Установки винтовых насосов для добычи нефти
Министерство
образования и науки Российской Федерации
федеральное
государственное автономное образовательное учреждение
высшего
профессионального образования
«Северный
(Арктический) федеральный университет имени М.В. Ломоносова»
КУРСОВАЯ
РАБОТА
По
дисциплине: Гидромашины и компрессоры в нефтегазовой отрасли
На
тему: Установки винтовых насосов для добычи нефти
Денисова Анна Юрьевна
Архангельск
2014
ОГЛАВЛЕНИЕ
ВВЕДЕНИЕ
ВИНТОВЫЕ НАСОСЫ ДЛЯ ДОБЫЧИ НЕФТИ
.1 Общие сведения о винтовых насосах
.1.1 История возникновения винтовых
насосов
.1.2 Устройство и принцип действия
.1.3 Основные характеристики
винтовых насосов
.1.4 Виды винтовых насосов.
Используемый материал
.2 Установки погружных винтовых
электронасосов для добычи нефти
.2.1 Назначение установок
.2.2 Условное обозначение
.2.3 Показатели комплектации и
технические характеристики УЭВН
.2.4 Погружные винтовые
электронасосные агрегаты ЭВН
.2.5 Устройство и принцип действия
винтовых насосов
.2.6 Материалы основных деталей
.2.7 Погружные электродвигатели
винтовых насосов и их гидрозащита
.3 Установки штанговых винтовых
насосов с наземным приводом
.3.1 Назначение и область применения
насосов
.3.2 Основные преимущества УШВН
перед другими видами насосов
.3.3 Классификация УШВН
.3.4 Привод скважинных штанговых
насосных установок
РАСЧЕТ ПАРАМЕТРОВ ВИНТОВОГО НАСОСА
.1 Расчет действующих сил
.2 Расчет золотника
предохранительного клапана на прочность и устойчивость
МОНТАЖ, ЭКСПЛУАТАЦИЯ И РЕМОНТ
ВИНТОВЫХ НАСОСОВ
.1 Монтаж установок скважинных
винтовых электронасосов
.2 Техническое обслуживание
установок скважинных винтовых электронасосов
.3 Подъем и демонтаж установок
скважинных винтовых электронасосов
.4 Ремонт установок скважинных
винтовых электронасосов
ЗАКЛЮЧЕНИЕ
СПИСОК ИСПОЛЬЗОВАННЫХ ИСТОЧНИКОВ
ВВЕДЕНИЕ
скважинный
винтовой электронасос нефть
Мировые запасы высоковязких нефтей и природных
битумов огромны и по оценкам ряда специалистов превышают запасы легких нефтей.
Ведущее место по добычи высоковязких нефтей и природных битумов занимают
Венесуэлла, США, Канада. Более 90% мировой добычи высоковязких нефтей и
природных битумов приходится на скважинные методы, из них более 80% добываются
механизированными способами на естественном режиме работы пластов, чему
способствуют сравнительно высокие пластовые давления и температуры на глубине
залегания основных разрабатываемых за рубежом скважинными методами
месторождений.
Естественный режим работы пластов является, как
правило, стадией, предшествующей разработке месторождений с применением
термических методов воздействия на продуктивный пласты. Среди термических
методов наибольшее распространение получило паротепловое воздействие
(циклическое и площадное).
Доля высоковязких нефтей и природных битумов,
добываемых с применением внутрипластового горения весьма мала. Одной из
основных причин этого является недостаточное научное обеспечение метода,
сложность прогнозирования и управления процессом.
Условия залегания природных битумов в нашей
стране отличаются сравнительно малыми глубинами, низкими величинами пластовых
давлений и температур, высокой вязкостью битума в пластовых условиях,
сравнительно малыми мощностями битумонасыщенных пластов, сильной
неоднородностью битумонасыщенности по толще пласта, слабой сцементированностью
песчаных коллекторов, близким расположением и сильным влиянием водоносных
горизонтов, содержащих питьевые воды и т.п. В этих условиях притоки вязкого
битума в скважины на естественном режиме работы пласта весьма малы и
целесообразность естественного режима как самостоятельной стадии разработки сомнительна.
Экономический анализ показывает, что битумная отрасль промышленности может быть
рентабельной только при условии комплексной переработки и использования
битумного сырья. С этой точки зрения является нежелательным применение при
разработки месторождений природных битумов таких методов, как внутрипластовое
горение или низкотемпературное окисление, поскольку эти методы приводят к
ухудшению ценности сырья. Паротепловое воздействие на пласт не исключает
необходимости отбора продукции и из скважин, временно неохваченных воздействием
или охваченных им в недостаточной мере. Сказанное обуславливает необходимость
изучения и создания технических средств подъема продукции битумных скважин,
которые имели бы достаточно широкий диапазон применения по вязкости продукции и
обеспечивали эксплуатацию скважин при применении паротеплового воздействия на
пласт.
Одним из таких технических средств используемой
сегодня в нефтяной промышленности являются одновинтовые насосы (ВНО), именуемые
в зарубежной литературе Moineau pumps или Progressive cavity pumps (PCP).
Простота конструкции и уникальные характеристики ВНО позволяют эффективно
использовать их в различных технологических процессах. В настоящее время во
всем мире наблюдается пик интереса к одновинтовым гидромашинам и по мнению
экспертов в дальнейшем область применения ВНО и технологий с их использованием
будет расширяться [1].
Поэтому в данной курсовой работе рассмотрим
винтовые насосы, используемых в нефтегазовой отрасли с погружным и
поверхностным электродвигателем.
1
ВИНТОВЫЕ НАСОСЫ ДЛЯ ДОБЫЧИ НЕФТИ
1.1 Общие сведения о винтовых насосах
Винтовой насос
<#"808042.files/image001.gif">
а - ротор; б - статор; в - насос в сборе;
- корпус насоса; 2 - полость между статором и
ротором
Рисунок 1 - Глубинный винтовой насос
Винт имеет однозаходную плавную нарезку с весьма
большим отношением длины винта к глубине (15¸30). Обойма насоса
имеет внутреннюю поверхность, соответствующую двухзаходному винту, у которого
шаг равен удвоенному шагу винта насоса.
Принцип действия заключается в том, что винт
насоса и его обойма образуют по всей длине ряд замкнутых полостей, которые при
вращении винтов передвигаются от приема насоса к его выкиду. В начальный
момент, каждая полость сообщается с областью приема насоса, при продвижении
вдоль оси насоса ее объем увеличивается, заполняясь перекачиваемой жидкостью,
после чего становится полностью замкнутым. У выкида объем полости сообщается с
полостью нагнетания, постепенно уменьшается, а жидкость выталкивается в
трубопровод.
.1.3 Основные характеристики винтовых насосов
Основными характеристиками винтовых насосов
являются:
- рабочая глубина по вертикали (до 3200 м);
- дебит (1-800 м3/сут);
- температура продукта (до 120 0С);
- плотность жидкости (более 850
г/см3);
- кривизна ствола скважины (до 900).
.1.4 Виды винтовых насосов. Используемый
материал
По количеству винтов насосы делят на:
- одновинтовые;
- двухвинтовые;
- трехвинтовые;
- многовинтовые.
