Проект розмельного відділення млинзаводу з переробки зерна пшениці м’якої до 78% трьохсортового помелу продуктивністю 250 т/добу
МІНІСТЕРСТВО
АГРАРНОЇ ПОЛІТИКИ ТА ПРОДОВОЛЬСТВА УКРАЇНИ
ДНІПРОПЕТРОВСЬКИЙ
ДЕРЖАВНИЙ АГРАРНИЙ УНІВЕРСИТЕТ
Кафедра
технології зберігання та переробки сільськогосподарської продукції
КУРСОВІЙ
ПРОЕКТ
з
дисципліни «Технологія борошномельного виробництва»
на
тему: «Проект розмельного відділення млинзаводу з переробки зерна
пшениці
м’якої до 78% трьохсортового помелу продуктивністю 250 т/добу»
Виконала: студентка гр. ХТ-1-09
Салкуцан І.А.
ДНІПРОПЕТРОВСЬК
2013
Вступ
Технологічні процеси розмелу зерна
на сучасних мукомельних заводах за своєю структурою багатостадійні,
безперервно-потокові, які характеризуються поетапною побудовою, складними
взаємопов’язаними етапами і систем при високій швидкості протікання
технологічних процесів переробки зерна. В таких умовах слід передбачити певне
резервування деякої кількості систем обробки зернових продуктів з метою повного
використання природних ресурсів зерна і одержання борошна високої якості.
Прагнення до покращення якості
борошна, розширення її асортименту, більш ефективного використання зерна і
виробничої потужності борошномельних заводів спричиняють необхідність постійно
розвивати і удосконалювати структуру технології розмелу.
Перед тим як розпочати процес
розмелу зерно має пройти всі необхідні стадії очистки зерна від домішок, що в
майбутньому відобразиться на якості борошна та продуктів помелу.
Велику увагу потрібно приділяти
самому процесу розмелу, послідовність технологічних операцій має буди чітко
спланова та відповідати всім вимогам, що в майбутньому добре відобразиться на
якості готової продукції.
.
Технологічна характеристика сировини
Пшениця - одна з найважливіших
злакових культур. Це головна продовольча культура для більшості населення
Землі. Цінність зерна пшениці полягає в тому, що воно здатне утворювати
клейковину, що має важливе значення для випічки хліба і хлібобулочних виробів,
виготовлення макаронів, виробництва манної крупи. Хліб із пшеничного борошна
кращої якості, більш смачний і повніше засвоюється, ніж із зерна інших культур (жита,
ячменю, вівса, кукурудзи).
Пшениця представлена великою
різноманітністю видов - їх більше 20. Однак практичне значення мають два види
пшениці - м'яка, або звичайна (Triticum vulgare), і тверда (Triticum durum). У
нашій країні виробляються обидва види пшениці. Назви «м'яка» і «тверда» - це
ботанічні класифікаційні терміни. Зерно м'якої пшениці може мати склоподібну,
напівстекловидну або борошнисту консистенцію.
Зерно м'якої пшениці залежно від
сортів та умов вирощування може мати борошнисту, напівскловидну або повністю
скловидну консистенцію, округлу або овальну форму, злегка розширену до зародка,
з вираженою борідкою і глибокою борозенкою, а колір поверхні - від білого до
темно-червоного. Види м'якої пшениці поширені озимі або ярі. На частку м'якої пшениці
в Україні припадає більше 95% всіх посівів цієї культури. З м'якої пшениці
виробляють в основному продовольче борошно - хлібопекарського і загального
призначення. Залежно від показників якості м'яку пшеницю поділяють на 6 класів
(класи 1+3 - група А, класи 4+5 - група Б і клас 6). М'яку пшеницю групи А
використовують для продовольчих (переважно борошномельна та хлібопекарська
промисловості) потреб і для експортування. Пшеницю групи Б і 6-го класу
використовують на продовольчі і непродовольчі потреби та для експортування. На
вимогу замовника у зерні м'якої та твердої пшениці можна визначати інші
показники якості, які не є класоутворювальними (кількість і якість клейковини,
