Исследование влияния параметров MOCVD-осаждения на структуру, электрические и магнитные свойства тонких пленок Со
Министерство
образования и науки Российской Федерации
федеральное
государственное автономное образовательное учреждение
высшего
образования
«НАЦИОНАЛЬНЫЙ
ИССЛЕДОВАТЕЛЬСКИЙ
ТОМСКИЙ
ПОЛИТЕХНИЧЕСКИЙ УНИВЕРСИТЕТ»
Институт
физики высоких технологий
Направление подготовки
Материаловедение и технологии материалов
Кафедра
Материаловедение в машиностроении
БАКАЛАВРСКАЯ
РАБОТА
Тема работы
Исследование
влияния параметров MOCVD-осаждения
на структуру, электрические и магнитные свойства тонких пленок Со
УДК 538.95
Студент
Хайруллин Рустам Равильевич
Руководитель
Зав.
лаб. ФПЯ ИФПМ СО РАН Панин А. В Д. ф.-м.н., доцент
КОНСУЛЬТАНТЫ:
доцент
Петухов О. Н. К.э.н., доцент
По
разделу «Социальная ответственность»
Доцент
Кузнецов В. П. К.т.н
Томск - 2014
г.
Планируемые результаты обучения по программе
150100 (бакалавриат)
|
Код
результата
|
Результат
обучения
|
|
Общекультурные
компетенции
|
|
Р1
|
Способность
применять основные положения и методы социальных, гуманитарных и
экономических наук при решении социально-общественных и профессиональных
задач, способность анализировать социально-значимые проблемы и процессы.
Осуществлять коммуникации в профессиональной среде и в обществе в целом, в
том числе на иностранном языке.
|
|
Р2
|
Демонстрировать
понимание сущности и значения информации в развитии современного общества,
владение основными методами, способами и средствами получения, хранения,
переработки информации; использование для решения коммуникативных задач
современных технических средств и информационных технологий.
|
|
Р3
|
Способность
самостоятельно применять методы и средства познания, обучения и самоконтроля,
осознавать перспективность интеллектуального, культурного, нравственного,
физического и профессионального саморазвития и самосовершенствования, уметь
критически оценивать свои достоинства и недостатки.
|
|
Р4
|
Способность
эффективно работать в кооперации с коллегами, находить
организационно-управленческие решения в нестандартных ситуациях и готовность
нести за них ответственность, владеть основами общего и производственного
менеджмента и использовать их в профессиональной деятельности.
|
|
Р5
|
Демонстрировать
знание правовых, социальных, экологических и культурных аспектов комплексной
инженерной деятельности, осведомленность в вопросах охраны здоровья,
использовать методы и приемы организации труда, обеспечивающие эффективное,
экологически и технически безопасное производство.
|
|
Профессиональные
компетенции
|
|
Р6
|
Умение
использовать базовые знания математических и естественнонаучных дисциплин и
дисциплин общепрофессионального цикла в объеме, необходимом для использования
в профессиональной деятельности основных законов соответствующих наук,
разработанных в них подходов, методов и результатов математического анализа и
моделирования, теоретического и экспериментального исследования в комплексной
инженерной деятельности с целью моделирования объектов и технологических
процессов в машиностроении.
|
|
Р7
|
Умение
использовать традиционные и новые технологические процессы, операции,
оборудование, нормативные и методические материалы по технологической подготовке
производства, качеству, стандартизации и сертификации изделий и процессов,
умение выбора материалов для заданных условий эксплуатации с учетом
требований технологичности, экономичности, надежности и долговечности,
экологических последствий их применения.
|
|
Р8
|
Умение
применять основы высокотехнологичного инновационного менеджмента, в том числе
малого бизнеса, владеть навыками в организации и техническом оснащении
рабочих мест; разработке оперативных планов работы первичных производственных
подразделений, оценке рисков и определении мер по обеспечению экологической и
технической безопасности разрабатываемых материалов, техники и технологий.
|
|
Р9
|
Умение
использовать принципы и методики комплексных исследований, испытаний и
диагностики, обработки и модификации материалов, изделий и процессов их
производства, включая стандартные и сертификационные испытания; умение
применять технические средства для измерения и контроля основных параметров
технологических процессов, свойств материалов и изделий из них.
|
|
Р10
|
Умение
применять современные информационно-коммуникационные технологии, глобальные
информационные ресурсы в научно-исследовательской и расчетно-аналитической
деятельности в области материаловедения и технологии материалов.
|
|
Р11
|
Умение
использовать на практике современные представления наук о материалах,
взаимодействии материалов с окружающей средой, владение навыками сбора
данных, изучения, анализа и обобщения научно-технической информации по
тематике исследования, разработки и использования технической документации,
основных нормативных документов по вопросам интеллектуальной собственности,
подготовки документов к патентованию, оформлению ноу-хау.
|
|
Р12
|
Способность
комплексно оценивать и прогнозировать тенденции и последствия развития науки
о материалах, на основании комплексной оценки формулировать
научно-техническую проблему в области изготовления, диагностики и применения
наноматериалов. Знание внутри- и междисциплинарных связей в сфере
профессиональной деятельности.
|
Министерство
образования и науки Российской Федерации
федеральное
государственное автономное образовательное учреждение
высшего
образования
«НАЦИОНАЛЬНЫЙ
ИССЛЕДОВАТЕЛЬСКИЙ
ТОМСКИЙ
ПОЛИТЕХНИЧЕСКИЙ УНИВЕРСИТЕТ»
Институт
физики высоких технологий
Направление
подготовки Материаловедение и технологии материалов
Кафедра
Материаловедение в машиностроении
УТВЕРЖДАЮ:
Зав.
кафедрой
_________________
Панин В. Е.
ЗАДАНИЕ
на
выполнение выпускной квалификационной работы
В форме:
Бакалаврской
работы
Студенту:
Хайруллин
Рустам Равильевич
Тема
работы:
Исследование
влияния параметров MOCVD-осаждения
на структуру, электрические и магнитные свойства тонких пленок Co
Утверждена
приказом директора ИФВТ
Приказ
№ 2192/с от 16.04.2014 г._
ТЕХНИЧЕСКОЕ ЗАДАНИЕ:
|
Исходные
данные к работе (наименование объекта исследования или проектирования;
производительность или нагрузка; режим работы (непрерывный, периодический,
циклический и т. д.); вид сырья или материал изделия; требования к продукту,
изделию или процессу; особые требования к особенностям функционирования (эксплуатации)
объекта или изделия в плане безопасности эксплуатации, влияния на окружающую
среду, энергозатратам; экономический анализ и т. д.).
|
В
работе исследовали тонкие пленки Co,
нанесенные методом CVD на подложки Si (100). В
качестве предшественника использовали дииминат кобальта Co(N’acN’ac)2.
Длительность осаждения всех исследованных образцов составляла 2-4 часа, в
качестве газа-носителя использовали Ar (скорость
подачи 1л/ч), а в качестве газа-реактанта - H2
(скорость подачи 4 л/ч), давление в камере осаждения составляло 1 атмосферу.
Были исследованы 3 партии образцов. В первой партии была зафиксирована
температура испарителя, равная Тисп = 1200С, при этом температура подложки
варьировалась в пределах Тподл = 310¸420 0С. Во второй партии также зафиксирована
температура испарителя (1300С), а температура подложки изменялась от 300 до
3400С. В третьей партии температура подложки была постоянной (3300С), а
температура испарителя варьировалась в интервале от 120 до 1550С. Пленки
кобальта не токсичны. Стоимость одного образца с учетом транспортных расходов
составляет 350 р. Всего исследовано 17 образцов.
|
|
Перечень
подлежащих исследованию, проектированию и разработке вопросов (аналитический
обзор по литературным источникам с целью выяснения достижений мировой науки
техники в рассматриваемой области; постановка задачи исследования,
проектирования, конструирования; содержание процедуры исследования,
проектирования, конструирования; обсуждение результатов выполненной работы;
наименование дополнительных разделов, подлежащих разработке; заключение по
работе).
|
1.
Литературный обзор, включающий сравнительный анализ методов нанесения
металлических пленок, а также основные моменты работ российских и зарубежных
исследователей по магнитным и электрическим свойствам пленок кобальта. 2.
Исследование морфологии поверхности, проведение рентгеноструктурных
исследований, измерение толщины, магнитных и электрических характеристик
пленок кобальта. 3. Обсуждение результатов работы 4. Установление оптимальных
режимов получения пленок кобальта с наилучшими магнитными и электрическими
свойствами. 5. Дополнительные разделы: «Финансовый менеджмент,
ресурсоэффективность и ресурсосбережение», «Социальная ответственность».
|
|
Перечень
графического материала (с точным указанием обязательных чертежей)
|
Презентация
ВКР в Power
Point
|
|
Консультанты
по разделам выпускной квалификационной работы (с указанием разделов)
|
|
Раздел
|
Консультант
|
|
Финансовый
менеджмент, ресурсоэффективность и ресурсосбережение
|
О.Н.
Петухов, доцент, НИ ТПУ
|
|
Социальная
ответственность
|
В.П.
Кузнецов, доцент, НИ ТПУ
|
|
Названия
разделов, которые должны быть написаны на русском и иностранном языках:
|
|
Реферат
|
|
|
|
|
Дата
выдачи задания на выполнение выпускной квалификационной работы по линейному
графику
|
|
Задание выдал руководитель:
|
Должность
|
ФИО
|
Ученая
степень, звание
|
Подпись
|
Дата
|
|
Зав.
лаб. ФПЯ ИФПМ СО РАН
|
Панин
А. В.
|
Д.
ф.-м.н., доцент
|
|
|
Задание принял к исполнению студент:
|
Группа
|
ФИО
|
Подпись
|
Дата
|
|
4Б00
|
Хайруллин
Рустам Равильевич
|
|
|
РЕФЕРАТ
Выпускная квалификационная работа 96 с., 24 рис.,
15 табл., ___27_____источников, 0 прил.
Ключевые слова: пленки Co,
CVD, температура
подложки, температура испарителя, микронапряжения, химический состав,
морфология поверхности, остаточная намагниченность, намагниченность насыщения,
коэрцитивная сила, удельное электрическое сопротивление.
Объектом исследования является (ются) пленки Co,
нанесенные на подложки Si
методом CVD.
Цель работы - исследование возможности получения
пленок Co методом CVD
из диимината кобальта Co(N’acN’ac)2 с заданными магнитными и электрическими
свойствами.
В процессе исследования проводились
экспериментальные работы по изучению влияния условий CVD-осаждения
на структуру, электрические и магнитные свойства пленок Co.
В результате исследования установлено, что
пленки Co с высокими
магнитными и электрическими характеристиками получаются при температуре
испарителя, равной 130 оС, и при температуре подложки, равной 320-330 оС.
Степень внедрения: выполнен эксперимент
Область применения: создание на основе пленок Co
высокочувствительных магнитных датчиков, способных регистрировать слабые
магнитные поля движущихся объектов. Данные датчики могут применяться в
технических средствах охраны, обнаружителях металлов , регистраторах
железнодорожного подвижного состава и автомобильного транспорта.
Экономическая эффективность/значимость работы:
полученные результаты будут использованы для исследования влияния условий CVD-осаждения
на структуру и магнитные свойства пленок системы Co-Pt,
которые являются перспективным материалом для создания устройств хранения
информации с высокой плотностью записи данных.
В будущем планируется исследование возможности
получения пленок системы Co-Pt
методом CVD с заданными
магнитными свойствами.
ABSTRACT
work 96 p., 24 fig., 15 tables,
_27_references, 0 app.: Co films, CVD, substrate temperature, vaporization
temperature, microstresses, chemical composition, surface morphology, residual
magnetization, saturation magnetization, coercive force, electrical
resistivity.objects of study are Co films deposited on Si substrates by
CVD.aim of this research - to investigate the possibility of Co films
deposition by CVD from cobalt diiminate Co(N’acN’ac)2 with required magnetic
and electrical properties.researches of the effects of CVD conditions on the
structure, electrical and magnetic properties of Co films were carried out.a
result it was found that Co films deposited at vaporization temperature 130 оС
and substrate temperature 320-330 оС
were characterized by high magnetic and electrical characteristics.degree of an
introduction: the experiment was carried out.area of application: a creation of
sensitive magnetic sensors based on Co films. These sensors are able to detect
weak magnetic fields of moving objects and can be applied in technical means of
protection as well as in detectors of metals, rolling stocks and road
transports.efficiency / value of the work: the obtained results will be used
for an investigation of the effects of CVD conditions on the structure and
magnetic properties of Co-Pt films that are perspective materials for a
creation of data storage devices with high density recording.the future it is
planned an investigation the possibility of Co-Pt films deposition by CVD with
required magnetic properties.
Определения,
обозначения, сокращения, нормативные ссылки
В данной работе применены следующие термины с
соответствующими определениями:
коэрцитивная сила: Величина внешнего магнитного
поля, которую необходимо приложить к предварительно намагниченному телу, чтобы
полностью его размагнитить.
остаточная намагниченность: Величина магнитного
момента единицы объема, которую имеет материал при отсутствии внешнего
магнитного поля.
намагниченность насыщения: Максимальная величина
магнитного момента единицы объема, которой характеризуется материал,
находящийся во внешнем магнитном поле.
область когерентного рассеяния: Определенная
область материала, рассеивающая падающее излучение когерентно.
микронапряжения: Напряжения, возникающие в
поликристаллическом материале между отдельными кристаллитами или внутри них.
В настоящей работе использованы ссылки на
следующие стандарты:
. ГОСТ 12.0.003-74 ССБТ. Опасные и
вредные производственные факторы. Классификация.
. ГОСТ 12.1.005-88 ССБТ. Общие
санитарно-гигиенические требования к воздуху рабочей зоны.
. ГОСТ 12.1.030-81 ССБТ.
Электробезопасность. Защитное заземление и зануление.
. ГОСТ 12.1.038-82 ССБТ.
Электробезопасность. Предельно допустимые значения напряжений прикосновения и
токов.
. ГОСТ 12.2.032-78 ССБТ. Рабочее место
при выполнении работ сидя. Общие эргономические требования.