Чаще всего используются одновинтовые и
двухвинтовые насосы.
В данном курсовой работе рассмотрим 2 вида
насосов:
- с поверхностным электродвигателем;
- с погружным электродвигателем.
Наиболее технологически простым является
однозаходный винт с поперечным сечением в виде правильного круга.
- исходное положение; 2 - положение при повороте
на 900; 3 - положение при повороте на 1800
Рисунок 2 - Положение однозаходного винта в
обойме во время работы на 1/2 оборота
Если рассматривать многозаходный винт, то тогда
необходимо учитывать кинематическое соотношение ротора и статора.
Рисунок 3 - Зависимость рабочих параметров n
и MT винтового насоса
от кинематического соотношения i
Графики показывают, что двигатели с
малозаходными винтовыми механизмами развивают большие скорости вращения при
минимальном вращающем моменте. По мере увеличения заходности ротора наблюдается
рост вращающего момента и снижение частоты вращения. Это объясняется тем, что
винтовой механизм с многозаходным ротором выполняет роль двигателя и
одновременно понижающего редуктора (мультипликатора), передаточное число
которого пропорционально заходности ротора.
Для изготовления винта могут использовать сталь,
легированную хромом, или титановый сплав, который примерно в 1,7 раза легче
стали и не уступает ей по прочности. Выигрыш в массе позволяет во столько же
раз снизить нагрузку на эластомер от центробежной силы при вращении винта.
Обрабатывается винт на токарном станке, обычно с приспособлением для вихревой
нарезки, что позволяет получить высокую точность при наиболее высокой
производительности труда.
Поверхности винта должны удовлетворять
требованиям высокой твердости и чистоты обработки. Эти условия выполняются
нанесением на поверхность твердого слоя хрома и его полированием в специальном
приспособлении [3].
.2 Установки погружных винтовых
электронасосов для добычи нефти
1.2.1 Назначение установок
Установки погружных винтовых сдвоенных
электронасосов типа УЭВН5 предназначены для откачки пластовой жидкости
повышенной вязкости из нефтяных скважин, их можно использовать также для добычи
нефти обычной вязкости и газосодержания.
Установки УЭВН5 рассчитаны на откачку пластовой
жидкости из нефтяных скважин со следующей характеристикой:
- максимальная вязкость жидкости до 1×10-3
м3/с;
- объемное содержание свободного газа
на приеме насоса до 50 %;
- содержание механических примесей не
более 0,8 г/л;
- температура пластовой жидкости до
110 0С;
- содержание воды не более 99 %.
Установка погружного винтового сдвоенного
электронасоса (рисунок 4) состоит из погружного насоса, электродвигателя с
гидрозащитой, установленных в скважине на колонне НКТ под уровень жидкости в
скважине.
Электроэнергия от трансформатора, комплектного
устройства, установленных на поверхности земли, по токоподводящему
бронированному кабелю, закрепленному снаружи НКТ хомутами, через муфту
кабельного ввода подводится к погружному электродвигателю насосного агрегата
[4].
- трансформатор; 2 - комплектное устройство;
- пояса; 4 - трубы НКТ; 5 - насос;
- муфта кабельного ввода; 7 - электродвигатель с
защитой
Рисунок 4 - Установка винтового сдвоенного
электронасоса типа УЭВН5
Установки УЭВН5 выпускаются для скважин с
внутренним диаметром эксплуатационной колонны не менее 121,7 мм.
.2.2 Условное обозначение
Условное обозначение оборудования установки
записывается в следующем виде: УЭВН5-16-1200 А или УЭВН5-100-1000А1 ВП01, где
приняты обозначения:
Э - привод от погружного электродвигателя;
- группа насоса для скважин с внутренним
диаметром колонны 121,7 мм;
и 100 - подача;
и 1200 - напор;
А - для жидкости температурой до 30 0С;
Б - для жидкости температурой от 30 до 50 0С;
В - для жидкости температурой от 50 до 70 0С;
Г - для жидкости температурой от 50 до 70 0С или
вязкостью 6×10-4 - 1×10-3
м3/с;
А1 -вариант изготовления с электродвигателем
повышенной мощности;
К - вариант изготовления с пусковой разгонной
муфтой;
ВП - вариант поставки; 01 - порядковый номер
варианта поставки.
В случае отсутствия в заявке указания о варианте
поставке, установка посылается заказчику в исполнении А, в варианте ВП00 (ВП00
- вариант поставки в районы с умеренным климатом; ВП01 - вариант поставки в
районы с холодным климатом).
Модификация установок А1 комплектуется
электродвигателем повышенной мощности и отличается отсутствием золотникового
устройства в насосе.
Модификация К отличается от существующих
конструкций добавлением узла приставки, в котором пусковая муфта помещена в
область чистого масла.
.2.3 Показатели комплектации и технические
характеристики УЭВН
Все установки погружных электроприводных
винтовых насосов (таблица 1) комплектуются погружными электродвигателями типа
ПЭД с гидрозащитой 1Г51 и наземным энергетическим оборудованием (комплектное
устройство, трансформатор) таким же как и оборудование УЭВН.
Таблица 1 - Показатели комплектации установок
типа УЭВН
|
Установка
|
Электродвигатель
|
Кабель
в сборе
|
Комплектное
устройство
|
Трансформатор
|
|
|
основной× площадь
сечения, мм2× ×длина, м
|
удлинитель× площадь
сечения, мм2× ×длина, м
|
|
|
|
УЭВН5-16-1200
|
ПЭД5,5-117/4В5
|
КПБК3х10х1275
|
КПБП3х6х25
|
Ш5103-3277У1
|
-
|
|
УЭВН5-25-1000А,
Б
|
ПЭД5,5-117/4В5
|
КПБК3х10х1275
|
КПБП3х6х25
|
Ш5103-3277У1
|
-
|
|
УЭВН5-25-1000А1,
В, К
|
ПЭД5,5-117/4В5
|
КПБК3х10х1275
|
КПБП3х6х25
|
ШГС5805-49А3У1
|
ТМПН63/1-73УХЛ1
|
|
УЭВН5-100-1000А,
Б, В
|
ПЭД5,5-117/4В5
|
КПБК3х10х1275
|
КПБП3х6х25
|
ШГС5805-49А3У1
|
ТМПН63/1-73УХЛ1
|
|
УЭВН5-100-1000А1,
К
|
ПЭД5,5-117/4В5
|
КПБК3х10х1275
|
КПБП3х6х25
|
ШГС5805-49А3У1
|
ТМПН63/1-73УХЛ1
|
|
УЭВН5-100-1200Г
|
ПЭД5,5-117/4В5
|
КПБП3х16х1300
|
КПБП3х6х20
КПБП3х16х1300
|
ШГС5805-49А3У1
|
ТМПН63/1-73УХЛ1
|
|
УЭВН5-63-1200В,
К
|
ПЭД5,5-117/4В5
|
КПБП3х16х1300
|
КПБП3х6х20
КПБП3х16х1300
|
ШГС5805-49А3У1
|
ТМПН63/1-73УХЛ1
|
|
УЭВН5-200-900
|
ПЭД5,5-117/4В5
|
КПБК3х16х1275
|
КПБП3х6х25
|
ШГС5805-49А3У1
|
ТМПН63/1-73УХЛ1
|
Установки УЭВН (таблица 2) выпускают для скважин
с условным диаметром обсадной колонны 146 мм по ГОСТ 622-80 (минимальный
внутренний диаметр колонны не менее 127 мм).
