Разработка технологического процесса получения полосы методом холодной прокатки и определение технико-экономических показателей процесса производства

  • Вид работы:
    Курсовая работа (т)
  • Предмет:
    Другое
  • Язык:
    Русский
    ,
    Формат файла:
    MS Word
    1,9 Мб
  • Опубликовано:
    2014-11-25
Вы можете узнать стоимость помощи в написании студенческой работы.
Помощь в написании работы, которую точно примут!

Разработка технологического процесса получения полосы методом холодной прокатки и определение технико-экономических показателей процесса производства













Курсовая работа

по курсу "Обработка металлов давлением"

на тему "Разработка технологического процесса получения полосы методом холодной прокатки и определение технико-экономических показателей процесса производства"

Содержание

Введение

. Технологическая часть

.1 Требования ГОСТ к заданному изделию

.2 Выбор схемы технологического процесса

.3 Выбор типа оборудования и его основных параметров

.4 Ориентировочный расчёт деформационного и скоростного режимов

.5 Технологический процесс производства

. Технико-экономические показатели производства заданного изделия

.1 Расчёт часовой и годовой производительности основного агрегата

2.2 Расчет часовой производительности основного агрегата

Заключение

Список использованных источников

Введение

холоднокатаный полоса сталь деформационный

Данная работа посвящена разработке технологического процесса и определению технико-экономических показателей производства холоднокатаной полосы толщиной 0,8 мм, шириной 800 мм из стали 40.

Рассматриваются основные требования к изделию, дается схема технологического процесса производства.

Также рассмотрим методику расчета и определим показатели проката. Рассчитаем производительность оборудования и нормативно-технологическую карту.

1.     
Технологическая часть

Теория ОМД

Обработка металлов давлением - технологический процесс формообразования изделия без изменения исходной массы заготовки путем её деформирования.

Процессы обработки металлов давлением подразделяют на два вида:

·        для получения заготовок постоянного поперечного сечения по длине (прутков, проволоки, лент, листов), применяемых в строительных конструкциях или в качестве заготовок для последующего изготовления из них деталей - только обработкой резанием или с использованием предварительного пластического формоизменения, основными разновидностями таких процессов являются прокатка, прессование и волочение;

·        для получения деталей или заготовок (полуфабрикатов), имеющих приближенно формы и размеры готовых деталей и требующих обработки резанием лишь для придания им окончательных размеров и получения поверхности заданного качества; основными разновидностями таких процессов являются ковка и штамповка.


Прокатка (рис. 1а) заключается в обжатии заготовки 2 между вращающими валками 1. Силами трения Ртр заготовка втягивается между валками, а силы Р, нормальные к поверхности валков, уменьшают поперечные размеры заготовки.

Прессование (рис. 1б) заключается в продавливании заготовки 2, находящейся в замкнутой форме 3, через отверстие матрицы 1, причем форма и размеры поперечного сечения выдавленной части заготовки соответствуют форме и размерам отверстия матрицы, а длина ее пропорциональна отношению площадей поперечного сечения исходной заготовки и выдавленной части и перемещению давящего инструмента 4.

Волочение (рис. 1в) заключается в протягивании заготовки 2 через сужающуюся полость матрицы 1; площадь поперечного сечения заготовки уменьшается и получает форму поперечного сечения отверстия матрицы.

Ковка (рис. 1г) изменяет форму и размеры заготовки 2 путем последовательного воздействия универсальным инструментом 1 на отдельные участки заготовки.

Штамповкой изменяют форму и размеры заготовки с помощью специализированного инструмента - штампа (для каждой детали изготовляют свой штамп). Различают объемную и листовую штамповку. При объемной штамповке сортового металла (рис. 1д) на заготовку, являющуюся обычно отрезком прутка, воздействуют специализированным инструментом - штампом 7, причем металл заполняет полость штампа, приобретая ее форму и размеры.

Листовой штамповкой (рис. 1е) получают плоские и пространственные полые детали из заготовок, у которых толщина значительно меньше размеров в плане (лист, лента, полоса). Обычно заготовка деформируется с помощью пуансона 1 и матрицы 2.

