|
Название показателей
|
Данные по годам
|
|
2008
|
2009
|
2010
|
2011
|
|
1.
Среднесписочный состав работников, Р:
|
|
АПК Тульская
область
|
53162
|
52260
|
49588
|
50392
|
|
ЗАО «Газон»
Алексинский район
|
15
|
12
|
14
|
14
|
|
2. Общее
количество несчастных случаев, Т:
|
|
АПК Тульская
область
|
654
|
690
|
630
|
611
|
|
ЗАО «Газон»
Алексинский район
|
2
|
1
|
3
|
1
|
|
3. Число
несчастных случаев со смертельным исходом, Т1:
|
|
АПК Тульская
область
|
15
|
17
|
12
|
10
|
|
ЗАО «Газон»
Алексинский район
|
-
|
-
|
-
|
-
|
|
4. Общее число
дней нетрудоспособности, Д:
|
|
АПК Тульская
область
|
15340
|
16123
|
16008
|
16092
|
|
ЗАО «Газон»
Алексинский район
|
7
|
5
|
8
|
Основными задачами анализа травматизма являются:
выявление причин и повторяемости несчастных случаев;
установление наиболее опасных видов работ;
определение факторов, влияющих на несчастные случаи и др.
При анализе причин производственного травматизма могут
использоваться различные методы, основанные на материалах статистики
(собственно статистический, групповой, топографический, экономический и др.), и
методы, основанные на результатах техническою обследования (лабораторный или
технический, монографический и др.).
Статистический метод основан на изучении причин травматизма
по актам формы Н-1 за определенный период времени. Этот метод позволяет
определить динамику травматизма, выявить закономерности и связи между
обстоятельствами и причинами возникновения несчастных случаев.
Для оценки уровня травматизма используются относительные
статистические показатели (коэффициенты):
коэффициент частоты несчастных случаев - коэффициент (Кч),
выражающий количество несчастных случаев на производстве, приходящихся
на 1000 работников:
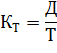
коэффициент тяжести травматизма - коэффициент (Кт),
выражающий число дней нетрудоспособности, приходящихся на 1 травму:
коэффициент смертности - для описания случаев
со смертельным исходом используют коэффициент смертности (Кс) на
производстве, нормированный на 1000 работающих:
коэффициент потерь - (КП)
представляет собой произведение коэффициентов частоты и тяжести травматизма и
отражает общее количество дней нетрудоспособности, приходящихся на 1000
человек:
Производим расчет вышеуказанных коэффициентов по каждому
году:
год:
для АПК Тульской области:
для ЗАО «Газон»:
год:
для АПК Тульской области:
для ЗАО «Газон»:
год:
для АПК Тульской области:
для ЗАО «Газон»:
год:
для АПК Тульской области:
для ЗАО «Газон»:
Полученные данные отображаем в виде диаграмм:
Рис. 3. Сравнительная характеристика АПК Тульской области и ЗАО
«Газон» по коэффициенту частоты травматизма
Рис. 4. Сравнительная характеристика АПК Тульской области и ЗАО
«Газон» по коэффициенту тяжести травматизма
Рис. 5. Сравнительная характеристика АПК Тульской области и ЗАО
«Газон» по коэффициенту смертности
Рис. 6. Сравнительная характеристика АПК Тульской области и ЗАО
«Газон» по коэффициенту потерь
4.2
Причины возникновения производственного травматизма
Одним из важнейших условий борьбы с производственным
травматизмом является систематический анализ причин его возникновения, которые
делятся на технические и организационные.
Технические причины в большинстве случаев проявляются
как результат конструктивных недостатков оборудования, недостаточности
освещения, неисправности защитных средств, оградительных устройств и т.п.
К организационным причинам относятся несоблюдение
правил техники безопасности из-за неподготовленности работников, низкая
трудовая и производственная дисциплина, неправильная организация работы,
отсутствие надлежащего контроля за производственным процессом и др.
Результаты анализа травматизма зависят в значительной мере от
достоверности и тщательности оформления актов о несчастных случаях на
производстве. Очень внимательно следует заполнять п. 15 указанного акта, в
котором четко и ясно сформулировать техническую (отсутствие предохранительных
устройств, неисправность оборудования) или организационную (необученность
пострадавшего, неправильный прием работы) причину несчастного случая.
На основании актов формы Н-1 администрация организации
составляет отчет о пострадавших при несчастных случаях, связанных с
производством, по форме 7-Н. В этот отчет включают только те несчастные случаи,
которые вызвали утрату трудоспособности продолжительностью свыше трех рабочих
дней (в том числе случаи со смертельным исходом и при переводе на другую работу
с основной профессии по заключению лечащего врача).
4.3
Предупреждение травматизма
Для предупреждения производственного травматизма необходимо
по максимуму исключить технические и организационные причины его возникновения.
Также к эффективным мероприятиям по предупреждению
травматизма относятся квалифицированное проведение вводного, на рабочем месте,
периодического (повторный), внепланового и текущего инструктажей работников по
технике безопасности.
Вводный инструктаж должны проходить
работники, впервые поступившие на предприятие, и учащиеся, направленные для
производственной практики. Вводный инструктаж знакомит с правилами по технике
безопасности, внутреннего распорядка предприятия, основными причинами
несчастных случаев и порядком оказания первой медицинской помощи при несчастном
случае.
Инструктаж на рабочем месте (первичный) должны пройти работники,
вновь поступившие на предприятие или переведенные на другое место работы, и
учащиеся, проходящие производственную практику. Этот инструктаж знакомит с
правилами техники безопасности непосредственно на рабочем месте, а также с
индивидуальными защитными средствами.