Таблица 2 - Технические характеристики установок
типа УЭВН5
|
Показатель
|
УЭВН5-16-1200
|
(УЭВН5-25-1000)
|
УЭВН5-63-1200
|
(УЭВН5-100-1000)
|
УЭВН5-100-1200
|
УЭВН5-200-900
|
|
Подача,
м3/сут
|
16
|
25
|
63
|
100
|
100
|
200
|
|
Давление,
МПа
|
12
|
10
|
12
|
10
|
12
|
9
|
|
Напор,
м
|
1200
|
1000
|
1200
|
1000
|
1200
|
900
|
|
Рекомендуемая
рабочая часть: подача, м3/сут давление, МПа
|
16-22 12-6
|
25-36 10-4
|
63-80 12-6
|
100-150 10-2
|
100-150 12-6
|
200-250 9-2,5
|
|
Мощность
электродвигателя, кВт
|
5,5
|
5,5
|
22,0
|
22,0
|
32,0
|
32,0
|
|
КПД
погружного агрегата, %
|
38,6
|
40,6
|
41,4
|
45,9
|
46,3
|
49,8
|
|
Габаритные
размеры погружного агрегата (насос, электродвигатель с гидро-защитой), мм
диаметр длина
|
117 8359
|
117 8359
|
117 11104
|
117 11104
|
117 13474
|
117 13677
|
|
Масса
погружного агрегата, кг
|
341
|
342
|
546
|
556
|
697
|
713
|
|
Примечание
- установки, занесенные в скобки, могут быть укомплектованы мощностью 22 и 32
кВт соответственно; КПД 39,5 и 46,4 % соответственно; длиной 10671 и 13071 мм
соответственно.
|
Установки выпускаются по 11 группе надежности
(ОСТ 26-06-1304-82), в климатическом исполнении У, категории размещений
погружного агрегата, наземного оборудования (ГОСТ 15100-69).
В состав установок с подачами 63, 100 и 200
м3/сут входит еще и трансформатор, т.к. электродвигатели этих установок
выполнены соответственно на 700 и 1000 В.
.2.4 Погружные винтовые электронасосные
агрегаты ЭВН
Погружной насосный агрегат представляет собой
сборочную конструкцию, состоящую из винтового сдвоенного насоса с
электродвигателем и гидрозащитой. В условном обозначении отсутствует буква «У»,
например, ЭВН5-16-1200. Остальные обозначения соответствуют обозначениям,
представленным в условном обозначении установок УЭВН. Технические
характеристики винтовых насосных агрегатов представлены в таблице 3.
Таблица 3 - Технические характеристики винтовых
насосных агрегатов типа ЭВН5
|
Показатель
|
УЭВН5-16-1200
|
УЭВН5-25-1000
|
УЭВН5-63-1200
|
УЭВН5-100-1000
|
УЭВН5-100-1200
|
УЭВН5-200-900
|
|
Подача,
м3/сут
|
16
|
25
|
63
|
100
|
100
|
200
|
|
Напор,
м
|
1200
|
1000
|
1200
|
1000
|
1200
|
900
|
|
Мощность
насоса, кВт
|
4,5
|
5,5
|
16,0
|
19,5
|
23,0
|
31,0
|
|
КПД
насоса, %
|
48,3
|
51,4
|
53,5
|
59,6
|
59,1
|
65,7
|
|
Габаритные
размеры, мм диаметр длина
|
103
3488
|
103
3488
|
103
4053
|
103
4143
|
103
4443
|
103
4646
|
|
Масса
насоса, кг
|
105
|
106
|
126
|
136
|
150
|
160
|
Погружные электродвигатели и гидрозащита к ним
используются аналогичными, применяемыми в агрегатах погружных центробежных
электронасосов для добычи нефти.
.2.5 Устройство и принцип действия винтовых
насосов
Погружные винтовые электронасосные агрегаты ЭВН5
всех типоразмеров изготавливаются по одной и той же конструктивной схеме с
двумя рабочими органами, соединенными параллельно, что обеспечивает:
- удвоение подачи при одном и том же поперечном
габарите;
- рабочие органы (винтовые пары)
гидравлически взаимно уравновешенны, что исключает передачу значительных осевых
сил на опорные подшипники насоса и пяту электродвигателя.
Погружной винтовой электронасосный агрегат ЭВН5
(рисунок 5) состоит из следующий элементов: пусковая кулачковая муфта
центробежного действия, основание с приводным валом, сетчатые фильтры,
установленные на приеме насоса, рабочие органы с правыми и левыми обоймами и
винтами, две эксцентриковые шарнирные муфты, предохранительный клапан и
шламовая труба.
При работе агрегата, крутящий момент от
электродвигателя через вал протектора гидрозащиты, пусковую муфту и
эксцентриковые муфты насоса передается рабочим винтам. По принципу действия
насосы относят к объемным, а по способу передачи энергии жидкости -
к ротационным. Основными рабочими органами являются однозаходные
геликсоидальные роторы с правым и левым направлением спирали и две
резиново-металлические обоймы, внутренняя полость которых представляет собой
двухзаходную винтовую поверхность с шагом в 2 раза большим, чем шаг винта,
выполненную из маслобензиностойкой резины или другого эластомера.
- шламовая труба; 2 - предохранительный клапан;
3 - фильтр; 4 и 6 - винты; 5 и 7 - шарнирные муфты; 8 - вал насоса; 9 -
пусковая муфта
Рисунок 5 Винтовой погружной насос
Принцип действия насоса заключается в том, что
между винтом и обоймой по всей длине образуется ряд замкнутых полостей, которые
при вращении винта заполняются перекачиваемой жидкостью, перемещаемой от приема
насоса к его выкиду. Винты вращаются вокруг своей оси и по окружности с
радиусом равным эксцентриситету.
Жидкость поступает одновременно в левый и правый
органы насоса через приемные сетки-фильтры. В камере между винтами потоки соединяются,
и следуя дальше по кольцевому каналу между корпусом насоса и верхней обоймы,
жидкость через предохранительный клапан поступает в напорную линию.
Пластовая жидкость перекачивается практически
без пульсации, не создавая стойкой эмульсии из нефти и воды. Подача насоса
равна сумме подач рабочих пар, а напор насоса - напору каждой рабочей пары.
Все основные узлы и детали диафрагментных
насосов унифицированы и применяются, за некоторым исключением, во всех насосных
агрегатов.
В винтовых насосах типа ЭВН5 имеется ряд
специфических деталей: пусковая кулачковая муфта, эксцентриковые шарнирные
муфты, предохранительный клапан, шламовая труба, сетчатый фильтр.
Пусковая кулачковая муфта центробежного типа
соединяет валы протектора и насоса и обеспечивает с помощью выдвижных кулачков
пуск насоса при движении максимального крутящего момента на валу двигателя,
соответствующем частоте вращения 800-1200 об/мин.