Схема производства

Процесс производства полосы в твердом состоянии:


Травление

Поверхность исходных горячекатаных полос покрыта окалиной (оксидами). Поэтому первой необходимой технологической операцией является удаление окалины с поверхности горячекатаной полосы.

Используем химический способ удаления окалины (травление) в непрерывно - травильных агрегатах (НТА), где в растворе соляной или серной кислоты идет травление бесконечной длины полосы

Холодная прокатка

Холодная прокатка по сравнению с горячей имеет два больших преимущества: во-первых, она позволяет производить листы и полосы толщиной менее 0,8-1 мм, вплоть до нескольких микрон, что горячей прокаткой недостижимо; во-вторых, она обеспечивает получение продукции более высокого качества по всем показателям - точности размеров, отделке поверхности, физико-механическим свойствам. Эти преимущества холодной прокатки обусловили ее широкое использование, как в черной, так и в цветной металлургии.

Вместе с тем необходимо отметить, что процессы холодной прокатки являются более энергоемкими, чем процессы горячей прокатки. При холодной деформации металл упрочняется (наклепывается), в связи с этим для восстановления пластических свойств приходится проводить отжиг. Технология производства холоднокатаных листов включает большое число переделов, требует применения сложного и многообразного оборудования.


В цветной металлургии холодная прокатка применяется для получения тонких полос, листов и лент из алюминия и его сплавов, меди и ее сплавов, никеля, титана, цинка, свинца и многих других металлов. Наименьшую толщину имеет фольга. Например, алюминиевая фольга выпускается в виде полос минимальной толщиной 0,005мм, шириной до 1000-1500 мм. Разнообразие сортамента холоднокатаной листовой продукции обеспечивается применением прокатных станов различной конструкции, с очень разными техническими характеристиками и уровнями производительности.

Для холодной прокатки на нашем производстве используется одноклетьевой четырехвалковый стан кварто 250

Схема обжатий при холодной прокатке.


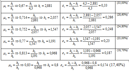
Начальная толщина полосы 4,3 мм. После холодной прокатки толщина полосы составляет 0,8 мм. Процесс прокатки осуществляется за 6 проходов.

Отжиг

Рекристаллизационный отжиг.

Холодная пластическая деформация вызывает изменение структуры металла и его свойств. Сдвиговая деформация вызывает увеличение плотности дефектов кристаллической решетки, таких как вакансии, дислокации. Образование ячеистой структуры происходит с изменением формы зерен, они сплющиваются, вытягиваются в направлении главной деформации. Все эти процессы ведут к тому, что прочность металла постепенно увеличивается, пластичность падает, т.е. возникает наклеп или нагартовка.

Дальнейшая деформация такого металла невозможна, т.к. происходит его разрушение. Для снятия эффекта упрочнения применяют рекристаллизационный отжиг, т.е. нагрев металла до температур выше начала кристаллизации, выдержку с последующим медленным охлаждением. Температура нагрева зависит от состава сплава. Для чистых металлов температура начала рекристаллизации tp=0,4Тпл, ºК, для обычных сплавов порядка 0,6Тпл, для сложных термопрочных сплавов 0,8Тпл. Продолжительность такого отжига зависит от размеров детали и в среднем составляет от 0,5 до 2 часов. В процессе рекристаллизационного отжига происходит образование зародышей новых зерен и последующий рост этих зародышей. Постепенно старые деформированные зерна исчезают. Количество дефектов в кристаллической решетке уменьшается, наклеп устраняется, и металл возвращается в исходное состояние. Степень деформации определяет размер зерна после отжига. Если она близка к критической (eкр=5-15%), то в результате после отжига в металле возникают крупные зерна, что обычно нежелательно.

