Проектирование металлоконструкции мостового электрического крана балочного типа

  • Вид работы:
    Курсовая работа (т)
  • Предмет:
    Другое
  • Язык:
    Русский
    ,
    Формат файла:
    MS Word
    933,96 Кб
  • Опубликовано:
    2014-06-20
Вы можете узнать стоимость помощи в написании студенческой работы.
Помощь в написании работы, которую точно примут!

Проектирование металлоконструкции мостового электрического крана балочного типа















Курсовой проект

Проектирование металлоконструкции мостового электрического крана балочного типа

СОДЕРЖАНИЕ

1. Задание на проектирование

2. Анализ конструкции

. Определение силовых факторов металлоконструкции мостового крана

.1 Определение изгибающих моментов сечений балки

.2 Определение поперечных сил сечений балки

. Проектирование элементов балки

.1 Нахождение наименьшей высоты балки

.2 Определение размеров сечения горизонтального листа балки

.3 Проверочный расчет поперечного сечения балки

.4 Обеспечение устойчивости балки

.5 Проектирование ребер жесткости

. Проектирование сварных соединений

. Расчёт опорных балок моста

.1 Проверка концевых балок на прочность

. Расчет сварочных деформаций

8. Список использованных источников

сварная металлоконструкция сечение балка кран

1. Задание на проектирование

Рассчитать и спроектировать металлоконструкцию мостового электрического крана балочного типа. Конструкция состоит из двух главных балок и двух концевых балок (рис.1).

Исходные данные:

Q= 300 кН - грузоподъёмность крана;

L=24 м - пролёт моста;

F/L = 1 / 550 - норма жесткости;

G= 130 кН - собственный вес главной балки;

GT= 12 кН - вес тележки;

D = 2 м - расстояние между колёсами тележки.

Материал конструкции: ВСтЗсп.


2. Анализ конструкции

Мостовой кран предназначен для транспортировки и перемещения грузов. Конструкция является ответственной. Работает мостовой кран при переменных нагрузках. Нагрузками являются ручные или электрические тельферы, ходовые колеса которых перемещаются по нижнему поясу балки.

Материал конструкции сталь ВСтЗсп.

Механические свойства и химический состав представлены в табл. 1.

Таблица 1 Свойства и химический состав стали

σв, МПа

σт, МПа

С,%

Mn,%

Sl,%

Р,%

S,%

410

240

0,14-0,22

0,40-0,65

0,12-0,30

< 0,04

<0,05


Сталь ВСтЗсп - углеродистая сталь обыкновенного качества (ГОСТ 380-71), относится к группе В. Стали этой группы более дорогостоящие и применяются для ответственных конструкций. Сталь относится к хорошо свариваемым любым способом. В связи с протяжённостью швов целесообразно применять сварку автоматическую под флюсом или в среде С02.

Расчётные допускаемые напряжения для стали ВСтЗсп: [σ]р =16 кН/см2=160МПа;

[R]= 21 кН/см ;

[τ'] = 0,65 х [σ]р =0,65 • 16 =10,4 (кН/см2)=104МПа.

3. Определение силовых факторов металлоконструкции мостового крана

Балки нагружены равномерной нагрузкой от собственного веса G=130 кН и двумя сосредоточенными грузами Р (от веса тележки с грузом), которые могут перемещаться по балкам.

Р=(Q+Gт)/4=(300+12)/4=78 (кН);

q= Gт/L=130/24=5,42 (кН/м).

Конструирование балки следует начать с определения расчетных усилий М и Q. Сначала необходимо построить линии влияния моментов, чтобы знать их максимально возможные значения в разных сечениях балки.

3.1 Определение изгибающих моментов сечений балки

Разобьем условно балку на 10 равных частей. Обозначим расстояние груза до левой опоры через х. Определим опорные реакции балки:

Реакция.


Реакция А определяется уравнением наклонной прямой:

при х=0 А=1;

при х=L A=0.

Реакция .

