Проектирование бетоносмесительного цеха для производства железобетонных колонн

  • Вид работы:
    Курсовая работа (т)
  • Предмет:
    Другое
  • Язык:
    Русский
    ,
    Формат файла:
    MS Word
    81,79 Кб
  • Опубликовано:
    2014-12-17
Вы можете узнать стоимость помощи в написании студенческой работы.
Помощь в написании работы, которую точно примут!

Проектирование бетоносмесительного цеха для производства железобетонных колонн

Содержание

Введение

. Исходные данные

. Выбор и основные требования к сырьевым материалам

. Расчет состава бетона

. Режим работы предприятия

. Расчет годовой, суточной, сменой, часовой производительности и потребности в бетонной смеси и сырьевых материалах

. Расчет бетоносмесительного цеха

. Расчет складов цемента, заполнителей и добавок

. Контроль качества

. Техника безопасности и промсанитария

Список используемых источников

Введение

Целью данного курсового проекта является проектирование бетоносмесительной цеха для производства железобетонных одноветвевых колонн. Мощность предприятия - 30000 м3 , в том числе товарного бетона 20000 м3. Способ производства агрегатно - поточный.

Этот способ обладает гибкостью, поддоны от поста к посту перемещаются при помощи мостового крана и грузоподъёмного устройства. Изделия изготавливаются способом немедленной распалубки, что позволяет использовать поддоны и съёмную бортоснастку, что приводит к снижению металлоёмкости производства. Способ немедленной распалубки повышает оборачиваемость установок для формования колонн, производительность, сократит длительность технологического процесса и приведёт к экономии электрической энергии. При данном способе производства обеспечивается чёткая организация технологического процесса.

В данном проекте предусматривается применение пластифицирующей добавки Sika Plastiment BV 3M.

1. Исходные данные

Проектирование бетоносмесительного цеха завода железобетонных изделий, для производства железобетонных одноветвевых колонн 1К54-1М2. Мощность предприятия 30000 м3, в том числе товарного бетона 20000 м3. Способ производства агрегатно - поточный.

. Выбор и основные требования к сырьевым материалам

Крупный заполнитель. Крупный плотный заполнитель должен удовлетворять требованиям ГОСТ 8267-93[1].

Крупные плотные заполнители должны иметь среднюю плотность зерен (2,0-3,0) г/см3.

Наибольшая крупность заполнителя 20 мм.

Содержание пылевидных и глинистых частиц (размером менее 0,05мм) в щебне и гравии не должно превышать для бетонов всех классов 1 % по массе.

Содержание зерен пластинчатой (лещадной) и игловатой формы в крупном заполнителе не должно превышать 35 % по массе.

Марки гравия и щебня должны быть не ниже 600 .

Содержание зерен слабых пород в крупном заполнителе не должно превышать 10 % по массе для бетонов всех классов

Содержание глины в комках не должно превышать 0,25 % по массе.

Допустимое содержание пород и минералов, отнесенных к вредным примесям в заполнителях:

аморфные разновидности диоксида кремния, растворимого в щелочах (халцедон, опал, кремень и др.) - не более 50 ммоль/л;

сера, сульфиды, кроме пирита (марказит, пирротин и др.) и сульфаты (гипс, ангидрит и др.) в пересчете на SO3 - не более 1,5 % по массе для крупного заполнителя и 1,0 % по массе - для мелкого заполнителя;

пирит в пересчете на SO3 - не более 4 % по массе;

слоистые силикаты (слюды, гидрослюды, хлориты и др., являющиеся породообразующими минералами) - не более 15 % по объему для крупного заполнителя и 2 % по массе - для мелкого заполнителя;

свободное волокно асбеста - не более 0,25 % по массе;

уголь - не более 1 % по массе.

Крупный заполнитель в зависимости от значений суммарной удельной эффективной активности естественных радионуклидов при Аэфф до 370 Бк/кг применяют во вновь строящихся жилых и общественных зданиях.