. СНиП 2.01.02-85. Противопожарные нормы.
. СНиП II-2-80.
Противопожарные нормы проектирования зданий и сооружений.
. СНиП II-4-79. Естественное и
искусственное освещение.
. СН 181-70. Указания по проектированию
цветовой отделки интерьеров производственных зданий промышленных предприятий.
. СН 245-7. Санитарные нормы
проектирования промышленных предприятий.
. СП 2.2.1.1312-03. Гигиенические
требования к проектированию вновь строящихся и реконструируемых промышленных
предприятий
. СанПиН 2.2.2/2.4.1340-03. Гигиенические
требования к персональным электронно-вычислительным машинам и организации
работы.
Оглавление
Введение
. Обзор литературы
.1 Получение металлических пленок и
покрытий методами CVD
и PVD
1.2 Влияние условий осаждения на
структуру, электрические и магнитные свойства пленок Co
1.3 Влияние условий осаждения на
структуру и магнитные свойства пленок системы Co-Pt
1.4 Постановка задач
. Объект и методы исследования
.1 Материалы исследования
.2 Методика эксперимента
. Результаты проведенного
исследования
.1 Рентгеноструктурные исследования
пленок кобальта
.2 Влияние условий осаждения на
морфологию поверхности пленок кобальта
.3 Влияние условий осаждения на
толщину пленок кобальта
.4 Магнитные и электрические
свойства пленок Co
3.5 Обсуждение результатов
Задание для раздела «Финансовый
менеджмент, ресурсоэффективность и ресурсосбережение»
. Раздел «Финансовый менеджмент,
ресурсоэффективность и ресурсосбережение»
.1 Классификация НИР
.2 Разделение НИР на этапы
.3 Определение трудоемкости этапов
НИР
.4 Составление сметы затрат
.4.1 Затраты на амортизацию
оборудования
.4.2 Затраты на основные и
вспомогательные материалы
.4.3 Затраты на заработную плату
.4.4 Страховые отчисления
.4.5 Затраты на электроэнергию
.4.6 Смета затрат на НИР
Задание для раздела «Социальная
ответственность»
. Раздел «Социальная
ответственность»
.1 Введение
5.2 Техногенная безопасность
.2.1 Вредные факторы
.2.2 Опасные факторы
.3 Охрана окружающей среды
.4 Организационные мероприятия
обеспечения безопасности
.5 Чрезвычайные ситуации
Заключение
Список публикаций студента
Список использованных источников
DVD-диск.
Пояснительная записка ВКР (файл «Хайруллин, ВКР» в формате doc)
и презентация ВКР (файл «Хайруллин, ВКР» в формате pptx)
Введение
В настоящее время исследование тонких
ферромагнитных пленок является перспективным ввиду возможности создания
композиционных постоянных магнитов для микромеханики и высокочувствительных
магнитных датчиков, способных обнаруживать слабые магнитные поля движущихся
объектов. Огромный интерес для исследований представляют пленки системы Co-Pt
благодаря наличию в них перпендикулярной анизотропии, т. е. возможности
возникновения в них оси легкого намагничивания, направленной перпендикулярно к
плоскости пленки. Данное свойство широко используется для создания устройств с
ультравысокой плотностью записи данных [1].
Существует множество способов получения
металлических тонких пленок. Но среди них наиболее перспективным является метод
химического осаждения из газовой фазы (CVD),
так как позволяет получать пленки высокой чистоты, с высокой однородностью
толщины и состава, минимальными повреждениями подложки, высокими скоростями
осаждения и возможностью нанесения на изделия сложной формы [2]. Процесс
получения пленок с заданными свойствами данным методом весьма сложный.
Существует множество параметров CVD-осаждения,
оказывающих влияние на свойства получаемых пленок: химический состав и
температура испарителя, температура подложки, давление в камере, время
осаждения и другие. При этом для каждого материала пленок существуют свои
оптимальные условия осаждения, при которых пленки характеризуются наилучшим
сочетанием свойств. Исходя из этого, для облегчения исследования пленок системы
Co-Pt
и нахождения оптимальных параметров их получения, целесообразно сначала
определить оптимальное сочетание параметров CVD-осаждения
для пленок Co и Pt
по отдельности.
Влияние условий CVD-осаждения на свойства пленок
Co уже изучалось [3]. Однако практически отсутствуют исследования для пленок
Co, полученных из диимината кобальта Co(N’acN’ac)2, применяемого в качестве
предшественника. Предшественник (металлоорганическое соединение, из которого
получают пленки) существенно меняет характер влияния параметров CVD-осаждения
на свойства пленок [4]. Учитывая данный факт, а также то, что дииминаты
металлов обладают рядом преимуществ: отсутствием кислорода, высокими
летучестью, стабильностью, чистотой разложения и практическим выходом [5],
необходимо исследовать влияние параметров осаждения на структуру и
эксплуатационные характеристики пленок Co, полученных методом CVD из
Co(N’acN’ac)2.
Таким образом, целью данной работы является
исследование возможности получения пленок Co
методом CVD из Co(N’acN’ac)2 с заданными магнитными и электрическими
свойствами.
1. Обзор литературы
.1 Получение
металлических пленок и покрытий методами CVD и PVD
В настоящее время существует два основных метода
получения пленок и покрытий путем осаждения из газовой фазы: физический (PVD)
и химический (CVD). Данные
методы основаны на различных явлениях.
При физическом осаждении (PVD)
материал покрытия или пленки переходит из твердой фазы в газовую. Данный
процесс можно разделить на две большие группы: испарение и распыление. В первом
случае переход материала в газовую фазу происходит под воздействием тепловой энергии,
выделяющейся за счет резистивного сопротивления (Рисунок 1), индукционного
нагрева, электронно-лучевых пучков (Рисунок 2), электрической дуги или
лазерного луча.
Рисунок 1 - Схема установки для термического
испарения
Рисунок 2 - Схема установки для испарения
электронным пучком
Во втором случае - в результате распыления за
счет кинетической энергии столкновения частиц материала - магнетронное
распыление (Рисунок 3).
Рисунок 3 - Схема установки для магнетронного
распыления
Энергия, распределение и плотность потока частиц
определяются методом нанесения, параметрами процесса и формой источника частиц.
Нанесение покрытий методом PVD проводится при температуре до 450°С, что
практически не накладывает ограничения по используемым материалам, на которые
наносится покрытие [6].процессы проводят в вакууме или в атмосфере рабочего
газа при достаточно низком давлении (около 10-2 мбар). Это необходимо для
облегчения переноса частиц от источника (мишени) к изделию (подложке) при
минимальном количестве столкновений с атомами или молекулами газа. Это же
условие определяет обязательность прямого потока частиц. В результате покрытие
наносится только на ту часть изделия, которая ориентирована к источнику частиц.
Скорость осаждения зависит в этом случае от относительного расположения
источника и материала [6].
Для равномерного нанесения покрытия необходимо
систематизированное движение материала или применение нескольких, определенным
образом расположенных, источников. В то же время, поскольку покрытие наносится
только на поверхности "в прямой видимости источника", метод позволяет
селективно наносить покрытие только на определенные части поверхности, оставляя
другие без нанесенного слоя [6].
Основными факторами, определяющими качество
покрытия, нанесенного методом физического осаждения, являются чистота исходных
материалов и реакционного газа, а также необходимый уровень вакуума [6].
Получение пленок и покрытий методом химического
осаждения (CVD) основано на двух процессах: перехода из твердой фазы в жидкую
молекулярного предшественника (исходного материала) под воздействием тепловой
энергии и его разложения при высокой температуре с одновременным химическим
взаимодействием с газом-реагентом (Рисунок 4, [7]).
Рисунок 4 - Схема устройства с автономным
двухзонным испарителем для осаждения слоев на плоские образцы: 1 - реактор из
нержавеющей стали, 2 - кварцевая лодочка с исходным соединением I,
3 - кварцевая лодочка с исходным соединением II,
4 - контейнер, 5 - прогреваемый трубопровод, 6 - формирователь газового потока,
7-9 - резистивные нагреватели, 10 - подложка, 11 - подложкодержатель, 12 -
нагреватель подложки, 13 - соленоид, 14 - подвижные электрические контакты, 15
- узел вращения подложки, 16 - шлюзовое устройство, 17 - камера для 6 образцов,
18 - трубка для подачи газа-реагента
Метод CVD
практически не имеет ограничений по химическому составу покрытий. Все
присутствующие частицы могут быть осаждены на поверхность материала. Какие
покрытия при этом образуются, зависит от комбинации материалов и параметров
процесса. Состав покрытия зависит от парциального давления газа и скорости
осаждения покрытия [6].
При использовании CVD-метода химические реакции
происходят в непосредственной близости или на поверхности обрабатываемого
материала.
В противоположность процессам PVD, при которых
твердые материалы покрытия переводятся в газообразную фазу испарением или
распылением, при CVD-процессе в камеру для нанесения покрытия подается смесь
газов, причем для протекания необходимых химических реакций требуется
температура до 1100°С. Это условие существенно ограничивает число материалов,
на которые можно нанести CVD-покрытие. Но существует разновидность метода CVD,
позволяющая снизить температуру нанесения покрытия от комнатной до 400°С,
получившая название P-CVD (от слов "плазма" и CVD). Практически метод
представляет собой комбинацию двух основных методов, поскольку нанесение
покрытий CVD-методом происходит в среде плазмы (как при PVD) [6].
В отличие от PVD-метода
процессы CVD происходят при более высоких давлениях: 100-1000 Па. Покрытие
наносится на всю поверхность изделия. Отпадает необходимость вращения изделия
как при методе PVD [6].
Установки CVD, как правило, имеют достаточно
большие габариты. Для предотвращения опасных выбросов газов в атмосферу
используется специальная система фильтров. Благодаря высокой температуре
нанесения, обеспечивающей частичную диффузию наносимого материала в основу,
покрытия CVD характеризуются лучшей адгезией [6].и CVD-методы также различаются
по виду внутренних напряжений в слое наносимого покрытия. При методе PVD имеют
место сжимающие напряжения, а при методе CVD - растягивающие. Растягивающие
напряжения улучшают адгезию покрытия и основы, но при этом способствуют
формированию пор и трещин. Необходимо также принимать во внимание то
обстоятельство, что методы CVD менее чувствительны к качеству подготовки
материала перед нанесением на него покрытия, в то время как при методе PVD
материал должен подвергаться продолжительной многоступенчатой очистке, иначе
нельзя гарантировать свойства покрытия [6].
Таким образом, основные достоинства CVD-метода:
. Воспроизводимость рельефа поверхности.
В этом случае при наличии на поверхности ступенек или канавок толщина пленки
практически одинакова как на вертикальных, так и на горизонтальных участках
. Универсальность - возможность получения
пленок практически любого состава.
. Гибкость процесса - возможность легкого
варьирования параметров процесса осаждения, тем самым, изменяя структуру
пленок.
. Возможность нанесения одно- и
двухсторонних пленок на детали сложной формы и большой площади.
. Возможность достижения высоких
скоростей осаждения (до нескольких миллиметров в час) при сохранении высокого
качества пленки.
. Хорошая адгезия
. Малая чувствительность к качеству
обработки поверхности материала, на который требуется нанести пленку или
покрытие.
. Сравнительная простота и дешевизна
оборудования из-за отсутствия необходимости наведения вакуума.
Помимо достоинств у метода CVD
существуют и недостатки:
1. Необходимость высокотемпературного
нагрева подложки для проведения пиролитических реакций. Как следствие, не на
всякий материал можно нанести пленку или покрытие, а только на тот, температура
плавления которого выше необходимой температуры для реализации процесса
осаждения.
2. Высокая вероятность возникновения пор и
трещин в получаемой пленке из-за наличия растягивающих напряжений.
. Необходимость синтеза предшественника -
исходного материала, который должен удовлетворять следующим требованиям [7]:
А) Соединение должно переходить в газовую фазу
без разложения и быть термически устойчивым в течение времени, необходимого для
его транспортировки к подложке. Как следствие, температура разложения паров
прекурсора должна быть выше температуры парообразования.
Б) Соединение должно обладать высокой летучестью
для создания необходимой концентрации газообразного вещества в реакционной
зоне.
В) Необходимость полного разложения соединения с
образованием газообразных продуктов реакции кроме материала получаемой пленки.
Г) Для увеличения выбора материала подложки и
для предотвращения вторичных реакций разложения органических продуктов
необходимо стремиться уменьшать температуру разложения исходного соединения.
Д) Пары соединения и продукты реакции разложения
должны быть химически инертны по отношению к материалу подложки и установки.
Е) По возможности соединение должно быть
нетоксичным и стабильным при хранении.
Ж) Синтез предшественника должен быть
экономически целесообразен, то есть необходимо, чтобы соединение получалось с
высоким выходом, а исходные реагенты для синтеза были доступны.
Таким образом, главной проблемой метода CVD
является синтез предшественника, удовлетворяющего вышеизложенным требованиям.
1.2 Влияние условий
осаждения на структуру, электрические и магнитные свойства пленок Co
В данном обзоре представлены результаты
исследований пленок чистого Co,
полученных как методом PVD:
импульсно-плазменным испарением [8], магнетронным распылением [9], так и
методом CVD [1,2].
В работе [8] исследованы магнитные и
электрические свойства, а также их температурные зависимости для Co,
полученных в условиях высоких скоростей конденсации (105 - 106 Å/с).
Последовательный отжиг выявил несколько неравновесных состояний кобальта при
переходе от исходной метастабильной структуры к обычной ГПУ-структуре. Удельное
электрическое сопротивление с ростом температуры отжига от 300 до 650 К падает
на порядок и приближается к значению, характерному для пленок
поликристаллического кобальта. Намагниченность пленок Co
имеет экстремальную зависимость от температуры подложки. Показано, что
намагниченность и коэрцитивная сила возрастают скачком после проведения отжига.
В работе [9] показано, что увеличение скорости
нанесения пленок Co
в процессе магнетронного распыления приводит к росту коэрцитивной силы и
уменьшению параметра прямоугольности петли гистерезиса. Кроме того, с ростом
скорости осаждения увеличивается средний размер зерна пленок Co
и изменяется рельеф поверхности: он становится более неоднородным.
