Анализ характеристик поведения собак в зависимости от породы
Санкт-Петербургский государственный
политехнический университет
Кафедра управления в
социально-экономических системах
Кафедра национальной безопасности
КУРСОВАЯ РАБОТА
по дисциплине
"Статистика"
на тему
"Анализ характеристик поведения
собак в зависимости от породы"
Выполнила студентка гр.3242 (43) /1 (2.)
Н.И. Бойцова
Проверила ассистент В.В. Малашонок
Санкт-Петербург 2012
Содержание
Введение
1. Отбор данных для анализа
2. Проверка гипотезы о нормальном распределении
3. Первичный анализ данных
4. Графики зависимости
5. Корреляционный анализ данных
6. Регрессионный анализ данных
Заключение
Введение
Все мы, обзаводясь собакой, руководствуемся различными
критериями выбора определенной породы. Но первое, что необходимо учитывать при
этом - совместимость нового питомца с вашим характером и образом жизни. В
большинстве случаев бывает несложно прогнозировать линию поведения той или иной
породы собак, хотя индивидуальные особенности и воздействие окружающей среды,
несомненно, будут играть весомую роль в формировании характера собаки.
Поэтому, выбирая себе верного четвероного друга или помощника
на ближайшие 12-15 лет, нужно руководствоваться не только привлекательной
внешностью, размерами и прожорливостью собаки, но и ее истинным функциональным
предназначением. И если уж вас так привлекает конкретная порода, несмотря на
то, что по назначению вы ее использовать не будете - будьте готовы своевременно
реагировать на некоторые особенности ее нрава. И не отдавать ее впоследствии
только потому, что вы "не сошлись характерами".
Цель моей курсовой работы: определить выраженность основных
характеристик поведения собак. А так же определить:
ñ какая порода больше
подходит для охраны;
ñ какая порода больше
подходит для семьи с детьми;
ñ какая собака больше поддаётся
дрессировке;
ñ какая собака подойдёт для
активных прогулок.
Для того, чтобы достичь цели, мне необходимо решить следующие
задачи:
собрать информацию о чертах характера нескольких пород собак;
проанализировать эту информацию в SPSS;
проверить гипотезу о нормальном распределении.
Таким образом, предметом моего исследования являются черты
характера собак, а субъектами исследования станут 30 собак разных пород.
Мое исследование состоит из следующих этапов:
. Отбор данных для анализа
. Проверка гипотезы о нормальном распределении
. Первичный анализ данных
. Графики зависимости
. Корреляционный анализ данных
. Регрессионный анализ данных
. Заключение
порода собака поведение характеристика
1. Отбор
данных для анализа
Данные для анализа я возьму с сайта <#"811113.files/image001.jpg">
Рисунок 1. Характеристики пород собак.
Рисунок 2. Продолжение характеристик пород собак.
Рисунок 3. Описание переменных.
2. Проверка
гипотезы о нормальном распределении
Сформулируем гипотезы:0 - основные характеристики
поведения собаки зависят от породы.1 - поведение собаки не зависит
от породы собаки.
Построим гистограмму для характеристики "Защита своей
территории":
Рисунок 5. Гистограмму для характеристики "Защита своей
территории".
Посчитаем среднее значение и стандартное отклонение:
Х = 3,4 S = 0,14
Строим теоретическую кривую по формуле:
(x-X) 2/2S2
F (x) = 1/S√2∏ * ℮
Таблица 1. Данные для построения теоретической кривой.
|
x
|
1
|
2
|
3
|
4
|
5
|
|
f (x)
|
1,2
|
1,3
|
5
|
7,4
|
4
|

Рассчитаем эмпирическое значение коэффициента Пирсона:
эмп2 = (fэмп - fтеор) 2/fтеор
Таблица 2. Эмпирические значения коэффициента Пирсона.
|
fтеор
|
1,2
|
1,3
|
5
|
7,4
|
4
|
|
fэмп
|
2
|
1
|
9
|
6
|
1
|
|
x2эмп
|
0,5
|
0,1
|
3,2
|
0,3
|
2,3
|
∑Xэмп2 = 6,4теор2=
9,2103теор2 определяем по таблице Пирсона для уровня
значимости α = 0.01 и для числа степеней свободы k = m - r
- 1 = 5 - 2 - 1 = 2, где- число групп в вариационном ряду;- число параметров
распределения (для нормального распределения r = 2).