Песок должен удовлетворять требованиям ГОСТ 8736-93[2].

-содержание в песке пылевидных и глинистых частиц не должно превышать 3 %, а содержание глины в комках 0,35 % соответственно;

песок должен обладать стойкостью к химическому воздействию щелочей цемента;

песок не должен содержать посторонних засоряющих примесей;

полный остаток песка на сите 0,63 должен соответствовать значениям от 30 до 45 % по массе.

Содержание зерен крупностью:

свыше 10 мм не должно превышать 0,5 % по массе;

свыше 5 мм не должно превышать 5 % по массе;

менее 0,16 мм не должно превышать 5 % по массе.

Допустимое содержание пород и минералов, отнесенных к вредным примесям в мелких заполнителях:

аморфные разновидности диоксида кремния, растворимого в щелочах (халцедон, опал, кремень и др.) - не более 50 ммоль/л;

сера, сульфиды, кроме пирита (марказит, пирротин и др.) и сульфаты (гипс, ангидрит и др.) в пересчете на SO3 - не более 1,5 % по массе для крупного заполнителя и 1,0 % по массе - для мелкого заполнителя;

пирит в пересчете на SO3 - не более 4 % по массе;

слоистые силикаты (слюды, гидрослюды, хлориты и др., являющиеся породообразующими минералами) - не более 15 % по объему для крупного заполнителя и 2 % по массе - для мелкого заполнителя;

свободное волокно асбеста - не более 0,25 % по массе;

уголь - не более 1 % по массе.

Мелкий заполнитель в зависимости от значений суммарной удельной эффективной активности естественных радионуклидов при Аэфф до 370 Бк/кг применяют во вновь строящихся жилых и общественных зданиях.

Вода должна удовлетворять требованиям ГОСТ 23732-2011[3]. Характеристика воды:

содержание в воде органических поверхностно-активных веществ, сахаров или фенолов, каждого, не должно быть более 10 мг/л;

вода не должна содержать плёнки нефтепродуктов, жиров, масел;

окисляемость воды не должна более 15 мг/л;

водородный показатель воды (рН) не должен быть менее 4 и более 12,5;

вода не должна содержать также примесей в количествах, снижающих прочность и морозостойкость пенобетона.

Цемент должен удовлетворять требованиям ГОСТ 10178-85 "Портландцемент и шлакопортландцемент"[4] или ГОСТ 31108-2003 «Цементы общестроительные»[5].

Класс прочности цемента должен быть не ниже марки М400.

Суммарное содержание трехкальциевого и двухкальциевого силикатов

()

в клинкере должно быть не менее 67 % массы клинкера.

Массовое отношение оксида кальция к оксиду кремния (Ca0/SiO2) не менее 2,0.

Содержание оксида магния MgO в клинкере не должно быть более 5 % массы клинкера.

Удельная эффективная активность естественных радионуклидов при Аэфф в цементе не должна быть более 370 Бк/кг.

Sika Plastiment BV 3M - пластифицирующая и водоредуцирующая добавка для бетонов, удовлетворяющая требованиям ТУ 2493-031-13613997-2010[6].

основа: водный раствор модифицированных лигносульфонатов;

внешний вид: жидкость коричневого цвета, полностью гомогенная;

плотность: (1,145-1,175) кг/дм3;

дозировка: для подвижных и высокоподвижных бетонных смесей (0,2-1,0) % жидкой добавки от массы цемента.

водоредуцирование до 15 %.

. Расчет состава бетона

Рассчитывается состав бетонной смеси подвижностью (5-9) см для получения бетона класса В15 [7].

Требуемая прочность бетона определяется:

 , МПа ,(3.1)

где - коэффициент требуемой прочности, принимаемый для всех видов бетонов (кроме силикатный и ячеистых) и для всех видов конструкций (кроме массивных гидротехнических);

=1,09 при коэффициенте вариации =8 %;

В- заданный класс бетона, по заданию класс бетона - В15.

 МПа.