В работе [2] показаны закономерности
формирования структуры пленок Co,
получаемых методом CVD,
при варьировании времени осаждения. В частности, с увеличением времени
осаждения наблюдается рост среднего размера зерна пленок. Кроме того,
исследованы зависимости магнитных характеристик от времени осаждения. Выявлено,
что коэрцитивная сила и намагниченность (как остаточная, так и насыщения)
возрастают с увеличением продолжительности процесса осаждения пленок Co.
Также показано, что магнитные характеристики существенно меняются в зависимости
от ориентации приложенного внешнего магнитного поля.
В работе [1] исследовано влияние температуры
осаждения на морфологию поверхности пленок Co,
полученных методом CVD.
Показано, что с увеличением температуры осаждения от 110 до 300 оС возрастает
шероховатость поверхности пленок. Кроме того, рост шероховатости наблюдается и
с увеличением времени их осаждения. Помимо этого, выявлены закономерности
изменения магнитных характеристик в зависимости от температуры осаждения
пленок. Показано, что коэрцитивная сила уменьшается с ростом температуры
осаждения. Остаточная намагниченность и намагниченность насыщения также
меняются при варьировании температуры осаждения пленок Co,
но их изменение имеет сложный экстремальный характер: отношение остаточной
намагниченности к намагниченности насыщения с ростом температуры осаждения
сначала увеличивается и достигает максимума, а потом снижается.
1.3 Влияние условий
осаждения на структуру и магнитные свойства пленок системы Co-Pt
Пленки системы Co-Pt
представляют огромный интерес для исследований благодаря наличию в них
перпендикулярной анизотропии, т. е. возможности возникновения в них оси легкого
намагничивания, направленной перпендикулярно к плоскости пленки. Данное
свойство широко используется для создания устройств с ультравысокой плотностью
записи данных.
Плотность записи данных зависит от размера
доменов - чередующихся участков на поверхности носителя записи с
противоположными направлениями намагниченности. Чем меньше размер домена, тем
выше плотность записи информации. В свою очередь, минимальный размер домена,
устойчивого к эффекту саморазмагничивания, зависит от величины коэрцитивной
силы. Чем больше коэрцитивная сила, тем меньше минимальный размер устойчивого
домена (он становится более устойчивым к эффекту саморазмагничивания и к
действию внешних магнитных полей). Размер стабильного домена также зависит от
толщины пленок. С понижением толщины пленок ослабляется размагничивающее поле
доменов и, как следствие, уменьшается их минимальный размер при прежних
значениях коэрцитивной силы [10].
Кроме того, для качественного воспроизведения
записанной информации (снижения влияния помех на полезный сигнал, повышение
чувствительности устройства) необходима высокая остаточная намагниченность
носителя (пленки), поскольку именно статическое распределение намагниченности в
магнитном слое носителя преобразуется в электрический сигнал. При одинаковой
намагниченности насыщения большую остаточную намагниченность будет иметь
материал с прямоугольной петлей гистерезиса. Следовательно, материал носителя
информации должен характеризоваться гистерезисом с высокой степенью
прямоугольности - близкой к единице. В этом случае остаточная намагниченность в
материале носителя примерно равна его намагниченности насыщения. В работе [10]
указано, что петлю гистерезиса с высокой степенью прямоугольности имеют
металлические магнитные пленки с толщинами менее 100 нм. Прямоугольность петли
обусловлена скачкообразным перемещением доменных границ, в результате которого
изменение намагниченности отстает от изменения напряженности внешнего
магнитного поля. Пленки с толщинами более 100 нм характеризуются более плавным
размагничиванием. В результате остаточная намагниченность у таких пленок
существенно меньше намагниченности насыщения.
Таким образом, материал носителя информации
должен обладать высокими значениями коэрцитивной силы, небольшой толщиной
(менее 100 нм), высокой остаточной намагниченностью и высокой степенью
прямоугольности петли гистерезиса.
Стоит отметить, что перпендикулярная магнитная
запись вследствие возможности уменьшения минимальных размеров доменов
обеспечивает в несколько раз более высокую плотность записи по сравнению с
продольной [10,11]. Из этого следует, что пленки системы Co-Pt,
обладающие перпендикулярной магнитной анизотропией, весьма перспективны в
качестве материала носителя информации.
В работах [12], [13], [14] и [15]
перпендикулярная ось легкого намагничивания пленок системы Co-Pt
создавалась путем получения упорядоченной фазы L10,
представляющую собой тетрагональную гранецентрированную решетку с соотношением
постоянных решетки c/a < 1. Данную фазу в пленках системы Co-Pt
получали либо в результате их отжига при температурах 600-7000С [12,13,15],
либо непосредственно сразу после выращивания методом молекулярно-лучевой
эпитаксии в высоком вакууме при 627 0С ([14]).
По результатам работы [12] обнаружено
значительное увеличение коэрцитивной силы пленок Co-Pt
после их отжига при температуре 600 0С в течение 30 минут в атмосфере аргона.
Авторы объясняют данное увеличение образованием в результате отжига
упорядоченной фазы L10. Кроме
того, в данной работе указано, что при этом намагниченность насыщения пленок и
степень прямоугольности петли гистерезиса также увеличились (Рисунок 5). По
мнению авторов, это говорит об отсутствии потерь содержания Co
в пленках и реакций окисления после отжига. Стоит отметить, что измерения
магнитных характеристик проводились в направлении перпендикулярном к плоскости
образца.
Рисунок 5 -Петли гистерезиса, измеренные при
комнатной температуре до отжига (as-deposited)
и после отжига (annealed),
для пленок системы Co-Pt,
полученных электрохимическим осаждением на подложки пористого Si
В работе [13] пленки системы Co-Pt
с подслоем Ag были
осаждены на стеклянную подложку магнетронным распылением Co,
Pt и Ag
мишеней при комнатной температуре.
Согласно результатам работы [13] выявлено, что с
увеличением температуры отжига от 600 до 700 0С наблюдается рост коэрцитивной
силы пленок Co-Pt
c подслоем Ag.
Причем после отжига при 700 0С коэрцитивная сила пленок повышается с ростом их
толщины (в интервале толщин от 1 до 20 нм) и достигает высоких значений (свыше
1000000 А/м).
Также по результатам данной работы установлено,
что с ростом температуры отжига от 600 до 700 0С повышается степень
прямоугольности петли гистерезиса пленок Co-Pt
c подслоем Ag.
Причем степень прямоугольности у пленок, отожженных при 700 0С, увеличивается с
ростом их толщины до 1 (в интервале толщин от 1 до 20 нм).
Кроме того, было показано, что в интервале
толщин 7,5-10 нм наблюдается максимальная разница между значениями
прямоугольности петель гистерезиса, полученными в плоскости пленки и
перпендикулярно ей, что говорит о наличии высокой перпендикулярной магнитной
анизотропии.
В работе [15] также исследовано влияние отжига
на магнитные свойства пленок системы Co-Pt
- перпендикулярную магнитную анизотропию и коэрцитивную силу. Кроме того,
исследована зависимость коэрцитивной силы от толщины пленок. Показано, что
наличие упорядоченной фазы в пленках системы Co-Pt
приводит к возникновению в них перпендикулярной магнитной анизотропии с легкой
осью, нормальной к их плоскости. Как следствие, такие пленки могут быть
использованы для магнитной и термомагнитной записи и хранения информации.
Пленки были получены методом магнетронного
напыления исходных чистых элементов на стеклянные подложки.
До отжига данные пленки независимо от толщины
характеризовались двумя легкими осями намагничивания, расположенными перпендикулярно
друг другу в плоскости исследуемых пленок.
Степень прямоугольности петли гистерезиса
пленок, исследуемых в работе [15], до отжига составляла 0,6−0,8 для всего
изучаемого диапазона толщин (от 2 до 60 нм). Величина коэрцитивного поля данных
пленок также не зависела от толщины и составляла 40000 А/м.
После отжига (выдержка при 700 0C в течение 30
мин и охлаждение до 600 0C со скоростью 10 0C/мин, далее отжиг при 6000C в
течение 60 мин и охлаждение со скоростью 10C/мин) в пленках системы Co-Pt
наблюдается возникновение упорядоченной фазы типа L10 (тетрагональная
гранецентрированная решетка с соотношением постоянных решетки c/a < 1). При
этом ориентация тетрагональных кристаллитов относительно плоскости пленки
меняется в зависимости от ее толщины.
В пленках толщиной 2−20 нм кристаллиты
упорядоченной фазы ориентируются осью с нормально к плоскости пленки. В
пленках, имеющих большие толщины, наблюдаются участки с чередованием полос
разного контраста по направлениям [100]. Образование упорядоченной фазы
приводит к существенным изменениям магнитной анизотропии пленок. Так как ось
_c_ упорядоченной фазы является осью легкого намагничивания, то тонкие пленки
становятся магнитоодноосными с легкой осью, нормальной к их плоскости. Величина
коэрцитивной силы Hc для пленок с толщиной, превосходящей 20 нм, менялась в
пределах 8−12 kOe.
В свою очередь, величина Hc термообработанных пленок с толщинами менее 20 нм
зависит от толщины образца. Коэрцитивная сила, измеренная в легком направлении
намагничивания, увеличивается от 1,5 до 9 kOe
при изменении толщины пленок от 5 до 20 нм (Рисунок 6). Петли гистерезиса
данных пленок характеризовались степенью прямоугольности равной 1.
В работах [16] и [17] перпендикулярная ось
легкого намагничивания возникала вследствие образования низкотемпературной
упорядоченной фазы L1.
В работе [16] показаны фазовые превращения
пленок Co-Pt,
осажденных на подложки MgO
(111) при различных температурах.
Установлено, что в интервале температур
осаждения от комнатной до 250 0С в пленках системы Co-Pt
существует неупорядоченная фаза А1. В интервале температур от 250 до 500 0С
наблюдается упорядоченная фаза L1.
Однако при дальнейшем увеличении температуры осаждения вновь присутствует фаза
А1 вплоть до 700 0С. В интервале от 700 до 750 0С пленки характеризуются
упорядоченной фазой L10.
Выявлено, что для фазы L1
характерны большие значения степени прямоугольности в перпендикулярном к
плоскости пленки направлении и меньшие значения коэрцитивной силы по сравнению
с L10 фазой. При этом
для фазы L1 наблюдается
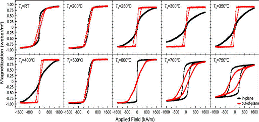
наибольшее значение перпендикулярной магнитной анизотропии (Рисунок 7).
Рисунок 7 - Продольные (in-plane)
и перпендикулярные (out-of-plane)
петли гистерезиса пленок системы Co-Pt,
осажденных при различных температурах (от комнатной температуры до 750 0С)
В работе [17] также наблюдается низкое значение
коэрцитивной силы и высокая степень прямоугольности пленок системы Co-Pt,
осажденных при 417 0С, при намагничивании перпендикулярно к плоскости образца
(Рисунок 8). Вероятно, это связано с образованием упорядоченной фазы L1.
Рисунок 8 - Петли гистерезиса, измеренные при 30
K параллельно и
перпендикулярно к плоскости пленок Co-Pt,
осажденных при 417 0С
.4
Постановка задач
Проведенный обзор литературы показал, что пленки
системы Co-Pt
являются перспективными для исследований и практического применения ввиду
возможности возникновения в них перпендикулярной магнитной анизотропии,
позволяющей создавать магнитные носители с ультравысокой плотностью записи
данных. Пленки системы Co-Pt
получали различными методами (электролитическим осаждением, магнетронным
распылением, молекулярно-лучевой эпитаксией), но среди них отсутствует метод CVD,
обладающий рядом преимуществ. Данный метод позволяет получать тонкие пленки с
различной морфологией поверхности и структурой (варьировать размер и форму
зерен, дефектность, текстуру, а также фазовый и элементный состав пленок в
процессе их роста), эффективно управлять толщиной пленок и изменять ее в
широком интервале, осаждать пленки на подложки различной природы. Но существует
проблема выбора оптимальных параметров осаждения для получения металлических
пленок с заданными свойствами. При этом для каждого материала пленок существуют
свои оптимальные условия осаждения, при которых пленки характеризуются
наилучшим сочетанием свойств. Исходя из этого, для облегчения исследования
пленок системы Co-Pt
и нахождения оптимальных параметров их получения, целесообразно сначала определить
оптимальное сочетание параметров CVD-осаждения
для пленок Co и Pt
по отдельности. Влияние условий CVD-осаждения на свойства пленок Co уже
изучалось [3]. Однако практически отсутствуют исследования для пленок Co,
полученных из диимината кобальта Co(N’acN’ac)2, применяемого в качестве
предшественника. Учитывая данный факт, а также то, что дииминаты металлов
обладают рядом преимуществ: отсутствием кислорода, высокими летучестью,
стабильностью, чистотой разложения и практическим выходом [5], целью данной работы
является исследование возможности получения пленок Co
методом CVD из Co(N’acN’ac)2 с заданными магнитными и электрическими
свойствами.
Для достижения поставленной цели необходимо
решить следующие задачи:
. Исследовать влияние длительности
осаждения, температуры подложки и температуры испарителя на толщину, фазовый и
элементный состав, морфологию поверхности и структурные параметры (текстуру,
размер областей когерентного рассеяния, величину микронапряжений) пленок Co.
. Исследовать зависимость удельного
электрического сопротивления и магнитных характеристик (остаточной
намагниченности, намагниченности насыщения и коэрцитивной силы) пленок Co
от их структуры и элементного состава.
2. Объект и методы
исследования
.1 Материалы
исследования
В работе исследовали тонкие пленки Co,
нанесенные методом CVD
на подложки Si (100). В
качестве предшественника использовали дииминат кобальта Co(N’acN’ac)2.
Длительность осаждения всех исследованных образцов составляла 2-4 часа, в
качестве газа-носителя использовали Ar
(скорость подачи 1л/ч), а в качестве газа-реактанта - H2
(скорость подачи 4 л/ч), давление в камере осаждения составляло 1 атмосферу.