Это вызвано тем, что винтовой насос имеет
большую инерцию покоя и, чтобы запустить его (преодолеть силы трения),
требуется повышенный пусковой момент. Кроме того, пусковая муфта не позволяет
валу насоса вращаться в обратную сторону.
При обратном вращении за счет скоса на кулачках,
муфта не включается, и кулачки проскальзывают и тем самым предохраняют насос от
отворачиваний резьбовых соединений. Муфта так же защищает насос от аварийного
режима работы, т.к. при выходе из строя одного из рабочих органов отключается
последний. Внутри основания насоса расположен вал с подшипниками и опорные пяты
из силицированного графита. Основание (рисунок 6) можно использовать только в
насосах, комплектуемых гидрозащитой типа 1Г51.
1 - защитная втулка; 2 - бронзовая втулка; 3 -
опорная пята; 4 - приводной вал
Рисунок 6 - Основание винтового насоса
В основании нет сальника, а смазка трущихся
поверхностей осуществляется пластовой жидкостью. На приводной вал надеты
защитные втулки из нержавеющей стали, которые вращаются в бронзовых втулках.
Концевые неподвижные пяты опираются на резиновые прокладки для равномерной
пердачи усилий на всю поверхность пяты.
Эксцентриковая муфта (рисунок 7) обеспечивает
возможность сложного планетарного вращения в обоймах. Благодаря чему жидкость
проталкивается вдоль оси винта и создается необходимый напор для подъема
жидкости на поверхность.
Эксцентриковые муфты, установленные между
винтами, приводным валом и нижним винтом, состоящих из 2 универсальных
шарниров, позволяют совершать сложные планетарные движения в обоймах.
Муфта состоит из 2 шарнирных узлов, соединенных
резьбовым валиком, вращение в муфте передается роликами, расположенными в
специальных гнездах поводка корпуса. Осевая сила воспринимается поводком и
сферической шайбой. Резиновые манжеты и пружина сохраняют смазку в шарнирном
узле и защищают от механических примесей. Шарнирность узла обеспечивается
сферическими опорными поверхностями поводка и шайбы и зазором между роликами и
соответствующими отверстиями в корпусе и поводке.
- корпус; 2 - поводок; 3 - ролики; 4 -
сферическая шайба; 5 - валик; 6 - пружина; 7 - уплотнительная манжета
Рисунок 7 - Эксцентриковая муфта
В верхней части насоса расположен золотниковый
предохранительный клапан (рисунок 8), который состоит из корпуса, золотника,
поршня, амортизатора и корпусных деталей. Клапан выполняет следующие функции:
- пропускает жидкость в колонну нкт при спуске
насосного агрегата в скважину;
- обеспечивает слив жидкости из
колонны нкт при подъеме агрегата из скважины;
- препятствует при остановках насоса
сливу жидкости из колонны труб через рабочие органы насоса (вся жидкость
сливается через клапан в затрубное пространство);
- защищает насос от сухого трения и
повышенного давления в напорной линии;
- обеспечивает перепуск жидкости из
напорной линии обратно в скважину или при недостаточном притоке жидкости из
пласта, или при содержании в жидкости большого количества газа.
Работа клапана представлена на рисунке 8.
Показаны 3 промежуточных положения клапана: заполнение жидкостью колонны труб и
слив жидкости при спуске и подъеме насосного агрегата (рисунок 8 а); подача
жидкости на поверхность при работающей установке (рисунок 8 б) и сброс жидкости
на поверхность при недостаточном притоке жидкости или при большом газовом
факторе обратно в скважину (рисунок 8 в).
Шламовая труба защищает насос от механических
примесей, окалины, выпадающих из колонны НКТ при остановке насоса, монтаже и
выполняет роль отстойника.
Рисунок 8 - Схемы работы предохранительного
клапана
.2.6
Материалы основных деталей
В насосах с подачами 62, 100, 200 м3/сут рабочие
винты изготавливают из титанового сплава ОТ-4, а в насосах с подачами 16 и 25
м3/сут - из стали марки 40Х. Остальные ответственные детали насосов
изготавливают из нержавеющей стали марок 95Х18 и легированной стали марки
12ХН3А. Для защиты от коррозии и повышения износостойкости рабочая поверхность
винтов покрывается слоем хрома.
Для обоймы используется специальная резина марки
2Д-405, с высокими физико-механическими свойствами, или эластомер, обычно из
синтетического каучука. Гарантийная наработка до отказа обоймы, непрерывно
работающей в нефтяной скважине с напорами 900-1500 м, не менее года при сроке
хранения 2 года.
Обоймы, покрытые изнутри эластомером,
изготавливают, как правило, в пресс-форме. Эластомер заполняет форму и
подвергается вулканизации. С помощью литьевых стержней с правым и левым
направлением винтовых спиралей формируется соответствующие обоймы -
правые и левые. Перед сборкой качество и размер обойм контролируется гладкими
цилиндрическими калибрами. По торцам обоймы контролируется твердость
эластомера.
В основании насосов под гидрозащиту 1Г51
применяется высокопрочный силицированный графит марки СГ-П.
.2.7 Погружные электродвигатели винтовых
насосов и их гидрозащита
Приводом винтовых насосов служит погружной
электродвигатель маслонаполненный, трехфазный, асинхронный с короткозамкнутым
ротором, четырехполюсной, переменного тока частотой 50 Гц, с частотой вращения
вала 1500 об/мин.
Для погружного электродвигателя принято
следующее обозначение:
Принципиальная схема погружного электродвигателя
представлена на рисунке 9.
- опора; 2 - головка; 3 - корпус подшипника
верхнего; 3- статор; 5 - ротор; 6 - подшипник промежуточный; 7 - корпус
подшипника верхнего; 8 - основание; 9 - фильтр; 10 - клапан перепускной
Рисунок 9 - Погружной электродвигатель
Гидродвигатель комплектуется гидрозащитой 1Г51
(рисунок 10), состоящей из протектора, устанавливаемого между насосом и
электродвигателем и компенсатора, присоединяемого к нижней части
электродвигателя.
Гидрозащита обеспечивает герметизацию внутренней
полости электродвигателя от попадания пластовой жидкости, выравнивает давление
внутри него с давлением в скважине на уровне подвески, компенсирует
температурные изменения объема и расхода масла [5].