Реакция В определяется уравнением наклонной прямой:

при х=0 В=0;

Линия влияния изгибающего момента М выражает зависимость величины момента в заданном сечении от положения груза, равного единице, на балке. Допустим, что груз находится справа от сечения α. При этом изгибающий момент:


Построим линию влияния момента М из условия, что: при х=0 Ма=0; х=L Ма=0. Так как было сделано предположение, что груз находится справа от сечения α, то построенная прямая верна на участке L-α.

Допустим, что груз находится слева от сечения α. При этом изгибающий момент:


При х=0 Ма=0; при x=L Ма=L-α.

Так как было предположено, что груз находится слева от сечения α, то построенная прямая верна на участке L-α. Таким образом мы получаем линию влияния момента М для сечения α . Подобным образом строим линии влияния М для сечений 0.5L, 0.4L, 0.3L, 0.2L, 0.1L.

Максимальные ординаты уmax линий влияния для различных сечений х составят:

х

0,1

0,2

0,3

0,4

0,5

уmax

0,09

0,16

0,21

0,24

0,25


Определим моменты от веса тележки в каждом из сечений с учетом того, что один из сосредоточенных грузов располагается над вершиной линии влияния, а второй - на расстоянии D относительно первого. Момент от сосредоточенных сил вычисляется по формуле:


где уi - ордината линии влияния, т.е.


Максимальные моменты от веса тележки в каждом из сечений равны:

х

0,1

0,2

0,3

0,4

0,5

МР, кНм

321,36

567,84

739,44

771,84

858


Момент в сечении х от равномерно распределенной нагрузки:


Максимальные моменты от равномерно распределенной нагрузки в каждом из сечений равны:

х

0,1

0,2

0,3

0,4

0,5

Мq, кНм

140,5

249,75

327,8

374,8

390,24


Суммарные моменты в сечениях от сосредоточенных сил и равномерной нагрузки:


Суммарные моменты в каждом из сечений равны:

х

0,1

0,2

0,3

0,4

0,5

МΣ, кНм

461,36

817,59

1067,24

1146,47

1248,24


Результаты расчетов представлены на чертеже «Эпюры линий влияния» (схема нагружения).


Линии влияния поперечной силы Q выражают зависимость величины поперечной силы в заданном сечении α от положения груза, равного единице, на балке.

Допустим, что груз находится справа от сечения α:


Построим эту линию из условия, что: при х=0 Qа=1; х=L Qа=0. Построенная прямая верна на участке L-α.

Допустим, что груз находится слева от сечения α:


Построим эту линию из условия, что: при х=0 Qа=0; х=L Qа=-1. Построенная прямая верна на участке α-L.

Ординаты линий влияния Q для сечений балки 0,5L, 0,4 L, 0,3 L, 0,2 L, 0,1L безразмерны:

 х

0

0,1

0,2

0,3

0,4

0,5

уmax

1

0,9

0,8

0,7

0,6

0,5


Определим расчетные усилия от сосредоточенных сил в каждом из указанных сечений с учетом того, что одна из них располагается над вершиной линии влияния:


Поперечные силы QР в указанных сечениях х равны:

х

0

0,1

0,2

0,3

0,4

0,5

QP, кНм

149,5

148,8

147,9

146,7

145,2

143


Поперечные силы Q от собственной силы тяжести q:


Поперечные силы Qq в указанных сечениях х равны:

х

0

0,1

0,2

0,3

0,4

0,5

Qq, кНм

65,04

52,03

39,02

26,02

13,01

0


Суммарные значения поперечных сил от сосредоточенных и равномерно распределенных нагрузок:


Суммарные значения поперечных сил в каждом сечении х равны:

х

0

0,1

0,2

0,3

0,4

0,5

QΣ, кНм

214,54

200,83

186,92

158,21

143


Результаты расчетов представлены на чертеже «Эпюры линий влияния» (схема нагружения).