Принимаем решение:
эмп2 >= xтеор2
→ H1
xэмп2 < xтеор2
→ H0
6,4 < 9,2103, значит, принимается гипотеза H0.
Построим теоретические кривые для остальных характеристик:
Для всех характеристик принимается H0 - гипотеза,
состоящая в том что генеральная совокупность распределена по нормальному
закону.
3. Первичный
анализ данных
С помощью пакета SPSS проведем первичный анализ данных, чтобы
проанализировать некоторые характеристики отдельно, некоторые взаимосвязи друг
с другом; в общем для всех собак и конкретно по выбранным породам.
В таблице статистических значений для каждой характеристики
приведены средняя, минимальная и максимальная оценки:
|
Statistics
|
|
|
Активность
|
Повиновение
|
Доминирование
|
Защита своей территории
|
Общительность
|
Сосредоточенность
|
Агрессивность
|
Поведение в семье
|
Терпимость к детям
|
Служебное использование
|
|
N
|
30
|
30
|
30
|
30
|
30
|
30
|
30
|
30
|
30
|
30
|
|
0
|
0
|
0
|
0
|
0
|
0
|
0
|
0
|
0
|
|
Mean
|
3,703
|
3,420
|
2,783
|
3, 197
|
4,537
|
1,763
|
1,510
|
3,800
|
3,417
|
3,740
|
|
Minimum
|
2,3
|
1,7
|
1,2
|
1,4
|
3,0
|
1,0
|
1,0
|
1,9
|
1,5
|
1,0
|
|
Maximum
|
5,0
|
4,4
|
4,3
|
4,7
|
5,0
|
4,0
|
2,7
|
4,7
|
4,7
|
4,8
|
|
|
|
|
|
|
|
|
|
|
|
|
Рисунок 7. Статистические значения характеристик пород собак.
По средним оценкам этой таблицы видно, что наиболее всего в
собаках проявляется общительность, а так же активность, служебное использование
и поведение в семье тоже хорошее.
Так же видно, что меньше всего в собаках проявляется
агрессивность и сосредоточенность. Анализируя максимальные оценки так же видно,
что агрессивность не свойственна собакам, а все остальные качества проявляются
высоко.
Но если обратить внимание на разброс между минимальной и
максимальной оценкой, то можно сказать, что для разных пород собак каждая
характеристика проявляется по-разному: у кого-то одни черты более выражены, у
кого-то другие.
Проанализируем ещё раз на круговой диаграмме очень важную
характеристику - "Агрессивность":
Рисунок 8. Частота проявления оценок по характеристике
"Агрессивность"
По этой диаграмме видно, что наиболее частьо встречаются
наименьшие оценки: 1,0 и 1,1. Значит, действительно большинство собак
совершенно не злобные.
Проанализируем характеристику "Общительность" по
приведенной ниже таблице:
Рисунок 9. Процентное соотношение оценок по характеристике
"Общительность"
Для этой характеристики вообще нет низких оценок, а это
значит что вообще нет собак, для которых не важно общение.
В процентном соотношении большинство оценок 4,7; 4,8 и 5 -
это значит, что собакам очень важно уделять как можно больше внимания, и если
Вы на это не способны - заведите кота.
4. Графики
зависимости
С помощью графика BoxPlot исследуем породы собак на служебное
использование (охрана):
Рисунок 10. Проявление характеристики "Служебное
использование" для разных пород собак.
По этому графику видно, что меньше всего для охраны подходит
болонский бишон, а хорошими охранниками будут кавказская овчарка, доберман,
вельш-терьер и немецкая овчарка.
С помощью графика Line исследуем породы собак на активность
собак:
Рисунок 11. Проявление характеристики "Активность"
для разных пород собак.
По этому графику видно, что для пробежек и дальних походов
лучшую компанию вам составит афганская борзая, а с английским бульдогом и
ньюфаунлендом лучше отправиться на неспешную прогулку в ближайший парк.
С помощью графика Scatter исследуем породы собак на
склонность к дрессировке:
Рисунок 12. Проявление характеристики "Повиновение"
для разных пород собак.
По этому графику видно, что хорошо поддаются дрессировке
большинство пород собак, сложности могут возникнуть только с вельш-терьером и
кавказской овчаркой.
