Расчет и проектирование пункта послеуборочной обработки и хранения зерна озимой ржи продовольственного назначения
Курсовое
проектирование
по
дисциплине:
«Технология
хранения зерна и зернопродуктов»
на тему:
«Расчет и
проектирование пункта послеуборочной обработки и хранения зерна озимой ржи
продовольственного назначения»
Выполнила:
Скородумова А.О.
Москва 2014
СОДЕРЖАНИЕ
ВВЕДЕНИЕ
. РЕЖИМЫ ХРАНЕНИЯ
ЗЕРНОВЫХ МАСС
.1 Режим хранения
зерновых масс в сухом состоянии
.2 Режим хранения
зерновых масс в охлажденном состоянии
.3 Режим хранения
зерновых масс без доступа воздуха
.
ТЕХНОЛОГИЯ
ПОСЛЕУБОРОЧНОЙ ОБРАБОТКИ ЗЕРНА (СЕМЯН)
.1 Предварительная
очистка зерна и семян
.2 Первичная
обработка зерна и семян
.3 Вторичная
обработка зерна и семян
.4 Сушка зерна и
семян
.5 Активное
вентилирование зерна и семян
. РАСЧЕТНАЯ ЧАСТЬ
. ТИПЫ
ЗЕРНОХРАНИЛИЩ
. РАЗМЕЩЕНИЕ ЗЕРНА
И НАБЛЮДЕНИЕ ЗА НИМ
ЗАКЛЮЧЕНИЕ
СПИСОК
ИСПОЛЬЗОВАННОЙ ЛИТЕРАТУРЫ
ПРИЛОЖЕНИЕ 1
ВВЕДЕНИЕ
Сохранение и рациональное использование всего
выращенного урожая, получение максимума изделий из сырья - одни из основных
государственных задач. В связи с сезонностью сельскохозяйственного производства
возникает необходимость хранения сельскохозяйственной продукции, для их
использования на различные нужды в течение года и более. Развитие науки о
хранении сельскохозяйственных продуктов и внедрение механизации позволило
ввести в практику новые усовершенствованные технологические приемы,
обеспечивающие хорошее хранение продуктов и снижение издержек при хранении. При
неумелом обращении с продуктами в послеуборочный период потери могут быть
велики.
В данной курсовой работе будет
проведен расчет послеуборочной обработки зерна озимой ржи продовольственного
назначения.
Задачей курсовой работы является рассчитать:
среднесуточную массу зерна, поступающего на ток
с учетом его фактических показателей качества;
потребность в зерноочистительных, сушильных
машинах и другом оборудовании;
потребность в площадях для временного и
постоянного размещения зерна.
Озимая рожь - одна из важнейших
продовольственных культур нашей страны. Из ржаной муки выпекают разнообразные
сорта хлеба, обладающие высокими вкусовыми качествами и содержащие полноценные
белки и витамины В1, В2 В6, РР, Е. Ржаное
зерно используют на кормовые цели. Из растений приготовляют сенную муку, силос,
сенаж, зеленый корм, сено. Зерно ржи имеет и техническое значение. Его применяют
в винокуренной и крахмалопаточной промышленности. Ржаную солому широко
применяют в быту для поделки матов, корзин, шляп, ее также используют как
ценный подстилочный материал в животноводстве. Из ржаной соломы делают бумагу,
получают целлюлозу, лигнин и другие материалы. В мировом земледелии рожь
занимает 9,5 млн. га, что составляет всего лишь 4,6% площади, которую занимает
пшеница. Из европейских стран значительные площади ржи имеются в Польше - 1,58
млн. га и Германии - 728 тыс. га. В нашей стране культура ржи играла и будет
играть существенную роль в экономике, а следовательно, и в питании населения. В
России сосредоточены самые большие площади посевов ржи в мире - 3,5 млн. га.
Основные посевы сосредоточены в Средневолжском, Центральном, Волго-Вятском
районах, а также в Центральном Черноземы и Западной Сибири. Средняя урожайность
ржи в мире 2,22 т/га, в России 1,83 т/га; самая высокая - в Германии (5,0
т/га).
Озимая рожь выносливая и
малотребовательная культура. Она отличается высокой холодостойкостью и
засухоустойчивостью. Семена ржи прорастают при 1-2°С тепла, всходы
появляются через 4-7 дней после посева, в зависимости от влажности почвы,
температуры, глубины заделки семян.
По внешнему виду зерно ржи более длинное, узкое,
бывают и короткие зёрна. Зерновка у основания заострённая, на верхнем конце
тупая.
Основной частью зерна являются углеводы. Среди
углеводов первое место занимает крахмал (56-64 %), остальные углеводы - сахара,
декстрины, гемицеллюлоза и пентозаны составляют около 10 %. Крахмал играет
большую роль в технологии приготовления ржаного теста и хлеба. Он сосредоточен
в эндосперме зерна и находится там в виде крахмальных зёрен различных размеров.
При температуре 62,5˚С крахмальные зёрна сильно набухают, теряют
свойственную им форму и деформируются.
Зерно ржи содержит большое количество сахаров.
Содержание редуцирующих сахаров в зерне ржи составляет около 0,3 %, сахарозы -
около 5 %. Суммарное количество сахаров 7-8 %.
Содержание клетчатки в зерне ржи составляет 2-3
%. В зерне клетчатка распределена неравномерно, наибольшее количество
сосредоточено в оболочках зерна.
Особенностью углеводного комплекса зерна ржи
является содержание в нём растворимых полисахаридов. Этим обусловлено наличие в
зерне ржи большого количества водорастворимых веществ - от 12 до 17 %. В состав
ржи входит 1,5-5 % слизи (гумми), которые представляют собой гидрофильные
вещества, придающие зерну ржи повышенную эластичность, которая усложняет
дробление зерна при размоле. Наличие большого количества слизи отражается на качестве
хлеба, так как в тесте не образуется связной клейковины.
Поэтому ржаной хлеб имеет меньшую пористость
мякиша и большую влажность.
Содержание белка в зерне ржи колеблется от 8 до
18 %. Среднее содержание белка 12 %. Наличие белка в зерне ржи зависит от
сорта, района произрастания, почвенно-климатических условий, агротехники и т.д.
В пищевом отношении белок зерна ржи является полноценным. В составе белков
зерна содержатся аминокислоты. Наиболее богат белками зародыш.
Содержание жира колеблется в пределах от 1,8 до
2,1 %. Наибольшее количество его находится в зародыше. В состав зерна входит от
1,5 до 2,2 % минеральных веществ, которые распределены неравномерно. Наибольшее
количество их сосредоточено в зародыше, алейроновом слое и оболочках, а
наименьшее - в эндосперме. В зерне ржи содержатся витамины В1, В2,
РР и др. В зародыше имеется витамин Е и провитамин А. витамин В1
(тиамин) находится в основном в зародыше и алейроновом слое. Тиамина в зерне
содержится в среднем 4,8 мг/кг, рибофлавина 1,5-2,9 мг/кг.
Проблема послеуборочной обработки, размещения и
хранения семян озимой ржи является актуальной, поэтому эту тему мы будем
рассматривать в данной курсовой работе.
1. РЕЖИМЫ ХРАНЕНИЯ ЗЕРНОВЫХ
МАСС
Интенсивность физиологических
процессов, происходящих в зерновой массе при хранении, зависит от таких
важнейших факторов, как влажность зерновой массы и содержание влаги в
окружающей среде (воздухе, элементах конструкций хранилища, таре), температура
зерновой массы и окружающих ее объектов, доступ воздуха к зерновой массе. Эти
внешние условия закономерно воздействуют на жизнедеятельность всех живых
компонентов зерновой массы: зерна, микроорганизмов, семян сорных растений,
насекомых и клещей.
На регулировании параметров
указанных факторов основаны три режима хранения зерновых масс:
) в сухом состоянии, то есть с
влажностью зерна ниже критической;
) в охлажденном состоянии,
когда температура зерновой массы понижена до пределов, оказывающих значительное
тормозящее влияние на все жизненные функции ее компонентов;
) без доступа воздуха (в
герметических условиях).
Выбор режима хранения
определяется многими условиями, в числе которых обязательно должны быть учтены:
климатические особенности местности, в которой должно храниться зерно; типы и
вместимость зернохранилищ; технические возможности предприятия для приведения
партий зерна в стойкое состояние; целевое назначение хранящегося зерна;
качество партий зерна; экономическая целесообразность применения того или иного
режима. Лучшие результаты достигаются при комплексном использовании режимов,
например, при хранении сухого зерна в условиях низких температур или при
хранении сухого зерна без доступа воздуха.
1.1 Режим хранения зерновых
масс в сухом состоянии
Режим хранения зерновых масс в
сухом состоянии основан на пониженной физиологической активности многих
компонентов зерновой массы при отсутствии в ней свободной воды, то есть при
влажности зерна ниже критического уровня. В зернах и семенах с влажностью в
пределах до критической физиологические и биохимические процессы проявляются
лишь в форме замедленного дыхания и практически не имеют значения. Объясняется
это отсутствием свободной воды, которая могла бы принимать непосредственное
участие в процессе обмена веществ в клетках семян. Отсутствие свободной воды в
зерне не дает возможности развиваться в зерновой массе и микроорганизмам.
