Повышение эксплуатационной технологичности зубчатых колес газотурбинных двигателей организационными и технологическими методами

  • Вид работы:
    Дипломная (ВКР)
  • Предмет:
    Другое
  • Язык:
    Русский
    ,
    Формат файла:
    MS Word
    166,03 Кб
  • Опубликовано:
    2014-07-11
Вы можете узнать стоимость помощи в написании студенческой работы.
Помощь в написании работы, которую точно примут!

Повышение эксплуатационной технологичности зубчатых колес газотурбинных двигателей организационными и технологическими методами

МИНИСТЕРСТВО ОБРАЗОВАНИЯ И НАУКИ РФ

Федеральное государственное бюджетное образовательное учреждение высшего профессионального образования «Рыбинский государственный авиационный технологический университет имени П.А.Соловьева»

Факультет Авиадвигателестроения

Кафедра «Технология авиационных двигателей и общего машиностроения»





Дипломный проект

Повышение эксплуатационной технологичности зубчатых колес газотурбинных двигателей организационными и технологическими методами

на соискание квалификации инженера

по специальности 160700 Двигатели летательных аппаратов

Соискатель студент группы

ДТС-11 Ящелтов Иван Андреевич

Руководитель

Урядов Сергей Анатольевич



Рыбинск 2014г.

Введение

С ростом рыночной стоимости газоперекачивающих агрегатов, энергетических установок и затрат на их техническое обслуживание изменились и методы проектирования газотурбинных двигателей. Если ранее они были направлены в основном на достижение таких эксплуатационных параметров, как КПД и удельный расход топлива, то в настоящее время целью методов проектирования является снижение эксплуатационных расходов. Повышение уровня эксплуатационной технологичности однозначно ведет к снижению эксплуатационных расходов, а именно временных, трудовых и стоимостных затрат на техническое обслуживание и текущий ремонт.

Эксплуатационная технологичность является важным технико-экономическим показателем совершенства газотурбинных двигателей. Двигатель должен иметь конструкцию, которая может сохранять или восстанавливать пригодное к эксплуатации состояние на протяжении всего периода эксплуатации. Эксплуатационная технологичность обязательно закладывается на этапах разработки современных газотурбинных двигателей и должна подтверждаться и оцениваться на всех других этапах производственного процесса. Самый совершенный двигатель и сам газоперекачивающий агрегат не будет интересен эксплуатанту, если из-за низкой эксплуатационной технологичности его техническое обслуживание или текущий ремонт потребуют больше средств, чем на эксплуатацию.

Мероприятия по повышению эксплуатационной технологичности в основном заключаются в совершенствовании технической системы обслуживания, содержания и периодичности выполнения работ по техническому обслуживанию и текущему ремонту. Несмотря на то, что сама возможность применения прогрессивных стратегий технического обслуживания является результатом определенного сочетания внутренних конструктивных свойств изделия, связь между конструктивными особенностями деталей и узлов изделий и показателями эксплуатационной технологичности зачастую не раскрывается. Снижение затрат на эксплуатацию, а следовательно, и увеличение эксплуатационной технологичности, в этих случаях достигается не при отработке конструкции изделия на технологичность на этапе проектирования, а на этапе эксплуатации. В данной работе мы изменим материал детали тем самым немного повысив её свойства и понизив стоимость изготовления.

. Надежность объекта как эксплуатационное свойство. Показатели надежности

Надежность изделия зависит от надежности его элементов, и чем выше их надежность, тем выше надежность всего изделия. Ввиду выполняемых функций каждое изделие характеризуется выходными параметрами, которые и определяют его качество. Выходными могут параметры характеризующие точность срабатывания, механическую прочность, динамическую устойчивость, время выполнения работы, мощность, скорость движения и другие. Изменение выходных параметров в допустимых пределах обеспечивает его работоспособность. Рассмотрим основные термины из области надежности (устанавливаются ГОСТ 27. 002-89).

В соответствии с ГОСТ 27 002-89, надежность - это свойство объекта сохранять во времени в установленных пределах значения всех параметров, характеризующих способность выполнять требуемые функции в заданных режимах и условиях применения. Недостаточная надежность объекта приводит к огромным затратам на его ремонт, простою машин, оборудования, прекращению снабжения населения электроэнергией, водой, газом, транспортными средствами, невыполнению ответственных задач, иногда к авариям, связанными с большими экономическими потерями, разрушением крупных сооружений и с человеческими жертвами. Чем меньше надежность машин, тем большие партии приходится изготавливать, что приводит к перерасходу металла, завышению расходов на ремонт и эксплуатацию.

