Проектирование и расчет редуктора давления газа
Основные обозначения
ЖАД
- жидкостный аккумулятор давления
КА
- космический аппарат
ПГС
- пневмогидравлическая система
РКН
- ракета космического назначения
РКК
- ракетно-космический комплекс
РКН
- ракета космического назначения
ТТЗ
- тактико-техническое задание
РБ
- разгонный блок
СК
- стартовый комплекс
СО
- стартовое оборудование
ССЗ
- стационарная система заправки
СОСГ
- система обеспечения сжатыми газами
ТК
- технический комплекс
ТТТ
- тактико-технические требования
Введение
Большинство технологических операций в системах
и агрегатах СК (ТК), а также управление запорными элементами и силовыми
приводами проводятся с использованием энергии сжатых газов. С этой целью
применяются сжатый азот, воздух и гелий. При этом азот используется как
инертный газ; воздух - как наиболее дешёвое рабочее тело, а гелий - как
практически не растворяющийся газ, имеющий очень низкую температуру сжижения,
небольшую вязкость и т.д.
Сжатые газы в баллонах или ёмкостях хранятся при
давлении 40 МПа (400 кг/см2), 20 МПА (200 кг/см2), 0,6
МПА (60 кг/см2).
Для управления сжатые газы используются с
давлениями от 2,5 МПА до 0,05 МПА. Подача сжатых газов различных потребителям
осуществляется с расходом от 0,01 МПА до 10 МПА.
Понижение давления газа, поступающего из
баллонов высокого давления, осуществляют редукторы давления.
1. Назначение и классификация редукторов
Редукторы давления служат для понижения давления
газа, поступающего из баллонов высокого давления. В жидкостных ракетных
двигательных установках редукторы давления используются в магистралях подачи
топлива и наддува топливных баков.
Редукторы подачи служат для обеспечения подачи
компонентов либо непосредственно в камеру сгорания (при газобаллонной системе
подачи), либо в газогенератор или ЖАД, которые, в свою очередь, обеспечивают
подачу компонентов в камеру сгорания. В этом случае редуктор является одним из
основных элементов системы подачи. От точности его работы зависит постоянство
расхода компонентов в камеру двигателя, а следовательно, и постоянство режима
работы камеры двигателя. Поэтому к точности работы этих редукторов предъявляют
очень жесткие требования.
Редукторы наддува служат для обеспечения наддува
различных элементов двигательной установки, а также для питания агрегатов
системы управления двигательной установки. Точность работы этих редукторов
непосредственно не влияет на режим работы камеры двигателя, и поэтому к
точности работы этих редукторов предъявляют менее жесткие требования. Понижение
давления газа в редукторе происходит вследствие дросселирования газа, при
протекании его из полости высокого давления в полость низкого давления через
проходное сечение малой площади, образованное клапаном и его седлом. Сущность
дросселирования состоит в том, что в сечении между клапаном и седлом за счет
снижения давления газ приобретает большую скорость и энергию давления
превращается в кинетическую энергию газа. Попадая в полость низкого давления,
газ тормозится; при этом кинетическая энергия его теряется из-за трения в
многочисленных завихрениях, сопровождающих торможение газа. Поэтому при таком
торможении газа давление его не восстанавливается. Для идеального газа
температура торможения по всему потоку остаётся неизменной, следовательно, и
температура газа в полости низкого давления после торможения газа должна быть
равна температуре газа до начала дросселирования. Но так как реальный газ
(особенно при низких температурах) не подчиняется законам идеального газа, то
при дросселировании происходит изменение температуры. Для большинства газов, в
том числе для воздуха азота, температура газа понижается, для водорода и гелия
- повышается.
Величина понижения давления при дросселировании
определяется размером дросселирующего отверстия между клапаном и седлом.
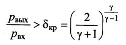
При работе редуктора в зависимости от величины
отношения давления на выходе pвых
к давлению на входе pвх
имеют место два режима течения газа через дросселирующее сечение. При
имеет место докритическое истечение газа. При pвых/pвх
≤ δ - истечение
закритическое.
Основными элементами редуктора давления
являются:
а) клапан, обеспечивающий изменение
дроселирующего сечения (клапан 2 на рисунках 1 и 2);
б) чувствительный элемент, нагруженный, с одной
стороны, давлением редуцируемого газа, а с другой - силой давления пружины или
управляющего газа.

а - редуктор прямого хода;
б - редуктор обратного хода;
Рисунок 1 - Схема редукторов прямого и обратного
хода 1 - запорная пружина; 2 - клапан; 3 - толкатель; 4 - мембрана; 5 - диск; 6
- основная пружина
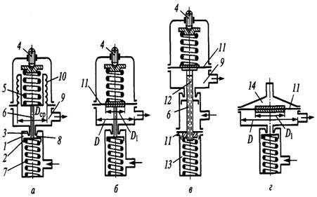
Рисунок 2 - Различные схемы редукторов обратного
хода а - сильфонных; б, в, г - мембранных;
- полость высокого давления; 2 - клапан; 3 -
седло клапана; 4 - регулирующий винт; 5 - основная пружина; 6 - шток; 7 -
пружина; 8 - дросселирующее сечение; 9 - полость низкого давления; 10 -
сильфон; 11 - мембрана; 12 - отверстие (канал); 13 - полость низкого давления
над клапаном; 14 - полость газа пневматического привода.
Свойства редуктора в значительной мере
определяются тем, в каком направлении открывается клапан редуктора. По этому
признаку редукторы разделяются на редукторы прямого и обратного хода.