Рассчитывается средний уровень прочности бетона:

, МПа,(3.2)

где - коэффициент равный 1,05 при ≤8 %.

 МПа.

По формуле Боломея - Скрамтаева (3.3) определяется цементно-водное соотношение (в формуле принимается знак минус, т. к < 40 МПа):

, МПа,(3.3)

где  - прочность бетона, на которую ведется расчет, МПа;

А - коэффициент, учитывающий качество цемента и заполнителей, А=0,60;

 - активность цемента, МПа.

, МПа;

.

Определяется рекомендуемый расход воды, В0 = 190 кг .

Определяется сокращенный расход воды с учетом водоредуцирующего эффекта:

, кг,(3.4)

где  - водопотребность бетонной смеси, %, по данным изготовителя до 15 %.

.

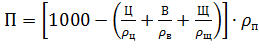
По формуле (3.5) определяется расход цемента:

, кг;(3.5)

Полученный расход цемента меньше минимального допустимого Цmin=280 кг. Для дальнейших расчетов принимается Цmin=280 кг

Расчет добавки на 1м3 бетона составит:

 , кг,(3.6)

где - расход добавки на 1м3 бетона, кг;

- расход добавки от массы цемента, %, по данным изготовителя (0,2-2) %.

 кг.

По формуле (3.7) рассчитывается расход гравия:

, кг,(3.7)

где  - пустотность крупного заполнителя, подставляется в виде относительной величины;

- коэффициент раздвижки зерен, определяется по таблице [7];

-насыпная плотность крупного заполнителя;

 - средняя плотность зерен крупного заполнителя.

.

По формуле (3.8) рассчитывается расход песка:

, кг,(3.8)

где истинная плотность цемента, г/см3;

плотность воды, г/см3;

 средняя плотность зерен крупного заполнителя, г/см3;

 истинная плотность песка, г/см3.

.

. Режим работы предприятия

В соответствии с ОНТП-07-85[8] режим работы предприятия и склада заполнителей приводится в таблице 4.1 и 4.2:

Таблица 4.1 - Режим работы предприятия

Количество расчётных рабочих суток в году

Количество рабочих смен в сутки

Количество рабочих часов в смену

253

2

8


Таблица 4.2 - Режим работы складов

Количество расчётных рабочих суток в году

Количество рабочих смен в сутки

Количество рабочих часов в смену

253

3

8


. Расчет годовой, суточной, сменой, часовой производительности и потребности в бетонной смеси и сырьевых материалах

сырьевой бетонный дозатор добавка

Годовая (), суточная (), сменная () и часовая () производительности связаны следующими отношениями:

;(5.1)

;(5.2)

. (5.3)

где годовой фонд рабочего времени (расчетное число рабочих дней в году), сут.; расчетная продолжительность смены, ч.; коэффициент использования оборудования по времени,=0,78-0,81.

По формулам (5.1,5.2,5.3) рассчитывается производительность цеха бетона (при этом учитываются отходы и потери бетонной смеси при ее транспортировании и формировании изделий в количестве 1,5 %):

= 30457;

;

 

По формулам (5.1,5.2,5.3) рассчитывается производительность цеха товарного бетона (при этом учитываются отходы и потери бетонной смеси при ее транспортировании и формировании изделий в количестве 1,5 %):

= 20304,;

;

 

При расчете потребности в материалах следует учитывать потери сырьевых материалов: щебня-0,4 %, песка-0,7 %, цемента-0,5 %, значения, полученный по формулам (5.1)-(5.3), следует делить на выражение:

,(5.4)

где -коэффициент потерь i-го материала, %.

Принимается по ОНТП-07-85 расход материалов на 1м3 бетонной смеси: цемента-280 кг, гравия -0,9 м3, песок - 0,45 м3, воды -200 л, добавки 2,24 кг.