Надежность объекта является комплексным свойством, её оценивают по четырем показателям - безотказность, долговечность, ремонтопригодность и сохраняемость или по сочетанию этих свойств.

Безотказность - свойство объекта сохранять работоспособность непрерывно в течение некоторого времени или некой наработки. Это свойство особенно важно для сложных технических систем, отказ в работе которых связан с опасностью для жизни людей.

Эксплуатационная технологичность определяет совместно с безотказностью величину простоев, снижающих производительность автомобилей и затрат, необходимых для поддержания автомобилей в работоспособном состоянии

Долговечность - свойство объекта непрерывно сохранять работоспособное состояние до наступления предельного состояния при установленной системе технического обслуживания и ремонта.

В отличие от безотказности долговечность характеризуется продолжительностью работы объекта по суммарной наработке, прерываемой периодами для восстановления его работоспособности в плановых и неплановых ремонтах и при техническом обслуживании. Предельное состояние - состояние объекта, при котором его дальнейшая эксплуатация недопустима или нецелесообразна, либо восстановление его работоспособного состояния недопустимо или нецелесообразно.

Ремонтопригодность - свойство объекта, заключающееся в его приспособленности к поддержанию и восстановлению работоспособного состояния путем проведения технического обслуживания и ремонта. Важность ремонтопригодности технических систем определяется огромными затратами на ремонт изделий.

Из определения терминов эксплуатационная технологичность и ремонтопригодность следует, что оба эти понятия включают одно и то же общее для них свойство технологичности при техническом обслуживании. Однако использование термина эксплуатационная технологичность и соответствующих показателей для его оценки имеет практическое значение, так как позволяет более полно характеризовать эксплуатационные свойства машин

Сохраняемость - свойство объекта сохранять в заданных пределах значения параметров, характеризующих способность объекта выполнять требуемые функции, в течение и после хранения и (или) транспортирования. Практическая роль этого свойства велика для деталей, узлов и механизмов, находящихся в комплекте запасных частей и принадлежностей.

Большинство технических систем являются сложными системами, состоящими из отдельных узлов, деталей, агрегатов, систем управления и т.п. Под сложной системой понимается объект, предназначенный для выполнения заданных функций, который может быть расчленен на элементы (компоненты), каждый из которых также выполняет определенные функции и находится во взаимодействии с другими элементами системы.

Объекты подразделяют на невосстанавливаемые, которые не могут быть восстановлены потребителей и подлежат замене (например, подшипники, шестерни, конденсаторы, резисторы, лампочки т.д.), и восстанавливаемые, которые могут быть восстановлены потребителем.

Надежность объекта характеризуется следующими состояниями исправное, неисправное, работоспособное, неработоспособное.

Исправное состояние - такое состояние объекта, при котором он соответствует всем требованиям нормативно-технической и (или) конструкторской (проектной) документации. Исправное изделие обязательно работоспособно.

Неисправное состояние - такое состояние объекта, при котором оно не соответствует хотя бы одному из требований нормативно-технической и (или) конструкторской (проектной) документации. Различают неисправности, не приводящие к отказам, и неисправности, приводящие к отказам. Например, повреждение окраски автомобиля означает его неисправное состояние, но такой автомобиль работоспособен. Посторонний стук или скрежет при движении автомобиля означает его неисправное состояние, но он может привести к разрушению детали, узла, механизма и, соответственно, к отказу.

Работоспособным состоянием называют такое состояние объекта, при котором он способен выполнять заданные функции, соответствующие нормативно-технической и (или) конструкторской (проектной) документации.

Неработоспособное изделие является одновременно неисправным.

Отказ - событие, заключающееся в нарушении работоспособного состояния объекта.

Отказы по характеру возникновения подразделяют на случайные и неслучайные (систематические).

Случайные отказы вызваны непредусмотренными нагрузками, скрытыми дефектами материалов, погрешностями изготовления, ошибками обслуживающего персонала.

Неслучайные отказы - это закономерные явления, вызывающие постепенное накопление повреждений, связанные с влиянием среды, времени, температуры, облучения и т.д.