В редукторе прямого хода (рис. 1, а) клапан
открывается в направлении усилия, возникающего за счет действия газа высокого
давления (по потоку газа). В редукторе обратного хода (рис. 1, б) клапан
открывается против усилия возникающего за счет действия газа высокого давления
(против потока газа),
По типу чувствительного элемента редукторы можно
разделить на:
сильфонные (рисунок 2, а);
мембранные (рисунок 1, 2, б-г);
плунжерные или поршневые (рисунок 3, а, б).
2. Устройство и работа редукторов
На рисунках 2-5 показаны схемы и сечения
различных типов редукторов.
Рисунок 3 - Редукторы обратного хода
(обозначения см. рисунок 2)
Редуктор обратного хода. Когда редуктор не
работает, пружина 5 (см. рисунок 2, а; 3) находится в свободном состоянии. Газ
высокого давления поступает в полость высокого давления 1; сила давления газа и
сила действия пружины 7 прижимают клапан 2 к седлу 3, не допуская прохода газа
через клапан. При сжатии основной пружины 5 редуктора, регулирующим вин том 4
возникает усилие, которое через шток 6 передается на клапан 2.
Пружина поджимается до того момента, пока сила
давления ее станет больше суммарной силы пружины 7, давления газа в полости
высокого давления, прижимающего клапан 2 к седлу 3, и давления газа в полости
низкого давления на рабочую поверхность Fм
(сильфона или мембраны). При этом клапан 2 открывается, газ проходит через
дросселирующее сечение 5, давление его падает и газ поступает в полость низкого
давления 9, откуда через выходное отверстие направляется к месту назначения.
Чем больше затяжка пружины 5, тем больше открывается клапан редуктора, тем
меньше дросселируется газ, т. е. тем больше будет его давление после редуктора.
В редукторе, показанном на рис. 2, в и 4,
полость низкого давления 9 каналом 12 в штоке 6 сообщена с полостью 13,
отделенной от полости высокого давления мембраной 11. Таким образом,
уравновешиваются силы давления газа на клапан 2, т. е. клапан 2 данного
редуктора полностью или частично разгружен от сил давления газа (полностью при
равенстве площади поверхностей мембраны 11 и площади клапана 2).
Редуктор не только уменьшает давление газа до
необходимой величины, но и является регулятором, сохраняющим давление на выходе
постоянным, несмотря на то, что давление на входе в редуктор, т. е. давление в
баллоне, всё время работы двигательной установки падает.
Рисунок 4 - Редуктор (обозначения см. рисунок 2)
Если, например, давление в полости низкого
давления 9 возрастет выше заданного, определяемого затяжкой пружины 5, то сила,
действующая на поверхность Fм,
становится настолько большой, что она преодолевает силу пружины 5. Тогда шток 6
вместе с клапаном 2 перемещается вверх и проходное сечение уменьшается.
Поступление газа в полость 9 при этом уменьшается до тех пор, пока давление в
ней не станет опять равным заданному. Если давление в полости 9 станет ниже
заданного, то уменьшится сила давления на поверхность Fм,
действующая против пружины 5, и пружина вместе со штоком 6 переместится вниз, а
вместе с ней переместится и клапан 2. Вследствие этого проходное сечение
увеличится, степень дросселирования газа уменьшится и давление газа в полости 9
снова поднимется до заданного. В редукторах, работающих по схеме,
представленной на рис. 4, б, усилие, действующее на клапан 5 со стороны пружины
2 и давления газа в полости 3, компенсируется за счет давления на поршень 6,
который штоком 9 жестко связан с клапаном 5.

а - с сообщающимися полостями высокого и низкого
давлений; б - без сообщающихся полостей;
Рисунок 5 - Схемы редукторов прямого хода
- регулировочный винт; 2 - основная пружина; 3 -
полость высокого давления; 4 седло клапана; 5 клапан; 6 поршень (плунжер); 7
канал низкого давления; 8 - полость низкого давления; 9 - шток; 10 - канал
высокого давления; 11 - дросселирующее отверстие Отличие редуктора,
изображенного на рисунке 5, а, от редуктора, показанного на рисунке 5, б,
заключается в том, что в первом полости высокого и низкого давления 3 и 8
состоят из двух частей, соединенных соответственно каналами 10 и 7; во втором
редукторе этого соединения нет. Редуктор прямого хода. Газ высокого давления
входит в полость 3 (рисунок 5). Дросселирование газа происходит в
дросселирующем отверстии 11 между клапаном 5 и седлом клапана 4. Газ пониженного
давления поступает в полость низкого давления 8 и оттуда к потребителю. В
редукторе, работающем по схеме, приведенной на рисунке 4, а, клапан 5 разгружен
от усилия, действующего на него со стороны пружины 2 и высокого давления в
полости 3, путем установки двух поршней 6. В полости 3 и 8 над поршнями по
каналам 10 и 7 поступает газ, давлением которого поршни 6 разгружаются. В
редукторах, работающих по схеме, представленной на рисунке 4, б, усилие,
действующее на клапан 5 со стороны пружины 2 и давления газа в полости 3,
компенсируется за счет давления на поршень 6, который штоком 9 жестко связан с
клапаном 5.
Отличие редуктора, изображенного на рисунке 4,
а, от редуктора, показанного на рисунке 4, б, заключается в том, что в первом
полости высокого и низкого давления 3 и 8 состоят из двух частей, соединенных
соответственно каналами 10 и 7; во втором редукторе этого соединения нет.
