Приток жидкости к скважине или группе скважин в зависимости от гидродинамических условий
Министерство
образования и науки Российской Федерации
Государственное
образование учреждение высшего профессионального образования
«Астраханский
государственный университет»
Курсовая
работа
ПРИТОК
ЖИДКОСТИ К СКВАЖИНЕ ИЛИ ГРУППЕ СКВАЖИН В ЗАВИСИМОСТИ ОТ ГИДРОДИНАМИЧЕСКИХ
УСЛОВИЙ
Астрахань
Содержание
Введение
1. Приток жидкости
к скважинам с различным расположением контура питания
.1 Приток жидкости
к группе скважин в пласте с удалённым контуром питания
.2 Приток жидкости
к скважине в пласте с прямолинейным контуром питания
1.3 Приток жидкости к скважине в
пласте вблизи прямолинейной непроницаемой границы
2. Особенности
притока жидкости к скважинам и батареям скважин
.1 Приток жидкости
к скважине, эксцентрично расположенной в круговом пласте
2.2 Приток жидкости к бесконечным
цепочкам и кольцевым батареям скважин
. Приток жидкости и газа к
несовершенным скважинам
Заключение
Список литературы
Введение
Реальные нефтегазоносные
месторождения разрабатываются несколькими скважинами. Их количество
определяется из условия обеспечения заданного отбора из месторождения
углеводородного сырья. Поэтому в фильтрационных расчетах, связанных с
разработкой месторождений, необходимо рассматривать множество скважин,
размещенных определенным образом на площади нефтегазоносности. При этом
возникают гидродинамические задачи определения давления на забоях скважин при
заданных дебитах, или наоборот, дебитов при заданных давлениях.
При решении этих задач нужно
учитывать, что при работе нескольких скважин наблюдается их взаимное влияние
друг на друга - интерференция скважин. Это влияние приводит к тому, что при
вводе в эксплуатацию новых скважин суммарная добыча на месторождении растет
медленнее, чем увеличивается число скважин.
Поэтому, усложняя задачи с целью более
адекватного описания процессов, происходящих на месторождениях углеводородного
сырья, необходимо рассмотреть постановки и решения задач, когда одновременно
работают не одна, а группы скважин. Наиболее простые постановки задач
получаются в том случае, когда пласт предполагается плоским, а скважины
считаются точеными источниками или стоками. При решении подобных задач не
только в подземной гидромеханике, но и в других разделах гидромеханики широко
используется предположение о потенциальности течения и метод суперпозиции
(потенциала).
1. Приток жидкости к скважинам с различным
расположением контура питания
.1 Приток жидкости к группе скважин в пласте с
удалённым контуром питания
Используя принцип суперпозиции, рассчитаем
дебиты, забойные потенциалы (давления), скорости фильтрации и т.д. для группы
скважин, работающих в пласте с удаленным контуром питания.
Пусть имеется п скважин (рис.
1.1) с радиусами rсi,
на которых заданы потенциалы Фг (забойные давления рсi),
а также задан радиус контура питания Rk
и
потенциал на нем Фк(контурное давление рк), известны и
все расстояния между скважинами, rij
- расстояние между i-й и j-й
скважинами. Требуется определить дебиты скважин (стоков) qi.
Рис. 1.1. Схема группы скважин с удалённым
контуром питания.
Выражение для потенциала в произвольной точке М
задается формулой (7.5). Поместим точку М на забой каждой скважины и получим п
уравнений:
(1.1)
в которые входит n+1 неизвестное: qi
(i=1,2,…,n) и С.
Поэтому для замыкания системы уравнений добавим ещё одно, которое получается
при помещении точки М на контур питания:
(1.2)
Полученная система уравнений (1.1) и (1.2)
содержит n+1 уравнение и может быть разрешена. При нахождении q
исключим из системы С. Для этого вычтем последовательно каждое из равенств
(1.1) из равенства (1.2) и получим n уравнений:
(1.3)
где Фk
- потенциал на контуре питания,
Фс - потенциал на стенках скважины,
q - дебит,
Rk
- радиус контура питания,
Rc
- радиус скважины,
С - постоянная интегрирования.
1.2 Приток жидкости к скважине
в пласте с прямолинейным контуром питания
Пусть эксплуатационная скважина
находится в пласте с прямолинейным контуром питания, то есть пласт представляет
собой полуплоскость, через границу которой происходит приток к скважине.
Расстояние от скважины до контура питания равно а, заданы потенциалы на контуре
питания Фк и на скважине Фс (рис. 1.2.). Требуется
определить дебит скважины и потенциал в любой точке пласта. В этом случае
реальную скважину зеркально отображают относительно прямолинейного контура
питания, дебиту отображенной скважины приписывается знак, обратный по отношению
к знаку дебита у реальной скважины. Такое расположение источника и стока
позволяет имитировать границу, на которой задан постоянный потенциал.