сила борошна за альвеографом, індекс седиментації тощо).
У нашій країні всі сорти м'якої
пшениці за хлібопекарськими якостями, або силі борошна (здатність борошна в
процесі приготування утворювати тісто, що володіє певними фізичними
властивостями), прийнято ділити на три групи: сильні, цінні за якістю
(середньої сили) і слабкі.
Сильна пшениця відрізняється високим
вмістом і гарною якістю клейковіни. Згідно ГОСТ Р 52554-2006 «Пшениця. Технічні
умови »до неї відносять м'яку пшеницю 1-го і 2-го класів. Борошно з такої
пшениці утворює тісто з високим пружно-еластичними властивостями, гарною
стійкістю, здатністю утримувати діоксид вуглецю в процесі бродіння, вистоювання
і випікання, що дозволяє отримувати хліб хорошої якості і дуже важливо для
механізованого хлібопечення. З такого борошна випікають дорогі сорти хліба,
вона може бути використана як поліпшувач партій борошна зі слабкою клейковиною.
Сильна пшениця повинна містити підвищену кількість білка (понад 16%), пружну,
еластичну клейковину і не менше 60% склоподібних зерен.
Цінні пшениці (3-й клас) - середні
по силі, володіють хорошими хлібопекарськими властивостями. З борошна цінної
пшениці хліб виходить хорошої якості. Вона не потребує додаванні борошна
сильної пшениці, але ефективно поліпшити борошно з слабкої пшениці не може.
З урахуванням зростаючого попиту на
зерно сильної і цінної пшениці і його високої вартості питома вага її у
світовій виробництві м'якої пшениці зростає. Однак, за експертними оцінками (за
останні роки), він не перевищує 40-45%, оскільки для хлібопекарської
промисловості цієї кількості не вистачає, і переробляється багато слабкої
пшениці з додаванням поліпшувачів.
Слабка пшениця має низький вміст
клейковини (нижче 18%) або володіє клейковиною зниженої якості (нижче групи П).
Борошно з неї відрізняється низькими хлібопекарськими властивостями. Слабка
містить 9-12% білка і дає клейковину низької якості, для поліпшення
хлібопекарських властивостей в неї додають сильну або тверду пшеницю.
До продовольчої групи відносять
м'яку пшеницю 1-го, 2-го, 3-го і 4-го класів за ГОСТ Р 52554-2006, пшениця 5-го
класу призначена для кормових або технічних цілей.
Формуванні партій зерна і
торговельних операціях враховують вміст білка, для визначення якого на відміну
від визначення клейковини використовують експресні методи та прилади.
В борошні, отриманої з м'яких
сортів, зерна крохмалю крупніше і м'якше, консистенція її більш тонка і
розсипчаста, вона містить менше клейковини і поглинає менше води. Таке борошно
використовують для випічки в основному кондитерських виробів, а не хліба,
оскільки продукти з неї кришаться і швидко черствіють. Пшеничні висівки
особливо цінуються як добавка до раціону худоби.
До зернової домішки у м’якій пшениці
відносять:
зерно пшениці здавлене,
щупле, проросле, морозобійне, пошкоджене самозінріванням чи під час сушіння,
недозріле, бите і поїдене, незалежко від характеру їхніх ушкоджень;
- цілі
та ушкоджені зерна, що не відповідають стандартам на ці культури, не віднесені
за характером їх ушкоджень до смітної домішки;
Для м’якої пшениці 1 і 2 класів
допускають перший ступінь знебарвлення, для 3 - перший і другий ступінь, для 4,
5 та 6 - будь-який ступінь знебарвленості.
Таблиця 1 Вимоги до якості м’якої
пшениці
|
Показники
|
Характеристика і норма для пшениці за групами
та класами
|
|
|
А
|
|
Б
|
6
|
|
1
|
2
|
3
|
4
|
5
|
|
|
Натура, г/л, не менше ніж
|
760
|
740
|
730
|
710
|
710
|
Не обмежено
|
|
Скловидність, %, не менше ніж
|
50
|
40
|
30
|
Не обмежено
|
|
Вологість,%
|
14,0
|
14,0
|
14,0
|
14,0
|
14,0
|
14,0
|
|
Зернова домішка, %
|
5,0
|
8,0
|
8,0
|
10,0
|
12,0
|
15,0
|
|
зерна злакових культур
|
4,0