Редуктор прямого хода работает следующим
образом. В случае превышения давления в полости 8 сверх заданного и
установленного путем соответствующей затяжки пружины 2 сила на клапан 5,
действующая вверх, возрастает, при этом клапан 5 поднимется и дросселирующее
отверстие уменьшится, что вызовет понижение давления на выходе до заданной
величины. В случае понижения давления в полости 8 клапан 5 будет опускаться,
дросселирующее отверстие 11 увеличиваться и давление снова повысится до
заданного.
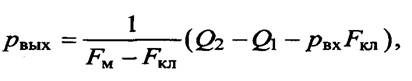
3. Характеристики редукторов
Редуктор давления газа при правильном его
устройстве является регулятором давления газа на выходе. Но, как большинство
регуляторов, он работает с некоторой неравномерностью, т. е. при изменении
давления на входе в редуктор меняется давление и на выходе из него.
Зависимость давления на выходе pвых
от давления на входе в редуктор pвх
называется характеристикой редуктора. Зависимость давления на выходе из
редуктора от давления на входе при отсутствии расхода газа будем называть
предельной характеристикой.
.1 Характеристики редуктора обратного хода
Для того чтобы определить характеристики
редуктора, т. е. найти зависимость pвых
от pвх,
составим уравнение равновесия подвижных частей редуктора при открытом клапане
(см. рис. 2 и 3). Силы, действующие вниз, будем считать положительными, вверх -
отрицательными.
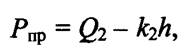
При работе редуктора вниз действует только сила
пружины 5:
где Q2
- сила давления пружины 5 при закрытом клапане редуктора (Н); k2
- жесткость пружины 5 (Н/м); h
- подъем клапана (м).
Вверх действуют следующие силы.
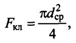
где Fкл
- площадь поверхности клапана, на которую действует сила разности давления газа
высокого давления и редуцированного газа. Для схемы, показанной на рис. 6, а,
имеем
где dср
= dкл
+ δ;
для схемы, показанной на рис. 6, б, имеем
Рис. 6. К определению Fкл
и Fдрос
.Cила
давления на клапан 2 пружины 7 (см. рис. 2)
где Q1
- сила давления пружины 7 при закрытом клапане (сила предварительной затяжки); k1
- жесткость пружины 7.
.Сила давления газа в полости низкого давления
на мембрану или сильфон
редуктор пружина мембрана дросселирующий
где Fм
- площадь поверхности мембраны или сильфона.
.Сила, действующая вверх, вследствие жесткости
мембраны:
где kм
- жесткость мембраны. Эта сила учитывается при установке жестких металлических
мембран. В случае установки «мягких», резиновых или пластиковых, мембран
жесткость их удобнее учитывать введением вместо Fм
приведенной площади мембраны:
где ам - коэффициент, учитывающий
жесткость мембраны.
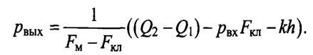
При равновесии редуктора сумма всех этих сил
равна нулю, т. е. уравнение равновесия подвижных частей редуктора будет иметь
вид
(1)
Обозначив
(2)
(3)
Величина подъема клапана h
связана с расходом газа, протекающего через дросселирующее сечение редуктора.
Площадь дросселирующего сечения вычисляется по
формуле
(4)
где hx
определяется в зависимости от конструкции клапана. При схеме клапана,
показанной на рис. 6, a,
hx = h;
при схеме, приведенной на рис. 6, б,
Для простоты анализа будем рассматривать клапан
схемы, показанной на рис. 6, а. В случае клапана, выполненного по схеме 6, б,
порядок изложения не меняется.
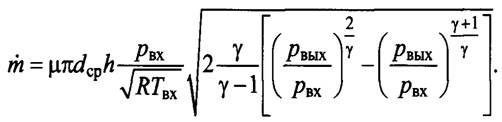
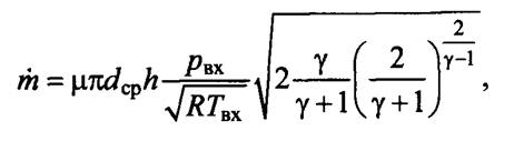
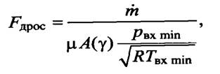
Расход газа через редуктор определяется по
формуле
(5)
где ωвых
и рвых - соответственно скорость истечения и плотность газа на
выходе из дросселирующего сечения; μ
- коэффициент расхода.
Подставив в выражение (5) известные из
газодинамики значения ωвых
,
после простых преобразований получим следующие
уравнения, определяющие расход газа.
. При докритическом течении
(6)
По уравнению состояния удельный объем
вычисляется по формуле
Подставив в уравнение (6) выражение для
удельного объема, получим
(6)
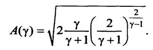
Введя обозначение
(7)
Рисунок 7 - Зависимость А(γ)
= f(pвых/pвх)
при γ
=
1,4
Получим
(8)
Выражение (8) можно переписать в виде
(9)
где
(10)
отсюда находим подъем клапана при докритическом
течении:
(11)
. При сверхкритическом течении
(12)
(13)
где А = μπА(γ).
Здесь
(14)
Отсюда находим подъем клапана при
сверхкритическом течении:
(15)
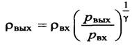
Таким образом, при любом режиме истечения газа
через клапан (докритическом или сверхкритическом) перемещение клапана
определяется формулой
(16)
При этом, однако, величина А(γ)
для докритического течения газа определяется формулой (7); при сверхкритическом
течении А(γ) - величина
постоянная и определяется формулой (14).
Подставив полученное выражение (16),
определяющее h, в уравнение (3),
получим уравнение характеристики редуктора:
(17)
При расходе газа через редуктор, когда
,
получим уравнение предельной характеристики:
(18)
или
(19)
т.е. уравнение прямой. Протекание характеристики
показано на рис. 8..