Были исследованы 3 партии образцов. В первой партии была зафиксирована
температура испарителя, равная Тисп = 1200С, при этом температура подложки
варьировалась в пределах Тподл = 310¸420 0С. Во второй
партии также зафиксирована температура испарителя (1300С), а температура
подложки изменялась от 300 до 3400С. В третьей партии температура подложки была
постоянной (3300С), а температура испарителя варьировалась в интервале от 120
до 1550С. Условия осаждения пленок металлического Co
представлены в таблице 1.
Таблица 1 - Условия осаждения пленок Co,
где Тподл - температура подложки, Тисп - температура испарителя и t
- длительность осаждения
|
Первая
партия
|
Вторая
партия
|
Третья
партия
|
|
Tподл,0С
|
Tисп,0С
|
t, ч
|
Tподл,0С
|
Tисп,0С
|
t, ч
|
Tподл,0С
|
Tисп,0С
|
t, ч
|
|
310
|
120
|
2
|
300
|
130
|
4
|
330
|
120
|
2
|
|
330
|
120
|
2
|
310
|
130
|
4
|
330
|
130
|
2
|
|
350
|
120
|
2
|
320
|
130
|
4
|
330
|
135
|
2
|
|
370
|
120
|
4
|
330
|
130
|
4
|
330
|
140
|
2
|
|
420
|
120
|
2
|
340
|
130
|
4
|
330
|
145
|
2
|
|
|
|
|
|
|
330
|
150
|
2
|
|
|
|
|
|
|
330
|
155
|
2
|
|
|
|
|
|
|
|
|
|
|
2.2 Методика
эксперимента
Рентгеноструктурный анализ пленок Co
проводили на дифрактометре DRON-SEIFERT-RM4 (Cu, λ = 1.54051
Ǻ). Химический состав металлических пленок
определяли методом энергодисперсионной рентгеновской спектроскопии с помощью
спектрометра EDX
EX-2300BU.
Морфологию поверхности пленок исследовали с
помощью растрового электронного микроскопа (РЭМ) JEOL-JSM 6700 F и
атомно-силового микроскопа (АСМ) Solver
HV (НТ-МДТ, Россия).
В атомно-силовом микроскопе использовали стандартные кантилеверы из Si3N4
с константой механической жесткости 0,12 Н/м и радиусом кривизны острия ~ 2 нм
(Bruker AFM
Probes, USA).
Сканирование кантилевера по поверхности проводилось в контактном режиме при
поддержании с помощью обратной связи постоянного значения тока фотодиода, что
соответствует сканированию с постоянной силой взаимодействия зонд-подложка.
Измерение толщины пленок проводили на
микроинтерферометре МИИ-4 и оптическом интерференционном профилометре NewView
6200 (Zygo, Германия).
Измерение электрического сопротивления покрытий
выполняли четырехзондовым методом с использованием специально разработанной
установки, включающей источник питания постоянного тока Б5-45А, комбинированный
цифровой прибор Щ300 и датчик с четырьмя игловидными электродами.
Магнитные характеристики пленок измеряли с
помощью вибромагнитометра ВМ-23К в направлении оси легкого намагничивания.
Все измерения проводили в атмосферных условиях
при комнатной температуре.
3. Результаты проведенного
исследования
3.1 Рентгеноструктурные
исследования пленок кобальта
Для получения пленок с требуемыми
эксплуатационными характеристиками необходимо знать зависимость их структуры и
фазового состава от условий осаждения. Одним из современных методов определения
химического и фазового состава кристаллических тел является метод
рентгеноструктурного анализа (РСА). В данном подразделе представлены результаты
РСА-исследований влияния температуры подложки и температуры испарителя на
структурные параметры тонких пленок Co, полученных методом химического
осаждения из газовой фазы.
Согласно данным РСА образцы пленок Co,
осажденные при температуре испарителя Тисп = 1200С и при различных температурах
подложки, характеризуются лишь одним дифракционным пиком, расположенным между 2Ө
= 44,2 - 44,7○ (Рисунок 9, а).

Рисунок 9 - Дифрактограммы образцов пленок Co,
осажденных при различных температурах подложки и при Тисп = 120 (а) и 1300С (б)
Асимметричное уширение данного пика можно
рассматривать как суперпозицию отдельных отражений, соответствующих α-Co
и
β-Co.
Детальный
анализ дифракционной картины показывает, что данный дифракционный пик включает
в себя отражение от β-Co (111), имеющего
ГЦК - решётку, на угле 2Ө = 44,3○, а также отражение от α-Co
(002), характеризующегося
ГПУ-решёткой, на угле 2Ө = 44,6○. Исходя из этого, трудно
однозначно определить фазовый состав изучаемых пленок Co.
Как видно из рисунка 9,а, интенсивность
дифракционного пика на угле 2Ө = 44.2 - 44.7 °
зависит от температуры подложки. Пленки Co, осажденные при Тподл = 3100С,
характеризуются отсутствием отражения от фазы Co. Данный пик появляется лишь
при повышении температуры подложки до Тподл = 3300С. При последующем увеличении
температуры осаждения он становится более интенсивным и достигает максимума при
Тподл = 3500С. Однако дальнейший рост температуры способствует уменьшению
интенсивности отражения вплоть до его потери при Тподл = 4200С.
Повышение температуры испарителя до Тисп = 1300С
приводит к некоторым изменениям кристаллической текстуры пленок Co (Рисунок 9,
б). Дифракционная картина для образцов Co, осажденных при температурах Тподл =
300 - 3400С, содержит дополнительные пики α-Co (100) (2Ө
= 41.7○), α-Co (101) (2Ө = 47.6○) и
β-Co
(200) (2Ө = 51.7○). Интенсивность
данных дифракционных пиков также определяется температурой подложки. С
увеличением Тподл от 300 до 3200С интенсивность пиков повышается. Однако
дальнейший рост температуры до Тподл = 330 и 340 0С приводит к постепенному их
ослаблению. Стоит отметить, что пленки Co, полученные при температуре подложки
Тподл = 320 0С, характеризуются наиболее ярко выраженной текстурой
(максимальная высота дифракционных пиков), что говорит о высокой степени
структурной упорядоченности данных пленок.
Анализ рисунка 9 показывает, что повышение
температуры испарителя от 120 до 1300С приводит к существенному изменению
дифракционной картины пленок Со. Результаты детального исследования влияния
температуры испарителя на структуру металлических пленок, осажденных при
температуре подложки Тподл = 3300С, представлены на рисунке 10.
Рисунок 10 - Дифрактограмма образцов пленок Co,
осажденных при различных температурах испарителя и при Тподл = 3300С
Установлено, что пленки Co,
полученные в интервале температур испарителя от Тисп = 120 до 1400С,
характеризуются только одним пиком, соответствующим a-Co
(002) и β-Co
(111). Причём
интенсивность данного пика повышается с ростом температуры испарителя.
Увеличение температуры до Тисп = 1450С способствует возникновению
дополнительных отражений α-Co (100), α-Co (101) и
β-Co
(200),
интенсивность которых достигает максимума при температуре Тисп = 1500С. Однако
дальнейший рост температуры до Тисп = 1550С приводит к исчезновению
дополнительных пиков, а также резкому уменьшению интенсивности отражения от
основного пика, соответствующего a-Co (002) и β-Co
(111).
Размеры областей когерентного рассеяния (ОКР) и
микронапряжения в исследованных пленках Co
представлены в таблице 2. Из таблицы видно, что размер ОКР пленок, осажденных
при Тисп = 1200С, слабо зависит от температуры подложки в диапазоне температур
от 300 до 3500С. Однако с увеличением температуры свыше Тподл = 350 0С размер
ОКР начинает уменьшаться. Аналогичный характер зависимости размеров ОКР от
температуры подложки наблюдается для пленок, осажденных при Тисп = 1300С.
Таблица 2 - Элементный состав, размер ОКР и
микронапряжения s пленок Co, полученных при различных
температурах испарителя Тисп и подложки Тподл
|
Тисп,
0С
|
Тподл,
0С
|
Элементный
состав
|
ОКР,
нм
|
s, ГПа
|
|
Первая
партия
|
|
120
|
310
|
Co
91.4%, C 8.3 %, O 0.3%
|
17
|
1,7
|
|
120
|
330
|
Co 89.9%, C 9.5%, O 0.6%
|
15
|
1,4
|
|
120
|
350
|
Co 84.1%, C 11.6%, O 4.3%
|
19
|
1,2
|
|
120
|
370
|
Co 80.0%, C 18.9%, O 1.1%
|
13
|
1,4
|
|
120
|
420
|
Co
44.2%, C 55.7%, O 0.1%
|
11
|
0,8
|
|
Вторая
партия
|
|
130
|
300
|
Co
84.8%, C 14.2%, O 0.1%, N 0.9 %
|
35
|
0,4
|
|
130
|
310
|
Co 86.5%, C 12. 6%, O 0.2%, N 0.7 %
|
26
|
0,5
|
|
130
|
320
|
Co 92.3%,C 7. 2%, O 0.5%
|
33
|
0,2
|
|
130
|
330
|
Co 93.5%, C 6.0%, O 0.5%
|
26
|
0,4
|
|
130
|
340
|
Co 90.9%, C 8.8%, O 0.3%
|
20
|
0,3
|
|
Третья
партия
|
|
120
|
330
|
Co 89.9%, C 9.5%, O 0.6%
|
15
|
1,4
|
|
130
|
330
|
Co 93.5%, C 6.0%, O 0.5%
|
26
|
0,4
|
|
135
|
330
|
Co 92.8%,C 6.4%, O 0.8%
|
39
|
0,3
|
|
140
|
330
|
Co 95.1%, C 4.6%, O 0.3%
|
16
|
0,4
|
|
145
|
330
|
Co 94.3%, C 4.8%, O 0.9%
|
20
|
0,2
|
|
150
|
330
|
Co 92.3%,C 7.0%, O 0.7%
|
16
|
0,3
|
|
155
|
330
|
Co 90.9%,C
8.3%, O 0.8%
|
16
|
0,1
|
При этом сопоставление образцов из первой и
второй партий позволяет сделать вывод, что с увеличением температуры испарителя
от 120 до 1300С уменьшается температурный диапазон, при котором пленки
характеризуются постоянным размером зерна (если принять допущение, что ОКР
тождественен зерну).
Зависимость размеров ОКР пленок Co
от температуры испарителя носит экстремальный характер (Таблица 2). С ростом
Тисп от 120 до 1350С размер ОКР увеличивается более чем в два раза. Дальнейшее
повышение температуры испарителя до Тисп = 1400С приводит к резкому снижению
размера ОКР, который сохраняется неизменным вплоть до Тисп = 1550С.
Микронапряжения в пленках Co,
осажденных при Тисп = 1200С, снижаются с ростом температуры подложки, в то
время как в пленках, полученных при Тисп = 1300С, они остаются постоянны в
пределах погрешности измерений (Таблица 2). Стоит отметить, что увеличение
температуры испарителя от 120 до 1300С приводит к трехкратному уменьшению микронапряжений.
При этом дальнейший рост температуры испарителя вплоть до Тисп = 1550С на
величину микронапряжений не влияет.
Методом энергодисперсионной рентгеновской
спектроскопии установлено, что температура подложки существенно влияет на
элементный состав пленок Со. Как видно из таблицы 2, наряду с атомами Co в
исследованных пленках присутствуют атомы углерода, кислорода и азота. В случае
Тисп = 1200С увеличение температуры подложки от 310 до 4200С приводит к
двукратному уменьшению содержания кобальта от 91,4 до 44,2% и к значительному
повышению содержания углерода. Данное изменение химического состава объясняет
исчезновение дифракционного пика на угле 2Ө = 44.2 - 44.7 °
в пленках Co, нанесенных при Тподл = 4200С. Однако в случае Тисп = 1300С
степень влияния температуры подложки на элементный состав пленок уменьшается.
Увеличение температуры подложки от 300 до 3300С сопровождается ростом
содержания кобальта от 84.8 до 93.5%. При этом дальнейшее повышение температуры
подложки до 3400С приводит к обратному снижению содержания кобальта в пленках
до 90,9%. Отметим, что варьирование температуры испарителя не влияет на
химический состав пленок Co.
Согласно таблице 2 содержание кобальта в исследуемых пленках колеблется в
пределах 90-95% при изменении температуры испарителя от 120 до 1550С.
3.2
Влияние условий осаждения на морфологию поверхности пленок кобальта
Как видно из рисунков 11,12, пленки Co,
нанесенные при температуре испарителя Tисп = 120°С и температуре подложки Tподл
= 310-350°С, характеризуются зеренной
структурой со средним размером зерна 60-70 нм. Однако при повышении температуры
подложки до Tподл = 370°С пленки Co
приобретают ячеистую структуру (Рисунок 11, в). Осаждение при Tподл
= 420°С сопровождается дальнейшим
исчезновением зеренной структуры, а также уменьшением толщины ячеек (Рисунок
11,г)


Рисунок 11 - РЭМ-изображения морфологии
поверхности пленок Co, нанесенных при температуре испарителя Tисп = 120 °С и
температурах подложки Tподл = 310 (а), 350 (б), 370 (в) и 420 °С (г)
При увеличении температуры испарителя до Tисп =
130 С в пленках Co также удается сформировать ярко выраженную зеренную
структуру. При этом наблюдается двукратное увеличение среднего размера зерна по
сравнению с пленками, полученными при Tисп = 1200С. Однако в данном случае уже
при температуре подложки Tподл = 340°С в
исследуемых пленках начинает уменьшаться средний размер зерна и формироваться
ячеистая структура.
Повышение температуры испарителя до 1350С
способствует существенному росту среднего размера зерна пленок Co.
При этом зёрна приобретают ступенчатую поверхность. Дальнейшее увеличение
температуры испарителя последовательно до 145 и до 1500С не приводит к
значительным изменениям размера зерна и рельефа их поверхности. Однако при
температуре испарителя, равной 1550С, исследуемые пленки приобретают
мелкозернистую структуру.
3.3 Влияние условий
осаждения на толщину пленок кобальта
Увеличение температуры подложки приводит к
снижению толщины пленок Co
и постепенной потере их сплошности. Рисунки 12,г и 15 наглядно демонстрирует
формирование островковой структуры в пленках Со, осажденных при Tисп =120 °С и
Tподл = 420 °С.