Рис. 1.2. Схема притока жидкости к скважине,
работающей вблизи прямолинейного контура питания.
Напишем потенциал для произвольной точки М
(1.4)
а затем поместим точку М сначала на стенку
реальной скважины, а потом на контур питания и воспользуемся тем, что
расстояния от источника и стока до любой точки на контуре питания равны,
обозначим его через rк. В результате получим систему уравнений
(1.5)
Разрешив полученную систему уравнений
относительно q, будем иметь
(1.6)
Последнюю формулу можно преобразовать, используя
выражение для потенциала,
(1.7)
В результате получим
(1.8)
После того, как найден дебит скважины, можно
определить потенциал в любой точке пласта
(1.9)
Если бы контур питания был окружностью, радиуса
а, тогда дебит бы определялся по формуле Дюпюи
(1.10)
где Фk
- потенциал на контуре питания,
Фс - потенциал на стенках скважины,
q - дебит,
Rk
- радиус контура питания,
Rc
- радиус скважины,
С - постоянная интегрирования,
k - коэффициент
проницаемости,
h - мощность
(высота) контура,
µ - вязкость воды.
.3 Приток жидкости к скважине в пласте вблизи
прямолинейной непроницаемой границы.
Пусть эксплуатационная скважина находится в
пласте с непроницаемой границей, то есть пласт представляет собой
полуплоскость. Расстояние от скважины до непроницаемой границы равно а, заданы
потенциалы на контуре питания Фк и на скважине Фс, радиус
контура питания Rk
(рис.
1.3.). Требуется определить дебит скважины. Такая задача на практике может
возникнуть в случае, когда добывающая скважина расположена вблизи сброса или
границы выклинивания продуктивного пласта. В этом случае реальную скважину
зеркально отображают относительно непроницаемой границы, и дебиту отображенной
скважины приписывается тот же знак, что и реальной скважине
.
Тогда потенциал в произвольной точке М
определяется по формуле
(1.11)
Поместим точку М сначала на стенку скважины,
затем на контур питания. В результате получим
(1.12)
При этом предполагается, что Rk
>> а. Разрешая полученную систему уравнений относительно q будем иметь
(1.13)
Последнюю формулу, используя выражения для
потенциала, можно записать в виде
(1.14)
2. Особенности притока жидкости к скважинам и
батареям скважин
.1 Приток жидкости к скважине, эксцентрично
расположенной в круговом пласте
Пусть эксплуатационная скважина находится в
пласте с круговым контуром питания, но расположена на расстоянии S
от центра круга (рис. 2.1.). Расстояние от центра пласта до контура питания
равно Rk,
заданы потенциалы на контуре питания Фк и на скважине Фс.
Требуется определить дебит скважины и потенциал в любой точке пласта. В этом
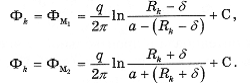
случае, как и в предыдущих, реальную скважину-сток А отобразим в фиктивную
скважину-источник А, расположенную на расстоянии а от скважины А и лежащую на
луче ОА. Расстояние а определим из условия постоянства потенциала на контуре и,
следовательно, в точках М1 и М2, лежащих на контуре
питания.
Рис. 2.1. Схема притока жидкости к скважине,
эксцентрично расположенной в круговом пласте.
По методу суперпозиции для потенциалов в точках
М1 и М2, имеем следующие выражения:
(2.1)
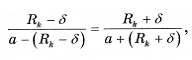
Из условия равенства потенциалов в точках М1
и М2 получаем уравнения для определения а
(2.2)
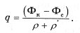
Для того, чтобы определить дебит скважины А, определим
потенциал на её забое
(2.3)
Вычитая из первого равенства (2.1) соотношение
(2.3), получим
(2.4)
или, подставив вместо а его выражение (2.2)
(2.5)
Преобразуя в последнем равенстве выражение под
знаком логарифма и разрешая его относительно q,
найдем формулу для дебита скважины, эксцентрично расположенной в круговом
пласте:
(2.6)
Заметим, что если
эксцентриситет равен нулю (δ =
0), то формула (4.6) превращается в формулу Дюпюи.
Для того чтобы найти потенциал во всех точках
пласта, воспользуемся методом суперпозиции и выпишем потенциал в произвольной
точке М
(2.7)
2.2 Приток жидкости к
бесконечным цепочкам и кольцевым батареям скважин
Для данных расчётов
используется метод эквивалентных фильтрационных сопротивлений, предложенный
Ю.П. Борисовым. Метод основан на аналогии между движением жидкости в пористой
среде и течением электрического тока в проводах.