- протектор; 2 - перепускной клапан; 3 -
компенсатор
Таблица 4 - Технические характеристики погружных
электродвигателей
|
Наименование
параметра
|
ПЭД5,5-117/4В5
|
ПЭД8-117/4В5
|
ПЭД11-117/4В5
|
ПЭД22-117/4В5
|
ПЭД32-117/4В5
|
|
Номинальная
мощность, кВт
|
5,5
|
8
|
11
|
22
|
32
|
|
Напряжение
линейное, В
|
350
|
450
|
650
|
700
|
1000
|
|
Номинальный
ток, А
|
15,5
|
18
|
17
|
31,5
|
32
|
|
Частота
тока, Гц
|
50
|
50
|
50
|
50
|
50
|
|
Частота
вращения вала, об/мин
|
1500
|
1500
|
1500
|
1500
|
1500
|
|
Скольжение,
%
|
8
|
7
|
7
|
7,5
|
7,5
|
|
Коэффициент
мощности, доли ед.
|
0,75
|
0,75
|
0,75
|
0,75
|
0,75
|
|
КПД,
%
|
78
|
77
|
77
|
76,5
|
76,5
|
|
Температура
окружающей среды (не более), 0С
|
90
|
90
|
90
|
90
|
90
|
|
90Т90ип
гидрозащиты
|
1Г51
|
1Г51
|
1Г51
|
1Г51
|
1Г51
|
|
Диаметр
электродвигателя, мм
|
117
|
117
|
117
|
117
|
117
|
|
Длина
электродвигателя, мм
|
2558
|
2848
|
3548
|
5008
|
6758
|
|
Масса
электродвигателя, кг
|
159
|
185
|
237
|
320
|
450
|
.3 Установки штанговых винтовых насосов с
наземным приводом
.3.1 Назначение и область применения насосов
Установки погружных винтовых насосов с наземным
приводом часто называют УШВН (установка штангового винтового насоса),
предназначены для откачки высоковязкой пластовой жидкости из нефтедобывающих
скважин.
Установка (рисунок 11) представляет собой
погружной штанговый насос (ШВН), статор которого неподвижно крепится на колонне
труб НКТ, а винт к колонне штанг. К нижней части статора крепится клапанный
узел. Наземное оборудование включает колонную головку, превентор-тройник,
редуктор, модульную вставку, электродвигатель.
Вращение винта осуществляется колонной штанг,
размещенной внутри колонны НКТ, от наземного привода, состоящего из вращателя (редуктора)
и электродвигателя.
Винтовой насос обеспечивает высокую
работоспособность при откачке высоковязкой жидкости с повышенным газовым
фактором и значительным содержанием механических примесей.
В наклонно-направленных скважинах для уменьшения
сил трения и износа труб НКТ устанавливаются муфты-центраторы, которые
выполняют функцию промежуточных радиальных опор, могут быть представлены в двух
конструктивных исполнениях:
- неразборные, размещенные непосредственно на
полноразмерной или укороченной штанге по специальной технологии в заводских
условиях;
- разборные, устанавливаемые между
муфтами стандартных штанг.
Наиболее рационально использовать штанговые
центраторы, обеспечивающие их неподвижность относительно колонны НКТ, что
приводит к снижению расхода электроэнергии и износа труб. Несколько нижних
штанг, расположенных непосредственно близко к эксцентрично вращающемуся ротору,
центраторами не оснащаются.
Рациональной областью применения УШВН являются
вертикальные скважины или скважины с малыми темпами набора кривизны с
пластовыми жидкостями высокой вязкости, с повышенным содержанием газа и
механических примесей. Чаще всего УШВН применяются для дебитов от 3 до 50-100
м3/сутки с напором до 1000-1500 м, однако, некоторые типоразмеры УШВН могут
иметь гораздо большие добычные возможности.
- электродвигатель; 2 - модульная вставка; 3 -
вращатель; 4- превентор-тройник; 5 - колонная головка; 6 - НКТ; 7 - штанговая
вращательная колонна; 8 - ротор винтового насоса; 9 - статор винтового насоса;
10 - клапанный узел
Рисунок 11 - Компоновка винтовой насосной
установки УШВН
1.3.2
Основные преимущества УШВН перед другими видами насосов
Основные преимущества установок штангового
винтового насоса с наземным приводом:
- снижение металлоемкости установки в 8-10 раз по
сравнению со станками-качалками;
- снижение энергетических затрат на
30% за счет подъема жидкости при вращательном движении колонны штанг;
- поверхностный привод размещается на
колонной головке без специального фундамента;
- упрощение технологических работ при
ремонтах скважин;
- снижение затрат на монтажные работы
в 5 раз;
- увеличение нефтеотдачи пласта за
счет непрерывного потока нефти в скважину.
Причиной достаточно широкого применения УШВН
служат их технико-экономические преимущества по сравнению с другими
механизированными способами добычи нефти.
По сравнению со скважинными штанговыми насосными
установками (СШНУ):
- простота конструкции и малая масса привода;
отсутствие необходимости в возведении фундаментов под
привод установки;
- простота транспортировки, монтажа и
обслуживания;
- широкий диапазон физико-химических
свойств откачиваемых пластовых жидкостей (возможность откачки жидкостей высокой
вязкости и повышенного газосодержания);
- уравновешенность привода,
постоянство нагрузок, действующих на штанги, равномерность потока жидкости,
снижение энергетических затрат и мощности приводного двигателя, минимальное
эмульгирующее воздействие на откачиваемую жидкость;
- отсутствие клапанов в скважинном
насосе.
По сравнению с установками подземных
электровинтовых насосов (УЭВН):
- простота конструкции насоса (отсутствуют
шарнирные соединения, пусковые муфты, радиальные и осевые подшипники);
- наземное расположение приводного
электродвигателя, что приводит к снижению его стоимости и к отсутствию
дорогостоящих гидрозащиты и длинного бронированного кабеля.
1.3.3 Классификация УШВН
В зарубежной и отечественной практике известно
большое количество схем и типоразмеров УШВН, которые можно классифицировать
следующим образом:
1) По типу привода:
- с электроприводом;
- с объемным гидроприводом;
- приводом от ДВС;
- с газовым двигателем.
Наибольшее распространение получили установки с
асинхронным электроприводом переменного тока с номинальной частотой вращения
1000 об/мин. Мощность электродвигателя в зависимости от подачи и давления
насоса изменяется от 3 до 100 кВт и выше.
2) По кинематической схеме привода:
- с одноступенчатой трансмиссией;
- с двухступенчатой трансмиссией.
Простейшая схема УШВН, исключающая силовую
трансмиссию, к которой двигатель напрямую соединяется с валом приводной
головки, на практике не используется, поскольку требуется применение тихоходных
двигателей, что неэффективно.
Одноступенчатая схема трансмиссии может быть
реализована на базе ременной, цепной или зубчатой передачи.
Двухступенчатая схема (1 ступень - ременная, 2
ступень - зубчатая передача) обеспечивает возможность использования
быстроходных приводных двигателей с пониженными массогабаритными параметрами, а
так же снижение передаточного отношения первой ступени, что позволяет
осуществлять широкое регулирование частоты вращения штанг путем смены шкивов
ременной передачи.
В отдельных случаях для упрощения трансмиссии в
качестве приводного электродвигателя целесообразно использовать мотор-редуктор.
Наибольшее распространение получили схемы
приводов с одноступенчатой ременной трансмиссией.
3) По типу ременной передачи:
- с клиноременными ремнями;
- с зубчатыми ремнями.
Наиболее часто применяют обычные многорядные
клиноременные передачи.
В некоторых конструкциях используются
поликлиновые и зубчатые ремни. Последние обеспечивают передачу высоких крутящих
моментов без скольжения, не требуют предварительного натяжения и периодической
подтяжки, отличаются компактностью и высоким КПД.
) По конструкции вала:
- цельный вал;
- полый вал.