Поэтому перед рекристаллизационным отжигом деформацию металлов производят со степенью 30-60%. В результате получается мелкозернистая однофазная структура, обеспечивающая хорошее сочетание прочности и пластичности. Увеличение степени деформации до 80-90% вызывает появление в металле текстуры деформации. После рекристаллизационного отжига текстура деформации меняется на текстуру рекристаллизации. Как правило, это сопровождается резким направленным ростом зерна. Увеличение размеров зерна, т.е. снижение механических свойств, может вызвать также слишком большая температура отжига или большая выдержка. Поэтому при назначении режимов отжига необходимо использовать диаграмму рекристаллизации. Рекристаллизационный отжиг может применяться как предварительная, промежуточная, так и как окончательная термообработка. Как предварительная термообработка он применяется перед холодной деформацией, если исходное состояние металла неравновесное и имеет какую-то степень упрочнения. Как промежуточная операция рекристаллизационный отжиг применяется между операциями холодной деформации, если суммарная степень деформации слишком велика и запасов пластичности металла не хватает. Как окончательный вид отжига его применяют в том случае, если потребитель требует поставки полуфабрикатов в максимально пластичном состоянии. В некоторых случаях потребителю требуется полуфабрикат, сочетающий определенный уровень прочности с необходимым запасом пластичности. В этом случае вместо рекристаллизационного отжига используют его разновидность - отжиг на полигонизацию.

Отжиг на полигонизацию проводят при температуре, которая ниже температуры начала рекристаллизации. Соответственно при такой температуре происходит лишь частичное устранение наклепа за счет процессов возврата второго рода, т.е. происходит уменьшение плотности дефектов кристаллической решетки, образование ячеистой дислокационной структуры без изменения формы зерен. Степень уменьшения наклепа зависит, прежде всего, от температуры. Чем ближе температура к порогу рекристаллизации, тем меньше наклеп, тем больше пластичность и наоборот.

Дрессировка

После отжига тонколистовая сталь подвергается дрессировке. Этим термином обозначается процесс отделочной холодной прокатки. При рулонном способе производства дрессировка ведется с передним и задним натяжением.

В процессе дрессировки тонкие приконтактные слои металла обжимаются в валках и впоследствии при штамповке линии сдвига на поверхности не проступают.

Отделочные операции

Отделочные операции необходимы для придания изделию товарного вида.

К отделочным операциям относится окончательная отделка поверхности, обрезка кромки, резка, правка, механическая отделка.

Отделочная обработка - группа заключительных финишных операций обработки металлов, в результате которых достигается высокая точность размеров и формы деталей и улучшается качество поверхности. При отделочных операциях применяют различные виды воздействия на обрабатываемую поверхность: механическое (обработка резанием и давлением), электрохимическое и электрофизическое.

Наиболее распространённые методы отделочных операций резанием со снятием мелкой стружки: тонкое точение, растачивание и фрезерование, бреющее фрезерование (шевингование), шлифование, притирка и доводка, полирование, хонингование, суперфиниш.

К отделочным операциям относятся методы обработки поверхностей без снятия стружки: волочение, чеканка и др., осуществляемые в холодном состоянии воздействием давления без нарушения сплошности материала. Также находят применение такие методы, как вальцевание, калибровка, обкатка и раскатка роликами и шариками, дробеструйная обработка, в результате которых уменьшается шероховатость поверхности и происходит её упрочнение (из-за поверхностной пластической деформации).

Электрофизическую и электрохимическую обработку, часто называют размерной, применяют чаще всего для О. о. материалов, не поддающихся обработке резанием, а также для образования сложных контуров. Основные процессы, относящиеся к этому виду обработки: анодно-механическая обработка, электроискровая обработка, электроимпульсная обработка.

Склад готовой продукции, ОТК

ОТК - отдел технического контроля. Подразделение производственной организации, осуществляющее надзор за соблюдением технологии производства и качественными характеристиками изготавливаемой продукции. Наиболее типичная функция ОТК - контроль за качеством и комплектностью изготавливаемых предприятием деталей, узлов и готовых изделий, за соответствие их стандартам, техническим условиям, нормалям, эталонам и чертежам, клеймение принятой и забракованной продукции, оформление в установленном порядке документации на принятую и забракованную продукцию. А также контроль за изъятием из производства окончательно забракованных изделий в специально организованные изоляторы брака и сдачей их в отходы.

Отдел технического контроля является самостоятельным структурным подразделением предприятия и подчиняется непосредственно директору. На крупных промышленных предприятиях чаще всего - директору по качеству.

Подобные отделы имеются на подавляющем большинстве российских промышленных предприятий.

.1 Требования ГОСТ к заданному изделию

Характеристики материала сталь 40 приведены в таблицах 1-5.


