Требования, предъявляемые к криминологической информации

  • Вид работы:
    Контрольная работа
  • Предмет:
    Основы права
  • Язык:
    Русский
    ,
    Формат файла:
    MS Word
    22,39 Кб
  • Опубликовано:
    2015-05-31
Вы можете узнать стоимость помощи в написании студенческой работы.
Помощь в написании работы, которую точно примут!

Требования, предъявляемые к криминологической информации

Министерство образования и науки Российской Федерации

Стерлитамакский филиал федерального государственного бюджетного образовательного учреждения высшего профессионального образования

Башкирский государственный университет

Юридический факультет

Кафедра уголовного права и процесса





Контрольная работа

Тема:

Требования, предъявляемые к криминологической информации












Стерлитамак - 201

Оглавление

Введение

. Понятие криминологической информации

. Источники криминологической информации

. Методические требования к криминологической информации

Заключение

Список использованной литературы

Задача


Введение

Выбор темы работы определяется тем, что в последнее время наблюдается снижение полноты и надежности информации о совершенных преступлениях, используемой правоохранительными органами.

Эффективность деятельности органов внутренних дел находится в непосредственной зависимости от качества системной информации, отражающей реальное состояние криминальных процессов в стране. Необходимость радикального совершенствования системы криминологической информации закреплена Межгосударственной программой борьбы с организованной преступностью и иными видами опасных преступлений на территории государств-участников СНГ на период до 2000 года, федеральными целевыми программами по усилению борьбы с преступностью, а также ведомственными актами МВД России.

Отсутствие систематизированной и полной криминологической информации о преступлениях сужает возможности органов внутренних дел в деле осуществления борьбы с преступностью. В этой связи существует настоятельная потребность во введении в научный и практический оборот дополнительной, т.е. новой информации, необходимой для осуществления функционирования органов внутренних дел. Этой информацией является криминологическая информация.

По заявке Министерства внутренних дел проводились исследования информационных потоков в системе управленческой деятельности. Однако указанное исследование, проходило в рамках пилотажных исследований, по существу являлось поисковым и не могло в полной мере удовлетворить потребности органов внутренних дел.

Целью данного исследования является изучение требований, предъявляемых к криминологической информации.

Для достижения этой цели в исследовании поставлены следующие задачи:

рассмотреть понятие криминологической информации;

проанализировать источники криминологической информации;

увидеть методические требования к криминологической информации.



1. Понятие криминологической информации

Основной задачей проведения криминологических исследований является выработка новых знаний. Это возможно только при соответствующем познании объектов криминологического изучения, т.е. получения информации о данных объектах.

Под информацией понимается сообщение, осведомление о положении дел, сведения о чем-либо или о ком-либо уменьшаемую, снимаемую неопределенность в результате получения сообщения.

В связи с тем, что происходящие в обществе процессы и существующие в нем явления взаимосвязаны, возникает необходимо черпать различную информацию, относительно широкого круга вопросов, связанного с существованием и развитием преступности и ее динамике. Всю информацию, используемую в криминологических исследованиях можно классифицировать по ее характеру. Так выделяется следующие виды информации, используемых в криминологии:

социальная информация - это совокупность сведений о различных фактах, процессах, явлениях, событиях, происходящих в жизни общества. Необходимость и важность данной информации связана с тем, что преступность представляет общественное явление, лица, которые совершают преступления являются социальными индивидами и формируются в процессе социализации.

правовая информация - совокупность сведений, сообщений, данных, определяющих меру знаний о праве и отдельных его отраслях, а также о всех процессах и явлениях, с ним связанных. Данная информация помогает уточнить и более четко определить объект криминологического исследования, т.к. именно право определяет что является преступным.

криминологическая информация - некое знание, устраняющее неопределенность знаний о преступности и мерах по ее предупреждению.