Таблица 5.1 - Потребность в сырьевых материалах

Наименование материалов

Потребность в


год

сутки

смену

час

Бетонная смесь (с учетом потерь), м3

30457

120,4

60,2

9,4

Цемент, т

8570,8

33,9

16,94

2,12

Гравий, м3

27521,4

108,8

54,4

6,8

Песок, м3

13802,3

54,55

27,27

3,41

Вода, м3

6091,4

24,1

12,04

1,5

Добавка, кг

68223,7

269,7

134,8

16,85


Таблица 5.2 - Потребность в сырьевых материалах для бетона

Наименование материалов

Потребность в


год

сутки

смену

час

Бетонная смесь (с учетом потерь), м3

20304

80,26

40,13

6,27

Цемент, т

5713,7

22,6

11,3

1,41

Гравий, м3

18346,99

72,5

36,26

4,53

Песок, м3

9201,2

36,37

18,18

2,27

Вода, м3

4060,8

16,05

8,03

1,003

Добавка, кг

45480,96

179,77

89,88

11,24


Таблица 5.3 - Обобщенная потребность в сырьевых материалах

Наименование материалов

Потребность в


год

сутки

смену

час

Бетонная смесь (с учетом потерь), м3

50761

200,64

100,32

15,67

Цемент, т

14284,5

56,5

28,23

3,53

Гравий, м3

45868,4

181,3

90,65

11,33

Песок, м3

23003,5

90,92

45,46

5,68

Вода, м3

10152,2

40,13

20,06

2,51

Добавка, кг

113704,66

449,43

224,7

28,09


. Расчет бетоносмесительного цеха

Выбор типа и расчет количества бетоносмесителей

Принимается бетоносмеситель принудительного планетарно-роторного типа с принудительным принципом действия БП-1500.

Таблица 6.1 - Технические характеристики БП-1500

Характеристика

Значение

Объём готового замеса, л

1000±100

Продолжительность перемешивания, с

40

Крупность заполнителя, мм

70

Частота вращения ротора, об/мин

24,1

Установленная мощность электродвигателя, кВт

37

Рабочее давление в пневмоцилиндре, кгс/см2

5...6

Размеры (длина х ширина х высота), мм

2690х2320х1870

Масса, кг

3000


Количество бетоносмесителей рассчитывается по формуле:

 

м3/ч;

коэффициенты резерва производства, равный 1,2;

коэффициент на неравномерность выдачи бетонной смеси,0,5…0,8;

расчетное количество замесов в час, принимается по таблице 12 ОНТП 07-85[8];

 часовой коэффициент на неравномерность выдачи товарной бетонной смеси; принимается равным 0,8.

По формуле (6.1) рассчитывается количество бетоносмесителей:

Принимается количество бетоносмесителей равным 2.

Выбор типа и расчет количества дозаторов

При выборе комплекта дозаторов должны выполняться требования:

 , (6.2)

где  и  - наименьший и наибольший пределы дозирования данного дозатора.

-расходы i-го компонента бетонной смеси соответственно на минимальный и максимальный объем замеса.

Принимается дозатор весовой автоматический для дозирования цемента с двумя шнековыми питателями - АД-600-2БЦ.

Таблица 6.2 - Технические характеристики АД-600-2БЦ

Характеристики

Значение

Наибольший предел дозирования, кг

600

Наименьший предел дозирования, кг

120

Время дозирования, с

45

Дискретность отсчета, кг

0,20

Класс точности

1

Потребляемая мощность, кВт

6,8

Рабочее давление сжатого воздуха, МПа

0,4-0,6

Габаритные размеры, мм

270013102700

Масса, кг

1340


Принимается дозатор весовой автоматический для дозирования щебня - АД-1600-2БЩ.

Таблица 6.3 -Технические характеристики АД-1600-2БЩ

Характеристики

Значение

Наибольший предел дозирования, кг

1600

Наименьший предел дозирования, кг

300

Время дозирования, с

45

Дискретность отсчета, кг

1,0

Класс точности

2

Потребляемая мощность, кВт

0,3

Рабочее давление сжатого воздуха, МПа

0,4-0,6

Габаритные размеры, мм

190013302810

Масса, кг

690



Принимается дозатор весовой автоматический для дозирования песка - АД-1600-2БП.