Рисунок 8 - Характеристики редуктора
Из анализа графика видно, что при
с
уменьшением давления на входе давление на выходе несколько возрастает. Такой
вид предельной характеристики типичен для редукторов обратного хода и, как мы
увидим далее, очень часто имеет место и в редукторах прямого хода.
Очевидно, что предельная характеристика,
получаемая из выражения (19), имеет смысл только до точки М (см. рис. 8), так
как из равенства (19) следует, что левее точки М давление на выходе pвых
становится
больше давления на входе pвх,
что невозможно.
Таким образом, в случае
(бесконечно
малый расход) при pвх
< pвых
редуктор уже не является регулятором. Клапан редуктора открыт полностью до hmax,
и через него происходит сброс давления газа из баллона. Так как при бесконечно
малом расходе потери на сопротивление равны нулю, то pвых
= pвх
на участке ОМ, т. е. предельная характеристика пойдет в начало координат под
углом 45°.
Рассмотрим, какой вид будет иметь характеристика
редуктора при некотором конечном расходе газа. Как видно из уравнения (17), при
расходе газа на протекание характеристики влияет еще третий член уравнения,
причем влияние его на изменение pвых
обратно
влиянию второго члена. По мере уменьшения
влияние
третьего члена увеличивается и характеристика все более отходит от предельной
характеристики.
Так же, как и предельная характеристика,
характеристика редуктора при расходе газа подчиняется уравнению (17) только до
определенного давления на входе pвх,
несколько большего, чем pвых.
Как видно из уравнений (16) и (17), при значениях pвх,
близких к pвых,
в связи с резким уменьшением А для сохранения заданного расхода
необходимо
увеличивать значение Fдрос,
т. е. увеличивать h. Наибольший
целесообразный подъем клапана h
= hmax
определяется тем условием, что площадь Fдрос
не имеет смысла делать большей, чем площадь проходного сечения клапана Fкл.
Следовательно, после открытия клапана до hmax
редуктор перестает быть регулирующим органом (точка m
на характеристике). При этом в случае дальнейшей подачи газа через редуктор
клапан редуктора открыт полностью и с уменьшением pвх
соответственно уменьшается pвых
и расход газа
. Характеристика
редуктора от точки m является
уже характеристикой с переменным расходом и идет в начало координат. Определим
величину наибольшего целесообразного подъема клапана hmax
для простейшей схемы, показанной на рис. 6, а.
,
(20)
Полагая
получим
(21)
Аналогично можно получить величину hmax
и для других схем клапанов. Подставляя hmax
в формулу (16), находим выражение для определения pвх
min
до
значения которого справедливо уравнение (17):
(22)
Чем больше расход газа через редуктор, тем (при
прочих равных условиях) больше влияние третьего члена в уравнении (17) на
характеристику.
Характеристики редуктора при различных расходах
как
бы вписываются в характеристику при
.
Таким образом, смысл характеристики при
состоит
в том, что она является предельной характеристикой семейства характеристик
редуктора при различных расходах.
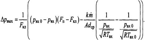
.2 Характеристики редуктора прямого хода
Уравнение равновесия подвижных частей редуктора
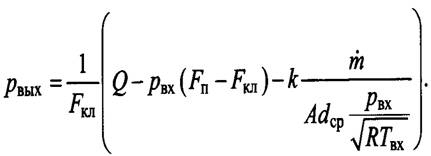
(см. рис. 5, б) составляется аналогично уравнению (9.22) и имеет вид
(23)
где Fп
- площадь поверхности поршня (плунжера). (Аналогичное уравнение получилось бы и
для редуктора, работающего по схеме, представленной на рис. 5,а.)
После несложных преобразований с учетом
уравнения (16) получим уравнение характеристики
(24)
Из сопоставления полученного уравнения с
уравнением (17) видно, что структура одинакова, однако при втором члене
уравнения появился множитель (Fп
- Fкл).
Варьируя значение разности площадей поршня и клапана Fп
- Fкл,
можно обеспечить получение характеристики, наиболее приближающейся к потребной.
Рассмотрим поведение предельной характеристики
(рис. 9).
Рисунок 9 - Влияние разности площадей Fп
- Fкл
на характеристику
Уравнение предельной характеристики получаем из
выражения (24) при
:
(25)
В зависимости от величины Fп
- Fкл
предельная характеристика будет иметь различный наклон. При Fп
> Fкл
предельная характеристика будет иметь вид ОMN1.
При Fп
= Fкл
второй член равен нулю и предельная характеристика на участке MNII
пройдет параллельно оси абсцисс. При Fп
< Fкл
изменится знак воздействия второго члена, и предельная характеристика пройдет
по ломаной OMNIII.
При предельных характеристиках OMNIII
и OMNII
характеристика
при каком-либо расходе
будет убывающей по
кривым OmIIINIII
или OmIINII
(т. е. с уменьшением pвх
давление рвых также уменьшается). Большую возможность использования
газа в баллоне высокого давления даёт характеристика вида OmINI,
т. е. нам выгодно иметь некоторую положительную разность площадей Fп
- Fкл
Характеристика редуктора (24) так же, как и
характеристика, соответствующая уравнению (17), следует уравнению только до
определенного значения рвх min,
соответствующего полному открытию дросселирующего сечения. При дальнейшей
подаче газа мы получим характеристику с переменным расходом (участки OmI,
OmII, OmIII).
.3 Уравновешивание редукторов
В рассмотренном выше примере наличие поршня,
жестко связанного с клапаном, как бы разгружало клапан от воздействия сил
давления на входе. Такие редукторы называют уравновешенными.