Компоновка с цельным валом, не требующая
использования полированного штока, сложна при регулировке осевого положения
ротора насоса относительно статора во время монтажа колонны штанг. В связи с
этим, приводной вал, как правило, выполняется полым, что позволяет пропускать
внутри него полированный шток и регулировать положение последнего в осевом
направлении.
5) По расположению приводного винта:
- с горизонтальным расположением оси двигателя;
- с вертикальным расположением оси
двигателя.
Вертикальная компоновка двигателя характерна для
одноступенчатых ременных трансмиссий, горизонтальная - для приводов с зубчатой
конической передачей.
6) По способу регулирования скорости приводного
вала УШВН:
- с регулируемым приводным двигателем
(электрическим или гидравлическим);
- с регулируемым передаточным
отношением (за счет смены шкивов ременной и введением вариатора передачи).
Наиболее перспективно использование установок с
частотно-регулируемым электроприводом переменного тока, обеспечивающим полный
диапазон регулирования скорости (от 0 до 100 %) и возможность поддержания
оптимального в заданных условиях режима работы системы пласт-насос-привод.
Другая функция регулируемого электропривода - плавный пуск и остановка
установки, что повышает надежность ее эксплуатации. Станция управления,
регулируемым электроприводом включает систему контроля и регистрации, что
позволяет отслеживать режим работы привода и вносить необходимые управляющие
воздействия.
) По кинематическому отношению рабочих
органов:
- с однозаходным ротором (кинематическое отношение
1:2);
- с многозаходными рабочими органами
(кинематическое отношение 2:3, 3:4, 4:5 и т.д.).
Выбор кинематического отношения обуславливается
требуемыми эксплуатационными параметрами (диаметр, расход, давление, частота
вращения) и технологическими возможностями при производстве.
) По схеме закрепления статора:
- трубный (статор закрепляется на резьбе ко конце
НКТ);
- вставной (статор спускается на
штангах в сборе с ротором и крепится на НКТ с помощью специального замка).
9) По схеме закрепления низа НКТ:
- со свободным концом;
- с заякоренным концом.
10) По кинематической схеме насоса:
- с вращающимся внутренним элементом (винтом);
- с вращающимся наружным элементом
(обоймой).
Типовая схема с вращающимся винтом - наиболее
распространенная, простая и экономичная как в конструктивном плане, так и при
монтаже и эксплуатации.
Схема со вращающейся обоймой, в которой поток
пластовой жидкости поднимается по внутреннему каналу вращающихся полых колонн
штанг или труб, предложена с целью предотвращения отложений парафина на стенки
НКТ и снижению гидравлических потерь на трение за счет создания водяного кольца
на стенках полых штанг. Такая система является более сложной, требует
использования полых штанг увеличенного диаметра и устьевого вертлюга для отвода
жидкости из скважины, и не нашла промышленного применения.
.3.4 Привод скважинных штанговых насосных
установок
Привод винтовых штанговых насосов может иметь
разное исполнение. Наиболее часть используется механический привод с
одноступенчатой клиноременной трансмиссией (рисунок 12 в). Такой привод имеет
минимальную стоимость и массу, а для изменения частоты вращения колонны штанг
(для изменения величины подачи насоса) необходимо произвести замену шкивов
клиноременной передачи.
а - с планетарной трансмиссией; б - с зубчатой
трансмиссией; в - с клиноременной трансмиссией; - электродвигатель; 2 -
планетарный редуктор; 3 - муфтовое соединение вала привода и полированного
штока; 4 - корпус уплотнения полированного штока
Рисунок 12 - Схемы приводов винтового штангового
насоса
Приводы с зубчатыми редукторами (рисунок 12 а и
б) имеют меньшее распространение из-за необходимости соединения тихоходного
вала с полированным штоком, что приводит к сложности подгонки длины колонны
штанг. Кроме того, изменение частоты вращения привода возможно только за счет
изменения скорости вращения вала электродвигателя [4].
РАСЧЕТ ПАРАМЕТРОВ ВИНТОВОГО НАСОСА
.1 Расчет действующих сил
Для расчета примем одновинтовой насос. Зададимся
исходными данными:
- радиус поперечного сечения винта: 12,5 мм;
- удельный вес материала винта: 3,9
Н/м3;
- шаг винта: 24 мм;
- угловая скорость: 157 об/с;
- эксцентриситет винта: 13 мм;
- давление нагнетания: 2 МПа;
- давления всасывания: 0,6 Мпа;
- плотность нефти: 950 кг/м3;
- напор насоса: 1000 м;
- диаметр поршня: 36 мм;
- диаметр золотника: 18 мм.
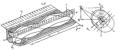
Определим силы, вызывающие трение, винта и
регламентирующие положение винта в обойме (рисунок 13). Таких сил две: сила
инерции и радиальная гидравлическая сила.
Сила инерции, существование которой обусловлено
кинематикой движения винта, на длине шага винта.
Сила инерции, существование которой обусловлено
кинематикой движения винта, на длине шага винта:
(1)
где r - радиус поперечного сечения винта, м;-
шаг винта, м;
е - эксцентриситет винта, м;
γ - удельный вес
материала винта, Н/м3;
ω0 - угловая
скорость перемещения оси винта относительно оси обоймы, с-1;- ускорение силы
тяжести, м3/с;
а - коэффициент, учитывающий силу инерции от
вращения эксцентриковой муфты и той части тела винта, которая выступает из
обоймы.
Радиальная гидравлическая сила, определенная
Д.Д. Саввиным:
(2)
где Pk - межвитковый перепад давления:
(3)
где Рн - давление нагнетания, МПа;
Рвс - давление всасывания, МПа;- количество
шлюзов в каждой нарезке обоймы.
Равнодействующая этих двух сил равна:
(4)
Суммарная нормальная сила на контактной линии на
длине шага винта:
(5)
Из рисунка 12 видно, что угол φ=500
является углом поворота оси сечения обоймы относительно оси z, a γ = 650 - угол
между силами 
.
Рисунок 13 - Схема действия сил в насосе
Таким образом, устанавливаем, что нормальная
сила, прижимающая винт к обойме, является функцией обеих радиальных сил, а
также соотношением их значений.
Приведенная нормальная сила с учетом влияния
первоначального натяга:
(6)
где сила Pδ
является функцией первоначального натяга, толщины и механических свойств резины
рабочей поверхности обоймы и определяется экспериментально.
Деформация внутренней поверхности обоймы
происходит в направлении равнодействующей силы PJP, под действием которой винт
смещается в обойме. Предположим, что смещение это (ОО1) будет равно m (рисунок
14) изменится и натяг (радиальная деформация резины) на контактной поверхности
рабочих органов.
Рисунок 14 - Деформация обоймы
Суммарный натяг представим в виде:
(7)
С целью создания смазки на контактной
поверхности геометрические размеры рабочих органов выбираются таким образом,
чтобы обеспечить при работе насоса появление зазора.
Значения зазора определяются:
(8)
Уравнения (7) и (8) справедливы для всех
положений винта в обойме, за исключением момента φ=0±(π/2)n,
когда сечение винта занимает крайнее положение в сечении обоймы. Анализ
деформации резины в этих сечениях показывает, что образующийся после деформации
зазор весьма мал и для практических расчетов им можно пренебречь [8].