Периодический (повторный) инструктаж проводится с целью
проверки знаний и умений работников применять навыки, полученные ими при
вводном инструктаже и на рабочем месте. Независимо от квалификации и от стажа
работы этот вид инструктажа должны походить работники производственных
предприятий не реже одного раза в три месяца.
Внеплановый инструктаж проводится на рабочем
месте при замене оборудования, изменении технологического процесса или после
несчастных случаев из-за недостаточности предыдущего инструктажа.
Текущий инструктаж проводится после
выявления нарушений правил и инструкций по технике безопасности или при
выполнении работ по допуску-наряду.
Инструктаж на рабочих местах в производственных
предприятиях проводят мастера участков.
На каждом предприятии должна быть книга для записи
инструктажа по технике безопасности.
4.4
Расчет искусственного освещения
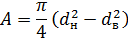
Для того чтобы рассчитать необходимое количество светильников
на посту по ТО и ТР необходимо рассчитать:
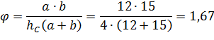
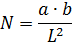
Площадь пола поста в рабочей зоне:

, м2
где a = 12 м - ширина;
b = 15 м - длина.
Высота подвеса светильников hC = 4 м.
Показатель формы помещения поста в рабочей зоне:
Количество светильников на посту в рабочей зоне:
где L = 3 м - расстояние между светильниками.
Световой поток, который должна излучать световая лампа
рассчитывается по формуле:
где E = 200 лк - наименьшая освещенность;
K = 1,8 - коэффициент запаса освещенности;
S = 180 м2 - площадь помещения рабочей зоны;
Z = 0,845 - коэффициент неровности освещенности;
η = 0,51 - коэффициент использования светового
потока.
Выбираем стандартные лампы мощностью 200 Вт.
Рис. 7. Схема подвеса светильников в рабочей зоне поста по ТО
и ремонту тракторов и минитехники
4.5
Расчет средств пожаротушения на посту по ТО и ремонту тракторов и минитехники
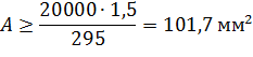
Количество средств пожаротушения рассчитывается по формуле:
где S = 288 м2 - общая площадь здания;
Sm = 100 м2 - нормируемая площадь на
один огнетушитель.
Принимаем К = 3 шт.
В качестве средства пожаротушения используем порошковые
огнетушители ОП-3.
На посту по ТО и ТР тракторов и минитехники располагаем
пожарный щит у въездных ворот.
Рис. 8. Щит пожарный
Щит пожарный предназначен для хранения пожарного инвентаря и
оборудования.
В комплект пожарного щита входят: лом, багор, лопата и два
конусных ведра.
· Изготавливается из
тонколистовой стали.
· Габаритные размеры: 1400
х 1250 х 25 мм.
Масса не более: 20 кг.
В хозяйстве имеется система водопровода, трубопровод в
которой проложен в специальных каналах. Через каждые 100-150 метров расположены
краны для забора воды. При возникновении пожара к крану присоединяется пожарный
рукав.
4.6 Техника безопасности при проведении ТО и
ремонта
Общие требования безопасности.
Трактор направляемый на пост ТО и ТР должен быть вымыт и
очищен от грязи, снега.
Рабочее место должно содержаться в чистоте и не быть
загроможденным.
Для работы следует применять исправный инструмент и только по
его назначению.
Переходить через канавы и конвейеры следует только по
переходным мостикам.
Ремонт и обслуживание тракторов должен производиться только в
специально отведенных для этого местах (постах), оснащенных необходимыми
устройствами, приборами и приспособлениями, инвентарем.
Постановка тракторов на посты технического обслуживания и
ремонта осуществляется под руководством ответственного лица (инженера-механика,
начальника участка).
Запрещается вьезжать в помещение стоянки, технического
обслуживания и ремонта на тракторе высота которого превышает указанную над
въездными воротами.
Требования безопасности перед началом работы.
После постановки трактора на пост технического обслуживания
или ремонта необходимо обязательно затормозить его стояночным тормозом,
выключить зажигание, установить рычаг переключения передач (контролера) в
нейтральное положение.
Под колеса подложить специальные упоры (башмаки) не менее
двух.
На рулевое колесо должно быть повешена табличка с надписью «Двигатель
не запускать - работают люди!» На тракторах имеющих дублирующие устройства для
пуска двигателя, аналогичная табличка должна вывешиваться у этого устройства.
Запрещается находиться кому-либо в смотровой канаве при
заезде и выезде трактора.
Требования безопасности во время работы.
При ТО и ТР трактора не оставляйте инструмент на подножках,
капоте, крыльях трактора.
При работающем двигателе разрешается производить регулировку
тормозов, карбюратора и проверку рулевого управления.
При работе под трактором надо пользоваться лежаками.
Применяйте специальные съемники при разборочно-сборочных
работах.
При демонтаже шин применяйте специальные приспособления.
Накачивайте шины только в предохранительных устройствах. При накачивании шин на
линии колесо следует положить замочным кольцом на землю.
Перед подъемом домкратом переднего или заднего моста трактор
необходимо предвартельно поставить на горизонтальную площадку и под
неподнимаемые колеса поставить упоры (башмаки).
Не следует работать под трактором вывешенным только на
домкрате. Необходимо поставить специальные козелки.
При пользовании подъемно-транспортными устройствами не
превышайте их максимальную грузоподъемность.
При работе на заточном станке пользуйтесь защитным экраном и
очками.
Помните, что этилированный бензин ядовит, не засасывайте его
ртом. Запрещается мыть или протирать двигатель ветошью, смоченной бензином.
Пускайте двигатель стартером или пусковой рукояткой при
нейтральном положении рычага коробки передач. Рукоятку при пуске нельзя брать в
обхват.