В зависимости от возможности прогнозировать момент наступления отказа все отказы подразделяют на внезапные (поломки, заедания, отключения) и постепенные (изнашивание, старение, коррозия).

По причинам возникновения отказы классифицируют на конструктивные (вызванные недостатками конструкции), производственные (вызванные нарушениями технологии изготовления) и эксплуатационные (вызванные неправильной эксплуатацией).

Такое деление отказов связано с гарантийными обязательствами предприятий-изготовителей составных частей и изделия в целом, как головного поставщика, которому предъявляют рекламационные претензии эксплуатирующие организации в период гарантийного срока.

По принятой классификации за производственные отказы несет материальную ответственность предприятие-изготовитель отказавшей составной части (оно восстанавливает изделие за счет средств предприятия). За конструктивные отказы материальную ответственность несет предприятие-разработчик изделия совместно с заказчиком. Восстановление всех изделий на местах эксплуатации ведется по бюллетеням, а на предприятии-изготовителе - с момента установления причины отказа - по извещениям.

По эксплуатационным отказам материальную ответственность за восстановление берет на себя эксплуатирующая организация.

Показателями надежности называют количественные характеристики одного или нескольких свойств объекта, составляющих его надежность. К таким характеристикам относят, например, временные понятия - наработку на отказ, наработку до первого отказа, наработку между отказами, ресурс, срок службы, время восстановления. Значения этих показателей на этапе создания сложных систем получают расчетным путем, а их статистические оценки - по результатам испытаний или эксплуатации.

По восстанавливаемости изделий показатели надежности подразделяют на показатели для восстанавливаемых изделий и показатели для невосстанавливаемых изделии.

Применяются также комплексные показатели. Надежность технических систем в зависимости от их назначения можно оценивать, используя либо часть показателей надежности, либо все показатели.

Показатели безотказности:

Вероятность безотказной работы - вероятность того, что в пределах заданной наработки (заданного времени) отказ объекта не возникает.

Средняя наработка на отказ - отношение суммарной наработки восстанавливаемого объекта к математическому ожиданию числа его отказов в течение этой наработки (этого времени).

Средняя наработка до отказа - математическое ожидание наработки объекта до первого отказа.

Интенсивность отказов - условная плотность вероятности возникновения отказа объекта, определяемая при условии, что до рассматриваемого момента времени отказ не возник. Этот показатель относится к невосстанавливаемым изделиям.

Показатели долговечности:

Ресурс - суммарная наработка объекта от начала его эксплуатации или ее возобновление после ремонта до перехода в предельное состояние.

Средний ресурс - математическое ожидание ресурса; для технических систем в качестве критерия долговечности используют технический ресурс.

Срок службы - календарная продолжительность эксплуатации от начала эксплуатации объекта или ее возобновление после ремонта до перехода в предельное состояние (обычно выражается в годах).

Средний срок службы - математическое ожидание срока службы.

Показатели ремонтопригодности и сохраняемости: время восстановления - продолжительность работоспособного состояния объекта.

Среднее время восстановления - математическое ожидание времени восстановления работоспособного состояния объекта после отказа.

Вероятность восстановления - вероятность того, что время восстановления работоспособного состояния объекта не превышает заданное время.

Показатели сохраняемости - показатели, по которым оценивают способность объекта противостоять отрицательному влиянию условий хранения или транспортирования на показатели безотказности, долговечности и ремонтопригодности, которые были у объекта до начала его хранения или транспортирования. К ним относятся:

Назначенный срок хранения - календарная продолжительность хранения, при достижении которой хранение объекта должно быть прекращено независимо от его технического состояния.

В зависимости от области использования различают показатели надежности нормативные и оценочные. Нормативными называют показатели надежности, регламентированные в нормативно - технической или конструкторской документации. К оценочным относят фактические значения показателей надежности опытных образцов и серийной продукции, получаемые по результатам испытаний или эксплуатации.

. Функциональные зависимости, используемые при расчетах надежности

Отказы, возникающие в процессе испытаний или эксплуатации, могут быть вызваны неблагоприятным сочетанием различных факторов рассеянием действующих нагрузок, отклонением от номинального значения механических характеристик материалов, неблагоприятным сочетанием допусков в местах сопряжения и т.п. Поэтому в расчетах надежности различные параметры надежности рассматривают как случайные величины, которые могут принимать то или иное значение, неизвестное заранее.