’
Рисунок 15 - Изображение пленки Co,
нанесенной на подложку Si
при температуре 420 0С и Тисп = 120 (а) и профилограмма участка А - Б (б);
оптическая профилометрия
Сравнение пленок Co
из первой партии, полученных при температурах подложки 350 и 370 0С, но при
разной длительности осаждения, позволяет сделать вывод, что двукратное
увеличение времени осаждения (от 2 до 4 часов) приводит к двукратному
увеличению толщины пленки (таблица 3, рисунки 16 и 17).
Таблица 3 - Толщина пленок Co,
полученных при различных температурах испарителя Тисп и подложки Тподл, а также
длительности осаждения осаждения
|
Тисп,
0С
|
Тподл,
0С
|
Длительность
осаждения, ч
|
Толщина,
нм
|
|
Первая
партия
|
|
120
|
310
|
2
|
50
|
|
120
|
330
|
2
|
40
|
|
120
|
350
|
2
|
20
|
|
120
|
370
|
4
|
40
|
|
120
|
420
|
2
|
-*
|
|
Вторая
партия
|
|
130
|
300
|
4
|
190
|
|
130
|
310
|
4
|
180
|
|
130
|
320
|
4
|
170
|
|
130
|
330
|
4
|
140
|
|
130
|
340
|
4
|
110
|
|
Третья
партия
|
|
120
|
330
|
2
|
40
|
|
130
|
330
|
4
|
140
|
|
135
|
330
|
2
|
170
|
|
140
|
330
|
2
|
250
|
|
145
|
330
|
2
|
190
|
|
150
|
330
|
2
|
130
|
|
155
|
330
|
2
|
100
|
* пленки Co имеют островковую структуру
Более существенный рост толщины образцов Co
достигается при увеличении температуры испарителя. Пленки Со, осажденные при Tисп
=130 °С в течении 4 часов характеризуются четырехкратным увеличением толщины
(таблица 3).
Рисунок 16 - Изображение пленки Co,
нанесенной на подложку Si
при температуре 350 0С и Тисп=120 (а) и профилограмма участка А - Б (б);
оптическая профилометрия

Рисунок 17 - Изображение пленки Co,
нанесенной на подложку Si
при температуре 370 0С и Тисп=120 (а) и профилограмма участка А - Б (б);
оптическая профилометрия
Как видно из таблицы 3, толщина пленок Co
имеет экстремальную зависимость от температуры испарителя. В интервале от 120
до 140 0C толщина пленок
увеличивается от 40 до 250 нм. Однако при дальнейшем увеличении температуры
испарителя толщина пленок Co
снижается и составляет 100 нм при Тисп =155 0C
(рисунок 18).

Рисунок 18 - Изображение пленки Co,
нанесенной на подложку Si
при температуре 330 0С и Тисп=155 (а) и профилограмма участка А - Б (б);
оптическая профилометрия
3.4 Магнитные и
электрические свойства пленок Co
С помощью метода динамической магнитно-силовой
микроскопии (МСМ) (кантилевер колеблется с резонансной частотой)
визуализировано пространственное распределение по поверхности металлических
пленок производной магнитной силы, которая пропорциональна второй производной
магнитного поля. Цветовой контраст, наблюдаемый на МСМ-изображениях,
свидетельствует о наличии доменной структуры. Следует отметить, что из-за
сравнительно большой высоты холмов топография поверхности пленок частично
оказывает влияние на характер МСМ-изображений.
Пленки кобальта, полученные при температуре
испарителя 120 0С, характеризуются слабо выраженной доменной структурой.
Помимо отсутствия доменной структуры невысокие
магнитные свойства у пленок Co
подтверждают также петли гистерезиса, измеренные в направлении оси легкого
намагничивания.
Пленки Co,
полученные при температуре подложки 310 0С характеризуются сравнительно узкой
петлей гистерезиса с низкими значениями остаточной намагниченности и
намагниченности насыщения. Повышение температуры испарителя до 330 0С
способствует двукратному росту намагниченностей пленок, однако их величина
остается по-прежнему невысокой. При этом слегка увеличивается коэрцитивная
сила, и петля гистерезиса становится более широкой. Дальнейшее повышение
температуры подложки до 350 0С приводит к резкому уменьшению всех магнитных
характеристик пленок Co
и к сужению петли гистерезиса. Однако при температуре подложки, равной 420 0С,
исследуемые пленки характеризуются высокими значениями коэрцитивной силы,
остаточной намагниченности и намагниченности насыщения, а также широкой петлей
гистерезиса.
Повышение температуры испарителя до 130 0С
способствует существенному росту величин остаточной намагниченности и
намагниченности насыщения пленок Co.
Максимальные значения остаточной намагниченности
и намагниченности насыщения наблюдаются в пленках Co,
осажденных при температуре подложки Тподл = 330 0С. Коэрцитивная сила пленок Co,
полученных при температуре испарителя 130 0С, остается в целом постоянной и
составляет около 6500 А/м. Однако пленок Co,
полученные при температуре подложки 320 0С, характеризуется более высокой
величиной коэрцитивной силы. Стоит отметить, что повышение температуры
испарителя со 120 до 130 0С привело также к уширению петли гистерезиса
исследуемых пленок.
Дальнейший рост температуры испарителя вновь
приводит к уменьшению магнитных характеристик пленок Co.
Пленки Co, полученные
в интервале температур испарителя от 135 до 145 0С, характеризуются пониженными
значениями остаточной намагниченности и намагниченности насыщения по сравнению
с пленками, осажденными при температуре испарителя 130 0С. При этом
коэрцитивная сила данных пленок несущественно зависит от температуры испарителя
и варьируется в пределах 6500-7500 А/м. Повышение температуры испарителя до 150
0С способствует четырехкратному росту намагниченностей пленок Co,
однако коэрцитивная сила данных пленок остается неизменной. Последующее
увеличение температуры испарителя до 155 0С одновременно сохраняет рост
намагниченностей и способствует резкому уменьшению величины коэрцитивной силы
исследуемых пленок Co
.
Зависимость удельного электрического
сопротивления пленок Co
от температурных условий осаждения представлена в таблице 4. Из таблицы видно,
что для пленок из первой партии увеличение температуры подложки от 310 до 420
0С способствует значительному росту величины удельного электрического
сопротивления. Отметим, что при температуре подложки, равной 420 0С, удельное
электросопротивление исследуемых пленок сравнимо с сопротивлением кремниевой
подложки, что объясняется несплошностью данных пленок. Удельное электрическое
сопротивление пленок из второй партии характеризуется экстремальной
зависимостью от температуры подложки с минимальным значением при температуре
Тподл = 330 0С. Для пленок из третьей партии величина удельного
электросопротивления имеет тенденцию к уменьшению с ростом температуры
испарителя.
Таблица 4 - Коэрцитивная сила Hc,
остаточная намагниченность Mr,
намагниченность насыщения Ms
и удельное электрическое сопротивление r пленок Co,
полученных при различных температурах испарителя Тисп и подложки Тподл.
|
Тисп,
0С
|
Тподл,
0С
|
Hc, А/м
|
Mr, emu/cм3
|
Ms, emu/cм3
|
r, 10-6
Ω*м
|
|
Первая
партия
|
|
120
|
310
|
6000
|
3
|
7
|
0,38
|
|
120
|
330
|
7500
|
10
|
15
|
0,46
|
|
120
|
350
|
-
|
-
|
-
|
3,69
|
|
120
|
370
|
-
|
-
|
-
|
-
|
|
120
|
420
|
10000
|
45
|
60
|
-
|
|
Вторая
партия
|
|
130
|
300
|
6500
|
48
|
52
|
0,36
|
|
130
|
310
|
6500
|
90
|
115
|
0,34
|
|
130
|
320
|
8600
|
80
|
100
|
0,12
|
|
130
|
330
|
6500
|
150
|
175
|
0,07
|
|
130
|
340
|
6500
|
78
|
85
|
0,1
|
|
Третья
партия
|
|
120
|
330
|
7500
|
10
|
15
|
0,46
|
|
130
|
330
|
6500
|
150
|
175
|
0,07
|
|
135
|
330
|
7000
|
45
|
64
|
0,05
|
|
140
|
330
|
7000
|
60
|
70
|
0,12
|
|
145
|
330
|
7500
|
50
|
65
|
0,11
|
|
150
|
330
|
6500
|
200
|
250
|
0,04
|
|
155
|
330
|
1700
|
330
|
450
|
0,04
|
3.5 Обсуждение
результатов
С ростом Тподл в пленках образуется более
мелкозернистая структура [4] и интенсифицируются диффузионные процессы. В
результате, дефекты выходят из объема зерна на границы зерен. Как следствие,
внутри зерна уменьшается доля дефектов, что способствует снижению величины
микронапряжений. Уменьшение величины ОКР в пленках Co
с ростом Тподл связано с фрагментацией зерен за счет образования дислокационных
стенок: беспорядочно расположенные дислокации с ростом температуры собираются,
образуя стенку и создавая ячеистую структуру [18]. Уменьшение величины
микронапряжений с ростом температуры испарителя объясняется степенью
законченности фазовых превращений. При Тисп =120 0С в исследуемых пленках ещё
не полностью произошли фазовые превращения: границы между кристаллическими
решетками различных фаз - когерентные. Как следствие, наблюдаются высокие
микронапряжения. С ростом температуры испарителя фазовые превращения протекают
интенсивнее (они начинаются в газовой фазе), и в результате кристаллы α-Co
и
β-Co
обособляются. Происходит срыв когерентности границ кристаллических решеток, что
способствует релаксации микронапряжений. Стоит отметить, что потеря
дифракционного отражения при Тподл = 310 0С сопровождается его появлением на
дальних углах от плоскостей другой ориентации (но данный пик не изучается, в
связи с тем, что его интенсивность гораздо ниже). Отсутствие пика при Тподл =
420 0С связано с уменьшением количества кобальта и образованием сетчатой
структуры - возможно аморфной (слабо кристаллической). Повышенное содержание
углерода в пленках Co
при Тподл = 420 0С связано с тем, что при высоких температурах подложки в
процессе CVD-осаждения
образуются рыхлые покрытия, загрязненные продуктами объемного разложения
металлсодержащих соединений - микроскопическими частицами металла с повышенным
содержанием углерода [4].
Сужение интервала существования кристаллической
структуры в пленках Co
при увеличении Тисп со 120 до 130 0С, а также значительное уменьшение размера
зерна при высокой Тисп (155 0С) объясняется тем, что рост Тисп способствует
увеличению скорости подачи паров в камеру осаждения [4]. Как следствие,
возрастает скорость роста пленки, что приводит к уменьшению зерна [19] и
увеличению количества дефектов [4]. Первоначальный рост зерна при увеличении
Тисп от 120 до 150 0С связан с тем, что поменялся механизм роста пленок, и как
следствие, вид внутренней структуры. При Тисп = 120 0С пленки Co
характеризовались вертикальными столбчатыми образованиями, а при более высоких
температурах испарителя - горизонтально-слоистыми (о чем свидетельствуют
ступеньки на поверхности зерен). Стоит отметить, что средний размер зерен,
отображенных на АСМ и РЭМ-изображениях, больше размера ОКР, так как размер ОКР
приблизительно соответствует размеру субзерен.
Увеличение температуры подложки не только
приводит к более интенсивному формированию ячеистой структуры в пленках Co, но
и обусловливает снижение скорости их роста. По-видимому, с повышением Tподл
процесс разложения предшественника начинается раньше, чем он достигает
подложки. Как следствие, меньшее количество атомов Со осаждается на подложке,
обусловливая существенное снижение толщины пленки и постепенной потере их
сплошности (таблица 3). Рост температуры испарителя от 120 до 1400С
способствует непрерывному увеличению толщины пленок Co
вследствие повышения скорости осаждения. Однако при дальнейшем увеличении
температуры испарителя возникают процессы десорбции атомов Co
с подложки Si вследствие
повышения их энергии. В результате толщина пленок начинает снижаться.
Сравнительно сниженные значения величин
намагниченностей у пленок Co
из первой партии объясняются их относительно малыми толщиной и размером зерна.
Повышенное значение коэрцитивной силы у данных пленок Co,
полученных при температуре подложки, равной 420 0С, может быть связано с
наличием несплошной структуры и с меньшим содержанием кобальта в данных
пленках. Содержание кобальта также оказывает существенное влияние на величину
удельного электрического сопротивления данных пленок: с ростом температуры
подложки от 310 до 420 0С уменьшается количество кобальта в пленках и, как
следствие, возрастает удельное электрическое сопротивление.
Для пленок Co
из второй партии величины магнитного момента и удельного электрического
сопротивления хорошо взаимосвязаны с данными по элементному составу. Как
известно, кобальт в отличие от неметаллических примесей (углерода, азота,
кислорода) обладает магнитными свойствами и хорошей электропроводностью. Увеличение
содержания Co от 84,8 до
93,5%, наблюдаемое в пленках Со, нанесенных при температуре испарителя Tисп =
130 0C и температурах подложки Tподл от 300 до 330 0C (таблица 2),
обусловливает рост их остаточной намагниченности и намагниченности насыщения, а
также уменьшение удельного электрического сопротивления (таблица 4). Однако в
пленках, нанесенных при Tподл=340 0C, имеет место обратное уменьшение
содержания Со (до 90,9%), что сопровождается снижением их магнитных свойств и
увеличением удельного электрического сопротивления. При этом коэрцитивная сила
данных пленок зависит от степени их упорядоченности (текстурированности). Как
следует из таблицы 4, максимальной величиной Hc
=8600 А/м характеризуются образцы, осажденные при Tисп = 130 °C и Tподл = 320
°C - именно эти образцы по данным рентгеноструктурного анализа имеют наиболее
выраженную текстуру (максимальную высоту дифракционного пика).
Коэрцитивная сила пленок Co
из третьей партии несущественно зависит от температуры испарителя и варьируется
в пределах 6500-7500 А/м. Исключение составляет пленки Co,
осажденные при температуре испарителя Тисп = 155°С, у которых наблюдаются
пониженные значение коэрцитивной силы (Hc
= 1700 А/м). Причина существенного снижения Hc
у данных пленок связана с уменьшением величины микронапряжений и снижением
степени текстурированности.