4. Проектирование элементов балки

4.1 Нахождение наименьшей высоты балки

Определив расчетные усилия, переходим к нахождению наименьшей высоты балки из условия нормы жесткости F/L = 1 / 550 при сосредоточенных нагрузках Р. При определении требуемой высоты следует учесть, что по условию прогиб ограничен лишь в отношении нагрузки Р. Так как напряжение от суммарного момента МΣ=1248 кНм достигает [σ]Р, то напряжение от момента, вызванного сосредоточенными грузами МР=858 кНм, что будет составлять 0,8[σ]Р. Это напряжение следует брать вместо [σ]Р при определении требуемой высоты балки h.

Прогиб балки от двух сосредоточенных сил Р, расположенных симметрично в пролете (рис.2):


Подставив значение Рα=М, получим:


Если выразить М через напряжение 0,8[σ]Р, вызванное сосредоточенными силами и умноженное на момент сопротивления W=2J/h, то получим:


откуда требуемая высота балки равна:



Чтобы определить требуемую высоту балки из условия ее наименьшего сечения, нужно задаться толщенной вертикального листа.

Примем SВ=15мм=1,5см.

Требуемая высота из условия наименьшей массы определяется по формуле:


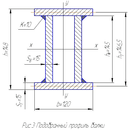
Так как требуемая высота, найденная из условия нормы жесткости, больше, чем высота, найденная из условия наименьшей массы, то ее и следует принять в расчет при подборе сечения (рис.3).

Таким образом: высота балки h=148см;

толщена вертикального листа SВ=1,5см;

высота вертикального листа (примем) hВ=145см.

4.2 Определение размеров сечения горизонтального листа балки

Требуемый момент инерции поперечного сечения сварной балки коробчатого профиля равен:


- требуемый момент сопротивления балки.

Момент инерции подобранного вертикального листа размером 1450х10 мм равен:

 .

Требуемый момент инерции горизонтальных листов (поясов) равен:

 .

Таким образом, требуемое сечение одного пояса балки равно:


Примем АГ=18 . Сечение горизонтального листа 120х15 мм.

4.3 Проверочный расчет поперечного сечения балки

Определим уточненное значение момента инерции подобранного поперечного сечения балки:

 

Наибольшее нормальное напряжение в крайнем волокне балки:

 

Расчетное напряжение превышает допускаемое на 0,6℅, что вполне допустимо.

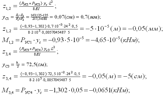
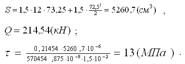
Определим касательное напряжение на уровне центра тяжести балки в опорном ее сечении по формуле:


где S - статический момент полуплощади сечения, симметричного относительно центра тяжести балки;

 .

Определим эквивалентные напряжения в сечении, в котором наибольший изгибающий момент М=1,248 МНм и поперечная сила Q=143 кН. эквивалентные напряжения вычисляются на уровне верхней кромки вертикального листа в зоне резкого изменения ширины сечения. Вычислим в этом волокне балки напряжение от момента М:


Здесь - статический момент площади сечения горизонтального листа относительно центра тяжести.

Эквивалентное напряжение определяется по формуле:


Расчетное напряжение превышает допускаемое на 0,6℅, что вполне допустимо.

4.4 Обеспечение устойчивости балки

Если балку не закрепить в горизонтальной плоскости, то потребуется значительное уменьшение допускаемых напряжений. Поэтому следует предусмотреть закрепления от возможных перемещений верхнего пояса, установить горизонтальные связи.

Зададимся расстоянием между закреплениями l0=10b=120см (рис.4).

Определим функцию α для нахождения коэффициента ψ:



Пользуясь интерполяцией (см. табл. 9.3 на ст.279 [1]) определяем коэффициент ψ: при α=0,57 коэффициент ψ=1,8.

Момент инерции балки относительно вертикальной оси:

 .

Находим коэффициент уменьшения допускаемых напряжений в балке с учетом обеспечения ее устойчивости:


Коэффициент φ>1,55. это значит, что при расчете можно принять φ=1. Устойчивость балки при наличии закреплений на расстоянии l0=120см обеспечена.