Следовательно, этот режим хранения зерна и семян основан на принципе
ксероанабиоза. В сухой зерновой массе из-за недостатка влаги также прекращается
развитие клещей и в значительной степени сокращается жизнедеятельность
некоторых насекомых - вредителей зерновых запасов.
Таким образом, зерновая масса
всех злаковых и бобовых культур влажностью 12-14 %, не имеющая признаков
заражения вредителями-насекомыми, при правильной организации хранения будет находиться
в анабиотическом состоянии.
Несколько другие границы
влажности характерны для семян масличных культур. Для семян подсолнечника
современных высокомасличных сортов (40-50 % жира) критическая влажность
составляет 8-6 %, ниже которой можно обеспечить их длительное хранение
независимо от температуры. В целом оптимальная влажность для длительного
хранения партий зерна и семян должна быть на 1-2 % ниже критической влажности.
Хранение в сухом состоянии -
необходимое условие для поддержания высокой жизнеспособности семян в партиях
посевного материала всех культур и хорошего качества зерна продовольственного
назначения на протяжении всего срока его хранения.
Сухое зерно можно хранить при
большой высоте насыпи, что обеспечивает высокую эффективность использования
хранилища. При этом создаются благоприятные условия для сохранения качества
зерна, поскольку его температура и влажность подвержены меньшим колебаниям, чем
в зерновой насыпи небольшой высоты.
Режим хранения в сухом
состоянии является наиболее приемлемым для долгосрочного хранения зерновых
масс. Систематическое наблюдение за состоянием партий сухого зерна, их
своевременное охлаждение и достаточная изоляция от окружающих внешних
воздействий (резких колебаний температуры наружного воздуха и его повышенной
влажности) позволяют хранить такое зерно с минимальными потерями в течение
нескольких лет.
Однако полную длительную
сохранность даже сухого зерна не всегда можно гарантировать. Причиной его порчи
может быть сильное развитие насекомых, вредителей хлебных запасов, способных
существовать и размножаться в зерне влажностью ниже критической. Поэтому лучшие
условия для хранения зерна и семян обеспечиваются тогда, когда оно не только
сухое, но и охлаждено до низких температур, исключающих активное развитие вредителей.
Портится сухая зерновая масса и при образовании капельно-жидкой влаги и
повышения влажности в каком-то участке насыпи вследствие перепадов температур и
явления термовлагопроводности.
Надежную сохранность сухого
зерна обеспечивает только постоянный контроль за его состоянием во время
хранения. Поэтому зерно размещают в хранилищах так, чтобы к каждой партии был
свободный доступ для проведения контроля. Для ликвидации возможных
неблагоприятных процессов в зерновой массе хранилище оборудуют установками для
активного вентилирования, средствами механизации для быстрой загрузки и
разгрузки зерна.
1.2 Режим хранения зерновых
масс в охлажденном состоянии
Режим хранения в охлажденном
состоянии основан на чувствительности всех живых компонентов зерновой массы к
пониженным температурам. Жизнедеятельность семян основной культуры, семян
сорных растений, микроорганизмов, насекомых и клещей при пониженных
температурах резко снижается или приостанавливается совсем. Своевременным и
умелым охлаждением зерновой массы различного состояния достигают ее полного
консервирования на весь период хранения. Основан этот режим на принципе
термоанабиоза.
Хранение в охлажденном
состоянии является одним из эффективных средств, обеспечивающих сокращение
потерь зерна. Даже при хранении сухого зерна его охлаждение дает заметный
дополнительный эффект и увеличивает степень консервирования сухой зерновой
массы.
Особое значение приобретает
временное хранение в охлажденном состоянии партий сырого и влажного зерна,
которые не представляется возможным высушить в короткое время. Для таких партий
охлаждение является основным и почти единственным методом сохранения их от
порчи.
В практике послеуборочной
обработки зерновых масс по мере возможности стремятся охладить все партии
зерна, даже сухого. С наступлением холодной погоды хранящееся зерно должно быть
охлаждено независимо от предполагаемых сроков его хранения. Необходимо
охлаждать и партии зерна, предназначаемые для перевозок. Это в значительной
степени обеспечивает сохранение их качества на время пребывания в пути.
Исключительно важно
своевременное охлаждение семенных, продовольственных и кормовых фондов зерна в
сельскохозяйственных предприятиях. Дело в том, что в период уборки урожая зерно
с поля от комбайнов поступает на ток, имея температуру около 30 °С, то есть
наиболее оптимальную для энергичной деятельности всех живых компонентов
зерновой массы. В случае появления влаги они начинают энергично функционировать
и могут в короткий срок привести зерно в испорченное состояние. Значительные
потери в массе и качестве зерна в отдельных хозяйствах очень часто являются
следствием невнимания к охлаждению.
Охлажденными считаются только
партии зерна, имеющие в насыпи температуру не более 10 °С. При этом зерновые
массы с температурой во всех слоях насыпи от 0 до 10 °С считают охлажденными в
первой степени, а с температурой ниже 0 °С - во второй степени.
Избыточное охлаждение зерновых
масс часто приводит к отрицательным результатам. Как правило, при значительном
охлаждении (до -20 °С и более) создаются условия для очень большого перепада
температур в весенний период, что обычно и приводит к повышению влажности
зерна, к развитию процесса самосогревания в верхнем слое насыпи. Избыточное
охлаждение может быть вредным и для партий посевного материала, так как при
наличии свободной воды в семенах возможна потеря ими всхожести уже при
температурах минус 20 °С и ниже.
Способы охлаждения зерновых
масс. Способы охлаждения атмосферным воздухом можно разделить на две группы:
пассивные и активные.
При пассивном охлаждении
зерновую массу не перемещают и не нагнетают в нее воздух. При этом способе
температуру зерновых масс снижают, проветривая зернохранилища, открывая двери и
окна, устраивая приточно-вытяжную вентиляцию. Такое пассивное охлаждение
применяют для всех хранящихся партий зерна во всех случаях, когда температура
воздуха ниже температуры зерновой массы. В летне-осенний период его проводят в
ночные часы, а с наступлением устойчивой холодной и сухой погоды -
круглосуточно.
Наилучшие результаты при
пассивном охлаждении наблюдаются в партиях зерна сухого и средней сухости. В
зерновой массе с высокой влажностью и значительной положительной температурой
(20 °С и более) при высоте насыпи более 1 м охлаждение всех ее слоев не
происходит и угроза самосогревания не исчезает.
Несмотря на недостатки метода
пассивного охлаждения, он всегда приносит значительную пользу, не требуя при
этом расхода механической энергии и больших затрат труда. Кроме того,
охлаждение пола, стен хранилища является мероприятием, ограничивающим развитие
вредителей-насекомых.
При активном охлаждении зерно
пропускают через зерноочистительные машины, конвейеры и нории. Зерновые массы
охлаждают также с помощью стационарных или передвижных установок для активного
вентилирования.
В связи с невысокой
технологической эффективностью и большой трудоемкостью перелопачивание нельзя
рекомендовать как средство охлаждения зерновой массы. Его применяют лишь при
воздушно-солнечной сушке зерна.
Перемещение зерновых масс при
помощи последовательно установленных конвейеров или через зерноочистительные
машины, снабженные аспирационными установками, дает хороший технологический
эффект. При этом, чем длиннее путь движения зерна, тем больше оно соприкасается
с окружающим воздухом и быстрее охлаждается. Наибольший эффект достигается при
пропуске зерна через зерноочистительные машины, снабженные вентиляторами
(сепараторы, аспирационные колонки).
Наиболее прогрессивным методом
охлаждения является активное вентилирование. При активном охлаждении результаты
его выявляют определением температуры и влажности зерновой массы до и после
проведения работ. Одновременно проверяют партию зерна на зараженность
вредителями хлебных запасов.
Обязательным условием
охлаждения зерновой массы является проведение его без увеличения влажности
последней. Зерно не должно быть подмочено атмосферными осадками, не должна быть
также увеличена его влажность в результате сорбции паров воды из воздуха.
Поэтому активное охлаждение любой партии зерна необходимо проводить с учетом ее
фактической и равновесной влажности, температуры и влажности воздуха.
Исключение составляют зерновые
массы в состоянии самосогревания. Охлаждение их возможно и даже необходимо при
любой влажности воздуха, так как даже холодный, насыщенный водяными парами
воздух при соприкосновении с нагревшейся зерновой массой заметно повышает свою
температуру и увеличивает влагоемкость, тем самым способствуя охлаждению зерна
и снижению его влажности.
В процессе охлаждения отдельных
партий зерна наблюдается снижение их влажности. В партиях сырого зерна при
контакте их с холодным сухим воздухом и особенно с температурой ниже 0 °С
потеря зерном влаги может достигать нескольких процентов.
С наступлением весеннего
потепления во всех зернохранилищах принимаются меры, обеспечивающие сохранение
в зерновой массе зимних низких температур на возможно длительный период. В
складах, где зерновая масса более доступна воздействию воздуха, с первым
потеплением закрывают окна, двери, вентиляционные приспособления. Переходить на
летние режимы хранения нужно постепенно, так как в противном случае возможны
конденсация водяных паров в верхних слоях насыпи, увлажнение зерна, что может
привести к его самосогреванию.