Различают случайные величины прерывного (дискретного) и непрерывного типов. Случайные величины в обозначают большими буквами, а их возможные значения соответствующими малыми. Для каждого числа х в диапазоне изменения случайной величины Х существует определенная вероятность P(Х<х) того, что Х не превышает значения х.

Вероятность этого события называют функцией распределения:

 

Функция распределения универсальная характеристика, так как она является функцией как непрерывных, так и дискретных случайных величин.

Функция F(x) относится к неубывающим функциям - она монотонно возрастает при непрерывных процессах. В пределах изменения случайной величины X эта функция изменяется от 0 до 1.

Следующей функциональной зависимостью является функция надежности, которая противоположна функции распределения и обозначается в виде

Р(х) = 1 - F(x).

Эта функция является также универсальной и существует как для непрерывных, так и дискретных случайных величин и обладает свойствами, противоположными свойствам функции распределения, а именно:

функция надежности на минус бесконечности равна единице

;

:

;

:

 

Третья функциональная зависимость представляет собой производную от функции распределения по текущей переменной, ее называют плотностью распределения

 .

Она характеризует частоту повторений данного значения случайной величины. В теории надежности величину (х) называют плотностью вероятности. Плотность распределения есть неотрицательная функция своего аргумента f(x) > 0.

Интеграл в бесконечных пределах от плотности распределения равен единице:

.

В ряде случаев в качестве характеристик распределения случайных величин достаточно использовать некоторые числовые величины, среди которых в теории надежности наиболее употребительными являются математическое ожидание (среднее значение), мода и медиана (характеризуют положение центров группирования случайных величин на числовой оси), дисперсия, среднее квадратическое отклонение и коэффициент вариации (характеризует рассеяние случайной величины).

Значения характеристик, полученные по результатам испытаний или эксплуатации, называют статистическими оценками. Характеристики распределения используют для прогнозирования надежности.

Для дискретных случайных величин математические ожидание М равно сумме произведений всех возможных значений т на вероятности этих значений:

 .

Математическое ожидание для непрерывной случайной величины выражается интегралом в бесконечных пределах от произведения непрерывно изменяющихся возможных значений случайной величины на плотность распределения:

 .

Математическое ожидание случайной величины непосредственно связано со средним значением. При неограниченном увеличении числа опытов среднее арифметическое значение величины  приближается к математическому ожиданию и называется оценкой среднего значения

 ,

 - текущее значение случайной величины.

Дисперсией D случайной величины называют математическое ожидание квадрата отклонения этой величины от ее математического ожидания.

Для дискретной случайной величины дисперсия равна:

 .

Дисперсия случайной величины является характеристикой рассеяния - разбросанности значений случайной величины около ее математического ожидания. Размерность дисперсии соответствует квадрату размерности случайной величины. Для наглядности в качестве характеристики рассеяния удобнее использовать величину, размерность которой совпадает с размерностью случайной величины.

3. Анализ работоспособности сложной системы

Анализ работоспособности сложной системы связан с изучением ее структуры и тех взаимосвязей, которые определяют ее надежное функционирование. При анализе надежности сложных систем их разбивают на элементы (компоненты) с тем, чтобы вначале рассмотреть параметры и характеристики элементов, а затем оценить работоспособность всей системы. Под элементом можно понимать составную часть сложной системы, которая может характеризоваться самостоятельными входными и выходными параметрами. При исследовании надежности системы элемент не расчленяется на составные части, и показатели безотказности и долговечности относятся к элементу в целом. При этом возможно восстановление работоспособности элемента независимо от других частей и элементов системы.

Анализ надежности сложных систем имеет свои специфические особенности. Влияние различных отказов и снижение работоспособности элементов системы по-разному скажутся на надежности всей системы.

При анализе надежности сложной системы все ее элементы и компоненты целесообразно разделить на следующие группы.

) Элементы, отказ которых практически не влияет на работоспособность системы (деформация ограждающего кожуха машины, изменение окраски поверхности и т.п.). Отказы (т.е. неисправное состояние) этих элементов могут рассматриваться изолированно от системы.

) Элементы, работоспособность которых за рассматриваемый период времени практически не изменяется (станины и корпусные детали, малонагруженные элементы с большим запасом прочности).