Анализ редуктора прямого хода, работающего по
схеме, представленной на рис. 5, б, показывает, что уравновешивание улучшает
характеристику редуктора. При Fп
= Fкл
мы имеем полное уравновешивание, однако для получения лучшей характеристики нам
выгодно оставлять некоторую неуравновешенность клапана. Уравновешивание
применяется и в редукторах обратного хода. Пример уравновешенного редуктора
обратного хода, работающего по схеме, приведенной на рис. 2,в, показан на рис.
4. Уравновешивание клапана достигается постановкой дополнительной мембраны 11
площадью Fм. д.
и сообщением с помощью канала 12 полости низкого давления с полостью 13.
Уравнение характеристики такого редуктора имеет вид
(26)
где Q2
и
Q1 -
затяжки основной пружины 5 и пружины клапана 7; k
- суммарная жесткость пружин и мембран.
Варьируя разность площадей Fкл
- Fм. д.
можно обеспечить желательное изменение предельной и основной характеристик
аналогично характеристике, приведенной на рис. 9.
Использование запаса газа в баллоне
Как бы удачно ни был спроектирован редуктор,
получить такую, характеристику его работы, по которой давление на выходе
оставалось бы неизменным (в пределах точности работы редуктора) вплоть до
равенства давлений на входе и на выходе, невозможно.
Всегда при каком-то рвх. min
> рвых давление рвых начинает уменьшаться.
Таким образом, мы не можем использовать весь
запас газа в баллоне. Количество недоиспользованного запаса газа определяется
величиной
Рисунок 10 - К определению Δpред
(27)
Величину Δpред
можно определить из графика характеристики редуктора (рис. 10).
Чем меньше величина Δpред
тем лучше использование запаса газа из баллона.
Идеальной характеристикой любого редуктора
являлась бы характеристика, по которой при заданном постоянном расходе т
независимо от изменения давления на входе pвх
обеспечивалось бы неизменное давление на выходе pвых.
На протекание характеристики влияют второй и третий члены уравнения
характеристики (17) или (24). Поскольку с изменением pвх
эти члены изменяются по разным законам, очевидно, получить характеристику с
неизменным pвых
(идеальную характеристику) нельзя, поэтому задача состоит в том, чтобы получить
характеристику, возможно более близкую к идеальной. Для этого конструктивные
элементы редуктора (мембрана, пружина, поршень и т. д.) и размеры клапанов
должны быть подобраны так, чтобы изменение упругих сил действия пружин и
мембраны (последний член уравнения) наилучшим образом компенсировало
воздействие сил давления.
Рассмотрим, как влияют различные параметры
работы редуктора на его характеристику.
Влияние изменения давления на входе pвх
на изменение pвых
Рассмотрим, во-первых, как влияет изменение
давления на входе pвх
на величину отклонения pвых
от заданного номинального значения pвых
0,
т. е. на величину
(28)
Величина Δpвых
определяет качество нашей характеристики. Наиболее желательной является
характеристика, для которой Δpвых
равно или близко к нулю.
Для этого составим уравнение характеристики для
какого-либо фиксированного значения давления на входе pвх
0,
при котором давление на выходе равно pвых
0
(в дальнейшем, для конкретности, будем рассматривать уравнение характеристики
(17) как более общее, хотя весь анализ, разумеется, справедлив для
характеристики любого редуктора):
(29)
Для определения Δpвых
вычтем почленно уравнение (29) из уравнения (17); тогда получим
(30)
(31)
(32)
(33)
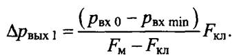
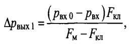
Рассмотрим изменение Δpвых
при изменении pвх.
. Влияние изменения pвх
на
Δpвых 1.
Уравнение (32) является уравнением прямой. При pвх
= pвх
0 имеем
при pвх
= pвх
min
имеем
Зависимость Δpвых
= f(pвх)
показана на рис. 11 прямой аnb.
Рисунок 11 - Влияние изменения pвх
на Δpвых
. Влияние изменения Δpвых
на Δpвых
2.
При pвх
= pвх
0 имеем
при
имеем
при 
Зависимость Δpвых
2 =
f (pвх)
показана на рис. 11 кривой cnd.
Так как в уравнении (31) знаки воздействия Δpвых1
и Δpвых
2 на
величину Δpвых
противоположны,
то очевидно, что заштрихованная область между линиями cnd
и and является в
соответствующем масштабе эпюрой изменения Δpвых
= Δpвых1
- Δpвых 2.
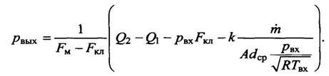
Давление на выходе из редуктора рвых
задается с определенным допуском Δpвых
0
на отклонение от заданного:
(34)
Величина Δpвых
0 определяется
требованиями к работе редуктора. Заданная величина допуска на отклонение pвых
от р вых 0 для данного редуктора определяет наибольшее pвх2
и
наименьшее pвх 1
давления на входе, при которых работа редуктора удовлетворяет предъявляемым
требованиям. Для редуктора прямого хода, работающего по схеме, показанной на
рис. 5, имеем
(35)
Анализ этого уравнения, аналогичный приведенному
выше анализу уравнения (32), показывает, что и в этом случае влияние рвх
на Δpвых
выражается
графиком, представленным на рис. 11, только в другом масштабе.