Наступление тепла особенно
опасно для охлажденных партий влажного или сырого зерна. Если такие зерновые
массы невозможно просушить, то сохранить их можно, только поддерживая низкие
температуры.
В связи с важностью проведения
работ по своевременному охлаждению всех партий зерна на каждом предприятии
обязательно составляют план мероприятий по переводу зерна на зимнее хранение. В
этом плане определяют очередность обработки партий в зависимости от их
состояния, намечаемых сроков хранения и целевого назначения. План составляют с
учетом максимального использования всех технических средств, которыми
располагает хозяйство.
.3 Режим хранения зерновых масс
без доступа воздуха
Потребность подавляющей части
живых компонентов зерновой массы в кислороде позволяет консервировать ее путем
изоляции от атмосферного воздуха или в специальной среде, не содержащей
кислорода. Основан режим хранения зерновых масс без доступа воздуха (в
герметических условиях) на принципе аноксианабиоза.
Отсутствие кислорода в
межзерновых пространствах и над зерновой массой значительно сокращает
интенсивность ее дыхания. Зерна основной культуры и семена сорных растений
переходят на анаэробное дыхание и постепенно, по мере снижения содержания
кислорода в воздухе межзерновых пространств, понижают свою жизнеспособность.
Почти полностью прекращается жизнедеятельность микроорганизмов, так как
подавляющая масса их состоит из аэробов. Исключается возможность развития
клещей и насекомых, также нуждающихся в кислороде.
При содержании зерновой массы
влажностью в пределах до критической в условиях бескислородной среды хорошо
сохраняются ее мукомольные и хлебопекарные качества, пищевая и кормовая
ценность. При влажности от критической и выше хранение зерновых масс без доступа
воздуха также дает положительные результаты. Однако в этом случае наблюдается
некоторое понижение качества зерна (потеря блеска, потемнение, образование
спиртового и кислотного запахов, рост кислотного числа жира) при сохранении
хлебопекарных и кормовых свойств.
Большие отрицательные
воздействия на состояние зерновой массы при недостатке или отсутствии кислорода
в воздухе межзерновых пространств проявляются в условиях очень высокой ее
влажности. Так, при влажности более 20 % активно развиваются дрожжи, при 35 %
наблюдается молочнокислое и спиртовое брожение, которое приводит к снижению
потребительской стоимости зерна или даже к его порче.
Совершенно исключается
возможность хранения без доступа воздуха всех партий зерна, которые
предназначены для сева, так как при этом режиме (в зависимости от влажности и
срока хранения) неизбежна частичная или полная потеря всхожести. Однако следует
иметь в виду, что при очень низкой влажности семян, которая практически не
встречается, их можно хранить в герметических условиях.
Создание бескислородных условий
при хранении зерновых масс достигается обычно одним из трех путей:
) естественным накоплением
диоксида углерода при снижении содержания кислорода в зерновой массе в
результате дыхания всех живых компонентов, отчего и происходит ее
самоконсервирование;
) созданием в зерновой массе
вакуума;
) введением в зерновую массу
газов, вытесняющих воздух из межзерновых пространств.
Первый путь более доступный и
дешевый, наиболее распространен в практике хранения. Его недостаток состоит в
том, что для полного консервирования зерновой массы требуется то или иное
время, в течение которого имеющийся в замкнутом пространстве хранилища кислород
будет использован семенами, микроорганизмами и вредителями. В связи с этим,
возможно некоторое изменение качества зерна. Так, в зерновых массах повышенной
влажности до наступления полного консервирования развиваются микроорганизмы, а
в партиях сухого зерна - различные вредители-насекомые. Однако, вполне возможно
и целесообразно самоконсервирование для кормовых целей зерновой массы кукурузы
и сорго с высокой влажностью.
При самоконсервировании для
наиболее быстрого наступления бескислородного состояния очень важно иметь
минимальный запас воздуха в хранилище. Последнее достигается его полной
загрузкой, при которой полностью или почти полностью отсутствует надзерновое
пространство.
Способ создания бескислородных
условий в хранилищах путем вакуума широкого распространения не получил в связи
с повышенными требованиями к герметичности хранилищ и его экономической
неэффективностью, хотя известны хранилища из синтетических мягких материалов
(типа пленок), опирающихся при их заполнении зерновой массой на металлический
каркас. После заполнения таких хранилищ воздух из них откачивают вакуумным
насосом.
В настоящее время все большее
распространение получает консервирование зерновых масс введением в них тех или
иных газов. Приемлемым для этих целей является диоксид углерода. Его вводят в
газообразном состоянии или используя сухой лед. Раздробленные на кусочки брикеты
сухого льда помещают в зерновую массу в процессе загрузки хранилища,
обеспечивая большее количество брикетов в верхних слоях насыпи. Диоксид
углерода, как более тяжелый, быстро вытесняет воздух из межзерновых
пространств. Применение диоксида углерода в виде брикетов льда сопровождается и
охлаждением зерновой массы, что также способствует ее консервированию. Однако
лед впоследствии тает, в результате чего повышается влажность зерна.
Перспективным приемом
консервирования зерновых масс является введение в них смеси газов, образуемых в
результате сжигания сжиженного газа в генераторах. Образующаяся при этом и
предварительно охлажденная газовая среда (86-88 % азота, 11-13 % диоксида
углерода, 0,5-1 % кислорода) вводится в зерновые массы, помещенные в герметичные
хранилища. Однако это довольно дорогостоящий способ создания бескислородной
среды.
Необходимым условием для
успешного хранения зерновых масс без доступа воздуха является наличие
герметичных зернохранилищ. В случае недостаточной их герметичности к зерновой массе
и в ее межзерновые пространства легко проникает воздух атмосферы, и создаются
условия для дыхания всех ее компонентов. В связи с этим, для такого режима
непригодны склады и даже обычные железобетонные силосные элеваторы. Для
хранения зерна в герметических условиях используют металлические силосы, в
которые периодически нагнетают газ, для поддержания давления несколько выше
атмосферного.
Хранение без доступа воздуха -
это почти единственный способ, обеспечивающий сохранность зерна с повышенной
влажностью, исключающий необходимость применения тепловой сушки в
зерносушилках. Хранить без доступа воздуха рекомендуется и кормовое зерно с
нормальной влажностью. Это целесообразно в южной зоне, где запасы зерна
особенно подвержены заражению вредителями хлебных запасов.
2. ТЕХНОЛОГИЯ ПОСЛЕУБОРОЧНОЙ ОБРАБОТКИ ЗЕРНА
(СЕМЯН) В ХОЗЯЙСТВЕ
Послеуборочная обработка зерна - комплекс
технологических операций, выполняемых в послеуборочный период с целью повышения
стойкости зерновой массы и качества.
Технология послеуборочной обработки зерна
(семян) зависит от его вида и назначения, а также от начальной влажности,
засорённости и состава сорняков. Послеуборочная обработка зерна состоит из
следующих этапов:
) предварительная очистка зерновой массы;
) сушка (при необходимости активное
вентилирование свежеубранного зерна);
) первичная очистка;
) вторичная очистка;
2.1 Предварительная очистка
Предварительная очистка зерна
является вспомогательной операцией, цель которой - увеличить сыпучесть зерновой
массы и выделить из неё тяжёлые и мелкие фракции примесей. Предварительная
очистка снижает количество сорной примеси примерно на 50% и снижает влажность
зернового вороха, что приводит к увеличению сохранности зерна до выполнения
последующих операций обработки.
Требования к операции.
Предварительной очистке подвергается продовольственное зерно после уборки.
Желательно, чтобы разрыва между операциями не было. Например, при влажности 25%
и температуре 25°С зерновой ворох должен пройти предварительную очистку не
позднее чем через сутки. С увеличением влажности и температуры допустимый срок
временного хранения сокращается. Зерновой ворох при проведении предварительной
очистки необходимо разделить на две фракции: сорные примеси, составляющие 50%
всех посторонних примесей, и обработанное зерно с оставшимися мелкими
трудноотделимыми примесями, масса которых не должна превышать 0,2% общей массы
переработанного материала. Не допускается наличие примесей длиной более 50 мм,
а всех посторонних включений должно быть не более 5%. Поступление полноценного
зерна в отходы не должно превышать 0,05% общей массы зерна основной культуры.
Оборудование, применяемое для
предварительной очистки зернового вороха.
Для предварительной очистки
используются самопередвижные и стационарные ворохоочистители. К самопередвижным
относятся такие ворохоочистители, как ОВП-20 и ОВС-25. К стационарным
ворохоочистителям относят МПО-50, ЗД-10.
Выберем для нашего случая самопередвижной
ворохоочиститель ОВС-25. Очиститель ОВС-25 относится к машинам
воздушно-решетного типа, предназначен для предварительной очистки вороха
зерновых, зернобобовых, крупяных, масличных и технических культур от легких,
крупных и мелких примесей на зернотоках и в закрытых помещениях.
Основные преимущества ОВС-25 в
сравнении с другими зерноочистительными машинами:
ОВС-25 является самоходной, а
не стационарной зерноочистительной машиной и не требует дополнительных расходов
по введению ее в эксплуатацию.
