|
 (65%) 1,4-1,5У барабан з водою та сировиною додають
гідросульфід натрію, а через 1 год додають сульфід натрію. Режим роботи: 30
хв обертання, а потім по 1 год спокою через кожну год.
|
|
|
|
4
|
Промивка
|
Підвісний
барабан
|
150
|
22-25
|
0,5-1,0
|
|
|
|
5
|
Міздріння
|
Міздрільна
машина
|
|
|
|
|
Голина
обробляється на міздрильній машині по всій площі. Контроль: підшкірний шар з
голини повністю видалений
|
|
1
|
2
|
3
|
4
|
5
|
6
|
7
|
8
|
|
6
|
Обрізування
|
|
|
|
|
|
Бахрома
і непридатні крайові ділянки обрізуються вручну
|
|
7
|
Двоїння
|
Двоїльна
машина
|
|
|
|
|
Двоїння
голини виконується на двоїльно-стрічкових машина (товщина голини після
операції двоїння повинна складати на 1,2-1,4 мм від товщини готової шкіри
|
|
8
|
Визначення
маси
|
Ваги
|
|
|
|
|
Масу
голини визначають зважуванням на технічних вагах для всієї скомплектованої
партії.
|
|
Переддубильно-дубильні
операції
|
|
9
|
Промивка
|
Підвісний
барабан
|
250
|
22-25
поч 35-37 кін
|
1,0
|
 -0,25Промивка голини виконується через 30 хв, а сульфат амонію
дозується у 2 промивну воду.
|
|
|
10
|
Знезолювання
|
Підвісний
барабан
|
120
|
35-37
|
0,5-0,8
|
 2,5-3,5Контроль: при пробі фенолфталеїном на зріз голини: в
щільній ділянці 1/3 товщини зрізу повинно мати малиновий колір; в пухких
ділянках (полах) не мати ніякого забарвлення, що свідчить про незнезоленість
голини.
|
|
|
11
|
М'якшення
|
Підвісний
барабан
|
|
35-37
|
1,0-1,5
|
Панкреатин
технічний (активність 600 од./г) 0,02-0,03 чи протосубтилін (ак. 7 од./г)
0,5-0,6.
|
Ферментний
препарат попередньо змочують у воді за температури 36-38 у співвідношенні 1:10 і зливають у
відпрацьований розчин. При використанні стандартного протисубтиліну Г-3х
активність
|
|
|
|
|
|
|
|
|
|
1.3 Розрахунок виробничої потужності підприємства
Виробничий процес умовно можна поділити так: відмочувально
- зольні та перед дубильно - дубильні процеси, фарбувально - жирувальні
дублення шкіри та вичинка хутра, комплектування виробничих партій оздоблення
напівфабрикату [12].
Розмір виробничої партії сировини визначається
ємністю апаратури для фізико - хімічних процесів, коефіцієнтом заповнення та
рідини. З урахуванням завдання проектуємого підприємства, його поутжність
розраховуємо так:

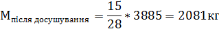
Маса партії, кг;

об’єм апарата, л;

коефіцієнт заповнення апарата (0.45);

рідинний коефіцієнт, л/кг.
Р = 
= 3700 кг;
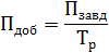
Добову потужність підприємства, що проектується, визначають
за формулою:

добова потужність підприємства, 
;

річна потужність підприємства, яка визначена завданням на дипломне
проектування, 
;

кількість робочих днів на рік (прийнято 260)

=
= 461538, 46
З урахуванням асортименту сировини, можна записати:

частка кожного виду сировини в асортименті;

середня площа 1 штуки готової продукції з кожного виду сировини, 
;

добова кількість сировини, шт.
Звідки: 

= 1550 шт.
Добова кількість сировини кожного виду, шт.:
бичок: 1550 * 0,3 = 465 штук;
ялівка: 1550 * 0,2 = 310 штук;
бугай: 1550 * 0,4 = 620 штук.


де 

.4 Розрахунок виходу вторинних ресурсів
В проектуванні оздоблювального цеху
передбачається вихід побічних продуктів - обрізі готових шкір, клаптів,
шкіряного пилу. Всі ці відходи можуть бути використані для виробництва
гідролізатів на кормові добавки, малярного клею, білкового добрива, шкір
картону, штучної шкіри, наповнювачів, емульгаторів та ін.
Переробку відходів ускладнює необхідність
роздублювання матеріалу для отримання клей - давальної речовини. Найбільш
ефективним способом для роздублювання відходів хромового дублення є
використання речовин, здатних руйнувати комплекси дубильних сполук хрому з
білком за рахунок витіснення активних груп колагену з внутрішньої сфери хрому
[16].
Вихід побічних продуктів розраховується, так:
= H0 * N, де
Н0 - норма виходу побічного продукту, кг- кількість
напівфабрикату, шт.
1.5 Вибір і розрахунок технологічного обладнання
Один за найголовніших розділів є вибір та
розрахунок необхідного технологічного обладнання. Адже стрімкий розвиток
шкіряно - хутрового виробництва, розширення асортименту призводить до
постійного вдосконалення обладнання для її виробництва.
Барабани - найбільш різноманітна група апаратів,
які використовують для фізико - хімічних процесів шкіряно - хутрового
виробництва. Конкретний вибір типу барабану залежить від сировину, яку ми обираємо,
також цеху технологічних процесів.
Ми обробляємо крупну сировину, тому для рідинних
обробок обираємо барабани фірми «Валеро» (Італія), «Олсіна» (Іспанія). Вони
виготовлені зі спеціальної породи деревини, забезпечені реверсуванням, обманним
дном, механізованою кришкою, зливними клапанами.
Міздрильні машини призначені для видалення
прирізків сала та м’яса, підшкірної клітковини з бахтармяної сторони шкури. Під
час операції міздріння не передбачено отримання однакової товщини шкурок по
всій площі та високої якості оброблювальної поверхні. Машина зрізає тільки
міздрю, товщину лишаючи різної по всій ділянці шкурки. Міздріння
виконують так, щоб шкіра була притиснута до ножового валу рівномірно по всій
площі.
Зупиняємось на виборі міздрильної машни
«Дескармат», адже ця машина підходить найбільш як і економічно так і по
продуктивності. Вибрана машина має найбільшу потужність у порівнянні з іншими,
а також норма виробітку підходить нам найбільше, адже використовуємо не
автоматизовану лінію виробництва, а робочу силу [11].
Двоїння напівфабрикату дозволяє більш раціонально
використовувати шкіряну сировину. Основною метою операції є зменшення або
вирівнювання товщини матеріалу, отримати верхній спилок верхній спилок заданої
товщини. Найбільша точність двоїння досягається при розпилюванні сухого
напівфабрикату, найменша - при двоїнні голини і сировини. Двоїльно - стрічкова
машина фірми «Ріцці» призначення для більш крупної сировини, має велику ширину
проходу [8].
Для віджимних процесів ми обрали машину фірми
«Кела Інтапрес Л» (Німеччина) та для стругання і фарувально - жиру вальних
процесів - машини фірми «Світ» Чехія, Олсіна (Іспанія), АОРУ - 1800 К.
В процесі висушування проходить остаточне
видалення надлишкової вологи та закінчується формування структури шкіряного напівабрикату.
В шкіряному виробництві найбільш розповсюджені конвективний і контактний
способи висушування.
Сушарки конвективного типу застосовуються для
підсушування напівфабрикату хромового дублення, підвялювання та основного
сушіння шкір для низу взуття. Сушіння може проводитись як у вільному так і у
фіксованому стані напівфабрикату.
Перевагою конвективно - вакуумної сушарки
«Дінатерм 2000», що призначена для конвективно - вакуумного висушування усіх
видів шкір хромового дублення. На спеціальній конвеєрній стрічці шкіри
послідовно проходять в автоматичному режимі обробку на окремих робочих місцях.
Для зволожування шкір використовуємо машину
«Дифутерм». При роботі на машині шкіри укладають лицьовою стороною вгору на
поверхню нижнього барабану. Під дією теплоти розігрівається верхня
транспортувальна стрічка і з неї виділяється водяний пар, який і зволожує шкіру
[10].
Для витягання обираємо машину витягально -
м’якшильну валкового типу «Polvara». Вали такої машини мають нарізку, що
розходиться від середини у вигляді гвинтових ліній. Вали обертаються з
однаковою частотою, причому виступи нарізки одного вала входять у впадини
нарізки другого вала. Швидкість переміщення шкіри, що розташовані між валами,
менше кругової швидкості валів, що призводить до деформації згинання і
розтягування.
Для нанесення покриття розпилення застосовують
для формування верхніх шарів покриття і закріплювачів. Хоча адгезій ні
властивості покриття при цьому нижчі, але якість покриття і простота накладки
апаратури забезпечує перевагу цього способу перед щітковим. Недоліком є велика
втрата фарби (від 40 до 70%). Операція виконується за допомогою автоматичного
чи ручного розпилювача, оснащеного на вихідному отворі форсункою для розпилення
фарби та нанесення її тонким шаром на поверхню шкіри.
Гладильні машини набули широкого розповсюдження і
поступово витісняють преси на операціях гладкого пресування та нарізки штучної
мережівки дякуючи таким чином перевагам, як висока продуктивність, похідна дія,
можливість автоматизації знімання шкіри після обробки.
Для шліфування шкіри застосовують непрохідні
машини з послідовною обробкою відносно вузьких смуг і високопродуктивні
прохідні агрегати, які забезпечують обробку шкіри за один прохід. Шліфування
являє собою процес швидкісного різання матеріалу сукупністю абразивних зерен,
закріплених на поверхні абразивного інструмента - шліфувального полотна.
Пресування гладке та нарізка штучної мережівки
шкіри хромового дублення призначенні для надання їм необхідного зовнішнього
вигляду для пресування гладкою плитою та нарізання штучної мережівки широкого
використовуються непрохідний і гідравлічний преси.
Площа і товщина готової шкіри є показником, що
характеризується ефективність виробництва та визначають виробничо -
господарську діяльність підприємства. Усі вимірювальні машини можна розділити
на групи за такими ознаками:
машини електромеханічної дії;
електронні контактної дії;
електронні безконтактної дії
Потребу в аппаратах для фізико-механічних
процесів визначають за формулою:
(1.1)

