Інститут проблем математичних машин і систем

  • Вид работы:
    Отчет по практике
  • Предмет:
    Другое
  • Язык:
    Украинский
    ,
    Формат файла:
    MS Word
    224,12 Кб
  • Опубликовано:
    2014-08-10
Вы можете узнать стоимость помощи в написании студенческой работы.
Помощь в написании работы, которую точно примут!

Інститут проблем математичних машин і систем

Український державний університет фінансів та міжнародної торгівлі

Кафедра інформаційних технологій









Звіт

про проходження переддипломної практики в Інституті проблем математичних машин і систем












Київ - 2015

Зміст

Вступ

. Загальна характеристика інституту

.1 Історія створення

.2 Структура інституту

.3 Керівництво інституту

.4 Сфера досліджень

.5 Сучасні розробки

.6 Акредитація інституту

.7 Наукові заходи

.8 Друковані видання

. Апаратне та програмне забезпечення

. Рекомендації для роботи інформаційної системи

. Індивідуальне завдання

.1 Переклад англійської статті на російську

.2 Загальні відомості ідентифікації людини по її ЕКГ

4.3 Програма "Statistica"

Висновки

Список використаної літератури

Вступ

У кожному вузі України передбачено проходження студентами виробничої практики, яка є обов’язковим складовим елементом підготовки будь-якого спеціаліста. Під час проходження практики студент закріплює здобуті знання і навички, отримуючи практичний досвід роботи в реальних економічних умовах.

Студент може мати досконалі теоретичні знання, але може розгубитися в ситуації, коли виникне необхідність прийняти рішення в реальних економічних умовах. Тому необхідно забезпечувати студентам змогу пройти виробничу практику ще під час навчання у вузі, для того, щоб спробувати себе не тільки в ролі теоретика, але й практика.

Виробнича практика студентів є складовою частиною навчального процесу і здійснюється з метою закріплення теоретичних знань, ознайомлення з майбутньою професією, набуття досвіду самостійної роботи та набуття виробничих навиків приймати самостійно рішення в реальних виробничих умовах. Вона покликана готувати майбутніх спеціалістів до реальної практичної роботи, забезпечити належний рівень їхньої професійної підготовки.       Під час проходження виробничої практики студент зобов’язаний:

•        набути відповідних виробничих навичок з майбутньої спеціальності;

•        згідно плану роботи своєчасно виконувати всі адміністративні й науково-технічні вказівки керівника практики від бази практики, забезпечити якість виконання робіт, вивчити і неухильно виконувати правила техніки безпеки, експлуатації обладнання, охорони праці;

•        систематично вести календарний графік практики і своєчасно підготувати звіт про проходження практики;

•        виконувати діючі на підприємстві правила внутрішнього розпорядку;

•        згідно плану роботи брати участь у науково-дослідній роботі в установах, організаціях та вузу.

Зміст практики

Вивчення структури, організації і виробничої діяльності установи, організації - бази практики. Проходження інструктажів з правил охорони праці і протипожежної безпеки. Дотримання прийнятих на базі практики правил внутрішнього розпорядку та правил техніки безпеки. Знайомство з планами науково-технічних досліджень, тематикою задач та їх використання. Вивчення обов’язків і кола задач, які розв’язує інженер-програміст. Надання допомоги базі практики в якості інженера-програміста. Виконання індивідуальних завдань та досліджень з теми кваліфікаційної роботи, вивчення літературних джерел, а також підготовки до державного іспиту. Регулярне ведення календарного графіку практики і оформлення звіту про проходження практики.

1. Загальна характеристика інституту

Інститут проблем математичних машин і систем Національної академії наук України (ІПММС НАНУ) був створений в 1992 р. на базі Спеціального конструкторського бюро математичних машин і систем (СКБ ММС) Інституту кібернетики НАН України.

.1 Історія створення

У 1963 році з ініціативи академіка В.М.Глушкова, піонера радянської кібернетики, було створено Спеціальне конструкторське бюро математичних машин і систем (СКБ ММС) Інституту кібернетики НАН України як експериментальна, проектна та виробнича база. У жовтні 1992 року воно переросло у велику наукову організацію в області інформатики -

ІПММС НАНУ.

Сучасні найбільш важливі дослідження і розробки Інституту проблем математичних машин і систем НАН України присвячені Ситуаційного центру Міністра оборони України, інформаційно-аналітичної системи "РАДА" Верховної Ради України. До речі, саме ІПММС НАНУ є базовою організацією, яка розробляє організаційні системи українського парламенту. Основними замовниками розробок у сфері підтримки прийняття управлінських рішень виступають Кабінет Міністрів України, Центральна виборча комісія, Міністерство з питань науки і технологій, Міністерство машинобудування, Міністерство екології та ін.

На базі ІПММС НАНУ створена і діє ситуаційний центр - авторська наукова розробка підтримки прийняття управлінських рішень.

Інститут проблем математичних машин і систем має широкі наукові зв'язки з Росією, США, Францією, Німеччиною та іншими країнами.

Роботи вчених ІПММС НАНУ удостоєні 28 Державних премій СРСР, України, іменних премій НАН України, почесні звання лауреатів різних премій мають 44 співробітника.

