Проект по лесоустройству на территории Уральского учебно-опытного лесхоза УГЛТУ

  • Вид работы:
    Курсовая работа (т)
  • Предмет:
    Сельское хозяйство
  • Язык:
    Русский
    ,
    Формат файла:
    MS Word
    112,19 Кб
  • Опубликовано:
    2014-10-17
Вы можете узнать стоимость помощи в написании студенческой работы.
Помощь в написании работы, которую точно примут!

Проект по лесоустройству на территории Уральского учебно-опытного лесхоза УГЛТУ

Введение


Лесоустройство - специализированный вид лесохозяйственной деятельности, обеспечивающий разработку системы государственных мероприятий, направленных на рациональное использование, повышение продуктивности, воспроизводство, охрану и защиту лесов, повышение культуры ведения лесного хозяйства.

Итогом лесоустройства является решение основополагающих вопросов организации лесного хозяйства.

Лесоустройство, как научная дисциплина, имеет свою теорию и технику, знание которых необходимо каждому специалисту лесного хозяйства.

Для изучения лесоустройства студентам читается лекционный курс, с ними проводятся практические занятия, выполняется курсовой проект, организуется самостоятельная работа с учебной и нормативно-справочной литературой.

1. Характеристика экономических условий района

1.1 Краткая характеристика лесхоза

лесной древесина рубка

Уральский учебно-опытный лесхоз УГЛТУ расположено в южной части Свердловской области на территории, подчинённой трём городам - Екатеринбургу, Первоуральску и Верхней Пышме.

Протяжённость лесхоза с севера на юг составляет 25 км, а с запада на восток - 26 км.

Контора лесхоза находится в пос. Северка в 18 км от областного центра г. Екатеринбург.

Почтовый адрес конторы лесхоза: индекс, пос. Северка, ул. Лесная, 3. Телефон: (343)211-75-95, (343)211-74-49, (343)2117468; факс: (343)2117474.

Леса лесхоза разделены на 5 лесничеств.

Лесхоз на севере граничит с Невьянским лесхозом, на юге - с Верх-Исетским лесхозом, на северо-востоке и востоке - с Уралмашевским и Верх-Исетским лесхозами, на западе и юго-западе - с Билимбаевским и Верх-Исетским лесхозами.

Район расположения лесхоза имеет развитую сеть путей транспорта, из которых все дороги лесохозяйственного назначения. Дороги общего назначения с асфальтовым покрытием составляют 82 км (республиканского значения) и местного значения - подъезд к поселку 2,5 км. По территории лесхоза проходит железная дорога широкой колеи республиканского значения 47 км.

1.2 Общая площадь лесхоза

Общая площадь лесхоза по состоянию на 01.01.2004 г. составляет 29126 га и соответствует его зоне деятельности.

Таблица 1. Структура Уральского учебно-опытного лесхоза УГЛТУ

№ п/п

Наименование лесничеств

Административный район

Общая площадь, га

1

Студенческое

МО г. Пышма

3465



МО г. Первоуральск

2408

Итого:



5873

2

Уваловское

МО г. Первоуральск

7586

3

Верх-Исетское

МО г. Пышма

1722



МО г. Екатеринбург

3770

Итого:



5492

4

Северское

МО г. Первоуральск

5605

5

Парковое

МО г. Екатеринбург

4570

Итого:



10175

Всего по Уральскому учебно-опытному лесхозу УГЛТУ

29126


Схематическая карта Свердловской области с выделением территории Уральского учебно-опытного лесхоза УГЛТУ прилагается.

1.3 Основные потребители древесины и других лесных ресурсов

Район расположения лесхоза обладает значительными лесосырьевыми ресурсами. Основным видом лесопользования является заготовка древесины. Ежегодный объём планируемой заготовки древесины составляет 12 тыс. м3.

Лесная и лесоперерабатывающая промышленность представлена производством следующих основных видов продукции: древесина деловая, пиломатериалы, оконные, дверные блоки, товары народного потребления.

1.4 Характеристика существующих объектов лесной, лесоперерабатывающей инфраструктуры, объектов, не связанных с созданием лесной инфраструктуры (ст. 13, 14, 21 Лесного кодекса РФ)

В соответствии с Распоряжением Правительства РФ от 17 июля 2012 г. №1283-р, к объектам лесной инфраструктуры относятся лесные дороги, лесные склады и другие объекты, предназначенные для использования, охраны, защиты и воспроизводства лесов.

Объекты лесной инфраструктуры, относящиеся к временным постройкам: сушилки, грибоварни, склады, временные сооружения для бытовых нужд и т.д.

Лесные дороги являются единственным объектом лесной инфраструктуры, который может создаваться при любых видах использования лесов.

В лесном реестре выделяются следующие виды дорог:

железные дороги, в том числе ширококолейные, автомобильные дороги (с твердым покрытием и грунтовые);

зимние дороги, или зимники (дороги сезонного зимнего действия, которые бывают снежными, ледяными или снежно-ледяными);

лесовозные дороги;

лесохозяйственные дороги.

Лесовозные дороги предназначены для вывозки древесины к местам ее последующей переработки или временного хранения. Они могут быть постоянными (круглогодичного действия), сезонными или временными (лесовозные усы).

Основную лесовозную дорогу, связывающую лесной массив с нижним лесопромышленным складом, называют магистралью лесовозной дороги. Она обычно примыкает к путям сообщения, по которым древесину можно доставить потребителям. В свою очередь, к магистрали прилегают ветки лесовозной дороги и лесовозные усы (последние могут выходить и на ветки лесовозной дороги). Покрытие лесовозных усов может быть из железобетонных плит, деревянных щитов на грунтовом или шпальном основании, из бревен на шпальном основании (в последнем случае лесовозный ус называют лежневой лесовозной дорогой).

Следует отметить, что основные лесовозные дороги (магистраль и прилегающие к ней ветки) после окончания срока вывозки древесины не подлежат сносу. Они должны быть переданы лицам, на которых возложена обязанность по организации использования лесов, а также по охране, защите и воспроизводству лесов.

Надобность во временных лесовозных дорогах (лесовозных усах) после завершения лесозаготовки отпадает, поэтому они должны быть снесены (разобраны), а занимаемые ими земли - рекультивированы.

В юго-восточной части территории лесхоза проходят две железнодорожные магистрали, связывающие г. Екатеринбург с западными областями страны. В восточной части лесхоза, являясь на протяжении 15 км его границей, проходит автомобильная дорога республиканского значения - Московский тракт, который соединен с пос. Северка асфальтовой дорогой. Большая часть заготовленной в предприятии древесины, а также готовые лесоматериалы вывозятся из лесхоза к местам потребления по этой дороге и Московскому тракту. Сеть грунтовых дорог развита слабо и неравномерно в различных частях лесхоза. Большинство этих дорог пригодны для автотранспорта только зимой или летом в засушливые годы. Кроме того имеются проезжие просеки (46 км).

Незначительное количество дорог круглогодового действия затрудняет проведение всего комплекса работ в лесхозе, особенно в Уваловском лесничестве. Лесные дороги пригодны для использования только в сухое время года и только зимой.

Лесные склады при лесозаготовках служат для временного хранения, первичной обработки круглого леса, частичной его переработки и отгрузки потребителям. В настоящее время такие лесные склады принято делить на:

верхние;

промежуточные;

нижние.

Верхние и промежуточные лесные склады, по существу, являются погрузочными площадками. Они расположены в местах заготовки древесины у лесовозных дорог.

На нижних лесных складах осуществляются не только складские операции (разгрузка, штабелевка и погрузка), но и технологические операции (производство круглых и колотых лесоматериалов, технологической и топливной щепы, пилопродукции, товаров народного потребления и т.д.).

Нижние лесные склады размещаются в пункте примыкания лесовозных дорог к железнодорожным, автомобильным и водным путям сообщения общего пользования, соответственно нижние лесные склады делятся на прирельсовые, автодорожные и береговые ( на практике они часто бывают смешанными).

Объекты лесной инфраструктуры после того, как отпадет надобность в них, подлежат сносу, а земли, на которых они располагались, - рекультивации.

Схематическая карта транспортного освоения лесов Уральского учебно-опытного лесхоза УГЛТУ прилагается (Рис. 1).

Таблица 2. Характеристика путей транспорта

Виды дорог

Протяженность дорог, км


всего

лесохозяйственных лесовозных (по типам)

общего пользования



I

II

III

итого

магистральных

ветки

итого


Дороги, всего

339








339

в том числе:

автомобильные

292








292

из них:

с твердым покрытием

82








82

грунтовые

210








210

в том числе:

круглогодового действия

185








185

Кроме того зимники












1.5 Лесоперерабатывающая инфраструктура

Для переработки древесины и иных лесных ресурсов создается лесоперерабатывающая инфраструктура (объекты переработки заготовленной древесины, биоэнергетические объекты).

Создание лесоперерабатывающей инфраструктуры запрещается в защитных лесах, а также в иных предусмотренных Лесным Кодексом, другими федеральными законами случаях.

.6 Объекты не связанные с созданием лесной инфраструктуры

К объектам, не связанным с созданием лесной инфраструктуры относятся любые здания, строения и сооружения.

Строительство, реконструкция и эксплуатация объектов, не связанных с созданием лесной инфраструктуры, на землях лесного фонда допускаются для:

осуществления работ по геологическому изучению недр;

разработки месторождений полезных ископаемых;

использования водохранилищ и иных искусственных водных объектов, а также гидротехнических сооружений и специализированных портов (статья 44 ЛК РФ);

использования линий электропередачи, линий связи, дорог, трубопроводов и других линейных объектов (статья 45 ЛК РФ);

переработки древесины и иных лесных ресурсов (статья 46 ЛК РФ);

осуществления рекреационной деятельности (статья 41 ЛК РФ).

1.7 Распределение лесов лесничества по лесорастительным зонам и лесным районам

Выполнено в соответствии со ст. 15 ЛК РФ и Приказом Федерального агентства лесного хозяйства №61 от 09.03.2011 г. «Об утверждении Перечня лесорастительных зон РФ и Перечня лесных районов РФ».