ОВС-25 является мобильной
зерноочистительной машиной и может легко быть перевезена на другой ток, зерносклад
или же вообще в другое хозяйство. Большая производительность - 25 т/ч.
Высокое качество очистки за
счет использования не только регулируемого воздушного потока, но и очистки
зерна в ОВС-25 также еще решетами и щетками.
Минимальные расходы электроэнергии
на очистку зерна в ОВС-25 - 0,38 кВт/час на 1 т.
Использование ОВС-25 позволяет
во время очистки зерна производить также его сушку.
ОВС-25 в отличие от других
зерноочистительных машин может самостоятельно без помощи погрузчиков, норий и
т. п. производить загрузку зерна в кузов автомашины или прицеп.
В процессе эксплуатации ОВС-25
не требует дорогостоящего сервисного обслуживания.
Зерноочистительные машины
ОВС-25 являются исключительно надежными зерноочистительными машинами, но даже в
случае поломки запчасти к ОВС-25 можно приобрести по выгодной цене.
Машина состоит из следующих рабочих органов:
загрузочного транспортера, приемной камеры с воздушной частью, двух решетных
станов, отгрузочного транспортера, механизмов привода и самопередвижения,
автоматического устройства загрузки машины. Механизм самопередвижения позволяет
машине перемещаться на току при работе и переезжать от вороха к вороху.
Рис.1 - Технологическая схема самопередвижного
очистителя вороха ОВС-25:
- загрузочный транспортер; 2 - приемная камера;
3 - воздуховод; 4 - регулировочная заслонка; 5 - вентилятор; 6 - осадочная
камера; 7 - пылеуловитель; 8 - пневмотранспортер; 9 - шнек; 10 - колесо; 11 -
рама; 12 - решетные станы; 13, 14 - пневмосепарирующие каналы; 15 -
распределительный шнек питающего устройства; 16 - отгрузочный транспортер.
Технологический процесс: при
следовании машины вдоль бурта скребковый транспортер забирает зерновой ворох и
транспортирует его к распределительному шнеку приемной камеры. На выходе из
камеры ворох делится делителем на две равные части, которые входят в воздушные
каналы. В каналах воздушный поток отделяет от зерна легкие примеси и уносит их
из машины пневмотранспортом. Примеси несколько тяжелее осаждаются в отстойной
камере. Затем, обе части зерна, очищенные от легких примесей, по отдельным
каналам направляются на верхний и нижний решетные станы. Процесс очистки зерна
на этих станах идет равноценно и сводится к следующему.
Зерно, освобожденное от легких
примесей, попадает на решето, где разделяется примерно пополам. Мелкие примеси,
и мелкое зерно проходят через отверстия этого решета, а оставшаяся часть зерна
и крупные примеси попадают на второе решето. Зерно, прошедшее через решето,
поступает на следующее решето, а затем на нижнее решето.
Сквозь отверстия верхних решет
проходят тяжелые мелкие примеси, семена сорняков, дробленое и щуплое зерно.
Зерно, прошедшее через
отверстия верхнего решета, попадает на скатную доску и по ней скатывается в
приемник, где находится зерно, сошедшее с нижнего решета. Очищенное зерно из
этого приемника, поступает на отгрузочный транспортер, а затем в кузов
транспортного средства. Отходы, отделенные от зерна решетами, а также примеси
из отстойной камеры, поступают в шнек фуражных отходов.
.2 Первичная очистка
Первичная очистка - это одна из
основных операций послеуборочной обработки семян, цель которой является -
довести зерно по чистоте до требований стандарта.
Требования к операции. Зерновой
ворох, поступающий на первичную очистку, должен иметь влажность не выше 18%, а
посторонних примесей не более 5%. После прохождения через машины первичной
очистки зерновой ворох разделяется на три фракции: очищенное зерно, фуражные
отходы и примеси. При этом допускается наличие полноценных зёрен в фуражных отходах
не более 1,5%, а в примесях - 0,05% массы полноценного зерна. Очищенное зерно
должно отвечать требованиям базисных кондиций на продовольственное зерно, кроме
тех случаев, когда необходима доочистка на специальных машинах из-за наличия
трудноотделимых примесей.
Оборудование, применяемое для
первичной очистки зернового вороха.
Наиболее распространёнными
машинами для первичной очистки зернового вороха являются зерноочистительные
машины ЗВС-20, ЗВС-20А, ОЗС-50 и др.
Выберем для нашей технологии зерноочистительную
машину ЗВС-20А. Машина первичной очистки зерна ЗВС -20А предназначена для
очистки вороха зерновых, бобовых, крупяных и масличных культур с доведением их
до продовольственных кондиций. Ее применяют в составе зерноочистительных
агрегатов и зерноочистительно-сушильных комплексов. Очистка зернового вороха в
этой машине осуществляется воздушным потоком и решётами. Машина выделяет из
зернового материала мелкие и сорные примеси.
Основные рабочие органы:
воздушная часть с приёмной камерой, осадочной камерой и вентилятором; решётная
часть с механизмом очистки решёт, сварная рама и приводные механизмы,
передающие движение рабочим органам.
Рис. 2 - Схема зерноочистителя ЗВС -20А:
- клапаны; 2 - вентилятор; 3 - заслонка; 4 -
осадочная камера;
, 9 - аспирационные каналы; 6 - приемная камера;
7 - загрузочные окна;
Технологический процесс:
зерновой материал, подлежащий очистке, поступает в приёмную часть питающего
устройства, оттуда шнеком распределяется по ширине воздушной камеры, где из
общей массы выделяются лёгкие примеси. Щуплые зёрна основной культуры, которые
поднимаются воздушным потоком и осаждаются в отстойной камере, через приёмник
лёгких примесей выводятся наружу. После воздушной очистки зерновой материал,
распределённый на две равные части, поступает на верхний и нижний решётные
станы, которые работают параллельно. Все фракции, кроме подсева, лотками
выводятся в приёмники семян, размещённые сзади каждого стана. Подсев выводится
специальными течками в сторону.
2.3 Вторичная очистка зернового
вороха
Вторичная очистка или сортировка применяется
после проведения первичной очистки при подготовке семенного материала, или в
случае необходимости выделения трудноотделимых примесей из партии
продовольственного зерна. Сортировка отличается от всех видов очистки тем, что
при ее проведении из зерновой массы помимо примесей выделяется зерно II сорта,
неполноценное в семенном отношении.
Требования к операции. К операции предъявляются
следующие требования: количество полноценных семян, попадающих во все виды
отходов не должно превышать 1%, в зерно II сорта и при триеровании - не более
3% в каждом случае. Общее дробление семян допускается в пределах 1%. Влажность
и содержание сорной примеси в зерне, поступающем на обработку, должны быть
менее 18% и 3% соответственно
Оборудование, применяемое для
вторичной очистки зернового вороха.
Для проведения этой операции
используются воздушно-решетные машины типа СВУ с паспортной производительностью
5 т/ч, триерные блоки ЗТК-5 и ЗТО-5, пневмосортировальные столы ПСС-5, горки и
т.п.
Более подробно рассмотрим
установку СВУ-5Б.
Семяочистительная воздушно-решетная машина
СВУ-5Б пред- назначена для вторичной очистки и сортирования семян зерновых,
зернобобовых, крупяных и других культур. Машина стационарная и устанавливается
в семяочистительных линиях.
Основные рабочие органы: приемная камера,
воздушно-очистительная часть и два решетных стана.
Рис. 3 - Технологическая схема работы машины СВУ
-5 Б:
,13 - первый и второй каналы аспирации; 2 -
клапан; 3 - питающий валик; 4 - бункер; 5 - загрузочная горловина; 6,11 -
отражательные перегородки; 7 - осадочная камера; 8 - выходной патрубок; 9, 12,
19 - заслонки; 10 - вентилятор; 14 - выход второго сорта; 15 - выход мелкой
примеси; 16 - скатная доска; 17 - выход крупных примесей; 18 - шнек.
Технологический процесс: Подлежащий очистке
материал загрузочным устройством подается в приемный бункер откуда питающим
валиком направляется в канал первой аспирации. В аспирационном канале из общей
массы выбираются легкие примеси, щуплые, легкие семена основной культуры,
которые поднимаются воздушным потоком в осадочную камеру и выводятся из нее
шнеком. Пыль и наиболее легкие примеси уносятся через всасывающий патрубок и далее
через вентилятор в циклон для дальнейшей очистки. Из циклона осажденные в нем
примеси по трубопроводам направляются в соответствующие емкости
семяочистительной линии (агрегата). Вентилятор с циклоном могут устанавливаться
вне помещения (за стеной поточной линии). Это улучшает параметры среды в
помещении: уменьшает уровень шума и концентрацию пыли
2.4 Сушка
Сушка зерна - наиболее
ответственный этап послеуборочной обработки. Нарушения процесса сушки могут
привести к потерям семенных, технологических и семенных свойств. Сушка
зернового материала - наиболее затратная операция.