.2 Структура інституту

У структурі інституту, який входить до складу Відділення інформатики НАН України, сьогодні працюють 11 науково-дослідницьких і 2 конструкторсько-технологічних відділу, об'єднаних в два відділення, а також діють науково-дослідна лабораторія, допоміжні підрозділи та відділи.

1.3 Керівництво інституту

З моменту заснування і по теперішній час директором інституту є член-кореспондент НАН України, д.т.н., професор Анатолій Олексійович Морозов.

Заступник директора - д.ф.-м.н., професор Клименко Віталій Петрович.

Вчений секретар - к.т.н., с.н.с. Ходак Володимир Іванович.

.4 Сфера досліджень

В інституті проводяться фундаментальні і прикладні дослідження в таких пріоритетних сферах, як інтелектуалізовані системи підтримки державного управління, автоматизовані системи екологічного моніторингу, моделювання прийняття рішень, інтелектуальні інформаційні системи на базі нейрокомп'ютерів, роботи зі штучного інтелекту, системи тестування мікроелектронного виробництва NCS-Технології, захист інформації в комп'ютерних і телефонних мережах, інформаційні технології охорони здоров'я, а також з багатьох інших напрямів сучасного застосування новітніх інформаційних технологій в галузі практичної діяльності.

Основні напрямки діяльності відповідно до Статуту інституту:

створення наукових основ, розробка і впровадження інформаційних технологій, автоматизованих систем різного призначення, засобів обчислювальної техніки та систем їх програмного забезпечення;

теорія і технологія побудови інтелектуальних систем типу "Ситуаційні центри", призначених для управління у сфері державної влади, національної безпеки, екологічної безпеки;

теорія, методи і засоби побудови систем інформаційно-аналітичного забезпечення законотворчої й правозастосовної діяльності;

методи побудови програмно-технічних систем криптографічного захисту інформації;

методи і засоби технічного захисту інформації в інформаційних системах, інформаційних технологіях, захисту інформації від несанкціонованого доступу;

теорія, математичні моделі і методи побудови автоматизованих систем моніторингу й підтримки прийняття рішень для вирішення проблем охорони навколишнього середовища та ефективного природокористування;

методи, алгоритми та програмне забезпечення для різноманітних систем обробки інформації;

теорія, математичні моделі і методи побудови систем автоматизації управління технологічними процесами;

теорія, методи дослідження й забезпечення надійності систем автоматизації і управління, інформаційних систем та інших технічних систем.

1.5 Сучасні розробки

ІПММС НАНУ має сучасні розробки за наступними напрямками:

створені теоретичні основи і технологія побудови автоматизованих інтелектуальних систем підтримки прийняття рішень в управлінні державою, відомствами, великими промисловими, господарськими об'єднаннями, корпораціями і т.п. на основі ситуаційного моделювання (системи типу "Ситуаційні центри");

на основі отриманих теоретичних результатів створено та впроваджено в роботу Ситуаційний центр Міністерства оборони України;

розроблено і впроваджено в експлуатацію макет Ситуаційного залу для відпрацювання систем підтримки прийняття рішень в розподілених середовищах, що дозволяє забезпечити адекватність і підвищити ефективність управлінських рішень в екстремальних і позаштатних ситуаціях на різних рівнях державного управління;

розроблено кілька поколінь автоматизованих систем інформаційної підтримки законотворчої діяльності депутатів різного рівня ("РАДА-1", "РАДА-2", "РАДА-3" і ін.), які використовуються більш ніж в 20 законотворчих органах України та за кордоном, у тому числі у Верховній Раді України, Верховній Раді Криму і парламентах Узбекистану і Таджикистану;

створена і введена в експлуатацію система інформаційного обслуговування депутатів Київської міської ради "РАДА 3 - КИЇВ", яка виготовлена на базі сучасної комп'ютерної техніки, периферійних засобів, систем, пультів, табло, комунікацій вітчизняного виробництва. За своїми параметрами і функціональними можливостями система не має аналогів у світі;

за планом підготовки до Євро-2012 розроблені і захищені технічне завдання і технічний проект системи екстреної допомоги населенню за єдиним телефонним номером 112;

розроблена технологія застосування багатомодульних нейромереж для розпізнавання образів ультразвукової локації в системах безпеки пасажирів автомобілів і хімічних образів при створенні інтелектуальних сенсорів для оперативного виявлення забруднень повітря та ін.;

створена інтелектуальна нейросистема, яка включає три підсистеми: багатомодульну нейросистему загального призначення, підсистему рекурентних нейромереж реального часу "Neuro-Conveyor" і підсистему прогнозування часових послідовностей "TrendCaster";

розроблена багатомодульна архітектура дослідного зразка інтелектуальної нейросистеми, яка дозволяє автоматично підключати до системи і реєструвати нові модулі;

вченими інституту розроблено математичні моделі поширення радіонуклідів у водному середовищі, в ґрунті й у повітрі. Створена на їх основі система моделювання та прогнозування наслідків техногенних катастроф зіграла важливу роль у підготовці рішень урядових комісій щодо ліквідації наслідків аварії на Чорнобильській АЕС і Диканьковских очисних спорудах Харківської каналізаційної мережі;