Для того, чтобы криминологическая информация адекватно отражала состояние и другие характеристики преступности и мер по ее предупреждению, он должна отвечать, по крайней мере, определенным требованиям:

полнота и оптимальность т.е. содержать такое количество сведений об изучаемом объекте, которое позволяло бы сделать правильные выводы, сформулировать точные и обоснованные предложения и рекомендации. Полнота знаний о преступности в значительной степени искажается наличием латентности, имеющей объективные корни существования. Следует заметить, что обеспечение полноты информации не является самоцелью, здесь главный критерий - информационные потребности различных субъектов, осуществляющих профилактику преступлений и применение уголовно-правовых норм;

оптимальность - данное требование сочетание с предыдущими требованиями в сило того, что информацией обеспечиваются субъекты управления, исходя из конкретных задач, данными, минимально необходимыми для принятия правильных управленческих решений.

своевременность и оперативность предполагает поступление поступления информации к моменту принятия решения или к началу ее обработки;

объективность и достоверность означают степень соответствия содержащихся в информации знаний, сведений, данных той реальной ситуации, которая становится объектом криминологического анализа.

Криминологическая информация бывает различной. Так по целевому назначению и источникам она бывает: официальная и неофициальная.

К официальной информации можно отнести информацию, исходящую из государственных органов и оформленную в установленном порядке. Это, например, нормативно-правовые акты, данные статистической отчетности, уголовные дела, картотеки в органах внутренних дел и т.д.

Неофициальной же информацией являются сведения, полученные из неофициальных источников, которые нуждаются в уточнении и не могут восприниматься как однозначно верные суждения. Это могут быть мнения отдельных частных лиц, о своем восприятии того или иного факта, либо специалистов о какой-либо проблеме.

По функциональной принадлежности информация может быть: директивная, аналитическая, учетно-контрольная и отчетная, оперативно-служебная, справочно-методическая.

По содержанию, природе объектов: информация о состоянии объектов профилактического воздействия: (данные о преступности, данные моральной статистики), информация о состоянии социальных условий протекания профилактической деятельности: (экономических, социально-демографических, социально-культурных, условий труда, условиях быта, досуга), информация о состоянии субъектов профилактики преступлений (специализированных субъектов, неспециализированных субъектов).

Источниками получения информации являются явления, люди, документы, предметы, содержащие интересующие исследователя данные. Источниками информации о преступлениях и преступниках, эффективности противодействия преступности служат: статистические отчеты, обзоры, аналитические справки, документы единого учета (статистические карточки) преступлений, материалы уголовных дел, письма, сообщения, заявления граждан и должностных лиц, материалы прессы, радио, телевидения и другие документы, содержащие сведения о преступлении и преступнике; лицо, совершившее преступление; потерпевший; члены семьи преступника, другие родственники, друзья, окружение по месту жительства и месту работы и т.д.

Правильная оценка источника информации поможет соблюсти требования, которые предъявляются к информации, используемой в криминологическом исследовании.

. Источники криминологической информации

Основные источники криминологической информации: юридическая статистика (особенно ее подотрасли - уголовно-правовая, криминологическая, виктимологическая, административно-правовая, гражданско-правовая, моральная); экономическая, социальная, демографическая и другие отрасли статистической науки. Уголовно-правовая статистика (уголовная, криминальная) - одна из наиболее давних и развитых подотраслей юридической статистики.

В современном понимании она обычно употребляется в трех взаимосвязанных значениях: как конкретные количественные сведения о преступности (преступниках, судимости, заключенных), как практическая деятельность по сбору и обработке уголовно-правовых данных, как наука и соответствующая ей учебная дисциплина (см: Лунеев В.В. Юридическая статистика. М., 1999. С. 37-56). В данном случае рассматривается ее информационная составляющая. Статистические сборники о преступности во Франции, Англии, Германии и других европейских странах издаются около 200 лет. Ныне они публикуются в абсолютном большинстве стран, а с 1970 г. ООН собирает сведения о преступности в отдельных странах, регионах и мире в целом. К настоящему времени вышло четыре пятилетних обзора о мировых тенденциях преступности.

Практическое становление уголовной статистики в России началось XIX в. Первый опубликованный том судебной статистики назывался «Свод статистических сведений по делам уголовным, возникшим в 1872 г.». В последующие годы эти своды меняют название, расширяются и уточняются. Их издание прерывается в 1913 г. За 1915-1916 гг. данные судебной статистики были обработаны уже при советской власти в 1922-1923 гг.