Требования к операции. Сушку в
специальных сушилках проводят в том случае, если материал не был доведён до
кондиционной влажности вентилированием при временном хранении (если оно имело
место). Предельную температуру теплоносителя при сушке выбирают в зависимости
от начальной влажности зерна, вида культуры, целевого назначения. Зерно
влажностью до 20% включительно сушат за один пропуск через сушилку. При
влажности выше 20% необходимы два пропуска и более. Для семян высокой влажности
необходимо применять ступенчатые режимы сушки. Впервые пропуски семян
температуру теплоносителя понижают. По мере уменьшения влажности семян и
повышения их устойчивости к нагреву температуру теплоносителя увеличивают.
Более выгодно подавать на сушку зерно одинаковой первоначальной влажности,
предварительно подготовленное в бункерах активного вентилирования. В различных
видах сушилок за один пропуск должен происходить съём влаги в размере 5-10%.
Сушку зерна проводят
круглосуточно, а если возникает необходимость перерыва, то после выключения
топочного устройства зерно вентилируют до его охлаждения. Полное использование
технических возможностей машин предусматривает поддержание стабильной
температуры теплоносителя и семян на предельно возможных значениях в данных
условиях и максимальном расходе теплоносителя (но без нарушений качественных
показателей); непрерывную работу контрольно-измерительной аппаратуры,
обеспечивающей автоматизацию процесса сушки; полное сгорание топлива,
достигаемое правильной регулировкой системы питания и подачи воздуха.
Травмирование зерна механизмами
машин при сушке не должно превышать 0,25%.
Оборудование, применяемое для
сушки зерна и семян.
На европейской части России
наиболее распространены камерные, шахтные и барабанные сушилки. Используются и
рециркуляционные сушилки.
Рассмотрим основные особенности
зерносушилок.
Шахтные сушилки состоят из двух
шахт, которые имеют равную вместимость и вертикальную норию. Обычно их
монтируют на постоянном фундаменте. Принцип действия: зерно под действием
собственного веса проходит через сушилку. Подача горячего воздуха
осуществляется снизу вверх. После сушки зерно подаётся в специальные
охлаждающие камеры. Шахтные сушилки рассчитаны на партии в 8 и 16 тонн зерна.
Для продовольственного и семенного зерна режимы сушки различны. Так при сушке
продовольственного зерна за один цикл удаляется 5-6% влаги и производительность
составляет 8-16 тонн/час, в то время как у семенного зерна удаляется 3-4% влаги
при производительности 4-8 тонн/час. Для сушки зерна в шахтных сушилках
необходима предварительная очистка от соломы и шелухи для предотвращения
возгорания.://www.prosushka.ru/uploads/posts/2009-10/1255456844_rrsrrrrrsr-sssryorryeryo.jpgБарабанные
сушилки по производительности и удалению влаги за один цикл (5-6%
продовольственное зерно и 3-4% семенное) не уступают шахтным. Основные
конструктивные элементы сушилки: топка, барабан, камера охлаждения. Ось
барабана оснащена металлическими пластинами. Они заставляют зерно двигаться по
горизонтальной спирали. Барабанные сушилки отличаются компактностью. Благодаря
этому они легко транспортируются. Но, не смотря на это, чаще всего они
применяются в качестве стационарных.
Камерные сушилки занимают
значительную площадь. Подача зерна осуществляется механическим способом. У
сушилок данного типа имеется воздуховод. Они состоят из двух камер с
перфорированным полом. Зерно насыпается слоем, не превышающим 80 см. В
противном случае зерно может плохо просушиться. Процесс сушки заключается в
продувании зерна воздухом, который может быть немного подогрет. В сушилку
загружается первый слой, затем после его высыхания второй. И так далее. До
полного заполнения силоса зерном. Для наполнения силоса зерном и удаления слоя
равной толщины существует специальное оборудование. Для равномерного удаления
влаги в сушилке имеются встроенные шнеки для перемешивания зерна в процессе
сушки. Влага удаляется за одну загрузку до сухого состояния зерна.
Рециркуляционные сушилки. Рециркуляционные
сушилки напоминают шахтные, однако зерно, поступая сверху в шахту, нагревается
в течение нескольких секунд и под давлением собственного веса проходит вниз
шахты, где одна часть зерна идет на хранение, а вторая часть поступает в другую
шахту. Во второй шахте горячее сухое зерно смешивается с сырым. Благодаря этому
сырое зерно немного подсушивается, и затем эта партия снова поступает в первую
шахту и вновь сушится. Смешивание сухого и влажного зерна выгодно с
экономической точки зрения, так как затраты на топливо будут меньше. Данные
сушилки используются обычно для зерна продовольственного назначения, обладают
высокой производительностью - до 70 тонн в час.
Итак, выберем для нашей
культуры шахтную сушилку СЗШ-16.
Основные рабочие органы: сушилка состоит из
топки, работающей на жидком топливе, двух параллельно расположенных сушильных
шахт с выпускными устройствами (коробами), двух выносных охладительных колонок,
вентиляторов, воздуховодов, диффузоров, норий и зернопроводов.
Рис. 4 - Технологическая схема работы
зерносушилки СЗШ 16:
а - со стороны вентилятора; б - со стороны
топки;
- топочный блок; 2,13 - патрубки; 3,4 -
диффузоры; 5 - сушильный бункер; 6,7 - нории;
- влагомер; 9 - охладительная колонка; 10 -
течки; 11 - станина охладительных колонок; 12 - бункер; 14 - пол; 15 - обшивка;
16 - лестница; 17 - выхлопная труба; 18 - камеры сушилки; 19 - переходник; 20 -
вентилятор; 21 - станина корпуса сушилки.
Технологический процесс: СЗШ-16
имеет две шахты, расположенные на общей станине на расстоянии 1 м. Каждая шахта
состоит из двух секций, в которых установлены четырёхгранные короба. Агент
сушки попадает из топки в пространство между шахтами, являющееся диффузором.
Охлаждение зерна производится в отдельно поставленных охладительных колонках. В
зависимости от начальной влажности и назначения партии шахты включаются в
технологическую схему последовательно или параллельно. При параллельной работе
исходная зерновая масса загружается в обе шахты, а при последовательной - в
одну. Подсушенное зерно в одной шахте поступает в охладительную колонку, а из
неё в другую шахту. Сушилка имеет топку металлической конструкции. Конструкция
выпускного аппарата обеспечивает непрерывный выпуск зерна малыми порциями и
периодически большими. Для контроля за уровнем зерна в шахте установлены
сигнализаторы. Выпуск зерна осуществляется непрерывно. В начале работы сушилки
выходит недосушенное зерно, которое вторично подаётся в шахту.
.5 Активное вентилирование
Активное вентилирование - это
процесс принудительного продувания неподвижной зерновой массы подогретым или
охлаждённым воздухом.
Активное вентилирование применяется для
временной консервации и сушки зерна и семян. Сущность его состоит в том, что
через насыпь зерна продувается воздух, который способствует испарению влаги и
уносит с собой скопившиеся в межзерновом пространстве водяные пары.
Помимо временной консервации активное
вентилирование можно применять для:
. охлаждения зерновой массы;
. охлаждения зерна после сушки;
. охлаждение сухого зерна с целью придания
дополнительной стойкости (снижение жизнедеятельности насекомых-вредителей
хлебных запасов, при невозможности дезинсекции);
. охлаждение с целью ликвидации очага
самосогревания;
. обеспечить режим хранения в охлажденном
состоянии;
. воздушно-тепловой обогрев семян после зимнего
хранения;
. ускорение послеуборочного дозревания;
. обновление газового состава воздуха в семенах;
. подсушивание зерна на 3 - 4%;
. предпосевной обогрев семян;
. дегазация зерновой массы после фумигации.
Требования к операции. Главное
требование при временном хранении зерна и семян - сохранение (или даже
улучшение) их товарных и посевных качеств. Это требование может быть соблюдено,
если исходная влажность зернового вороха не превышает 24%. При более высокой
влажности зерновой материал направляют на сушильные установки или пересыпают
один раз в двое суток. При использовании тепловентиляционного оборудования
разница между температурой зерна и воздуха не должна превышать 10°С. Не
допускается при этом повторное использование подогретого воздуха. Травмирование
зерна при прохождении через оборудование не более 0,2%. При хранении зерна
необходимо ежедневно замерять температуру зерна в основных точках ёмкости и при
нё повышении принимать меры по охлаждению материала. Круглосуточно можно
вентилировать семена, имеющие влажность свыше 21% при относительной влажности
воздуха не выше 95%. При более высокой влажности воздуха необходимо
периодическое вентилирование в течение 1-1,5 ч (интервал 4-6 ч). Если семенной
материал не прошёл периода послеуборочного дозревания, его не следует охлаждать
ниже 3-5°С, во избежание снижения посевных качеств. Вентилирование эффективно
тогда, когда разница между температурой зерна и воздуха не менее 7°С. Активное
вентилирование рекомендуется проводить только тогда, когда при этом не будет
происходить увлажнение зерна. Для охлаждения 1 тонны зернового материала до
температуры наружного воздуха рекомендуемый объём воздуха составляет 2000 м3.
При активном вентилировании зерна должна соблюдаться равномерность подачи
воздуха, то есть зерно рекомендуется выравнивать на установке.
Оборудование, применяемое для
активного вентилирования зерна и семян.