на основі розроблених математичних моделей створено цілий ряд автоматизованих систем підтримки прийняття рішень (СППР) з проблем охорони навколишнього середовища та ефективного природокористування;

розроблені методи побудови та архітектури систем захисту інформації для локальних мереж; створено сімейство типових програмних і апаратних компонентів, з яких будуються подібні системи. Системи мобільного зв'язку прийнята відповідною комісією СБУ і рекомендована до використання в органах державного управління;

розроблена дослідна партія мобільних телефонів, які можуть працювати як у звичайному, так і в захищеному режимі, їх конструкторська документація для їх серійного виробництва;

створені і введені в наукові дослідження і навчальний процес у деяких університетів України системи комп'ютерної алгебри з вхідними мовами високого рівня "АНАЛІТИК-93", "АНАЛІТИК-2000", "АНАЛІТИК-2007";

розроблений універсальний керуючий модуль для компонентів технічних систем, здатний спілкуватися з іншими модулями на спеціальному мовою розподілених сценаріїв з метою організації поступового переходу до безпілотним розподілених систем, які забезпечують прийняття самостійних рішень в критичних ситуаціях;

розроблений макет трирівневої системи підтримки прийняття рішень (в середовищі Windows XP, СКБД ORACLE і ArcMap з питань управління силами і засобами Збройних сил України в процесі ліквідації наслідків надзвичайних ситуацій;

створені та введені в дію десятки систем автоматики на об'єктах будівництва в м. Києві (щорічно впроваджується приблизно 500 систем);

розроблені і впроваджуються енергозберігаючі системи світлодіодного освітлення приміщень. Проведено обладнання вагонів Київського метрополітену дослідницькими зразками енергозберігаючих світлодіодних світильників і систем управління ними, що дозволяє в декілька разів зменшити витрати енергоресурсів.

.6 Акредитація інституту

ІПММС НАНУ акредитований як орган по сертифікації систем управління якістю продукції в Міжнародній системі сертифікації SIC. Успішно пройдена акредитація вимогам європейських стандартів EN 45011. До складу цього органу входить випробувальна лабораторія "ОС УКРСЕРТКОМП'ЮТЕР", яка також акредитована Держстандартом України та Національним агентством з акредитації України (НААУ) згідно з вимогами міжнародного стандарту ДСТУ ISO/EN 17025.

1.7 Наукові заходи

За допомогою сучасних електронних технологій в ІПММС НАНУ проходять традиційні та інтерактивні конференції та семінари, які дають можливість об'єднати зусилля вчених різних країн світу. Вже стали щорічними такі заходи з міжнародною участю, як дистанційна он-лайн конференція "Системи підтримки прийняття рішень. Теорія і практика" і науково-практична конференція "Математичне та імітаційне моделювання систем. МОДС".

.8 Друковані видання

ІПММС НАНУ випускає науково-публіцистичний журнал "Математичні машини і системи". Журнал публікує статті науково-технічного характеру, звіти про нарадах, конференціях, рецензіях на монографії, матеріали проблемного і дискусійного характеру.

2. Апаратне та програмне забезпечення

У ІПММС НАНУ в наявності є приблизно 300 комп’ютерів, майже в кожного співробітника є ноутбуки таких виробників, як: Acer, ASUS, HP, MSI, Samsung, Toshiba та ін.., принтери, і один Touch Screen.

У ІПММС НАНУ існує один ситуаційний центр, на який виділено 16 комп’ютерів (HP, Samsung) та два машинних центри - по 10 комп’ютерів на кожного.

У ІПММС НАНУ є:

локальна мережа, з виходом на глобальну;Fi Alliance для бездротових мереж на базі стандарту IEEE 802.11.

операційні системи: Linux, Windows.

антивіруси: Eset NOD32, Dr.Web CureIt!, Kaspersky AVP Tool.

програми: Microsoft Office, програми для С та ін..

3. Рекомендації до роботи і функціонування інформаційної системи

Інститут проблем математичних машин та систем має велику кількість техніки, деяку з якої розробляють самі співробітники інституту. В наявності багато програм, які модифікуються та удосконалюються, деякі також розроблені в Інституті. Але розвиток невпинно йде вперед і для покращення роботи інституту потрібно було б поновити існуюче технологічне забезпечення, замінити старішу техніку на новішу, покращити програмне забезпечення.

Інституту не вистачає молодих спеціалістів, програмістів, системних адміністраторів.

4. Індивідуальне завдання

Керівником практики було задане індивідуальне завдання на тему: "Ідентифікація людини по електрокардіограмі (ЕКГ)"

.1 Переклад англійської статті на російську

Через брак інформації щодо ідентифікації людини по її ЕКГ, було задано перекласти наукову статтю з англійської мови.

Стаття:

Биомедицинская инженерия онлайн

Исследование Открытый доступ

Много-элементный анализ перекрестной корреляции обнаружения биения в ЭКГ.