маса партії сировини напівфабрикату, кг;

кількість сировини чи напівфабрикату, партій/добу;

тривалість циклу обробки, год;

маса одноразового завантаження сировини, кг;

тривалість роботи аппарату, год/добу.
Потребу в машинах визначають за формулою:
(1.2)

кількість сировини чи напівфабрикату, шт./добу;

норма виробітку, шт./зміну; 
число змін роботі обладнання
1.6 Розрахунок потреби в хімічних
матеріалах
Добову потребу у хімічних матеріалах для рідинних обробок
визначають за формулою:
(1.3)
Р - кількість партій які переробляються за
добу
А - маса виробничої партії, кг
В-витрата хімічного матеріалу у%
Акт - активність хімічного матеріалу, % [5].
.7 Розрахунок витрат води на технологічні
потреби
Проектом передбачено виконання великої кількості рідинних
процесів, що обумволює використанння води [5].
Добову витрату води для рідинних обробок визначають за
формулою:
(1.4)
- витрата води для рідинної обробки, 
- маса партії сировини чи н/ф, кг- кількість сировини чи н/ф,
партій/добу- рідинний коефіцієнт
Витрати води на машинні операції визначають за формулою:
(1.5)

Витрати води для певної машини за 1 год, 

розрахункова кількість машин чи агрегатів, шт.

тривалість роботи машини, год/добу
Витрати води для зволожування напівфабрикату:
) (1.6)

-
вміст вологи у напівфабрикаті до зволожування,
%;

- вміст вологи у напівфабрикаті після зволожування, %.

(1.7)
В - вміст вологи кінцевий,
В2 - вміст вологи початковий,
М - маса до процесу.
З природньою лицьовою поверхнею:
Vрозрах. = 
= 
= 254,48 м3/добузаг.=
м3/добу,
де: Р1 - маса напівфабрикату до зволожування, кг/добу-
вміст вологи в н/ф після зволожування, %- вміст вологи в н/ф до зволожування, %
Ç - втрата води, м3/добу.
По колористичному відділенню для приготування покривних
складів витрачається: 1,6 м3 води.
Витрати по рідинних обробках складають 472 м ³
Всього на технологічні потреби основного виробництва
необхідно на добу:
+255,28+ 1,6 = 728,9 м3 води
На санітарно - гігієнічні потреби піде приблизно 10% води
від її загальної кількості, тобто 72,89 м3.
Отже загальні витрати води - 728,9+72,89= 801, 79 м3.
Дослідний цех - 26,4 м3.
Клеєварна ділянка - 201,6 м3.
Загальні витрати: 801,79+26,4+201,6 = 1029,79
.8 Розрахунок витрат тепла на технологічні
потреби
Потребу у тепловій енергії для підігрівання сировини під
час проведення рідинних обробок визначають за формулою:
(1.8)
*A - добуток маси партії на добову кількість партій
сировини, кг-- питома теплоємність сировини, ккал/кг*град (0,9)