Подогрев двигателя, коробки передач, картера заднего моста
открытым пламенем запрещается.
Открывайте пробку радиатора работающего двигателя осторожно,
оберегая лицо и руки от ожогов.
При вывешивании трактора с помощью домкрата не допускайте
перекоса (домкрат должен стоять вертикально и опираться на грунт всей подошвой,
а головка домкрата должна надежно упираться в фиксированное место переднего или
заднего моста всей поверхностью. При мягком грунте под домкрат положите доску
(под колеса положите опоры).
Требования безопасности в аварийных ситуациях.
При возникновении аварийной ситуации все работы должны быть
немедленно остановлены.
Отключить все потребители электрической энергии. Вызвать
мастера, доложить обстановку. Если данная ситуация угрожает рядом работающим,
то их немедленно нужно предупредить.
При несчастном случае рабочий, обнаруживший это, обязан
немедленно сообщить администрации предприятия и принять меры для оказания
помощи пострадавшим.
В случае получения травмы необходимо обратиться в медпункт и сообщить
о несчастном случае администрации.
Требования безопасности по окончании работы.
По окончании работы привести в порядок рабочее место.
Собрать инструмент и защитные средства.
Сдать работу инженеру-механику.
Обо всех обнаруженных нарушениях техники безопасности
сообщить руководству.
5.
Экологическая часть
5.1
Правовые меры охраны окружающей среды в сельском хозяйстве
В сельском хозяйстве применяется весь комплекс
эколого-правовых мер, предусмотренных законодательством, как экологическим,
включая природоресурсное, так и уголовным, административным и др. В систему
важнейших для аграрной сферы мер, в частности, входят экологическое и
гигиеническое нормирование, оценка воздействия на окружающую среду и
экологическая экспертиза, планирование, мониторинг земель, контроль,
ответственность и др.
Экологическое и гигиеническое нормирование - важнейшая
правовая мера, направленная на предупреждение экологического и экогенного
вреда. Применительно к сельскому хозяйству эта мера проявляется преимущественно
в нормировании качества земель сельскохозяйственного назначения и предельно
допустимых воздействий на землю, воды, атмосферный воздух. Речь идет о
химическом воздействии на землю, связанном с применением минеральных удобрений
и ядохимикатов, хотя сельскохозяйственные земли загрязняются и иным образом,
например, когда осадки вымывают загрязняющие вещества из атмосферы и они
попадают в почву; используются загрязненные воды для ирригации, полива
сельскохозяйственных растений и т.п.
Нормативы качества земель - составная часть нормативов
качества окружающей среды. Такие нормативы в механизме экологического права
выполняют ряд функций: а) устанавливают предельные величины вредных химических
и иных воздействий на природную среду; б) служат для оценки состояния почв по химическим
характеристикам. Это означает, что если в почве содержание химического вещества
не превышает норматив предельно допустимой его концентрации, то состояние почвы
является экологически безопасным, т.е. не представляет опасности для здоровья
человека и других живых организмов. Экологически безопасное состояние почв
является предпосылкой для выращивания экологически безопасной
сельскохозяйственной продукции.
Требования по нормированию качества земель
сельскохозяйственного назначения установлены рядом законов и подзаконных актов.
Общие требования содержатся в Федеральном законе «Об охране окружающей среды» и
Земельном кодексе РФ.
В соответствии с Федеральным законом «Об охране окружающей
среды» нормативы качества окружающей среды устанавливаются для оценки ее
состояния в целях сохранения естественных экологических систем, генетического
фонда растений, животных и других организмов.
5.2
Экологическая безопасность проведения ТО тракторов
Речь пойдет не об обеспечении экологической безопасности
машин путем проведения технического обслуживания (это другая проблема), а об
экологической безопасности выполнения самого обслуживания. Данная проблема
обусловлена тем, что ежесменные (ЕТО) и периодические первое (ТО-1) и второе
(ТО-2) технические обслуживания (ТО) тракторов согласно ГОСТ 20793-86
допускается проводить в полевых условиях. С точки зрения экологии это
недопустимо. Поэтому проанализируем, насколько экологически безопасно
выполнение ТО в поле, в условиях живой природы.
Итак, при названных ТО в обязательном порядке проверяют
уровень масла в двигателе, смазки в корпусах других составных частей, сливают
отстой из топливных баков и фильтров. Исследованиями, проведенными в полевых
условиях эксплуатации тракторов, по этим технологическим операциям установлено
следующее.
В процессе контроля масло, вытекая из вскрытых отверстий и
стекая со щупов, загрязняет машину и исполнителя, что снижает культуру
производства работ.
При доливке обеспечивают достаточный уровень технических
жидкостей, сигналом которого служит также вытекающая из вскрытых отверстий
жидкость. Нетрудно представить, что это масло попадает и в почву.
Слив отстоя сопровождается такими нежелательными явлениями,
как попадание топлива на руки и одежду механизатора, части машины и нарушением
герметичности топливной системы, для восстановления работоспособности которой
после слива требуется прокачка топлива. При этом топливо, безусловно, также
попадает в почву.
Если при сливе из фильтров топливо можно хотя бы частично
направить и таким образом собрать в специальную емкость, то при прокачке после
обслуживания это не представляется возможным даже технически.