На сегодняшний день широкое
распространение получили следующие виды установок активного вентилирования:
стационарные (СВУ-1, СВУ-2, СВУ-3, СВУ-63), напольно-переносные (со сплошным
щитовым настилом, двухрядные, с распределительными коробами), телескопические
(ТВУ-2), трубные вертикальные (ПВУ-1), бункера активного вентилирования (К-878,
БВ-25, БВ-40), и аэрожелоба.
Стационарные установки - являются неотъемлемой
частью хранилища. Основа этих установок - каналы (воздуховоды), устроенные в
полу хранилища, стенки которых выложены кирпичом или сделаны из бетона. На
боковые стенки сверху каналов укладывают деревянные решетки, устроенные так,
что исключается просыпание зерна в каналы. Установка СВУ-1 состоит из секций,
каждая из которых состоит из каналов-воздуховодов, расположенных поперек склада
на всю его ширину (19 м). С противоположной стороны каналы каждой секции
сведены в один общий патрубок (диффузор), который выходит через стену за
пределы склада и соединяется с вентилятором. На всем протяжении канал имеет
постоянную ширину 400 мм и переменную глубину - 500 мм в начале и 70 мм в конце
(для поддержания напора воздуха). Наличие уклона способствует более
равномерному распределению воздуха в зерновой насыпи.
Напольно-переносные установки. Используют для
активного вентилирования зерна в складах, не имеющих стационарных установок,
под навесами и на открытых площадках. Основой установок являются
каналы-воздуховоды в виде щитов и решеток, укладываемых на пол и при помощи
диффузора и патрубков соединяемые с передвижным вентиляционным агрегатом
Магистральный канал состоит из глухих и проходных щитов. Проходные щиты имеют в
боковых стенках вырезы для монтирования воздухораспределительных каналов.
Недостатки напольно-переносных установок: быстро изнашиваются, требуют
тщательной подгонки и ручной труд.
Передвижные трубные установки. Основной частью
установок этого типа являются погруженные в зерновую массу трубы, через которые
нагнетают или отсасывают воздух. На каждую трубу в установке ПВУ-1 надевают
отдельный вентилятор с электродвигателем. Каждая труба рассматриваемой
установки состоит из трех частей: нижней, верхней и соединяющей их переходной
муфты. Наружный диаметр труб 102 мм, толщина стенки 1,5-2 мм. Нижняя часть
трубы сведена на конус (для удобства погружения) и на высоте 0,6-1,2 м имеет
сетку с отверстиями диаметром 2 мм. Длина трубы 3,6 м, масса около 20 кг. Успех
применения этих установок зависит от схемы расположения труб и расстояния между
ними в зерновой массе, ее состояния и высоты насыпи. Передвижные установки
могут использовать для ликвидации самосогревания зерновых масс в бунтах или на
площадках, при хранении семян в закромах вместимостью 5-10 т, в складах, не
оборудованных стационарными установками. Преимущества данных установок - можно
вентилировать в закромах. Недостатки: используется не атмосферный, а
внутрискладской воздух (при обработке больших масс зерна создаётся «свой климат»
снижающий технологическую эффективность - повышается температура и влажность
воздуха), энергоёмкий, необходимо много ручного труда.
Телескопические вентиляционные установки ТВУ-2.
Каждая из них состоит из пяти звеньев полых стальных труб с толщиной стенок 2,5
мм. В собранном для перемещения виде установка представляет собой трубу на
салазках (для удобства перемещения), в которой размещено еще четыре звена,
входящих одно в другое. Эти четыре звена трубы перфорированы отверстиями
диаметром 3 мм. Внутри звеньев проходит трос длиной 12 м, один конец которого
закреплен в пятом звене, а противоположный выведен за пределы первого и
оканчивается петлей. Перед эксплуатацией звенья вытягивают во всю длину (9,86
м) на площадке или полу склада, а затем засыпают зерновой массой, которую
необходимо вентилировать. К наружному концу (звену без отверстий) присоединяют
вентилятор с электродвигателем. По окончании вентилирования установку
вытягивают из насыпи за трос с помощью трактора или автомобиля и укладывают на
новом месте. Масса установки 295 кг. За один прием с помощью ТВУ-2 можно
обработать 100-150 т зерна. При необходимости обработки больших масс зерна
размещают несколько установок. Расстояние между трубами зависит от влажности
зерновой массы и высоты ее насыпи. Достоинства данных установок - возможность
извлечения из зерновой массы, а недостатки - есть вероятность механического
повреждения зерна при вытягивании установки.
Вентилируемые бункера являются наиболее
совершенными устройствами для быстрого охлаждения, а также для медленной сушки
зерна и семян различных культур, предназначены для накопления и временной
консервации зерна влажностью до 25 % с сохранением его посевных и
продовольственных качеств. Они занимают сравнительно мало места, обеспечивают
полную механизацию загрузки и выгрузки зерна, достаточно быстро монтируются.
Благодаря возможности работы при любой погоде, быстроте охлаждения, полной
механизации загрузки и выгрузки зерна, вентилируемые бункера пригодны для
использования их в сочетании с поточными зерноочистительно-сушильными линиями.
Преимущества бункеров - большая скорость охлаждения, можно в них сушить и
хранить зерно, все процессы механизированы, а недостатки - большая
энергоёмкость.
Аэрожелоба. Эти установки,
предназначенные для механизированной выгрузки зерна из складов, могут быть
использованы и для активного вентилирования. Аэрожелоб представляет собой
стационарную вентиляционную установку канального типа. Воздух в зерновую массу
поступает через распределительную решетку (чешуйчатое сито). Каждый аэрожелоб
состоит из переходного патрубка (диффузора), двухсекционного канала и выпускной
воронки. Каналы делают бетонированными, шириной 0,22 м и глубиной 0,5 м около
стен склада и 0,1 м у выпускной воронки. Соответственно суживаются и
установленные в канале предохранительная и воздухораспределяющая решетки.
Важнейшая деталь аэрожелоба - чешуйчатое сито, делящее канал на две части:
верхнюю - для транспортирования зерна; нижнюю - для направленного выхода
воздуха и вентилирования. Для облегчения транспортирования зерна чешуйчатое
сито устраивают с наклоном 3-6◦ по направлению воздушного
потока в канале. Оно должно иметь щели высотой 1,1 + 0,1 мм. Аэрожелоба хорошо
транспортируют зерновую массу влажностью до 15,5 %. Снижение сыпучести
последней отражается на ее способности к перемещению. С изменением влажности
меняют и предельную высоту насыпи зерновой массы. Преимущества аэрожелобов -
механизированная выгрузка зерна из склада, а недостатки - энергоемкие.
Рассмотрим более подробно
бункер активного вентилирования БВ-25.
Основные рабочие органы:
вертикальный цилиндр диаметром 3080 мм с конусообразным дном, цилиндрический
воздухораспределитель, конусный распределитель зерна для равномерной загрузки
зерном, воздухораспределительная труба имеет подвижный поршень, подвешенный на
трос с лебедкой, уровень зерна в бункере фиксируется грузиками и флажком,
воздух подогревается в электрокалорифере, установленном около всасывающего
отверстия вентилятора, подающего воздух в бункер. Для регулирования выпуска
зерна в нижней части бункера устроено регулировочное кольцо с изменяющейся
шириной кольцевой щели. Бункер оборудован двумя пробоотборниками, измерительным
преобразователем уровня зерна и тремя регуляторами влажности.
Рис. 5 - Технологическая схема работы
вентилируемого бункера БВ-25
1 - лебедка; 2 - корпус
бункера; 3 -пробоотборник; 4 - регулятор влажности; 5,7 - грузики; 6 - флажок
фиксатора; 8 - датчик уровня зерна; 9 - кронштейн с блоками; 10 -
цилиндрический поршень (клапан); 11 - конусный распределитель зерна; 12 -
воздухораспределитель; 13 - регулировочное кольцо; 14 - заслонка; 15
-вентилятор; 16 - электрокалорифер.
3. РАСЧЁТНАЯ ЧАСТЬ
Исходные данные:
Культура - озимая рожь.
Площадь возделывания - 600га.
Урожайность - 2,2т /га.
Целевое назначеие: продовольственное зерно.
Влажность - 19%;
Сорная примесь - 6%;
Зерновая примесь - 16%.
. Продолжительность уборки озимой ржи, сут.;
уб =
где S - убираемая площадь, га; Чк -
число комбайнов, шт; Пр - суточная производительность одного комбайна, га/сут.уб
=
=
6 сут.
. Суточное поступление зернового вороха на ток в
течение 1 сут, т:
исх=(Чк*Пр)*Ур,
где Чк - число комбайнов, шт; Пр -
суточная производительность одного комбайна, га/сут; Ур - урожайность культуры,
т/га.исх= 10*10*2,2 = 220 т/сут
. Эксплуатационная производительность
предварительной очистки, т/ч:
Пэ=Пп*Кэ*К1*К2,
где Пп - паспортная
производительность машины, т/ч; Кэ - коэффициент учитывающий
особенности культуры; К1 и К2 - коэффициенты, учитывающие
влажность и засоренность вороха.