Thorsten Last, Chris D Nugent and Frank J Owens

Опубликовано: 23 июля 2004

Содержание:

Справочная информация: первый этап компьютерной обработки ЭКГ -обнаружение биения. Это включает в себя выявление всех сердечных циклов и обнаружение позиции начала и конца каждой из идентифицируемых компонент имеющих форму волны. Точность, при которой осуществляется обнаружение биения, оказывает существенное влияние на общее представление классификации, следовательно, усилия приходится прилагать и в настоящее время, чтобы улучшить этот процесс.

Методы: новый подход обнаружения биения предлагается на основе базовой перекрестной корреляции (cross correlation) и сравнивается с двумя базовыми подходами не-синтаксической и перекрестной корреляции обнаружения биения. Новый подход может рассматриваться как много-элементный (multi-component) вариант традиционной перекрестной корреляции, где каждый из индивидуальных внутренне-волновых компонентов искался в изоляции, противопоставляя этому их вычисление в одном законченном процессе. Каждый из трех методов были сопоставлены на основе их деятельности в выявлении Р-волны, QRS комплекса и Т-волны для 3000 сердечных циклов.

Результаты: Результаты показали, что подход много-элементной перекрестной корреляции превысил показатели двух методов бенчмаркинга по, во-первых, правильному обнаружению сердечных циклов и, во-вторых обеспечил наиболее точный ввод маркера (marker insertion) в 7 из 8 протестированных категорий.

Вывод: Основным преимуществом много-элементного перекрестного алгоритма корреляции видно, во-первых, его способность успешно обнаруживать сердечные циклы и, во-вторых точная вставка маркера биения, основанная на заранее определенных значениях, в отличие от выполнения индивидуального поиска волн по начальным и конечным значениям, сопровождая следующее fiducial (основанное на вере) положение точки.

Справочная информация: Компьютеризированная классификация ЭКГ является сложным и многоэтапным процессом. Главная цель состоит в том, чтобы определить, если пациент "нормальный" и может оставаться без лечения, или проявляет ли пациент какие-либо сердечные аномалии, нуждающиеся в лечении. Классификация ЭКГ с помощью компьютерной техники была активной областью исследований более 4-х десятилетий. Множество алгоритмических методов было применено и разработано[1,2] и все это для общей цели: повышения точности классификации, а также, чтобы алгоритм был настолько же надежен и успешен, как и эксперты кардиологи. Этот процесс может быть разделен на некое число последовательных этапов.

Р-волна, QRS комплекс и Т-волна (маркеры биения) вставляются в записи ЭКГ.

Возможности препроцессорных этапов классификации биения системы очень зависимы на ранних стадиях обработки. Следовательно, обнаружение и свойства Извлечение / Выбор (Extraction/Selection) обеспечивают подходящую информацию с записанного ЭКГ в виде оцифрованного вектора признаков [3]. Это можно рассматривать, чтобы описать текущую морфологию записанного сигнала, от сюда, выполняется последующая обработка по алгоритму классификации [1,2], таким образом, можно получить набор (suggestive diagnostic statements) рекомендательных диагностических решений.

Взяв во внимание многоступенчатый компьютерный подход, необходимость надежного алгоритма обнаружения биений имеет первостепенное значение. Независимо от использованного подхода для анализа и классификации сигнала ЭКГ, требуется точное обнаружение каждого комплекса QRS. Алгоритмы обнаружения биений разработаны для двух главных целей: во-первых, использованный алгоритм должен обеспечить надежное обнаружение каждого сердечного цикла; во-вторых, временное расположение относительных (reference - ссылка, связь) точек должно быть точно описано. В целом, условия обнаружения каждого сердечного цикла включает в себя расположение опорных (fiducial - что-то основанное на вере) точек, как правило, взятых в качестве пиковой амплитуды R-волны, или комплекса QRS. Отсюда можно обнаружить маркеры для других внутренневолновых компонентов (если они присутствуют), а также особенности ЭКГ; начальное и конечное положение QRS начало и его смещение, начальное положение P и его смещение, T смещения (рис 1).

Два наиболее часто используемых подхода обнаружения биения предусматривают использование фиксированного без-синтаксических алгоритмов [3-5] или алгоритмы перекрестной корреляции (CC) [3,6]. Далее представлен краткий обзор каждого подхода.

Без-синтаксическое обнаружения биения Без-синтаксический подход обнаружения биения обычно включает алгоритм, основанный на двух различных шагах; препроцессор (preprocessor) и правило принятия решения. Функция этапа предварительной обработки заключается в улучшении комплекса QRS и подавления всех остальных компонент записанного сигнала, т.е. P и Т волны, а также искусственные (artefacts) шумы. Это достигается за счет применения линейного фильтра, чтобы извлекать необходимые частоты, с последующим нелинейным преобразованием с целью создания единого положительного пика для каждого QRS комплекса.

Полученное из нелинейного преобразования затем обрабатывается с помощью начальной (пороговой) функции, чтобы указать, наличие или отсутствие QRS комплекса. Следующее расположение референтной точки между внутренне-волновых компонент, может находиться слева (P волны) и справа (Т волны) комплекса QRS.

Существует некоторое количество нелинейных преобразований, которые могут применяться и могут происходить в ряде различных перестановок.

