|
574540
|
145948004
|
268883387
|
224265156
|
|
Калачеевский
р-н
|
354
|
549
|
400048
|
594582
|
141417652
|
326432736
|
210185754
|
|
Каменский
р-н
|
304
|
342
|
71187
|
106789
|
21670181
|
36512356
|
32507859
|
|
Кантемировский
р-н
|
507
|
446
|
375942
|
404451
|
190697350
|
180305570
|
205158599
|
|
Каширский
р-н
|
341
|
357
|
382583
|
638945
|
130583593
|
228229237
|
218085314
|
|
Лискинский
р-н
|
427
|
698
|
636596
|
862502
|
272030623
|
602021592
|
368564924
|
|
Нижнедевицкий
р-н
|
458
|
549
|
41889
|
78922
|
19171339
|
43302243
|
36120232
|
|
Новоусманский
р-н
|
422
|
589
|
310565
|
379827
|
130976478
|
223894073
|
160187024
|
|
Новохоперский
р-н
|
378
|
435
|
368144
|
971217
|
139170235
|
422385857
|
367151163
|
|
Ольховатский
р-н
|
516
|
809
|
538353
|
436412
|
277638946
|
352888657
|
225066021
|
|
Острогожский
р-н
|
410
|
497
|
196891
|
212049
|
80744105
|
105332410
|
86960332
|
|
Павловский
р-н
|
436
|
617
|
802329
|
931953
|
350041653
|
575235399
|
406594263
|
|
Панинский
р-н
|
518
|
571
|
565922
|
860286
|
293377490
|
491365898
|
445977622
|
|
Петропавловский
р-н
|
417
|
498
|
306184
|
323121
|
127796618
|
160874960
|
134865868
|
|
Поворинский
р-н
|
415
|
579
|
203128
|
300009
|
84369459
|
173573465
|
124609098
|
|
Подгоренский
р-н
|
425
|
566
|
694049
|
812439
|
295025114
|
460246019
|
345350124
|
|
Рамонский
р-н
|
561
|
692
|
387135
|
400736
|
217132987
|
277227898
|
224761313
|
|
Репьевский
р-н
|
389
|
456
|
301058
|
342215
|
116983609
|
155965479
|
132976190
|
|
Россошанский
р-н
|
442
|
511
|
678178
|
633112
|
300089065
|
323763613
|
280147673
|
|
Семилукский
р-н
|
498
|
624
|
600032
|
574519
|
298631966
|
358641354
|
285934314
|
|
Таловский
р-н
|
439
|
474
|
340310
|
416651
|
149406891
|
197620807
|
182923014
|
|
Терновский
р-н
|
427
|
483
|
202515
|
337609
|
86431670
|
162955090
|
144088635
|
|
Хохольский
р-н
|
378
|
369
|
382050
|
366487
|
144375323
|
135210915
|
138494122
|
|
Эртильский
р-н
|
427
|
402
|
371303
|
904252
|
158591598
|
363695291
|
386225724
|
|
Итого
|
423
|
516
|
12239246
|
16755663
|
5283356120
|
8743150849
|
7139246514
|
Рассчитаем средние показатели себестоимости:

=
=521,8027391

=
=431,6733458

=
=426,0796194
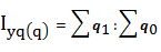
При проведении индексного анализа
вначале определим индекс изменения средней себестоимости зерна по совокупности
32 районов, который рассчитывается по следующей формуле:

=
:
=1,2088 или 120,88%
Абсолютное изменение средней
себестоимости определяется как разность между средней средней себестоимостью
отчетного и базисного года

=
-
=90,13 руб.
Средняя себестоимость 1ц зерна по
совокупности 32 районов в отчетном году по сравнению с базисным повысилась на
90,13 руб. или 20,88%
Средняя себестоимость 1 ц зерна
определяется влиянием 2х факторов:
1. Себестоимость 1 ц зерна в отдельных
районах;
. Структуры произведенной продукции.
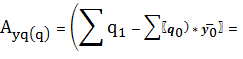
Определение влияния первого фактора:
· Относительное
Определяется как отношение фактической средней
себестоимости 1 ц зерна в отчетном году к средней условной себестоимости 1 ц
зерна

=
:
=1,2246 или 122,46%
· Абсолютное
Определяется как разница средней себестоимости
отчетного и условного года

=
-
95,72 руб.
Следовательно за счет повышения
себестоимости 1 ц зерна в изучаемых районах средняя себестоимость 1 ц зерна
повысилась на 95,72 руб. или 22,46%
Определение влияния второго фактора:
· Относительное
Определяется как отношение средней условной
себестоимости 1 ц зерна к средней себестоимости 1 ц зерна базисного года

=
:
0,987 или 98,7%
· Абсолютное
Определяется как разница себестоимости условного
и базисного года

=
-
=-5,59 руб.
Следовательно за счет улучшения
структуры производственной продукции средняя себестоимость 1 ц зерна
уменьшилась на 5,59 руб. или 1,3%
Рассчитанные показатели находятся во
взаимосвязи, что позволяет построить 2 модели:
· Мультипликативная
,2088=1,2246*0,987=1,2088
· Аддитивная
,13=95,72+(-5,59)=90,13
Вывод: Таким образом за счет повышения
себестоимости 1 ц зерна в изучаемых районах средняя себестоимость 1 ц зерна
повысилась на 95,72 руб. или 22,46%. За счет улучшения структуры
производственной продукции средняя себестоимость 1 ц зерна уменьшилась на 5,59
руб. или 1,3%.
Индексный анализ производственных затрат
показывает, что
· Относительное изменение определяется
как отношение затрат отчетного года к затратам базисного года на производство
зерна по совокупности 32 районов

=
=1,6548 или 165,48%
·
Абсолютное изменение определяется как разница между затратами отчетного года и
базисного года

8743150849-5283356120=3459794729
руб.
Данные расчеты показывают, что
производственные затраты на зерно по совокупности 32 районов отчетного года по
сравнению с базисным повысились на 3459794729 руб. или 165,48%
Величина производственных затрат
находится под влиянием 3 факторов:
. Количество произведенной продукции;
. Структуры произведенной продукции.
Определение влияния первого фактора:
· Относительное
Определяется путем деления себестоимости в
отчетном году на условную себестоимость
· Абсолютное
Определяется как разница средней себестоимости
отчетного и условного года, умноженная на количество произведенного зерна в
отчетном году

-
1603904335 руб.
За счет повышения себестоимости 1 ц
зерна в изучаемых районах в отчетном году по сравнению с базисным
производственные затраты на зерно возросли на 1603904335 руб. или 22,46%
Определение влияния второго фактора:
· Относительное
Определяется путем расчета индекса объема
продукта, то есть отношения количества произведенного зерна по совокупности
районов в отчетном году к уровню базисного года.

=1,369 или 136,9%
· Абсолютное
Определяется путем вычитания количества
произведенного зерна в базисном году из количества произведенного зерна в
отчетном году и умножения на количество произведенного зерна в базисном году

1908976758 руб.
Таким образом за счет увеличения
объемов производства зерна на 36,9%, производственные затраты увеличились на
1908976758 руб.
Определение влияния третьего
фактора:
· Относительное
Определяется путем расчета индекса структуры
произведенной продукции по формуле:

:
0,987 или 98,7%
·
Абсолютное
Определяется как разница себестоимости условного
и базисного года, умноженная на количество произведенного зерна в отчетном году