Теперь проанализируем наиболее сложный вид обслуживания -
ТО-2. Основная операция ТО-2 - замена масла в двигателе с очисткой и промывкой
центробежного маслоочистителя в дизельном топливе. Ее выполнение практически не
исключает возможность попадания масла в почву, например, в процессе
отвинчивания сливной пробки картера дизеля. Течь масла также возможна и при
осуществлении собственно заправочной операции из-за нарушения технических
требований к ее выполнению или негерметичности соединений. В случае отказа
заправочного устройства имеют место утечки масла в поле в объеме до 100 л и
более. Разумеется, что с точки зрения экологической безопасности современные
технологии и средства ТО машин должны полностью исключать попадание
нефтепродуктов в почву. Однако осуществить это технически почти невозможно,
во-первых, вследствие недостаточной надежности устройств (их отказы неизбежны
по объективным причинам); во-вторых, по причине неприспособленности машин к
проведению ТО в полевых условиях и, в-третьих, из-за ошибок, а нередко и из-за
низкой технической культуры оператора.
Безусловно, наилучшим решением данной проблемы является
применение такой технологии, которая бы исключала возможность проведения
сложных ТО (ТО-2 с заменой масла в двигателе) в полевых условиях. Нужно
сократить до минимума объем работ по ТО и ремонту в поле.
5.3
Система оборотного водоснабжения мойки тракторов
При приемке трактора в ТО или ТР первоначально его необходимо
вымыть, при этом сточная вода может содержать большое количество различных
примесей (грязь, нефтепродукты, и т.п.), которые будут загрязнять почву и
грунтовые воды. Поэтому для мойки тракторов на посту предлагаю использовать
систему оборотного водоснабжения мойки тракторов.
Система оборотного водоснабжения (СОВ) мойки тракторов имеет
в своем составе 1 машину высокого давления и может обрабатывать до 5 тракторов
в час.
Внешний вид установки для мойки тракторов показан на рисунке
9.
Рис. 9. Модульная установка СОВ мойки тракторов
Режим работы мойки: 10 часов в день; 24 рабочих дня в месяц;
12 месяцев в год.
Мойка тракторов эксплуатируется при следующих
природно-климатическим условиях:
· - температура воздуха от
+10°С до + 25°С;
· - относительная влажность
до 90%.
Учитывая характер загрязнений, а также периодичность работы и
значительные колебания расхода сточных вод не только по часам суток, но и по
сезонам года, для СОВ-1 принят вариант четырехступенчатой физико-химической
очистки:
пескоулавливание - задержание крупных
песковых частиц в поддоне и емкости приема сточной воды;
предочистка - аккумулирование и отстой в отстойнике;
очистка - реагентная обработка и отстой в
комбинированном отстойнике;
доочистка - фильтрование через двухслойную загрузку (кварц
молочно-белый и гидроантрацит).
Сточная вода после мойки трактора собирается в поддоне,
расположенном непосредственно под трактором. Затем сточная вода попадает в
емкость приема сточной воды и аккумулирующую емкость, предназначенную для
преграждения поступления всплывших нефтепродуктов и осевших осадков в заборное
устройство насоса, подающего сточную воду в отстойник и промежуточную емкость.
Промежуточная емкость предназначена для преграждения поступления всплывших
нефтепродуктов и осевших осадков в заборное устройство насоса, подающего
отстоявшуюся воду на очистку.
Осветленная сточная вода подаётся на вход смесителя
комбинированного отстойника, куда также поступает раствор коагулянта.
В камере хлопьеобразования при воздействии на сточную воду
раствора коагулянта протекают сложные химические реакции, в результате которых
происходит разрушение устойчивых нефтяных эмульсий и начинают формироваться
сорбирующие микрохлопья с развитой поверхностью. На них осаждаются загрязняющие
вещества из стоков (процесс коагуляции), и микрохлопья вместе со сточной водой
самотеком поступают в камеру стабилизации. Туда же поступает раствор
флокулянта.
В камере стабилизации микрохлопья постепенно укрупняются и
упрочняются, и вода, содержащая сфлокулированные микрохлопья, самотеком
поступает в отстойник динамический. Здесь начинается интенсивный процесс
сорбции загрязнений на стабилизированных микрохлопьях, которые или в виде
выпавшего осадка собираются в нижней части отстойника динамического, или
всплывают на поверхность воды того же отстойника.
Осветленная вода поступает в фильтр, где осуществляется
двуслойная фильтрация. В первом слое производится перевод примесей металлов в
воде из растворенной и коллоидной фазы в грубодисперсную (за счет протекания
окислительно-восстановительных реакций). Затем грубодисперсная фаза
(гидрокомплексы) улавливается на втором слое механического фильтра.
Одновременно удаляются субмикронные частицы нефтепродуктов и механические
примеси.
Отфильтрованная вода самотеком поступает в емкость чистой
воды.
6.
Разработка бизнес-плана оказания услуг по техническому обслуживанию и ремонту
тракторов и минитехники в ЗАО «Газон»
.1
Сущность планирования
Планирование - это деятельность, заключающаяся в разработке и
практическом осуществлении планов, определяющих будущее состояние экономической
системы, путей, способов и средств его достижения.
Планирование деятельности предприятия позволяет:
осуществить четкую координацию предпринимаемых усилий по
достижению поставленных целей;
побудить руководителей конкретнее определить свои цели и пути
их достижения;
определить показатели деятельности фирмы, необходимые для
последующего контроля;
подготовить предприятие к внезапным изменениям рыночной
конъюнктуры.
Основным инструментом планирования фирмы является бизнес-план
финансово-хозяйственной деятельности.
6.2
Понятие и задачи бизнес-плана
Бизнес-план - это план осуществления бизнес-операции,
действий фирмы, содержащий сведения о фирме, товаре, его производстве, рынках
сбыта, маркетинге, организации операций и их эффективности.
Цель разработки бизнес-плана - спланировать хозяйственную
деятельность фирмы на ближайший и отдаленный периоды в соответствии с
потребностями рынка и возможностями получения необходимых ресурсов.