4.5 Проектирование ребер жесткости

Устойчивость вертикального листа будет обеспечена, если при наличии сосредоточенных сил, перемещающихся по балке, будет выполняться соотношение:


Чтобы обеспечить устойчивость вертикального листа, следует приварить к нему ребра жесткости (рис.7). Зададимся расстоянием между ними:

 

Ширина ребра bр=hв/30+40=145/30+40=45 мм, толщена Sр=bр/15=45/15=3 мм. Так как сечение балки коробчатое, то ребра с шириной 45/2 будут привариваться с двух сторон балки.

Нормальное напряжение в верхнем волокне вертикального листа


Среднее касательное напряжение τ от поперечной силы в середине пролета:


Местное напряжение σм под сосредоточенной силой (рис.5) находим по формуле:


Для определения z подсчитаем Jп - момент инерции верхнего пояса с приваренным к нему рельсом . Примем сечение рельса 50х50 мм (рис.6). Ордината центра тяжести пояса и рельса относительно верхней кромки пояса:

 

Положительное значение указывает на то, что центр тяжести расположен выше верхней кромки пояса.

Определим момент инерции относительно оси, совпадающей с верхней кромкой пояса (эта ось параллельна центральной оси):



Найдем момент инерции относительно оси х0, проходящей через центр тяжести сечения пояса с рельсом (А=25+18=43  ):


D для подкранных балок ровно 0,9.


5. Проектирование сварных соединений

Катет верхних и нижних поясных швов примем равным К=10 мм. В нижних поясных швах действуют касательные напряжения:


В верхних поясных швах, при определении напряжений с учетом приваренного рельса, следует вычислить:


Момент инерции будем считать неизменившимся, как и положение центра тяжести балки. При этом:


В верхних поясных швах к вычисленным напряжениям добавляются τр от сосредоточенной силы Р. Как уже было установлено, длина зоны распределения сосредоточенной силы в вертикальном листе z=15,72 см.

Таким образом, местное напряжение в шве (n=0,4) при К=10 мм:

Находим условное результирующее напряжение:


Катеты швов, приваривающих ребра жесткости к поясам и стенкам, принимаем равными Кр=3 мм. Эти швы не передают рабочих напряжений и расчету на прочность не подлежат.

6. Расчет опорных блоков моста

Опорные части балок сконструируем в форме балок коробчатого сечения, выполненного из спаренных швеллеров . На одной из опор балка имеет продольную подвижность, на другой - она закреплена болтами.

Длина опорной (концевой) балки b0 должна быть равной а с учетом того, что у нас две балки на расстоянии D друг от друга, то

.

Ширина концевой балки .

Таким образом, концевые балки выполнены из швеллеров №24П (240х90х5,6) по ГОСТ 8240-97.

6.1 Проверка концевых балок на прочность

Изгибающий момент по оси балки:


Момент сопротивления сечения плиты, ослабленной отверстиями болтов:


Напряжения изгиба равны:

7. Расчет сварочных деформаций

Сварку балки осуществляем в среде углекислого газа. Определим режим сварки [1]: К=10 мм; Iсв=785 А; Uд=30-35 В; Vсв=75 м/ч.

Определим силу усадки первого шва:


Определим величину прогиба от каждого шва:

Список использованных источников

1.Николаев Г.А., Куркин С.А., Винокуров С.А. Сварные конструкции. Точность сварных соединений и деформации конструкции. М.: Высшая шко-ла, 1971.760 с.

.Николаев Г.А., Винокуров С.А. Сварные конструкции. Расчёт и проектирование. М.: Высшая школа, 1990. 760 с.

.Богуславский П.Е. Металлические конструкции грузоподъёмных машин. М.: Машиностроение, 1961. 423 с.

.Стрелецкий Н.С. Стальные конструкции. М.: Стройиздат, 1961 г.

Похожие работы на - Проектирование металлоконструкции мостового электрического крана балочного типа

 

Не нашли материал для своей работы?
Поможем написать уникальную работу
Без плагиата!
Без нейросетей!