По лесорастительному районированию территория лесхоза относится к южно-таежному округу Зауральской холмисто-предгорной провинции Западно-Сибирской равнинной лесной области.

Распределение лесов лесхоза в разрезе лесничеств и лесных кварталов по лесорастительным зонам и лесным районам приведено в таблице 3 и на карте-схеме (Рис. 2).

Таблица 3. Распределение лесов лесхоза по лесорастительным зонам и лесным районам

№ п/п

Наименование лесничеств

Лесорастительная зона

Лесной район

Перечень лесных кварталов

Площадь, га

1.

Студенческое

Таежная зона

Средне-Уральский район

все кварталы

5873

2.

Уваловское



все кварталы

7586

3.

Верх-Исетское



все кварталы

5492

4.

Северское



все кварталы

5605

5.

Парковое



все кварталы

4570

Всего по лесничеству:






2. Природно-климатические условия

.1 Климат, воды и рельеф

Климатические условия территории лесхоза носят умеренно-континентальный характер с морозной зимой и относительно тёплым летом.

Средняя годовая температура составляет +0,8 C˚.

Среднегодовое количество осадков составляет 465-500 мм.

Учебно-опытный лесхоз расположен в зоне действия ветров с преобладанием западных, юго-западных и юго-восточных направлений со средней скоростью 3,8 м/сек. Ветры со скоростью 15 и более м/сек для территории лесхоза редки, их вероятность не превышает 5%.

Лесной фонд лесхоза расположен в восточных предгорьях Уральского горного хребта, чем вызваны все геоморфологические особенности строения местности. На большей части территории лесхоза рельеф может быть охарактеризован как увалисто-холмистый с широкими плоскими понижениями между увалами и холмами. Увалы сглажены многовековой водной и ветровой эрозией. Местами наблюдаются скальные обнажения горных пород, создающих нагромождения гранитов.

2.2 Климатические особенности сезонов года

Если среднемесячные температуры воздуха весной, летом и осенью не имеют больших отклонений от средних многолетних показателей, то зимой это выражается резче: отклонения от средних показателей в этот период достигают до 10°С. Для весны характерно быстрое повышение средних температур воздуха. Наряду с быстрым повышением температур, в мае и даже в июне бывают возвраты холодов, связанные с вторжением холодного арктического воздуха. Нередко продолжительность похолодания доходит до 8-13 дней и сопровождается обильным выпадением снега. Вторжения арктического воздуха особенно ощутимы летом, когда они повсеместно вызывают заморозки. Осенние похолодания с отрицательной среднесуточной температурой в первой половине сентября довольно редкое явление. Однако во второй половине сентября похолодания бывают около одного раза в 4 года. Обычно эти похолодания сопровождаются ненастной погодой, осадки в это время выпадают в большинстве случаев в виде мокрого снега. Устойчивый переход среднесуточной температуры воздуха через 0°С происходит в среднем 6 апреля и 20 октября, число дней с температурой выше этого предела составляют в среднем 196 в году. Средняя продолжительность большого вегетационного периода (среднесуточная температура воздуха от +5°С) составляет 162 дня, с 23 апреля по 3 октября, продолжительность малого вегетационного периода (температура воздуха от 10°С) - 119 дней, с 15 мая по 12 сентября. В формировании температурного режима в воздухе и на поверхности почвы большую роль играют высота расположения местности и форма рельефа. В результате стока холодного воздуха с вершин гор и холмов в пониженных частях территории вероятность заморозков более значительна. На температурный режим почвы, помимо того, большое влияние оказывает механический состав и тип почвы, ее влажность и состояние поверхности. Среднее число дней в году с температурой почвы ниже 0°С на глубине 20 см составляет 147 с колебаниями от 110 до 170 дней. Средняя глубина промерзания почвы составляет 110 см, достигая в наиболее суровые зимы 146 см, а на оголенных участках и 200 см. Наибольшая глубина промерзания наблюдается в марте месяце.

% осадков приходится на май-сентябрь. Количество и распределение их в течение года распределяется циклонической деятельностью атмосферы и расположением территории лесхоза на восточных отрогах Уральского горного хребта, являющегося естественным барьером для перемещения воздушных масс в широтном направлении. Степень увлажнения лесхоза считают умеренной. Из годовой суммы осадков на долю твёрдых приходится 24%, на долю жидких - 65%, смешанных - 11%. Выпадение осадков летом не носит ливневого характера, но не исключена возможность ливней с выпадением до 72 мм осадков в час. Однако это не приводит к водной эрозии почв, исключая оголённые от растительности места на уклонах местности (дороги, пашни, борозды культур). Дождевые периоды обычно бывают осенью, но в отдельные случаи обильных дождей продолжительностью по 10-20 дней отмечались летом. Периодических засух и суховеев не наблюдается, но бывают периоды с недостаточным увлажнением. Накопление снежного покрова зимой происходит равномерно, его наибольшая высота составляет 22-77 см и наблюдается в середине марта месяца. Высота снежного покрова в пространственном отношении различна и зависит от рельефа местности, направления и силы ветра, типа растительности и её расположения в пространстве. Появление устойчивого снежного покрова и его сход в разные годы различаются во времени. Среднее количество дней со снежным покровом для территории лесхоза составляет 166. Замерзание рек происходит в период 20-25 октября, а вскрытие - 15-20 апреля.


3. Проектирование эксплуатационных лесов, защитных лесов, резервных лесов, а также особо защитных участков лесов


Проектирование эксплуатационных, защитных и резервных лесов осуществляется в пределах лесничества, лесопарка на основании анализа состояния и использования лесов, перспектив их освоения, развития особо охраняемых природных территорий с учетом документов территориального планирования.

К эксплуатационным лесам относятся леса, предназначенные для освоения в целях обеспечения устойчивого, максимально эффективного получения высококачественной древесины и других лесных ресурсов, продуктов их переработки с обеспечением сохранения полезных функций лесов. Проектирование эксплуатационных лесов в пределах лесничества, лесопарка осуществляется после проектирования защитных и резервных лесов.

Защитные леса выделяются на землях лесного фонда и землях иных категорий в целях сохранения средообразующих, водоохранных, защитных, санитарно-гигиенических, оздоровительных и других полезных функций лесов с одновременным использованием, совместимым с целевым назначением защитных лесов и выполняемыми ими полезными функциями.

В соответствии с частью 2 статьи 102 Лесного кодекса Российской Федерации определяются следующие категории защитных лесов:

) леса, расположенные на особо охраняемых природных территориях;

) леса, расположенные в водоохранных зонах;

) леса, выполняющие функции защиты природных и иных объектов:

а) леса, расположенные в первом и втором поясах зон санитарной охраны источников питьевого и хозяйственно-бытового водоснабжения;

б) защитные полосы лесов, расположенные вдоль железнодорожных путей общего пользования, федеральных автомобильных дорог общего пользования, автомобильных дорог общего пользования, находящихся в собственности субъектов Российской Федерации;

в) зеленые зоны;

г) лесопарковые зоны;

д) городские леса;

е) леса, расположенные в первой, второй и третьей зонах округов санитарной (горно-санитарной) охраны лечебно-оздоровительных местностей и курортов;

) ценные леса:

а) государственные защитные лесные полосы;

б) противоэрозионные леса;

в) леса, расположенные в пустынных, полупустынных, лесостепных, лесотундровых зонах, степях, горах;

г) леса, имеющие научное или историческое значение;

д) орехово-промысловые зоны;

е) лесные плодовые насаждения;

ж) ленточные боры;

з) запретные полосы лесов, расположенные вдоль водных объектов;

и) нерестоохранные полосы лесов.

3.1 Леса, расположенные в водоохранных зонах

К лесам, расположенным в водоохранных зонах, относятся леса, расположенные в границах водоохранных зон, установленных в соответствии с Водным кодексом Российской Федерации. Согласно статье 65 Водного кодекса ширина водоохраной зоны для реки или ручья устанавливается в зависимости от их протяженности:

до 10 км - 50 метров,

от 10 км до 50 км - 100 метров,

свыше 50 км - 200 метров.

Ширина прибрежной защитной полосы озера, водохранилища, имеющих особо ценное значение (места нереста, нагула, зимовки рыб и других водных биологических ресурсов), устанавливается в размере двухсот метров независимо от уклона прилегающих земель.

3.2 Леса, выполняющие функции защиты природных и иных объектов


Проектирование лесопарковых зон

Границы лесопарковых зон устанавливаются в соответствии с постановлением Правительства Российской Федерации от 14 декабря 2009 г. №1007 "Об утверждении Положения об определении функциональных зон в лесопарковых зонах, площади и границ лесопарковых зон, зеленых зон" (Собрание законодательства Российской Федерации, 2009, №51, ст. 6312; 2011, №7, ст. 981).

Лесопарковые зоны устанавливаются в целях организации отдыха населения, сохранения санитарно-гигиенической, оздоровительной и эстетической ценности природных ландшафтов.

Площадь лесопарковой зоны определяется в зависимости от численности населения соответствующего поселения. Нормативы для определения площади лесопарковой зоны устанавливаются Федеральным агентством лесного хозяйства.

Границы функциональных зон в лесопарковой зоне устанавливаются по квартальным просекам, границам лесных кварталов и (или) лесотаксационных выделов.

Функциональные зоны в лесопарковой зоне представляют собой части лесопарковой зоны, которые выделяются в целях дифференциации режима использования, охраны, защиты и воспроизводства лесов в различных частях лесопарковой зоны.

В лесопарковой зоне, которая имеет хорошо сложившиеся, устойчивые природные ландшафты, сформированную рекреационную инфраструктуру либо в случаях, когда не требуется дифференциация режима использования, охраны, защиты и воспроизводства лесов, функциональные зоны могут не выделяться.

В лесопарковой зоне выделяются зона активного отдыха и прогулочная зона.

В отдельных случаях для сохранения мест обитания фауны и восстановления нарушенных природных ландшафтов могут быть выделены функциональные зоны - зона фаунистического покоя и восстановительная зона.