1.2    Выбор схемы технологического процесса

Технологическая схема получения полосы Æ 0,8 - 800 мм из заготовки Æ 4,3 - 800 мм из стали 40.

Схема технологического процесса производства


Схема технологического процесса получения холоднокатаных полос и листов из углеродистых и легированных сталей следующая.

Исходной заготовкой является горячекатаный металл в рулонах, полученный на непрерывных или полунепрерывных станах. Следующей операцией при производстве холоднокатаных листов является очистка поверхности подката от окалины с помощью травления, дробеструйной обработки или комбинированного метода (дробеструйная обработка и последующие травление). В линии травления проводится стыковая сварка горячекатаных рулонов для их укрупнения, обрезка продольных кромок и промасливание.

Холодная прокатка горячекатаных полос производится на непрерывных или реверсивных станах. При рулонном способе производства листов следующими операциями являются: отжиг в рулонах, дрессировка, резка рулонов на листы на агрегатах поперечной резки с одновременной правкой и промасливанием, сортировка, упаковка и отгрузка листов.

Общей тенденцией производства холоднокатаной стали является стремление получить тончайшую полосу на непрерывных станах холодной прокатки.

На устойчивость процесса прокатки и возможность ведения процесса с высокими скоростями сильно влияет качество полосы, полученной из травильного отделения. На полосе не должно быть пятен недотрава и перетрава; полоса должна быть хорошо промыта и не иметь следов железного купороса. Горячекатаная травленная полоса должна быть равномерно промаслена. Несоблюдение этих требований приводит к тому, что при попадании в очаг деформации участков полосы с указанными выше дефектами травления, резко изменяется коэффициент трения.

Изменение коэффициента трения приводит к нарушению установленных параметров процесса непрерывной прокатки, нарушению установленных параметров и, как следствие этого, обрывам полосы, порче прокатных валков и остановки стана.

Вследствие высоких требований к поверхности холоднокатаных полос и листов, а также сложности процесса деформирования к качеству подката для станов холодной прокатки преъявляются высокие требования.

Определенные требования предъявляются и к профилю подката. Для обеспечения устойчивого процесса прокатки подкат не должен иметь короба и волны. Ширина травленой горячекатаной полосы не должна отличаться от заданной больше чем на 5,0 мм. Если подкат имеет большие отклонения ширины, то на стане холодной прокатки возможны завороты полосы при прохождении через боковые линейки, установленные на определенную ширину. Заворот, попадая в валки, как правило, приводит к навару прокатываемой полосы на поверхность рабочего валка, способствует обрыву полосы и остановке вследствие этого стана.

При значительном отклонении ширины подката от заданных размеров могут быть "выбросы" полосы, когда последняя вследствие уменьшения натяжения уходит к одной из боковых линеек. Это приводит к изменению вытяжек по ширине полосы, к надрывам полос и "порезам" поверхности валков.

Для предотвращения указанных явлений в травильных линиях обрезают боковые кромки горячекатаных полос для получения заданной ширины. В отдельных случаях при автоматическом регулировании натяжения и удовлетворительной проработке кромок вертикальными валками обрезку не проводят, что позволяет экономить металл.

Чрезвычайно важное значение имеет режим натяжения при прокатке холоднокатаных листов на непрерывных станах. Правильно выбранное натяжение способствует получению заданной планшетности полосы и исключает ее порывы. Важным технологическим параметром на непрерывных станах холодной прокатки является натяжение между последней клетью и моталками. Не достаточное натяжение затрудняет получение листов заданной толщины и требуемой планшетности, а слишком большое может привести к свариванию витков рулонов во время отжига.

Все станы холодной прокатки оборудованы системами для охлаждения валков и подачи технологической смазки на полосу во время прокатки. Смазка снижает коэффициент трения между валками и прокатываемой полосой, благодаря чему уменьшается давление металла на валки. Смазка не должна подвергаться разложению в очаге деформации при высоких температурах. Это в большинстве случаев определяет допустимую скорость прокатки. В качестве смазки применяют органические жиры, минеральные масла и различные синтетические соединения.

Валки станов холодной прокатки наряду с достаточной прочностью должны иметь высокую твердость, которая обеспечила бы получение листовой стали с чистой и гладкой поверхностью.