3.4 Влияние площади поверхности чувствительного
элемента (мембраны, сильфона, плунжера)
Для редуктора, работающего по схеме, показанной
на рис. 2, это влияние очевидно: чем больше величина Fм,
тем при прочих равных условиях меньше значения величины Δpвых
(30). Таким образом, увеличение Fм
повышает точность работы редуктора или при заданной точности увеличивает
допустимый диапазон давлений газа pвх2
- pвх1
при котором редуктор обеспечивает заданное давление на выходе, т. е. улучшает
использование запаса газа в баллоне. Для редукторов, работающих по схеме,
приведенной на рис. 5, влияние площади поршня или плунжера сказывается через
разность Fп
- Fкл
уравнении (35).
.5 Влияние размеров клапана редуктора
Для редукторов, работающих по схеме, показанной
на рис. 2, влиянием изменения Fм
на величину Fм
- Fкл
в уравнении (30) можно пренебречь, так как для таких схем Fм
>> Fкл.
Влияние размеров клапана на Δpвых
(или pвых)
отражается через влияние Fкл
на Δpвых
1
(32) и dср
на Δpвых
2
(33).
Рисунок 12 - Влияние размеров клапана редуктора
и жесткости пружин и мембран на Δpвых
С увеличением Fкл,
зависимость Δpвых
1 =
f (Fкл)
пойдет более круто по прямой a'nb'
( pиc.
12). С увеличением dср
изменение Δpвых
2
пойдет по кривой c'nd'.
Значения Δpвых
= Δpвых
1 -
Δpвых 2 с
увеличением dкл
(или dср)
возросли, т. е. повысилось значение наибольшего отклонения давления на выходе
от номинального значения pвых
0,
точность работы редуктора ухудшилась. Следовательно, в редукторе обратного хода
уменьшение размеров клапана повышает точность его работы.
Для редукторов, работающих по схеме, приведенной
на рис. 5, влияние изменения размеров клапана отражается через множитель 1/Fкл
в уравнении (35) и через влияние dср
во втором члене уравнения (35). Изменение Fкл
в первом члене уравнения (35) не влияет на Δpвх,
так как с изменением Fкл
для улучшения характеристики необходимо соответственно изменять и Fп.
Главное влияние размеров клапана на Δpвх
оказывает множитель 1/ Fкл:
чем больше Fкл,
тем меньше Δpвых.
Следовательно, точность работы редукторов, работающих по схеме, показанной на
рис. 5, растет с увеличением размеров клапана.
.6 Влияние жесткости пружин и мембраны
Влияние жесткости на Δpвых
отражается вторым членом уравнения (30) или (35). С увеличением k
изменение Δpвых
2
пойдет по кривой c"nd".
При этом, как видно из рис. 12, величина наибольшего положительного отклонения Δpвых
уменьшится.
4. Расчет редуктора
Исходные данные: pвх=47 кгс/см2;
pвых=8 кгс/см2;

=0,4 г/с; рабочее тело - воздух.
Главное требование, предъявляемое к
редуктору, состоит в том, чтобы давление газа на выходе из редуктора оставалось
в заданных пределах постоянным и не зависело от давления на входе. Поэтому
расчет редуктора заключается в подборе таких размеров конструктивных элементов,
при которых в наибольшей степени взаимно компенсировалось бы влияние второго и
третьего членов уравнения характеристики редуктора. В некоторых пневмогидравлических
системах к редуктору предъявляется еще требование герметичности закрытия
дросселирующего сечения.
При проектировании редуктора
необходимо определить или подобрать следующие величины:
а)размеры дросселирующего сечения и
клапана редуктора;
б)необходимые усилия пружин и их
жесткость;
в)размеры мембраны или сильфона,
плунжера, поршня и их жесткость или приведенную поверхность.
Если клапан уравновешивается, то
необходимо определить степень неуравновешенности как разность площадей Fп-Fкл или Fкл - Fм.д.
Расчет редуктора проводим в
следующем порядке.
1. Определяем размеры дросселирующего
сечения и клапана.
. Определяем силу затяжки пружин
редуктора и размеры мембраны, сильфона или плунжера.
. Зная усилия пружин и размеры мембран,
определяем размеры пружин и жесткость пружин и мембран.
. По уравнению характеристики проверяем,
удовлетворяет ли редуктор заданным условиям работы.
Определение размеров дросселирующего сечения и
клапана Расчетным режимом для определения размеров дросселирующего сечения
будет режим, при котором размер дросселирующего сечения, открываемого клапаном,
должен быть наибольшим. Такой режим имеет место при окончании работы редуктора.
В этот момент давление газа pвх
min,
поступающего в редуктор, будет наименьшим за весь период работы редуктора, а
его удельный объем - наибольшим. Скорость протекания газа через дросселирующее
сечение в этот период будет наименьшей, так как наименьшим будет перепад
давлений. При этом давление газа на входе согласно выражению (27) определяется
по формуле
Рвх min=8+3,2=11,2
кгс/см2
Определим величину Δpред,
значение которой неизвестно:
при больших давлениях на выходе (например, при
газобаллонной подаче)
Dрред=0,4*рвых=0,4*8=3,2
кгс/см2
при малых pвых
(например, при наддуве баков)
Площадь дросселирующего сечения определяем по
уравнению (4) (при hx =h):
Подставив в эту формулу h из уравнения (11), с
учетом равенства (10) получим расчетную формулу:
(36)
Определяем А(g) по формуле (7)
А(g)=0,47
Твх min=293
К
R=8,31*103
Дж/(кг*К)
m=0,7
Определяем Fдрос
по формуле (36)
Fдрос=17,266
мм2
где А(γ)
определяется в зависимости от величины отношения pвых/pвх
по формуле (7) или (16) либо по графику, приведенному на рис. 7.