-
=-93726594 руб.
За счет улучшения структуры
произведенной продукции производственные затраты уменьшились на 1,3% или
93726594 руб.
Выполненные расчеты позволяют
построить 2 модели:
· Мультипликативная
1,6548=1,2246*1,369*0,987=1,6548
· Аддитивная
3459794729=1603904335+1908976758+(-93726594)=3459794729
Таким образом индексный анализ показал, что на
увеличение средней себестоимости зерна и производственных затрат на его
выращивание оказало влияние увеличение себестоимости 1 ц зерна в ряде районов в
отчетном году по сравнению с базисным и увеличение объемов производства зерна.
За счет данных факторов затраты на производство зерна в отчетном году по
сравнению с базисным возросли на 1603904335 руб. и на 1908976758 руб. или на
22,46% и 36,9% соответственно. В свою очередь улучшение структуры
произведенного зерна в отчетном году по сравнению с базисным привело к снижению
производственных затрат на 1,3% или 93726594 руб.
Глава 3. Методы статистической группировки и
дисперсионного анализа
.1 Сущность группировки, их виды, задачи и
значение. Аналитическая группировка по одному из факторов, влияющих на
себестоимость 1 ц зерна
Группировка - это распределение множества единиц
исследуемой совокупности по группам в соответствии с существенным для данной
группы признаком. Метод группировки позволяет обеспечивать первичное обобщение
данных, представление их в более упорядоченном виде. Благодаря группировке
можно соотнести сводные показатели по совокупности в целом со сводными показателями
по группам. Появляется возможность сравнивать, анализировать причины различий
между группами, изучать взаимосвязи между признаками. Группировка позволяет
делать вывод о структуре совокупности и о роли отдельных групп этой
совокупности. Именно группировка формирует основу для последующей сводки и
анализа данных.
Признаки, по которым проводится группировка,
называют группировочными признаками. Группировочные признаки могут иметь как
количественное выражение (объем, доход, курс валюты, возраст и т.д.), так и
качественное (форма собственности предприятия, пол человека, отраслевая
принадлежность, семейное положение и т.д.).
При определении числа групп, как правило,
учитываются задача исследования, объем совокупности и виды признаков, которые
берутся в качестве основания группировки. Например, по количественному признаку
возраст населения может быть разбит на самые различные группы. Их число будет
зависеть от поставленных задач. Например, это могут быть группы по возрасту
трудоспособного населения; экономически активного населения и т.д.
Для проведения аналитической группировки в
качестве группировочного признака используем уровень интенсификации
(производственные затраты на 1 га посева), руб.
Построим ранжированный ряд, расположим
группировочный признак в порядке возрастания и укажем номер района:
Таблица 3.1
|
Номер
района
|
Название
района
|
Уровень
интенсификации, руб.
|
|
4
|
Борисоглебский
р-н (СХ)
|
5703
|
|
22
|
Петропавловский
р-н (СХ)
|
6396
|
|
3
|
Богучарский
р-н (СХ)
|
7050
|
|
23
|
Поворинский
р-н (СХ)
|
7795
|
|
17
|
Новохоперский
р-н (СХ)
|
7820
|
|
6
|
Верхнемамонский
р-н (СХ)
|
8028
|
|
9
|
Грибановский
р-н (СХ)
|
8119
|
|
8
|
Воробьевский
р-н (СХ)
|
8534
|
|
11
|
Каменский
р-н (СХ)
|
8689
|
|
12
|
Кантемировский
р-н (СХ)
|
8943
|
|
30
|
Терновский
р-н (СХ)
|
9054
|
|
13
|
Каширский
р-н (СХ)
|
9102
|
|
29
|
Таловский
р-н (СХ)
|
9449
|
|
10
|
Калачеевский
р-н (СХ)
|
9481
|
|
32
|
Эртильский
р-н (СХ)
|
9711
|
|
27
|
Россошанский
р-н (СХ)
|
9871
|
|
26
|
Репьевский
р-н (СХ)
|
10045
|
|
31
|
Хохольский
р-н (СХ)
|
10352
|
|
15
|
Нижнедевицкий
р-н (СХ)
|
10951
|
|
19
|
Острогожский
р-н (СХ)
|
11118
|
|
5
|
Бутурлиновский
р-н (СХ)
|
11292
|
|
24
|
Подгоренский
р-н (СХ)
|
11323
|
|
28
|
Семилукский
р-н (СХ)
|
12527
|
|
25
|
Рамонский
р-н (СХ)
|
12592
|
|
20
|
Павловский
р-н (СХ)
|
12762
|
|
1
|
Аннинский
р-н (СХ)
|
12960
|
|
2
|
Бобровский
р-н (СХ)
|
13949
|
|
16
|
Новоусманский
р-н (СХ)
|
14183
|
|
7
|
Верхнехавский
р-н (СХ)
|
14671
|
|
18
|
Ольховатский
р-н (СХ)
|
14710
|
|
21
|
Панинский
р-н (СХ)
|
17105
|
|
14
|
Лискинский
р-н (СХ)
|
22224
|
Количество групп=6
Определим величину интервала

=2753,429206
Таблица 3.2 Найдем границы групп:
|
1
группа
|
Нижняя
граница
|
5703
|
|
Верхняя
граница
|
8457
|
|
2
группа
|
Нижняя
граница
|
8457
|
|
Верхняя
граница
|
11210
|
|
3
группа
|
Нижняя
граница
|
11210
|
|
Верхняя
граница
|
13964
|
|
4
группа
|
Нижняя
граница
|
13964
|
|
Верхняя
граница
|
16717
|
|
5
группа
|
Нижняя
граница
|
16717
|
|
Верхняя
граница
|
19470
|
|
6
группа
|
Нижняя
граница
|
19470
|
|
Верхняя
граница
|
22224
|
Заполним таблицу 3.3:
Таблица 3.3 - Интервальный ряд
распределения районов по интенсификации
|
Границы
групп по уровню интенсификации
|
Число
районов (f)
|
Середина
интервала (x)
|
x*f
|
|
|
|
|
5703
- 8457
|
7
|
7080
|
49560
|
-3958
|
15664651
|
109652556
|
|
8456
- 11210
|
13
|
9833
|
127829
|
-1205
|
1451686
|
18871919
|
|
11210
- 13964
|
6
|
12587
|
75522
|
1549
|
2399837
|
14399020
|
|
13963
- 16717
|
4
|
15340
|
61360
|
4302
|
18508414
|
74033656
|
|
16717
- 19470
|
1
|
18093,5
|
18093,5
|
7056
|
49782065
|
49782065
|
|
19470
- 22224
|
1
|
20847
|
20847
|
9809
|
96219240
|
96219240
|
Отклонения уровня интенсификации по районам от
средней достигают от -3958 до 9809 руб.
По данным таблицы 3.1 определяем показатели
вариации:
Размах вариации:

=13767
Размах вариации интенсификации
составляет 13767 руб., что свидетельствует о значительной разнице уровней
интенсификации по районам.
Дисперсия:

=11342451,74
Среднеквадратическое отклонение:

3367,85
Фактическая интенсификация в
областях отклоняется от средней на среднее квадратичное отклонение 3367,85 руб.
Соотношение случайных,
индивидуальных и общих условий находят отражение в коэффициенте вариации.
Коэффициент вариации:

30,51%
Следовательно, влияние случайных и
индивидуальных условий составляет 30,51% по отношению к влиянию общих условий,
формирующих средний уровень, приравненных к 100%.
Так как в нашем примере коэффициент
вариации меньше 33%, то среднюю интенсификацию можно считать типичной
обобщающей характеристикой исследуемой совокупности, которая является
однородной.
Построим аналитическую группировку
по интенсификации с использованием правила трех сигм (x+3
), которое учитывает вариацию
группировочного признака, что дает более равномерное распределение единиц
совокупности по группам.
Правило: «Если величина распределена
нормально, то все варианты отклонений от общей средней не больше, чем на
величину среднего квадратического отклонения, трехкратную, то есть x∈[
]»
Пользуясь правилом трех сигм
построим интервальный ряд распределения и представим его в виде таблицы 3.4:
Таблица 3.4 -
Интервальный ряд распределения районов по правилу трех сигм
|
Номер
группы
|
Нижняя
граница
|
Верхняя
граница
|
Число
районов
|
|
формула
|
значение
|
формула
|
значение
|
|
|
I
|
x-3 934x-2 43020
|
|
|
|
|
|
II
|
x-2 4302x- 76703
|
|
|
|
|
|
III
|
x- 7670x1103816
|
|
|
|
|
|
IV
|
x
|
11038
|
x+ 144069
|
|
|
|
V
|
x+ 14406x+2 177743
|
|
|
|
|
|
VI
|
x+2 17774x+3 211411
|
|
|
|
|
|
Итого
|
|
|
|
|
32
|
Если в группе нет ни одного района или только
один, то группа не представительна и может объединяться с близлежащей группой
путем укрупнения интервалов. Сократим количество групп до 4, объединив 1ю со 2й
и 6ю с 5й.
Таблица 3.5 - Улучшенный интервальный ряд
распределения районов по правилу трех сигм
|
Номер
группы
|
Нижняя
граница
|
Верхняя
граница
|
Число
районов
|
|
формула
|
значение
|
формула
|
значение
|
|
|
I
|
x-2 934x- 76703
|
|
|
|
|
|
II
|
x- 7670x1103716
|
|
|
|
|
|
III
|
x
|
11037
|
x+ 144059
|
|
|
|
IV
|
x+ 14405x+2 211414
|
|
|
|
|
|
Итого
|
|
|
|
|
32
|
Статистико-аналитические показатели по
группировке отразим в таблице 3.6:
На основе построенного ряда распределения
определяются сводные показатели по каждому предприятию, на основе которых
находим суммы итогов по каждой группе и в целом по совокупности для абсолютных
показателей. Определим средние показатели по каждой группе и в целом по
совокупности на основе итоговых строк и отразим это в таблице 3.7:
Таблица 3.6 -
Статистическо-аналитические показатели по группировке
|
Группы
районов по интенсификации
|
Число
районов
|
Расчетные
показатели
|
Себестоимость
1 ц, руб.
|
|
|
Уровень
интенсификации, руб.
|
Урожайность
зерновых культур, ц/га
|
Трудоёмкость
1 ц зерна, чел/час
|
Фондообеспеченность
района, тыс. руб.
|
Уровень
специализации, %
|
Уд.
вес затрат на зерно в общих затратах на растениеводство, %
|
Стоимость
внесенных удобрений на 1 га зерновых, руб.
|
Уровень
концентрации, га
|
Трудообеспеченность,
чел
|
|
|
I
|
3
|
6517
|
13,9
|
0,61
|
889
|
59,0
|
99,5
|
928
|
24497
|
1,1
|
469,68
|
|
II
|
16
|
9001
|
19,7
|
0,34
|
1531
|
50,9
|
99,0
|
1213
|
22632
|
1,7
|
455,97
|
|
III
|
9
|
12507
|
22,4
|
0,37
|
1647
|
43,3
|
99,1
|
1736
|
23213
|
2,1
|
557,73
|
|
IV
|
4
|
18538
|
0,56
|
4108
|
17,5
|
99,5
|
2181
|
18271
|
2,9
|
660,09
|
|
Итого
|
32
|
11641
|
21,0
|
0,47
|
2044
|
43,0
|
99,0
|
1515
|
22153
|
2,0
|
517,00
|
Таблица 3.7 -
Сводные и обобщающие показатели по районам.
|
Группы
районов по интенсификации
|
Номер
района
|
Название
показателей исходных данных
|
Площадь
с/х угодий, га
|
Себестоимость
1 ц, руб.
|
|
|
Количество
произв. зерна после доработки, ц
|
Посевная
площадь зерновых культур, га
|
Произв.затраты
на осн. пр-во растениеводства, тыс. руб.
|
Себестоимость
всего произв. зерна, тыс. руб.
|
Среднегодовая
стоимость осн произв средств, тыс. руб.
|
Денежная
выручка за реализ зерна, тыс. руб.
|
Денежная
выручка от реал прод в целом по району, тыс. руб.
|
Прямые
затраты труда на зерно, тыс. чел/час
|
Стоимость
внесенных удобрений под зерновые, тыс. руб.
|
Среднегодовая
численность раб, занятых в с/х, чел
|
Площадь
пашни, га
|
|
|
|
I
|
4
|
255989
|
17117
|
97711
|
97623
|
503380
|
208497
|
327215
|
148
|
7764
|
322
|
39485
|
40468
|
381
|
|
22
|
317210
|
24693
|
158167
|
157932
|
434574
|
206838
|
377589
|
187
|
18789
|
556
|
49240
|
57366
|
498
|
|
3
|
446454
|
31682
|
225223
|
223361
|
692502
|
284081
|
480508
|
289
|
41672
|
853
|
66109
|
85608
|
500
|
|
II
|
23
|
298762
|
22176
|
176524
|
172852
|
780299
|
173344
|
52595
|
191
|
5074
|
549
|
48729
|
50076
|
579
|
|
17
|
710647
|
39523
|
309063
|
309063
|
811222
|
648120
|
487493
|
187
|
57132
|
541
|
81245
|
94406
|
435
|
|
6
|
315284
|
19814
|
163486
|
159069
|
902698
|
211856
|
552280
|
153
|
24198
|
1037
|
45243
|
55927
|
505
|
|
9
|
585770
|
33765
|
274139
|
274139
|
1062874
|
357279
|
949956
|
91
|
35149
|
870
|
66791
|
71485
|
468
|
|
8
|
297133
|
15438
|
134687
|
131754
|
418453
|
184362
|
361793
|
67
|
11351
|
439
|
30004
|
33958
|
443
|
|
11
|
159752
|
6286
|
55173
|
54621
|
281515
|
70285
|
191704
|
62
|
5466
|
409
|
15607
|
21938
|
342
|
|
12
|
395365
|
19708
|
178997
|
176255
|
395045
|
262856
|
469681
|
123
|
35559
|
671
|
46087
|
57267
|
446
|
|
30
|
374120
|
19944
|
181727
|
180578
|
1033673
|
183316
|
1326698
|
80
|
8141
|
849
|
37917
|
44493
|
483
|
|
13
|
568577
|
22313
|
203823
|
203094
|
1680498
|
433330
|
523142
|
180
|
23218
|
951
|
42834
|
45825
|
357
|
|
29
|
504238
|
25312
|
241207
|
239164
|
1098702
|
265782
|
662232
|
258
|
32528
|
1274
|
57655
|
63645
|
474
|
|
10
|
538285
|
31169
|
297958
|
295525
|
1042506
|
393751
|
1241343
|
209
|
41114
|
1672
|
77607
|
95733
|
549
|
|
32
|
866037
|
35870
|
353631
|
348325
|
1436041
|
565380
|
831704
|
171
|
37647
|
1274
|
85395
|
96690
|
402
|
|
27
|
711850
|
36878
|
367360
|
364029
|
1354284
|
468126
|
285119
|
442
|
58453
|
1961
|
79358
|
105185
|
511
|
|
26
|
282866
|
12834
|
130018
|
128917
|
341493
|
239246
|
483632
|
67
|
25424
|
209
|
24940
|
32719
|
456
|
|
31
|
411774
|
14675
|
153753
|
151919
|
1103204
|
250969
|