Задачами бизнес-плана является:
сформулировать долговременные и кратковременные цели фирмы,
стратегию и тактику их достижения;
определить конкретные направления деятельности фирмы, целевые
рынки и место фирмы на этих рынках;
выбрать ассортимент и определить показатели товаров и услуг,
которые будут предложены фирмой потребителям;
оценить производственные и непроизводственные издержки;
определить состав маркетинговых мероприятий по изучению
рынка, стимулированию продаж, ценообразованию и т.п.;
оценить финансовое положение фирмы и соответствие имеющихся
финансовых и материальных ресурсов возможностям достижения поставленных целей и
т.д.
Бизнес-план может быть нацелен как на развитие предприятия,
так и на его финансовое оздоровление. Также может планироваться деятельность
всего предприятия или его отдельного подразделения.
6.3
Описание бизнеса
Главной целью предлагаемого проекта организации является
получение прибыли за счет оказания услуг по техническому обслуживанию и ремонту
тракторов и минитехники.
Реализация бизнес-плана позволит решить следующие задачи:
удовлетворить потребности рынка в данном виде услуг;
обеспечить загруженность производственных мощностей.
Пост по техническому обслуживанию и ремонту тракторов и
минитехники в ЗАО «Газон» предназначен для обслуживания собственной техники
хозяйства, а также пост может оказывать услуги по техническому обслуживанию и
ремонту тракторов другим организациям и предприятиям.
Анализ рынка сбыта показал, что с учетом факторов риска
валовая выручка поста составит 3950150 руб., что позволит в первый год
хозяйственной деятельности предприятия покрыть суммарные прямые, накладные
расходы. Финансовые расчеты проекта произведены с 1.01.2012 года.
Проектирование финансового плана осуществлялось методом моделирования товарных
потоков, ресурсов, денежных средств с учетом инфляции, необходимых объемов
запасов.
6.4
Предлагаемые услуги
Постом по техническому обслуживанию и ремонту тракторов и
минитехники в ЗАО «Газон» предлагаются следующие услуги:
Техническое обслуживание тракторов и сельскохозяйственной
техники:
регламентные работы;
уборочно-моечные работы;
контрольно-диагностические работы;
смазочно-заправочные работы;
регулировка углов установки управляемых колес;
регулировка топливной аппаратуры;
регулировка сцепления;
регулировка тормозной системы;
регулировка рулевого управления;
регулировка системы зажигания.
Ремонт тракторов и сельскохозяйственных машин:
замена агрегатов, узлов и деталей;
ремонт подвески и рулевого управления;
ремонт тормозной системы;
шиномонтажные работы;
ремонт сцепления;
ремонт топливной аппаратуры.
6.5 Исследование и анализ рынка
В последнее время в Тульской области неуклонно растет число
сельскохозяйственной техники (в том числе и малогабаритной) как отечественного,
так и импортного производства. Следовательно, растет спрос на их обслуживание.
Основными конкурентами являются предприятия, имеющие свои
ремонтные базы:
СПК «Авангард», адрес: Тульская область, Алексинский район,
п. Авангард;
ООО СП «Зеленая Горка», адрес: Тульская область, Алексинский
район, с. Пластово;
СПК им. Муралова, адрес: Тульская область, Алексинский район,
п. Бунырево.
Несмотря на то, что эти фирмы успели занять на рынке
определенные позиции и приобрести постоянных клиентов, однако, ввиду высоких
цен на услуги и устаревшей ремонтной базы не следует ожидать какой-либо
серьезной конкурентной борьбы.
Товарная политика поста по ТО и ремонту в ЗАО «Газон» имеет
широкий ассортимент предлагаемых услуг и гибкое приспособление к рыночным
условиям.
Ценовая стратегия основывается на:
использовании механизма гибких цен;
высоком качестве выполняемых работ и оказываемых услуг при
невысоких ценах;
разработке системы льгот и скидок.
Сервисная политика ориентирована на постоянное изучение,
анализ и учет требований клиентов с целью улучшения качества обслуживания.
6.6 Персонал
Обслуживающий персонал поста по техническому обслуживанию и
ремонту тракторов и минитехники в ЗАО «Газон» состоит из 2 штатных сотрудников
- специалистов по обслуживанию и ремонту, а при большом объеме работ возможно
привлечение дополнительной рабочей силы в виде механизаторов, не занятых на
полевых работах.
Заработная плата работников поста составляет 20000 рублей.
6.7
Расчет затрат на оплату труда
Оплата труда производится в соответствии с трудовым
договором.
Затраты на оплату труда включают в себя основную и
дополнительную зарплату основных производственных рабочих и отчисления по фонду
оплаты труда.
Налоговые ставки устанавливаются исходя из таблицы 11.
Таблица 11. Ставки налога
|
Налоговая база
на каждого работника нарастающим итогом с начало года
|
Пенсионный фонд
РФ
|
Фонд
социального страхования РФ
|
Федеральный
фонд обязательного медицинского страхования
|
Итого
|
|
До 512000 руб.
|
22%
|
2,9%
|
5,1%
|
30%
|
Дополнительная зарплата основных производственных рабочих
поста принимается равной 14% от основной зарплаты.
20000×12 = 240000
руб.
240000×0,14 =
33600 руб.
С суммы 273600 руб. идут отчисления в ПФ, ФОМС, ФФОМС.
Таким образом, годовой фонд оплаты труда на посту по ТО и
ремонту в ЗАО «Газон» с учетом обязательных отчислений приведен в таблице 12.