Зона активного отдыха выделяется в местах лесопарковой зоны с наибольшей рекреационной нагрузкой в целях их благоустройства и формирования эстетически ценных природных ландшафтов повышенной устойчивости. Площадь зоны активного отдыха занимает до 30 процентов площади лесопарковой зоны.

Прогулочная зона выделяется в менее посещаемых населением местах лесопарковой зоны для организации прогулочных и туристических маршрутов, заготовки и сбора в установленном порядке пищевых и недревесных лесных ресурсов. Площадь прогулочной зоны может составлять более 70 процентов площади лесопарковой зоны.

Зона фаунистического покоя выделяется в целях обеспечения оптимальных условий обитания и размножения диких птиц и зверей.

Восстановительная зона выделяется в местах лесопарковой зоны, где произошли гибель лесных насаждений либо существенное снижение их устойчивости, и требуется длительное (в течение не менее 10 лет) осуществление комплекса мероприятий по воспроизводству лесов.

3.3 Проектирование эксплуатационных лесов и защитных лесов на устраиваемом объекте

В курсовом проекте, согласно схематическому распределению лесов по целевому назначению, выделены защитные леса и эксплуатационные. Распределение площади по целевому назначению лесов и категориям защитных лесов показано в таблице 4.

На проектируемом объекте выделены следующие категории защитных лесов:

1. леса, расположенные в водоохранных зонах. В курсовом проекте ширина водоохранных зон принята 100 метров, общая площадь составляет 23,81 га.

1.      лесопарковые зоны. На проектируемом объекте площадь лесопарковых зон составляет 247,3 га.

2.      эксплуатационные леса составляют всю оставшуюся территорию, где не выделены защитные леса. В курсовом проекте площадь эксплуатационных лесов составляет 1005,89 га.

4. Хозяйственное разделение лесов


Деление лесов в квартале по хозяйственному значению осуществляется следующим образом. Территорию каждого лесного квартала разделяют на первичные лесохозяйственные учётные единицы - лесотаксационные выдела. Каждый выдел характеризуется таксационным описанием лесного квартала и изображается на лесоустроительном планшете и плане лесонасаждений лесничества. Лесотаксационный выдел представляет собой ограниченный лесной участок, относительно однородный по почвенно-грунтовым условиям, качественным и количественным показателям произрастающей на нем растительности, что обуславливает проведение на всей площади лесного выдела одних и тех же мероприятий по использованию, охране, защите и воспроизводству лесов.

По хозяйственному значению площадь в квартале делится на лесную и нелесную. Лесная предназначена для выращивания лесов, а нелесная для этой цели не может быть использована. В свою очередь лесная площадь может быть покрытой и непокрытой лесом.

Распределение выделов по категориям земель представлено в таблице 4.

4.1 Лесные земли

Земли, покрытые лесной растительностью

К ним относятся:

-        земли, занятые лесными насаждениями естественного и искусственного происхождения с полнотой 0,4 и выше в возрасте молодняков и с полнотой 0,3 и выше в возрасте, превышающем возраст молодняков;

- земли, занятые кустарниками, на которых в силу естественногеографических условий не могут произрастать древесные породы или на которых специально организуются кустарниковые хозяйства (прутяных и высокотаннидных ив, орехоплодных, технических культур);

-        плантации лесных древесных пород, предназначенные для ускоренного выращивания древостоев с целью получения целевых сортиментов или древесной массы для последующей переработки.

Земли, не покрытые лесной растительностью

К ним относятся участки лесных земель, на которых в момент их таксации древесно-кустарниковая растительность отсутствует, или которая по общему показателю полноты, сомкнутости крон или количеству экземпляров древесных растений не позволяет отнести эти участки к покрытым лесной растительностью землям. Отдельные лесотаксационные выделы образуются из следующих категорий не покрытых лесной растительностью земель:

-        несомкнувшиеся лесные культуры - лесные участки с искусственным лесовосстановлением, таксационные показатели которых не отвечают нормативным требованиям для перевода их в земли, покрытые лесной растительностью;

- естественные редины - лесные участки в экстремальных физико-географических условиях, где формирование древостоев с большей полнотой невозможно, на которых произрастают лесные насаждения с полнотой

1 - 0,2 (молодняки - с полнотой 0,1 - 0,3);

-        питомники и лесные плантации - земли, отведенные для выращивания посадочного материала древесных пород, занятые лесосеменными и маточными плантациями, предназначенные для получения семян и черенков для лесокультурных или озеленительных работ, созданные в целях выращивания орехоплодных, технических, декоративных культур;

-        гари - участки, на которых древесная растительность погибла в результате лесного пожара;

-        погибшие лесные насаждения - участки, на которых древесная растительность погибла в результате массового повреждения их вредными организмами, негативного стихийного воздействия (ветровала, бурелома, снеголома, подтопления, смыва и так далее), выбросов в атмосферу вредных веществ и других природных или антропогенных воздействий;

-        вырубки - участки, на которых древостой полностью вырублен в целях заготовки древесины, в результате проведения сплошных санитарных или иных рубок, а лесовосстановление не произошло, либо количество и состояние его не соответствуют установленным нормативам для отнесения участка к землям, покрытым лесной растительностью;

-        прогалины - мелкие, не возобновившиеся древесными породами участки, возникшие в результате очагового вывала или вырубки древостоев вследствие каких-либо отрицательных воздействий локального характера;

-        пустыри - значительные по площади старые вырубки, гари и другие участки с уничтоженной лесной растительностью, не возобновившиеся в течение последних 10-15 лет.

4.2 Нелесные земли

К ним относятся лесотаксационные выделы из следующих категорий:

-        земли, не пригодные для выращивания леса без проведения специальных мелиоративных мероприятий - болота, скалы, гольцы, каменистые россыпи, пески, безлесные крутые склоны и другие неудобные земли;

-        земли, занятые пашнями, сенокосами, пастбищами;

-        к болотам относятся лесные участки с поверхностным слоем торфа глубиной не менее 30 сантиметров в неосушенных местах и 20 сантиметров - в осушенных местах при отсутствии на них древесной растительности или при наличии ее с полнотой 0,3 и менее для молодняков и 0,2 и менее для других возрастных групп.

Таблица 4

Виды лесов по целевому назначению

Общая площадь лесов, тыс. га

Лесные земли, га

Нелесные земли, га



покрытые лесной растительностью

не покрытые лесной растительностью

всего лесных земель

 пашни

сенокосы

 пастбища

воды

сады, тутовники, ягодники

дороги, просеки

усадьбы и прочее

болота

пески

ледники

прочие земли

всего нелесных земель




несомкнувшиеся лесные культуры

 питомники и лесные плантации

естественные редины

фонд лесовосстановления
















всего

лесные культуры




 гари

погибшие лесные насаждения

 вырубки

прогалины, пустыри

 итого














Всего устроенных лесов

-

-

-

-

-

-

-

-

-

-

-

-

-

-

-

-

-

-

-

-

-

-

-

-

в том числе по категориям:

-

-

-

-

-

-

-

-

-

-

-

-

-

-

-

-

-

-

-

-

-

-

-

-

Леса, расположенные на особо охраняемых природных территориях

-

-

-

-

-

-

-

-

-

-

-

-

-

-

-

-

-

-

-

-

-

-

-

-

Леса, расположенные в водоохранных зонах

23,8

19,0

-

-

-

-

-

-

-

-

23,8

-

-

-

-

-

-

-

-

-

-

-

-

Леса, выполняющие функции защиты природных и иных объектов - всего

247,3

178,0

42,8

-

-

-

-

-

2,1

-

2,1

222,9

-

-

-

0,2

-

1,3

-

-

-

-

22,9

24,4

Защитные полосы лесов, расположенные вдоль железнодорожных путей общего пользования, федеральных автомобильных дорог общего пользования, автомобильных дорог общего пользования, находящихся в собственности субъектов Российской Федерации

-

-

-

-

-

-

-

-

-

-

 

 

-

-

-

-

-

-

-

-

-

-

-

-

Зеленые зоны

-

-

-

-

-

-

-

-

-

-

 

 

-

-

-

 

-

 

-

-

-

-

-

-

Лесопарковые зоны

247,3

178,0

42,8

-

-

-

-

-

2,1

-

2,1

222,9

-

-

-

0,2

-

1,3

-

-

-

-

22,9

24,4

Ценные леса - всего

-

-

-

-

-

-

-

-

-

-

-

-

-

-

-

-

-

-

-

-

-

-

-

-

Эсплуатационные леса

1005,9

799,7

172,9

6,5

-

-

-

-

12,8

-

12,8

991,8

-

0,3

-

1,9

-

11,9

-

-

-

-

-

14,1

Резервные леса

-

-

-

-

-

-

-

-

-

-

-

-

-

-

-

-

-

-

-

-

-

-

-

-

 ВСЕГО ЛЕСОВ

1277,0

996,7

220,5

6,5

-

-

-

-

14,9

-

14,9

1238,5

-

0,3

-

2,1

-

13,2

-

-

-

-

45,8

38,5



Характеристика лесов по целевому назначению: о защитных лесах, об их категориях, эксплуатационных лесах и о резервных лесах

Вывод: из таблицы 4 видно, что преобладают лесные земли, конкретно территории, покрытые лесной растительностью (996, 7 га). Лесные земли, не покрытые лесной растительностью, составляют 241,8 га. Меньше всего на территории нелесных земель (38,5 га).

 


5. Расчет средних таксационных показателей


Расчет средних таксационных показателей по лесному участку в курсовом проекте производится для насаждений каждой преобладающей породы. Все показатели вычисляются как средневзвешенные величины.

Средний возраст по породе рассчитывается по данным распределения площадей покрытых лесом земель по классам возраста (табл. 5) по следующей формуле:


где: Аср - средний возраст (фактический), лет;

а2... ап - середины соответствующих классов возраста, лет;

S1...Sn - площади древостоев по соответствующим классам возраста, лет:

∑S - общая площадь насаждений данной породы, га.