Обычно, принятым считается подход, показанный на рисунке 2. Первичная стадия полосовой (bandpass) фильтрации (Примерно 5-25 Гц) снижает уровень шума, который может присутствовать в сигнале. Обнаружение предполагаемой точки не обязательно происходят от исходного сигнала, но может считаться предпочтительным, как только какому-то сигналу были внесены изменения, например, использование дифференциала, возведение в квадрат и интеграл (moving widow integrator). Этап дифференциации происходит как фильтрация верхних частот, используя наклонные характеристики комплекса QRS.

Функция возведения в квадрат также благоприятна для высокочастотных компонент сигнала и служит причиной для сигнала ректификации. Интегрирование включает в себя информацию, относящуюся к продолжительности комплекса QRS, который был распознан в электрокардиографии, как правило, имея самую длинную продолжительность любого компонента в ЭКГ. QRS комплексы физиологически не могут появляться чаще, чем 200 мс подряд. Поэтому обычно, когда обнаружен QRS комплекс, превышающий предел в 200 мс начинается период "гашения". Это исключает случай, при котором тот же комплекс QRS будет обнаружен дважды, или же Т волна ошибочна для QRS комплекса. (Для получения более подробной информации исследований применения несинтаксического обнаружения биения смотрите [3]).

Перекрестная корреляция на основе обнаружения удара

Функция CC может быть использована для измерения сходства между двумя сигналами [7]. Этот процесс влечет за собой вычисление из суммы произведений соответствующих пар точек двух сигналов, в пределах указанного периода времени, или окна. Процесс также принимает во внимание любую разницу потенциалов фаз между двумя сигналами с помощью включение лидирующего, или отстающего условия (term). Формула для CC представляется в виде:


где N представляет собой число выборок, J является фактором задержки и  и  являются двумя сигналами. Для нормализации результатов, основанных на количестве точек выборки, вводится фактор1 / N. Когда значение  является максимальным, то это считается точкой максимального сходства двух сигналов (волновых форм). Поскольку необходимое количество отставания между двумя сигналами изначально неизвестно, должны быть введены различные степени задержки в пределах указанного интервала корреляции.

Можно использовать CC для обнаружения биений, путем нахождения точки максимального сходства между сигналом ЭКГ и предопределенным шаблоном и, следовательно, определение временного расположения комплекса QRS. Кроме того, для алгоритма CC необходимо сохранить шаблон или ориентировочный (reference) сигнал ЭКГ сигнала.

Происхождение шаблона может быть из различных источников. Здесь уже действует адаптация, в результате чего часть записанной ЭКГ пациента усреднена и хранится для первоочередного анализа. В качестве альтернативы, математическая модель может быть использована или совокупность записей ЭКГ из базы данных могут быть использованы для получения общего шаблона.

Многие исследования в прошлом успешно сообщили об использовании СС в качестве средства автоматического обнаружения биений. Abboud [6] использовали функцию CC, рассчитанную с использованием перекрестного

спектра и алгоритма быстрого преобразования Фурье для extrastoyle (нет такого слова в английском языке) отказа и расположение координатных (fiducial) точек. Об изменениях в алгоритме CC также было сообщено. Это считалось более вычислительно эффективным, так как они не требуют интенсивного мультипликативного процесса, связанного с CC, но могут быть основаны, например, на взвешенной корреляции методов различия [8] и среднем разностным методом перекрестного различия[9].

Методы СС, как правило, сосредоточены на использовании одной волновой формы в качестве основы для шаблона, например, QRS комплекс(а). Алгоритмы Abboud и др. [6] были адаптированы Govrin-ом. [10], чтобы облегчить положение с помощью CC и Р-волн и QRS комплексов. Шаблоны обеих волн были использованы с неизвестным ЭКГ следами, чтобы идентифицировать отдельные компоненты каждого сердечного цикла.


Цель данного исследования изучить потенциал адаптации общего подхода СС основанного на точных и надежных способах для обнаружения биений. Этот подход в прошлом показал себя успешным и, следовательно, был исследован с целью дальнейшего совершенствования. Частные шаблоны для Р-волн, QRS комплексов и Т-волн сгенерированы и подход CC применен индивидуально для идентификации каждого из этих компонент, как противоположные общему шаблону СС (template CC based approach).

Стандартные подходы также были разработаны для целей тестирования. Структура оставшейся части статьи следующая:

В разделе 2 описывается новый метод обнаружения биений, который основан на фундаментальных знаниях CC. Также, представлено описание разработанных методов сравнительного анализа. Раздел 3 описывает структуру набора данных и представляет результаты и обсуждения для обнаружения алгоритма биений. Окончательные выводы в исследования представлены в разделе 4.

Методы

Целями данного исследования было изучить возможности разработки нового подхода к обнаружению биений, который будет предлагать повышенную точность и надежность в сравнении с установленными методиками. Два разных подхода: один, основанный на стандартном не-синтаксическом подходе и второй, основанный на стандартном подходе СС были разработаны для целей сравнительного анализа (benchmarking). Улучшение обоих этих алгоритмов были основаны на существующих опубликованных подходах. Также был разработан новый подход, основанный на многокомпонентном алгоритме СС.