) Элементы, ремонт или регулировка которых возможна при работе изделия или во время остановок, не влияющих на его эффективность (подналадка и замена режущего инструмента на станке, регулировка холостого хода карбюратора автомобильного двигателя).

) Элементы, отказ которых приводит к отказам системы.

Таким образом, рассмотрению и анализу надежности подлежат лишь элементы последней группы. Как правило, имеется ограниченное число элементов, которые в основном и определяют надежность изделия. Эти элементы и подсистемы выявляются при рассмотрении структурной схемы параметрической надежности.

Работоспособность механических узлов и металлоконструкций характеризуется рядом критериев, в качестве которых могут быть: прочность, износостойкость, усталость, точность и т.д. Расчет надежности основывается на сравнении заданных критериев расчетных параметров с их предельными значениями, которые выбирают по нормативным или справочным данным.

Работоспособность детали или узла считается обеспеченной по заданному критерию, если расчетный параметр y меньше его предельного значения yпр, т.е. упр. Таким образом, для обеспечения работоспособности задаются коэффициентом безопасности:

 ,

где  - расчетный параметр работоспособности;  - предельное значение расчетного параметра работоспособности.

Расчетные параметры рассматриваются как детерминированные величины, хотя в действительности они имеют рассеяние. Поэтому расчет проводится по наиболее неблагоприятным значениям параметров, при этом истинное значение коэффициента безопасности остается неизвестным.

С переходом на вероятностные методы расчета параметры у и упр рассматриваются как случайные величины и тогда вероятность безотказной работы определяется по квантилю нормального закона распределения от заданного критерия

 ,

где  - средние значения величин  и ; ,  - средние квадратические отклонения этих величин.

Данное соотношение можно выразить через коэффициенты безопасности и вариации, тогда

 ,

где  ;  ;  

В общем случае параметр  может быть выражен функциональной зависимостью

 

где  - случайные факторы.

Среднее значение  и среднее квадратическое отклонение  параметра  как известной функции случайных аргументов находится из соотношений

,

где - частная производная функция по фактору подставляют средние значения факторов ;  - среднее квадратическое отклонение факторов.

4. Анализ вероятности безотказной работы агрегатов ГТД на примере привода электростартера

Для более наглядного анализа безотказной работы выбрано две марки стали. Одна из которых исходная конструкционная легированная сталь 18Х2Н4МА, а вторая сталь аналог исходной 15Х2ГН2ТРА.

Материал 18Х2Н4МА. Это конструкционная легированная сталь с содержанием углерода 0.14…0.4%. В ее состав также входят следующие элементы:

кремний (Si) - 0.17…0.37%;

марганец (Mn) - 0.25…0.55%;

хром (Cr) не более - 0.35…1.65%;

сера (S) не более - 0.025%;

фосфор (P) не более -0.025 %;

медь (Cu) не более - 0.03%;

никель (Ni) не более - 4…4.4%;

молибден (Мо) -0.3…04%.

Физические свойства стали при температуре испытания 20°С

Модуль нормальной упругости Е, ГПа 200;

Плотность r, г/см3 7950;

Коэффициент теплопроводности l, Вт/(м°С)  52;

Удельное электросопротивление Н, Ом*м 169;

.Коэффициент линейного расширения a, 10-1*1/°С 11,9;

Механические свойства стали в состоянии поставки при температуре испытания 20°С

Предел прочности при растяжении sв, МПа 590;

Условный предел текучести s02, МПа 835;

Относительное удлиннение d, % 12;

Ударная вязкость x, Дж/см2 980;

Относительное сужение y, % 50;

Твердость по Бринеллю , НВ не более 269.

Материал 15Х2ГН2ТРА является конструкционной легированной высококачественной сталью. Имеет те же характеристики, что и ее аналог 18Х2Н4МА. Применяется для изготовления ответственных деталей, к которым предъявляются требования высокой прочности, вязкости и износостойкости, а также для деталей, подвергающихся высоким вибрационным и динамическим нагрузкам после проведения цементации и улучшения; для изготовления деталей трубопроводов с закалкой в масло и отпуском в масло или на воздухе. Сталь может применяться при температурах от -70 °С до +450 °С.

Характеристики механических свойств конструкционных материалов для изготовления деталей машин (характеристики упругости, прочности, пластичности и др.) определяют путем испытаний стандартных образцов в стандартных условиях. В реальных конструкциях эти свойства не всегда проявляются в полной мере. Особенно заметно это несоответствие между характеристиками прочности, полученными при испытании лабораторных образцов, и конструкционной прочностью как максимальным сопротивлением материала, реализуемым в деталях машин.

