Промышленный робот Kawasaki FS06N
Министерство
образования и науки Российской Федерации
Федеральное
Государственное бюджетное образовательное учреждение
Высшего
профессионального образования
«Сибирский
государственный аэрокосмический университет»
имени
академика М.Ф. Решетнева
Факультет
машиноведения и мехатроники
Кафедра
ТМС
Дисциплина:
Основы мехатроники
Расчетно-графическое
задание
Промышленный
робот Kawasaki
FS06N
Выполнила: ст-ка
гр.Т93
Пузырева Н.И.
Проверил:
ст.пр.каф.
Сысоева Л.П.
Красноярск
2014
Содержание
Введение
.
Служебное назначение и особенность конструкции
.
Характеристика промышленного робота
.
Строение и структурный анализ
.
Строения профиля центрирующего поверхностью губок
Заключение
Литература
Введение
Мехатроника - это прогрессивное направление
развития науки и техники, ориентированное на создание и эксплуатацию
автоматических и автоматизированных машин и систем с компьютерным
(микропроцессорным) управлением их движением. Основной задачей мехатроники
является разработка и создание высокоточных, высоконадёжных и
многофункциональных систем управления сложными динамическими объектами. Мехатронные
модули и системы становится основой для создания технологических машин и
агрегатов, обладающих качественно новыми свойствами для различных отраслей
промышленности, а также они могут быть использованы при разработке периферийных
устройств для компьютерной, офисной и бытовой техники, нетрадиционных
транспортных средств, медицинского оборудования, микромашин и других
современных технических систем.
Целью данной работы является изложение
современных принципов построения и применения мехатронных систем. Основной
акцент сделан на концептуальных вопросах интеграции механических, электронных и
компьютерных элементов в единые модули и системы как ключевого принципа мехатроники.
Однако важно отметить, что на современном этапе мехатроника развивается в
первую очередь благодаря техническим достижениям инженеров-практиков, что в
свою очередь стимулирует формирование ее фундаментальных научно-теоретических
основ.
. Служебное назначение и особенность конструкции
Промышленный робот Kawasaki
FS06N
(см.рис.1) -одна из основных моделей в семействе промышленных роботов. Подходит
для решения задач по перемещению объектов и выполнения сборочных операций.
Kawasaki FS06N позволяет создавать компактную и легкую систему с
высокоуровневым управлением и точным движением.
Рис.1 Промышленный Робот Kawasaki
FS06N
Роботы Kawasaki FS06N самые
распространенные. Сфера их применения очень широка, роботы серии
FS - роботы
общего назначения (Standard), их задачи: перемещение
деталей и прочих грузов (до 60 кг),
манипулирование объектами, нанесение герметика и клея на поверхности. Главное
преимущество промышленных роботов KAWASAKI серии F - их
универсальность, то есть функциональные способности машин данного типа не
ограничиваются одной или двумя отраслями. В равной степени роботы могут найти
применение в автомобиле-, судо- и станкостроении, а также на
деревообрабатывающем, сварочном и других производствах.
В конструктиве можно отметить
значительную рабочую зону (1000 мм), обеспечиваемую роботами данной серии, при
этом роботы имеют малую массу (165 кг ) и могут быть смонтированы как на
горизонтальных так и на вертикальных плоскостях, что существенно повышает их технологичность.
В конструкции робота имеется шесть осей вращения, поэтому способны осуществлять
любые пространственные перемещения.
Модифицируя и изменяя положение руки
(манипулятора), робот способен проникать в самые труднодоступные места и
выполнять самые сложные задачи. Зона досягаемости кисти зависит от типа робота
(модели данной серии имеют до 28 вариантов исполнения) и составляет от 1432 мм
до 3482 мм по вертикали и от 1102 мм до 2950 мм - по горизонтали.
В итоге роботы серии F достигают
более высоких значений ускорения и торможения, сохраняя при этом точность
движении и эффективность работы (точность повторения составляет +/- 0,05мм).
Наличие дополнительной седьмой оси
расширяет функциональные возможности робота. В качестве седьмой оси можно
использовать, например, рельсу. Установленная и перемещаемая по рельсе, машина
легко выполняет операции над крупногабаритными предметами, справиться с
которыми, стационарно, было бы гораздо сложнее.