После революции 1917 г. в некоторых городах (Москва, Петроград др.) какое-то время сохранялась прежняя судебно-статистическая отчетность. Потом она стала интенсивно меняться. В 1918 г. был образован ЦСУ, где был создан отдел моральной статистики. В 20-е годы было пущено множество сборников о статистике осужденных в СССР и РСФСР. В 30-е годы статистика преступности и судимости становится ведомственной и закрытой. Такое положение просуществовало почти 60 лет. Снятие грифа секретности с уголовно-статистических данных произошло только в 1987-1988 гг. С 1989 г. в СССР, а затем в России ежегодно издаются статистические сборники о преступности и правонарушениях.

Непосредственный объект уголовно-правовой статистики:

) статистика предварительного расследования, учитывающая преступность и деятельность органов предварительного следствия и дознания (количество учтенных преступлений, возбужденных уголовных дел, выявленных лиц, совершивших преступления, задержанных, арестованных и другие показатели);

) статистика уголовного судопроизводства, охватывающая учет судимости и деятельности судов (количество рассмотренных уголовных дел, осужденных, освобожденных от уголовной ответственности и наказания, оправданных, лишенных свободы, оштрафованных и т.д.);

) статистика исполнения приговоров, включающая учет деятельности прокуратуры по надзору за местами лишения свободы, работу судов по условно-досрочному освобождению и замене наказания более мягким, движение заключенных (учет осужденных заключенных, подследственных заключенных и т.п.).

В последние годы в виде самостоятельной подотрасли выделяется криминологическая статистика, которая будучи тесно связанной с уголовно-правовой статистикой рассматривается как часть криминологии, изучающая количественные характеристики преступности, ее причин, личности преступника и профилактической деятельности.

Указанные характеристики в большинстве своем лежат как в рамках, так и за рамками уголовно-правовой статистики, особенно такие, как латентная преступность, причинная обусловленность преступности и отдельных преступлений, процесс формирования личности преступника и мотивации преступного поведения, деятельность субъектов профилактики, которые не относятся к правоохранительным органам (см.: Блувштейн Ю.Д. Криминологическая статистика. Минск, 1981. С. 5-16).

Одним из разделов криминологической статистики, который в России почти не развит, являетсявиктимологическая статистика, т.е. статистика о жертвах преступлений, или потерпевших от преступлений, и их роли в генезисе преступлений.

Особое место в криминологической статистике составляют также сведения о безнадзорности и беспризорности детей, о наркомании, токсикомании, пьянстве и алкоголизме, проституции, венерических болезнях и других фоновых явлениях, взаимосвязанных с преступностью, которые традиционно относились к моральной статистике.

Административно-правовая статистика занимается учетом административных правонарушений по их видам, причиненному ущербу, характеру административных взысканий, органам административной юрисдикции, административному судопроизводству.

В России общее число органов, обладающих административной юрисдикцией, велико (более 35). К ним относятся органы внутренних дел, железнодорожного, воздушного, водного и городского транспорта; санитарного, технического, пожарного, охотничьего, экологического, таможенного и пограничного контроля и т.д. Особое место в системе субъектов административной юрисдикции занимают суды, роль которых в последние годы интенсивно возрастает.

По своему характеру административно-правовая статистика может обслуживать кроме административного и другие отрасли права. В ней особо нуждается криминология, поскольку совершение административных правонарушений, как правило, является одной из ступеней к преступному поведению, анализ которых помогает решать многие криминологические задачи.

Гражданско-правовая статистика представляет собой учет гражданско-правовых споров, находящихся на разрешении общих и арбитражных судов, а также результатов деятельности последних по стадиям гражданского судопроизводства, значение которого за последние годы постоянно возрастает. В криминологии гражданско-правовая статистика начинает занимать важное место при анализе латентных преступлений в сфере экономики (против собственности, в сфере экономической деятельности, против интересов службы в коммерческих и иных организациях), а также преступления против личности (против здоровья, свободы, чести и достоинства, конституционных прав и свобод человека и гражданина) и преступлений против общественной безопасности (против здоровья населения, экологии, безопасности движения и эксплуатации транспорта)и др.