650361
|
115
|
25800
|
751
|
43257
|
45723
|
369
|
|
15
|
127878
|
6407
|
70821
|
70163
|
540318
|
50012
|
285822
|
65
|
12986
|
414
|
14381
|
17765
|
549
|
|
III
|
19
|
202983
|
9069
|
100948
|
100829
|
412189
|
135646
|
369845
|
54
|
18885
|
517
|
33707
|
50267
|
497
|
|
5
|
540996
|
27626
|
316145
|
311942
|
1816565
|
353022
|
805551
|
91
|
25629
|
1279
|
68248
|
80222
|
577
|
|
24
|
568165
|
28426
|
321895
|
321865
|
736471
|
576368
|
472013
|
109
|
55963
|
585
|
52314
|
70138
|
566
|
|
28
|
463708
|
290150
|
289468
|
794357
|
334649
|
1069120
|
239
|
46711
|
837
|
63523
|
67345
|
624
|
|
25
|
333530
|
18324
|
231843
|
230735
|
827581
|
262827
|
775376
|
99
|
29692
|
985
|
56500
|
73692
|
692
|
|
20
|
864863
|
41828
|
538246
|
533825
|
1628618
|
668396
|
1496733
|
285
|
89888
|
2578
|
89167
|
111714
|
617
|
|
1
|
617235
|
20371
|
269450
|
264017
|
1798430
|
512313
|
1798282
|
321
|
32961
|
2163
|
58752
|
70039
|
428
|
|
2
|
1093508
|
40168
|
569158
|
560319
|
3140571
|
773442
|
1562093
|
547
|
63056
|
1853
|
92340
|
110190
|
512
|
|
16
|
432412
|
17971
|
255286
|
254891
|
1680120
|
259124
|
934268
|
59
|
39378
|
1197
|
35309
|
43782
|
589
|
|
IV
|
7
|
239126
|
9392
|
137791
|
137791
|
882572
|
237140
|
1222392
|
162
|
27976
|
669
|
26289
|
27613
|
576
|
|
18
|
236302
|
12990
|
191567
|
191077
|
885232
|
270664
|
673098
|
101
|
18244
|
866
|
39916
|
51297
|
809
|
|
21
|
589764
|
19693
|
338254
|
336853
|
913679
|
582694
|
731064
|
174
|
45079
|
729
|
56838
|
61525
|
571
|
|
14
|
987250
|
31007
|
694262
|
689095
|
8321924
|
630441
|
7219977
|
715
|
68092
|
4121
|
96745
|
127400
|
698
|
|
Итого
1 группа
|
|
1019653
|
73492
|
481101
|
478916
|
1630456
|
699416
|
1185312
|
624
|
68225
|
1731
|
154834
|
183442
|
470
|
|
Итого
2 группа
|
|
7148338
|
362112
|
3292367
|
3259467
|
14282825
|
4758014
|
9355555
|
2461
|
439240
|
13871
|
797050
|
932835
|
456
|
|
Итого
3 группа
|
|
4684988
|
208919
|
2637835
|
2613000
|
11154782
|
3616663
|
8349013
|
1745
|
362785
|
10797
|
514551
|
677389
|
558
|
|
Итого
4 группа
|
|
2052442
|
73082
|
1361874
|
1354816
|
11003407
|
1720939
|
9846531
|
1152
|
159391
|
6385
|
219788
|
267835
|
660
|
|
Всего
|
|
14905421
|
717605
|
7773177
|
7706199
|
38071470
|
10795032
|
28736411
|
5982
|
1029641
|
32784
|
1686223
|
2061501
|
517
|
Анализируя таблицу 3.4 можно сделать вывод, что
урожайность зерновых культур, фондообеспеченность района, стоимость внесенных
удобрений на 1 га зерновых и трудообеспеченность напрямую зависят от уровня
интенсификации. Между уровнем интенсификации и уровнем специализации замечена
обратная связь. Зависимость таких факторов как трудоемкость 1 ц зерна, удельный
вес затрат на зерно в общих затратах на растениеводство, уровень концентрации и
себестоимость от уровня интенсификации не выявлена.
.2 Сущность и значение дисперсионного анализа.
Оценка существенности влияния группировочного признака на себестоимость 1 ц
зерна
Дисперсионный анализ - метод в математической
статистике, направленный на поиск зависимостей в экспериментальных данных путём
исследования значимости различий в средних значениях. В отличие от t-критерия,
позволяет сравнивать средние значения трех и более групп.
Основной целью дисперсионного анализа является
исследование значимости различия между средними.
Логическим продолжением группировки является
дисперсионный анализ влияния группировочного признака на фактор.
Так как группировка произведена по одному
признаку, то следует построить однофакторный дисперсионный комплекс. Для
проведения расчетов представим необходимые данные в таблице 3.8
Таблица 3.5 -
Вариация себестоимости по районам
|
Номер
района
|
Наименование
районов
|
Себестоимость
|
x-xср
|
(x-xср)2
|
|
1
|
Аннинский
р-н (СХ)
|
427,74146
|
-89,26500
|
7968,2409
|
|
2
|
Бобровский
р-н (СХ)
|
512,40503
|
-4,60143
|
21,173191
|
|
3
|
Богучарский
р-н (СХ)
|
500,30014
|
-16,70632
|
279,10125
|
|
4
|
Борисоглебский
р-н (СХ)
|
381,35623
|
-135,65023
|
18400,986
|
|
5
|
Бутурлиновский
р-н (СХ)
|
576,60685
|
59,60039
|
3552,2061
|
|
6
|
Верхнемамонский
р-н (СХ)
|
504,52608
|
-12,48038
|
155,75998
|
|
7
|
Верхнехавский
р-н (СХ)
|
576,2276
|
59,22114
|
3507,143
|
|
8
|
Воробьевский
р-н (СХ)
|
443,41759
|
-73,58887
|
5415,3223
|
|
9
|
Грибановский
р-н (СХ)
|
467,99768
|
-49,00878
|
2401,8609
|
|
10
|
Калачеевский
р-н (СХ)
|
549,01214
|
32,00568
|
1024,3633
|
|
11
|
Каменский
р-н (СХ)
|
341,91121
|
-175,09525
|
30658,348
|
|
12
|
Кантемировский
р-н (СХ)
|
445,80325
|
-71,20321
|
5069,8976
|
|
13
|
Каширский
р-н (СХ)
|
357,197
|
-159,80946
|
25539,065
|
|
14
|
Лискинский
р-н (СХ)
|
697,99443
|
180,98797
|
32756,644
|
|
15
|
Нижнедевицкий
р-н (СХ)
|
548,67139
|
31,66493
|
1002,6676
|
|
16
|
Новоусманский
р-н (СХ)
|
589,46329
|
72,45683
|
5249,9917
|
|
17
|
Новохоперский
р-н (СХ)
|
434,90369
|
-82,10277
|
6740,8654
|
|
18
|
Ольховатский
р-н (СХ)
|
808,61355
|
291,60709
|
85034,693
|
|
19
|
Острогожский
р-н (СХ)
|
496,73618
|
-20,27028
|
410,8844
|
|
20
|
Павловский
р-н (СХ)
|
617,23649
|
100,23003
|
10046,058
|
|
21
|
Панинский
р-н (СХ)
|
571,16575
|
54,15929
|
2933,2283
|
|
22
|
Петропавловский
р-н (СХ)
|
497,87838
|
-19,12808
|
365,88358
|
|
23
|
Поворинский
р-н (СХ)
|
578,56086
|
61,55440
|
3788,9437
|
|
24
|
Подгоренский
р-н (СХ)
|
566,49917
|
49,49271
|
2449,528
|
|
25
|
Рамонский
р-н (СХ)
|
691,79684
|
174,79038
|
30551,676
|
|
26
|
Репьевский
р-н (СХ)
|
455,7529
|
-61,25356
|
3751,9991
|
Россошанский
р-н (СХ)
|
511,38442
|
-5,62204
|
31,607374
|
|
28
|
Семилукский
р-н (СХ)
|
624,24629
|
107,23983
|
11500,38
|
|
29
|
Таловский
р-н (СХ)
|
474,30777
|
-42,69869
|
1823,1784
|
|
30
|
Терновский
р-н (СХ)
|
482,67401
|
-34,33245
|
1178,7174
|
|
31
|
Хохольский
р-н (СХ)
|
368,93782
|
-148,06864
|
21924,323
|
|
32
|
Эртильский
р-н (СХ)
|
402,20568
|
-114,80078
|
13179,22
|
|
Итого:
|
517
|
|
338713,96
|
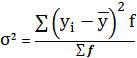
Определим общую вариацию по формуле:

=338713,96
Определим факторную вариацию по
формуле:

=163149,02
Рассчитаем остаточную вариацию:

= 175564,94
Определим общую дисперсию:

=10926,26
Где N - число
единиц совокупности (число изучаемых районов)
Рассчитаем факторную дисперсию:

=54383,01
Где n - число
групп
Определим остаточную дисперсию:

=6270,18
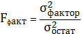
Рассчитаем фактическое значение
критерия Фишера:

=8,67
Сравним фактическое значение
критерия Фишера с теоретическим:

, значит влияние фактора на
результат существенно.
Глава 4. Проектная часть
.1 Сущность и основные условия
применения корреляционно-регрессионного анализа
Существующие между явлениями формы и
виды связей весьма разнообразны по своей классификации. Предметом статистики
являются только такие из них, которые имеют количественный характер и изучаются
с помощью количественных методов. Рассмотрим метод корреляционно-регрессионного
анализа, который является основным в изучении взаимосвязей явлений.
Данный метод содержит две свои
составляющие части - корреляционный анализ и регрессионный анализ.
Корреляционный анализ - это количественный метод определения тесноты и
направления взаимосвязи между выборочными переменными величинами. Регрессионный
анализ - это количественный метод определения вида математической функции в
причинно-следственной зависимости между переменными величинами.
Основной предпосылкой применения
корреляционного анализа является необходимость подчинения совокупности значений
всех факторных (х1, х2, …, хn) и результативного (У) признаков n-мерному
нормальному закону распределения или близость к нему.
Основной предпосылкой регрессионного
анализа является то, что только результативный признак (У) подчиняется
нормальному закону распределения, а факторные признаки х1, х2, …, хn могут
иметь произвольный закон распределения. При этом в регрессионном анализе
заранее подразумевается наличие причинно-следственных связей между
результативным (У) и факторными (х1, х2, …, хn) признаками.
4.2 Построение
экономико-математической модели себестоимости 1 ц зерна
Для проведения корреляционно-регрессионного
анализа используются исходные данные, которые представим в таблице 4.1.
Таблица 4.1 -
Исходные данные для корреляционно-регрессионного анализа
|
Номер
районов
|
Себестоимость
1 ц, руб.
|
Расчетные
показатели
|
|
|
Уровень
интенсификации, руб.
|
Урожайность
зерновых культур, ц/га
|
Трудоёмкость
1 ц зерна, чел/час
|
Фондообеспеченность
района, тыс. руб.
|
Уровень
специализации, %
|
Уд.
вес затрат на зерно в общих затратах, %
|
Стоимость
внес.уд. на 1 га зерновых, руб.
|
Уровень
концентрации, га
|
Трудообеспеченность,
чел
|
|
1
|
427,74
|
12960
|
30,3
|
0,52
|
2568
|
28,5
|
98,0
|
1618
|
617235
|
3,7
|
|
2
|
512,41
|
13949
|
27,2
|
0,50
|
2850
|
49,5
|
98,4
|
1570
|
1093508
|
2,0
|
|
3
|
500,30
|
7050
|
14,1
|
0,65
|
809
|
59,1
|
99,2
|
1315
|
446454
|
1,3
|
|
4
|
381,36
|
5703
|
15,0
|
0,58
|
1244
|
63,7
|
99,9
|
454
|
255989
|
0,8
|
|
5
|
576,61
|
11292
|
19,6
|
0,17
|
2264
|
43,8
|
98,7
|
928
|
540996
|
1,9
|
|
6
|
504,53
|
8028
|
15,9
|
0,49
|
1614
|
38,4
|
97,3
|
1221
|
315284
|
2,3
|
|
7
|
576,23
|
14671
|
25,5
|
0,68
|
3196
|
19,4
|
100,0
|
2979
|
239126
|
2,5
|
|
8
|
443,42
|
8534
|
19,2
|
0,23
|
1232
|
51,0
|
97,8
|
735
|
297133
|
1,5
|
|
9
|
468,00
|
8119
|
17,3
|
0,16
|
1487
|
37,6
|
100,0
|
1041
|
585770
|
1,3
|
|
10
|
549,01
|
9481
|
17,3
|
0,39
|
1089
|
31,7
|
99,2
|
1319
|
538285
|
2,2
|
|
11
|
341,91
|
8689
|
25,4
|
0,39
|
1283
|
36,7
|
99,0
|
870
|
159752
|
2,6
|
|
12
|
445,80
|
8943
|
20,1
|
0,31
|
690
|
56,0
|
98,5
|
1804
|
395365
|
1,5
|
|
13
|
357,20
|
9102
|
25,5
|
0,32
|
3667
|
82,8
|
99,6
|
1041
|
568577
|
2,2
|
|
14
|
697,99
|
22224
|
31,8
|
0,72
|
6532
|
8,7
|
99,3
|
2196
|
987250
|
4,3
|
|
15
|
548,67
|
10951
|
20,0
|
0,51
|
3041
|
17,5
|
99,1
|
2027
|
127878
|
2,9
|
|
16
|
589,46
|
14183
|
24,1
|
0,14
|
3837
|
27,7
|
99,8
|
2191
|
432412
|
3,4
|
|
17
|
434,90
|
7820
|
18,0
|
0,26
|
859
|
132,9
|
100,0
|
1446
|
710647
|
0,7
|
|
18
|
808,61
|
14710
|
18,2
|
0,43
|
1726
|
40,2
|
99,7
|
1404
|
236302
|
2,2
|
|
19
|
496,74
|
11118
|
22,4
|
0,26
|
820
|
36,7
|
99,9
|
2082
|
202983
|
1,5
|
|
20
|
617,24
|
12762
|
20,7
|
0,33
|
1458
|
44,7
|
99,2
|
2149
|
864863
|
2,9
|
|
21
|
571,17
|
17105
|
29,9
|
0,30
|
1485
|
79,7
|
99,6
|
2289
|
589764
|
1,3
|
|
22
|
497,88
|
6396
|
12,8
|
0,59
|
758
|
54,8
|
99,9
|
761
|
317210
|
1,1
|
|
23
|
578,56
|
7795
|
13,5
|
0,64
|
1558
|
329,6
|
97,9
|
229
|
298762
|
1,1
|
|
24
|
566,50
|
11323
|
20,0
|
0,19
|
1050
|
122,1
|
100,0
|
1969
|
568165
|
1,1
|
|
25
|
691,80
|
12592
|
18,2
|
0,30
|
1123
|
33,9
|
99,5
|
1620
|
333530
|
1,7
|
|
26
|
455,75
|
10045
|
22,0
|
1044
|
49,5
|
99,2
|
1981
|
282866
|
0,8
|
|
27
|
511,38
|
9871
|
19,3
|
0,62
|
1288
|
164,2
|
99,1
|
1585
|
711850
|
2,5
|
|
28
|
624,25
|
12527
|
20,1
|
0,52
|
1180
|
31,3
|
99,8
|
2022
|
463708
|
1,3
|
|
29
|
474,31
|
9449
|
19,9
|
0,51
|
1726
|
40,1
|
99,2
|
1285
|
504238
|
2,2
|
|
30
|
482,67
|
9054
|
18,8
|
0,21
|
2323
|
13,8
|
99,4
|
408
|
374120
|
2,2
|
|
31
|
368,94
|
10352
|
28,1
|
0,28
|
2413
|
38,6
|
98,8
|
1758
|
411774
|
1,7
|
|
32
|
402,21
|
9711
|
24,1
|
0,20
|
1485
|
68,0
|
98,5
|
1050
|
866037
|
1,5
|
Проведение корреляционно-регрессионного анализа
осуществляется в MS
Excel c
помощью пакета анализа «Регрессия»
Пакет анализа представляет собой надстройку
Microsoft Excel, т. е. программу, которая становится доступной при установке
Microsoft Office или Excel. Однако чтобы использовать надстройку в Excel,
необходимо сначала загрузить ее.
Для MS Excel
2003
. Откройте вкладку Сервис и выберите
пункт Надстройки
. В окне Доступные надстройки установите
флажок Пакет анализа, а затем нажмите кнопку ОК.
. После загрузки пакета анализа в вкладке
Сервис будет доступен пункт Анализ данных
Для MS Excel
2010
1. Откройте вкладку Файл и выберите пункт
Параметры.
. Выберите команду Надстройки, а затем в
поле Управление выберите пункт Надстройки Excel.
Нажмите кнопку Перейти.
. В окне Доступные надстройки установите
флажок Пакет анализа, а затем нажмите кнопку ОК.
. После загрузки пакета анализа в группе
Анализ на вкладке Данные становится доступной команда Анализ данных.
Последовательность проведения анализа в MS
Excel
. Откройте вкладку Сервис и выберите
пункт Анализ данных
. В открывшемся окне выберите пункт
Регрессия
. Нажмите ОК
. В качестве входного интервала Y
выделите столбиком постоянный фактор (Урожайность, продуктивность,
себестоимость) Y в таблице
4.1
. В качестве входного интервала Х
выделите массив Х1-Х9 с расчетными показателями в таблице 4.1
. В качестве выходного интервала выберите
любую ячейку
. Поставьте галочку напротив пункта
Остатки
. Нажмите ОК
В поле листа MS
Excel появится вывод
итогов:
Таблица 4.2
|
ВЫВОД
ИТОГОВ
|
|
|
|
|
|
Регрессионная
статистика
|
|
|
|
|
|
Множественный
R
|
0,983128026
|
|
|
|
|
|
R-квадрат
|
0,966540715
|
|
|
|
|
|
Нормированный
R-квадрат
|
0,952852825
|
|
|
|
|
|
Стандартная
ошибка
|
22,69501039
|
|
|
|
|
|
Наблюдения
|
32
|
|
|
|
|
|
Дисперсионный
анализ
|
|
|
|
|
|
|
df
|
SS
|
MS
|
F
|
Значимость
F
|
|
Регрессия
|
9
|
327330,8556
|
36370,09507
|
70,61283765
|
3,80523E-14
|
|
Остаток
|
22
|
11331,39693
|
515,0634966
|
|
|
|
Итого
|
31
|
338662,2525
|
|
|
|
Таблица 4.3
|
Коэффициенты
|
Стандартная
ошибка
|
t-статистика
|
P-Значение
|
|
Y-пересечение
|
684,7558319
|
677,0177713
|
1,011429627
|
0,322806247
|
|
Переменная
X 1
|
0,045379274
|
0,002388056
|
19,00259801
|
3,87055E-15
|
|
Переменная
X 2
|
-21,83763448
|
1,390090703
|
-15,7095033
|
1,93139E-13
|
|
Переменная
X 3
|
-34,06803965
|
26,80163897
|
-1,271117774
|
0,216962828
|
|
Переменная
X 4
|
-0,013039113
|
0,006280617
|
-2,076087974
|
0,049776292
|
|
Переменная
X 5
|
0,111832769
|
0,083305223
|
1,342446069
|
0,193140905
|
|
Переменная
X 6
|
-1,771447328
|
6,759813627
|
-0,262055646
|
0,795716612
|
|
Переменная
X 7
|
-0,004606764
|
0,010281799
|
-0,44805042
|
0,658498055
|
|
Переменная
X 8
|
-3,13362E-05