Пэ=25*0,9*0,80*0,86=15,84 т/ч,
. Продолжительность предварительной очистки зернового
вороха, ч;
овс=
mисх / Пэ Кп,
где mисх - масса зернового вороха,
поступающего на ток в течение 1 суток, т; Пэ - эксплуатационная
производительность машины, т/ч; Кп - коэффициент использования
рабочего времени.овс=
=22,07
ч
Для ускорения процесса возьмем 3
ворохоочистителя ОВС-25, тогда овс = =
=
7,5ч
. Схема проведения послеуборочной обработки
зернового вороха озимой ржи.
зерно очистка сушка хранилище

6. Расчет убыли массы зерна после
предварительной очистки:
Уп = С/2 + 0,05 ,
где Уп - искомый процент убыли массы
зерна после предварительной очистки, %; С - количество сорной примеси, 0,05 -
допустимое количество полноценных зерен в отходе, %.
Уп = 6/2 + 0,05=3,05%
Х - масса убыли зерна т., Х=7,7т
Таким образом, после проведения предварительной
очистки, мы имеем
- 7,7 = 212,3 т
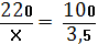
. Расчет фактической массы партии в пересчете на
плановую единицу сушки:
Мпл=Мф*Кв*Кк,
где Мпл - масса просушенного зерна в
плановых тоннах,
Мф - физическая масса сырого зерна,
поступившего на сушилку, т.
Кв, Кк - коэффициенты
перерасчета массы зерна в плановые единицы соответственно в зависимости от
влажности зерна до и после сушки культуры.
. Расчет времени работы шахтной зерносушилки
СЗШ-16
tСЗШ-16
=
,
где Пп - паспортная
производительность зерносушилки СЗШ-16
tСЗШ-16
=
Таким образом, надобность бункеров активного
вентилирования отпадает, так как сушилка будет успевать обрабатывать зерновой
материал менее, чем за сутки, значит, у нас нет необходимости временно хранить
зерно.
. Расчет массы зерна после сушки
М2 = М1 *
,
Где М1 - масса зерна до сушки,
W1,
W2
- соответственно влажность зерна до и после сушки, %.
М2 = 212,3 *
То есть при сушке теряется 212,3 - 197,7=14,6 т.
Значит на первичную очистку пойдет 197,7 т зерна.
. Первичная очистка
Расчет эксплуатационной производительности
машины первичной очистки ЗВС-20А
Пэ=Пп*Кэ*К1*К2
Пэ=20*0,9*0,80*0,98=14,11 т/ч
Время работы ЗВС-20А
tЗВС-20А=
Для ускорения возьмем две машины ЗВС-20А, тогда t=7ч.
. Убыль массы
Сорная примесь 10%
Зерновая примесь 8%
В отход 1,5%
Итого 10,5%
Х=20,8, 197,7 - 20,8=176,9т зерна мы имеем после
первичной очистки.
Исправления:
. Убыль массы зерна при сушке - 6,9%
Убыль массы зерна после предварительной очистки
- 3,05%
Убыль после первичной очистки - 32,9%
Ушло за все время - 42,85%
-942,7=1257,3т осталось зерна после всех
очисток.
м2 - необходимая емкость хранилища,
где 3 м - высота насыпи для озимой ржи, 0,66 - натура зерна.
4. ТИПЫ ЗЕРНОХРАНИЛИЩ
Основными типами зернохранилищ в
сельскохозяйственных предприятиях являются:
Одноэтажные склады с горизонтальными или
наклонными полами и хранилища силосного типа. Практика хранения показала, что в
большинстве случаев наилучшие технологические результаты и экономическую
эффективность получают при совместной эксплуатации этих типов хранилищ
(рис.5.1).
Рис. 5.1. Зернокомплекс для хранения зерна:
силосы и склад
По назначению выделяют универсальные хранилища,
предназначенные для одновременного хранения зерна любого целевого
использования, а также специализированные семенохранилища и хранилища для
товарного (продовольственного и фуражного) зерна.
Склады для хранения зерна.
Это одноэтажные помещения с горизонтальными или
наклонными полами, кирпичными, каменными или железобетонными стенами. Зерно в
таких складах хранят насыпью на полу или в закромах. Различные способы хранения
зерна, размеры хозяйств и набор культур определили появление большого числа
типов и размеров зернохранилищ.
Зерновые склады делятся на механизированные и
немеханизированные (рис. 5.2). Типовые склады имеют длину 60 м, ширину 20 м.
Емкость их 3200 т при полной загрузке зерна пшеницы.
Рис.5.2. Типы складов для зерна
а - немеханизированный; б - механизированный с
проходной галереей;
в - механизированный с непроходной галереей; г -
с наклонными полами;
- разгрузочный транспортер; 2 -
предохранительная колонка;
- верхний загрузочный транспортер; 4 - зерно
Немеханизированные склады. Строят только с
горизонтальными полами. Прием, перемещение и отпуск зерна в этих складах
осуществляют с применением передвижных и самоходных механизмов.
Механизированные склады. Строят как с
горизонтальными, так и с наклонными полами. Эти склады оборудуют верхними
(загрузочными) и нижними (разгрузочными) стационарными ленточными
транспортерами и нориями, установленными в торцах складов.
Верхний ленточный транспортер устанавливают по
оси склада на строительных фермах, а нижний - под перекрытием склада в
проходной или непроходной галерее. Склады с непроходными галереями строят
главным образом в районах с высоким уровнем грунтовых вод.
При применении непроходных галерей ленточный
транспортер, как правило, является опоясывающим, то есть одна ветвь ленты
(разгрузочная) проходит в нижней непроходной галерее, а вторая (загрузочная) -
по стропилам склада.
В отдельных случаях строят склады только с
верхним или только нижним транспортером. Такие склады считаются
механизированными частично.
Для более полного заполнения склада, особенно
вдоль продольных стен, на верхнем транспортере устанавливают сбрасывающую
тележку с зернобросателем, при помощи которого зерно, разгружаемое с
транспортера, отбрасывается к стенам. Высота насыпи зерна в складах с
горизонтальными полами, допускается: у стен 2-2,5 м, в середине склада 4-5 м.
Зерно из склада на нижний транспортер разгружают
через разгрузочные люки с бункерами, встроенными в перекрытие. Всего по длине
склада расположено 10 люков. Выход зерна в эти люки регулируется задвижками в
самотечной трубе над нижним транспортером. Задвижками в складах с непроходными
галереями управляют с площадки верхнего транспортера вертикальными штангами со
штурвалами.
Во избежание несчастных случаев по затягиванию
людей в зерновые воронки, образующиеся при выпуске зерна на нижний транспортер,
над каждым разгрузочным люком устанавливают специальные предохранительные
колонки.
В механизированных складах с горизонтальными
полами при выгрузке зерна на нижний транспортер самотеком можно выпустить
только 40-45 % всего хранящегося в складе зерна. Остальное зерно приходится
подавать к разгрузочным люкам вручную или при помощи самоходных погрузчиков,
что значительно уменьшает эффект механизации. В таких складах для полной
механизация разгрузки могут применять аэрожелоба, которые, кроме того,
используются как установка для активного вентилирования зерна.
В складах с горизонтальными полами можно
одновременно хранить несколько разных партий зерна. Для этого склад при помощи
разборных щитов делят на отсеки (закрома). Часть зерновых складов оснащают
стационарными или напольно-переносными установками для активного
вентилирования.
Лучшие результаты получают при хранении зерна и
семян в хранилищах закромного типа (рис. 3.7).
Рис. 5.3. Универсальное закромное хранилище
емкостью 800 т
Механизированные склады с наклонными полами
строят в районах с низким уровнем грунтовых вод. Заглубляют такие полы на 6-7
м. В этом случае проходная галерея с нижним транспортером размещается на
глубине более 8 м, а высота насыпи зерна по гребню достигает 10-11 м. Такие
склады вмещают значительно больше зерна, и, что самое важное, позволяют
полностью механизировать их разгрузку через нижние люки. Для этого угол наклона
пола должен быть не менее 36-40° (выше угла трения зерна). Учитывая особую
опасность затягивания людей в зерновую воронку при выпуске зерна, нахождение
людей в складах с наклонными полами во время их разгрузки категорически
запрещается.
В современных зерновых складах делают сплошные
полы из тугоплавкого асфальта. Такие полы достаточно прочны, долговечны,
надежно изолируют зерно от грунтовой влаги. При устройстве асфальтового пола
верхний слой почвы с дерном снимают на глубину 20 см. Взамен его насыпают грунт
из траншеи под фундамент здания. Поверх грунта настилают гравийную щебеночную
или шлаковую подушку толщиной 15-20 см, хорошо выравнивают и укатывают катком.
Подушку поливают жидким известковым раствором и укладывают 3,5-5-сантиметровый
слой тугоплавкого асфальта. Пол должен быть на 20-30 см выше нулевой отметки,
чтобы в склад не проникали ливневые воды. Трещины, образующиеся при
эксплуатации асфальтового пола, расчищают, заливают расплавленным битумом и
присыпают сверху песком.
Бетонный пол в складах применяют редко, он легко
растрескивается и не обеспечивает полной гидроизоляции. На бетонном полу
вследствие его повышенной теплопроводности также создаются условия для образования
конденсата влаги и развития неблагоприятных физиологических процессов:
прорастания и низового пластового самосогревания зерна.