Рассмотрим без вывода решение задачи о притоке
жидкости к одной бесконечной цепочке скважин, расположенных на расстоянии 2
σ
друг от друга и на расстоянии L
от прямолинейного контура питания. Будем считать, что на контуре питания
потенциал равен Фк, а на стенках скважин - Фс (рис. 5.1).
Требуется определить дебит каждой скважины и суммарный дебит N скважин в
цепочке
Рис. 2.2. Схема прямолинейной цепочки скважин.
Решение задачи находится с
помощью метода суперпозиции. Цепочка скважин стоков отображается зеркально
относительно контура питания в скважины-источники, и рассматривается
интерференция двух цепочек скважин в неограниченном пласте. Вдоль прямой АВ,
проходящей через скважину-сток и скважину-источник, частицы движутся наиболее
быстро, а вдоль прямых А'В', делящих расстояние между скважинами пополам,
движение будет наиболее медленным, так как линии, в силу симметрии потока,
представляют собой непроницаемые границы.
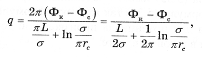
Дебит каждой скважины определяется следующей
формулой:
(2.8)
где
-
гиперболический синус. В случае когда L > σ,
величина е-πL/σ
мала и тогда
Поэтому при L > σ дебит
скважин может быть вычислен по формуле
(2.9)
или, если ввести обозначение
(2.10)
формулу (2.9) можно переписать в виде
(2.11)
Соотношение (2.11) аналогично закону Ома,
поэтому Ю.П. Борисов предложил величину р называть внешним фильтрационным
сопротивлением батареи, а р’ - внутренним. Таким образом, приток жидкости к
цепочке скважин можно представить схемой эквивалентных фильтрационных
сопротивлений, показанной на рис. 2.3.
Рис. 2.3. Схема фильтрационных сопротивлений при
притоке к бесконечной цепочке скважин
Аналогом дебита q служит сила тока, а аналогом
разности фильтрационных потенциалов - разность электрических потенциалов.
Суммарный дебит N скважин прямолинейной цепочки определяется по формуле
(2.12)
Из сравнения формул (2.11) и
(2.12) следует, что значение внешнего фильтрационного сопротивления
определяется выражением
р = L/2ahN,
(2.13)
а внутреннее
р' = =ln(σ/πrc)/2πhN.
(2.14)
Пусть теперь полубесконечный
пласт с прямолинейным контуром питания разрабатывается тремя параллельными
цепочками скважин с числом скважин m1,
m2
и m3
соответственно. Пусть скважины в каждой цепочке имеют одинаковые радиусы rc1,
rc2,
rc3
и забойные давления рc1,
рc2,
рc3,суммарные
дебиты цепочек составляют Q'1,
Q'2, Q'3.
(рис. 2.4.)
Рис. 2.4. Схема фильтрационных
сопротивлений при притоке к трём цепочкам скважин.
Расчет схемы производится аналогично расчету
электрических цепей по законам Ома и Кирхгофа. Составляются линейные
алгебраические уравнения либо для дебитов Q'1,
Q'2, Q'3,
либо для забойных давлений рc1,
рc2,
рc3,
в зависимости от того, что задано и что необходимо определить. При этом внешние
сопротивления определяются равенствами
(2.15)
где L1,
L2,L3
- расстояния, соответственно, между контуром питания и первой цепочкой, между
первой и второй цепочками и между второй и третьей, если задача решается с
использованием в уравнениях потенциалов, и
(2.16)
где Вi=2σi
mi (но i не
суммировать!), если задача решается с использованием в уравнениях (2.12)
давлений.
Внутреннее сопротивление определяется по
формулам
(2.17)
Дебит одной скважины кольцевой батареи скважин,
состоящей из m скважин (рис.
2.5.), в круговом пласте радиуса Rk
имеет вид
(2.18)
где R1
- радиус батареи скважин.
Рис. 2.5. Схема кольцевой батареи скважин
Если число скважин в батарее больше 5, то (R1/Rk)2m<<1
и формулу (2.18) можно упростить, кроме того, если заменить R1/mrc=σ/πrc,
то приближённую формулу получим в виде
(2.19)
(2.20)
В случае двух кольцевых батарей, соосных
круговому контуру питания, приток к скважинам рассчитывается по схеме
эквивалентных фильтрационных сопротивлений (рис. 2.6.).
Рис. 2.6. Схема фильтрационных сопротивлений при
притоке к двум кольцевым батареям скважин
Внешние и внутренние фильтрационные сопротивления
определяются соотношениями
(2.21)
где R1, R2
-
радиусы батарей, m1,
m2 -
число скважин в батарее.