температура сировини на початку і наприкінці процесу, 
.9 Механізація та автоматизація
виробництва
Шкіряне виробництво відноситься до розряду неблагополучних
по умовам праці і рівню автоматизації і механізації. Впровадження засобів
механізації та автоматизації важких процесів і операцій дозволяє покращити
умови праці робочих та скоротити тривалість виробничого циклу.
Визначення маси напівфабрикату (сировини, голини) проводиться на
автоматичних вагах фірми F.B.P. (Італія).
Габарити, мм 1500 х 1500
Вантажопідйомність, 6000 кг
Технологічна характеристика автоматичних ваг фірми F.B.P.
Ціна поділки,° 1000
.10 Центральна та цехові лабораторії
Центральна заводська лабораторія - є окремим
самостійним підрозділом запроектованого підприємства, що забезпечує контроль
якості продукції та аналіз у процесі технологічного циклу виробництва шкіри,
розробку рекомендацій по його вдосконаленню, контроль якості хімічних
матеріалів, що надходять на підприємство.
Керівником лабораторії є начальник ЦЗЛ, що
безпосередньо підпорядковується головному інженеру заводу. Лабораторія
співпрацює у тісному контакті з дослідними та виробничими цехами, хімічною
станцією та іншими підрозділами апарату управління. Головною задачею ЦЗЛ є
проведення аналітичної роботи, дослідних випробувань нових матеріалів і
технологічних удосконалень, контроль необхідних основних параметрів проведення
технологічних процесів, одержання шкір високої якості.
Для вирішення задач, лабораторія виконує такі
функції:
контролює якість сировини, матеріалів, які
надходять на підприємство, видає заключні акти за результатами аналізів і бере
участь у складанні актів на брак продукції;
контролює якість хімічних матеріалів на всіх
стадіях технологічного процесу за поданням цехових лабораторій;
проводить фізико-механічні дослідження та
хімічний аналіз готової продукції у повному асортименті за всіма показниками
згідно вимог стандарту;
приймає участь, разом з ВТК та іншими службами
підприємства, у виявленні причин браку продукції та розробці рекомендацій по
його попередженню та усуненню;
здійснює методичне керівництво цеховими
лабораторіями, забезпечує їх методичними посібниками, реактивами, розчинами;
бере участь у розробці й коригуванні норм витрат
матеріалів в основному і допоміжному виробництві;
бере участь в узгодженні технологічних проектів у
частині хімічного контролю процесів, згідно вимог методики;
виконує регламенти та інструкції по використанню
нових хімічних матеріалів;
разом із ПЕВ визначає економічну ефективність від
впровадження нових хімічних матеріалів і технологій;
проводить контроль робіт цехових лабораторій і
очисних споруд;
Структура ЦЗЛ вміщує в собі:
аналітичний відділ по вхідному контролю сировини
та хімічних матеріалів;
аналітичний відділ по контролю якості готової
продукції;
науково-дослідна група;
ШТАТ ЦЗЛ
Начальник лабораторії 1 людина
Зам. Начальник лабораторії 1 людина
Старший хімік по проведенню НДР 1 людина
Інженер хімік 3 людини
Технік хімік 3 людини
Штат цехових лабораторій.
Лабораторії загального і дубильного цехів:
Інженер хімік 1 людині
Хімік лаборант 2 людини
Лабораторія оздоблювального цеху:
Хімік лаборант 2 людини
Колорист 2 людини
Лабораторія очисних споруд
Інженер хімік 1 людина
Хімік лаборант 2 людини
Цехові лабораторії розташовані в головному
корпусі в дубильному й оздоблювальному цехах.
Центральна лабораторія розташована поблизу
основного корпусу.
Специфікація обладнання та пристроїв центральної лабораторії
Цехові лабораторії проводять контроль основних
параметрів технологічного циклу. Вони розташовані в корпусі спільно з цехами,
які вони обслуговують.
Визначення потреб освітлюваного навантаження
виконують з урахуванням робочого та аварійного освітлення.
На промислових підприємствах влаштовують системи
штучного освітлення такі як:
загальне освітлення з рівномірним або
локалізованим розташуванням світильників;
комбіноване освітлення (загальне +
місцеве), при цьому використання лише місцевого освітлення не дозволяється.
При комбінованому освітленні освітленість від
світильників загального освітлення:
побутові приміщення, санвузли,
гардеробні - 15;
конторські приміщення, приміщення для
приймання їжі - 50;
проходи і проїзди - 5…10.
Норми освітлення робочих місць шкіряного
підприємства залежать від підрозділів виробництва, процесів та операцій.
У випадку відключення робочого освітлення під час
аварії необхідну освітленість повинно забезпечити аварійне освітлення для
евакуації людей, а при необхідності для продовження роботи. У першому випадку
освітленість повинна бути не менше 0,1 лк; у другому - не менше 10% від
встановлених норм для робочого освітлення.
Освітленість території має бути, не менше:
головні проходи і проїзди - 0,5…1,0;
сходи та переходи - 2,0;
охоронне освітлення - 0,3;
тощо - 0,2.
Пропонують такі значення коефіцієнту запиту:
. Для виробничих споруд, які складаються з
окремих великих прольотів 0,9;
. Для виробничих споруд, які складаються з
окремих невеликих прольотів - 0,68;
. Для лабораторії - 0,8;
. Для підстанції та складів - 0,5;
. Для зовнішнього освітлення - 1,0.
Кількість годин використання:
. Для робочого освітлення (Тр):
Під час двозмінної роботи - 2200 год;
Під час тризмінної роботи - 4100 год.
. Для аварійного освітлення (Та) - 4800
год.
. Для зовнішнього освітлення
Освітлювальне навантаження визначається так:
Рр = S*W*10-3 = 9000*0.2*10-3
= 1,8 кВт (1.10)
Ррічн1 = Рр*(Кс*Тр+В*Та) =
1,8*(0,9*2200+0,5*4800) = 7884 кВт*г
Ррічн2 = Рр*(Кс*Тр+В*Та) =
1,8*(0,9*4100+0,5*4800) = 10962 кВт*г
де: Рр - встановлена потужність робочого
освітлення, кВт;
Кс - коефіцієнт попиту для робочого освітлення
(для аварійного 1,0);
Тр - річне використання загального робочого
освітлення, год;
В -% аварійного освітлення;
Та - річне використання аварійного освітлення,
год;- площа освітлюваного приміщення, м2;- питома встановлена
потужність загального робочого освітлення, Вт/ м2.
Загальна потреба освітлювального навантаження:
∑Р = Ррічн1 + Ррічн2
= 7884+10962= 18846 кВт*г (1.11)
Добове освітлювальне навантаження:
Рдоб = ∑Р / Др = 18846/260 = 72,5 кВт*г
Загальна потреба в електроенергії на добу
складає:
Рзаг = ∑СН + Рдоб = 22893 + 72,5 = 22965,5
кВт
З урахуванням 15% втрат загальні витрати
електроенергії складають:
Рзаг = 22965,5 * 1,15 = 26410,3 кВт
Дослідний цех
Дослідний цех займається питанням апробації нових
хімічних матеріалів або варіантів технологій, доцільність використання тих або
інших хімічних матеріалів параметрів технологічних процесів, виготовлення зразків
шкір і випуск малих серій шкіряних товарів за спеціальним замовленням.
Дослідний цех включає в себе 2
відділення:оздоблювальне відділення та відділення рідинних процесів.
У дослідному цеху знаходиться обладнання, схоже
на обладнання основного виробництва та яке більше найбільш використовується у
технологічному циклі виробництва всіх видів шкір. Всі інші операції згідно
методикам, проводять на обладнанні основного виробництва. Технічна
характеристика обладнання наведена в таблиці. У вільний від експериментальних
робіт час, дослідний цех виробляє основну продукцію малих серій.
Штати дослідного цеху:
Начальник цеху - 1;
Майстер - 1;
Апаратник - 1…2.
1.11 Хімічна станція
Сучасний шкіряний завод потребує значну кількість
хімічних матеріалів, більшу частину з яких перед застосуванням необхідно або
розчинити, або приготувати з них суміші, емульсії. Шкіряно-хутрові підприємства
самостійно готують робочі розчини на хімічній станції. На сучасних
підприємствах нараховують такі підрозділи хімічної станції:
лужна станція, на якій готують розчини,
суспензії, суміші для відмочувально - зольного цеху і проводять регенерацію
відпрацьованої зольної рідини;
хімічна станція готує розчини для переддубильних
процесів, дублення і фарбувально - жирувальних процесів та проводить
рекуперацію відпрацьованих солей хрому;
колористична станція готує суміші для покривного
фарбування шкіри.
Ці підрозділи забезпечені обладнанням для
приготування, дозування, розподілу і подачі робочих рідин.
На лужній станції готують робочі розчини, необхідні
для проведення відмочувально - зольних процесів і рекуперації відпрацьованої
зольної рідини. Крім вищезгаданого загального обладнання на лужній станції
розміщене обладнання для розчинення або розплавлення сірчистого натрію, апарати
для гасіння вапна. Транспортування розчинів проводиться по трубопроводах.
Для гасіння вапна застосовуються апарати різних
типів. Апарат Міка має форму урізаного конуса і виготовляється зі сталі, а
рідше з дерева. На поверхні конуса закріплені кінцеві бандажі, якими апарат спирається
на катки, і вінкова шестерня. Через люк проводиться завантаження матеріалів і
самовивантаження гашеного вапна. Апарат сітчастою перегородкою розділений на
дві частини. У центральній частині сітчастої перегородки є отвір. Перегородка
служить для проціджування вапняного молока і відділення породи, яка
вивантажується ковшем на відвідний жолоб. Передня частина апарата до сітчастої
перегородки вистелена дошками для пом’якшення ударів при завантаженні шматків
вапна. Проціджене вапняне молоко з правої секції вичерпується ковшами у
відвідний лоток і далі у збірник. Обертання апарат отримує від електродвигуна
через редуктор. У період гасіння вапна апарат обертається проти часової стрілки
і ковші не зачерпують суспензії. Потім напрямок обертання барабана змінюється і
гашене вапно у вигляді концентрованої суспензії (150-200 г/л)
виходить з апарата і перекачується у чан. Продуктивність апарата Міка - 500 кг
негашеного вапна за годину.
Для гасіння вапна можна застосовувати касетний
апарат, що являє собою залізобетонний чан всередині якого обертається
заглиблений апарат з чотирма завантажувальними гніздами для касет з
перфорованої листової сталі. Касети встановлюють з допомогою електроталі, яка
переміщується по монорельсу. Апарат приводиться у рух з допомогою привода. Чан
забезпечений герметичною кришкою і витяжним патрубком. Після закінчення гасіння
відкривають шибер і зливають вапняне молоко у ємність з мішалкою, звідки
насосом його перекачують у відстійники і далі через верхню галерею і спускний
короб у збірник з мішалкою. Із збірника суспензію насосом подають для
приготування зольника.
Розчинення сірчистого натрію (Na2S)
може проводитися двома способами.
По першому способу в барабані з сірчистим натрієм