При расчетах продолжительность класса возраста принимается для хвойных пород и твердолиственных высокоствольной формы происхождения в 20 лет, по другим породам - в 10 лет.

Общий годичный прирост рассчитывается по данным распределения запасов покрытых лесом земель по классам возраста (табл. 5) по следующей формуле:


где: - общий годичный прирост, м3;

а1... ап - середины соответствующих классов возраста, лет;

М1-М2 -площади древостоев по соответствующим классам возраста, лет;

Средний годичный прирост рассчитывается как отношение общего годичного прироста к общей площади по формуле:



Таблица 5. Распределение площади и запаса покрытых лесом земель по классам возраста

Порода

Классы возраста

Итого

Средний возраст, лет

Общий годичный прирост, тыс. м3

Средний годичный прирост на 1 га, м3


1

2

3

4

5

6

7

8

9

10

11





Целевое назначение лесов: эксплуатационные леса

Сосна

46,29

99,74

4,3

1,74

261,87

70,6

115,86

15,02

2,9

0

0

618,32

86

2184,8

3,5


3142

10791,7

948

574,2

89003,6

21032,7

34410,8

5211,8

696

0

0

165811




Береза

1,6

7,14

2,3

1

3,55

41,03

45,53

16,77

45,72

19,27

9,8

193,71

70

556,7

2,9


8

377,4

207

140

482

8059,8

8733

3554,6

9726,3

3828,9

2511

37628




Осина

0

1

0

0

1,5

0

0

0

0

0

0

2,5

33

15,7

6,3


0

80

0

0

465

0

0

0

0

0

0

545




Ель

39,51

9,25

0

0,8

1,2

0,5

7,2

89,35

0

0

158,01

107

364,7

2,3


1704,6

616,5

0

192

204

70

1401

21394,4

2494

0

0

28077




Всего по эксплуатационным лесам

Всего

87,4

117,13

6,6

3,54

268,12

112,13

168,59

121,14

58,82

19,27

9,8

972,54

 

 

 


4854,6

11865,6

1155

906,2

90154,6

29162,5

44544,8

30160,8

12916,3

3828,9

2511

232060




Целевое назначение лесов: защитные леса

Категория защитных лесов: лесопарковая зона

Сосна

5,1

30,5

0

22

71,87

47,66

2,4

1,8

0

0

0

181,33

82

706,8

3,9


357

3555,2

0

7583

25109,6

17051,8

812,4

600

0

0

0

55069





Вывод: Из таблицы 5 видно преобладание в эксплуатационных лесах спелых и перестойных насаждений, а в защитных - приспевающих и спелых насаждений.

Средний класс бонитета рассчитывается по данным распределения площадей покрытых лесом земель по классам бонитета (табл. 6).

Особенностью вычисления является наличие иногда классов бонитета выше первого (1а, 1б) и ниже пятого (Va, Vб). Поэтому для вычисления среднего значения предварительно необходимо каждый класс бонитета зашифровать словными цифрами как показано ниже:

Классы бонитета                              1а 1б I II Ш IV V Va Vб

Шифр класса бонитета                    1 2 3456789

Площадь класса бонитета, га          S1 S2 S3 S4 S5 S6 S7 S8 S9

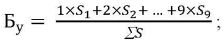
Условный средний класс бонитета определяется по формуле:


где: Бу - условный средний класс бонитета;

, 2 , 9 - условные цифровые значения классов бонитета;

S1, S2... S9 - площади насаждений классов бонитета, га;

∑$ - общая площадь насаждений данной породы, га.

Таблица 6. Распределение площади покрытых лесом земель по классам бонитета

Порода

Покрытые лесом земли

Классы бонитетов

Средний бонитет



1

2

3

4

5


Целевое назначение лесов: эксплуатационные леса

Сосна

618,32

44,55

408,62

64,52

15,45

85,18

2,5

Береза

193,71

0

57,97

106,9

28,84

0

2,9

Осина

2,5

1,5

0

1

0

0

1,8

Ель

158,01

0

7,5

42,06

65,58

42,87

3,9

Всего по эксплуатационным лесам

Всего

972,54

46,05

474,09

214,48

109,87

128,05

 

Целевое назначение лесов: защитные леса

Категория защитных лесов: лесопарковая зона

Сосна

181,33

13,45

127,7

40,18

0

0

2,1


Вывод: таблица 6 показывает, что у основной массы пород средний бонитет 2 или 3, поэтому насаждения можно считать высокобонитетными.

Средняя полнота вычисляется по данным распределения площадей по полнотам отдельно по преобладающей породе (табл. 7).

Расчет проводится по формуле:


где: Рср - средняя полнота;

0,3; 0,4 ... 1,0 - цифровые значения соответствующих полнот;

S0,3; S0,4; ...; S1,0 - площади насаждений соответствующих полнот, га;

∑S - общая площадь насаждений данной породы, га.

Таблица 7. Распределение площади покрытых лесом земель по полнотам

Порода

Покрытые лесом земли

Полнота

Средняя полнота



1,0

0,9

0,8

0,7

0,6

0,5

0,4

0,3


Целевое назначение лесов: эксплуатационные леса

Хозсекция сосновая

Сосна

618,32

23,5

77,55

238,09

195,73

51,54

17,57

1

13,34

0,75

Хозсекция березовая

Береза

193,71

3,1

34,92

81,03

61,76

8,6

1,6

2,7

0

0,77

Хозсекция осиновая

Осина

2,5

1

1,5

0

0

0

0

0

0

0,94

Хозсекция еловая

Ель

158,01

0

3,7

31,12

84,79

31,97

3,35

3,1

0

0,6941

Всего по эксплуатационным лесам

Всего

972,54

27,6

117,7

350,24

342,28

92,11

22,52

6,8

13,34


Целевое назначение лесов: защитные леса

Категория защитных лесов: лесопарковая зона

Хозсекция сосновая

Сосна

181,33

1,4

12,62

71,78

87,17

8,36

0

0

0

0,75


Вывод: таблица 7 показывает преобладание высокополнотных насаждений во всех категориях защитности, т.к. средняя полнота составляет в среднем 0,8.

Распределение насаждений по типам леса приведено в таблице 8.

Средний класс товарности вычисляется по данным распределения запасов на классы товарности отдельно по преобладающей породе (табл. 8).

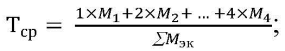
Расчет проводится по формуле:


где: Тср - средний класс товарности;

1, 2, …, 4 - цифровые значения соответствующих классов товарности;

М1, М2, …, М4 - запасы насаждений соответствующих классов товарности, м3:

∑Мэк - запас эксплуатационного фонда, га.

Таблица 8. Распределение насаждений по типам леса

Порода

Типы леса

Итого


СЯГ

ССФХ

СЯЛП

СРТР

СЕВТР

СЕОСФ

ЕСЗЯГ

ЕСТР

ЕМШ

ЕТЗМ

БОСФ


Целевое назначение лесов: эксплуатационные леса

Хозсекция сосновая

Сосна

408,14

8,63

43,1

60,71

10,8

84,08

2,86

0

0

0

0

618,32

Хозсекция березовая

Береза

23,6

0

22,49

66,87

68,05

6,9

0

0

0

0

5,8

193,71

Хозсекция осиновая

Осина

0

0

0

2,5

0

0

0

0

0

0

0

2,5

Хозсекция еловая

Ель

0

0

0

0

32,21

59,94

7,8

35,91

18,65

3,5

0

158,01

Всего по эксплуатационным лесам

Всего

431,7

8,6

65,6

130,1

111,1

150,9

10,7

35,9

18,7

3,5

5,8

972,5

Целевое назначение лесов: защитные леса

Категория защитных лесов: лесопарковая зона

Хозсекция сосновая

Сосна

115,07

0

54,4

11,86

0

0

0

0

0

0

181,33


Вывод: из таблицы 8 следует, что в эксплуатационных и в защитных лесах преобладает тип леса, следовательно, это группа типов леса зеленомошно-ягодниковая.

Таблица 9. Распределение запаса эксплуатационного фонда по хозсекциям, преобладающим породам и классам товарности

Порода

Запас эксплуатационного фонда

Классы товарности

Средний класс товарности



1

2

3

4


Целевое назначение лесов: эксплуатационные леса

Хозсекция сосновая

Сосна

63111,8

50244,4

12867,4

0

0

1,20

Хозсекция березовая

Береза

28483

0

6772

21711

0

2,76

Хозсекция осиновая

Осина

465

0

465

0

0

2,00

Хозсекция еловая

Ель

25359,4

15523,6

9835,8

0

0

1,39

Всего по эксплуатационным лесам

Всего

 

65768,0

29940,2

21711,0

0,0

 

Целевое назначение лесов: защитные леса

Категория защитных лесов: лесопарковая зона

Хозсекция сосновая

Сосна

18464,2

18464,2

0

0

0

1,00


Вывод: таблица 9 показывает, что в эксплуатационных лесах хозсекции сосновая, осиновая и еловая относятся к высокотоварным, а березовая - к низкотоварным; в защитных лесах сосновую хозсекцию можно отнести к высокотоварной.

Средние таксационные показатели приведены в сводной таблице 10.

Таблица 10. Средние таксационные показатели лесов по целевому назначению, хозсекциям, преобладающим породам

Преобладающая порода

Площадь, га

Средние таксационные показатели



возраст, лет

класс бонитета

относительная полнота

класс товарности

запас насаждений на 1 га, м3

Общий годичный прирост, тыс. м3

Средний годичный прирост на 1 га, м3










Целевое назначение лесов: эксплуатационные леса

Хозсекция сосновая

Сосна

618,32

86

3

0,8

1

268

2184,8

3,5

Хозсекция березовая

Береза

193,71

70

3

0,8

3

194

556,7

2,9

Хозсекция осиновая

Осина

2,5

33

2

0,9

2

218

15,7

6,3

Хозсекция еловая

Ель

158,01

107

4

0,7

1

178

364,7

2,3

Целевое назначение лесов: защитные леса

Категория защитных лесов: лесопарковая зона

Хозсекция сосновая

Сосна

181,33

82

2

0,8

1

304

706,8

3,9


Вывод: из таблицы 10 по показателям запаса насаждений на 1 га, общего и среднего годичных приростов видно, что в эксплуатационных насаждениях необходимо провести рубки.