Принципиальная разница вышеуказанных материалов в их цене. Стоимость стали 18Х2Н4МА составляет 640 руб./кг, а стоимость стали 15Х2ГН2ТРА 385 руб./кг.

Расчет безотказной работы будем вести по трем критериям, а именно расчет прочности детали, расчет неразрушения подшипников и расчет неразрушения вала.

.1 Неразрушение подшипников качения

Подшипники являются крайне важным элементом в промышленности, это устройство, которое применяется во всех механизмах, обеспечивающий движение - линейное перемещение, вращение, качание отдельных компонентов конструкции по отношению друг к другу, основной задачей которых является уменьшение трения а, следовательно, и износа.

Стоит отметить, что длительность эксплуатации устройств, их исправность, бесперебойность осуществляемых агрегатами работ прямо зависит, насколько качественные подшипники выбраны при проектировании. При этом не стоит упускать возможность спрогнозировать надежность подшипников, путем расчета на неразрушение подшипников.

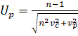
Расчет неразрушения подшипников произведем по следующей формуле [9], с. 164.:

,

где  - коэффициент запаса по средним нагрузкам;  - коэффициенты вариации динамической грузоподъемности и динамической эквивалентной нагрузки; -для роликоподшипников,  - среднее значение динамической грузоподъемности, выбирают по справочнику-каталогу; P - среднее значение динамической эквивалентной нагрузки; L - заданный ресурс; S=3 - для шарикоподшипников; S=3,3 - для роликоподшипников;  - для роликоподшипников; - для шарикоподшипников.

Сделаем расчет для роликоподшипников.

.

Заданный ресурс L=9,2 млн.об.

Среднее значение динамической нагрузки P=80548,6 Н.

Коэффициент запаса по средним нагрузкам:

;

 

По таблицам нормального распределения в зависимости от значения квантиля находим, что вероятность безотказной работы рассчитываемого подшипника

P(t)=0,9861+0,0032=0,9893.

Сделаем расчет для шарикоподшипников.

;

;

 

По таблицам нормального распределения в зависимости от значения квантиля находим, что вероятность безотказной работы рассчитываемого подшипника

P(t)=0,9861+0,0032=0,9892.

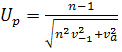
4.2 Неразрушение вала

Практика показывает, что отказ валов явление довольно редкое. Тем не менее расчет вала на прочность является целесообразным, для общего анализа узла.

Расчет будем производить по следующей формуле [9], с. 164.:

,

где  - коэффициент запаса прочности;  - среднее значение предела выносливости материала вала;  - среднее значение действующей на вал нагрузки;  и  - коэффициенты вариации предела выносливости материала вала и действующей на вал нагрузки.

Для стали 18Х2Н4МА

 ;

(выбираем из предела 0,04…0,10);

;

.

По таблицам нормального распределения в зависимости от значения квантиля находим, что вероятность безотказной работы вала

P(t)= 0,7794+0,0029=0,7823.

Для стали 15Х2ГН2ТРА

 ;

(выбираем из предела 0,04…0,10);

;

.

По таблицам нормального распределения в зависимости от значения квантиля находим, что вероятность безотказной работы вала

P(t)=0,8486+0,0023=0,8508.

Из расчетов видим, что вероятность безотказной работы вала из стали 15Х2ГН2ТРА выше, чем вала из стали 18Х2Н4МА.

4.3 Прочность детали

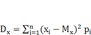
Прочность детали - свойство материала сопротивляться разрушению под действием внутренних напряжений, возникающих под воздействием внешних сил. Свойство конструкции выполнять назначение, не разрушаясь в течение заданного времени.

Прочность подразделяют на статическую, под действием постоянных нагрузок, динамическую и усталостную (выносливость), имеющую место при действии циклических переменных нагрузок.

Для конструкций различают общую прочность - способность всей конструкции выдерживать нагрузки без разрушения, и местную - та же способность отдельных узлов, деталей, соединений.

Расчет на прочность детали (шестерни) произведем по формуле[9], с. 162.:

=,

где  - коэффициент запаса прочности в зависимости от средних значений предела текучести  и напряжения  , выбираем по справочным данным; - коэффициент вариации предела текучести;  - коэффициент вариации предела давления по [1].