знімають дно і барабан встановлюють на спеціальну підставку, в якій через
форсунки подають гострий пар або гарячу воду під тиском. Готовий розчин по
лотку стікає у збірник. За другим способом сульфід натрію без упаковки
завантажують в барабан, куди подається задана кількість води. З барабану розчин
сульфіду натрію вивантажується на лоток і потрапляє у перфоровану касету,
звідки стікає у монжус. З монжуса стиснутим повітрям по трубопроводу розчин
подається у дозатори. Шлак з касети згрібається у збірник відходів.
Апарат для приготування робочих розчинів з
сипучих матеріалів являє собою металевий бак прямокутної форми (2400 х 1300 х
1500). На уявне дно насипають розчинний матеріал. Через штуцер бак заповнюють
водою. Включають електродвигун насоса і проводять циркуляційне перекачування
води з простору під уявним дном через трубу у трубопроводи і через сопла на
сипучий матеріал. Через годину - півтори матеріал повністю розчиняється.
Готовий розчин перекачують через патрубок у збірники.
Залізобетонний апарат також призначений для
приготування розчинів легкорозчинних матеріалів (хлориду натрію, сульфату
амонію тощо). Сіль, призначену для розчинення, засипають у чани і заливають
водою необхідної температури. Після цього відкривають вентиль і на дно чанів
подають стиснуте повітря, під дією якого в результаті барботування прискорюється
процес розчинення солі.
Для перекачування розчину відкривають вентиль на
душнику монжуса і вентиль на впускній магістралі відповідного чану. Після
заповнення монжуса закривають вентиль і відкривають вентилі стиснутого повітря
і розчин з монжуса витискається у дозатор.
Установка для приготування розчину хромового
екстракту. Процес приготування проводять у герметичній системі, яка виключає
можливість хімічних і термічних опіків обслуговуючого персоналу. Механізовані
усі ручні операції по приготуванню екстракту. При роботі установки виключається
можливість виділення шкідливих газів у приміщення.
Установка складається з ємності для сірчаної
кислоти, резервуара для відновника і резервуара для розчинення хромпіка. По
відповідним трубопроводам ці матеріали перекачують у дозатори. З дозаторів
задана кількість матеріалів по трубопроводам у технологічному порядку
змішується у змішувачі і подається у реакторну колонку, де проходить
приготування дубителя. Гази з реакційних колонок виводяться у скрубер, де змішуються
з водою і по трубопроводах зливаються у каналізацію або повертаються у ємність
для розчинення хромпіка. Нерозчинні гази викидаються у атмосферу по вихлопу.
Для розчинення рослинних і синтетичних дубителів застосовують апарати Е-3
вертикального типу та рухомі апарати горизонтального типу.
Апарат складається з зварного циліндричного
корпуса. Корпус апарата розділений на дві секції. Передня секція розділена
шнековою перегородкою і призначена для збереження робочої температури у
середній частині апарату. Середня частина апарату відокремлена перфорованою
перегородкою для відділення породи від розчину. Продуктивність апарату - 15 т
сухого дубителя за добу. У виробництві шкір для верху взуття в склад сумішей
для наповнення та жирування входять жири, смоли, солі, патока, галун та ін. Усі
ці матеріали надходять у різній консистенції і для приготування сумішей їх
необхідно спеціально підготувати. Для цього запроектована спеціальна станція
для приготування жирувально-наповнювальних сумішей. Станція має дві тельферні
лінії для подачі і завантаження бочок з жиром, підігрівальні баки, заготівельні
баки для жирових сумішей, шнеки для подачі солей і галуна, цистерну для патоки,
бочки для патоки, мірник для жиру, мірник для патоки, насос, змішувач, ємність,
розподілювач з відводами для подачі сумішей у барабани, млин для перемелювання
солей, автоматичні ваги, головний шнек для подачі солей, компресори для подачі
повітря і видавлювання сумішей в апарати, підвісні барабани для жирування,
перемикач для подачі солей і пульт управління.
На фарбувально-жирувальних ділянках хімічної
станції використовують установку для підігрівання і подачі жирових сумішей у
підвісні барабани. Вона складається з чана для попереднього розігрівання жиру
до набуття ними стану текучості. Після нагрівання жир у тарі кран-балкою
подається до ємності, де вона спорожнюється від жиру. Для подрібнення барвників
і підвищення дисперсності його розчинів застосовують диспергатори. Диспергатор
РД-4 складається з ротора, на утворювальній поверхні якого прорізані канавки
напівкруглого перетину. Відповідні канавки розміщені на внутрішній поверхні
статора. Розчин барвника подається по вхідному патрубку, а виводиться по
вихідному патрубку. Диспергатор працює періодично. Для цього барвники після
попереднього їх розчинення подаються у напірний бак і диспергатор. При цьому
барвник постійно циркулює у бак через диспергатор по трубопроводу. Після
диспергування відкривається вентиль і по трубопроводу барвник потрапляє в
дозатор і далі самостійно у підвісний барабан. Подача води для розчинення
барвника та промивання ємності виконується по трубопроводах.
1.12 Цеха по первинній обробці і переробці
відходів
Основним напрямом даного проекту є максимально
повне використання шкірсировини і відходів, що утворюються. На проектованому
підприємстві переробляється частина відходів і частина направляється на
переробку на лужні підприємства:
- міздря, кантувальна і спилкова обрізь, частина
спилку-виробництво міздрового клею;
- шкіряна стружка, обрізь готових шкір
виробництво штучних шкірі шкір картону, а також на вироби широкого вжитку;
шкіряний пилу нафто-хімічний галузі як
сорбент жирових з’єднань;
шерсть.
У якості сировини клеєварного цеху
використовуються не дублені відходи (міздря, дрібні обрізки шкір, а також
нестандартна сировина непридатна для виготовлення шкіряних відходів).
.13 Клеєварна ділянка
На проектованому підприємстві передбачено
клеєварна дільниця.
У якості сировини клеєварного цеху
використовуються не дублені відходи (міздря, дрібні обрізі шкіри, а також
нестандартна сировина непридатна для виготовлення шкіряних виробів).
Цехом передбачається голинні відходи міздровий
клей.
Використовуються: обрізь гот. шк. - 1099,77 кг
клапті - 100,91
голинна спилкова обрізь - 274,928,2
Всього відходів: 1475,6 кг
Вихід сухого клею 7% від клейвмісних відходів, а
отже вихід клею - 1032,9 кг/добу.
Якість міздрового клею має відповідати
ГОСТ32-52-80; твердий клей запаковують в паперові мішки по ГОСТ2226-75, м’які
по ГОСТ20956-75 масою нетто до 50 кг.
Не дублені кологеноутворювальні відходи
використовуються у виробництві хромових продуктів для одержання технічного жиру
і міздрового клею, амінокислот жиру і міздрового клею, амінокислот,
гідролізатів білка, поверхнево-активних білкових речовин для виготовлення
желатину, ковбасних оболонок, для виготовлення протезів внутрішніх органів,
штучних матеріалів для верху взуття.
Дублені відходи є основною сировиною для
виробництва штучної шкіри і шкіркартонів, добрив, білкових гідролізатів,
частково-для одержання клею, звукоізоляційних плит тощо. Особливу увагу
приділяють переробці спилка та повноцінні шкіри, кращі види якого після
оздоблення ідуть на виробництво галантерейних і взуттєвих шкір.
Розрахунок води:
На 1т відходів потрібно 12,5 м3 води
В=12,8∙12,5=160 м3
Витрата води на транспортування
В1=2∙16=32м3/добу
Загальна витрата води 160+32 = 192 м3
На санітарно - побутові беремо 5% від загальної
витрати. Тобто загальні витрати води по ділянці складають:
+9,6 (5%) = 201,6 м3
Витрата тепла у виробництві клею
0,895*5303=4746,2 ккал
.14 Складське господарство
Для ритмічної роботи шкіряне виробництва повинно
мати: постійний запас хімічних матеріалів, сировини і готової продукції, що має
на увазі наявність складських приміщень.
Проектом передбачені наступні склади:
склад сировини;
склад ім. матеріалів;
склад готової продукції;
склад и допоміжного виробництва;
матеріально - технічний склад.
Вихідні дані для розрахунку площі складу:
потужність заводу;
норми і способи складання продукції;
вид, маса, габарити упаковки;
тривалість зберігання.
Площу складу сировини, готової продукції та
допоміжного виробництва розраховують за формулою:
складу = Sкор. + Sпрох. (1.12)
Де: Sкор. - корисна площа складу, на якій
безпосередньо зберігають продукцію, м2;прох. - площа на проходи, м2
(50-100% від Sкор.)
Розрахунок площі сировинного майданчика.
Передбачено майданчик у блоці з відмочувально -
зольним цехом з урахуванням технологічного маршруту та добового запасу
сировини.
2. Економічний розділ
.1 Підприємство як суб’єкт господарювання в
ринковій економіці
Підприємництво - це провідний сектор
ринкової економіки, який забезпечує насиченість ринку товарами та послугами,
сприяє здоровій конкуренції, створює новий прошарок-підприємець-власник. Воно
базується н самостійній, ініціативній, систематичній, на власний ризик,
діяльності по виробництву продукції, надання послуг і зайняттю торгівлею і має
на меті сприяння прибутку.
Суть підприємництва як
методу господарювання розкривають його основні функції: ресурсна, організаційна
та творча.
Ресурсна функція
підприємництва передбачає, що воно націлене на найбільш ефективне використання
матеріальних, трудових, фінансових та інформаційних ресурсів з урахуванням
досягнень науки, техніки, управління і організації виробництва.
Організаційна функція
зводиться до діяльності по організації виробництва, збуту, маркетингу,
менеджменту і реклами.
Творча функція полягає у
сприянні генеруванню та реалізації нових ідей, здійсненню техніко-економічних,
наукових розробок, проектів, що пов'язані з господарським ризиком.
Підприємство - це
самостійний суб'єкт господарювання, створений компетентним органом державної
влади чи органом місцевого самоврядування, або іншими суб'єктами для
задоволення суспільних та особистих потреб шляхом систематичного здійснення
виробничої, науково-дослідної, торговельної, іншої господарської діяльності в
порядку, встановленому Господарським кодексом та іншими актами законодавства.
Підприємство діє, як
правило, на основі статуту. Підприємство не має у своєму складі інших юридичних
осіб. Для ефективного господарювання істотним є визначення цілей створення і
функціонування підприємства (фірми). Генеральну (головну) мету підприємства,
тобто чітко окреслену причину його існування, у світовій економіці прийнято
називати місією.
На основі загальної місії