 


6. Разработка основ организации лесного хозяйства лесхоза. Выделение хозяйственных секций


Лесоустройством по объекту устанавливаются основные положения организации и ведения лесного хозяйства, учитывающие неоднородность экономических и природно-экологических условий, различия в целевом назначении лесов, разнообразия состава, производительности и лесоводственных свойств насаждений и др.

Лесной фонд разнороден по составу насаждений, продуктивности, возрасту, состоянию и делится на многочисленные первичные учётные единицы - лесотаксационные выдела. Таксация лесов проводится методом классов возраста. Продолжительность интервала класса возраста для хвойных пород составляет 20 лет, а для мягколиственных - 10 лет. Для организации ведения лесного хозяйства лесоустройство образует первичные расчётные единицы - хозяйственные секции [1]. Все лесоустроительные расчеты производятся отдельно по каждой хозсекции.

Хозсекция - представляет собой совокупность территориально разбросанных насаждений и не покрытых лесом участков лесной площади, объединяемые в единое целое древесной породой, общностью хозяйственной цели, формами хозяйства, возрастом рубки, однородностью важнейших лесохозяйственных мероприятий и единством лесоводственно-технических расчетов.

Основаниями для образования хозсекций служат различия в преобладающих породах, в классах бонитета, в происхождении насаждений, в типах леса, в цели хозяйства, в способах рубки, в горных лесах - крутизна склонов.

По различию в преобладающих породах хозсекций создаются с расчетом на одну преобладающую породу в секции.

Если насаждения какой-либо преобладающей породы занимают небольшую площадь, недостаточную для выделения самостоятельной хозсекций и нет потребности в сортиментах, получаемых только из этой породы, то они присоединяются к другой хозсекций, с главной породой близкой по биологическим свойствам, целью и режимом ведения лесного хозяйства. Например, можно объединять сосну с лиственницей, ель с пихтой, березу с ольхой черной, осину с ольхой серой и ивой древовидной, а также допускается объединять все хвойные или все мягко лиственные, все твердолиственные и т.п. [2].

Однако, такие ценные породы, как дуб, липа, кедр и др. выделяются с целью их сохранения и расширения в самостоятельный объект проектирования (хозсекцию) при любой минимальной площади. Самостоятельной хозсекцией может остаться любая преобладающая порода с малой площадью, если по биологическим особенностям нет возможности объединить ее с другими [2].

Если площади, занятые насаждениями с преобладанием мягколиственных пород, предполагают перевести в хвойные или твердолиственные древостой путем рубок ухода, реконструкции или лесных культур - создают временные мягколиственные хозсекции.

В интенсивных хозяйствах образование хозсекций в пределах одной породы следует производить по группам классов бонитета: высокобонитетная или крупнотоварная (Iа-Ш) и низкобонитетная или мелкотоварная (IV-Vб).

С учетом происхождения (семенное, порослевое) создаются хозяйственные секции насаждения твердолиственных пород, соответственно высокоствольные и низкоствольные хозсекций. К высокоствольным относят насаждения искусственного и естественного семенного происхождения; к низкоствольным - насаждения порослевого происхождения [2].

Отнесение естественных насаждений смешанного происхождения к категории семенных или порослевых производится по преобладанию в них деревьев соответствующего происхождения.

Образование хозсекций на типологической основе производится в объектах с высокоинтенсивным лесным хозяйством при обязательном почвенно-типологическом обследовании.

В отдельных случаях, учитывая цели хозяйства, можно организовать хозсекций с целью, например, получение уникальных сортиментов (резонансная древесина, фанерный кряж и др.) или выполнение защитных функций леса [2].

Если в насаждениях с преобладанием одной породы намечается применение различных способов рубок, например, выборочных и сплошнолесосечных, то необходимо организовывать отдельные хозсекций по способам рубок.

В горных лесах хозсекций следует образовывать по группам пород сходным в биологическом отношении и по своему целевому назначению, а также по группам крутизны склонов.

Количество хозсекций и площади хозсекций следует образовывать исходя из действительной необходимости, и не допускать излишнего дробления леса, усложняющего организацию и ведение лесного хозяйства.

В практике лесоустройства рекомендуется иметь площадь хозсекций не менее 10% от покрытой лесом площади хозяйства (хвойное, твердолиственное, мягколиственное).

В последнее время выделено понятие хозяйство.

Хозяйство - это совокупность хозсекций, объединенных, в свою очередь, по преобладающим породам (хвойным, твердолиственным, мягколиственным).

Таблица 11. Распределение хозсекций по классам возраста

Порода

Классы возраста

Итого

Средний возраст, лет

Общий годичный прирост, тыс. м3

Средний годичный прирост на 1 га, м3


1

2

3

4

5

6

7

8

9

10

11





Целевое назначение лесов: защитные леса

Категория защитных лесов: лесопарковая зона

Хозсекция сосновая 1а-2 бонитет (С 1а-2)

Сосна

5,1

19,27

0

22

71,87

20,37

1,54

1

0

0

0

141,15

80

579,0

4,1


357

2394,4

0

7582,7

25109,6

7647

554,4

360

0

0

0

44005,1




Хозсекция сосновая 3-5 бонитет (С 3-5)

Сосна

0

11,23

0

0

0

27,29

0,86

0,8

0

0

0

40,18

89

127,8

3,2


0

1160,8

0

0

0

9404,8

258

240

0

0

0

11063,6




Всего по защитным лесам

Сосна

5,1

30,5

0

22

71,87

47,66

2,4

1,8

0

0

0

181,33

 

 

 


357

3555,2

0

7582,7

25109,6

17051,8

812,4

600

0

0

0

55068,7




Целевое назначение лесов: эксплуатационные леса

Хозсекция сосновая 1а-2 бонитет (С 1а-2)

Сосна

44,89

94,94

3,2

1,74

249,73

27,7

28,75

2,22

0

0

0

453,17

73

1792,1

4,0


2960

10254,7

816

574,2

85787,4

9603

10849,8

865,8

0

0

0

121710,9




Хозсекция сосновая 3-5 бонитет (С 3-5)

Сосна

1,4

4,8

1,1

0

12,14

42,9

87,11

12,8

2,9

0

0

165,15

120

392,7

2,4


182

537

132

0

3216,2

11429,7

23561

4346

696

0

0

44099,9




Всего по сосновой хозсекции

Сосна

46,29

99,74

4,3

1,74

261,87

70,6

115,86

15,02

2,9

0

0

618,32

86

2184,8

3,5


3142

10791,7

948

574,2

89003,6

21032,7

34410,8

5211,8

696

0

0

165810,8




Хозсекция березовая (Б 1-5)

Береза

7,14

2,3

1

3,55

41,03

45,53

16,77

45,72

19,27

9,8

193,71

70

556,7

2,9


8

377,4

207

140

482

8059,8

8733

3554,6

9726,3

3828,9

2511

37628




Хозсекция осиновая (Ос 1-5)

Осина

0

1

0

0

1,5

0

0

0

0

0

0

2,5

33

15,7

6,3


0

80

0

0

465

0

0

0

0

0

0

545




Хозсекция еловая (Е 1а-3)

Ель

39,51

9,25

0

0,8

0

0

0

0

0

0

0

49,56

15

193,8

3,9


1704,6

616,5

0

192

0

0

0

0

0

0

0

2513,1




Хозсекция еловая (Е 4-5)

Ель

0

0

0

0

1,2

0,5

7,2

89,35

10,2

0

0

108,45

150

143,7

1,3


0

0

0

0

161,1

90

690,1

17428,8

3328

0

0

21698




Всего по еловой хозсекции

Сосна

39,51

9,25

0

0,8

1,2

0,5

7,2

89,35

10,2

0

0

158,01

107

337,4

2,1


1704,6

616,5

0

192

161,1

90

690,1

17428,8

3328

0

0

24211,1




Всего по эксплуатационным лесам

Всего

87,4

117,13

6,6

3,54

268,12

112,13

168,59

121,14

58,82

19,27

9,8

972,54

 

 

 


4854,6

11865,6

1155

906,2

90111,7

29182,5

43833,9

26195,2

13750,3

3828,9

2511

228194,9






7. Спелость леса

Спелость леса - это состояние хозяйственно однородных насаждений, когда они в наибольшей степени удовлетворяют потребность хозяйства в древесине и других полезностях леса.

Теория лесоустройства изучает четыре наиболее важные для организации лесного хозяйства спелости: возобновительную, естественную, количественную и техническую. Две первые спелости леса определяются естественными процессами роста деревьев и древостоев, а две последние связаны с техническими расчётами и хозяйственными требованиями к размерам и качеству конкретных сортиментов, наиболее востребованных в хозяйстве страны в конкретных экономических условия [1].

7.1 Возобновительная спелость леса

Возобновительной спелость - состояние деревьев и древостоев, при котором их естественное возобновление обеспечивается успешно

Способность древесных пород к естественному возобновлению с возрастом меняется.

Возрасты деревьев и древостоев, соответствующие состоянию возобновительной спелости, называют возрастами возобновительной спелости. В состоянии возобновительной спелости древостой и отдельные деревья обычно находятся длительный период, исчисляющийся многими десятилетиями. Различают семенную и порослевую возобновительные спелости леса.

Возобновительная семенная спелость - тот наименьший возраст, при котором деревья начинают давать обильный урожай семян.

Большое значение имеет в хозяйствах, где воспроизводство леса осуществляется естественным путем. Так, в высокоствольном хозяйстве важно знать тот возраст, в котором наступает возобновительная семенная спелость, чтобы древостой дали семена до рубки. Высший возрастной предел семеношения при этом не имеет существенного значения, так как древесные породы сохраняют семенную производительность до высоких возрастов, превышающих возрасты рубок, обычно в лесном хозяйстве.