. Характеристика промышленного
робота
Таблица 1 - Основные характеристики
|
Радиус действия
|
1000 мм
|
|
Грузоподъёмность
|
6 кг
|
|
Число степеней
подвижности
|
6
|
|
Точность
позиционирования:
|
±0,1 мм
|
|
Установка
|
напольный,
потолочный, настенный
|
|
Уровень защиты
|
IP65 (ось JT5,
JT6), IP7
|
|
Контроллеры
|
D42
|
Таблица 2 - Технические характеристики
|
Максимальная
линейная скорость
|
8000 мм/c
|
|
Номинальный крутящий момент
запястного сочленения (оси 4,5,6)
|
12, 12, 6 Нм
|
|
Номинальный момент инерции
запястного сочленения (оси 4,5,6)
|
0,24, 0,24, 0,07
кг
|
Таблица 3 - Параметры движения осей
|
Номер оси
|
Угол поворота
осей
|
Скорость поворота
осей
|
|
1
|
от + 160° до -
160°
|
240°/cек
|
|
2
|
от + 140° до -
105°
|
200°/cек
|
|
3
|
250°/cек
|
|
4
|
от + 270° до -
270°
|
430°/cек
|
|
5
|
от + 145° до -
145°
|
430°/cек
|
|
6
|
от + 360° до
-360°
|
720°/cек
|
Рис.2 Рабочая зона робота Kawasaki
FS06N
Таблица 4 - Классификация по техническим
характеристикам:
|
Техническая
характеристика
|
Классификация
|
Значение
|
|
Грузоподьемность
|
легкие
|
6 кг
|
|
Число степеней
подвижности
|
средняя
|
6
|
|
Величина и скорость перемешения
рабочего органа
|
средняя
|
650 мм
|
|
Быстродействие
|
высокое
|
8 м/с
|
|
Обьем рабочей
зоны
|
средняя
|
2 м3
|
|
Погрешность
позиционирования
|
1 класс точности
|
0,05%
|
|
Мобильность
|
подвижные
|
напольный,
потолочный, настенный
|
|
Тип привода пр.
|
электрическая
|
|
|
Система координат
|
ангулярная
|
|
.Строение и структурный анализ
Рис.3 Структурная схема робота Kawasaki
FS06N
Неподвижное звено: 0 ;
Подвижное звено: прямолинейные звенья -1, 2, 3,
4, 5, 6.
Длины звеньев: 1 -430 мм, 2 - 450 мм, 3 - 450 мм
, 4 - 100 мм, 5 - 10 мм.
Таблица 5 - Кинематические пары
манипулятора
|
Обозначение КП
|
I
|
II
|
III
|
IV
|
V
|
VI
|
|
Класс КП
|
5
|
5
|
5
|
5
|
5
|
5
|
|
Звенья,
образующие КП
|
1/0
|
2/1
|
3/2
|
4/3
|
5/4
|
6/5
|
|
Относительное
движение
|
Вращат.
|
Вращат.
|
Вращат.
|
Вращат.
|
Вращат.
|
|
Подвижность в КП
|
1
|
1
|
1
|
1
|
1
|
1
|
|
Ось ориентации КП
|
z
|
х
|
х
|
y
|
х
|
y
|
Таблица 6 - основные параметры структурной схемы
манипулятора
|
Формула строения
|
W = Q10 + 21
+ 32
+ C43 + 54+C65
|
|
Звенья, образующие в манипуляторе:
- «руку» - «кисть»
|
1, 2, 3 4, 5, 6
|
|
Система координат
«руки» манипулятора
|
|
|
Число звеньев: -
общее - подвижных
|
6 5
|
|
Число
одноподвижных КП
|
Вращательных - 5
|
|
Число
подвижностей в пространстве
|
Wпр = 6*6-(6*5) =
6
|
|
Маневренность в
пространстве
|
Мпр = 6 - 6 = 0
|
|
Число избыточных связей в
механизме
|
0
|
промышленный робот
манипулятор
Рис.4 Структурная схема с локальной системой
координат робота Kawasaki
FS06N
Таблица
7 - координаты манипулятора
|
Пара
|
Тип пары
|
Перемещаемое
звено
|
Угол поворота
|
|
di
|
ai
|
|
|
10
|
Вращательная
|
1
|
q1 (+160;-160)
|
90+q1
|
430
|
0
|
90
|
|
21
|
Вращательная
|
2
|
q2 (+140;-105)
|
0
|
450
|
0
|
0+q2
|
|
32
|
Вращательная
|
3
|
q3(+120;-155)
|
90
|
450
|
0
|
|
43
|
Вращательная
|
4
|
q4(+270;-270)
|
0+q4
|
100
|
0
|
90
|
|
54
|
Вращательная
|
5
|
q5 (+145;-145)
|
0
|
70
|
0
|
-90+q5
|
|
65
|
Вращательная
|
6
|
q6 (+360;-360)
|
0+q6
|
10
|
0
|
0
|
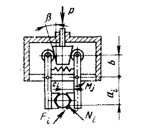
4. Строения профиля центрирующего поверхностью
губок
где Dmax=200,
Dmin=80 - возможный
перепад диаметров зажимаемых деталей, мм;
=0.00144
=350 - радиус поворота губок, мм,
угол,
получаемый построением .