Графики изменения зазора и натяга на развертке
рабочих органов насоса на длине шага обоймы показаны на рисунке 15.
а - нарезка 1; б - нарезка 2
- первоначальный натяг; 2 - радиальная деформация
резины в направлении равнодействующей PJP;
3 - действительное значение зазора с натяга; 4 - усредненные значения зазора; 5
- усредненные значения натяга
Рисунок 15 - Схема развертки контактных линий
рабочих органов
Исследование зависимостей (7) и (8) показывает,
что ввиду малой амплитуды кривых справедливо, при сохранении постоянства
гидравлического радиуса, заменить действительные значения зазора и натяга
средними, пользуясь следующими выражениями:
(9)
где χ - коэффициент,
(10)
(11)
(12)
Длина проекции проточной части контактной линии
на ось обоймы на длине шага винта:
(13)
где t
- шаг обоймы, мм.
Длина проекции поверхности трения винта в обойме
по длине шага винта:
(14)
На основании проведенных исследований были
сделаны следующие выводы:
1) Одновинтовой насос характеризуется
непостоянной ориентацией рабочего винта. При работе насоса под действием
инерционных и гидравлических сил происходит радиальная деформация упругой
обоймы и смещение винта в поперечном направлении.
2) Деформация обоймы предопределяет
возникновение зазора с одной стороны, диаметрального сечения винта и натяга
между винтом и обоймой с другой, величина и протяженность которых непостоянны
[6].
.2 Расчет золотника предохранительного
клапана на прочность и устойчивость
Рабочее давление, при котором работает золотник:
(15)
где ρ - плотность
нефти, кг/м3;- ускорение свободного падения, м/с2;- напор создаваемый насосом,
м.
Усилие сжатия золотника со стороны поршня:
(16)
где р - рабочее давление при котором работает
золотник, Па;- диаметр поршня, м.
Усилие сжатия золотника с другой стороны:
(17)
где d1 - диаметр золотника с другого конца,
Так как центральная часть золотника имеет
наименьший диаметр, в нем будут возникать наибольшие напряжения сжатия,
определим их:
(18)
где f2 - площадь сечения по внутреннему
диаметру:
(19)
Общее усилие сжатия золотника:
(20)
Выбираем сталь марки ВСт2пс, для которой σв
=330МПа.
Отсюда находим коэффициент запаса на прочность:
(21)
Запас прочности по усталости:
(22)
где kσ -
эффективный коэффициент концентрации напряжения, (kσ
=
1);
σ1 - предел
выносливости при сжатии для золотника двустороннего действия:
(23)
ε - масштабный фактор,
(ε
= 1,5);
Устойчивость золотника (продольный изгиб):
(24)
где l - свободная длина золотника, м,
imin -
минимальный радиус инерции штока, м:
(25)
Подставим формулу (25) в выражение (24),
получим:
(26)
Выполняется условие: λ<105,
тогда по формуле Ясинского:
σкр
=335-0,6λ,
(27)
σкр = 335 - 0,6×77,3
= 288,62 МПа.
При σкр
= 288,62 МПа золотник потеряет устойчивость.
Запас устойчивости:
(28)
Данный расчет показывает, что подобранный
материал и размеры золотника предохранительного клапана подходят для работы в
заданной среде.
МОНТАЖ, ЭКСПЛУАТАЦИЯ И РЕМОНТ ВИНТОВЫХ НАСОСОВ
.1 Монтаж установок скважинных винтовых
электронасосов
Перед доставкой винтового электронасоса (ЭВН) на
скважину необходимо тщательно проверить все оборудование в соответствии с
инструкцией на эксплуатацию. Подготовка скважины к эксплуатации, монтаж
установки скважинного винтового электронасоса (УЭВН) и спуск агрегата в
скважину, настройка и регулировка пусковой электроаппаратуры, а также подготовка
к пуску установки проводятся также как и при монтаже установки скважинного
центробежного электронасоса.
Монтаж заканчивают установкой оборудования на
устье скважины, которое обеспечивает подключение трубопровода для отбора газа
из межтрубного (кольцевого) пространства; установкой на выкидном трубопроводе
манометра, обратного клапана и задвижки, которая должна стоять по ходу жидкости
перед обратным клапаном. Перед пуском установки необходимо открыть задвижку.
Эксплуатация насоса при закрытой задвижке недопустима, так как это неизбежно
приведет к аварии.
.2 Техническое обслуживание установок
скважинных винтовых электронасосов
В процессе эксплуатации УЭВН:
- ведут наблюдение за работой насосного агрегата;
- не реже одного раза в месяц замеряют
подачу насоса, содержание попутной воды, температуру откачиваемой жидкости,
динамический уровень, буферное давление;
- не реже одного раза в неделю
замеряют напряжение и силу тока электродвигателя;
- при снижении сопротивления изоляции
ниже 0,05 МОм из скважины поднимают электродвигатель;
- при отключении установки устройством
контроля изоляции, после предварительного замера сопротивления изоляции;
- системы кабель - двигатель,
скважинный агрегат поднимают из скважины;
- при отключении установки повторный
запуск проводят после замера сопротивления изоляции системы кабель - двигатель;
- периодически очищают аппаратуру от
пыли и грязи, подтягивают ослабевшие и зачищают подгоревшие контакты, проверяют
затяжку болтов на входе и выходе и перемычках трансформатора (обесточенных);
- устраняют все неисправности
аппаратуры согласно инструкции по эксплуатации.
Данные о работе установки заносят в
эксплуатационный паспорт.
3.3 Подъем и демонтаж установок скважинных
винтовых электронасосов
Для того чтобы выполнить подъем и демонтаж
следует выключить установку, затем выключить рубильник - предохранитель;
отсоединить кабель, питающий двигатель. От станции управления проверить
сопротивление изоляции системы кабель - двигатель, установить и отцентрировать
мачту подъемного механизма, при необходимости заглушить скважину, применяя для
этой цели только обратную промывку, демонтировать устьевую арматуру, слить
жидкость из НКТ через сливной клапан, сбросив в колонну НКТ ломик диаметром 53
мм, ввернуть в муфту колонны НКТ патрубок длиной 0,5-1 м с муфтой на другом
конце, установить на патрубке элеватор и приподнять колонну труб. Разобрать
уплотнение кабеля в планшайбе или колонной головке, установить на фланец
колонной головки пьедестал и поднимать скважинный агрегат со скоростью 0,25
м/с.
При подъеме труб кабель освобождают от поясов,
не допуская падения их в скважину. Трубы поднимают с одновременным наматыванием
кабеля на барабан. Необходимо кабель наматывать равномерно и не касаться земли.
Не допускаются его перегибы и удары по броне. Кабель из скважины должен
поступать на верхнюю часть барабана. После подъема агрегата снимают кожухи
плоского кабеля.
Агрегат разбирают на секции и проверяют наличие
масла и герметичность двигателя и гидрозащиты, легкость вращения валов, а так
же выявляют наличие внешних дефектов. Демонтаж агрегата осуществляется в
последовательности, обратной монтажу. В электродвигателе измеряют сопротивление
изоляции и затем токоввод закрывают специальной крышкой. После отсоединения
кабельной муфты от электродвигателя замеряют сопротивление изоляции кабельной
линии.