|
1,9566E-05
|
-1,60155877
|
0,123515831
|
|
Переменная
X 9
|
14,48798772
|
8,419427029
|
1,720780722
|
0,099326622
|
Таблица 4.4
|
ВЫВОД
ОСТАТКА
|
|
|
Наблюдение
|
Предсказанное
Y
|
Остатки
|
|
1
|
416,1746851
|
11,56677489
|
|
2
|
487,7887886
|
24,6162414
|
|
3
|
493,9289711
|
6,371168875
|
|
4
|
412,9077414
|
-31,55151136
|
|
5
|
570,2969489
|
6,309901071
|
|
6
|
513,6356922
|
-9,109612226
|
|
7
|
570,4428166
|
5,784783363
|
|
8
|
468,8963907
|
-25,47880066
|
|
9
|
472,4444768
|
-4,446796845
|
|
10
|
546,5717605
|
2,440379458
|
|
11
|
351,8195151
|
-9,908305099
|
|
12
|
465,1359974
|
-19,33274744
|
|
13
|
325,0417708
|
32,15522917
|
|
14
|
733,9213917
|
-35,92696175
|
|
15
|
543,6908755
|
4,980514469
|
|
16
|
599,997214
|
-10,53392402
|
|
17
|
445,2337368
|
-10,33004682
|
|
18
|
763,3145081
|
45,29904193
|
|
19
|
514,239298
|
-17,50311801
|
|
20
|
616,3296156
|
0,90687437
|
|
21
|
599,6303535
|
-28,46460347
|
|
22
|
496,6287859
|
1,249594061
|
|
23
|
571,4706942
|
7,0901658
|
|
24
|
567,7290551
|
-1,22988508
|
|
25
|
668,7433364
|
23,05350362
|
|
26
|
461,6396629
|
-5,886762853
|
|
27
|
522,2477906
|
-10,86337056
|
|
28
|
604,0799025
|
20,16638749
|
|
29
|
477,6991505
|
-3,391380471
|
|
30
|
492,7683515
|
-10,0943415
|
|
31
|
334,2373823
|
34,7004377
|
|
32
|
394,8445095
|
7,361170496
|
Коэффициент корреляции равен 0,98, значит связь
факторов прямая и тесная. Коэффициент детерминации показывает, какая доля
вариации результативного признака обусловлена изменением факторного признака. В
нашем примере он равен 0,96. Коэффициент свидетельствует, что уровень
себестоимости зерна на 96% зависит от всех вышеприведенных факторов.
Результаты корреляционно-регрессионного анализа
представим в виде таблицы 4.5 где Р-значение соответствует уровню значимости:
Таблица 4.5-
Корреляционно-регрессионная модель (исходная)
|
Условные
обозн.
|
Название
показателя (фактора)
|
Коэффициент
регрессии
|
Стандартная
ошибка
|
t-статистика
|
Уровень
значимости
|
|
Constant
|
Себестоимость
1 ц, руб.
|
684,75583
|
677,01777
|
1,01
|
0,32
|
|
x1
|
Уровень
интенсификации, руб.
|
0,04538
|
0,00239
|
19,00
|
0,00
|
|
x2
|
Урожайность
зерновых культур, ц/га
|
-21,83763
|
1,39009
|
-15,71
|
0,00
|
|
x3
|
Трудоёмкость
1 ц зерна, чел/час
|
-34,06804
|
26,80164
|
-1,27
|
0,22
|
|
x4
|
Фондообеспеченность
района, тыс. руб.
|
-0,01304
|
0,00628
|
-2,08
|
0,05
|
|
x5
|
Уровень
специализации, %
|
0,11183
|
0,08331
|
1,34
|
0,19
|
|
x6
|
Уд.
Вес затрат на зерно в общих затратах на растениеводство, %
|
-1,77145
|
6,75981
|
-0,26
|
0,80
|
|
x7
|
Стоимость
внесенных удобрений на 1 га зерновых, руб.
|
-0,00461
|
0,01028
|
-0,45
|
0,66
|
|
x8
|
Уровень
концентрации, га
|
-0,00003
|
0,00002
|
-1,60
|
0,12
|
|
x9
|
Трудообеспеченность,
чел
|
8,41943
|
1,72
|
0,10
|
Исходя из таблицы 4.5 построим уравнение
регрессии:
y=684,75+0,04x1+(-21,83)x2+(-34,07)x3+(-0,01)x4+
+0,11x5+(-1,77)x6+(-0,01)x7+(-3,13362E-05)x8+14,48x9
Коэффициент регрессии показывает, насколько
изменяется результативный признак при изменении факторного признака на 1
единицу. То есть при увеличении уровня интенсификации на 1 руб., себестоимость
1 ц зерна повысится на 0,04 руб. при увеличении специализации на 1%
себестоимость повысится на 0,11 руб., а при увеличении трудообеспеченности,
себестоимость повысится на 14,48 руб. Имеет место прямая связь. При повышении
урожайности зерновых культур на 1 ц/га, себестоимость снижается на 21,83 руб.,
при повышении трудоемкости 1 ц зерна на 1 чел/час, себестоимость снижается на
34,06 руб., при повышении фондообеспеченности района на 1 тыс. руб.,
себестоимость снижается на 0,01 руб., при повышении удельного веса затрат на зерно
в общих затратах на растениеводство на 1%, себестоимость снижается на 1,77
руб., при повышении стоимости внесенных удобрений на 1 га зерновых на 1руб,
себестоимость снижается на 0,01 руб., при повышении уровня концентрации на 1
га, себестоимость снижается на 0,00003 руб. Между этими показателями обратная
связь.
Для более рационального анализа исключим из
модели незначимые факторы:
Для построения улучшенной
корреляционно-регрессионной модели необходимо выбрать в графе вывода итогов
Р-Значение наибольшее число. Затем следует удалим из исходной таблицы 4.1
столбец с соответствующим наибольшему показателю Р-Значение фактором и заново
произведем регрессионный анализ. Далее заново в выводе итогов просмотрим
колонку Р-Значение и снова удалим из таблицы 4.1 столбец с фактором,
соответствующим наибольшему значению из этой колонки. Будем повторять, пока не
останется 2-4 фактора.
Таблица 4.6
|
ВЫВОД
ИТОГОВ
|
|
|
|
|
|
|
Регрессионная
статистика
|
|
|
|
|
|
Множественный
R
|
0,346502
|
|
|
|
|
|
R-квадрат
|
0,120064
|
|
|
|
|
|
Нормированный
R-квадрат
|
0,059379
|
|
|
|
|
|
Стандартная
ошибка
|
101,3701
|
|
|
|
|
|
Наблюдения
|
32
|
|
|
|
|
|
Дисперсионный
анализ
|
|
|
|
|
|
|
df
|
SS
|
MS
|
F
|
Значимость
F
|
|
Регрессия
|
2
|
40661,08
|
20330,54
|
1,978468
|
0,15651
|
|
Остаток
|
29
|
298001,2
|
10275,9
|
|
|
|
Итого
|
31
|
338662,3
|
|
|
|
Таблица 4.7
|
Коэффициенты
|
Стандартная
ошибка
|
t-статистика
|
P-Значение
|
|
Y-пересечение
|
596,3994
|
83,30557
|
7,159178
|
7,03E-08
|
|
Переменная
X1
|
-7,10625
|
4,655697
|
-1,52635
|
0,137755
|
|
Переменная
X2
|
0,037013
|
0,019051
|
1,942847
|
0,0618
|
Таблица 4.8
|
ВЫВОД
ОСТАТКА
|
|
|
Наблюдение
|
Предсказанное
Y
|
Остатки
|
|
1
|
476,1238
|
-48,3823
|
|
2
|
508,437
|
3,96804
|
|
3
|
526,2011
|
-25,901
|
|
4
|
536,1646
|
-154,808
|
|
5
|
541,0528
|
35,55402
|
|
6
|
543,0656
|
-38,5395
|
|
7
|
533,7731
|
42,45451
|
|
8
|
505,2369
|
-61,8193
|
|
9
|
528,1505
|
-60,1528
|
|
10
|
513,982
|
35,03018
|
|
11
|
463,2985
|
-121,387
|
|
12
|
479,373
|
-33,5697
|
|
13
|
551,0549
|
-193,858
|
|
14
|
611,9157
|
86,07876
|
|
15
|
567,1405
|
-18,4691
|
|
16
|
567,4492
|
22,01413
|
|
17
|
500,4302
|
-65,5265
|
|
18
|
531,0032
|
277,6103
|
|
19
|
467,6979
|
29,03829
|
|
20
|
503,4259
|
113,8106
|
|
21
|
438,5492
|
132,6166
|
|
22
|
533,1509
|
-35,2725
|
|
23
|
558,3372
|
20,22362
|
|
24
|
493,2285
|
73,27068
|
|
25
|
508,6199
|
183,1769
|
|
26
|
478,4066
|
-22,6537
|
|
27
|
506,8844
|
4,499981
|
|
28
|
497,4509
|
126,7954
|
|
29
|
518,7327
|
-44,4249
|
|
30
|
549,0873
|
-66,4133
|
|
31
|
486,3072
|
-117,369
|
|
32
|
479,8002
|
-77,5945
|
Коэффициент корреляции равен 0,34, что говорит о
том, что
Скопированные результаты улучшенного решения
оформим в виде таблицы 4.3.
Таблица 4.3 -
Корреляционно-регрессионная модель (улучшенная)
|
Условные
обозн.
|
Название
показателя (фактора)
|
Коэффициент
регрессии
|
Стандартная
ошибка
|
t-статистика
|
Уровень
значимости
|
|
Constant
|
Себестоимость
1 ц, руб.
|
596,40
|
83,31
|
7,16
|
0,0000001
|
|
x1
|
Урожайность
зерновых культур, ц/га
|
-7,11
|
4,66
|
-1,53
|
0,13776
|
|
x2
|
Фондообеспеченность
хозяйства, тыс. руб.
|
0,04
|
0,02
|
1,94
|
0,06180
|
По улучшенной модели также составим уравнение
регрессии:
y=684,76-21,84x1-0,01x2
По этой модели можно сделать вывод, что при
повышении урожайности зерновых культур на 1 ц/га себестоимость снижается на
21,84 руб., а при повышении фондообеспеченности района на 1 тыс. руб.,
себестоимость снижается на 0,01 руб.
С целью оценки существенности влияния изучаемых
факторов на результат построим отобразим данные из раздела «Дисперсионный
анализ» вывода итогов, где Df
- Число степеней свободы; SS
- Величина вариации; MS
- Дисперсия на одну степень свободы; F
- Критерий Фишера; Значимость F
- Уровень значимости. Результаты дисперсионного анализа представим в таблице
4.4:
Таблица 4.4 -
Дисперсионный анализ вариации для всей модели
|
Источник
вариации
|
Величина
вариации
|
Число
степеней свободы
|
Дисперсия
на одну степень свободы
|
Критерий
Фишера
|
Уровень
значимости
|
|
Факторная
|
327330,856
|
9
|
36370,09507
|
70,61
|
3,8052E-14
|
|
Остаточная
|
11331,3969
|
22
|
515,0634966
|
|
|
|
Общая
|
338662,253
|
31
|
|
|
|
Полученное значение критерия Фишера сравним с
теоретическим
Fфакт=70,61
Fтеор=2,35