Изменение магнитных и электрических
характеристик пленок Co,
главным образом, определяется изменением размеров их зерен. Известно, что
границы зерен, как и любые другие дефекты структуры (вакансии, атомы в
междоузлии, дислокации, и др.) оказывают существенное влияние на величину
удельного электрического сопротивления [20]. Чем меньше размер зерна, а,
следовательно, больше протяженность границ зерен, тем больше величина ρ,
что
и наблюдается в наших экспериментах (Рисунок 23). Изменение структуры пленок
также порождает изменение их магнитных свойств. Так, с ростом размера зерна
уменьшается площадь межзёренных границ. В результате пленки Co
легче перемагничиваются: магнитные домены вращаются и ориентируются по
направлению внешнего магнитного поля, встречая на своем пути меньше
препятствий. Как следствие, снижается коэрцитивная сила исследуемых
металлических пленок. В свою очередь, с ростом размера зерна имеет место
уменьшение доли дефектной структуры границ зерен, а, следовательно, увеличение
магнитного момента пленок Co
[21].

Рисунок 23 - Зависимости удельного
электрического сопротивления r (1), коэрцитивной силы Hс (2) и намагниченности
насыщения Ms пленок Co (3) от размера зерна d
ЗАДАНИЕ ДЛЯ РАЗДЕЛА «ФИНАНСОВЫЙ МЕНЕДЖМЕНТ,
РЕСУРСОЭФФЕКТИВНОСТЬ И РЕСУРСОСБЕРЕЖЕНИЕ»
Студенту:
|
Группа
|
ФИО
|
|
4Б00
|
Хайруллин
Рустам Равильевич
|
|
Институт
|
ИФВТ
|
Кафедра
|
ММС
|
|
Уровень
образования
|
бакалавриат
|
Направление/специальность
|
Материаловедение
и технологии материалов
|
|
Исходные
данные к разделу «Финансовый менеджмент, ресурсоэффективность и
ресурсосбережение» :
|
|
1. Стоимость ресурсов научного
исследования (НИ): материально-технических, энергетических, финансовых,
информационных и человеческих
|
Материально-технические
ресурсы: образцы пленок кобальта, атомно-силовой микроскоп, оптический
профилометр, вибромагнитометр, установка для измерения удельного
электрического сопротивления, компьютер (13576000р); энергетические ресурсы:
электрическая энергия (1000р); информационные ресурсы: научные журналы,
монографии, учебники по теме исследований (2000р); человеческие ресурсы:
сотрудники лаборатории ИФПМ (3 человека).
|
|
2. Нормы и нормативы расходования
ресурсов
|
Данная
НИР проводится впервые, поэтому нормы и нормативы расходования ресурсов
отсутствуют
|
|
3. Используемая система
налогообложения, ставки налогов, отчислений, дисконтирования и кредитования
|
|
Перечень
вопросов, подлежащих исследованию, проектированию и разработке:
|
|
1. Оценка коммерческого потенциала,
перспективности и альтернатив проведения НИ с позиции ресурсоэффективности и
ресурсосбережения
|
Данная
научно-исследовательская работа финансируется за счет средств государственного
бюджета и по характеру получаемых результатов относится к поисковым работам.
Результаты данных работ, как правило, не заканчиваются созданием и
промышленным внедрением новых видов материалов и средств изготовления
продукции. Они лишь выясняют технические, организационные и экономические
возможности их получения. При положительных результатах выводы поисковых
работ могут быть использованы в научно- исследовательских работах прикладного
характера. По поисковым НИР, которые не заканчиваются достижением
положительных результатов, определяется лишь сумма производственных затрат и
капитальных вложений на их выполнение.
|
|
2. Планирование и формирование
бюджета научных исследований
|
Согласно
расчетам себестоимость выполнения данной НИР составляет 240695,18 р, включая
затраты на заработную плату (128044,8р.), страховые отчисления (34700,14р.),
материалы (6170р.), амортизацию оборудования (17534р.), электроэнергию
(894,24р.), и прочие накладные расходы (53352 р.).
|
|
3. Определение ресурсной
(ресурсосберегающей), финансовой, бюджетной, социальной и экономической
эффективности исследования
|
По
результатам НИР были выполнены поставленные задачи. Однако, поскольку данная
НИР относится к поисковым работам, то оценивать её эффективность
преждевременно. Эффективность может быть определена только после проведения
прикладных исследований, результатом которых будет получение конечного
продукта.
|
|
Перечень
графического материала (с точным указанием обязательных чертежей):
|
|
1. Оценка конкурентоспособности
технических решений 2. Матрица SWOT 3. Альтернативы проведения
НИ 4. График проведения и бюджет НИ 5. Оценка ресурсной,
финансовой и экономической эффективности НИ
|
|
Дата
выдачи задания для раздела по линейному графику
|
|
Задание выдал консультант:
|
Должность
|
ФИО
|
Ученая
степень, звание
|
Подпись
|
Дата
|
|
Доцент
кафедры менеджмента
|
Петухов
О. Н.
|
К.э.н.,
доцент
|
|
|
Задание принял к исполнению студент:
|
Группа
|
ФИО
|
Подпись
|
Дата
|
|
4Б00
|
Хайруллин
Рустам Равильевич
|
|
|
4. Финансовый
менеджмент, ресурсоэффективность и ресурсосбережение
.1 Классификация НИР
Классификация научных исследований имеет важное
значение для выработки стратегии развития науки, решения вопросов, связанных с
оценкой перспективных научных направлений, планирования и финансирования работ,
определения вклада фундаментальных и других исследований в решении
народнохозяйственных задач.
Работы, выполняемые научно-исследовательскими и
конструкторскими организациями (НИИ, НИТИ, КБ) при планировании и учете можно
разделить на четыре основные группы:
. научно-исследовательские работы;
. опытно-конструкторские работы;
. работы по оказанию технической помощи;
. работы и услуги сторонним организациям.
К научно-исследовательским работам относятся
работы поискового, теоретического и экспериментального характера, которые
выполняются с целью расширения, углубления и систематизации знаний по
определенной научной проблеме и создания научного задела.
Работы поискового характера дают возможность
выявить новые принципы использования законов природы для научно-технического
прогресса. Поисковые работы бывают как широкого профиля, так и
узконаправленного для решения частных вопросов. Отчеты по поисковым работам
должны содержать обзоры и рекомендации о возможности использования полученных
результатов в конкретной области материального производства.
Работы теоретического характера производятся с
целью получения систематизированных сведений по определенной проблеме. Такие
работы заканчиваются составлением отчетов, обзоров и рекомендаций,
характеризующих современное состояние проблемы, а также перспективы ее
развития.
Работы экспериментального характера производятся
для проверки теоретических расчетов и выводов, а также для получения
экспериментальных данных последующих разработок опытных образцов или макетов.
Эти работы, как правило, завершаются изготовлением экспериментальных образцов с
проведением всех циклов испытаний.
По источникам финансирования
научно-исследовательские темы подразделяются на хоздоговорные и госбюджетные.
По характеру получаемых результатов научные
исследования делятся на три группы:
. поисковые работы;
. фундаментальные работы;
. прикладные работы.
Целью поисковых работ является выявление
технико-экономических возможностей и конкретных путей применения, принципиально
новых способов и средств производства продукции. Эти работы выполняются на
основе новых явлений и закономерностей. К поисковым следует отнести также
работы обобщающе-информационного характера, исследование сфер применения новых
закономерностей и явлений развития производства. Результаты данных работ, как
правило, не заканчиваются созданием и промышленным внедрением новых видов
материалов и средств изготовления продукции. Они лишь выясняют технические,
организационные и экономические возможности их получения. При положительных
результатах выводы поисковых работ могут быть использованы в научно-
исследовательских работах прикладного характера. По поисковым НИР, которые не
заканчиваются достижением положительных результатов, определяется лишь сумма
производственных затрат и капитальных вложений на их выполнение.
Фундаментальными могут быть названы работы, при
выполнении которых имеет место открытие и характеристика новых явлений,
закономерностей развития природы и общества. Они выявляют принципиально новые
пути прогресса техники, экономики и организации производства (потребления).
Результаты фундаментальных исследований могут
быть использованы в поисковых научно-исследовательских и прикладных работах,
непосредственно направленных на освоение новых видов материалов, средств и
способов производства (потребления). Однако непосредственные результаты
фундаментальных работ имеют абстрактный характер и существуют обычно в формах
научной информации, как гипотезы, теории.
Прикладные работы непосредственно направлены на
создание новых либо совершенствование существующих средств и способов
производства продукции. Непосредственные результаты этих работ имеют вполне
определенный характер и выдаются в виде отчетов, технической документации,
макетов, экспериментальных и опытных образцов. Результатом внедрения таких
работ является создание либо совершенствование средств и способов изготовления
продукции.
К данной группе следует отнести и составление
инструкций, технических условий, методических рекомендаций, работы
обобщающе-информационного характера, составление прогнозов изменения отдельных
параметров оборудования и других средств.
Экономический эффект затрат на НИР - это часть
всего экономического эффекта от использования ее результатов в народном
хозяйстве.
Данная научно-исследовательская работа является:
·
по
источникам финансирования - госбюджетная;
·
по
характеру получаемых результатов - поисковая.
4.2 Разделение НИР на
этапы
Для правильного планирования, а также
финансирования и определения трудоемкости выполнения НИР необходимо ее разбить
на этапы. Под этапом понимается крупная часть работы, которая имеет
самостоятельное значение и является объемом планирования и финансирования. НИР
имеет:
. Подготовительный этап. Сбор, изучение и
анализ, имеющийся информации, в том числе патентной информации по теме.
Технико-экономическое обоснование целесообразности проведения исследований по
теме. Определение состава исполнителей и соисполнителей, согласование с ними
частных задач. Разработка и утверждение технического задания.
. Разработка теоретической части. Формирование
возможных направлений исследования. Поиски новых материалов.
. Проектирование и изготовление макетов.
Проектирование оснастки, аппаратуры, установок и других средств.
4. Экспериментальные установки. Проведение
экспериментальных работ по теоретическим разделам.
5. Испытание.
. Внесение коррективов в разработку и испытания.
Корректировка разработанных схем, расчетов и проектов с учетом циклов
испытаний.
. Выводы и предложения по теме, обобщение
результатов разработки. Составление технологического отчета.
. Завершающий этап. Рассмотрение результатов
исследования на научно-техническом совете. Утверждение результатов работы.
Подготовка отчетной документации.
Данную НИР можно разделить на следующие этапы
(Таблица 5):
а) выдача задания;
б) литературный обзор;
в) составление плана работ;
г) проведение испытаний;
д) обсуждение результатов;
е) составление отчета;
ж) защита отчета.
Работу выполняло 3 человека: заведующий
лабораторией (зав. лаб.), младший научный сотрудник (мнс), инженер-дипломник
(инж).
Таблица 5 - Перечень этапов, работ и распределение
исполнителей
|
Основные
этапы
|
№
раб
|
Содержание
работ
|
Должность
исполнителя
|
|
Выдача
задания
|
1
|
Получение
заказа на НИР
|
зав.
лаб.
|
|
2
|
Получение
образцов пленок кобальта из г. Новосибирска
|
зав.
лаб.
|
|
Литературный
обзор
|
3
|
Подбор
и изучение материалов по теме
|
инж.
|
|
4
|
Выбор
направления исследований
|
зав.
лаб.
|
|
Составление
плана работ
|
5
|
Календарное
планирование работ по теме
|
зав.
лаб.
|
|
Проведение
испытаний
|
6
|
Исследования
морфологии поверхности пленок с помощью атомно-силового микроскопа
|
мнс.,
инж.
|
|
7
|
Измерение
толщины пленок на оптическом профилометре
|
мнс.,
инж
|
|
8
|
Измерение
удельного электрического сопротивления пленок 4-х зондовым методом
|
инж
|
|
9
|
Измерение
магнитных характеристик с помощью вибромагнитометра
|
инж
|
|
Обсуждение
результатов
|
10
|
Обработка
данных
|
инж
|
|
11
|
Научное
обоснование результатов и выводы
|
зав.
лаб., инж
|
|
Составление
отчета
|
12
|
Оформление
отчета НИР
|
инж
|
|
Защита
отчета
|
13
|
Защита
выпускной квалификационной работы
|
инж
|
4.3 Определение
трудоемкости этапов НИР
Расчет трудоемкости является важной частью
экономических расчетов по теме, так как трудовые затраты составляют основную
часть стоимости НИР и непосредственно влияет на сроки разработок. Расчет
трудоемкости осуществляется двумя методами [22]:
технико-экономическим,
опытно-статистическим.
Технико-экономический метод - метод прямого
счета по нормативам НИИ и КБ. Однако трудоемкость отдельных этапов может быть
рассчитана опытно-статистическим методом, если НИР проводится впервые и
вследствие этого отсутствуют нормативы. Указанный метод может быть реализован
двумя способами:
1. Путем анализа, когда необходимые
трудовые запасы определяются по работам, проведенным данным коллективом ранее.
2. Вероятным методом.
При первом способе опытно-статистического метода
используют отчетные данные фактической трудоемкости работ, осуществляемых
ранее. В отсутствии аналогичных работ определяют вероятным методом
непосредственно их продолжительность на основе системы оценок.
Для определения ожидаемого
(среднего) значения трудоемкости tожi,
используется следующая формула [23]:
,
где tожi - ожидаемая
трудоемкость выполнения i-ой работы чел.-дн.; tmin i, -
минимально возможная трудоемкость выполнения заданной i-ой работы, чел.-дн.; tmax i, -
максимально возможная трудоемкость выполнения заданной i-ой работы, чел.-дн.
Исходя из ожидаемой трудоемкости
работ, определяется продолжительность каждой работы в рабочих днях Трi,
учитывающая параллельность выполнения работ несколькими исполнителями [23]:
,
где
- продолжительность одной работы,
раб. дн.;
- ожидаемая трудоемкость выполнения
одной работы, чел.-дн.