Таблица 6.4 -Технические характеристики АД-1600-2БП

Значение

Наибольший предел дозирования, кг

1600

Наименьший предел дозирования, кг

300

Время дозирования, с

45

Дискретность отсчета, кг

1,0

Класс точности

2

Потребляемая мощность, кВт

0,3

Рабочее давление сжатого воздуха, МПа

0,4-0,6

Габаритные размеры, мм

190013302960

Масса, кг

560

Принимается дозатор весовой автоматический для дозирования воды - АД-400-2БЖ.

Таблица 6.5 -Технические характеристики АД-400-2БЖ

Характеристики

Значение

Наибольший предел дозирования, кг

400

Наименьший предел дозирования, кг

120

Время дозирования, с

45

Дискретность отсчета, кг

0,2

Класс точности

1

Потребляемая мощность, кВт

0,3

Рабочее давление сжатого воздуха, МПа

0,4-0,6

Габаритные размеры, мм

126011002290

Масса, кг

470


Принимается дозатор весовой автоматический для дозирования химических добавок - АД-30-2БЖ.

Таблица 6.6 -Технические характеристики АД-30-2БЖ

Характеристики

Значение

Наибольший предел дозирования, кг

30

Наименьший предел дозирования, кг

4

Время дозирования, с

45

Дискретность отсчета, кг

0,01

Класс точности

1

Потребляемая мощность, кВт

0,3

Рабочее давление сжатого воздуха, МПа

0,4-0,6

Габаритные размеры, мм

12208101250

Масса, кг

120


Расчет расходных бункеров. По ОНТП-07-85 принимается количество часов запаса материала в расходных бункерах: песок - (1-2 ) ч; щебень - (1-2) ч; добавка - (4-5) ч; цемент - (2-3) ч.

Требуемая емкость бункера определяется по формуле:


где часовой расход материала, м3;

количество часов запаса материала, ч;

К- коэффициент, учитывающий степень заполнения бункеров (К=0,9).

Запас заполнителей в расходных бункерах на 2 часа:

Запас цемента в расходном бункере на 3 часа:

Запас добавки в расходных баках на 5 часов:

.

Принято - два бункера для щебня, один бункер для песка и один бункер для цемента с размерами: А=3 м, Н=3 м ,.

Размер выходного отверстия бункера (а)

 мм,(6.3)

где к- коэффициент, значение которого равно 2,4 для рядового сыпучего материала;

Д- максимальный размер кусков материала, мм;

угол естественного откоса материала, ().

Для песка .

Для щебня .

Принимается выходное отверстие бункеров для песка, щебня и цемента прямоугольного сечения с размером сторон, а=200 мм.

Высота пирамидальной части бункера (h2) песка, цемента и щебня ().

 . (6.4)

Высота прямоугольной части бункера (h1).

 (6.5)

Так как h1<1 м, что не рекомендуется, производится пересчет, принимая ().

Высота пирамидальной части бункера (h2) песка, цемента и щебня ().

Высота прямоугольной части бункера (h1).

Принимается - ,  , .

Размер бункера (В).

Из уравнения:

; (6.6)

Размер бункера (В) для песка:

Принято .

Размер бункера (В) для цемента:

Принято .

Размер бункера (В) для щебня (два бункера по 12,6 м3):

 Принято .

Для хранения готового раствора добавки принимается бак емкостью 200 л. [9].

7. Расчет складов цемента, заполнителей и добавок

По формуле (7.1) рассчитывается типовой склад для цемента


где  суточная производительность цемента, м3;

 коэффициент, учитывающий степень заполнения бункеров (Кз=0,9)

Принимается автоматизированные прирельсовые склады цемента СЦ- 2 500


Таблица 7.1 -Технические характеристики склада цемента СЦ - 2 500

Характеристика

Значение

Вместимость, м3

1000

Силосы:


-вместимость, м3

500

-количество, шт

2

Производительность при выгрузке, т/ч

200


По формуле (7.2) рассчитывается склад для заполнителей:

 (7.2)

где суточная производительность песка, м3;

 суточная производительность гравия, м3.