, значит влияние фактора на
результат существенно.
Расчет резервов снижения
себестоимости 1 ц зерна определяется в таблице 4.5 на основе данных таблицы 4.3
и расчет средних показателей.
Пронумеруем столбцы этой таблицы.
)В первый столбец таблицы выписываем
факторы из улучшенной корреляционно-регрессионной модели (Таблица 4.3)
)Во второй условное обозначение
факторов (Х1, Х2 и т.д.)
)Средний уровень факторов по
совокупности рассчитывается путем средней арифметической взвешенной по всем
изучаемым районам исходя из исходных данных, применяемых для расчета данного
фактора.
)Средний уровень факторов по
передовым районам рассчитываем путем средней арифметической взвешенной по 10
районам, где показатель этого фактора наибольший,
)По отстающим - по оставшимся
районам по тому же принципу.
)Отклонение среднего уровня факторов
от средней по совокупности рассчитывается путем вычитания данных столбца 5 из
данных 3 столбца (3-5).
)Отклонение среднего уровня факторов
от передовых районов - 4-5.
)Коэффициент регрессии переносим из
таблицы 4.3.
) Перемножить данные столбцов 8 и 6
(8*6). По этому столбцу посчитать сумму итого. Сумма должна быть отрицательной.
Если сумма не отрицательна, то исключить фактор с наибольшим коэффициентом
регрессии. Также исключить его из таблицы 4.3 и пересчитать вывод итогов.
) Чтобы найти резервы изменения
фактора до среднего уровня в процентном соотношении, разделим значение из
столбца 9 на среднее значение фактора по совокупности всех районов, которое мы
рассчитывали в 3й главе курсовой работы и умножим на 100%.
) 8*7. По этому столбцу посчитать
сумму итого. Сумма должна быть отрицательной. Если сумма не отрицательна, то
исключить фактор с наибольшим коэффициентом регрессии. Также исключить его из
таблицы 4.3 и пересчитать вывод итогов.
) По аналогии со столбцом 10:
11/среднее значение фактора по совокупности *100%.
.3 Расчет резервов снижения
средней себестоимости и производственных затрат на зерно
Кроме найденных резервов снижения себестоимости
зерна можно найти резервы снижения затрат на его производство из-за не
использованных возможностей. Рассчитаем эти резервы в таблице 4.6 только для
тех районов, где можно снизить себестоимость (фактическая больше расчетной).
Расчетную себестоимость мы возьмем из вывода итогов в разделе «Предсказанное Y»
Таблица 4.5 -
Расчет резервов снижения себестоимости 1 ц зерна
|
Факторы
|
Условное
обозначение
|
Средние
уровни факторов
|
Отклонения
среднего уровня факторов
|
Коэффициент
регрессии
|
Резервы
снижения средней себестоимости
|
|
|
по
совокупности
|
по
передовым р-нам
|
по
отстающим р-нам
|
от
средней по совокупности
|
от
передовых районов
|
|
до
среднего уровня
|
до
передовых
|
|
|
|
|
|
|
|
|
руб.
|
%
|
руб.
|
%
|
|
Урожайность
зерновых культур, ц/га
|
x1
|
21,07
|
23,36
|
16,03
|
5,04
|
7,33
|
-7,11
|
-35,83
|
-6,93
|
-52,11
|
-10,08
|
|
Фондообеспеченность
района, тыс. руб.
|
x2
|
1865,62
|
2285,41
|
942,09
|
923,53
|
1343,32
|
0,04
|
34,18
|
6,61
|
49,72
|
9,62
|
|
Итого
|
|
|
|
|
|
|
|
-1,64
|
|
-2,39
|
|
Таблица 4.6 -
Расчет резервов снижения затрат на производство зерна
|
Наименование
района
|
Себестоимость
1 ц, руб.
|
Резерв
снижения себестоимости 1 га, руб.
|
Кол-во,
ц
|
Резерв
снижения затрат, руб.
|
|
фактическая
|
расчетная
|
|
|
|
|
Бобровский
р-н (СХ)
|
512,41
|
508,44
|
3,97
|
1203412
|
4775186,92
|
|
Бутурлиновский
р-н (СХ)
|
576,61
|
541,05
|
35,55
|
521365
|
18536620,94
|
|
Верхнехавский
р-н (СХ)
|
576,23
|
533,77
|
42,45
|
363323
|
15424699,96
|
|
Калачеевский
р-н (СХ)
|
549,01
|
513,98
|
35,03
|
594582
|
20828311,93
|
|
Лискинский
р-н (СХ)
|
697,99
|
611,92
|
86,08
|
862502
|
74243099,46
|
|
Новоусманский
р-н (СХ)
|
589,46
|
567,45
|
22,01
|
379827
|
8361560,17
|
|
Ольховатский
р-н (СХ)
|
808,61
|
531,00
|
277,61
|
436412
|
121152476,93
|
|
Острогожский
р-н (СХ)
|
496,74
|
467,70
|
29,04
|
212049
|
6157541,15
|
|
Павловский
р-н (СХ)
|
617,24
|
503,43
|
113,81
|
931953
|
106066122,18
|
|
Панинский
р-н (СХ)
|
571,17
|
438,55
|
132,62
|
860286
|
114088190,99
|
578,56
|
558,34
|
20,22
|
300009
|
6067266,63
|
|
Подгоренский
р-н (СХ)
|
566,50
|
493,23
|
73,27
|
812439
|
59527958,02
|
|
Рамонский
р-н (СХ)
|
691,80
|
508,62
|
183,18
|
400736
|
73405584,16
|
|
Россошанский
р-н (СХ)
|
511,38
|
506,88
|
4,50
|
633112
|
2848991,74
|
|
Семилукский
р-н (СХ)
|
624,25
|
497,45
|
126,80
|
574519
|
72846388,52
|
|
Итого:
|
8967,95
|
7781,81
|
1186,14
|
9086526
|
704329999,70
|
Из данных таблицы 4.6 мы видим, что резерв
снижения затрат на производства зерна по районам Воронежской области из-за не
использованных возможностей составил 704329999,70 руб.
Заключение
В данной курсовой работе была исследована
себестоимость зерна в 32 районах Воронежской области. Были применены следующие
методы: анализ рядов динамики, индексный метод, методы статистической
группировки и дисперсионного анализа, корреляционно-регрессионный анализ.
Анализ рядов динамки проводился по Лискинскому
району Воронежской области. В ходе него было выявлено, что наибольшая
себестоимость зерна наблюдалась в 2010 году, хотя наибольшие затраты на
производство зерна были в 2012 году - 686545 тыс. руб. По Лискинскому району в
общем была выявлена тенденция роста как себестоимости 1 ц зерна, так и затрат
на его производство в период 2004-2012 гг.
Индексный анализ показал, что на увеличение
средней себестоимости зерна и производственных затрат на его выращивание
оказало влияние на увеличение себестоимости 1 ц зерна в ряде районов в отчетном
году по сравнению с базисным и увеличение объемов производства зерна. За счет
данных факторов затраты на производство зерна в отчетном году по сравнению с
базисным возросли на 1603904335 руб. и на 1908976758 руб. или на 22,46% и 36,9%
соответственно. В свою очередь ухудшение структуры произведенного зерна в
отчетном году по сравнению с базисным привело к снижению производственных
затрат на 1,3% или 93726594 руб.
При проведении аналитической группировки и
дисперсионного анализа было выявлено, что на себестоимость 1 ц зерна влияет
количество его производства. Был рассчитан критерий Фишера. Он значительно
превышает теоретическое значение, что свидетельствует о высоком влиянии данного
фактора на себестоимость.
По результатам корреляционно-регрессионного
анализа можно сделать вывод, что резерв снижения себестоимости 1 ц зерна по 32
районам Воронежской области до среднего уровня составил 1,64 руб., до передовых
районов - 2,39 руб. Так же был посчитан резерв снижения затрат на производство
зерна. Он составил 704329999,70 руб.
динамика затраты себестоимость
статистический
Список литературы
1. Афанасьев В.Н. Статистика
сельского хозяйства : учеб. пособие для студентов вузов,обучающихся по
специальности 061700 "Статистика" и другим экон. специальностям /
В.Н. Афанасьев, А.И. Маркова .- М.: Финансы и статистика, 2003 .- 269 с.
2. Бессчетная О.А. Статистика :
учебник / под общ. ред. А.Е. Суринова .- М. : Изд-во РАГС, 2005 .- 656 с.
. Васильева Э.К. Статистика :
учеб. пособие / Э.К. Васильева - СПб. : Вектор, 2006 .- 252 с.
. Галкина В.А. Статистика:
Учеб.пособие для студентов вузов по экон.специальностям /
Рос.гос.аграр.заоч.ун-т .- 2-е изд.,перераб.и доп. - М., 2002 .- 64с.
. Дащинская Н.П. Статистика:
Национальные счета,показатели и методы анализа:Справ.пособие / Под общ. ред.
И.Е. Теслюка .- Минск : БГЭУ, 1995 .- 376с .
. Елисеева И.И. Общая теория
статистики - М.: Издательство «Финансы и статистика», 2004 г. - 656 с.
. Зарова Е.В. Региональная
статистика : учебник для студентов вузов, обучающихся по специальности
"Статистика" и другим экон. специальностям / под ред. Е. В. Заровой и
Г. И. Чудилина .- М. : Финансы и статистика, 2006 .- 623 с.
. Иванов Ю.Н. Экономическая
статистика : Учебник для вузов / Под ред. Ю.Н. Иванова .- М. : ИНФРА-М, 1998 .-
480с.
. Коборов Н.К. Статистика
сельского хозяйства : Учеб.для вузов / Под ред.Коборова Н.К .- М. : Финансы и
статистика, 1982 .- 400с.
. Минашкин В.Г. Статистика :
учебник / под ред. В.Г. Минашкина - М. : Проспект, 2005 .- 266 с.
. Харченко Л.П. Статистика :
Учеб.пособие / Л.П. Харченко, В.Г. Долженкова, В.Г. Ионин и др. - 2-е
изд.,перераб.и доп. - М. : Инфра-М, 2001 .- 382с.
. Яковлев В.Б. Статистика. /
В.Б. Яковлев - М. : КолосС, 2005 .- 351 с.
. Методические указания по
выполнению курсовых работ по статистике для студентов очного отделения,
обучающихся по направлениям «Экономика» и «Менеджмент», - Воронеж, 2013
. Годовые отчеты по районам
Воронежской области 2004-2012 гг.