Юридическая статистика не исчерпывается тремя комплексными подотраслями и тем кратким перечнем сведений, которые были приведены по каждой из них. Развитие юридической теории и практики всегда нуждается в адекватном отражении реалий, которые формируются на основе права или имеют важное юридическое, уголовно-правовое или криминологическое значение. Особое значение в криминологических исследованиях имеет экономическая, демографическая, социальная статистика, которая помогает раскрыть причинную базу преступности, социально-демографическую характеристику личности преступников, помочь разработать меры предупреждения и контроля преступности. Динамика преступности положительно или отрицательно коррелирует с экономическими, социальными, политическими и демографическими процессами в стране. Даже элементарный расчет коэффициента преступности (число преступлений на 100 или 10 тыс. населения) невозможен без демографической статистики. Многие показатели юридической статистики прямо или косвенно раскрывают экономические, социальные или демографические аспекты преступности и борьбы с ней.

Взаимосвязи между различными отраслями и подотраслями статистики постоянно совершенствуются, углубляются, дифференцируются или интегрируются, что можно выявить лишь при непосредственном ознакомлении с практическими формами учета и отчетности юридических и иных учреждений.

криминологический юридический информация преступность

3. Методические требования к криминологической информации

Криминологическая информация отвечает трем методическим требованиям:

) полнота и всесторонность информации, несоблюдение эᴛᴏго правила приводит к искаженному представлению, служит основой ошибочных выводов и рекомендаций. Стоит сказать - полнота информации - ее комплексность, достаточная для анализа преступности и результатов работы правоохранительных органов по укреплению правопорядка;

) ϲʙᴏевременность информации определяется задачами конкретного исследования. Своевременной будет информация, поступающая из отчетных данных за прошедший период времени или полученная от исследований предшествующей борьбы с преступностью;

Первичная регистрация ведется на единых по форме карточках, реквизиты которых содержат описание события, факта, его общих и особенных признаков. Лицо, оформляющее карточку, заполняет ее реквизиты, фиксируя информацию, которая необходима для последующего анализа первичных документов учета.

Контроль за достоверностью информации обеспечивается на всех стадиях ее сбора, обработки и анализа. Стоит заметить, что он заключается в сплошной или выборочной проверке заполнения документов, дублирующих процесс переноса информации с них на машинные носители. Достоверность обеспечивается однозначностью. Стоит сказать, для предупреждения нежелательных явлений в информационных процессах используют терминологию, употребляемую в документах сбора информации.

Задача

В городе «А» в течение года зарегистрировано 5389 преступлений. Его население - 1732 тыс. человек, дети до 14 лет - 308765 человек. В городе «В» за этот же период зарегистрировано 2944 преступления. Население здесь составляет 1345 тыс. человек, дети до 14 лет - 209583 человек.

Вычислите коэффициент преступности для каждого города в расчете на 10 тыс. населения и определите, в каком из них он выше.

Ответ на задачу

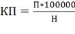
Коэффициент преступности - это конкретный обобщающий показатель общего количества учтенных преступлений, соотнесенного с численностью населения. Он расшифровывается как число преступлений на 100 тыс., 10 тыс. или 1 тыс. населения и является объективным измерителем преступности, позволяющим сопоставлять ее уровни в разных странах и в разные годы.

Коэффициент рассчитывается по формуле:

,

где П - абсолютное число учтенных преступлений;

Н - абсолютная численность всего населения.

Оба показателя берутся в одном и том же территориальном и временном объеме. Число преступлений обычно рассчитывается на 100 тыс. населения. Но при малых числах преступлений и населения (в городе, районе, на предприятии) КП может рассчитываться на 10 тыс. или на 1 тыс. жителей. Однако в любом случае эти числа означают размерность рассматриваемого коэффициента, которая обязательно указывается: число преступлений на 100 тыс. или 10 тыс. населения.

Коэффициент преступности может рассчитываться либо на все население, либо на население в возрасте уголовной ответственности (в России - на население в возрасте 14 лет и старше).

Когда расчет делается на все население, коэффициент фактически отражает лишь то, как население страдает от преступности (сколько зарегистрированных преступлений приходится на 100 000 человек). Ведь потерпевшим может быть и малолетний ребенок.

Коэффициент, рассчитанный на население в возрасте 14 лет и старше, показывает криминальную активность населения возраста уголовной ответственности, то, насколько интенсивно оно продуцирует преступное поведение.