Зададим величину коэффициента расхода
Если через редуктор проходит газ для вытеснения
компонентов из баков и известны освобождаемый за секунду объем баков Qс,
давление и температура в баках pб
и Tб
то, очевидно,
(37)
(38)
Зная величину Fдрос,
определяем dкл
и h. В соответствии с
влиянием площади клапана на Δpвых,
рассмотренным выше, для редукторов, работающих по схеме, представленной на рис.
2, диаметр dкл
берем возможно меньшим (3…8 мм); для редукторов схемы, приведенной на рис. 4,
величину dкл
берем большей (15.. .40 мм). Ширина седла клапана составляет δ
= 0,3.. .0,5 мм.
Fдрос=pd2дрос/4
dкл=
dдрос+(15…40)мм=30
мм
Fкл=pd2кл/4=706,5
мм2=706,5*10-2 см2
dср=
dкл+d=30+(0,3…0,5)мм=30,05
мм
h=Fдрос/(p*dср)=0,18
мм
Определение затяжки пружин редуктора, размеров и
жесткости пружин и чувствительных элементов
Силой затяжки пружины клапана (если по схеме
редуктора такая пружина имеется) либо задаемся в пределах 20... 150 Н, либо
рассчитываем ее из условия обеспечения герметичности клапана. При этом клапан
необходимо прижать к седлу с силой, при которой удельное давление клапана на
поверхность седла будет выше или равно удельному давлению герметичности qгерм,
гарантирующему требующуюся плотность закрытия клапана. Величина qгерм
определяется материалом клапана и уплотняющего пояска, а также разностью
давлений над и под клапаном, при которой необходимо обеспечить герметичность.
Для того, чтобы найти qгерм,
необходимо найти разность входного и выходного давления.
рвх - рвых=47-8=39 кгс/см2=3,8259
МПа
и по графику следует, что qгерм=14,8*10-6
Н/м2=14,8 Н/см2
На рисунке 13 приведены необходимые удельные
давления герметичности для разных материалов клапана и уплотняющего пояска. По
выбранному для заданных материалов необходимому значению qгерм можно подсчитать
силу пружины Q1.
Рисунок 13 - Наименьшие удельные давления
герметичности для некоторых материалов: 1- фибра твердая; 2 - фибра; 3 - эбонит
Давление герметичности определим по формуле
где
- площадь поверхности соприкосновения седла клапана с клапаном (м2):
(40)
Fсед=3,14*30,5*0,5=47,885
мм2 =47,885*10-6 м2
Qгерм=14,8*47,885*10-6=7,1*10-5
кгс
Силу пружины Q1
находим из уравнения, откуда с учетом соотношений (27) и (39) получим
(40)
Q1= 7,1*10-5-706,5*10-2*3,2=22,6
кгс
Зададим величину Fм
площади поверхности основной мембраны или сильфона. Чем выше Fм,
тем больше точность редуктора. Однако кроме точности редуктора при выборе Fм
руководствуются еще допустимыми габаритами и массой редуктора. При определении
размеров поршня Fп
или вспомогательной мембраны Fм
для редукторов с уравновешиванием, чтобы улучшить характеристику, берут dп
(или dм)
соответственно больше или меньше dкл
на 0,2... 1,5%.
dп=
dкл+1%=30,3
ммFп=pd2п/4=720,7
мм2
dм=
dкл-1%=29,7
ммFм=pd2м/4=692,44
мм2
Сила затяжки Q1
основной пружины редуктора определяется из уравнения равновесия сил (1) или
(23) в момент открытия клапана, т. е. когда перемещение клапана h
= 0.
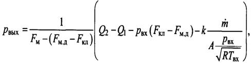
Из уравнения (1) определяем Q2
Q2=(рвых-рвх)Fкл+рвыхFм+Q1=(8-47)*706,5*10-2+8*692,44*10-2+22,6=
353,53 кгс.
Поскольку характеристика редуктора всегда
проходит ниже предельной, то иногда после ее расчета бывает необходимо
скорректировать силу затяжки основной пружины, увеличив ее на 50... 100 Н.
Поэтому при расчете пружины значение расчетного усилия на пружину берется
несколько больше, чем затяжка пружины, полученная из формул (1) или (23).
Размеры пружин и их жесткость определяем, исходя
из конструктивных соображений и используя обычные формулы, применяемые в
расчетах деталей машин.
Жесткость металлических мембран рассчитывают или
определяют по экспериментальным графикам, построенным для каждого данного типа
и материала мембраны. Жесткость «мягких», резиновых или пластиковых, мембран
учитывается введением вместо Fм
приведенной площади
(42)
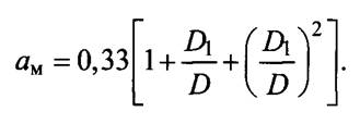
Величина ам для мембран с защитными
дисками или без них определяется по формуле
(43)
D1=
dд=dм-50%=14,85
мм
D=dм=dкл-1%=29,7
мм
Определяем ам по формуле (43)
ам=0,5775
Определяем Fм
прив по формуле (42)
Fм прив=Fм*
ам=399,9 мм2
Для сильфонов можно принимать ам = 1.
После определения всех конструктивных параметров
редуктора по уравнению характеристики проверяем, удовлетворяет ли редуктор
заданным условиям работы. Для этого, задаваясь рядом значений рвх
(обычно с интервалом 2…5 МПа), подсчитываем рвых. Если значения рвых
не выходят из заданных пределов, расчет считается законченным. Если же
характеристика редуктора вышла из заданных пределов, то с учетом влияния
параметров на характеристику, описанным выше, корректируем конструктивные
параметры редуктора и проводим расчет заново.
Действительная точность работы редуктора
Точность работы редуктора определяется величиной
± Δрвых.