Таблица 12. Расчет годового фонда оплаты труда рабочих поста
|
Статьи расходов
|
Налоговые
ставки, %
|
Сумма, руб.
|
|
Основная
зарплата
|
|
240000
|
|
Дополнительная
зарплата
|
|
33600
|
|
Отчисления В ПФ
|
22
|
60192
|
|
Отчисления в
фонд социального страхования РФ
|
2,9
|
7934,4
|
|
Отчисления в
ФФОМС
|
5,1
|
13953,6
|
|
Итого
|
30
|
355680
|
6.8
План производства
При разработке компоновочного плана во внимание принимались
типовые проекты мастерских общего назначения. Они приняты за аналоги
проектируемого поста, так как по производственной программе являются
ближайшими.
Из типовых проектов следует, что все производственные,
вспомогательные подразделения и помещения целесообразно размещать в одном
производственном корпусе. Это сокращает расходы на строительство. Все элементы
здания в общем соответствует действующим нормам строительного проектирования в
частности:
ширина пролётов 12 метров;
высота пролёта до низа несущих конструкций поста 6,0 метров;
общая длина пролёта кратно шагу колонн;
шаг колонн 6 метров;
и другие положения компоновочных планов.
Размер общей площади корпуса и величина выбранной сетки 24×12 метров. В пролётах корпуса размещаются производственный и
вспомогательные участки, складские, бытовые помещения.
Для развертывания производственной деятельности, согласно
смете, стоимость 1 м2 застраиваемой площади поста по ТО и ремонту
составляет 6000 рублей. Таким образов, капитальные вложения в строительство
здания составят:
6000×288 м2 = 1728000
руб.
Для оказания услуг по ТО и ремонту необходимы затраты на
приобретение оборудования.
Потребность в этих средствах указана в таблице 13.
Таблица 13. Необходимые средства для технической подготовки и
развития производства
|
Статья затрат
|
Кол-во
оборудования, ед.
|
Сумма затрат,
руб.
|
|
Установка для
смазки и заправки ОЗ-18026
|
1
|
56000
|
|
Комплект оборудования
мастера-наладчика ОРГ-16395
|
1
|
12000
|
|
Станок
настольно-сверлильный 2М112
|
2
|
15000
|
|
Станок
точильно-шлифовальный настольный 3Л631
|
2
|
18000
|
|
Установка для
промывки смазочной системы дизелей ОМ-16361
|
1
|
48000
|
|
Домкрат
гаражный П-304
|
1
|
4000
|
|
Шкаф для зарядки
аккумуляторов ШЗ.00.000
|
1
|
8000
|
|
Выпрямитель
селеновый ВСА-5К
|
1
|
7000
|
|
Стенд для
испытания масляных насосов и фильтров КИ-5278М
|
1
|
52000
|
|
Компрессор ГСВ
1-0,63
|
1
|
20000
|
|
Стенд для
проверки автотракторного электрооборудования КИ-968
|
1
|
60000
|
|
Кран подвесной
грузоподъемностью 1т
|
1
|
58000
|
|
Всего
|
|
391000
|
Итого общая стоимость основных средств составит:
Планируемые объемы оказания услуг на 2012 год:
Перспективы развития рынка данного вида услуг позволяют
прогнозировать увеличение объемов продаж и соответствующую загрузку
производственного оборудования.
Планируемые объемы оказания услуг на 2012 год приведены в
таблице 14.
Таблица 14. Планируемые объемы оказания услуг на 2012 год
|
Наименование
услуги
|
Цена услуг,
руб.
|
I квартал
|
II квартал
|
III квартал
|
IV квартал
|
|
Отечественные
|
Импортные
|
Кол-во
|
Сумма, тыс.
руб.
|
Кол-во
|
Сумма, тыс.
руб.
|
Кол-во
|
Сумма, тыс.
руб.
|
Кол-во
|
Сумма, тыс.
руб.
|
|
Регламентные
работы
|
3000
|
3600
|
10
|
33
|
20
|
66
|
14
|
46,2
|
10
|
33
|
|
Уборочно-моечные
работы
|
500
|
550
|
10
|
5,25
|
20
|
10,5
|
14
|
7,35
|
10
|
5,25
|
|
Контрольно-диагностические
работы
|
5000
|
5600
|
10
|
53
|
20
|
10,6
|
14
|
74,2
|
10
|
53
|
|
Смазочно-заправочные
работы
|
3200
|
3500
|
10
|
33,5
|
20
|
67
|
14
|
46,9
|
10
|
33,5
|
|
Регулировка
углов установки управляемых колес
|
2000
|
2200
|
8
|
16,8
|
16
|
33,6
|
10
|
21
|
8
|
16,8
|
|
Регулировка
топливной аппаратуры
|
1000
|
1200
|
8
|
8,8
|
16
|
17,6
|
10
|
11
|
8
|
8,8
|
|
Регулировка
сцепления
|
1200
|
1500
|
8
|
10,8
|
16
|
21,6
|
10
|
13,5
|
8
|
10,8
|
|
Регулировка
тормозной системы
|
1200
|
1500
|
8
|
10,8
|
16
|
21,6
|
10
|
13,5
|
8
|
10,8
|
|
Регулировка
рулевого управления
|
1000
|
1200
|
6
|
6,6
|
12
|
13,2
|
6
|
6,6
|
6
|
6,6
|
Таким образом, планируемая валовая выручка составит за год:
+ 1452100 + 1045950 + 726050 = 3950150 руб.
Валовой доход запланирован в размере 94% от валовой выручки и
составит:
3950150×0,94 =
3713141 руб.
Расчет расходов на содержание и эксплуатацию оборудования:
Сюда включаются расходы на амортизацию оборудования и его
ремонт.
Для расчета амортизации использован линейный способ
определения амортизации:
где ПС - первоначальная стоимость оборудования, равная 391000
руб.;
ЛС - ликвидационная стоимость оборудования, которую принимаем
равной 20000 руб.;
СС - срок службы оборудования, равный 10 годам.