В низкоствольных хозяйствах, наоборот, важно знать тот наивысший возраст древостоя, при котором после рубки еще появляется обильная поросль, то есть возраст, до которого сохраняется возобновительная порослевая спелость. Знание этого возраста может также иметь решающее значение в установлении возрастов рубок в защитных лесах [3].

7.2 Естественная спелость леса

Естественной спелостью леса называют то состояние дерева или древостоя, при котором они начинают переходить в стадию отмирания.

Возраст, соответствующий подобному состоянию, называется возрастом естественной спелости.

Для естественной спелости деревьев и древостоев, как правило, характерны следующие признаки: резкое замедление роста в высоту, зонтообразная форма кроны, суховершинность, развитие гнилей, сильная изреженность древостоев вследствие массового отпада старых деревьев и т.д. Считают, что весьма характерным показателем наступления естественной спелости древостоев служит снижение их запаса древесины на корне. Это явление наступает с определенного возраста, когда слабый текущий прирост не компенсирует естественного отпада по массе [3].

Возраст естественной спелости зависит от породы, происхождения и условий местопроизрастания. У хвойных и твердолиственных пород он выше, чем у мягколиственных. Естественная спелость у быстрорастущих пород порослевого происхождения, произрастающих в неблагоприятных условиях, наступает раньше, чем у этих же пород семенного происхождения, растущих в хороших условиях. Возраст естественной спелости у отдельных деревьев может быть выше, чем у древостоев из данной древесной породы [3].

Устанавливать возраст естественной спелости леса очень важно для лесного хозяйства, так как он определяет высший предел, после которого насаждения нецелесообразно оставлять на корню. Особое значение естественная спелость имеет для паркового хозяйства, когда в задачу входит сохранение отдельных деревьев и целых насаждений до такого возраста, в котором они не портят ландшафта и отвечают требованиям паркового хозяйства.

7.3 Количественная спелость леса

Количественная спелость - тот возраст дерева или всего древостоя, в котором средний годичный приросту них оказывается наибольшим.

При рубке древостоя в возрасте количественной спелости и замене его новым поколением хозяйство получает в среднем в год с площади, занимаемой этим древостоем, наибольшее количество древесной массы.

Соотношение текущего и среднего приростов древесины является наиболее точным показателем возраста количественной спелости. При этом может быть три случая:

-        текущий прирост больше среднего - древостой не достиг возраста количественной спелости;

-        текущий прирост меньше среднего - древостой перешел возраст количественной спелости,

-        текущий прирост равен среднему или близок по абсолютному значению с ним - древостой находится в возрасте количественной спелости [3].

Эти закономерности используются при определении возраста количественной спелости у древостоев. В практике лесоустройства можно выделить следующие основные методы определения количественной спелости:

1.       по таблицам хода роста;

2.       по пробным площадям;

3.       по проценту прироста.

7.4 Техническая спелость древесины

В том случае, если леса отдельных лесных массивов служат сырьевыми базами крупных промышленных предприятий: целлюлозно-бумажных комбинатов, лесопильных, фанерных заводов и др., то задачей лесного хозяйства в таких лесах является выращивание древостоев, обеспечивающих максимальный выход сортиментов, требующихся промышленным предприятиям - так называемых целевых древостоев.

Возрастом технической спелости леса (Атехн) является возраст древостоя, при котором достигается максимальный выход требуемого в хозяйстве сортимента или группы сортиментов с единицы площади в единицу времени, называется

Техническая спелость - это своего рода количественная спелость, только не по общему запасу древесины, а по сортименту или группе сортиментов, пользующихся наибольшим спросом и дающих максимальную выгоду для собственника лесного фонда. Это тот возраст в динамике древостоя, для которого характерен наивысший средний прирост желательных хозяйству сортиментов [3].

Основными сортиментами, пользующимися наибольшим спросом на рынке, являются: пиловочные и строительные бревна, шпальные кряжи, балансы, рудничная стойка, фанерные, спичечные и тарные кряжи, а также дрова. Тот или иной сортимент или группа их обычно являются ведущими в заданном районе и лесохозяйственной единице, по ним и определяют техническую спелость насаждения. Необходимо обратить внимание на то, что количественная спелость - одна, технических спелостей много, например: техническая спелость на пиловочник, техническая спелость на крупную бревенную древесину, техническая спелость на балансы и т.д. Количественной спелости достигают все древостой, независимо от условий местопроизрастания. В отличие от количественной спелости техническая спелость на крупномерные сортименты (пиловочные бревна, шпальник, фанерный кряж) не может быть реализована в древостоях низких классов бонитета, так как в связи с неблагоприятными условиями роста в древостоях V, Va классов бонитета и даже в отдельных случаях IV класса бонитета стволы крупных размеров или вообще не формируются, или для получения крупномерных стволов древостой требуется держать на корне до очень высоких возрастов, не приемлемых для хозяйства [3].

Теорией и практикой лесоустройства разработано несколько способов определения технической спелости леса:

1.       Определение технической спелости при помощи таблиц объемов и сбега стволов и таблиц хода роста

2.       Определение технической спелости по целевому диаметру

3.       Определение технической спелости по таблицам хода роста и товарным таблицам

4.       Определение технической спелости методом пробных площадей

В возрасте технической спелости древостой находится в течение нескольких десятилетий, сохраняя выход пиловочника и строительных брёвен примерно на одном уровне. Существует понятие периода технической спелости. Для установления его применяют простой технический приём. От самой верхней точки среднего прироста ведущих сортиментов откладывают величину прироста 0,05 м, т.е. не округляемую до 0,1 м3 , и проводят линию, параллельную оси абсцисс. Пересечение этой линии с кривой среднего прироста ведущих сортиментов, спроектированное на ось абсцисс, покажет время продолжительности периода спелости.

Таблица 12. Расчет возрастов количественной и технической спелости древостоев сосны 3 класса бонитета и 1 класса товарности

Возраст, лет

Данные из таблиц хода роста

Данные по товарным таблицам


Средние

Запас на 1 га, м3

Прирост, м3

По укрупненным классам толщины

Всего деловой


высота, м

диаметр, см


средний

текущий

мелкие

средние

крупные

крупн.+средн.








%

запас, м3

прирост, м3

%

запас, м3

прирост, м3

%

запас, м3

прирост, м3

%

запас, м3

прирост, м3

%

запас, м3

прирост, м3

Целевое назначение лесов: эксплуатационные леса

Хозсекция сосновая

20

5,9

5,2

55

2,7

 -

 -

 -

 

 -

 -

 

 -

 -

 

 -

 -

 

 -

 -

 -

30

8,8

7,8

92

3,1

3,7

 -

 -

 

 -

 -

 

 -

 -

 

 -

 -

 

 -

 -

 -

40

11,4

10,2

131

3,3

3,9

 -

 -

 

-

 -

 

 -

 -

 

 -

 -

 

 -

 -

 -

50

13,8

12,6

177

3,5

4,6

68,9

121,95

2,4115

7,1

12,567

0,2485

-

-

 

7,1

12,567

0,2485

76

134,52

2,660

60

16,0

14,8

223

3,7

4,6

59,3

132,24

2,1941

17,7

39,471

0,6549

-

-

 

17,7

39,471

0,6549

77

171,71

2,849

70

17,7

16,8

3,7

3,9

47,4

124,19

1,7538

31,6

82,792

1,1692

-

-

 

31,6

82,792

1,1692

79

206,98

2,923

80

19,1

18,8

296

3,7

3,4

36,0

106,56

1,332

43,6

129,056

1,6132

0,4

1,184

0,0148

44,0

130,240

1,628

81

239,76

2,997

90

20,3

20,6

327

3,6

3,1

27,4

89,598

0,9864

52,1

170,367

1,8756

2,5

8,175

0,09

54,6

178,542

1,9656

82

268,14

2,952

100

21,2

22,4

356

3,5

2,9

20,7

73,692

0,7245

56,3

200,428

1,9705

7,0

24,92

0,245

63,3

225,348

2,2155

84

299,04

2,940

110

22,2

24,2

381

3,5

2,5

15,3

58,293

0,5355

54,9

209,169

1,9215

13,8

52,578

0,483

68,7

261,747

2,4045

84

320,04

2,940

120

22,9

25,8

401

3,3

2,0

15,3

61,353

0,5049

54,9

220,149

1,8117

13,8

55,338

0,4554

68,7

275,487

2,2671

84

336,84

2,772

130

23,4

27,3

417

3,2

1,6

11,3

47,121

0,3616

50,4

210,168

1,6128

22,3

92,991

0,7136

72,7

303,159

2,3264

84

350,28

2,688

140

23,8

28,6

430

3,1

1,3

8,4

36,12

0,2604

44,5

191,35

1,3795

31,1

133,73

0,9641

75,6

325,080

2,3436

84

361,2

2,604

150

24,2

29,7

443

3,0

1,3

8,4

37,212

0,252

44,5

197,135

1,335

31,1

137,773

0,933

75,6

334,908

2,268

84

372,12

2,520

160

24,5

30,8

452

2,8

0,9

6,2

28,024

0,1736

38,1

172,212

1,0668

39,7

179,444

1,1116

77,8

351,656

2,1784

84

379,68

2,352

170

24,7

31,8

461

2,7

0,9

6,2

28,582

0,1674

38,1

175,641

1,0287

39,7

183,017

1,0719

77,8

358,658

2,1006

84

387,24

2,268

180

25,0

33,0

469

2,6

0,8"

4,6

21,574

0,1196

31,8

149,142

0,8268

47,6

223,244

1,2376

79,4

372,386

2,0644

84

393,96

2,184


Таблица 13. Расчет возрастов количественной и технической спелости древостоев березы 3 класса бонитета и 3 класса товарности

Возраст, лет

Данные из таблиц хода роста

Данные по товарным таблицам


Средние

Запас на 1 га, м3

Прирост, м3

По укрупненным классам толщины

Всего деловой


высота, м

диаметр, см


средний

текущий

мелкие

средние

крупные

крупн.+средн.