После холодной прокатки вследствие наклепа углеродистая сталь становится твердой и обладает пониженной пластичностью.

Для устранения наклепа и получения структуры, обеспечивающей необходимые механические и технологические свойства, холоднокатаная сталь должна быть отожжена.

Рекристаллизационный отжиг проводят при 650-720° С. Он, обеспечивает достаточно высокие механические и технологические свойства металла.

Следующей за термической обработкой операцией отделки холоднокатаной углеродистой стали является дрессировка, которая заключается в холодной прокатке полос с обжатиями 0,5-3%.

Дрессировка углеродистой стали применяется для предотвращения появлений линий сдвига при штамповке. Они бывают настолько ярко выражены, что даже после покраски и эмалирования остаются заметными.

В результате дрессировки заметно улучшается поверхность листовой стали. Мягкой листовой стали после отжига дрессировкой придается некоторая упругость, что предохраняет ее от ломкости и смятия при последующих операциях.

При дрессировке рулонной стали с натяжением обеспечивается не только обжатие, но и правка его растяжением.

К другим операциям отделки тонколистовой углеродистой стали относят поперечную и продольную резку рулонов. Для этого в цехах холодной прокатки устанавливают агрегаты поперечной и продольной резки, а также комбинированные агрегаты для продольной и поперечной резки.

.3 Выбор типа оборудования и его основных параметров

Для холодной прокатки выбираем стан Кварто 250, т.к. он соответствует заданному диаметру рабочего валка. Стан четырехвалковый реверсивный одноклетьевой. Название стана: Кварто 250

Диаметр рабочих валков (мм) R = 250.00

Диаметр опорных валков (мм) D = 750.00

Длина бочки валка (мм) L = 1000.00

Модуль Юнга(*10**6Мпа) E = 0.22

Коэффициент Пуассона (б/р) Nu = 0.30

Диаметр шейки рабочего валка (мм) D = 160.00

Диаметр шейки опорного валка (мм) D = 520.00

Расстояние между нажимными винтами (мм) L =1400.00

Допустимое усилие прокатки (МН) [P] = 43.00

Допустимый момент прокатки (МН*м) [M] = 0.5

Максимальное натяжение полосы (т) [T] = 20.00

.4 Ориентировочный расчет энергосиловых параметров процесса

Определяем суммарную степень деформации получения холоднокатаной полосы:

 (81,4%)

Общий коэффициент вытяжки составит:


Среднюю степень деформации по ГОСТу для стали 40. , тогда средний коэффициент вытяжки:


Примем значения вытяжек по проходам

Определим  для 6го прохода как , для 3го прохода примем

Так как , то

n

1

2

3

4

5

6

λ

1,5

1,4

1,33

1,3

1,23

1,204


Количество проходов:


Рассмотрим прокатку по проходам и рассчитаем суммарные степени деформации, для начала рассчитаем коэффициент обжатия.


Рассмотрим прокатку по проходам, и рассчитаем суммарные степени деформации:


Длину холоднокатаной полосы находим, исходя из равенства

.

Схема режима прокатки исходной полосы и ее параметры представлены в таблице 1.

Таблица 1 Схема режима прокатки исходной полосы

 

1 прокатка

№ прохода

0

1

2

3

4

5

6

  

-

1,5

1,4

1,33

1,3

1,23

1,204

  

-

0,67

0,714

0,752

0,77

0,813

0,83

h, мм

4,3

2,881

2,057

1,547

1,191

0,968

0,8

е, мм

-

33

28,6

24,8

23

18,7

17,4

l, мм

50 000

74 627

104 521

138 979

180 521

222 107

268 750


Расчет ведем по методике Б. В. Кучеряева

Для нахождения момента прокатки и усилия прокатки используется контактное касательное напряжение, вычисляемое по формуле:

 (1)

где  - контактное касательное напряжение, МПа;

 - напряжение пластического сдвига, МПа;

,  - толщина полосы до и после прокатки, соответственно, м;

 - угол захвата, рад.;

,  - заднее и переднее натяжение, соответственно, МПа;

 - высота нейтрального сечения, м.