По окончании демонтажа результаты внешнего
осмотра, результаты замеров сопротивления изоляции кабеля, электродвигателя,
герметичности двигателя, результаты проверки вращения валов заносятся в
эксплуатационный паспорт.
.4 Ремонт установок скважинных винтовых
электронасосов
Все работы по ремонту УЭВН выполняет
специализированная ремонтная бригада БПО (ЦБПО). Также ремонт может
осуществляться сервисными организациями, имеющими соответствующую лицензию.
Технология ремонта винтового насоса
предусматривает следующие работы.
1) Наружная очистка от грязи, эксплуатационной
среды, парафина, солей.
2) Разборка на специальном верстаке,
оборудованном струбцинами. При разборке насосов необходимо помнить, что все
вращающиеся детали (винты, валы, эксцентриковые муфты) имеют левые резьбы, а
корпусные детали и обоймы - правые. Разборка сначала ведется на сборочные
единицы, а затем производится разборка сборочных единиц.
) Мойка деталей.
) Дефектация деталей на годные,
подлежащие ремонту и подлежащие списанию. Детали признаются негодными для
дальнейшего использования при следующих дефектах:
) На резиновых обоймах имеются раковины,
газовые пузырьки и другие недопустимые дефекты, оговоренные в
нормативно-технической документации;
) На винтах имеются смятия пазов, сколы
хрома на рабочих поверхностях, трещины или отклонения от первоначальной формы;
) На эксцентриковых муфтах имеются смятые
или сломанные ролики, трещины и смятые пазы под ролики;
) На ведущей полумуфте имеются трещины,
вмятины и износ, сломана пружина;
) Износ подшипников скольжения в опоре
превышает 0,25-0,3 мм, а на пятах из силицированного графита имеются сколы,
трещины или другие дефекты или их износ превышает 1 мм.
10) Ремонт деталей, восстановление поверхностей
которых возможно в цехах БПО (ЦБПО). Отремонтированные детали должны
соответствовать требованиям нормативно-технической документации.
11) Комплектация деталей для сборки насоса.
) Сборка насоса. Перед сборкой все детали
должны быть смазаны консервационной смазкой. Сначала собирают основные
сборочные единицы, затем собирают насос в целом. При сборке рабочих органов
(винтов) необходимо произвести их балансировку в насосе. Балансировка
достигается путем смещения при сборке осей правого и левого винтов в
диаметрально противоположные стороны от оси насоса. Балансировка производится с
помощью специальной скобы, поставляемой вместе с насосом.
) Испытание насоса. Цель испытаний -
проверить соответствие паспортных данных фактическим. Испытания следует
проводить на трансформаторном масле с температурой 25-30 °С и вязкостью 10-5 -
2 10-5 м2/с. При этом насосы обычного исполнения должны иметь параметры,
соответствующие номинальным, а насосы, предназначенные для работы в условиях
повышенной температуры или вязкости, должны иметь показатели на 25-30 % меньше
номинальных. Во время испытаний насосы обкатываются на стенде под нагрузкой в
течение 20-30 мин. Снижение подачи после восстановления допускается до 12 %.
) Проверка креплений насоса и их
герметичности, пайка и лужение швов и установка упаковочных крышек.
Ремонт электродвигателя и гидрозащиты
выполняется аналогично ремонту электродвигателя и гидрозащиты скважинных
центробежных электронасосов [5].
ЗАКЛЮЧЕНИЕ
Винтовые насосы для добычи нефти являются
наиболее перспективным оборудованием в нашей стране и за рубежом. Простота
конструкции, способность откачивать эмульсии и жидкости высокой вязкости с
промышленным содержанием примесей, газа, низкое электропотребление, возможность
использования в наклонных и горизонтальных скважинах без потери эффективности,
широкий выбор рабочих давлений - все эти и другие достоинства данного вида
насосов позволяют им быть конкурентоспособными в своей области и являться
лидерами среди других типов данного оборудования.
Системы винтовых насосов обладают рядом
отличительных особенностей, которые могут сделать их более предпочтительными
для механизированной добычи по сравнению с другими имеющимися техническими
средствами. Вот наиболее значимые из этих особенностей:
- КПД систем винтовых насосов составляет 50-70 %;
- низкие капитальные затраты и расходы
на электроэнергию;
- возможность перекачивания жидкостей
с высоким уровнем вязкости, большим содержанием твердых частиц и свободного
газа;
- низкие значения внутренних
градиентов скорости сдвига, ограничивающие эмульгирование жидкости;
- отсутствие клапанов или деталей с
возвратно-поступательным движением позволяет предотвратить закупоривания,
газовые пробки или быстрый износ узлов;
- несложный монтаж и эксплуатация,
минимальный объем необходимого обслуживания;
Системы винтовых насосов имеют ряд определенных
ограничений по условиям применения. Основными из этих ограничений являются
производительность (1-800 м3/день), высота подъема жидкости (3000 м),
температура (до 150 0С) и совместимость резиновых деталей с откачиваемыми
жидкостями, воздействие некоторых жидкостей приводит к разбуханию и порче
эластомерного материала [7].
Использование усовершенствованного оборудования
и материалов позволяет существенно расширить диапазон применения винтовых
насосов новых моделей.
Во многих случаях, винтовые насосы являются не
только единственно возможным вариантом механизированной эксплуатации, но и
могут стать весьма эффективными (с экономической точки зрения) при оптимальной
конфигурации и правильной эксплуатации.
СПИСОК ИСПОЛЬЗОВАННЫХ ИСТОЧНИКОВ
1) Агроводком.
Промышелнные и бытовые насосы. Электродвигатели. Системы очистки стоков.
[Электронный ресурс]. - Режим доступа:
<http://www.agrovodcom.ru/pogruz_pump.php>.
2) Tanelli. Industrial equipment.
[Электронный ресурс]. - Режим доступа: <http://tanelli.ru/jekspluatacija-vintovyh-nasosov.html>.
3) Tanelli. Industrial equipment.
[Электронный ресурс]. - Режим доступа: <http://tanelli.ru/vintovoj-nasos-dlja-skvazhin.html>.
) Нефтегаз
развитие. [Электронный ресурс]. - Режим доступа:
<http://ng-razvitie.ru/vintovyie-nasosyi.html>.
) Балденко
Д.Ф., Бидман М.Г., Калишевский В.Л. и др. Винтовые насосы. М., Машиностроение,
1981. - 445 с.
) Балденко
Д.Ф. Винтовые гидравлические машины. Машины и нефтяное оборудование. М.,
ВНИИОЭНГ, 1979, №9.
) Балденко
Д.Ф., Балденко Ф.Д. Перспективы создания гидроприводных винтовых насосных
установок для добычи нефти. Нефтяное хозяйство, 2002, №3.
) Ивановский
В.Н., Дарищев В.И., Сабиров А.А. и др. Скважинные насосные установки для добычи
нефти. - М: ГУП Изд-во «Нефть и газ» РГУ нефти и газа им. И.М. Губкина, 2002. -
824 с.