Исходными параметрами при построении профиля
губок являются диапазон диаметров зажимаемых деталей (Dmax
и Dmin) и центральный
угол между точками контакта губок с деталью 2 .
Рекомендуются 2 =
40-50°. Размер R между
центром зажимаемого вала и осью поворота губки выбирается конструктивно и
должен быть больше

, мм
Из точек В и С очерчивают дуги профиля радиусами
r1 и r2.
Эти точки лежат на расстоянии R/2
от оси поворота губки. Горизонтальная координата точек В и С определяется по
формуле
;
Радиусы дуг профиля губок:
;
;
Профили губок симметричны. Если обе губки
поворачиваются вокруг общей оси (точка А), то точки контакта губок с деталью
располагаются симметрично. Если губки имеют разные оси поворота А1
и
А2
,
точки контакта детали с профилями радиуса r1
удаляются, а с профилями радиуса r2
- сближаются. Центральный угол jмежду
осями поворота губок и центром детали 0 угол А1ОА2
рекомендуется
выбирать в пределах 0£ j £ (2a
- 40°).
Рис.5 Схема профиля ЗУ центрирующего
поверхностью губок
Рис.6 Схема передаточного механизма ЗУ
Общий случай
для симметричных губок :

m = 2; h r = 0,9; b = 4 ¸ 8 o; r =1o10¢ - при осях на подшипниках скольжения;r = 3 ° -
при осях на подшипниках качения
Обозначения.
N -
сила, действующая в месте контакта захвата с заготовкой и определяемая
формулами таблицы 11; ЕПР- приведенный модуль упругости материалов губки
захвата и заготовки; l -
ширина губки захвата , см; d -
диаметр заготовки, см; r -
радиус губок захвата, см; m -
коэффициент, зависящий от отношения наименьшего радиуса к наибольшему из двух
соприкасающихся поверхностей
Заключение
Таким образом, в ходе выполнения расчетно-графического
задания была изучена и усвоена информация о служебном назначении и особенности
конструкций промышленных роботов, изучены их основные характеристики,
произведены расчет по построению и структурный анализ, также было рассчитано
строение профиля центрирующего поверхностью губок.
Литература
1.
Белянин, П. Н. Промышленные роботы. - М. : Машиностроение, 1975. - 398 с.
.
Козырев, Ю. Г. Промышленные роботы. Справочник металлиста, т.5. - М. :
Машиностроение, 1978. - 673 с.
.
Малов, А. Н. Автоматические загрузочные устройства. Справочник металлиста. Т.5.
- М. : Машиностроение, 1978. - 673 с.
.
Бобров, В. П. Автоматизация транспорта. Справочник металлиста. Т.5. - М. :
Машиностроение, 1978. - 673 с.
.
А.с. № 549311 СССР. Захватное устройство / Ю. М. Буянов - Опубл. в Б. И. 1977,
№ 9.
.
Бобров, В. П. Проектирование загрузочно-транспортных устройств к станкам и
автоматическим линиям, - М. : Машиностроение, 1964. - 291 с.
.
Кулешов, С.Г. Кинематический, динамический расчет и синтез траектории движения
манипуляторов мехатронных устройств : метод.указания к выполнению практ.
Заданий по курсу «Основы мехатроники» для студентов спец. 151001 всех форм
обучения / сост. С. Г. Кулешов; Сиб. гос. аэрокосмич. ун-т - Красноярск, 2006.
- 72 с.