Принимается типовой склад заполнителей 708-13-84.

Таблица 7.2 - Технические характеристики склада заполнителей

Характеристика

Значение

Вместимость, м3

2000

Грузовой грузооборот, тыс.т

85

Число рабочих

6

Площадь застройки, м2

2442



8. Контроль качества

Контроль качества изделий должен осуществляться лабораторией и отделом технического контроля (ОТК) предприятия путем осуществления входного контроля поступающих на предприятие материалов и изделий, операционного контроля всех производственных процессов и приемочного контроля качества готовых изделий, в том числе с использованием неразрушающих методов. Входной контроль

Показатели качества поступающих материалов и изделий при входном контроле следует устанавливать на основе паспортов или сертификатов, а также контрольных испытаний, вид и периодичность которых устанавливаются в стандартах предприятия на управление качеством или технологических картах производства.

При входном контроле качества цемента и заполнителей в целях регулирования состава бетона и обеспечения требуемых показателей качества изделий следует для каждой поступившей партии проверить: активность цемента при пропаривании, нормальную густоту и сроки схватывания, зерновой состав и загрязненность плотных заполнителей, насыпную плотность, зерновой состав и прочность пористых заполнителей.

Операционный контроль

Операционный контроль качества должен включать контроль:

правильности и точности изготовления арматурных и закладных изделий;

продолжительности перемешивания бетонной смеси;

свойств приготовленной смеси (подвижности или жесткости, средней плотности для легких бетонов, объема вовлеченного воздуха, температуры);

геометрических размеров и состояния собранных форм;

качества смазки и нанесения ее на форму;

правильности установки арматурных, закладных изделий и фиксаторов защитного слоя арматуры;

антикоррозионной защиты арматуры и закладных деталей;

заданных режимов формования (коэффициента уплотнения, толщины слоя бетона, длительности формования, амплитуды и частоты колебаний, и др.);

качества отделки изделий в процессе формования;

режима тепловой обработки изделий;

распалубочной прочности изделий;

- складирования и хранения готовых изделий.

Организацию, периодичность и методы проведения операционного контроля следует устанавливать в стандартах предприятия на управление качеством или технологических картах производства в зависимости от вида изготовляемых изделий и конструкций, а также принятой технологии.

Приемочный контроль

Приемочный контроль качества готовых изделий и их маркировку следует производить в соответствии с требованиями ГОСТ 13015-2012, ГОСТ 13015-2012, а также стандартов или технических условий на изделия конкретных видов.

Приборы и измерительные инструменты, применяемые при контроле и испытании готовых изделий, должны удовлетворять требованиям стандартов и проверяться метрологическими организациями в установленном порядке.

На изделия, принятые ОТК и поставляемые потребителю, должен быть выдан документ об их качестве в соответствии с требованиями ГОСТ 13015-2012.

При приемке законченных бетонных и железобетонных конструкций следует проверять:

геометрические размеры и исходный внешний вид;

прочность бетона;

качество применяемых в конструкции материалов, полуфабрикатов и изделий (по результатам входного контроля)[12].

9. Техника безопасности и промсанитария

Техника безопасности - комплекс технических и организационных мероприятий, направленный на обеспечение безопасности условий труда. В состав таких мероприятий могут входить: разработка правил безопасного проведения работ, ограждение вращающихся частей машин и механизмов, защитное заземление электроустановок, изучение персоналом правил техники безопасности.

Для создания безопасных условий труда при приготовлении бетонной смеси соблюдают следующие правила:

площадки в пределах рабочей зоны бетоносмесителей содержат в чистоте и не загромождают. Все работающие механизмы освещают.