- численность исполнителей,
выполняющих одновременно одну и ту же работу на данном этапе, чел.
Временные показатели проведения
данного научного исследования представлены в таблице 6.
Таблица 6 - Временные показатели проведения
научного исследования
|
Название
работы
|
Трудоёмкость
работ
|
Исполнители
|
, дни
|
|
tmin i, чел-дни
|
tmax i, чел-дни
|
tож i, чел-дни
|
|
|
|
Зав.лаб.
|
мнс
|
инж
|
Зав.лаб
|
мнс
|
инж
|
Зав.лаб
|
мнс
|
инж
|
Зав.лаб
|
мнс
|
инж
|
Зав.лаб
|
мнс
|
инж
|
|
Получение
заказа на НИР
|
7
|
-
|
-
|
14
|
-
|
-
|
10
|
-
|
-
|
+
|
-
|
-
|
10
|
-
|
-
|
|
Получение
образцов пленок кобальта
|
7
|
-
|
-
|
21
|
-
|
-
|
13
|
-
|
-
|
+
|
-
|
-
|
13
|
-
|
-
|
|
Подбор
и изучение материалов по теме
|
-
|
-
|
21
|
-
|
-
|
35
|
-
|
-
|
31
|
-
|
-
|
+
|
-
|
-
|
31
|
|
Выбор
направления исследований
|
7
|
-
|
-
|
14
|
-
|
-
|
10
|
-
|
-
|
+
|
-
|
-
|
10
|
-
|
-
|
Название работы Трудоёмкость
работ Исполнители tmin i, чел-дни
, дни
|
tmax i, чел-дни
|
|
|
tmin i, чел-дни
|
tmax i, чел-дни
|
tож i, чел-дни
|
|
|
|
Зав.лаб.
|
мнс
|
инж
|
Зав.лаб.
|
мнс
|
инж
|
Зав.лаб.
|
мнс
|
инж
|
Зав.лаб.
|
мнс
|
инж
|
Зав.лаб.
|
мнс
|
инж
|
|
Календарное
планирование работ
|
7
|
-
|
-
|
14
|
-
|
-
|
10
|
-
|
-
|
+
|
-
|
-
|
10
|
-
|
-
|
|
Исследования
морфологии поверхности
|
-
|
5
|
5
|
-
|
8
|
8
|
-
|
6
|
6
|
-
|
+
|
+
|
-
|
3
|
3
|
|
Измерение
толщины
|
-
|
5
|
5
|
-
|
8
|
8
|
-
|
6
|
6
|
-
|
+
|
+
|
-
|
3
|
3
|
|
Измерение
электрического сопротивления
|
-
|
-
|
3
|
-
|
-
|
6
|
-
|
-
|
4
|
-
|
-
|
+
|
-
|
-
|
4
|
|
Измерение
магнитных характеристик
|
-
|
-
|
4
|
-
|
-
|
6
|
-
|
-
|
5
|
-
|
-
|
+
|
-
|
-
|
5
|
|
Обработка
данных
|
-
|
-
|
14
|
-
|
-
|
21
|
-
|
-
|
17
|
-
|
-
|
+
|
-
|
-
|
17
|
|
Научное
обоснование и выводы
|
7
|
-
|
7
|
14
|
-
|
14
|
10
|
10
|
+
|
-
|
+
|
5
|
-
|
5
|
|
Оформление
отчета НИР
|
-
|
-
|
21
|
-
|
-
|
35
|
-
|
-
|
31
|
-
|
-
|
+
|
-
|
-
|
31
|
|
Защита
выпускной работы
|
-
|
-
|
5
|
-
|
-
|
7
|
-
|
-
|
6
|
-
|
-
|
+
|
-
|
-
|
6
|
На задание, согласно договору лаборатории Физики
поверхностных явлений, выделено 28 недель. За счет параллельности выполнения
работ срок исследований удалось сократить до 24-х недель, что не противоречит
договору.
4.4 Составление сметы
затрат
Эффективное планирование и финансирование НИР на
всех этапах предполагает использование обоснованных методов определения сметных
затрат на проведение исследований и разработок.
Планирование и финансирование НИР - это не
только определение доли национального дохода, которую государство может выделить
на развитие науки. Условия планирования и финансирования в отраслевых НИИ
выдвигают необходимость расчета затрат на конкретную тему.
Народнохозяйственный план финансирования науки
является суммой ассигнований на науку в отраслевом разделе, которая представляет
совокупность сметной стоимости работ, выполненных НИИ. Поэтому объем
финансирования НИИ нельзя определить без наличия сметного расчета по каждой
теме.
В данной работе изучено влияние условий
осаждения на структуру, магнитные и электрические свойства пленок кобальта,
нанесенных методом CVD
на кремниевые подложки. Для исследований были взяты 17 образцов пленок Co,
полученных при различных условиях осаждения. Задачами данного исследования
являлись: анализ литературы; исследование влияния условий осаждения на толщину,
фазовый и элементный состав, морфологию поверхности и структурные параметры
(текстуру, размер областей когерентного рассеяния, величину микронапряжений)
пленок Co; выявление
зависимости удельного электрического сопротивления и магнитных характеристик
пленок Co от их
структуры и элементного состава.
На задание, согласно договору лаборатории Физики
поверхностных явлений, выделено 28 недель. Работу выполняло 3 человека. В
качестве исследуемого материала использовались пленки Co
на подложках Si.
Смета затрат будет составлена по следующим
статьям:
. Амортизация оборудования;
. Основные и вспомогательные материалы;
. Заработная плата:
.1 Основная заработная плата;
.2 Дополнительная заработная плата;
. Страховые отчисления;
. Электроэнергия;
. Прочие накладные.
кобальт пленка поверхность толщина
4.4.1 Затраты на
амортизацию оборудования
Затраты на амортизацию оборудования
рассчитываются по формуле:
Зоб = (Ц • Fф)
/ (Fн • Fcc),
где Ц - цена оборудования, р.; Fн
- номинальный фонд времени (рабочее время в году), ч; Fcc
- срок службы оборудования, год; Fф
- фактическое время занятости оборудования в НИР, ч. Fн
= 365 - 104 - 11 = 250 дней = 2000 ч.
Вычисленная амортизация оборудования
представлена в таблице 7. Данные взяты на основе отчета лаборатории.
Таблица 7 - Затраты на амортизацию оборудования
|
№
|
Наименование
оборудования
|
Ц,
р.
|
Fcc, год
|
Fф, ч.
|
Зоб,
р.
|
|
1
2 3
4 5
|
Атомно-силовой
микроскоп Solver
HV
Оптический профилометр New View 6200 (Zygo)
Вибромагнитометр ВМ-23К Установка для измерения удельного электрического
сопротивления Компьютер
|
10000000
3000000
500000 40000
30000
|
20
20
15 10
8
|
48 48 40 32 640
|
12000 3600 670 64
1200
|
|
ИТОГО:
|
17534
|
4.4.2 Затраты на
основные и вспомогательные материалы
В данной работе в качестве исследуемого
материала использовались образцы пленок кобальта на подложках кремния. Образцы
получали методом химического осаждения из газовой фазы в Институте
неорганической химии г. Новосибирска и затем привозили в Томск в Институт
физики прочности и материаловедения для исследований. В среднем цена за один
образец, учитывая расходы на подготовку подложек, а также расходы газов и
электроэнергии для работы установки CVD-осаждения,
составляет 300р. С учетом транспортных расходов, цена одного образца пленок
кобальта на подложке кремния составляет 350р.
Приобретенные основные и вспомогательные
материалы приведены в таблице 8. Данные взяты на основе отчета лаборатории.
Таблица 8 - Основные материалы и комплектующие
изделия
|
№
|
Материал
|
Единица
материала
|
Цена,
р./ед.
|
Кол
- во, ед.
|
Затраты
на НИР, р.
|
|
1
2 3
|
Пленки
Co на
подложке Si Спирт
технический Вспомогательные материалы
|
шт
л
|
350
120
|
17
0,5
|
5950
60 100
|
|
Итого:
неучтенные расходы 1% Всего:
|
6110
60 6170
|
4.4.3 Затраты на
заработную плату
Для выполнения данной работы требуется 3 исполнителя
- заведующий лабораторией (зав. лаб.), младший научный сотрудник (м.н.с) и
инженер лаборатории (инж). Поскольку в качестве инженера выступал дипломник, то
зарплата начислялась только для заведующего лабораторией и младшего научного
сотрудника.
Исходными нормативами заработной платы данных
категорий работающих является оклад, определяющий уровень месячной заработной
платы в зависимости от объема и ответственности работ.
Оклад рассчитывают по следующему выражению:
o
= T c
• T рi,
где Т с - тарифная ставка (данные НИИ ИФПМ);
Т рi
- фактически отработанное время (Таблица 2).
Основную заработную плату рассчитывают следующим
образом:
L осн = L
o + 0,3 •
L o
где L o
- оклад;
,3 • L
o - районный
коэффициент (30% L
o).
Дополнительную заработную плату рассчитываются
по формуле:
L доп = 0,2 • L
осн
Вычисленные затраты на заработную плату
представлены в таблице 9.
Таблица 9 - Затраты на заработную плату
|
№
|
Статьи
|
Зав.
Лаб.
|
МНС
|
|
1
2 3 4 5 6 7
|
Т
с , р./день Т рi , дн L o , р. 0,3
* L o ,
р. L осн , р. L доп , р. å (L осн + L доп), р.
|
1600
48 76800 23040 99840 19968 119808
|
880
6 5280 1584 6864 1372,8 8236,8
|
Основная заработная плата составит: 99840 + 6864
= 106704 р.
Дополнительная заработная плата составит: 19968
+ 1372,8 = 21340,8 р.
Итого фонд оплаты труда: 119808 + 8236,8 =
128044,8 р.
4.4.4 Страховые
отчисления
На основании пункта 1 ст.58 закона №212-ФЗ для
учреждений осуществляющих образовательную и научную деятельность в 2014 году
вводится пониженная ставка для расчета отчислений во внебюджетные фонды - 27,1%
от фонда оплаты труда [23].
Таким образом, затраты на страховые отчисления
составят:
,8 • 0,271 = 34700,14р.
4.4.5 Затраты на
электроэнергию
Затраты на электроэнергию рассчитываются по
формуле:
Э=Ц´N´n´
tзан.ч
где Ц - стоимость 1 кВт/ ч электроэнергии, р.;
N - мощность
оборудования, кВт;
n - количество
единиц оборудования одного вида, ед.;
tзан.ч - время
занятости оборудования, ч.;
Вычисленные затраты на электроэнергию
представлены в таблице 10.
Таблица 10 - Затраты на электроэнергию
|
Наименование
оборудования
|
Цена,
Ц, р.
|
N, кВт
|
n
|
tзан.ч, ч.
|
Затраты,
р.
|
|
1 2 3 4 5
|
Атомно-силовой
микроскоп Solver
HV
Оптический профилометр New View 6200 (Zygo)
Вибромагнитометр ВМ-23К Установка для измерения удельного электрического
сопротивления Компьютер
|
2,7
2,7 2,7
2,7 2,7
|
1,5
0,7 0,6
0,3 0,3
|
1 1
1 1
1
|
48
48 40 32
640
|
194,4
90,72
64,8 25,92 518,4
|
|
Итого:
|
894,24
|
4.4.6 Смета затрат на
НИР
Теперь сложим все прямые затраты на исследование
(Таблица 11).
Таблица 11 - Прямые затраты
|
№
|
Затраты
|
Сумма,
р.
|
|
1
2 3 4
|
Основные
и вспомогательные материалы Основная заработная плата Дополнительная
заработная плата Страховые отчисления
|
6170
106704 21340,8 34700,14
|
|
Итого:
|
168914,94
|
Расшифровка накладных расходов представлена в
таблице 12 (данные НИИ ИФПМ).
Прочие накладные расходы составят 50% от
основной заработной платы, т.е.
0,5×106704=53352 р.
Таблица 12 - Накладные расходы
|
№
|
Затраты
|
Сумма,
р.
|
|
1
2 3
|
Амортизация
оборудования Электроэнергия Прочие
|
17534
894,24 53352
|
|
Итого:
|
71780,24
|
Общие затраты на исследование будут равны сумме
прямых и накладных затрат:
,94 + 71780,24 = 240695,18 р.
Значит, при проведении НИР необходимо затратить
240695,18 р.
Составим смету затрат на НИР (Таблица 13).
Таблица 13 - Смета затрат на НИР
|
№
|
Элементы
затрат
|
Сумма,
р.
|
%
|
|
1
2 3 4 5 6
|
Заработная
плата Страховые отчисления Затраты на материалы Амортизация оборудования
Затраты на электроэнергию Прочие накладные расходы
|
128044,8
34700,14 6170
17534
894,24 53352
|
53,2
14,4 2,6 7,3 0,4 22,1
|
|
8
|
Итого:
себестоимость S
|
240695,18
|
100
|
|
9
|
Плановая
прибыль (рентабельность Р=25%)
|
60173,8
|
|
10
|
Цена
выполнения НИР
|
300868,98
|
|
11
|
НДС
(18%)
|
54156,42
|
|
12
|
Всего
с НДС
|
355025,04
|
Таким образом, в данном разделе работы проведено
экономическое обоснование проведенных исследований:
рассчитана себестоимость НИР, которая составила
240695,18 р.;
рассчитана договорная цена на проведение НИР,
которая составила 355025,04 р.;
рассчитано время проведения НИР - 24 недели.
ЗАДАНИЕ ДЛЯ РАЗДЕЛА «СОЦИАЛЬНАЯ ОТВЕТСТВЕННОСТЬ»
Студенту:
|
Группа
|
ФИО
|
|
4Б00
|
Хайруллин
Рустам Равильевич
|
|
Институт
|
ИФВТ
|
Кафедра
|
ММС
|
|
Уровень
образования
|
бакалавриат
|
Направление/специальность
|
Материаловедение
и технологии материалов
|
|
Исходные
данные к разделу «Социальная ответственность» :
|
|
1.