Не-синтаксический подход

Первый этап не-синтаксического подхода является включение полосового фильтра, с центром в точке 17 Гц. Это сделано для того, чтобы изолировать преобладающую энергию QRS и ослабления низкочастотных характеристик Р и Т-волн [11]. (Полоса пропускания, которая максимизирует QRS энергию в диапазоне приблизительно 5-25 Гц). Полосовой фильтр FIR был реализован с разницей уравнения (with the difference equation), что выражено в уравнении 2:


где  фильтруемая последовательность вывода,  представляет вход ЭКГ сигнала и  представляет коэффициенты, рассчитанные с алгоритмом Remez [12]. Чтобы создать необходимый уровень дифференциации, пятая производная будет равна нулю (как показано в уравнение 3).


Функция H(z) в уравнении 3 ведет себя таким же образом и в параболическом сглаживающем фильтре и не усиливает какой-либо высокочастотный шум. Преимуществом такого фильтра является то, что он идет к нулю посередине образца частоты. Нелинейное преобразование осуществляется возведением в квадрат точки - за точкой образцов сигнала. Эта производная приближает идеальную производную в постоянном до 30 Гц частотном диапазоне. Это необходимый диапазон частот, так как все более высокие частоты значительно ослабляются полосовым фильтром. И, наконец, квадрат сигнала (волновой формы) проходит через двигающееся окно интегратора.

Было использовано окно интегратора с разностным уравнением - это представлено в уравнении 4:


где N- число выборок в ширину двигающегося окна. Интегратор суммирует площадь под квадратом сигнала (имеющего волновую форму) больше чем аппроксимированный интервал в 180 мс, продвигается на один интервал выборки и интегрирует новое окно в 180 мс.

Чтобы найти опорные точки, нужно "выжать" максимум из QRS комплекса. Следуя вышеупомянутому процессу записанного сигнала, ищется максимальная амплитуда результирующего сигнала. Начальное пороговое значение основано на 80% от максимальной амплитуды, найденной в начальном периоде обучения и используется, чтобы найти потенциальные QRS комплексы. Внутри 125 мс окна, после превышения этого значения, расположение максимальной амплитуды считается опорной точкой.

Упорный этап мигания в 200 мс приоритетно используется для повторения этого процесса для следующего сердечного цикла. Маркерам начала и конца задан следующий градиент поиска справа и слева от опорной (fiducial- основанной на вере) точки в пределах окна в 200мс с каждой стороны. Была изучена техника порога, в результате чего, следующее местоположении 6%-го градиента, в течение, по меньшей мере, 25 мс, слева и справа от координатной (fiducial) точки начальные и конечные точки были определены соответственно.

Предшествующий расположению конечной Т-волны, изначальный сигнал был отфильтрован на низкой частоте около 12 Гц в целях максимизировать частоту волны Т в то время как проходило подавление оставшихся внутренне волновых компонент. Со знанием конца QRS-комплекса и началом следующего смежного QRS-комплекса значение пика Т-волны, т.е. максимальное значение в пределах найденного окна, был рассчитан. Смещение Т находится на основе поискового метода снижения градиента порога (gradient descent tresholding). Состояние порогов было установлено ​​на уровне 25% от максимального градиента волны Т, в течение, по меньшей мере, 25 мс, справа ее пика.

После фильтрации и сглаживания, Р-волна была найдена в окне 300 мс до начала QRS. Аналогично конечному расположению Т-волны, максимум (или пик) расположен в пределах определенного окна до местоположения начал и смещений (onsets and offsets). Начало выявило 75% обнаружение от максимального градиента, в течение, по меньшей мере, 25 мс, слева от пика, а (offset - смещение, конец) конец выявил 75% обнаружение от максимального градиента, в течение, по меньшей мере, 25 мс, справа от пика.подход

Необходимые шаблоны, требуемые для СС, были получены на первоначальной стадии подготовки анализа CC. На этом этапе шаблоны нужны на индивидуальной основе, которые были получены путем усреднения сердечных циклов в начальном участке записи ЭКГ пациента. Это требование для подготовительной стадии в целом является результатом основных подходов CC, которые являются более подходящими для ситуаций амбулаторных обработок, например, из записей Holter-a, в отличие от анализа краткосрочных периодов ЭКГ в состоянии покоя.

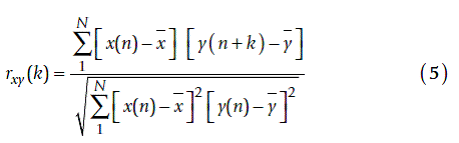
Учитывая, что бесконечные сигналы должны быть проанализированы, функция CC для задержки "к" может быть определена как показано в уравнении 5:


где коэффициент корреляции определяется как:


где Z может быть вставить в х или у. Подход CC используется только для обнаружения координатных точек. Сигнал перекрестно связан (корреляция) с целым шаблоном PQRST. Функция корреляции вычисляет количество коррелированных коэффициентов и возвращает позицию наибольшего значения.

Пороговое значение может быть изменено для каждого сигнала и шаблона, если это необходимо. Это обеспечивает приспособляемость для каждой индивидуальной записи пациента.