Таким образом, амортизация составит 37100 руб. Сумма,
отчисляемая на ремонт оборудования, составляет 10% от первоначальной стоимости.
Таблица 15. Расчет расходов на содержание и эксплуатацию
оборудования
|
Статьи расходов
|
Сумма, руб.
|
|
Амортизация
оборудования
|
37100
|
|
Ремонт
оборудования
|
39100
|
|
Итого
|
76200
|
Помимо расходов на содержание и эксплуатацию оборудования к
издержкам можно отнести:
оплату электроэнергии, которая будет производиться в
соответствии с показаниями счетчика, и запланирована в объеме 6000 руб. в
месяц. За год сумма составит 72000 руб.;
оплату коммунальных платежей в объеме 3200 руб. в месяц. За
год - 38400 руб.;
оплату расходов на хозяйственные нужды в размере 1200 руб. в
месяц. За год - 14400 руб.
6.9
Финансовый план
Целью разработки настоящего финансового плана является
определение эффективности оказания услуг данного вида.
Источниками финансирования являются собственные средства
предприятия.
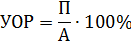
Ключевым индикатором, отражающим прирост всего вложенного
капитала, является уровень общей рентабельности:
где П - балансовая прибыль;
А - итог актива баланса.
Анализ доходности можно произвести, вычислив величину
покрытия и коэффициент покрытия товара (услуги).
Величина покрытия услуги составляет разницу между выручкой от
реализации и всей суммой переменных издержек:
ВП = 3950150 - 427680 = 3522470 руб.
Коэффициент покрытия услуги:
где ВП - величина покрытия;
ВВ - валовая выручка.
По полученному коэффициенту можно сделать вывод, что на
каждый вложенный рубль получаем до 89 копеек прибыли.
Таблица 16. Планируемый бюджет по прибыли поста по ТО и
ремонту тракторов и минитехники
|
№ п/п
|
Финансовый
результат (показатели)
|
Сумма, руб.
|
Сумма, руб.
|
|
1
|
Валовая выручка
|
|
3950150
|
|
2
|
Валовой доход
|
|
3713141
|
|
3
|
Величина
покрытия
|
|
3522470
|
|
4
|
Постоянные
издержки, в том числе:
|
|
|
|
- оплата
персонала
|
355680
|
|
|
- оплата
электроэнергии
|
72000
|
|
|
- коммунальные
платежи
|
38400
|
|
|
- затраты на
эксплуатацию и ремонт оборудования
|
76200
|
|
|
- прочие
расходы
|
14400
|
|
|
5
|
ИТОГО:
|
556680
|
|
|
6
|
Переменные
издержки
|
427680
|
|
|
7
|
Доход
|
|
3156461
|
|
- износ
основных фондов (здание)
|
172800
|
|
|
- амортизация
оборудования
|
37100
|
|
|
8
|
ИТОГО:
|
209900
|
|
|
9
|
Балансовая
прибыль
|
|
2946551
|
Таблица 17. Финансовый план
|
Показатель
|
I квартал
|
II квартал
|
III квартал
|
IV квартал
|
|
1. Поступления:
- уставный капитал - реализация
|
10000 726050
|
1452100
|
1045950
|
726050
|
|
2. Итого:
|
736050
|
1452100
|
1045950
|
726050
|
|
3. Платежи: -
на приобретение основных средств - зарплата с отчислениями от ФОТ - прочие
платежи
|
2119000 86184
4000
|
86184 4000
|
86184 4000
|
86184 4000
|
|
4. Итого:
|
2209184
|
90184
|
90184
|
90184
|
|
5. Разница
поступлений-платежей
|
-1473134
|
+1361916
|
+955766
|
+635866
|
|
6. Разница
нарастающим итогом
|
-1473134
|
-111218
|
+844548
|
+1480414
|
Таблица 18. Плановый баланс на конец первого года
|
Актив
|
Сумма, руб. на
конец отчетного периода
|
Пассив
|
Сумма, руб. на
конец отчетного периода
|
|
Основные
средства
|
2119000
|
Уставный
капитал
|
10000
|
|
Денежные
средства
|
1480414
|
Краткосрочная
кредиторская задолженность
|
717882,8
|
|
Итого
|
3599414
|
Итого
|
3599414
|
Уставный капитал составил 10000 руб.
ЗАО «Газон» берет кредит в сумме 3589414 руб. на три года под
20% годовых.
Рассчитаем бесприбыльный оборот, позволяющий определить такой
объем производства фирмы, при котором достигается покрытие всех затрат и
нулевая прибыль.
где БО - бесприбыльный оборот (соответствует точке
безубыточности);
ПОИ - постоянные издержки;
КПУ - коэффициент покрытия услуги.
При объеме реализации 625483,1 величина прибыли равняется
нулю.
Как видно из полученных расчетов, фактическая выручка фирмы
выше бесприбыльного оборота. Для того чтобы оценить, насколько фактическая
выручка от реализации услуг превышает выручку, обеспечивающую безубыточность,
рассчитаем запас прочности - процентное отклонение фактической выручки от
пороговой:
где ЗП - запас прочности;
ВВ - валовая выручка;
БО - бесприбыльный оборот.
Таким образом, значение запаса прочности 84% показывает, что
если в силу изменения рыночной ситуации выручка поста сократиться менее чем на
84%, то пост будет получать прибыль, если выручка поста сократиться более чем
на 84%, то окажется в убытке.
На основании вышеприведенных данных можно построить график
валовой выручки.
Рис. 10. График валовой выручки
Рассмотрим основные возможные риски:
. Риск отсутствия сбыта.