подъемники, бункера, лотки и другие устройства для подачи материалов ограждают, а все корпуса электродвигателей заземляют.

закрытые помещения, в которых работают с пылящими материалами и добавками, оборудуют вентиляцией и устройствами, предупреждающими распыление материалов. Пылеобразование в основном возникает при транспортировании и перегрузки цемента, поэтому во время таких операций рабочие должны пользоваться противопылевой спецодеждой, защитными очками с плотной оправой, а для защиты дыхательных путей - респираторами.

при приготовлении бетонных смесей с химическими добавками соблюдают меры предосторожности против ожогов, повреждения глаз и отравления.

до пуска в эксплуатацию каждую установленную или отремонтированную машину осматривают и испытывают.

при выгрузке бетонной смеси из бетоносмесителя запрещается ускорять опорожнение вращающегося барабана лопатой или другим приспособлением. - не допускается проверять, смазывать и ремонтировать электропневматические сборочные единицы дозаторов во время их работы.

силосы и бункера для хранения цемента оборудуют устройствами для обрушения сводов цемента.

загрузочные отверстия емкостей для хранения пылевидных материалов закрывают защитными решетками, люки в защитных решетках запирают на замок.

Производственное оборудование, оснастка, приспособления и инструменты должны отвечать требованиям государственных стандартов по безопасности труда.

Персонал, эксплуатирующий оборудование, оснастку, приспособления и ручные машины до начала работ должен быть обучен безопасным методам и приемам работ с их применением согласно требованиям инструкций завода изготовителя и инструкций по охране труда.

Включение, запуск в работу оборудования и других средств механизации должен производиться только лицом, за которым они закреплены, имеющим удостоверение на право управление этим средством.

Съемные грузозахватные приспособления и тара в процессе эксплуатации должны подвергаться техническому освидетельствованию лицом, ответственным за их техническое состояние в сроки, установленные требованиями правил устройства и безопасности эксплуатации грузоподъемных кранов, а вся технологическая оснастка - не реже чем через 6 месяцев.

Список используемых источников

1.      ГОСТ 8267-93 Щебень и гравий из плотных пород для строительных работ. Технические условия.

.        ГОСТ 8736-93 Песок для строительных работ. Технические условия.

.        ГОСТ 23732-2011 Вода для бетонов и строительных растворов. Технические условия.

.        ГОСТ 10178-85 Портландцемент и шлакопортландцемент. Технические условия.

.        ГОСТ 31108-2003 Цементы общестроительные. Технические условия.

.        ТУ 2493-031-13613997-2010 Пластифицирующие добавки для бетонов

.        Исаев А.В. Проектирование составов тяжелого бетона. Методические указания к выполнению лабораторных работ по дисциплине «Материаловедение» студентам всех форм обучения по направлению 270100 - «Строительство». - Н.Новгород: изд. ННГАСУ, 2008.

.        Общесоюзные нормы технологического проектирования предприятий сборного железобетона: ОНТП 07-85/Минпромстройматериалов СССР. - М., 1986.

.        Полковникова Г.А. Методические указания для выполнения курсового проекта по дисциплине «Вяжущие вещества» для студентов специальности 1207. - Горький: ГИСИ, 1987.

. Никулин В.Т., Подателев В.П. Технологические и экономические расчеты в бетоноведении: методические указания для выполнения курсовой работы по дисциплине «Технология бетонных и железобетонных изделий».-Горький: ГИСИ, 1986.

. Никулин В.Т., Подателев В.П. Технологические и экономические расчеты в бетоноведении: «Приложение». - Горький: ГИСИ, 1986.

. СНиП 3.09.01-85 Производство сборных железобетонных конструкций и изделий / Госстрой СССР. - М.: ЦИТП Госстроя СССР, 1985. - 40с.

Похожие работы на - Проектирование бетоносмесительного цеха для производства железобетонных колонн

 

Не нашли материал для своей работы?
Поможем написать уникальную работу
Без плагиата!
Без нейросетей!