Для устройства стен зернового склада используют
кирпич, камень и сборный железобетон. Стены должны выдерживать давление зерновой
насыпи при максимальной загрузке склада. С внутренней стороны стены делают
гладкими, без щелей. Толщина стен склада по высоте неодинакова. Так, кирпичная
стена имеет толщину в верхней части - 250 мм, в средней - 380 и в нижней - 523
мм. Для большей устойчивости стены дополняют специальными наружными выступами -
Контрфорсами.
Стены опираются на бутовый фундамент глубиной
800 мм. Между фундаментом и стеной укладывают гидроизоляционную прокладку из
двух слоев рубероида на битумной мастике. Вокруг здания устраивают отмостку
шириной 1 м и сточные канавки для отвода воды.
Лучшую сохранность зерна обеспечивают стены с
малой теплопроводностью и хорошей гигроскопичностью внутренней поверхности.
Такие стены хорошо защищают зерно от внешних колебаний температуры, а при
конденсации водяных паров в большей степени сами, а не зерно, поглощают эту
влагу. Крыша склада воспринимает значительное количество солнечной энергии,
поэтому она должна быть малотеплопроводной. Лучшим кровельным материалом
считаются асбоцементные листы (асбофанера плоская и волнистая), обладающие
малой теплопроводностью и высокой огнестойкостью. Недостатком этого материала
является малая устойчивость к ударам, что затрудняет очистку крыш от снега.
Широко распространены кровли из рубероида, прочность
и огнестойкость которого вполне удовлетворительны. При укладке по сплошному
деревянному настилу с толевой прокладкой такая кровля служит и хорошей тепловой
защитой. Кровлю из жести применяют редко из-за ее большой теплопроводности и
необходимости частой покраски.
Окна в зерноскладах размещают в верхней части
стен, выше зерновой насыпи. Они необходимы для минимального освещения склада и
для его вентиляции. Отношение высоты рамы к ее ширине обычно 1:2. Окна
открываются наружу нижним ребром, что препятствует проникновению в склад
атмосферных осадков. Нижний уровень находится на высоте 2,5 м, следовательно,
до этой отметки может доходить высота зерновой насыпи. В оконных проемах внутри
склада устанавливают дополнительные рамы, обтянутые металлической сеткой.
Ворота зернового склада делают створчатыми,
открывающимися наружу, либо раздвижными шириной, достаточной для въезда
автомашин. Дверные проемы дополнительно закрывают закладными досками, чтобы
полностью использовать объем склада.
Для рациональной эксплуатации одноэтажных
зерноскладов и удешевления стоимости хранения зерна вместимость их должна быть
использована максимально. Это достигается размещением зерновой массы предельно
допустимым по высоте насыпи слоем: для сухого зерна до 4-5 м при наличии установок
для активного вентилирования и 2-3,5 м в складах без активного вентилирования.
Одноэтажные зерносклады пригодны для хранения
зерновых масс любого состояния по влажности и засоренности, но в этом случае
высоту насыпи зерна уменьшают в 2-3 раза.
Силосы.
За последние годы в практике хранения зерна
получили распространение цилиндрические Силосы различной вместимости: от 25 т
(Бункера) до 10000 т (Бины) зерна. Их делают из стали, алюминия и различных
сплавов.
В качестве преимуществ таких хранилищ следует
отметить удобство их загрузки (самотеком, конвейерами), а также и выгрузки
(самотеком, скребковыми конвейерами, аэрожелобами и другими средствами
механизации). Такие силосы можно быстро построить, они дешевле и быстрее
окупаются, чем капитальные зерносклады. К несомненным достоинствам такого типа
хранилищ следует отнести малую потребность в площади. Так, на территории,
нужной для строительства склада на 5500 т, можно разместить три металлических
хранилища общей вместимостью 15000 т. Силосы надежно защищают зерновые массы от
грызунов, безопасны в пожарном отношении, они удобны и для проведения газовой
дезинсекции многими фумигантами, активного вентилирования.
Однако при всех этих достоинствах металлические
силосы имеют и свои недостатки. Так, при резких перепадах температур под
действием окружающего воздуха и солнечной радиации создаются температурные
градиенты, приводящие к явлению термовлагопроводности в зерновой массе и
образованию в ней конденсационной влаги в периферийных слоях толщиной до 10-15
см. Все это способствует активизации микробиологических процессов и, прежде
всего, развитию грибной флоры. Это обстоятельство побуждает загружать в
металлические силосы только зерновую массу, находящуюся в сухом состоянии.
Обязательным условием надежного хранения зерна является оборудование силосов
системой активного вентилирования.
Крупные бины, заполненные зерновой массой,
иногда внезапно выходят из строя в результате разрыва металла в различных
участках конструкции. Одна из причин - это более быстрое по сравнению с зерновой
массой сжатие металла при резком понижении температуры окружающего воздуха.
Большое значение имеет прочность фундаментов, на которых смонтированы силосы,
прочность швов при сварке металла, качество сборки конструкций, неравномерная
осадка зерновой массы внутри силоса в результате вибрации грунта в зоне
железных и автомобильных дорог.
Металлические силосы бывают двух видов: с
горизонтальным (рис. 5.4) и конусным (рис. 5.5) днищем.
Силосы с горизонтальным дном проще и быстрее
монтировать, однако они должны быть оборудованы разгрузочным транспортером и
разгрузочными люками для зерна. Преимущество в практике хранения имеют силосы с
конусным днищем, угол наклона которых должен быть не менее 45°. В них
обеспечивается полная выгрузка зерна самотеком. Такой силос в сборе
устанавливается на опорное металлическое основание, что позволяет резко
упростить и удешевить фундамент, достаточно соорудить простую бетонную площадку
под опорное основание.
Рис. 5.4. Силосы для зерна с горизонтальным
днищем
Рис.5.5. Силосы для зерна с конусным днищем
В полный комплект оборудования силоса с конусным
днищем входят воздухоотводы крышные и настенные, датчик верхнего предельного
уровня зерна, вентилятор с воздухоподводящим патрубком, аэроднище, лестницы
обслуживания, термоподвеска. Благодаря модульной компоновке многих конструкций
силосов из них можно построить хранилища любой вместимости и назначения.
5. РАЗМЕЩЕНИЕ ЗЕРНА В ХРАНИЛИЩАХ И НАБЛЮДЕНИЕ ЗА
НИМ
Важнейшим мероприятием, обеспечивающим успешное
хранение зерновых масс, как по качеству, так и по экономическим показателям,
является правильное размещение их в зернохранилищах.
Только соблюдая правила размещения, можно
организовать рациональное хранение зерновых масс, т.е. избежать их излишнего
перемещения, эффективно провести их обработку, хорошо использовать вместимость
всех хранилищ, предотвратить потери в качестве и до минимума сократить потери в
массе.
Все это способствует сокращению издержек при хранении
и наилучшему использованию партий зерна.
В основу принципов размещения зерновых масс в
зернохранилищах
положены: показатели качества каждой партии
зерна и связанные с этим
возможности использования ее по тому или иному
назначению, устойчивость каждой партии зерна при различных условиях хранения.
Исходя из перечисленных положений, зерно в
хранилищах размещают с учетом следующих признаков:
Ботанические признаки. Известно, что тип, подтип
и сорт характеризуют совокупность ботанических и хозяйственных признаков зерна,
в частности мукомольные и хлебопекарные его свойства, крупяные достоинства и
т.п.
Поэтому зерно различных типов и сортов не
смешивают и хранят раздельно до отгрузки его на экспорт. Зерно, которое может
быть использовано в качестве посевного материала, хранят раздельно не только по
сортам, но и в пределах сорта по репродукции, категориям сортовой чистоты и
классам. Для хранения сортового зерна выделяют лучшие склады.
Влажность зерновой массы. Решающее влияние,
которое оказывает влажность на интенсивность протекающих процессов, приводит к
необходимости раздельно хранить партии с различной влажностью, но однородные по
другим признакам. Так, отдельно размещают зерно сухое и средней сухости,
влажное и сырое до 22%. Если принимают зерно влажностью более 22%, то партии
зерна группируют с интервалами влажности в 6%. Влажное зерно размещают в
хранилищах, прилегающих к сушилкам, соблюдая условия просушивания зерна.
Количество и состав примесей в зерновой массе.
Отдельно размещают партии зерна, имеющие минеральную примесь в виде мелкой
гальки, партии, содержащие вредную примесь и т.п. Такие партии размещают в
складах, наиболее удобно связанных с зерноочистительными машинами.
Таблица 1: Зависимость высоты насыпи от
влажности зерна:
|
Влажность
зерновой массы
|
Высота
насыпи, м
|
|
Влажное
15,5-17%
|
не
более 2 м
|
|
Сырое
до 22%
|
не
более 1,5м
|
|
Сырое
свыше 22%
|
не
более2м
|
Зараженность зерновой массы насекомыми и
клещами. Зараженные партии зерна размещают отдельно, чтобы исключить
возможность заражения других хранилищ и партий зерна, в которых вредители не
обнаружены. Обычно для такого зерна выделяют один склад или группу складов,
находящихся по возможности изолированно от других и удобных для очистки и
обеззараживания зерна с применением газовых средств дезинфекции.
Целевое назначение зерна.