Его вероятность невелика, однако, чтобы ее уменьшить, следует
уже на стадии подготовки производства установить контакты с потенциальными
потребителями.
. Риск неплатежеспособности покупателей.
Вероятность этого риска оценить трудно. Одним из вариантов
является организация «обмена» наших услуг на продукцию клиентов, с последующей
реализацией этой продукции через розничных торговцев.
Заключение
В данной дипломной работе была проанализирована и обоснована
необходимость организации поста по техническому обслуживанию и ремонту
тракторов и минитехники в ЗАО «Газон». По проведенным расчетам трудоемкости и
количества ТО и ремонтов для тракторов и сельскохозяйственных машин, а также
количества необходимого производственного персонала, был спроектирован пост по
ТО и ремонту тракторов и минитехники в ЗАО «Газон», проведен выбор необходимого
оборудования.
В качестве конструкторской разработки спроектирована
конструкция приспособления для запрессовки подшипников, которое является
универсальным благодаря набору различных по размеру втулок.
В разделе безопасности жизнедеятельности и охраны труда
проведен анализ производственного травматизма в ЗАО «Газон», проанализированы
причины его возникновения и даны рекомендации по его предотвращению. Также
рассчитаны искусственное освещение поста и необходимое количество средств
пожаротушения.
В экологической части приведены требования по экологической
безопасности и рекомендации по проведению ТО и ремонта тракторов и минитехники.
Описана применяемая система оборотного водоснабжения мойки тракторов.
В экономической части разработан бизнес-план оказания услуг
по техническому обслуживанию и ремонту тракторов и минитехники в ЗАО «Газон».
Список литературы
1. Аллилуев
В.Д., Михлин В.М. Техническая эксплуатация МТП. - М.: Агропромиздат, 2001 - 367
с.
2. Аллилуев,
В.А., Ананьин, А.Д., Михлин В.М. Техническая эксплуатация машинно-тракторного
парка. М.: Агропромиздат, 2001.
3. Бабусенко
С.М. Проектирование с/х предприятий. - М.: Колос, 2007.
4. Баранов
И.А. ТО и ремонт машин. - Р.: Феникс, 2003.
. Басовский
Л.Е., Потапов А.А., Сергеев Н.Н., Тютин В.А. Дипломное проектирование:
Учеб.-метод. Пособие по специальности «Механизация сельского хозяйства». -
Тула: Изд-во Тул. гос. пед. ун-та им. Л.Н. Толстого, 2008 - 84 с.
. Безопасность
жизнедеятельности. Э.А. Арустанов, Н.В. Косолапова, Н.А. Прокопенко, Г.В.
Гуськов. - М.: Академия, 2005.
. Вельских
В.И. «Диагностирование и обслуживание сельскохозяйственной техники», 2-е изд.,
М.: «Колос», 2006. - 575 с.
. Горбачев
И.В., Молотков Л.Н. «Малогабаритная техника», М.: «Центр Планетаризм», 2001.
. Гуряков
М.В., Поляков Н.М. «Малогабаритная сельхозтехника», М.: Машиноведение, 2004.
10. Детали
машин и основы конструирования. Под ред. М.Н. Ерохина. - М.: Колосс, 2004. -
462 с.
11. Дипломное
проектирование: Учебно-методическое пособие по специальностям «Механизация
сельского хозяйства» и «Технология обслуживания и ремонта машин в
агропромышленном комплексе» под редакцией Ананьина А.Д. - М.: МГАУ, 2003 - 141
с.
. Зангиев
А.А. Методические рекомендации к курсовому проектированию по эксплуатации
машинно-тракторного парка.-М.:МГАУ, 2007. - 47 с.
. Иофинов
С.А., Лышко Г.П. Эксплуатация МТП. - 2-е изд., перераб. И доп. - М.: колос,
2004. - 351 с.
14. Кальянов
А.Ю. Выпускная квалификационная работа. Раздел «Предпринимательство».
Учебно-методическое пособие для студентов педагогических вузов по специальности
030600 «Технология и предпринимательство», Тула: Изд-во Тул. гос. пед. ун-та.
им. Л.Н. Толстого, 2005. - 52 с.
. Комплексная
система технического обслуживания и ремонта машин в сельском хозяйстве. - М.:
ГОСНИТИ, 2005. - 143 с.
. Курчаткин
В.В., Тараторкин В.М., Батищев А.Н. Техническое обслуживание и ремонт машин в
сельском хозяйстве: учебник для нач. проф. образования, М.: Издательский центр
«Академия», 2011. - 464 с.
. Ленский
А.В., Быстрицкая А.П. Техническое обслуживание МТП. - М.: Колос, 2005. - 272 с.
. Минаков
И.А. Экономика сельского хозяйства. - М.: Колосс, 2005.
19. Организация
сельскохозяйственного производства. Под ред. Ф.К. Шакирова. - М.: Колосс, 2004.
- 504 с.
20. Семенов
В.М., Власенко В.Н. «Трактор», М.: «Агропромиздат», 2008. - 352 с.
21. Ульман
И.Е. ТО и ремонт машин. - М.: Агропромиздат, 2009.
. Шкрабак
В.С., Луковников А.В., Туршев А.К. «Безопасность жизнедеятельности в
сельскохозяйственном производстве», М.: «Колос», 2003. - 512 с.
. Юдин
М.И., Кузнецов М.Н., Кузовлев А.Т. Технический сервис машин и основы
проектирования предприятий: учеб. для вузов, Краснодар: Совет. Кубань, 2007. -
968 с.
. http://stroj-mash.ru
25. http://www.bestpravo.ru
. http://www.businessdelo.ru
. http://www.devbusiness.ru