Начало и конец QRS, а также начало и конец Р-волны и конец Т-волны обнаружены с аналогичным градиентным методом поиска, как описано в несинтаксическом подходе в предыдущем разделе. Основное различие состоит в том, что поисковые окна, в которых выполняется градиентный поиск зависит от расстояний указанных в шаблоне, с которым ЭКГ сигнал является перекрестно коррелируем.

Основной много-компонентный алгоритм CC

С предложенным методом многокомпонентного алгоритма обнаружения СС, используются отдельные шаблоны для каждого внутренне волнового компонента. Каждый шаблон состоит из индивидуального компонента полного сердечного цикла, детализирует положения маркеров для соответствующего внутренне волнового компонента начала и конца (смещения). В данном подходе, 3 шаблона были использованы, один для Р-волны, один для комплекса QRS и один для Т-волны (рис 3).


Метод нахождения основан исключительно на СС и структурирован в несколько процедурных этапов, как показано на рис. 4. Функция СС используется на все этапах, как описано в уравнении 5. Разница только в том, что для каждой искомой внутренне волновой компоненты используются разные шаблоны внутри алгоритма. Первый шаг в этом процессе связан с местоположением комплекса QRS. Из этого процесса, шаблон QRS перекрестно коррелирует з ЭКГ сигналом. Следующим шагом выявления Р-волны, которая задается с помощью той же функции СС, но в этом случае, шаблоном является представителем Р-волны пациента. Последний этап включает в себя определение Т-волны. В этом процессе, шаблон, который представляет Т-волну пациента, перекрестно-коррелируется с сигналом ЭКГ используя ту же функцию СС, что и в предыдущих двух шагах. В каждом случае значение, которое указывается как точка максимального сходства, то есть наивысший корреляционный коэффициент, между ЭКГ и шаблоном, в середине данного корреляционно интервала сравнивается с наперед найденным порогом.

Пороговый уровень, используемый сначала для нахождения пика амплитуды, может изменятся в алгоритме, если это необходимо, и он определяется во время предыдущей фазы изучения. Если значение амплитуды превышает порог, считается, что выявление сигнала имеет место, в другом случае процесс повторяется с новой порцией сигнала. Маркеры для начала QRS, QRS смещение, начало Р-волны и смещение Р-волны, а также смещение Т-волны формируют часть шаблонов, которые используются в процессе СС. Значит, как только индивидуальные внутренне волновые компоненты выявлены, маркеры генерируются автоматически на основе шаблонов, которые используются без требования использования любых систем поиска, основанных на градиенте.

Результаты и обсуждение

Для изучения эффективности алгоритмов, были использованы урывки с уже созданной базы данных QT {13}. Эта база данных была разработана специально для оценки алгоритмов, которые выявляют границы форм сигналов в ЭКГ. База данных имеет приблизительно 100 записей, каждая запись состоит из 15-минутных данных с двухканальной цифровой ЭКГ. Были выбраны записи с базы банных МИТ-ВИН, европейской базы данных ST-T и нескольких других баз данных ЭКГ, собранных в Бостонском мед центре. Каждая запись, минимум 30 ударов, была вручную записана клиническими экспертами. Для каждого записанного такта были выставлены следующие маркеры: начало Р-волны, смещение Р-волны и пиковая амплитуда Р-волны, начало QRS, смещение QRS и максимальная амплитуда QRS, а также смещение Т-волны, пик амплитуды Т-волны. Для решения задач данного исследования, каждому алгоритму сделано 3000 ударов с этой базы данных. Сравнение алгоритмов выявления биения было использовано для количественной оценки точности каждого из трех алгоритмов выявления биений, о которых говорилось выше, с точки зрения из правильного позиционирования относительно маркеров биения, также были использованы измерение средней ошибки (СП) и стандартного отклонения (СВ) этой ошибки. Значение СПиспользуется для определения, насколько близко находится детектор для записанных маркеров, а значение СВ дает информацию, которая относится к стабильности критериев определения. В целях проверки, база данных, которую используют для тестирования {13} имеет связанный с собой набор значений допуска для каждого с маркеров биения. Эти меры могут быть рассмотрены как минимальные значения, которые ожидаются от любого автоматического алгоритма. Точность, с которой автоматизированные алгоритмы выполняют определение, была сравнена с ручными записями и клинически подтвержденными маркерами биения. Такие сравнения с золотым стандартом и потом с другими автоматизированными подходами по эксплуатации тех же наборов данных, придерживаются рекомендованных подходов сравнения автоматизированных систем поддержки медицинских решений и техники {14}. Средние значения для СВ (уравнение 6) в СП могут генерироваться по такой формуле:


Где хid - некая позиция маркера для кривой ЭКГ і определяется алгоритмом, который используется и хim является оригинально сохраненной позицией маркера с базы данных записанной экспертами для кривой ЭКГ.

В таблице 1 приведены характеристики каждого из алгоритмов выявления 3000 сердечных циклов с тестового набора. Таблица 2 показывает работу каждого с алгоритмов в сравнении с принятыми допусками для вставки маркеров.

С точки зрения общей точности выявления сердечных циклов, как показано в таблице 1, многокомпонентный СС поход обеспечил лучшие результаты. Преимущества учтения только комплекса QRS во время СС процесса обеспечивает улучшение в обнаружении каждого сердечного цикла. Можно считать, что волна PQRST является более сложной ситуацией для того, чтобы достичь точного измерения максимальной схожести во время корреляционного процесса, чем шаблон, который представляет собой только QRS часть ЭКГ.