підприємства формулюються і встановлюються загально-фірмові цілі:
по-перше, цілі підприємства мають бути
конкретними і вимірюваними. Формулювання цілей в конкретних формах створює
вихідну базу відліку для наступних правильних господарських та соціальних
рішень щодо діяльності підприємства (фірми). Завдяки цьому можна більш
обгрунтовано визначити, наскільки ефективно підприємства (фірма) діє у напрямку
здійснення свої цілей.
по-друге, цілі підприємства повинні бути
орієнтовані у часі, тобто мати конкретний горизонт прогнозування. Цілі звичайно
встановлюються на тривалі або короткі проміжки часу. Довготермінова мета має
горизонт прогнозування, що дорівнює п’яти рокам, інколи більше (7-10 років) для
передових у технічному відношенні фірм, короткотермінова - в межах одного року.
по-третє, цілі підприємства мають бути досяжними,
аби слугувати підвищенню ефективності. Недосяжні або досяжні частково цілі
спричиняють певні негативні наслідки, зокрема блокування прагнення працівників
ефективно господарювати і зменшення рівня їх мотивації, погіршення показників
інноваційної, виробничої і соціальної діяльності підприємства, зниження
конкурентоспроможності його продукції на ринку.
по-четверте, з огляду на динаміку ефективності
виробництва множинні цілі підприємства повинні бути взаємно підтримуючими,
тобто дії і рішення, що необхідні для досягнення однієї мети, мають не
перешкоджати реалізації інших цілей. Супротивне може призвести до виникнення
конфліктної ситуації між підрозділами підприємства (фірми), відповідальних за
досягнення встановлених цілей [14].
Зрештою цілі підприємства (фірми) мають бути
чіткі сформульовані для кожного виду його (її) діяльності, що є важливим для
суб’єкту господарювання і здійснення якого він прагне спостерігати і
вимірювати.
Первинною ланкою системи народного господарства
будь-якої країни є підприємства, які розмежовують за різними ознаками,
передусім за типом власності. В межах кожного з цих типів функціонують різні
форми власності.
Приватна власність - привласнення окремим
індивідуумом засобів і результатів виробництва та одноосібне управління ним
власністю.
Недержавні типи власності. Колективна (групова)
власність - привласнення певним колективом (групою) засобів виробництва,
результатів виробництва, яке поєднується з колективним управлінням власністю.
Формами колективної власності є сімейна,
кооперативна, колективна капіталістична, колективна трудова та ін. Кожен член
колективу є співвласником засобів виробництва і виготовленого продукту і має
право на управління власністю.
В межах приватного типу власності: розрізняють
приватну трудову та приватну капіталістичну форми власності.
Державні типи власності. Державна власність -
привласнення державою, вищими чиновниками державного апарату, вищими
менеджерами державних підприємств засобів і результатів виробництва та
управління ними об’єктами державної власності.
Якщо державна власність служить інтересам всього
населення, не узурпується окремими особами у своїх вузькокорисливих цілях, вона
перетворюється на суспільну власність. Формами державної власності є загальнодержавна,
регіональна, муніципальна, комунальна.
Наддержавна (інтегрована) власність -
привласнення багатьма державами, міжнародними монополіями засобів та
результатів виробництва, що поєднується з колективним управлінням цими
суб’єктами спільними об’єктами власності. Проте вирізняти лише приватну і
суспільну (державну) форму або типи власності науково некоректно.
Щодо суб’єктів господарської діяльності у цьому
разі ототожнюються окремий індивід і цілий трудовий колектив, який може
складатися з десятків, сотень і навіть тисяч працівників зі своїми потребами,
інтересами, цілями. Коли стверджується наявність лише двох форм власності, то
нелогічно говорити про плюралізм їх.
Підприємство як суб'єкт господарювання здійснює
незаборонені законом держави різні види господарської діяльності, самостійно
розпоряджається випущеною продукцією, отриманими від її продажу виручкою і
прибутком, що залишаються у нього.
Для здійснення своєї діяльності підприємство
формує майно, яке може належати йому на праві власності або повного
господарського ведення.
Джерелом формування майна підприємства є грошові
та матеріальні внески засновників; доходи, отримані від реалізації продукції та
інших видів діяльності; доходи від продажу цінних паперів; капітальні вкладення
і дотації з бюджетів; надходження від роздержавлення і приватизації власності,
придбання майна інших підприємств і організацій; безоплатні та благодійні
внески, пожертвування організацій та громадян; інші не заборонені
законодавством джерела.
Підприємства мають право на добровільних засадах
об’єднувати свою науково-технічну, виробничу, комерційну та інші види
діяльності, якщо це не суперечить антимонопольному законодавству. Як свідчить
світовий і вітчизняний досвід господарювання за умов ринкової економіки,
підприємства та інші первинні суб’єкти господарювання можуть створювати різні
за принципами й цілями добровільні об’єднання:
· Асоціації - найпростіша
форма договірного об’єднання підприємств з метою постійної координації
господарської діяльності.
· Корпорації - договірні
об’єднання суб’єктів господарювання на засаді інтеграції їхніх
науково-технічних, виробничих та комерційних
· інтересів, з делегуванням
окремих повноважень для централізованого регулювання діяльності кожного із
учасників.
· Консорціуми - тимчасові
статутні об’єднання промислового й банківського капіталу для досягнення
загальної мети.
· Концерни - форма
статутних об’єднань підприємств, що характеризується єдністю власності й
контролю; об’єднання відбувається найчастіше за принципом диверсифікації, коли
один концерн інтегрує підприємства різних галузей економіки.
· Картелі - договірне
об’єднання підприємств переважно однієї галузі для здійснення спільної
комерційної діяльності - регулювання збуту виготовленої продукції.
· Синдикати - організаційна
форма існування різновиду картельної угоди, що передбачає реалізацію продукції
учасників через створюваний спільний збутовий орган або збутову мережу одного
із учасників об’єднання.
· Трести - монополістичне
об’єднання підприємств, що раніше належали різним підприємцям, в єдиний
виробничо-господарський комплекс.
· Холдинги - специфічна
організаційна форма об’єднання капіталів: інтегроване товариство, що
безпосередньо не займається виробничою діяльністю, а використовує свої кошти
для придбання контрольних пакетів акцій інших підприємств, які є учасниками
концерну або іншого добровільного об’єднання.
· Фінансові групи -
об’єднання юридично та економічно самостійних підприємств.
Нині основними формами добровільних об’єднань
підприємств дедалі більше стають концерни, корпорації та фінансові групи.
Для забезпечення ефективного господарювання за
ринкових умов, кваліфікованого управління підприємствами винятково важливою є
їхня чітка й повна класифікація за певними ознаками. Достатньо повну
класифікацію підприємств можна скласти. Користуючись такими ознаками:
) Мета та характер діяльності
) Форма власності
) Національна належність капіталу
) Правовий статус і форма господарювання
) Галузево-функціональний вид діяльності
) Технологічна й територіальна цілісність
7) Розмір за кількістю працівників
[15].
2.2 Виробнича структура підприємства шкіряної
промисловості
Виробнича структура
підприємства - це склад, кількісне співвідношення і розміри внутрішніх
підрозділів, форми їх побудови та взаємозв'язку.
Виробнича структура
характеризує долю окремих підрозділів в чисельності працівників підприємства у
випуску продукції, вартості основних фондів і т.д. Для підприємств є важливим
встановлення оптимальної виробничої структури.
На виробничу структуру
підприємства впливають такі фактори:
· масштаб
виробництва;
· складність
конструкції виробу;
· характер
технологічного процесу.
Під структурою будь-якого підприємства заведено
розуміти його внутрішній устрій, що характеризує склад підрозділів і систему
зв’язків, підпорядкованості та взаємодії між ними. При цьому розрізняють
загальну й виробничу структури підприємства.
Існує кілька принципів класифікації виробничих
структур.
Залежно від підрозділу, діяльність якого
покладено в основу виробничої структури, розрізняють цехову, безцехову,
корпусну та комбінатську виробничі структури.
Основні цехи виготовляють продукцію, призначену
для реалізації на сторону, тобто продукцію, що визначає профіль та
спеціалізацію підприємства.
За цехової виробничої структури основним
виробничим підрозділом є цех, тобто адміністративно відокремлена частина
підприємства, що в ній виконується певний комплекс робіт відповідно до
внутрішньозаводської спеціалізації.
За характером своєї діяльності цехи поділяються
на основні, допоміжні, побічні та обслуговуючі.
На схемі 1 зображена загальна структура
підприємства шкіряної промисловості.
Побічні цехи займаються, як правило, утилізацією,
переробкою та виготовленням продукції з відходів основного виробництва.
Допоміжні цехи виготовляють продукцію, що
використовується для забезпечення власних потреб усередині самого підприємства.
Обслуговуючі цехи та господарства виконують
роботи, які забезпечують необхідні умови для нормального перебігу основних і
допоміжних виробничих процесів.
У структурі деяких підприємств існують
експериментальні (дослідні) цехи, які займаються підготовкою і випробуванням
нових виробів, розробкою нових технологій, проведенням різноманітних
експериментальних робіт. На невеликих підприємствах з відносно простими
виробничими процесами застосовується безцехова виробнича структура. побудови є
виробнича дільниця, як найбільший структурний підрозділ такого підприємства.
На великих підприємствах кілька однотипних цехів
можуть бути об’єднані в корпус. У цьому разі корпус стає основним структурним
підрозділом підприємства. Така виробнича структура дістала назву корпусної.
. За формою спеціалізації основних цехів
розрізняють предметну, технологічну та змішану виробничі структури. Ознакою
предметної структури є спеціалізація цехів на виготовленні певного виробу або
групи однотипних виробів, вузлів, деталей з використанням різноманітних
технологічних процесів та операцій. Переважна більшість підприємств
використовує змішану виробничу структуру, коли частину цехів спеціалізовано
технологічно, а решту - предметно.