%

запас, м3

прирост, м3

%

запас, м3

прирост, м3

%

запас, м3

прирост, м3

%

запас, м3

прирост, м3

%

запас, м3

прирост, м3

Целевое назначение лесов: эксплуатационные леса

Хозсекция березовая

10

3,4

2,4

18

1,8

-

-

-

-

-

-

 

-

-

 

-

-

 

-

-

-

20

7,7

6,0

57

2,9

3,9

 -

 -

-

 -

 -

 

 -

 -

 

 -

 -

 

 -

 -

 -

30

11,3

9,0

98

3,3

4,1

 -

 -

-

 -

 -

 

 -

 -

 

 -

 -

 

 -

 -

 -

40

14,0

11,9

134

3,4

 -

 -

-

-

 -

 

 -

 -

 

 -

 -

 

 -

 -

 -

50

16,1

14,5

166

3,3

3,2

-

-

-

0,8

-

 

-

-

 

0,8

-

 

40

-

-

60

17,8

16,4

193

3,2

2,7

-

-

-

2,9

-

 

-

-

 

2,9

-

 

42

-

-

70

19,2

18,3

215

3,1

2,2

-

-

-

6,4

13,76

0,1984

0,3

0,645

0,0093

1,1

14,405

0,2077

43

92,45

1,333

80

20,2

20,0

232

2,9

1,7

-

-

-

14,2

32,944

0,4118

1,3

3,016

0,0377

15,5

35,96

0,4495

45

104,4

1,305

90

21,0

21,1

244

2,7

1,2

-

-

-

18,4

44,896

0,4968

3

7,32

0,1976

21,4

52,216

0,6944

46

112,24

1,242

100

21,5

21,9

253

2,5

0,9

-

-

-

18,4

46,552

0,46

3

7,59

0,1898

21,4

54,142

0,6498

46

116,38

1,15


Таблица 14. Расчет возрастов количественной и технической спелости древостоев осины 2 класса бонитета и 2 класса товарности

Данные из таблиц хода роста

Данные по товарным таблицам

Средние

Запас на 1 га, м3

Прирост, м3

По укрупненным классам толщины

Всего деловой

высота, м

диаметр, см


средний

текущий

мелкие

средние

крупные

крупн.+средн.







%

запас, м3

прирост, м3

%

запас, м3

прирост, м3

%

запас, м3

прирост, м3

%

запас, м3

прирост, м3

%

запас, м3

прирост, м3

9,4

8,0

90

4,5

5,0

 -

 -

0,0

 -

 -

0,0

 -

 -

0,0

 -

 -

0,0

 -

 -

 -

13,1

11,2

145

4,8

5,5

 -

 -

0,0

 -

 -

0,0

 -

 -

0,0

 -

 -

0,0

 -

 -

 -

16,4

14,6

201

5,0

5,6

 -

 -

0,0

-

 -

0,0

 -

 -

0,0

 -

 -

0,0

 -

 -

 -

18,9

17,3

253

5,1

5,2

-

-

0

-

-

0

-

-

0,0

-

-

0

-

-

-


Вывод: исходя из таблицы 14, можно увидеть отсутствие пересечений графиков среднего и текущего приростов, а, значит, представленные в работе насаждения не достигли возраста количественной спелости. Возраст технической спелости определить невозможно, так как нет данных на осину 2 класса товарности в товарных таблицах.

Таблица 15. Расчет возрастов количественной и технической спелости древостоев ели 4 класса бонитета и 1 класса товарности

Возраст, лет

Данные из таблиц хода роста

Данные по товарным таблицам


Средние

Запас на 1 га, м3

Прирост, м3

По укрупненным классам толщины

Всего деловой


высота, м

диаметр, см


средний

текущий

мелкие

средние

крупные

крупн.+средн.








%

запас, м3

прирост, м3

%

запас, м3

прирост, м3

%

запас, м3

прирост, м3

%

запас, м3

прирост, м3

%

запас, м3

прирост, м3

Целевое назначение лесов: эксплуатационные леса

Хозсекция еловая

20

1,8

-

11

0,9

 -

 -

 -

-

 -

 -

 

 -

 -

 

 -

 -

 

 -

 -

 -

30

3,7

2,0

37

1,8

3,6

 -

 -

-

 -

 -

 

 -

 -

 

 -

 -

 

 -

 -

 -

40

5,7

5,0

74

2,5

4,8

 -

 -

-

-

 -

 

 -

 -

 

 -

 -

 

 -

 -

 -

8,2

7,4

122

3,2

5,7

-

-

-

-

-

 

-

-

 

-

-

 

-

-

-

60

10,6

10,0

177

3,7

6,5

-

-

-

-

-

 

-

-

 

-

-

 

-

-

-

70

12,8

12,4

230

4,0

5,9

57,3

131,561

2,292

17,7

40,6392

0,708

-

-

 

17,7

40,6392

0,7

75

172,2

3

80

14,7

14,4

276

4,2

5,2

35,1

96,9462

1,4742

40,7

112,413

1,7094

2,2

6,0764

0,0924

42,9

118,49

1,8

78

215,436

3,276

90

16,4

16,2

318

4,2

4,6

26,7

84,8793

1,1214

51,5

163,719

2,163

2,8

8,9012

0,1176

54,3

172,62

2,3

81

257,499

3,402

100

17,8

17,8

353

4,2

3,8

19,7

69,541

0,8274

54,6

192,738

2,2932

8,7

30,711

0,3654

63,3

223,449

2,7

83

292,99

3,486

110

18,9

19,1

381

4,1

3,0

15,3

58,2165

0,6273

56,5

214,983

2,3165

13,2

50,226

0,5412

69,7

265,209

2,9

85

323,425

3,485

120

10,8

20,2

235

4,0

2,6

15,3

35,955

0,612

56,5

132,775

2,26

13,2

31,02

0,528

69,7

163,795

2,8

85

199,75

3,4



Установив возрасты наступления количественной, технической и естественной спелости леса по хозяйственной секции, определяют возраст рубки.

Возраст рубки - это тот возраст, с которого целесообразно и необходимо назначать древостой в рубку.

Неспелый лес рубить нельзя. Целесообразно назначать насаждения в рубку только по достижении ими возраста спелости. Этим нижним пределом возраста рубки следует считать возраст количественной спелости. Однако в этом возрасте хозяйство будет получать в основном мелкую деловую древесину, т.к. максимум прироста ведущих сортиментов наступает где-то на 40-50 лет позднее возраста количественной спелости. В то же время нельзя возраст рубки назначать на момент наступления естественной спелости, т.к. хозяйство потеряет много древесины в результате естественного отпада. Следовательно, необходимо начинать рубку в возрасте, который значительно ниже возраста естественной спелости. Для северных лесов, где много старовозрастных насаждений, самым высоким пределом установления возраста рубки следует считать 130-140 лет. Таким образом, возраст рубки имеет нижний и высший возрастные пороги [1].

Возраст рубки следует выбирать, исходя из фактической представленности древостоев разного возраста в хозсекции. Возраст рубки устанавливается для каждой хозсекции и может быть назначен в пределах установленных возрастных порогов - количественной и естественной спелости леса.

Возраст рубки - это тот минимальный возраст, с которого насаждения поступают в рубку главного пользования. В лесоустройстве возраст рубки в хозсекциях устанавливается по преобладающей породе. Основаниями для принятия возраста рубки являются:

1)      возраст спелости леса;

2)      оптимальные возрасты рубок;

3)      ранее применявшиеся возрасты рубок леса в лесном предприятии;

4)      характер распределения насаждений по классам возраста;

5)      состояние насаждений хозсекций.

В настоящее время при проведении лесоустроительных работ возраст рубки определяют по приказу Рослесхоза №37 от 19.02.2008 г. Чтобы приблизиться к практической деятельности, в курсовом проекте необходимо руководствоваться этим документом. В приложении 2 указаны возраста рубок для защитных, эксплуатационных и резервных лесов для Свердловской области.

Возраст рубки устанавливается кратным классу возраста и принимается с округлением до верхнего предела класса возраста. Если возраст рубки принят в VI классе возраста, то все древостой в возрасте 101-120 лет можно назначить в рубку.

9. Разделение лесов на возрастные группы


Установленный возраст рубки служит основанием для распределения насаждений хозсекции по возрастным группам: молодняки, средневозрастные, приспевающие, спелые, перестойные.

Распределение насаждений хозсекций по возрастным группам следующим образом: насаждения класса возраста, на который приходится установленный возраст главной рубки, и следующий за ним старший класс возраста, относятся к группе спелых насаждений; насаждения одного класса возраста, предшествующего спелым - к группе приспевающих; все насаждения старше спелых - к перестойным; насаждения первого и второго классов возраста включаются в группу молодняков; насаждения остальных классов возраста (после молодняков и до приспевающих) относятся к средневозрастным.

Таблица 16. Распределение покрытых лесной растительностью земель по группам возраста

Хозсекция

Возраст рубки, лет

Покрытые лесной растительностью земли, га

Запас эксплуатационного фонда на 1 га



всего

в том числе по группам возраста



Класс рубки


молодняки

сред-невоз-растные

приспе-вающие

спелые и перестой-ные

в т.ч. перестой-ные





1 класса

2 класса






Целевое назначение лесов: защитные леса

Категория защитных лесов: лесопарковая зона

С 1а-2

101

141,15

5,1

19,27

22

71,87

22,91

1

374


6

44005,1

357

2394,4

7582,7

25109,6

8561,4

360


С 3-5

121

40,18

0

11,23

0

27,29

1,66

0

300


7

11063,6

0

1160,8

0

9404,8

498

0


Целевое назначение лесов: эксплуатационные леса

С 1а-2

81

453,2

44,9

94,9

3,2

1,7

308,4

31,0

347


5

121 710,9

2 960,0

10 254,7

816,0

574,2

107 106,0

11 715,6


С 3-5

101

165,2

1,4

4,8

1,1

12,1

145,7

15,7

275


6

44 099,9

182,0

537,0

132,0

3 216,2

40 032,7

5 042,0


Б (1-5)

61

193,7

1,6

7,1

6,9

41,0

137,1

74,8

207


7

37 628,0

8

377,4

829,0

8 059,8

28 353,8

16 066,2


Ос (1-5)

41

2,5

0

1

0

0

1,5

0

310


5

545,0

0

80

0

0

465

0


Е (1а-3)

81

49,6

39,51

9,25

0

0,8

0

0

0


5

2 513,1

1704,6

616,5

0

192

0

0


Е (4-5)

101

108,5

0

0

0

1,2

107,25

99,55

201


6

21 698,0

0

0

0

161,1

21536,9

20756,8




10. Лесоводственно-технические формы хозяйства

 

Под формой лесного хозяйства следует понимать определенное сочетание лесоводственных приемов ведения лесного хозяйства, которое наилучшим образом обеспечивает достижение поставленных целей при существующих экономических и естественно-исторических условиях.