Для стали 18Х2Н4МА

=0,18; =.

По таблице значений нормальной функции распределения находим вероятность безотказной работы:

.

Для стали 15Х2ГН2ТРА

; =.

По таблице значений нормальной функции распределения находим вероятность безотказной работы:

P(t)=0,7054+0,0034=0,7088.

В результате получаем, что вероятность безотказной работы детали шестерня, выполненной из двух разных материалов практически одинакова.

сталь деталь подшипник вал

5. Экономический эффект замены исходного материала на сталь 15Х2ГН2ТРА

Величина годовой программы позволяет рассчитать затраты на материалы за вычетом стоимости отходов по [4]:

,

где Цм, Цо - цена кг. материала и отходов,

Мз ,Мо, Мд - масса заготовки , отходов, детали (кг).

Цена отходов обычно составляет (0,1-0,2) Цм. Если учесть коэффициент использования материалов (КИМ) и ЦО = 0,1 Цм, тогда затраты на материал для годовой программы:

.

Для стали 18Х2Н4МА

П = 500 дет/год, Цм = 640 р./кг, Цо = 65 р./кг, Мд = 3,3 кг

Для стали 15Х2ГН2ТРА

П = 500 дет/год, Цм = 385 р./кг, Цо = 38,5 р./кг, Мд = 3,3 кг

Годовой экономический эффект

Э=3625600-2181025=1444575 рублей.

Заключение

Таким образом, в результате проделанного анализа мы выявили, что работоспособность исследуемого узла весьма высокая. Так же провели расчет по двум аналоговым материалам, что дает нам право утверждать, что основные параметры изменились не значительно, а где-то изменились в положительную сторону. Рассчитали экономический эффект от применения предложенной стали. По своим свойствам сталь 15Х2ГН2ТРА является аналогом стали 18Х2Н4МА, поэтому целесообразно выполнять изготовление детали «вал-шестерня» из стали 15Х2ГН2ТРА. Наглядно этапы расчета представлены на плакате ДП160700.ДТС11.08.ПЛ4.

Список использованных источников

1.   Взаимосвязь долговечности с механическими свойствами, химическим составом и коэффициентом интенсивности напряжений. Б. Поляков, 2005 г.

2.   Григорьев В.А., Кузнецов С.П., Гишваров А.С., Белоусов А.Н., Бочкарев С.К., Испытания авиационных двигателей. Учебник для вузов. М.: Машиностроение, 2009. 504 с.

3.   Дунаев П.Ф., Леликов О.П., Конструирование узлов и деталей машин: Учеб. Пособие для машиностроительных спец. вузов. - 4-е изд., перераб. и доп., М.: Высш. шк., 1985 -416 е., ил.

4.      Жогин А.С., Никифоров А.В., Соколова Е.Ю. Технико-экономические расчеты в дипломных проектах технологического направления: Пособие.- Рыбинск: РГАТА, 2004.- 40с.

5.   Марчуков Е.Ю., Онищик И.И., Рутовский В.Б., Испытания и обеспечение надежности авиационных двигателей и энергетических установок. Учебник для вузов - Москва: МАИ, 2004.- 336 с.

6.   Надежность машин: Учебное пособие для машиностроительных специальностей вузов/ Д.Н. Решетов; А.С. Ивашков; В.З. Фадеев; под ред. Д.Н. Решетова. - М.: Высшая школа, 1988. - 238 е., ил.

7.   Подшипники: Справочник-каталог / Под. ред. В.Н. Нарышкина и Р.В. Коросташевского. - М.: Машиностроение, 1984, - 280 е., ил.

8.   Технические основы создания машин. Структурный анализ надежности передаточного механизма. Методические указания для студентов дневной и заочной форм обучения специальности 170900 - "Подъёмно-транспортные, строительные, дорожные машины и оборудование", - Брянск, БГТУ, 2004, 7

9.      Труханов В.М., Надежность и испытания систем вооружения. Учебник для студентов вузов. ML: Машиностроение, 2009. S20 с: ил.

Похожие работы на - Повышение эксплуатационной технологичности зубчатых колес газотурбинных двигателей организационными и технологическими методами

 

Не нашли материал для своей работы?
Поможем написать уникальную работу
Без плагиата!
Без нейросетей!