. Ознакою технологічної структури є
спеціалізація цехів підприємства на виконанні певної частки технологічного
процесу або окремої стадії виробничого процесу. Технологічна структура
використовується переважно на підприємствах одиничного і дрібносерійного
виробництва з різноманітною та нестійкою номенклатурою продукції.
. Залежно від наявності основних й допоміжних
процесів розрізняють підприємства з комплексною та спеціалізованою структурою
виробництва. Підприємства з комплексною виробничою структурою мають усю
сукупність основних та допоміжних цехів, а зі спеціалізованою структурою - лише
частину.
Формування виробничої структури здійснюється під
впливом багатьох чинників. Головними з них є: виробничий профіль підприємства;
обсяги виробництва продукції; рівень спеціалізації; місце знаходження
підприємства.
Виробничий профіль підприємства, тобто характер
та особливості продукції, що виробляється, безпосередньо зумовлюють хід
виробничого процесу і склад відповідних підрозділів.
Суттєво впливає на виробничу структуру рівень
спеціалізації. З розвитком і поглибленням спеціалізації зменшується кількість
виробничих підрозділів підприємства, спрощується його структура. Навпаки, чим
більш універсальним є підприємство, тим складніша його структура [16].
.3 Виробнича програма підприємства
Виробнича програма - це система адресних завдань
з виробництва і доставки продукції споживачам у розгорнутій номенклатурі,
асортименті, відповідної якості і у встановлені терміни згідно з договорами
поставок [14]. Основним завдання виробничої програми є максимальне задоволення
потреб споживачів у високоякісні продукції, яка випускається підприємствами при
найкращому використанні їх ресурсів та отриманні максимального прибутку. З
метою вирішення цього завдання в процесі розробки виробничої програми на всіх
рівнях потрібно дотримуватись таких вимог:
правильного визначення потреби в
продукції, що випускається, і обґрунтування обсягу її виробництва попитом
споживача;
певного ув’язування натуральних і
вартісних показників обсягів виробництва і реалізації продукції;
обґрунтування плану виробництва
продукції ресурсами і, насамперед, виробничою потужністю;
Виробнича програма включає:
план виробництва продукції (за
номенклатурою, асортиментом, кількістю та терміном постачань);
план збуту продукції;
розрахунок виробничої потужності.
Розробляючи виробничу програму підприємства на
плановий рік маємо такі вихідні дані:
) обсяг випуску продукції шкір із сировини
ВРХ для верху взуття із підвищеною водостійкістю - 120 млн дм2 на
рік;
) асортимент продукції складається з шкір
ВРХ для верху взуття з півищеною водостійкістю а саме:
з натуральною лицевою поверхнею;
безпідкладкова.
Вихідні дані для розробки товарної продукції
представленні в табл. 2.1.
Таблиця 2.1. Товарна продукція підприємства
|
Вид
сировини
|
Асортимент
продукції
|
Плановий
випуск
|
Ціна 1
м2 I сорту, грн
|
Коефіцієнт
сортності
|
Товарна
продукція основного виробництв, тис. грн
|
|
|
%
|
тис. м2
|
|
|
|
|
ВРХ
|
шкіра з
натуральною лицевою
|
70
|
840
|
310
|
0,97
|
252588
|
|
безпідкладкова
|
30
|
360
|
330
|
0,95
|
112860
|
|
Разом
|
|
|
1200
|
-
|
-
|
365448
|
Вартісний показник, розрахований по використані
такої формули, як товарна продукція (ТП):
ТПі = Nі · Ці ·
Ксорт. і (2.1)
де: Nі - випуск продукції по
асортименту в натуральних одиницях (м2);
Ці - ціна за 1 м2, грн.;
Ксорт. і - коефіцієнт сортності.
ТП1= 310·840·0,97 = 252588 тис. грн.
ТП2 = 330 · 360 · 0,95 = 112860 тис.
грн.
ТП = 252588 + 112860 = 365448 тис. грн.
Реалізована продукція - це продукція, яка
відряджена покупцю і ним оплачена, тобто гроші нараховані на підприємство
виробника.
(2.2)
де:
- залишки готової продукції на початок
року, грн;
- залишки готової продукції на кінець року, грн.
РП=ТП=0,
, тоді
РП=365448 тис. грн.
Чиста продукція представляє собою товарну продукцію (ТП) і
прирівняних до них матеріальні ресурси (М) і амортизація (А).
(2.3)
В товарній продукції матеріальні витрати і прирівняні до
них амортизаційні до них амортизаційні становить 55%, тоді:
(М+А)= 365448·0,45=164451,6 тис. грн;
= 365448 -164451,6 = 200996,4 тис. грн.
Усі розрахунки зводимо у табл. 2.2.
Таблиця 2.2. Зведена таблиця показників
|
№ п.п.
|
Показник
|
Одиниця
виміру
|
Позначення
|
Значення
показника
|
|
1
|
Товарна
продукція
|
тис.
грн
|
ТП
|
365448
|
|
2
|
Реалізована
продукція
|
тис.
грн
|
РП
|
365448
|
|
3
|
Чиста
продукція
|
тис.
грн
|
ЧП
|
200996,4
|
.4 Прибуток та рентабельність на підприємствах
шкіряної промисловості
Прибуток - система економічних відносин між
підприємцями (роботодавцями-власниками засобів виробництва) і найманими
працівниками щодо виробництва, розподілу та привласнення створеної додаткової
вартості, яка відособлюється у вигляді надлишку над витратами вкладеного
капіталу. Являє собою загальну економічну категорію розвинутого товарного
виробництва. Прибуток є частиною вартості товару, яка відображається у вигляді
надлишку над витратами його виробництва. Прибуток як економічна категорія має
своє якісне і кількісне визначення, тобто має речовий зміст та суспільну форму.
Саме в їх діалектичній єдності розкривається сутність прибутку, його
економічний зміст. Отже, об'єктивна матеріальна основа існування прибутку
пов'язана з необхідністю первинного розподілу вартості додаткового продукту.
Прибуток - це суспільна
форма прояву додаткової вартості. Це якісне вираження прибутку як об'єктивної
економічної категорії. Слід зазначити, що в економічній літературі існують
різні концепції прибутку, немає єдиної думки щодо джерела його. Марксистська
політична економія розглядає прибуток як перетворену форму додаткової вартості,
як неоплачену працю найманих працівників сфери матеріального виробництва.
Перетворена форма тому, що прибуток приховує справжнє джерело свого виникнення,
і виникає враження, що він породжується не лише працею найманих робітників, а й
усіма засобами виробництва. Сучасні зарубіжні економічні теорії найчастіше
пов'язують прибуток з капіталом, трактуючи його як винагороду за
підприємництво, або як компенсацію за невизначеність і ризик у підприємницькій
діяльності. Слід зазначити, що у ринковій економіці ближче до істини ті
концепції, які джерело прибутку пов'язують з виробництвом додаткового продукту.
Саме додатковий продукт є матеріальною основою прибутку. Отже, прибуток є
грошовою формою вартості додаткового продукту. При продажу товару втілена в
ньому вартість додаткового продукту реалізується як надлишок над витратами
виробництва, тобто виступає як прибуток підприємства. При цьому прибуток обчислюється
як відношення цього надлишку до всієї вартості авансованого капіталу. І хоч цей
надлишок вартості товару над витратами його виробництва виникає у
безпосередньому процесі виробництва, але реалізується він у процесі обігу,
тобто прибуток - це реалізований надлишок вартості. До того ж, слід мати на
увазі, що прибуток формується через ціни, за якими реалізуються товари, під
впливом кон'юнктури ринку і виступає грошовою формою доходу від уже
реалізованих товарів. Тобто, підприємство одержує прибуток після того, як
втілена у створеному товарі вартість буде реалізована і перетворена у грошову
форму. Тому з'являється враження, що прибуток виникає саме в процесі обігу
(реалізації товару). Однак у сфері обігу прибуток виникнути не може. Він
виникає лише у безпосередньому виробництві товару. Отже, джерело прибутку як
грошової форми вартості додаткового продукту. У безпосередньому виробництві,
проте реалізується він у процесі обігу і є складовою валового виторгу від
продажу виготовленої продукції. Величина цього прибутку залежить від двох
основних чинників: обсягу реалізації продукції та її собівартості. А на зміну
обсягу реалізації продукції впливає зміна обсягу виробництва, залишків
нереалізованої продукції, цін, що склалися, а також частки прибутку, що входить
в ціну продукції. Сутність прибутку як економічної категорії розкривається
через функції, які він виконує у господарській діяльності. Основні з них такі:
облікова, розподільча, стимулювальна.
Облікова функція прибутку полягає в тому, що він
необхідний елемент ціни товару. Отже як і ціна, прибуток є засобом обліку
суспільно необхідних витрат праці, що потрібні для забезпечення розширеного
відтворення. Саме такий облік дає змогу визначити оцінку ефективності
господарської діяльності підприємницьких структур.
Розподільча функція прибутку полягає в тому, що
через прибуток здійснюється регулювання розподілу ресурсів і доходів між
суб’єктами господарської діяльності та галузями економіки.
Стимулювальна функція прибутку полягає в тому, що
прибуток використовується як в інтересах суб’єктів підприємництва, так і в
інтересах їхніх працівників. Прибуток одночасно є і кінцевим фінансовим
результатом господарської діяльності підприємства, і основним елементом його
фінансових ресурсів, які необхідні для забезпечення розширення виробництва,
науково - технічного і соціального заохочення працівників, виплати дивідендів,
формування резервів тощо. Саме прибуток спонукає підприємницькі структури
впроваджувати досягнення наукового - технічного прогресу, які призводять до
зниження втрат виробництва, підвищення його ефективності. Отже, прибуток в
ринковій економіці є головною метою і найважливішим критерієм ефективності
господарської діяльності підприємницьких структур. Водночас прибуток є основним
джерелом забезпечення внутрішньогосподарських потреб підприємств, формування
дохідної бази бюджетних ресурсів різних рівнів, позабюджетних та благодійних
фондів. З огляду на економічну природу прибутку його розподіл є складовою
частиною загальної системи розподілу валового внутрішнього продукту і чистого
продукту. Через розподіл прибутку реалізується одна із його найважливіших
функцій - стимулювання діяльності підприємницьких структур.
Прибуток має забезпечити підприємство власними
коштами для розширеного відтворення основного капіталу, фінансування
інноваційних та інвестиційних проектів, стимулювати підвищення ефективності
виробництва та формування централізованого грошового фонду. Саме прибуток є
основним джерелом матеріального заохочення працівників підприємств, власників
акцій, підприємців і менеджерів. Тому головним у системі розподілення прибутку
має бути урахування економічних інтересів підприємств, працівників та
суспільства.