Напряжение пластического сдвига  и предел текучести  связаны следующим соотношением:

 (2)

Угол захвата  определяется по формуле:

 (3)

где  - проекция дуги захвата на ось прокатки, м:

 - радиус рабочих валков, м;

 - абсолютное обжатие, м.

Проекция дуги захвата на ось прокатки вычисляется по формуле:

 (4)

Абсолютное обжатие находится по формуле:

 (5)

Высота нейтрального сечения вычисляется из следующего соотношения:

 (6)

где  - коэффициент трения по нормальному давлению;

,  - коэффициенты, учитывающие влияние натяжений.

 - коэффициент трения по напряжению пластического сдвига;

Коэффициенты, учитывающие влияние переднего и заднего натяжений  и  определяются по формулам:

,   (7), (8)

где  и  - предел текучести до и после деформации, МПа. В наших расчетах для упрощения принимаем ;

Коэффициент трения по напряжению пластического сдвига , при отсутствии экспериментальных данных может быть определен по формуле:

  (9)

Коэффициент трения по нормальному давлению , определяется по формуле:

, где: (10)

 - относительная деформация;

 - фактор формы очага деформации.

Параметр  при  и  при .

Относительная деформация и фактор формы очага деформации вычисляются по формулам:

,  (11), (12)

где  - средняя толщина проката, м.

Средняя толщина проката определяется по формуле:

 (13)

Тогда зная значение контактного касательного напряжения, момент и усилие прокатки находятся по формулам:

 (14)

 (15)

где  - момент прокатки, МН·м;

 - нейтральный угол, рад.;

 - средняя ширина проката, м;

 - усилие прокатки, МН.

Нейтральный угол находится по формуле:

 (16)

где  - проекция на ось прокатки части дуги захвата в зоне опережения, м.

Проекция на ось прокатки части дуги захвата в зоне опережения определяется по формуле:

 (17)

Средняя ширина проката  находится по формуле:

 (18)

где  и  - ширина полосы до и после прокатки соответственно, м.

Для вычисления средней ширины проката  необходимо вычислить уширение. Уширение полосы  можно определить по формуле Губкина:

 (19)

Тогда зная величину уширения , можно вычислить ширину полосы после прокатки по формуле:

проход

Исходные данные для первого прохода:


1. Определяем абсолютное обжатие:

2. Определяем проекция дуги захвата на ось прокатки:


Средняя толщина проката


Фактор формы очага деформации


3. Определяем угол захвата:


Проверка:


4. Определяем коэффициент трения по напряжению пластического сдвига:


Примем , т.к. значение больше 1. (Если меньше 1, то ).


6. Определяем высоту нейтрального сечения:


7. Определяем проекцию на ось прокатки части дуги захвата в зоне опережения:


8. Определяем нейтральный угол:


Далее определяется предел текучести. График предела текучести для стали 40 приведен на рис. (на рис. Предел текучести обозначается как σ0,2)


Однако проще рассчитать предел текучести как функцию от деформации.

Определить предел текучести можно по формуле:


10. Определяем напряжение пластического сдвига


11. Контактное касательное напряжение

 


12. Определяем момент прокатки


. Определяем усилие прокатки:

I проход

Исходные данные для второго прохода:


1. Определяем абсолютное обжатие:


2. Определяем проекция дуги захвата на ось прокатки:


Средняя толщина проката


Фактор формы очага деформации


3. Определяем угол захвата:


Проверка:


4. Определяем коэффициент трения по напряжению пластического сдвига:


Примем , т.к. значение больше 1. (Если меньше 1, то ).


6. Определяем высоту нейтрального сечения:


7. Определяем проекцию на ось прокатки части дуги захвата в зоне опережения:


8. Определяем нейтральный угол:

Далее определяется предел текучести. График предела текучести для стали 40 приведен на рис. (на рис. Предел текучести обозначается как σ0,2)


Однако проще рассчитать предел текучести как функцию от деформации.