В курсовом проекте формы лесного хозяйства необходимо устанавливать по каждой хозяйственной секции в отдельности. Все формы лесного хозяйства делятся на три основные группы: а) по происхождению насаждений, б) по способам рубки и в) по товарности.

10.1 По происхождению леса

Формы лесного хозяйства по происхождению леса различаются по способу воспроизводства леса, по производимой продукции, условиям эксплуатации и подразделяются на высокоствольную, низкоствольную и среднюю.

Высокоствольная форма хозяйства базируется на семенном возобновлении лесов, ведется как в хвойных, так и в лиственных лесах. Ее цель - получение высококачественной деловой древесины и специальных сортиментов. Большое значение имеет правильное установление размера лесосек, способа их примыкания, способов рубки и лесовосстановления и т.д.

Низкоствольная форма хозяйства основана на вегетативном возобновлении насаждений, ведется в лиственных лесах, экстенсивна и не связана с большими затратами труда на выращивание леса. При ведении низкоствольной формы хозяйства применяются сплошные рубки, примыкание лесосек непосредственное и ежегодное. Ширина лесосек не имеет существенного значения и ограничивается лишь в защитных и водоохранных лесах. Цель ее - получение мелкой деловой древесины и дров.


10.2 По способу рубки леса

Выбор и применение способа рубки определяется экономическими условиями лесного хозяйства и научно-техническим уровнем развития лесоводства и лесоэксплуатации. Различные способы рубок обусловили и разные формы хозяйства. В зависимости от того, как рубится и возобновляется лес, в соответствии с действующими Правилами заготовки древесины, можно выделить лесосечные и выборочные формы хозяйства.

Лесосечная форма хозяйства характеризуется применением сплошных рубок, т.е. уборкой древостоя на отведенной под рубку площади за один прием.

В зависимости от площади рубки и ширины лесосек эта форма хозяйства подразделяется на следующие категории:

-        узколесосечная - площадь лесосек до 5,0 га, ширина до 50 м;

-        мелколесосечная - площадь лесосек от 5,1 до 10,0 га, ширина от 51 до 100 м;

-        среднелесосечная - площадь лесосек от 10,1 до 20,0 га, ширина от 101 до 200 м;

-        крупнолесосечная - площадь лесосек от 20,1 до 30,0 га; 50, ширина от 201 до 300 м; 500 м.

Осуществление сплошных рубок на лесных участках, предоставленных для заготовки древесины, допускается только при условии воспроизводства лесов на указанных лесных участках

Выборочные формы хозяйства базируются на применении выборочных рубок. Выборочными рубками являются рубки, при которых на соответствующих землях или земельных участках вырубается часть деревьев и кустарников.

Согласно с действующими Правилами заготовки древесины выделяют следующие выборочные рубки:

-        добровольно-выборочные рубки, при которых равномерно по площади вырубаются в первую очередь поврежденные, перестойные, спелые с замедленным ростом деревья, при условии обеспечения воспроизводства древесных пород, сохранения защитных и средообразующих свойств леса. Полнота древостоя после проведения данного вида выборочных рубок лесных насаждений не должна быть ниже 0,5;

-        группово-выборочные рубки ведутся в лесных насаждениях с группово-разновозрастной структурой, при которых вырубаются перестойные и спелые деревья, группами в соответствии с их размещением по площади лесосеки. Площадь вырубаемых групп составляет от 0,01 до 0,5 гектара;

- равномерно-постепенные рубки, при которых древостой одного класса возраста вырубается на лесосеке в несколько приемов путем равномерного разреживания с формированием в процессе рубки лесных насаждений из второго яруса и подроста предварительного или сопутствующего лесовосстановления.

-        группово-постепенные (котловинные) рубки, при которых древостой вырубается в течение двух классов возраста группами (котловинами) в несколько приемов в местах, где имеются куртины подроста (а также обеспечивается их последующее появление), проводятся в одновозрастных древостоях с групповым размещением подроста. Рубка спелого древостоя осуществляется постепенно вокруг групп подроста на площадях от 0,01 до 1,0 гектара (котловинами) за 3 - 5 приемов, проводимых в течение 30-40 лет;

-        длительно-постепенные рубки, проводятся в разновозрастных насаждениях в два приема с оставлением на второй прием части деревьев, устойчивых в данных условиях, не достигших возраста спелости, которые вырубаются после достижения ими эксплуатационных размеров. Относительная полнота после первого приема рубки не должна быть ниже 0,5 в темнохвойных и ниже 0,4 в светлохвойных насаждениях. Период повторения приемов рубки - через 30-40 лет.

-        чересполосно-постепенные рубки, древостой вырубается в течение одного класса возраста за два - четыре приема на чередующихся в определенном порядке полосах шириной, не превышающей высоты древостоя, а в дубравах - двойной высоты древостоя при условии последующего создания лесных культур дуба. Данный вид рубки применяется в одновозрастных ветроустойчивых лесных насаждениях, произрастающих на хорошо дренированных почвах (в первую очередь мягколиственных, со вторым ярусом и подростом ценных пород).

10.3 По товарности леса

В устраиваемом объекте каждая хозсекция должна быть ориентирована на производство той или иной лесной продукции, обеспечивающей наибольшую доходность.

Формы хозяйства по товарности подразделяются на следующие категории:

-        крупнотоварная (с выращиванием древесины с диаметром без коры в верхнем срубе сортиментов 25,1 и более см);

-        среднетоварная (с диаметром от 13,6 до 25,0 см);

-        мелкотоварная (с диаметром от 6,1 до 13,5 см).

Крупнотоварную форму лесного хозяйства в курсовом проекте целесообразно проектировать в хозсекциях высших классах бонитета, среднетоварную - в насаждениях средних классов бонитета, мелкотоварную - низших классов бонитета.

Главной породой хозсекций признается та, которая в данных лесорастительных и экономических условиях имеет наибольшее хозяйственное значение и обеспечивает наибольшую продуктивность. Для каждой хозсекций, как правило, устанавливается одна главная порода. Если же в хозсекцию объединены насаждения пород, равноценных по значимости (для них можно установить общую форму хозяйства, возраст и способ рубки), то каждая из них признается в качестве главной.

Таблица 17. Основные лесоводственно-технические элементы хозсекций

Хозсекция

Главная порода

Формы хозяйства

Возрасты спелости, лет

Возраст и класс возраста рубки



по происхождению

по способу рубки

по товарности

количественная

техническая









прошлого лесоустройства

принятый

Целевое назначение лесов: защитные леса

Категория защитных лесов: лесопарковая зона

С 1а-2

С

высокоствольное

добровольно-выборочные

крупнотоварная

-

-

121

101








7

6

Целевое назначение лесов: эксплуатационные леса

С 1а-2

С

высокоствольное

узколесосечные

крупнотоварная

64

110

121

81








7

5

ОС 1-5

ОС

высокоствольное

узколесосечные

среднетоварная

-

-

51

41








6

5


Вывод: в основном проводятся узколесосечные сплошные рубки с получением крупнотоварной древесины.


11. Элементы рубок


В курсовом проекте после установления лесоводственно-технических элементов хозсекций, определяются элементы рубок спелых, перестойных лесных насаждений:

-        в хозсекциях с сплошнолесосечными формами хозяйства - элементы сплошных рубок:

-        с выборочными формами - элементы выборочных рубок.

11.1 Элементы сплошных рубок

Сплошные рубки спелых, перестойных лесных насаждений осуществляются с соблюдением параметров организационно-технических элементов рубок, к которым относятся: площадь и ширина лесосек, количество зарубов, направление рубки, направление лесосеки, сроки и способы примыкания лесосек. Элементы сплошных рубок по хоззекциям показаны в таблице 12.

Зарубы, лесосеки одного года рубки размещаются в установленном порядке на определенном расстоянии друг от друга в зависимости от ширины лесосеки и других условий. Количество зарубов устанавливается в расчете на 1 км. Количество зарубов (лесосек) в расчете на 1 км в зависимости от ширины лесосек, ветроустойчивости оставляемых полос леса устанавливается: при ширине (протяженности) лесосек до 50 м - не более 4; при ширине (протяженности) лесосек 51 - 150 м - не более 3; при ширине (протяженности) лесосек 151 - 250 м - не более 2, при ширине (протяженности) лесосек свыше 250 м - 1. Между зарубами оставляются участки леса, шириной, кратной ширине лесосеки, установленной для этих насаждений.

Направление рубки характеризуется направлением, в котором каждая последующая лесосека примыкает к предыдущей лесосеке. Направление рубки в равнинных лесах устанавливается против преобладающих ветров. В горных лесах направление рубки устанавливается вниз по склону, а рубка в пределах лесосеки ведется вверх по склону. В лесах, произрастающих в поймах рек, направление рубки устанавливается противоположным направлению течения реки.

Похожие работы на - Проект по лесоустройству на территории Уральского учебно-опытного лесхоза УГЛТУ

 

Не нашли материал для своей работы?
Поможем написать уникальную работу
Без плагиата!
Без нейросетей!