Залежно від формування та розподілу розраховують
декілька видів прибутку:
валовий;
від операційної діяльності;
від звичайної діяльності до
оподаткування;
чистий;
Валовий прибуток (збиток) розраховується як
різниця між чистим доходом від реалізації продукції (товарів, робіт, послуг) і
собівартістю реалізованої продукції (товарів, робіт, послуг).
Прибуток (збиток) від
звичайної діяльності до оподаткування визначається як алгебраїчна сума прибутку
(збитку) від операційної діяльності, фінансових та інших доходів (прибутків),
фінансових та інших витрат (збитків).
Прибуток (збиток) від
операційної діяльності визначається як алгебраїчна сума валового прибутку
(збитку), іншого операційного доходу, адміністративних витрат, на збут та інших
операційних витрат.
Прибуток від звичайної
діяльності визначається як різниця між прибутком від звичайної діяльності до
оподаткування та сумою податків із прибутку. Збиток від звичайної діяльності
дорівнює збитку від звичайної діяльності оподаткування та сумі податків на
прибуток.
Чистий прибуток
розраховується як алгебраїчна сума прибутку від звичайної діяльності та
надзвичайного прибутку, надзвичайного збитку та податків з надзвичайного
прибутку.
Якщо чистий дохід
відображає виробничі відносини лише у сфері виробництва, то прибуток
характеризує виробничі відносини як у сфері виробництва, так і у сфері обміну. Він
засвідчує реально досягнутий результат і показує, яку суму грошей і який зиск
отримало підприємство від реалізації того чи іншого виду продукції. Однак
прибуток не може достатньою мірою відображати внесок кожного окремого
підприємства у створення чистого доходу суспільства. Прибуток підприємства
залежить від обсягу та якості реалізованої продукції, її структури, рівня
собівартості та фактичної реалізаційної ціни. Охарактеризувати рентабельність
виробництва окремого виду продукції або підприємства загалом, використовуючи
лише абсолютне значення прибутку, недостатньо. її необхідно порівняти з
виробничими затратами. Для цього використовують відносний показник - рівень
рентабельності. Рентабельність належить до показників, що певною мірою
узагальнено характеризують економічну ефективність діяльності підприємства. У
ньому відображаються результати затрат не лише живої, а й уречевленої праці,
ступінь використання засобів виробництва, якість реалізованої продукції, рівень
організації виробництва та його управління.
Рівень рентабельності -
це відсоткове відношення прибутку до суми матеріально-грошових затрат,
пов'язаних з виробництвом і реалізацією продукції.
Рівень рентабельності виробництва визначають за
формулою:
Р = 
, (2.4)
де П - валовий прибуток від реалізації (робіт, послуг);
Вв - виробничі витрати на реалізовану продукцію (її
виробнича собівартість).
Для повнішої уяви про реальну ефективність певного виду
товарної продукції доцільно цей показник обчислювати з врахуванням витрат на її
збут, зменшивши при цьому валовий прибуток на величину цих витрат і водночас
збільшивши на них знаменник формули.
Рівень рентабельності виробництва окремого виду продукції
можна визначати, використовуючи обсяг чистого доходу і суму витрат у галузі,
або одержаний прибуток у розрахунку на одиницю продукції та її собівартість.
Рівень рентабельності, який визначено для підприємства, характеризує сукупний
рівень рентабельності й за економічним змістом показує, скільки отримано
копійок прибутку в розрахунку на одну гривню виробничих витрат загалом на цьому
підприємстві. Аналогічною за економічним змістом є характеристика рівня
рентабельності виробництва окремого виду продукції. Визначений у такий спосіб
рівень рентабельності виявляє ефективність лише спожитих засобів виробництва.
Проте в процесі господарської діяльності підприємства щорічно купують основні
засоби виробництва, сировину, основні й допоміжні матеріали, необхідні для
здійснення процесу виробництва. Тому доцільно визначати не лише рентабельність
виробничих затрат, де основні засоби виступають у вигляді амортизаційних
відрахувань, але й основні та оборотні фонди. Для цього використовують норму
прибутку.
Норма прибутку - це
відсоткове відношення маси прибутку до середньорічної балансової вартості
основних і або ротних фондів. її визначають за формулою:
(2.5)
де Nп - норма прибутку, %;
Фос. - середньовічна вартість основних фондів,
грн.;
Фоб. - середньовічна вартість оборотних фондів,
грн.
Показник «норма прибутку»
визначають загалом для підприємства. За економічним змістом одержаний результат
показує, скільки підприємство отримало прибутку на 1 грн виробничих фондів, а у
відносному - яка їх частка окупилася впродовж року. На практиці є випадки, коли
підприємства виробляють однойменний вид продукції, наприклад, яйце, і мають
однаковий рівень рентабельності, а норму прибутку різну. Нижча норма прибутку
засвідчує, що це підприємство використовує основні й оборотні фонди менш
ефективно. До основних показників рентабельності, які використовуються у ході
аналізу фінансового стану підприємства, належать:
1. Коефіцієнт рентабельності активів;
. Коефіцієнт рентабельності власного
капіталу;
. Коефіцієнт рентабельності діяльності.
Рентабельність визначають за формулою:
(2.6)
- рентабельність;
П вал. - валовий прибуток;
с / в вироб. - виробнича собівартість продукції;
АВ вип. - адміністративні витрати на випуск;
ВЗ вип. - витрати на збут.
Податковий прибуток - сума прибутку, визначення за
податковим законодавством об’єктом оподаткування за завітний період.
Існує активна й пасивна стадії складання плану з прибутку.
Пасивна стадія планування - це розробка плану з прибутку із урахуванням
корективи, що враховує зміни зовнішніх і внутрішніх умов. Активна стадія
полягає у визначеній найбільшій прибутковості підприємства, тобто стадія, що
дозволяє збільшити прибуток, визначений у процесі пасивної стадії розробки
плану., завдяки пошуку та мобілізації резервів підвищення продуктивності праці,
зниження окремих витрат на виробництво та реалізацію продукцію, збільшення
обсягів продаж, чистки прибутку в ціні окремих виробів, якість яких перевищує
якість аналогічної продукції конкурентів тощо.
Податок на прибуток підприємства забезпечує близько 5,5%
доходів бюджету. Платниками податку на прибуток є: суб’єкти підприємницької
діяльності, бюджетні організації у частині здійснення госпрозрахункової
діяльності, комерційні банки, міжнародні організації, що провадять підприємницьку
діяльність на території України; філії, відділення та інші відокремлені
підрозділи платників податку, які мають самостійний розрахунковий рахунок;
нерезиденти, що здійснюють підприємницьку діяльність через постійні
представництва в межах України.
Об’єктом оподаткування є прибуток, який визначається шляхом
зменшення суми скоригованого валового доходу звітного періоду на суму валових
витрат платників податку та на суму амортизаційних відрахувань. Ставка податку
на прибуток становить 19%, але ця базова ставка може коригуватися залежно від
виду діяльності платника податку [13].
Таблиця 2.3. Вихідні дані
|
№ п.п.
|
Показник
|
Одиниця
виміру
|
Позначення
|
Значення
показника
|
|
1
|
Обсяг
випускної продукції в натуральних одиницях
|
м2
|
ВП
|
1200000
|
|
2
|
Обсяг
реалізованої продукції
|
грн
|
РП
|
365448000
|
|
3
|
Виробнича
собівартість продукції на 1 м2 шкіри
|
грн
|
с/в
|
260
|
|
4
|
Адміністративні
витрати на одну одиницю продукції
|
грн
|
АВ
|
6
|
|
5
|
Витрати
на збут на одну одиницю продукції
|
грн
|
ВЗ
|
3
|
|
6
|
Податок
на прибуток
|
%
|
Податок
|
19
|
Враховується:
. Виробнича собівартість реалізованої
продукції:
с/ввироб = ВП·с/в (2.7)
де: с/ввироб - виробнича собівартість
продукції, грн;
с/ввироб = 1200000·260=312000000 грн;
. Прибуток валовий:
Пвал. = Дохід(РП) - с/ввироб (2.8)
Пвал. =365448000-312000000 = 53448000
грн;
3. Витрати на збут на випуск:
ВЗвип. = ВП·ВЗна 1 м2
(2.9)
ВЗвип. = 1200000·3=3600000 грн;
. Адміністративні витрати на випуск:
АВвип. = ВП·АВна 1 м2
(2.10)
АВвип. = 1200000·6 = 7200000 грн;
. Прибуток від операційної діяльності
підприємства:
По. д. = Пвал. - АВвип.
- ВЗвип. (2.11)
По. д. =53448000-7200000 - 3600000
=42648000 грн;
. Прибуток від звичайної діяльності до
оподаткування дорівнює прибутку від операційної діяльності.
. Податок на прибуток:
Под.приб. = (Пзв. діял.· Податок)/100
(2.12)
де: Пзв. діял - прибуток від звичайної
діяльності;
Под.приб. = (42648000·19)/100 =
8103120 грн;
. Чистий прибуток:
ЧП = По. д. - Под.приб. (2.13)
ЧП =42648000-8103120= 34544880 грн;
9. Рентабельність:
(2.14)
Таблиця 2.4. Зведена таблиця показників
|
№ п.п.
|
Показник
|
Одиниця
виміру
|
Позначення
|
Значення
показника
|
|
1
|
Виробнича
собівартість реалізованої продукції
|
грн
|
с/ввироб
|
312000000
|
|
2
|
Прибуток
валовий
|
грн
|
Пвал.
|
53448000
|
|
3
|
Витрати
на збут на випуск
|
грн
|
ВЗвип.
|
3600000
|
|
4
|
Адміністративні
витрати на випуск
|
грн
|
АВвип.
|
7200000
|
|
5
|
Прибуток
операційної діяльності підприємства
|
грн
|
По.
д.
|
42648000
|
|
6
|
Прибуток
від звич. діял.
|
грн.
|
Пзв.
діял
|
42648000
|
|
7
|
Податок
на прибуток
|
грн.
|
Под.приб.
|
8103120
|
|
8
|
Чистий
прибуток
|
грн
|
ЧП
|
34544880
|
|
9
|
Рентабельність
|
%
|
16,55
|
|
2.5 Собівартість продукції, прибуток і
рентабельність підприємства
Показнику собівартості
продукції належить одне з провідних місць в економічному механізмі
господарювання. Від рівня собівартості залежить прибуток, рівень цін,
рентабельність та інші показники.
Собівартість продукції
(робіт, послуг) с одним із найважливіших показників роботи кожного підприємства
чи організації, так як вона характеризує всі сторони його (її) діяльності. В
собівартості продукції втілені всі затрати на виробництво і реалізацію
продукції, тому вона показує наскільки ефективно на підприємстві
використовуються всі види ресурсів. Крім того, собівартість продукції
характеризує результати виробничої, господарської і комерційної діяльності підприємства.
Собівартість продукції
(робіт, послуг) - це виражені у грошовій формі витрати, пов'язані з
підготовкою, організацією, веденням виробництва та реалізацією продукції
(виконання робіт, надання послуг). Собівартість продукції (робіт, послуг) підприємства
складається з витрат природних ресурсів, сировини, матеріалів, палива, енергії,
основних засобів, трудових ресурсів, а також інших витрат.
Витрати, які відносяться