Определить предел текучести можно по формуле:


10. Определяем напряжение пластического сдвига


11. Контактное касательное напряжение

 


12. Определяем момент прокатки


. Определяем усилие прокатки:

II проход

Исходные данные для четвертого прохода:

1. Определяем абсолютное обжатие:


2. Определяем проекция дуги захвата на ось прокатки:


Средняя толщина проката


Фактор формы очага деформации


3. Определяем угол захвата:


Проверка:


4. Определяем коэффициент трения по напряжению пластического сдвига:


Примем , т.к. значение больше 1. (Если меньше 1, то ).


6. Определяем высоту нейтрального сечения:


7. Определяем проекцию на ось прокатки части дуги захвата в зоне опережения:


8. Определяем нейтральный угол:

Далее определяется предел текучести. График предела текучести для стали 40 приведен на рис. (на рис. Предел текучести обозначается как σ0,2)


Однако проще рассчитать предел текучести как функцию от деформации.

Определить предел текучести можно по формуле:


10. Определяем напряжение пластического сдвига


11. Контактное касательное напряжение

 


12. Определяем момент прокатки


. Определяем усилие прокатки:


IV проход

Исходные данные для пятого прохода:

1. Определяем абсолютное обжатие:


2. Определяем проекция дуги захвата на ось прокатки:


Средняя толщина проката


Фактор формы очага деформации


3. Определяем угол захвата:


Проверка:


4. Определяем коэффициент трения по напряжению пластического сдвига:


Примем , т.к. значение больше 1. (Если меньше 1, то ).


6. Определяем высоту нейтрального сечения:


7. Определяем проекцию на ось прокатки части дуги захвата в зоне опережения:


8. Определяем нейтральный угол:

Далее определяется предел текучести. График предела текучести для стали 40 приведен на рис. (на рис. Предел текучести обозначается как σ0,2)


Однако проще рассчитать предел текучести как функцию от деформации

Определить предел текучести можно по формуле:


10. Определяем напряжение пластического сдвига


11. Контактное касательное напряжение

 


. Определяем момент прокатки


. Определяем усилие прокатки:

проход

Исходные данные для пятого прохода:

1. Определяем абсолютное обжатие:


2. Определяем проекция дуги захвата на ось прокатки:


Средняя толщина проката


Фактор формы очага деформации


3. Определяем угол захвата:


Проверка:

4. Определяем коэффициент трения по напряжению пластического сдвига:


Примем , т.к. значение больше 1. (Если меньше 1, то ).


6. Определяем высоту нейтрального сечения:


7. Определяем проекцию на ось прокатки части дуги захвата в зоне опережения:


8. Определяем нейтральный угол:

Далее определяется предел текучести. График предела текучести для стали 40 приведен на рис. (на рис. Предел текучести обозначается как σ0,2)


Однако проще рассчитать предел текучести как функцию от деформации

Определить предел текучести можно по формуле:


10. Определяем напряжение пластического сдвига


11. Контактное касательное напряжение

 


12. Определяем момент прокатки


. Определяем усилие прокатки:

I проход

Исходные данные для шестого прохода:

1. Определяем абсолютное обжатие:


2. Определяем проекция дуги захвата на ось прокатки:


Средняя толщина проката


Фактор формы очага деформации


3. Определяем угол захвата:


Проверка:

4. Определяем коэффициент трения по напряжению пластического сдвига:


Примем , т.к. значение больше 1. (Если меньше 1, то ).


6. Определяем высоту нейтрального сечения:


7. Определяем проекцию на ось прокатки части дуги захвата в зоне опережения:

 


8. Определяем нейтральный угол:

Далее определяется предел текучести. График предела текучести для стали 40 приведен на рис. (на рис. Предел текучести обозначается как σ0,2)


Однако проще рассчитать предел текучести как функцию от деформации

Определить предел текучести можно по формуле:


10. Определяем напряжение пластического сдвига


11. Контактное касательное напряжение

 


12. Определяем момент прокатки


. Определяем усилие прокатки:


Вывод: усилия допустимы, момент прокатки находится в оптимальных условиях. Выбранное оборудование справится

Сводная таблица по 6 проходам и всем рассчитанным нами показателям по прокатке.