В случае трёх кольцевых батарей, соосных
круговому контуру питания, приток к скважинам рассчитывается по схеме
эквивалентных фильтрационных сопротивлений, представленной на рис 5.3. Внешние
и внутренние фильтрационные сопротивления определяются соотношениями
(2.22)
3. Приток жидкости и газа к несовершенным
скважинам
Задача о притоке жидкости к несовершенной по
степени вскрытия скважине в пласте конечной толщины h
исследовалась М. Маскетом. Предполагалось, что кровля и подошва пласта
непроницаемы; поверхность забоя скважины также является эквипотенциалью, на
которой p=pc.
Вдоль оси скважины на вскрытой части длиной b
располагалась воображаемая линия, поглощающая жидкость, каждый элемент которой dz.
Интенсивность дебита q,
приходящегося на единицу длины поглощающей линии, подбиралась различной в
разных её точках для выполнения заданных граничных условий.
Задача решалась методом отображений, т. е. поток
жидкости, в котором находится скважина, приравнивался к идеальной несжимаемой и
разбивался на несколько стоков. Выполнение указанных граничных условий
потребовало отображения элементарных стоков qdz,
относительно кровли и подошвы пласта бесчисленное множество раз. Подбирая
интенсивность дебита q
и используя метод суперпозиции действительных и отображённых стоков, М. Маскет
получил следующую формулу для дебита скважины, несовершенной по степени
вскрытия пласта:
(3.1)
Аналитическое выражение функции φ
(h):
(3.2)
(3.3)
Выражение (3.3) - интеграл Эйлера второго рода,
называемый гамма-функцией, для которой имеются таблицы в математических
справочниках.
Рис. 3.1. График функции φ
(h)
При b=h
скважина становится совершенной по степени вскрытия и тогда её дебит находится
по формуле Дюпюи.
Заключение
Изучив данную работу, можно сделать вывод -
движение жидкости к скважине зависит от многих факторов, таких как количество и
местоположение скважин, характеристик пласта-коллектора, формы и свойств его
границ. Предложенные задачи с их решениям показывают лишь часть всевозможных
вариантов, при которых будет наблюдаться приток жидкости к скважине, и помогают
определить важные для промышленности параметры - потенциал и расход в
скважинах. В то же время, данный вопрос достаточно широк, чтобы полностью
рассмотреть его в пределах данной работы.
С развитием науки и техники, существующие методы
определения притоков жидкости к скважинам будут совершенствоваться и
изменяться. Вместе с тем, необходимо быть и в курсе нынешнего состояния
развития аналитических методов, используемых в подземной гидромеханике. Поэтому
данная работа способствует более глубокому пониманию задач, которые необходимо
решать в процессе своей деятельности горным инженерам.
скважина газ месторождение
углеводородный
Литература
1. Басниев, К.С. Подземная
гидромеханика. / К.С. Басниев, И.Н. Кочина, В.М. Максимов. Учебник для вузов.
Изд. - М.: Недра, 1993. - 416 с.; Библиогр.: с. 103 - 400. - ISBN
5-247-02323-4
2. Мирзоджанзаде, А.Х.
Технология и техника добычи нефти. / А.Х. Мирзоджанзаде, И.М. Аметов, А.М.
Хасаев, В.И. Гусев. Учебник для вузов. Изд. - М.: Недра, 1986. - 282 с.; -
Библиогр.: с. 180.
. Алишаев, М.Г.
Неизометрическая фильтрация при разработке нефтяных месторождений. / М.Г.
Алишаев, М.Д. Розенберг, Е.В. Теслюк. Изд. - М.: Недра, 1985. - 271 с.; -
Библиогр.: с. 154.
. Сухарев, Г.М. Гидрогеология
нефтяных и газовых месторождений. / Г.М. Сухарев. Изд. - М.: Недра, 1979. - 349
с.; - Библиогр.: с. 120 - 133.
. Борисов, Ю.П. Особенности
проектирования разработки нефтяных месторождений с учётом их неоднородности. /
Ю.П. Борисов, З.К. Рябинина, В.В. Воинов. Изд. - М.: Недра, 1976. - 288 с.; -
Библиогр.: с. 265.
. Бузинов, С.Н. Исследование
нефтяных и газовых скважин и пластов. / С.Н. Бузинов, И.Д. Умрихин. Изд.- М.:
Недра, 1984. - 269 с.; - Библиогр.: с. 125.
. Булыгин, В.Я. Гидромеханика
нефтяного пласта. / В.Я. Булыгин. Изд. - М.: Недра, 1974. - 230с.