|
4,0
|
4,0
|
4,0
|
У межах зернової домішки
|
|
пророслі зерна
|
2,0
|
3,0
|
4,0
|
4,0
|
4,0
|
У межах зернової домішки
|
|
Сміттєва домішка, % зокрема
|
1,0
|
2,0
|
2,0
|
2,0
|
2,0
|
5,0
|
|
Мінеральна домішка
|
0,3
|
0,5
|
0,5
|
0,5
|
0,5
|
1,0
|
|
Шкідлива домішка
|
0,2
|
0,2
|
0,2
|
0,2
|
0,2
|
0,5
|
|
Сажкове зерно
|
5,0
|
5,0
|
8,0
|
5,0
|
8,0
|
10,0
|
|
Масова частка білка у перерахунку на суху
речовину, %
|
14,0
|
12,5
|
11,0
|
12,5
|
11,0
|
Не обмежено
|
|
Масова частка сирої клейковини, %
|
28,0
|
23,0
|
18,0
|
|
|
Не обмежено
|
|
Якість клейковини група
|
І- ІІ
|
І- ІІ
|
І- ІІ
|
|
|
|
|
Число падання, не менше ніж
|
220
|
180
|
150
|
150
|
130
|
Не обмежено
|
.
Асортимент і якість готової продукції
Основною сировиною
для виготовлення борошна є зерно пшениці. Борошномельна властивість зерна
визначається співвідношенням між окремими його частинами та хімічним складом .
Процес переробки
зерна на борошно на великих державних борошномельних заводах і сільськогосподарських
млинах залежить від якості зерна, яке надходить на переробку, досконалості
застосовуваної технології, стану технологічного обладнання.
Залежно від схеми
помелу в межах встановленого виходу можна виробляти борошно одного або кількох
сортів. Так, при загальному виході борошна 78 % можна одержати борошно двох або
трьох сортів. Загальний вихід борошна становить переважно не менше 70 %, тому
що в нормально виповненому зерні пшениці вміст ендосперму сягає 81-85%.
Помел зерна - це процес перетворення
його в борошно. Розрізняють разовий і повторний помели зерна. При разовому
помелі борошно отримують одноразовим пропусканням зерна через розмелювальну
машину. При повторному помелі борошно отримують багаторазовим і послідовним
пропусканням зерна і його частин через розмелювальні машини.
Розрізняють два види повторного
помелу: низький (простий, оббивний) і високий (сортовий, складний). Низький
повторний помел здійснюють у низькому режимі роботи вальців. Подрібнюють зерно
на трьох-чотирьох системах одним етапом. Борошно, добуте з усіх систем,
об'єднують (змішують) в один сорт.
Високі (складні, сортові) помели
зерна технологічно є більш складними, ніж низькі. Борошно цих помелів одержують
розмелюванням не цілого зерна, а частин ендосперму; оболонку, алейроновий шар і
зародок намагаються відокремити. Таким чином подрібнення зерна в борошно
здійснюється в два етапи. На першому етапі зерно переводять в крупку, причому
намагаються дістати мінімальну кількість борошна. Після сортування крупку
направляють на розмелювання. За кількістю сортів борошна, які дістають
одночасно, високі помели бувають одно -, дво- і трисортні.
Трисортні помели дають
хлібопекарське борошно вищого, 1 -го і 2-го сортів із загальним виходом близько
78%.
Таблиця 2. Вихід сортів борошна при
трисортному помелі
Вихід, %
|
|
Вищий
|
10-25
|
|
Перший
|
40-45
|
|
Другий
|
13-23
|
Борошно вищого
сорту складається з однорідних дрібненьких частинок (30-40 мкм). У ньому майже
відсутні висівчані частинки. В борошні 1-го сорту частинки менш однорідні. Їхні
розміри коливаються від 30 до 60 мкм. Це борошно трохи темніше порівняно з
борошном вищого сорту і має у свому складі 3-4% периферійних частинок. Борошно
2-го сорту складається з неоднорідних і порівняно великих частинок (60-200
мкм). Кількість висівчаних частинок у ньому досягає 80%.
пшениця
сорт борошно помел
3.
Аналіз типових технологічних схем
У розмельному відділенні млинзаводу
з переробки зерна пшениці м’якої з виходом борошна 78% спрощенний розмельний
процес і до мінімуму зведенний ситовійний.
Як і в звичайних системах
хлібопекарського помолу пшениці, відбір проміжних продуктів 1-го гатунку