Таблица 2


.5 Технологический процесс производства

Холодная прокатка по сравнению с горячей имеет два больших преимущества: во-первых, она позволяет производить листы и полосы толщиной менее 0,8-1 мм, вплоть до нескольких микрон, что горячей прокаткой недостижимо; во-вторых, она обеспечивает получение продукции более высокого качества по всем показателям - точности размеров, отделке поверхности, физико-механическим свойствам. Эти преимущества холодной прокатки обусловили ее широкое использование как в черной, так и в цветной металлургии.

Вместе с тем необходимо отметить, что процессы холодной прокатки являются более энергоемкими, чем процессы горячей прокатки. При холодной деформации металл упрочняется (наклепывается), в связи с этим для восстановления пластических свойств приходится проводить отжиг. Технология производства холоднокатаных листов включает большое число переделов, требует применения сложного и многообразного оборудования.

В цветной металлургии холодная прокатка применяется для получения тонких полос, листов и лент из алюминия и его сплавов, меди и ее сплавов, никеля, титана, цинка, свинца и многих других металлов. Наименьшую толщину имеет фольга. Например, алюминиевая фольга выпускается в виде полос минимальной толщиной 0,005мм, шириной до 1000-1500 мм. Разнообразие сортамента холоднокатаной листовой продукции обеспечивается применением прокатных станов различной конструкции, с очень разными техническими характеристиками и уровнями производительности.

Исходным материалом для холодной прокатки служат горячекатаные листы и полосы толщиной 3-6 мм, иногда до 12-16 мм. Технологическая цепочка состоит из следующих операций: холодная прокатка; отжиг; травление; резка и правка. Прокатка, отжиг и травление могут повторяться несколько раз; это зависит от конечной толщины продукции. Применяются карточный и рулонный способы производства.

Применяемые для холодной прокатки меди и ее сплавов станы очень разнообразны как по конструкции, так и по габаритам. При прокатке относительно толстых листов и полос применяются одноклетьевые станы 2- и 4-валковые, нереверсивные и реверсивные. При больших объемах производства устанавливают трех- и четырехклетевые непрерывные станы. Для увеличения массы рулонов несколько полос сваривают встык. Наиболее тонкие полосы и ленты прокатывают на многовалковых станах (6-, 12-и 20-валковых).

.       
Технико-экономические показатели производства заданного изделия

.1 Операция отделки и расчет выхода годного

Полученный прокат требует операции отделки.

С каждого конца будет отрезано по 2000 мм, кромки - на 10 мм.

После операции отделки будет получен прокат следующих размеров:

,8 х (800 - 20) х (268 750 - 4 000) = 0,8 х 780 х 264 750 мм.

Исходный объем заготовки равен


Объем обрези:

.

Итоговый объем проката:

.

Геометрические отходы:

.

Выход годного по геометрическим отходам:

.

.

Расходный коэффициент:


Остаточная масса проката:

 

.2 Расчет часовой производительности основного агрегата

Часовая производительность определяется по формуле:

.

 - масса исходной заготовки, т;

 - коэффициент использования стана (принимаем равным 0,95);

 - время прокатки, мин.;

, где

 - длина проката на соответствующей операции, м;

 - скорость рабочего валка оборудования на выходе металла (8,52 м/с);

 - время ожидания (принимаем 60 сек).


Часовая производительность составляет:

т/ч.

Заключение

В данной курсовой работе обоснована технологическая схема холодной прокатки полосы из стали 40. Мы подобрали оптимальное оборудование для нашего процесса и произвели расчёт числа проходов, энергосиловых и технико-экономических параметров прокатки по исходным данным.

Расчеты показали, что выбор данного оборудования и технологической схемы целесообразен. Вышеописанный процесс производства позволяет производить качественную продукцию.

Список использованных источников

1.Зиновьев А.В., Колпашников А.В., Полухин П.И. Технология обработки давлением цветных металлов и сплавов. - М.: Металлургия, 2010

.Лошкарев О.Н. Обработка металлов давлением. Курс лекций.

.Смирягин А.П., Смирягина Н.А., Белова А.В. Промышленные цветные металлы и сплавы. - М.: Металлургия, 2009

Похожие работы на - Разработка технологического процесса получения полосы методом холодной прокатки и определение технико-экономических показателей процесса производства

 

Не нашли материал для своей работы?
Поможем написать уникальную работу
Без плагиата!
Без нейросетей!