Приложение 1
Исходные данные 2012 год.
|
Посевная
площадь зерновых культур, га
|
Количество
произв. Зерна после доработки, тыс. руб.
|
Себестоимость
всего произв. зерна, тыс .руб.
|
Себестоимость
1 ц зерна, руб.
|
Количество
реализованного зерна, ц
|
Себестоимость
реал зерна, тыс. руб.
|
Денежная
выручка за реализ зерна, тыс. руб.
|
Денежная
выручка от реал прод в целом по району, тыс. руб.
|
Среднегодовая
численность раб, занятых в с/х, чел
|
Среднегодовая
стоимость осн произв средств, тыс. руб.
|
Произв
затраты на осн пр-во растениеводства, тыс. руб.
|
Прямые
затраты труда на зерно, тыс .чел/час
|
Площадь
с/х угодий, га
|
Площадь
пашни, га
|
Стоимость
внесенных удобрений под зерновые, тыс. Руб.
|
|
Аннинский
р-н (СХ)
|
20371
|
617235
|
264017
|
428
|
783803
|
339536
|
512313
|
1798282
|
2163
|
1798430
|
269450
|
321
|
70039
|
58752
|
32961
|
|
Бобровский
р-н (СХ)
|
40168
|
1093508
|
560319
|
512
|
1203412
|
562061
|
773442
|
1562093
|
1853
|
3140571
|
569158
|
547
|
110190
|
92340
|
63056
|
|
Богучарский
р-н (СХ)
|
31682
|
446454
|
223361
|
500
|
451734
|
211781
|
284081
|
480508
|
853
|
692502
|
225223
|
289
|
85608
|
66109
|
41672
|
|
Борисоглебский
р-н (СХ)
|
17117
|
255989
|
97623
|
381
|
344445
|
132340
|
208497
|
327215
|
322
|
503380
|
97711
|
148
|
40468
|
39485
|
7764
|
|
Бутурлиновский
р-н (СХ)
|
27626
|
540996
|
311942
|
577
|
521365
|
254115
|
353022
|
805551
|
1279
|
1816565
|
316145
|
91
|
80222
|
68248
|
25629
|
|
Верхнемамонский
р-н (СХ)
|
19814
|
315284
|
159069
|
505
|
338347
|
161194
|
211856
|
552280
|
1037
|
902698
|
163486
|
153
|
55927
|
45243
|
24198
|
|
Верхнехавский
р-н (СХ)
|
9392
|
239126
|
137791
|
576
|
363323
|
185828
|
237140
|
1222392
|
669
|
882572
|
137791
|
162
|
27613
|
26289
|
27976
|
|
Воробьевский
р-н (СХ)
|
15438
|
297133
|
131754
|
443
|
285609
|
120078
|
184362
|
361793
|
439
|
418453
|
134687
|
67
|
33958
|
30004
|
11351
|
|
Грибановский
р-н (СХ)
|
33765
|
585770
|
274139
|
468
|
574540
|
247723
|
357279
|
949956
|
870
|
1062874
|
274139
|
91
|
71485
|
66791
|
35149
|
|
Калачеевский
р-н (СХ)
|
31169
|
538285
|
295525
|
549
|
594582
|
284207
|
393751
|
1241343
|
1672
|
1042506
|
297958
|
209
|
95733
|
77607
|
41114
|
|
Каменский
р-н (СХ)
|
6286
|
159752
|
54621
|
342
|
106789
|
38940
|
70285
|
191704
|
409
|
281515
|
55173
|
62
|
21938
|
15607
|
5466
|
|
Кантемировский
р-н (СХ)
|
19708
|
395365
|
176255
|
446
|
404451
|
188746
|
262856
|
469681
|
671
|
395045
|
178997
|
123
|
57267
|
46087
|
35559
|
|
Каширский
р-н (СХ)
|
22313
|
568577
|
203094
|
357
|
638945
|
222342
|
433330
|
523142
|
951
|
1680498
|
203823
|
180
|
45825
|
42834
|
23218
|
|
Лискинский
р-н (СХ)
|
31007
|
987250
|
689095
|
698
|
862502
|
704138
|
630441
|
7219977
|
4121
|
8321924
|
694262
|
715
|
127400
|
96745
|
68092
|
|
Нижнедевицкий
р-н (СХ)
|
6407
|
127878
|
70163
|
549
|
78922
|
41907
|
50012
|
285822
|
414
|
540318
|
70821
|
65
|
17765
|
14381
|
12986
|
|
Новоусманский
р-н (СХ)
|
17971
|
432412
|
254891
|
589
|
379827
|
211927
|
259124
|
934268
|
1197
|
1680120
|
255286
|
59
|
43782
|
35309
|
39378
|
|
Новохоперский
р-н (СХ)
|
39523
|
710647
|
309063
|
435
|
971217
|
469573
|
648120
|
487493
|
541
|
811222
|
309063
|
187
|
94406
|
81245
|
57132
|
|
Ольховатский
р-н (СХ)
|
12990
|
236302
|
809
|
436412
|
273550
|
270664
|
673098
|
866
|
885232
|
191567
|
101
|
51297
|
39916
|
18244
|
|
Острогожский
р-н (СХ)
|
9069
|
202983
|
100829
|
497
|
212049
|
97162
|
135646
|
369845
|
517
|
412189
|
100948
|
54
|
50267
|
33707
|
18885
|
|
Павловский
р-н (СХ)
|
41828
|
864863
|
533825
|
617
|
931953
|
533094
|
668396
|
1496733
|
2578
|
1628618
|
538246
|
285
|
111714
|
89167
|
89888
|
|
Панинский
р-н (СХ)
|
19693
|
589764
|
336853
|
571
|
860286
|
466009
|
582694
|
731064
|
729
|
913679
|
338254
|
174
|
61525
|
56838
|
45079
|
|
Петропавловский
р-н (СХ)
|
24693
|
317210
|
157932
|
498
|
323121
|
150206
|
206838
|
377589
|
556
|
434574
|
158167
|
187
|
57366
|
49240
|
18789
|
|
Поворинский
р-н (СХ)
|
22176
|
298762
|
172852
|
579
|
300009
|
146857
|
173344
|
52595
|
549
|
780299
|
176524
|
191
|
50076
|
48729
|
5074
|
|
Подгоренский
р-н (СХ)
|
28426
|
568165
|
321865
|
566
|
812439
|
390196
|
576368
|
472013
|
585
|
736471
|
321895
|
109
|
70138
|
52314
|
55963
|
|
Рамонский
р-н (СХ)
|
18324
|
333530
|
230735
|
692
|
400736
|
250728
|
262827
|
775376
|
985
|
827581
|
231843
|
99
|
73692
|
56500
|
29692
|
|
Репьевский
р-н (СХ)
|
12834
|
282866
|
128917
|
456
|
342215
|
149191
|
239246
|
483632
|
209
|
341493
|
130018
|
67
|
32719
|
24940
|
25424
|
|
Россошанский
р-н (СХ)
|
36878
|
711850
|
364029
|
511
|
633112
|
351820
|
468126
|
285119
|
1961
|
1354284
|
367360
|
442
|
105185
|
79358
|
58453
|
|
Семилукский
р-н (СХ)
|
23107
|
463708
|
289468
|
624
|
574519
|
304361
|
334649
|
1069120
|
837
|
794357
|
290150
|
239
|
67345
|
63523
|
46711
|
|
Таловский
р-н (СХ)
|
25312
|
504238
|
239164
|
474
|
416651
|
201896
|
265782
|
662232
|
1274
|
1098702
|
241207
|
258
|
63645
|
57655
|
32528
|
|
Терновский
р-н (СХ)
|
19944
|
374120
|
180578
|
483
|
337609
|
155787
|
183316
|
1326698
|
849
|
1033673
|
181727
|
80
|
44493
|
37917
|
8141
|
|
Хохольский
р-н (СХ)
|
14675
|
411774
|
151919
|
369
|
366487
|
151194
|
250969
|
650361
|
751
|
1103204
|
153753
|
115
|
45723
|
43257
|
25800
|
|
Эртильский
р-н (СХ)
|
35870
|
866037
|
348325
|
402
|
904252
|
395811
|
565380
|
831704
|
1274
|
1436041
|
353631
|
171
|
96690
|
85395
|
37647
|
Приложение 2
Исходные данные 2011 год
|
Посевная
площадь зерновых культур, га
|
Количество
произв. Зерна после доработки, тыс. руб.
|
Себестоимость
всего произв. зерна, тыс. руб.
|
Себестоимость
1 ц зерна, руб.
|
Количество
реализованного зерна, ц
|
Себестоимость
реал зерна, тыс. руб.
|
Денежная
выручка за реализ зерна, тыс. руб.
|
|
Аннинский
р-н (СХ)
|
19836
|
537966
|
221083
|
411
|
383708
|
146985
|
186889
|
|
Бобровский
р-н (СХ)
|
33575
|
795462
|
327736
|
412
|
629850
|
262008
|
303384
|
|
Богучарский
р-н (СХ)
|
26562
|
477129
|
199151
|
417
|
376611
|
160465
|
170128
|
|
Борисоглебский
р-н (СХ)
|
12962
|
140008
|
46097
|
329
|
187648
|
55233
|
90437
|
|
Бутурлиновский
р-н (СХ)
|
24925
|
502809
|
252341
|
502
|
286496
|
151608
|
131550
|
|
Верхнемамонский
р-н (СХ)
|
18784
|
437221
|
159189
|
364
|
309032
|
114233
|
144280
|
|
Верхнехавский
р-н (СХ)
|
10669
|
244628
|
113546
|
464
|
282605
|
125221
|
123266
|
|
Воробьевский
р-н (СХ)
|
18358
|
357253
|
123432
|
346
|
253004
|
98202
|
103708
|
|
Грибановский
р-н (СХ)
|
28560
|
489744
|
191166
|
390
|
373901
|
144590
|
137762
|
|
Калачеевский
р-н (СХ)
|
26715
|
648127
|
229114
|
354
|
400048
|
150926
|
181382
|
|
Каменский
р-н (СХ)
|
5560
|
126585
|
38534
|
304
|
71187
|
24141
|
34292
|
|
Кантемировский
р-н (СХ)
|
23267
|
439531
|
222953
|
507
|
375942
|
188106
|
176084
|
|
Каширский
р-н (СХ)
|
22281
|
491678
|
167820
|
341
|
382583
|
138111
|
168126
|
|
Лискинский
р-н (СХ)
|
855704
|
365660
|
427
|
636596
|
264699
|
294411
|
|
Нижнедевицкий
р-н (СХ)
|
6063
|
98807
|
45221
|
458
|
41889
|
18602
|
21157
|
|
Новоусманский
р-н (СХ)
|
20905
|
406794
|
171560
|
422
|
310565
|
144541
|
145400
|
|
Новохоперский
р-н (СХ)
|
34724
|
680437
|
257227
|
378
|
368144
|
145338
|
177532
|
|
Ольховатский
р-н (СХ)
|
15770
|
433866
|
223753
|
516
|
538353
|
290742
|
246185
|
|
Острогожский
р-н (СХ)
|
9782
|
218415
|
89571
|
410
|
196891
|
86168
|
98472
|
|
Павловский
р-н (СХ)
|
38570
|
1127514
|
491914
|
436
|
802329
|
384284
|
445909
|
|
Панинский
р-н (СХ)
|
26369
|
479240
|
248441
|
518
|
565922
|
285745
|
256644
|
|
Петропавловский
р-н (СХ)
|
23240
|
379913
|
158570
|
417
|
306184
|
122817
|
130648
|
|
Поворинский
р-н (СХ)
|
17196
|
295078
|
122561
|
415
|
203128
|
87223
|
92758
|
|
Подгоренский
р-н (СХ)
|
29434
|
805767
|
342514
|
425
|
694049
|
321948
|
425717
|
|
Рамонский
р-н (СХ)
|
21634
|
475926
|
266933
|
561
|
387135
|
222995
|
179351
|
|
Репьевский
р-н (СХ)
|
12276
|
285304
|
110862
|
389
|
301058
|
134261
|
147005
|
|
Россошанский
р-н (СХ)
|
34872
|
788731
|
349008
|
442
|
678178
|
302749
|
309593
|
|
Семилукский
р-н (СХ)
|
26516
|
555362
|
276400
|
498
|
600032
|
289047
|
286011
|
|
Таловский
р-н (СХ)
|
30416
|
584386
|
256564
|
439
|
340310
|
151721
|
161854
|
|
Терновский
р-н (СХ)
|
19324
|
346954
|
148077
|
427
|
202515
|
85553
|
89249
|
|
Хохольский
р-н (СХ)
|
15678
|
366963
|
138674
|
378
|
382050
|
139418
|
153536
|
|
Эртильский
р-н (СХ)
|
34902
|
693074
|
296027
|
427
|
371303
|
156011
|
170206
|