здійснюється на перших трьох дранних системах, при цьому крупна крупка з І Д і
ІІ Д систем збагачується на СВ; при необхідності тут можна відібрати 1,0…1,5%
манної крупи.
Вимелювання оболонок розпочинається
з верхнього сходу ІІІ Д, проходи бичових машин 1 і 2 сортуються на розсівах.
Шість шліфувальних систем
забезпечують обробку крупок з великим вмістом зростків, 1 Р система розділена
на «крупну» і «дрібну», 1 Р і 2 Р в розмельному процесі установленні вальці з
мікрошорсткою поверхнею, 5 Р і 6 Р, на яких йде вимол оболонкових продуктів. У
вищий гатунок борошна можуть іти направленні потоки з 1 шл.с., 1 Р і 2 Р,
загальне її вилучення може досягати 20…25%.
Технічна характеристика та
кінематичні параметри вальцьових верстатів розроблені таким чином, щоб
забезпечити високу якість борошна при загальному її виході 78%. З цією метою
колова швидкість Vб знижена до 4,5 м/с на шліфувальних системах і розмельних з
мікрошорсткою поверхнею вальців.
За цією схемою з перших трьох систем
дранного процесу вилучається проміжний продукт 1-ї якості, який складається:
крупної крупки 7…9%, дрібної 15…17, дунстів 20…23, всього 60…65%. Вилучення
продуктів 1-ї якості зростає, якщо перед І Д системою приміняють легке
зплющення зерна спеціальним вальцевим станком з мікрошорсткими вальцями.
.
Характеристика проектуючої схеми
Розмельний процес передбачає три
етапи: перший - для помелу в борошно крупнодунстових продуктів першої якості
(включає перші п’ять систем); другий - для подрібнення проміжних продуктів
другої якості (включає три системи) і третій - для вимолу оболонкових продуктів
помельного процесу.
Вальцьові верстати розмольних систем
встанавлюють з наступними параметрами: кількість рифлів - 10…11 на 1 см, кут
нахилу рифлів - 8-10%, розміщення рифлів «спинка по спинці». На борошномельних
заводах сортового помелу застосовують вальці з шорховатою поверхнею , марки
При трьохсортному помелі пшениці
застосовують в розмельному процесі десять-чотирнадцять систем, в тому числі
три-чотири - для помелу крупок та дунстів першої якості, три-чотири - для
продуктів другої якості, дві-три - для вимолу і одну-дві сходові системи. В
склад дранних систем входить 11,5 вальцьовихверстатів. Шліфувальний процес
складається з 6 систем. Для збільшення виходу фракції, відповідній по крупності
макаронній крупці, на системах шліфувального процесу рекомендується
застосовувати нарізні вальці. При цьому геометричні розміри рифлів повинні
відповідати рекомендаціям правил. Взаємне розташування рифлів на всіх системах,
крім 5-ї шліфувальної, відношення колових швидкостей вальців - 4,5. На шість
шліфувальних систем кількість вальцьових верстатів складає 6,5 шт.
Розмельний процес включає 4
розмельні системи, з яких на всіх системах, окрім останніх двох, встановлені
станки з вальцями з мікрошорховатою поверхнею.
Також після кожної шліфувальної
системи стоїть система контролю борошна. Також контроль борошна відбувається і
на останніх етапах систепи, контролюється борошно вищого, першого та другого
гатунку.
Загалом технологічна схема
трьохсортного помелу включає в себе таке обладнання: вальцеві верстати марки
А1-БЗН в кількості 27 шт. Кількість секцій розсіву марки ЗРШ-М - 57 шт.,
кількість ситовій них машин марки А1- БС-2-О дорівнює - 29 шт. Загальна довжина
вальцьової лінії складає 40 м з них: на драних системах 23, на шліфувальних
системах 11, на розмельних 6.
.
Розрахунок технологічного обладнання
5.1 Розрахунок
вальцьових верстатів
При розрахункові вальцьової
лінії з використанням загальних питомих навантажень на першому етапі, для
здійснення операцій подрібнення, визначають загальну довжину вальцьової лінії 
, см:

, (5.1.1.)
де 
- середнє питоме навантаження на
вальцьові верстати, кг/см·добу.
Для вальцьового станка А1-БЗН
середнє питоме навантаження складає 65 кг/см·добу.
Загальну кількість вальцьових
верстатів визначають за формулою:

, шт (5.1.2.)
де 
- загальна довжина вальцьової
лінії, см- довжина вальцьової лінії одного верстата, см

(шт)
Приймають 20 вальцьових
верстатів марки А1-БЗН.
Фактичну довжину вальцьової
лінії визначають за формулою:

, см (5.1.3.)
Оскільки відношення вальцьової лінії
шліфувальних та розмельних систем до вальцьової лінії драних систем 0,79, то
довжина вальцьової лінії на драних системах дорівнює: 1:0,79.

(5.1.4.)
Довжина вальцьової лінії на
розмельних та шліфувальних системах складає:

(5.1.5.)

см
Оскільки на розмельну систему
йде 56% вальцьових станків, що видно зі схеми, то довжину вальцьової лінії на
розмельних системах можна знайти з пропорції:
- 100%
Х - 56%
Х = 
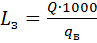
Визначаємо довжину мелюючої
лінії данної системи:
др.с =
, (5.1.6.)
lIдр.с = 
= 242 см
За формулою 5.1.6. приведеною
вище знайдемо довжину кожної лінії.
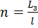
Визначаємо кількість
вальцьових верстатів по драним системам.

, (5.1.7.)
де L - довжина мелючої лінії даної
системи, см;- довжина мелючої лінії одного верстата, см.
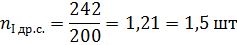
Знаходимо довжину кожної вальцевої
лінії окремо за фомулою:фак Iдр.с = n ∙ 200.фак Iдр.с = 1.5 ∙ 200 =
300 см.
Аналогічно робимо розрахунок всіх
інших систем і отримані данні заносимо до таблиці 5.1.1.
Фактична довжина вальцьової лінії по
кожній системі визначається з формули:

, см, (5.1.8.)
де l - довжина мелючої лінії одного верстата,
см; n - кількість вальцьових верстатів, шт.

Результати розрахунків заносимо в
таблицю 5.1.1.
Табл.5.1.1.
|
Система
|
Рекомендований розподіл вальцьової лінії, %
|
Прийнятий розподіл, %
|
Розрахункова довжина вальцьової лінії, см
|
Кількість вальцьових верстатів, шт
|
Фактична довжина вальцьової лінії, см
|
|
І др. с.
|
11-12
|
11
|
242
|
1,5
|
300
|
|
ІІ др. с.кр.
|
10-13
|
13
|
286
|
2
|
400
|
|
ІІ др. с.м.
|
5-10
|
5
|
110
|
0,5
|
100
|
|
ІІІ др. с. кр.
|
11-12
|
11
|
242
|
1,5
|
300
|
|
ІІІ др. с.м.
|
10-15
|
10
|
220
|
1
|
200
|
|
IV др. с. кр.
|
10-15
|
10
|
220
|
1
|
200
|
|
IV др. с.м.
|
10-15
|
10
|
220
|
1
|
200
|
|
V др. с.кр.
|
10-15
|
10
|
220
|
1
|
200
|
|
V др. с.м.
|
10-15
|
10
|
220
|
1
|
200
|
|
VI др. с.
|
10-15
|
10
|
220
|
1
|
200
|
|
Всього
|
|
100
|
11,5
|
2300
|
|
I р. с.
|
24-26
|
26
|
155
|
0,5
|
100
|
|
II р. с.
|
22-24
|
24
|
143,5
|
0,5
|
100
|
|
III р. с.
|
24-26
|
26
|
155
|
0,5
|
100
|
|
IV р. с.
|
22-24
|
24
|
143,5
|
0,5
|
100
|
|
Всього
|
|
100
|
554
|
2
|
400
|
На шліфувальних системах довжина
вальцьової лінії складає:

(5.1.9.)

.
Кількість вальцьових
верстатів 6,5 шт.
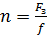
5.2 Розрахунок розсійників
Загалну площу просіюючої
поверхні (
, м²)
визначають за формулою:

м² (5.2.10.)
де 
- продуктивність заводу, т/добу;-
рекомендоване питоме навантаження на розсійники, кг/м²·добу.

м²
Кількість розсійників
(секцій) (n, шт.) визначають за формулою:

, шт (5.2.11.)
де 
- площа просіюючої поверхні одного
розсійника (секції), м².

шт.
До встановлення приймають 34
розсійників марки ЗРШ-6.
Фактичну площу просіюючої
поверхні (
, м²)
визначають за формулою:

, м² (5.2.12.)