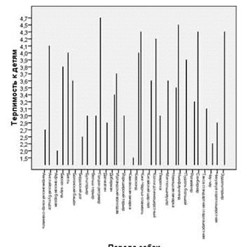
С помощью следующего графика проанализируем характеристику
"Терпимость к детям":
По этой диаграмме видно, что в семьях с маленькими детьми не
стоит заводить кавказскую овчарку, афганскую борзую и чау-чау. А вот
эрдельтерьер, голден ретривер, сербернар, ньюфаунленд, колли длинношерстный,
английский бульдог и кинг-чарльз-спаниель будут терпимы к шалостям малыша и
другим членам семьи.
5.
Корреляционный анализ данных
С помощью пакета SPSS проведем кореляционный анализ данных
для того, чтобы проследить парную взаимосвязь между характеристиками:
Рисунок 14. Коэффициенты корреляции для разных характеристик
собак.
В этой таблице на пересечении столбца и строки можно
посмотреть значение коэффициента корреляции Пирсона и его статистическую
значимость между характеристиками, указанными в этой строке и столбце. Чем выше
значение коэффициента корреляции, тем теснее связь между этими
характеристиками.
Например, на пересечении характеристик "Служебное
использование" и "Защита своей территории" коэффициент
корреляции равен 0,607, а его статистическая значимость равна 0. Следовательно,
можно сделать вывод о том, что между характеристиками "Служебное
использование" и "Защита своей территории" существует
статистически значимая умеренная (средняя) линейная возрастающая зависимость.
Построим график этой зависимости:
По графику видно, что почти для каждой породы собак прослеживается
связь между характеристиками "Защита своей территории" и
"Служебное использование": например, у кинг-чарльз-спаниеля низкая
оценка характеристики "Защита своей территории" и низкая оценка
характеристики "Служебное использование". А у бордоского дога оценки
по обоим характеристикам высокие.
А теперь рассмотрим график зависимости характеристик
"Доминирование" и "Общительность", для которых коэффициент
корреляции равен 0,259:
По графику видно, что между характеристиками
"Доминирование" и "Общительность" никакой зависимости не
прослеживается.
6.
Регрессионный анализ данных
С помощью пакета SPSS проведем регрессивный анализ данных для
того, чтобы проследить взаимосвязь между независимой и зависимой переменными.
За независимую переменную примем "Терпимость к детям", а за зависимую
- "Общительность":
Рисунок 15. Данные регрессивного анализа для характеристик
"Общительность" и "Терпимость к детям".
Задача регрессионного анализа состоит в построении модели,
позволяющей по значениям независимых показателей получать оценки значений
зависимой переменной.
Для характеристик "Общительность" и
"Терпимость к детям" сначала построим диаграмму рассеивания, а затем,
построим регрессионную прямую:
Рисунок 16. Регрессивная кривая для характеристик
"Общительность" и "Терпимость к детям".
По визуальному регрессионному анализу видно, что чем больше
проявляется характеристика "Терпимость к детям", тем сильнее
проявляется "Общительность".
Соответственно зная значение характеристики "Терпимость к
детям" для какой-нибудь породы собак мы можем предсказать значение
характеристики "Общительность".
Заключение
Изучив характеристики разных пород собак каждый человек может
подобрать себе настоящего друга: активную собаку для пробежек, надёжного
сторожа или питомца для детей.
Все собаки больше всего нуждаются в общении, внимании и
ласке, и меньше всего по своей природе склонны к агрессии.
При выборе собаки обратите внимание:
- меньше всего для охраны подходит болонский
бишон, а хорошими охранниками будут кавказская овчарка, доберман, вельш-терьер
и немецкая овчарка;
- для пробежек и дальних походов лучшую
компанию вам составит афганская борзая, а с английским бульдогом и
ньюфаунлендом лучше отправиться на неспешную прогулку в ближайший парк;
- в семьях, где есть дети, не следует
заводить кавказскую овчарку, афганскую борзую и чау-чау. А вот эрдельтерьер,
голден ретривер и болонский бишон будут терпимы к шалостям малыша и другим
членам семьи;
- хорошо поддаются дрессировке большинство
пород собак, сложности могут возникнуть только с вельш-терьером и кавказской
овчаркой.