на собівартість продукції, визначаються Методичними рекомендаціями з формування
собівартості продукції (робіт, послуг).
До собівартості
продукції, зокрема, включаються витрати праці, засобів і предметів праці на
виробництво продукції на підприємстві. До них відносяться:
витрати на підготовку І
освоєння виробництва;
витрати, безпосередньо пов'язані
з виробництвом продукції (робіт, послуг), зумовлені технологією і організацією
виробництва, включаючи витрати на контроль виробничих процесів і якості
продукції, що випускається;
витрати, пов'язані з
раціоналізацією й винахідництвом;
витрати по обслуговуванню
виробничого процесу* забезпеченню нормальних умов праці й техніки безпеки;
витрати, пов'язані з
набором робочої сили, підготовкою та перепідготовкою кадрів;
відрахування на соціальні
заходи;
витрати по управлінню
виробництвом тощо.
Крім цього, до
собівартості продукції (робіт, послуг) включаються також втрати від браку, від
простоїв за внутрішньовиробничими причинами, нестачі матеріальних цінностей у
виробництві й на складах в межах норм природного убутку. Залежно від того, які
витрати включаються до собівартості продукції, традиційно виділяються такі її
види:
технологічна-включає лише
прямі витрати, пов'язані з підготовкою та виготовленням продукції;
виробнича - включає прямі
витрати і загальновиробничі витрати; вона характеризує витрати самостійного
виробничого підрозділу (цеху) на виготовлення продукції;
маргинальна (обмежена) -
це виробнича собівартість, яка характеризує рівень прямих змінних витрат, які
припадають на одиницю продукції;
фабрично-заводська -
собівартість, до складу якої включаються, крім безпосередніх затрат на її
виготовлення, ще й адміністративні та інші операційні витрати;
повна - виробнича
собівартість, яка збільшена на суму адміністративних, комерційних і збутових
витрат. Цей показник інтегрує загальні витрати підприємства, які пов'язані як з
виробництвом, так і з реалізацією продукції;
індивідуальна -
характеризує витрати конкретного підприємства, які пов'язані з випуском
продукції;
середньогалузева -
характеризує середні по галузі витрати на виробництво даного виробу і розраховується
за формулою середньозваженої із індивідуальних собівартостей підприємств
галузі.
В проекті розраховується калькуляція собівартості
одиниці (1м2 або 100 м2) продукції із одного конкретного
виду сировини.
Під калькуляцією собівартості розуміють процедуру
обчислення вартості одиниці продукції в розрізі калькуляційних статей. Відтак
основним завданням аналізу витрат є визначення собівартості одного окремо
взятого виду продукції в загальній вартості товарної номенклатури підприємства
Зниження собівартості продукції є найважливішим
фактором підвищення ефективності виробництва, збільшення прибутку та
рентабельності.
Серед джерел зниження собівартості в легкій
промисловості особливе місце займає підвищення ефективності використання
виробничих ресурсів сировини і матеріалів [17].
В дипломній роботі
розраховується валовий прибуток підприємства.
Таблиця 2.5. Вихідні дані
|
№ п.п.
|
Показник
|
Одиниця
виміру
|
Позначення
|
Значення
показника
|
|
1
|
Обсяг
випускної продукції в натуральних одиницях
|
м2
|
ВП
|
1200000
|
|
2
|
Обсяг
реалізованої продукції
|
грн
|
РП
|
365448000
|
|
3
|
Виробнича
собівартість продукції на 1 м2 шкіри
|
грн
|
с/в
|
260
|
|
4
|
Адміністративні
витрати на одну одиницю продукції
|
грн
|
АВ
|
6
|
|
5
|
Витрати
на збут на одну одиницю продукції
|
грн
|
ВЗ
|
3
|
|
6
|
Податок
на прибуток
|
%
|
Податок
|
19
|
Враховується:
Виробнича собівартість реалізованої продукції:
с/ввироб = ВП·с/в
(2.15)
де: с/ввироб - виробнича собівартість
продукції, грн;
с/ввироб = 1200000·260=312000000 грн;
Прибуток валовий:
Пвал. = Дохід(РП) - с/ввироб (2.16)
Пвал. =365448000-312000000 = 53448000
грн;
Витрати на збут на випуск:
ВЗвип. = ВП·ВЗна 1 м2
(2.17)
ВЗвип. = 1200000·3=3600000 грн;
Адміністративні витрати на випуск:
АВвип. = ВП·АВна 1 м2
(2.18)
АВвип. = 1200000·6 = 7200000 грн;
Прибуток від операційної діяльності підприємства:
По. д. = Пвал. - АВвип.
- ВЗвип. (2.19)
По. д. =53448000-7200000 - 3600000
=42648000 грн;
Прибуток від звичайної діяльності до
оподаткування дорівнює прибутку від операційної діяльності.
Податок на прибуток:
Под.приб. = (Пзв. діял.· Податок)/100
(2.20)
де: Пзв. діял - прибуток від звичайної
діяльності;
Под.приб. = (42648000·19)/100 =
8103120 грн;
Чистий прибуток:
ЧП = По. д. - Под.приб.
(2.21)
ЧП =42648000-8103120= 34544880 грн;
10. Рентабельність:
(2.22)
.
Таблиця 2.6
|
№ п.п.
|
Показник
|
Одиниця
виміру
|
Позначення
|
Значення
показника
|
|
1
|
Виробнича
собівартість реалізованої продукції
|
грн
|
с/ввироб
|
312000000
|
|
2
|
Прибуток
валовий
|
грн
|
Пвал.
|
53448000
|
|
3
|
Витрати
на збут на випуск
|
грн
|
ВЗвип.
|
3600000
|
|
4
|
Адміністративні
витрати на випуск
|
грн
|
АВвип.
|
7200000
|
|
5
|
Прибуток
операційної діяльності підприємства
|
грн
|
По.
д.
|
42648000
|
|
6
|
Прибуток
від звич. діял.
|
грн.
|
Пзв.
діял
|
42648000
|
|
7
|
Податок
на прибуток
|
грн.
|
Под.приб.
|
8103120
|
|
8
|
Чистий
прибуток
|
грн
|
ЧП
|
34544880
|
|
9
|
Рентабельність
|
%
|
16,55
|
|
технічний прибуток собівартість напівфабрикат
Висновок
Головною метою шкіряно-хутрового виробництва є
одержання зі шкур тварин шкіри та хутра, з яких виготовляють різноманітні
товари: взуття, галантерейні вироби, одяг тощо.
Головним джерелом сировини для шкіряно-хутрового
виробництва є тваринництво. У шкіряному виробництві переробляються шкурки
свійських тварин майже усіх видів: великої рогатої худоби (ВРХ), овець, кіз,
свиней, коней, мулів, ослів, верблюдів, оленів. З шкур диких тварин
використовують шкури дикої кози, лося, марала, дикого кабана, морських тварин
(тюленя, моржа, кита, нерпи). Другорядними видами шкіряної сировини є шкури
деяких видів риб (зубатки, тріски, кети, горбуші) та рептилій (змій, ящірок).
Хутрова сировина - невичинені, тобто зняті з туш
(тушок), і, як правило, законсервовані шкури диких та свійських тварин, що за
якістю волосяного покриву та шкіряної тканини придатні до виготовлення з різних
хутряних виробів.
Література
1. Журавський В.А. Технологія шкіри та
хутра: [підручник] / В.А. Журавський, Е. Є. Касьян, А.Г. Данилкович. - К.:
[ДАЛПУ], 1996. - 743, [1] с.
2. Технологія і обладнання шкіряно -
хутрового виробництва: Навч. Посібник / Данилкович А.Г., Ліщук В. І. - 2-ге
вид., перероб. І доп. - К.: Фенікс, 2007. - 312 с.: іл.
. Е. Є. Касьян. Основи технології
шкіри та хутра: Навчальний посібник. - К.: КДУТД, 2001. - 252 с.
. Товарознавство шкіряно - хутрової
сировини: Навчальний посібник / Андреєва О.А., Цеменко Г.В. - К: Кондор, 2012.
- 355, [40] с.: іл 74. Табл. 50. Бібліогр.: 32 назви.
5. Проектування підприємств з
виробництва шкіряного та хутрового напівфабрикату. Кваліфікаційна бакалаврська
робота: методичні рекомендації до самостійної роботи студентів при
виконанні кваліфікаційної бакалаврської роботи проектно-розрахункового
характеру за напрямом підготовки 6.051301 «Хімічні технології» професійного
спрямування «Технології обробки шкіри та хутра» / упоряд.: О.А. Андреєва,
А.Г. Данилкович, В.О. Долгіх, Е.Є. Касьян. - К.: КНУТД, 2013. - 39 с. Устаткування
шкіро - та хутропереробних підприємств: Методичні вказівки до самостійної
роботи студентів спеціальності 7.091625 «Технологія обробки шкіри та хутра»
напряму 0916 «Хімічна технологія та інженерія» під час курсового та дипломного
проектування, «Технічні характеристики устаткування шкіро - та хутропереробних
підприємств» (Частина1) / Упор.: Долгіх В.О. - К.: КНУТД, 2004. - 36 с. Укр.
мовою
. Проектування та реконструкція
шкіряних підприємств: Методичні вказівки до самостійної роботи студентів за
спеціальністю 05130111 «Технологія обробки шкіри та хутра» Частина 1 / Упор.:
А.Г. Данилкович, О.А. Андреєва, В.О. Долгіх. - К.: КНУТД, 2008. - 40 с. Укр.
мовою.
. ГОСТ 382-91 «Сырье кожевенное
сортированное для промышленной переработки»
. Технологія шкіри та хутра:
Методичні вказівки до практичних робіт для студентів спеціальності 7.091625 -
«Технологія обробки шкіри та хутра» / Упор.: Г.В. Цеменко, О.Р. Мокроусова,
О.П. Цимбаленко та ін. - К.: КНУТД, 2008. - с. Укр. мовою
. Методичні вказівки до самостійної
роботи студентів під час курсового та дипломного проектування «Нормативні дані
для проектування шкіряних підприємств» / Уклад. О.А. Андреєва, В.П. Плаван. -
К.: КДУТД, 2000. - 48 с. Укр. мовою.
. Технологія і матеріали
виробництва шкіри: навч. посібник / Данилкович А.Г., Мокроусова О.Р., Охмат
О.А.; під ред. А.Г. Данилковича. - К.: Фенікс, 2009. - 580 с.: іл.
11. Данилкович А.Г. Практикум з хімії та
технології шкіри та хутра. - К.: КДУТД, 1999. - 427 с.
12. Химия и технология кожи и меха /
Под ред. И.П. Страхова. -М: Легпромбытиздат, 1985.
-496 с.
Економіка підприємства: Навч. посіб. / За
ред. А.В. Шегди. - К.: Знання, 2005. - 43 c.
13. Тарасюк Г.М., Шваб Л. І. Планування
діяльності підприємства: Навч. посібник. - Житомир: ЖДТУ, 2003. - 580 с.
14. Організація виробництва: Підручник
/ За заг. ред. П.В. Круша, В.І. Подвігіної, В.О. Гулевич. - К.: Каравела, 2010.
- 536 с.
. Бойчик І. М., Харів П.С., Хопчан
М. І. Економіка підприємств. - Львів: В-во «Сполом». - 1998. - с. 212.
. Испирян Г.П., Чмелев В.С.
Организация и управление предприятием легкой промышленности: Учебник для
студентов, вузов, обуч. по спец. Технологии тов. шир. потребл. - М.: Легкая и
пищевая промышленность, 1982. - 448 с., ил.
. Формування собівартості
продукції: Метод, посібник - Д., 2003.
. Основи охорони праці: підручник
для студентів вищих навчальних закладів / Жидецький В.Ц. - 3-тє вид., перероб.
та доп. - Львів: Українська академія друкарства, 2006. - 336 с. - Б. ц.
. Запорожець О. І., Протоєрейський
О.С., Франчук Г.М., Боровик І.М. Основи охорони праці. Підручник. - К.: Центр
учбової літератури, 2009. - 264 с.
. Навчальний посібник (Укр. яз.) /
Джигирей В.С., Сторожук В.М., Лико Х. I., Туряб Л.В.; За ред. В.Ц. Жидецького.
- Львiв: Афiша, 2000. - 352 с.: ил.
. Гандзюк М.П., Желібо Є.П,
Халімовський М.О. Основи охорони праці: Підручник. 3-є вид. / За ред. М.П.
Гандзюка. - К.: Каравела, 2006. - 392 с.
. Геврик Є.О. Охорона праці.
Навчальний посібник. - К.: Ельга, 2003 - 280 с.
. Основи охорони праці /За
редакцією В.В. Березуцького. - Харків: Факт, 2005. - 480 с.
. Сахан Г., Ткачук С. Не тільки
фіксувати події // Охорона праці. - 1999. - №3. - С. 4-7.