При работе редуктора действительная величина отклонения давления на выходе Δрвых.д
будет больше теоретической величины Δ рвых,
полученной из расчета. Причина отклонения заключается в невозможности абсолютно
точного изготовления деталей редуктора и точной его настройки.
В зависимости от класса точности изготовления
редуктора действительное отклонение можно оценить величиной
(44)
По формуле (29) определяется рвых0
рвых0=8,01 кгс/см2
По формуле (28) определяется Dрвых
Dрвых=-0,01 кгс/см2
По формуле (44) определяем Dрвых
д
Dрвых д=-0,01+(0,05…0,15)=-0,01+0,05=0,04
кгс/см2
Следует также иметь в виду, что на величину
выходного давления рвых влияет и температура редуктора, так как при
изменении температуры изменяются механические свойства упругих элементов
редуктора и их размеры.
Меняем значение рвх на ±2
кгс/см2 (рвх1=45 и рвх2=49)кгс/см2
и производим аналогичные вычисления
Fдрос1=17,66
мм2Fдрос2=16,92
мм2
Fдрос=pd2дрос/4
dдрос1=4,74
ммdдрос2=4,64
мм
dкл1=
dдрос1+(15…40)мм=dкл2=
dдрос2+(15…40)мм=
=30,04 мм=29,94 мм
Fкл1=pd2кл1/4=708,385
мм2=Fкл2=pd2кл2/4=703,677
мм2=708,385*10-2 см2=703,677*10-2
см2
dср1=
dкл1+d=dср2=
dкл2+d=30,04+(0,3…0,5)мм=29,94+(0,3…0,5)мм=30,54
мм=30,44 мм
h1=Fдрос1/(p*dср1)=0,184
ммh2=Fдрос2/(p*dср2)=0,177
мм
рвх1 - рвых=45-8=37 кгс/см2=рвх2
- рвых=49-8=41 кгс/см2=3,63 МПа=4,02 МПа
qгерм1=14,6*10-6
Н/м2=14,6 Н/см2qгерм2=15*10-6
Н/м2=15 Н/см2
Fсед1=3,14*30,54*0,5=Fсед2=3,14*30,44*0,5=47,95
мм2=47,95*10-6 м2=47,79 мм2=47,79*10-6
м2
Qгерм1=14,6*47,95*10-6=Qгерм1=15*47,79*10-6=7*10-5
кгс=7,17*10-5 кгс
Q11=
7*10-5-708,385*10-2*3,2=Q12=
7,17*10-5-703,677*10-2*3,2=22,67 кгс=22,52 кгс
dп1=
dкл1+1%=30,34
ммdп2=
dкл2+1%=30,24
мм
Fп1=pd2п1/4=722,6
мм2Fп2=pd2п2/4=717,8
мм2
dм1=
dкл1-1%=29,74
ммdм2=
dкл2-1%=29,64
мм
Fм1=pd2м1/4=694,3
мм2Fм2=pd2м2/4=689,7
мм2
Из уравнения (1) определяем Q2
Q21=h(k1+k2+kм)+(рвых-рвх)Fкл1+рвыхFм1+Q11=0,0184*(5+5+0,5)+(8-45)*
708,385*10-2+8*694,3*10-2+22,67=340,51 кгс
Q22=h(k1+k2+kм)+(рвых-рвх)Fкл2+рвыхFм2+Q12=0,0177*(5+5+0,5)+(8-49)*
703,677*10-2+8*689,7*10-2+22,52=366,39 кгс
По формуле (3) определяем рвых
рвых1=-7,1*(317,84-318,77325-0,1932)=7,99
кгс
рвых2=-7,15*(343,87-344,80173-0,18585)=7,99
кгс
Заключение
В данной курсовой работе были закреплены знания
лекционного материала по устройству и работе систем КСНО при подготовке и
проведению пуска РКН, были получены навыки проведения расчёта элементов
запорной арматуры, применяемой в системах и агрегатах КСНО. После определения
всех конструктивных параметров редуктора, по уравнению характеристики проверили
и удостоверились в том, что редуктор удовлетворяет заданным условиям работы.
Список использованных источников
1. Добровольский
М.В. Жидкостные ракетные двигатели. Основы проектирования. - М.:
Машиностроение, 1968.
. Алемасов
В.Е.,Дрегалин А.Ф., Тишин А.П.. Гончар А.Г., Ковалев А.П., Поляков А.П.
Ракетно-космический комплекс как объект эксплуатации. Учебное пособие. - СПб.:
ВИККИ им. А.Ф. Можайского, 1977. - 98с.: ил.
. Гузенко
В.П., Ковалев А.П., Поляков А.П., Прохорович В.Е. Справочник по эксплуатации
космических средств: Под ред. проф. А.П. Полякова. - СПб.: ВИКУ им. А.Ф.
Можайского, 2001. - 480 с.:
. ПБ
03-576-03 Правила устройства и безопасной эксплуатации сосудов, работающих под
давлением. - М.: ПИО ОБТ, 2003. - 168 с.
. Шарапов
В. С. и др. Справочное пособие по проектированию силовых пневматических
систем./ под ред. В.Н. Соловьёва - М.: КБТМ, 1969. -236 с.
. Аграновский
М.М. Вылюднов М.Е. и др. Силовые пневматические системы./ под ред. В.П. Бармина
- М.: Машиностроение, 1965. - 188 с.
. Арзрумов
Ю.Л., Петров Р.А., Халатов Е.М. Системы газоснабжения и устройства
пневмоавтоматики РКК. - М.: Машиностроение, 1977, - 423 с.