м².
З схеми можна зр обити
приблизний розрахунок у відсотках площі просіюючої поверхні в драних та
розмельних системах.
Близько 28 % просіюючої
поверхні відводиться на шліфувальні системи та контроль борошна (37 шт - 100%,
10 шт - 27,03%). Площа просіюючої поверхні на драних системах складає 62,15%
(23 шт), а на розмельних 10,82% (4 шт). Звідси площу просіюючої поверхні на
драних системах можна знайти з пропорції: 256,5 - 100%.
х-62,15%
Х=
Визначаємо площу кожної просіюючої
поверхні окремо за формулою:
Iдр.с =
, др.с = 
= 19,84 м²др.с.кр
= 
= 26,45 м²др.с.м
= 
= 8,27 м²др.с.кр
= 
= 19,84 м²др.с.м
= 
= 16,5 м²др.с.кр
= 
= 16,5 м²др.с.м.
= 
= 16,5 м²др.с.кр
= 
= 16,5 м²др.с.м
= 
= 16,5 м²др.с.кр
= 
= 8,27 м²
Аналогічно знаходимо площу
просіюючої поверхні на розмельних системах:
255 - 100%
Х - 10,82 %

Визначаємо площу кожної
просіюючої поверхні окремо за формулою:р.с =
, р.с =
= 6,66 м²р.с
=
= 7,2 м²р.с
=
= 7,2 м²р.с
=
= 6,66 м
Кількість розсійників на драній
системі дорівнює:

, шт (5.2.13.)
де 
- площа просіюючої поверхні одного
розсійника (секції), м²,

- загальна площа просіюючої
поверхні на даній системі, м².

шт
Кількість розсійників на
розмельній системі дорівнює:

.
Загальна кількість
розсійників ЗРШ-6 знаходимо за формулою: = 
= 4,3 ≈ 5 шт
Результати розрахунків
заносимо до таблиці 5.1.2.
Табл.5.1.2
|
Систем а
|
Прийнятий розподіл,%
|
Просіююча поверхня, м²
|
Кіл-ть секцій розсійника
|
Фактична просіюючи поверхня, м²
|
|
І др.с
|
10-12
|
12
|
19,84
|
3
|
22,5
|
|
ІІ др.с.кр.
|
16-18
|
16
|
26,45
|
4
|
30
|
|
ІІ др.с.м.
|
5-10
|
5
|
8,27
|
1
|
7,5
|
|
ІII др.с.кр.
|
10-12
|
12
|
19,84
|
3
|
22,5
|
|
III др.с.м.
|
5-10
|
10
|
16,5
|
2
|
15
|
|
IV др.с.кр.
|
5-10
|
10
|
16,5
|
2
|
15
|
|
IV др.с.м.
|
5-10
|
10
|
16,5
|
2
|
15
|
|
V др.с.кр.
|
5-10
|
10
|
16,5
|
2
|
15
|
|
V др.с.м.
|
5-10
|
10
|
16,5
|
2
|
15
|
|
VI др.с.
|
5-10
|
5
|
8,27
|
1
|
7,5
|
|
Всього
|
|
100
|
165,36
|
22
|
165
|
|
І р.с.
|
24
|
6,66
|
1
|
7,5
|
|
ІІ р.с.
|
24-26
|
26
|
7,2
|
1
|
7,5
|
|
ІІІ р.с.
|
24-26
|
26
|
7,2
|
1
|
7,5
|
|
IV р.с.
|
22-24
|
24
|
6,66
|
1
|
7,5
|
|
Всього
|
|
100
|
27,72
|
4
|
30
|
Висновки
Наведена вище схема розмельно
процесу є досить хорошою так як ми маємо можливість отримувати трисортні помели
хлібопекарського борошно вищого, 1 -го і 2-го сортів із загальним виходом
близько 78%, продуктивністю заводу 250 т/добу.
Загалом технологічна схема
трьохсортного помелу включає в себе таке обладнання: вальцеві верстати марки
А1-БЗН 20 шт, ситовійні машини марки А1-БС-2-О та розсіви ЗРШ-6 у кількості 34
шт.
Список використаної літератури
1. Єгоров Г.А. Технология муки.
Практический курс. -М.: ДеЛи принт, 2007. -143с.
2. Єгоров Г.А. Технология
крупы. - М.:КолосС, 2005. - 296с.
. Бутковский В.А.
Мукомольное производство. - М.: Агропромиздат, 1990. - 382с.
. Беркутова Н.С.
Технологические свойства пшеницы и качество ее переробки. - М.: Колос, 1984. -
223с.
. Бутковський В.А.,
Галкина Л.С. Современная техника и технология производства муки. - М.: ДеЛи,
2006, - 319с.