Рассчитаем оба случая.

.        Расчет на все население

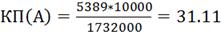
Абсолютное число учтенных преступлений в городе «А» будет равно 5389, а в городе «В» - 2944.

Абсолютная численность всего населения в городе «А» составляет 1732000, а в городе «В» - 1345000

С учетом этих показателей коэффициент преступности в городе «А» будет равен,

,

а коэффициент преступности в городе «В»

.

Таким образом, коэффициент преступности в городе «А» превышает коэффициент преступности в городе «В» почти в 1.4 раза.

. Расчет на население в возрасте 14 лет и старше.

Абсолютное число учтенных преступлений в городе «А» будет равно 5389, а в городе «В» - 2944.

Абсолютная численность всего населения в возрасте 14 лет и старше в городе «А» будет равно

,

а в городе «В»

.

С учетом этих показателей коэффициент преступности в городе «А» будет равен,

,

а коэффициент преступности в городе «В»

.

Таким образом, коэффициент преступности, рассчитанный на население в возрасте 14 лет и старше, в городе «А» превышает коэффициент преступности в городе «В» в 1.5 раз.


Заключение

В ходе работы решены следующие задачи:

) мы рассмотрели понятие криминологической информации;

) проанализировали источники криминологической информации;

) увидели методические требования к криминологической информации.

Использование возможностей ПЭВМ и методик компьютерных технологий в работе с машинными носителями информации - наиболее перспективное и технологичное направление получения криминологической информации на массовом, статистическом уровне с генеральной совокупностью всех изучаемых явлений. Работа по анкетированию уголовных дел не может обеспечить такого охвата.

Сведения по единому учету преступлений, содержащиеся в банках данных информационных центров всех уровней МВД России, ведущихся на машинных носителях, адекватно отражают криминологические характеристики этих деяний.

Для суждения о закономерностях преступности и личности преступника, для выявления причин преступности, разработки и оценки эффективности мер по ее предупреждению имеющихся статистических данных недостаточно. Здесь важны дополнительные криминологические исследования, которые проводятся специализированными научными учреждениями.

Научные криминологические исследования, проводимые по правилам выборочного статистического обследования, но по более широкой программе, с привлечением данных других видов социальной статистики (демографии, здравоохранения, образования и др.) позволяют глубже проникать в предмет исследования, разрабатывать конкретные рекомендации по повышению эффективности мер борьбы с преступностью.

Список использованной литературы

Нормативно-правовые акты

1. Федеральный закон Российской Федерации "О полиции" 07 февраля 2011 года. №3-ФЗ // "Российская газета", №25, 2011, 8 февравля.

2.      Федеральный закон Российской Федерации "Об информации, информационных технологиях и о защите информации" от 27 июля 2006 года. №149-ФЗ // "Российская газета", №165, 2006, 29.июля.

Научная литература

1. Антонян Ю.М. Криминология. - М.: Юрайт, 2013. - С. 528.

2.      Босхолов С.С. Криминологическая информация в правоприменительной деятельности ОВД. - Минск: Юпитер, 1990. С. 340.

.        Воскресенский Г.М., Дударев Г.И., Масленников Э.П. Статистические методы обработки и анализа социальной информации в управленческой деятельности ОВД. - М.: Академия МВД, 1986. - С. 235.

.        Криминология: Учебник / под общей редакцией А.И. Долговой. - 3-е изд., перераб. и доп. - М.: Норма, 2008. - 912 с.

.        Минин А.Я. Информатизация криминологических исследований: (теория и методология). - Екатеринбург: Изд-во Урал. ун-та, 1992. - С. 136.

.        Решетников А.Ю., Афанасьева О.Р. Криминология. Краткий курс лекций. - М.: Юрайт, 2014. - С. 178.

.        Свиридова И.В. Использование криминологической информации в профилактике правонарушений. - М.: Проспект, 1982. - С. 180.

.        Чуфаровский Ю.В. Криминология в вопросах и ответах. - М.: Проспект, 2014. - С. 144.

Похожие работы на - Требования, предъявляемые к криминологической информации

 

Не нашли материал для своей работы?
Поможем написать уникальную работу
Без плагиата!
Без нейросетей!