Таблица 1: Полученные результаты после применения 3000 сердечных циклов для каждого алгоритма.


Таблица 2: Результаты точности маркера после применения 3000 сердечных циклов для каждого алгоритма.

Учитывая точность, с которой этим трем алгоритмам удалось выявить правильное положение для маркера вставки, как показано в таблице 2, было показано, что многокомпонентный СС подход, превысил два алгоритма в тестировании в 7 из 8 начальных позициях маркера. В другом случае QRS амплитуда многокомпонентного СС подхода добился аналогичного СВ 1.8 мс при традиционном СС подходе. Несинтаксический и СС подход проводятся по аналогичному уровню относительно прошлых точных результатов в 5 из 8 значений маркера. Значение СВ, правда, отличаются только незначительно. Это можно рассматривать как результат обеих методов использования подобных подходов градиентного поиска, чтобы определить начало и смещение. Разницу в результатах можно рассматривать разным образом, в котором каждая методика определяет окно поиска, на протяжении которого выполняется градиентный поиск.

Повышенную точность вставки маркера многокомпонентного подхода СС можно отнести к ряду причин. Основным фактором является избегание любых градиентных методов поиска для позиционирования маркера, как это требуют два стандартных подхода. Так как многокомпонентный СС подход имеет определенные положения маркеров, которые встроены как преобладающие особенности его конструкции, способность точно определять опорные точки является более важным процессом, за который алгоритм возьмется первым делом. После этого процесса, маркер используются в двух стандартных методах градиентного поиска, которые склонны к ошибочному выявлению локальных градиентов шума, которые еще остались в сигнале, который рассматривается.

Взяв во внимание принятые допуски на 5 маркеров, которые определены в таблице 2, многокомпонентный подход СС отвечал четырем из них (QRS не на много выше 6.6 мс, против 6.5 мс).

4.2 Загальні відомості ідентифікації людини по її ЕКГ

Для ідентифікації людини по ЕКГ сигналу, потрібно провести кореляцію нової і старої ЕКГ. Якщо відповідність буде вищою за 95%, то ЕКГ належить одній і тій самій особі.

Кореляція проводиться в програмі "Statistica", в яку потрібно загрузити дані ЕКГ в Excel файлі. Після чого, можна створити графік, за допомогою якого побачимо криву кореляції двох ЕКГ сигналів і зможемо відповісти на запитання, чи маємо ми дані однієї людини.

4.3 Програма "Statistica"

 (торгова марка - STATISTICA) - пакет для всестороннього статистичного аналізу, розроблений компанією StatSoft. В пакеті STATISTICA реалізовані процедури для аналізу даних, управління даними, добування даних, візуалізації даних.

Система STATISTICA складається з окремих модулів, кожний з яких є повноцінним Windows-застосунком. Можна швидко і зручно переключатися з одного модуля в інший, клацаючи мишею на значках модулів на робочому столі чи активізуючи відповідне вікно застосунку (якщо воно вже було відкрите) або вибираючи модулі в діалоговому вікні. Інтерфейс системи може бути вбудований у конкретний проект користувача.

Найсильнішою стороною пакета є графіка і засоби редагування графічних матеріалів. Представлено сотні типів графіків, матриці і піктограми. Існує можливість розробити свій дизайн графіка і додати його до меню. Засоби керування графіками містять у собі роботу одночасно з декількома графіками, зміну розмірів складних об’єктів, розширені можливості малювання з додаванням художньої перспективи і спеціальних ефектів, розбивку сторінок. Наприклад, трьохмірні графіки можна обертати, накладати один на одного, стискувати або збільшувати. Крім того можна побачити на графіках, які фрагменти там змінилися під впливом змін в одній з перемінних.

Висновки

інститут математичний програмний переклад

Україна поки що далека від ідеальної ідентифікації людини за ЕКГ. Потрібно зробити безліч дослідів перед тим, як можна буде впровадити цей принцип в широкі маси. Однак, перспектива величезна і ми неупинно рухаємося в бік успіху.

Проходячи практику в Інституті проблем математичних машин і систем я вивчив специфіку установи, ознайомився з правилами безпеки при роботі з ПК та науковою діяльністю інституту, а також придбав навички в роботі з програмним пакетом "Statistica" і дізнався про новий тренд - ідентифікацію людини за даними ЕКГ.

Практична підготовка студентів в Інституті проблем математичних машин і систем максимально наближена до умов професійної діяльності, і є відповідним її аналогом.

Список використаної літератури

1. http://ru.wikipedia.org/wiki/Кибернетический_центр_(Кибцентр);

. http://www.immsp.kiev.ua/news/index.html;

. Англійська стаття: "Multi-component based cross correlation beat detection in electrocardiogram analysis" Thorsten Last, Chris D. Nugent and Frank J. Owens;

4. http://www.statsoft.ru/

Похожие работы на - Інститут проблем математичних машин і систем

 

Не нашли материал для своей работы?
Поможем написать уникальную работу
Без плагиата!
Без нейросетей!