Описание рабочего места (рабочей зоны, технологического процесса,
механического оборудования) на предмет возникновения: - - вредных проявлений
факторов производственной среды (метеоусловия, вредные вещества, освещение,
шумы, вибрации, электромагнитные поля, ионизирующие излучения) - - опасных проявлений
факторов производственной среды (механической природы, термического
характера, электрической, пожарной и взрывной природы) - - негативного воздействия
на окружающую природную среду (атмосферу, гидросферу, литосферу)
- -
чрезвычайных ситуаций (техногенного, стихийного, экологического и социального
характера)
|
Работа
выполнялась в лаборатории Института физики прочности и материаловедения
(ИФПМ). Рабочей зоной являлось помещение лаборатории площадью 60 м2,
включающее 8 персональных компьютеров, атомно-силовой микроскоп, оптический
микроскоп, микротвердомер, микроинтерферометр, установку для измерения
удельного электрического сопротивления. На производительность труда
инженера-исследователя, находящегося на рабочем месте, могут влиять следующие
вредные производственные факторы: отклонение температуры и влажности воздуха
от нормы, недостаточная освещенность рабочего места, повышенный уровень
электромагнитных излучений. Кроме того, работник может подвергаться действию
опасных факторов: поражение электрическим током, возникновение пожаров в
результате короткого замыкания. Негативное воздействие на окружающую среду в
процессе работы практически отсутствует. Наиболее вероятно возникновение
чрезвычайных ситуаций техногенного характера в результате производственных аварий
и пожаров.
|
|
2.
Знакомство и отбор законодательных и нормативных документов по теме
|
1.
ГОСТ 12.1.005-88 ССБТ. Общие санитарно-гигиенические требования к воздуху
рабочей зоны. 2. СНиП II-4-79. Естественное и искусственное освещение. 3.
СанПиН 2.2.2/2.4.1340-03. Гигиенические требования к персональным
электронно-вычислительным машинам и организации работы. 4. ГОСТ 12.0.003-74
ССБТ. Опасные и вредные производственные факторы. Классификация. 5. ГОСТ
12.1.038-82 ССБТ. Электробезопасность. Предельно допустимые значения
напряжений прикосновения и токов. 6. ГОСТ 12.1.030-81 ССБТ.
Электробезопасность. Защитное заземление и зануление. 7. ГОСТ 12.2.032-78
ССБТ. Рабочее место при выполнении работ сидя. Общие эргономические
требования. 8. СН 245-7. Санитарные нормы проектирования промышленных
предприятий. 9. СП 2.2.1.1312-03. Гигиенические требования к проектированию
вновь строящихся и реконструируемых промышленных предприятий. 10. СН 181-70.
Указания по проектированию цветовой отделки интерьеров производственных
зданий промышленных предприятий. 11. СНиП II-2-80.
Противопожарные нормы проектирования зданий и сооружений. 12. СНиП 2.01.02-85
Противопожарные нормы.
|
|
Перечень
вопросов, подлежащих исследованию, проектированию и разработке:
|
1. Анализ выявленных вредных
факторов проектируемой производственной среды в следующей последовательности: - - физико-химическая природа
вредности, её связь с разрабатываемой темой; - - действие фактора на организм человека; -
приведение допустимых норм с необходимой размерностью (со ссылкой на
соответствующий нормативно-технический документ); - предлагаемые средства
защиты (сначала коллективной защиты, затем - индивидуальные защитные средства) 1.
Отклонения температуры и влажности воздуха от нормы могут возникнуть при
неблагоприятных метеоусловиях. Высокая температура воздуха способствует быстрой
утомляемости работающего, может привести к перегреву организма, тепловому
удару. Низкая температура воздуха может вызвать местное или общее охлаждение
организма, стать причиной простудного заболевания либо обморожения. Высокая
относительная влажность при высокой температуре воздуха способствует
перегреванию организма, при низкой же температуре увеличивается теплоотдача с
поверхности кожи, что ведет к переохлаждению. Низкая влажность вызывает
неприятные ощущения в виде сухости слизистых оболочек и дыхательных путей
работающего. Оптимальные и допустимые метеорологические условия температуры и
влажности устанавливаются согласно ГОСТ 12.1.005-88. Для поддержания нормальных
параметров микроклимата в рабочей зоне применяются следующие мероприятия:
устройство систем вентиляции, кондиционирование воздуха и отопление. 2. Недостаточная
освещенность способствует возрастанию нагрузки на органы зрения и приводит к
утомляемости организма. В соответствии с характером выполняемых работ
освещенность рабочего места по СНиП II-4-79
<#"807827.files/image032.gif">
Рисунок 24- План эвакуации при
пожаре
Заключение
В результате проведенных исследований
установлено, что пленки Со, полученные методом химического осаждения из
диимината кобальта Co(N’acN’ac)2 из газовой фазы, содержат кристаллы α-Co и β-Co независимо
от параметров осаждения. Варьирование температуры испарителя и температуры
подложки в процессе CVD-осаждения позволяет в широких
пределах изменять химический состав, структуру и толщину пленок Co. Так,
увеличение температуры подложки приводит к снижению содержания кобальта, к
уменьшению размеров областей когерентного рассеяния и величины микронапряжений,
а также способствует уменьшению толщины и исчезновению зеренной структуры
пленок. В свою очередь, увеличение температуры испарителя позволяет увеличить
толщину пленок, но при этом снижается степень влияния температуры подложки на
структурные параметры пленок Со, а также сужается диапазон температур, при
которых в образцах формируется кристаллическая структура.
Изменение структуры и элементного
состава пленок Co позволяет в управлять их магнитными
и электрическими свойствами. С увеличением среднего размера зерна
намагниченность пленок возрастает, а коэрцитивная сила и удельное электрическое
сопротивление уменьшаются. С ростом содержания кобальта уменьшается
электросопротивление, возрастают остаточная намагниченность и намагниченность
насыщения пленок Со. Увеличение степени текстурированности пленок повышает их
коэрцитивную силу.
Таким образом, выбор оптимального
сочетания параметров осаждения позволяет получать пленки кобальта с заданной
микроструктурой, а, следовательно, с требуемыми магнитными и электрическими
свойствами. Установлено, что пленки Co с высокими
магнитными и электрическими характеристиками при хорошей адгезии получаются при
температуре испарителя, равной 130 0С, и при температуре подложки, равной
320-330 0С.
Список публикаций
студента
1. Хайруллин
Р. Р. Получение тонких пленок Ni
и Co методом
плазмохимического осаждения. Formation
of Ni
and Co
thin films
by chemical
vapor deposition
/ С. И. Доровских // Сборник материалов Международной молодежной конференции
«Лазерная физика, наноструктуры, квантовая микроскопия», Томск, 17-18 сентября
2012. - С.65-69.
. Хайруллин
Р. Р. Влияние параметров MOCVD-осаждения
на структуру, электрофизические и магнитные свойства тонких пленок Co
/ С. И. Доровских // Сборник материалов Всероссийской молодежной научной школы
«Химия и технология полимерных и композиционных материалов», Москва, 26-28
ноября 2012. - С.304.
. Хайруллин
Р. Р. Микроструктура и свойства пленок Co,
формируемых методом химического осаждения / С. И. Доровских // Сборник научных
трудов II
Всероссийской научно-технической конференции молодых ученых, аспирантов и
студентов с международным участием «Высокие технологии в современной науке и
технике», Томск , 27-29 марта 2013. -- С. 303-308.
. Хайруллин
Р. Р. Влияние температуры испарителя на магнитные свойства пленок кобальта,
нанесенных методом химического осаждения из газовой фазы (MOCVD)
/ C. И. Доровских //
Сборник трудов XIX Международной научно-практической конференции студентов,
аспирантов и молодых ученых «Современные техника и технологии», Томск: Изд-во
Томского политехнического университета, 15-19 апреля 2013. - С. 178-179.
. Хайруллин
Р. Р. Влияние температур подложки и испарителя на структуру, фазовый и
элементный составы, магнитные и электрические свойства пленок кобальта, полученных
методом химического осаждения из газовой фазы / С. И. Доровских // Сборник
научных трудов VII Международной научно-технической конференции «Современные
проблемы машиностроения», Томск, 11-15 ноября 2013 - С. 139-144
. Хайруллин
Р. Р. Получение пленок Co
методом MOCVD из
диимината кобальта Co(N’acN’ac).
Влияние температуры осаждения / С. И. Доровских // Сборник тезисов и статей VI
Международной школы «Физическое материаловедение», Новочеркасск, 15-19 октября
2013 г - С. 127-130.
. Хайруллин
Р. Р. Рентгеноструктурные исследования пленок Co,
полученных методом CVD
/ С. И. Доровских // Сборник научных трудов III
Международной научно-технической конференции молодых ученых, аспирантов и
студентов «Высокие технологии в современной науке и технике», Томск, 26-28
марта 2014. - С. 160-164.
. Хайруллин
Р. Р. О зависимости структурных параметров пленок Co
от температуры подложки в процессе химического газофазного осаждения/ С. И.
Доровских // Материалы XIV
Международной научно-практической конференции (14.03.2014) «Современное
состояние естественных и технических наук», М: Изд-во «Спутник +», 2014. - С.
27-29.
. Хайруллин
Р. Р. Закономерности структурообразования пленок Co,
полученных методом CVD
из диимината кобальта, в зависимости от температурных условий осаждения / С. И.
Доровских // Сборник трудов Всероссийской научно-практической конференции
молодых ученых, аспирантов и студентов «Современное состояние и проблемы
естественных наук», Юрга: Изд-во Томского политехнического университета, 17-18
апреля 2014. - С. 48-51.
. Хайруллин
Р. Р. Температурные условия CVD-осаждения
как определяющий фактор в формировании пленок кобальта с заданными
эксплуатационными характеристиками / С. И. Доровских // Сборник научных трудов XI
Международной конференции студентов и молодых ученых «Перспективы развития
фундаментальных наук», Томск, 22-25 апреля 2014. - С. 244-246.
11. Hairullin
R. R.
XRD Investigations
of Co
Films Deposited
by CVD
/ S. I.
Dorovskikh // Сборник
докладов XX Международной
юбилейной научно-практической конференции студентов, аспирантов и молодых
ученых «Современные техника и технологии». В 3 т. Т. 2 / Томский
политехнический университет. - Томск: Изд-во Томского политехнического
университета, 14-18 апреля 2014. - С.127-128.
. Хайруллин
Р. Р. Исследование влияния условий MOCVD-осаждения
на структуру и магнитные свойства тонких пленок кобальта/ С. И. Доровских //
сборник трудов Всероссийской школы-семинара с международным участием
«Современное материаловедение: материалы и технологии новых поколений», Томск:
Изд-во Томского политехнического университета, 9-11 июня 2014. - С. 116-120.
13. Hairullin R., Dorovskikh S.
The Effect of Substrate Temperature on the Structure and Magnetic Properties of
Cobalt Films Deposited by CVD // «Journal of Physics: Conference Series», 2014 -
в
печати.
. Dorovskikh S.I., Hairullin
R. R., Panin A. V. A Cobalt(II) β-diiminate
complex as a promising MOCVD precursor for magnetic cobalt film deposition // «Journal
of Organometallic Chemistry», 2014 - в
печати
Список использованных
источников
1. Chioncel
M. F. Cobalt thin films deposited by photoassisted MOCVD exhibiting inverted
magnetic hysteresis / P. W. Haycock // Chemical Vapor Deposition. - 2006. - №
12. - P. 670-678.
. Chioncel
M.F. Domain structures of MOCVD cobalt thin films / H. S. Nagaraja, F.
Rossignol, P. W. Haycock // Journal of Magnetism and Magnetic Materials. -
2007. - № 313. - P. 135-141.
. Paranjape,
M. A., Mane, A. U., Raychaudhuri, A. K. Metal-organic chemical vapour
deposition of thin films of cobalt on different substrates: study of
microstructure // Thin Solid Films. - 2002. - № 413. - P. 8-15.
4. Сыркин
В. Г. CVD-метод:
химическое парофазное осаждение. - М.: Наука, 2000. - 496 с.
5. Morozova, N. B.; Stabnikov,
P. A.; Baidina I. A. Structure and thermal properties of volatile copper(II)
complexes with β-diimine
derivatives of acetylacetone and the structure of
2-(methylamino)-4-(methylimino)-pentene-2 crystals // Journal of Structural Chemistry
<http://link.springer.com/journal/10947>. - 2007. - № 48. - P. 889-898.
6. Локтев
Д. Методы и оборудование для нанесения износостойких покрытий / Е. Ямашкин //
Наноиндустрия. - 2007. - №4. - С. 18-24.
. Гельфонд
Н. В. Физико-химические закономерности формирования наноструктурированных
металлических и оксидных слоев в процессах химического осаждения из паров
соединений металлов с органическими лигандами: диссертация на соискание ученой
степени доктора химических наук. - Новосибирск, 2010. - 322 с.
. Жигалов
В. С. Нанокристаллические пленки кобальта, полученные в условиях сверхбыстрой
конденсации / Г. И. Фролов, Л. И. Квеглис // ФТТ. - 1998. - №11. - С.
2074-2079.
. Маклаков
С. С. Микроволновые и структурные особенности тонких магнитных плёнок на основе
Co и Fe70Co30, получаемых методом магнетронного распыления: автореферат
диссертации на соискание учёной степени кандидата физико-математических наук. -
Москва, 2012. - 23 с.
10. В.
Г. Казаков. Процессы перемагничивания и методы записи информации на магнитных
пленках // Соросовский образовательный журнал. - 1997. - №11. - С. 99-106.
. В.
Г. Казаков. Тонкие магнитные пленки // Соросовский образовательный журнал. -
1997. - №1. - С. 107-114.
12. F.A.
Harraz. Electrochemically deposited cobalt/platinum (Co/Pt) film into porous
silicon: Structural investigation and magnetic properties / A.M. Salem, B.A.
Mohamed, A. Kandil, I.A. Ibrahim // Applied Surface Science. - 2013. - № 264. -
P. 391-398.
. C.L.
Shen. Thickness dependence of microstructures and magnetic properties for
CoPt/Ag nanocomposite thin films / P.C. Kuo , Y.S. Li , G.P. Lin , S.L. Ou,
K.T. Huang, S.C. Chen // Thin Solid Films. - 2010. - № 518. - P. 7356-7359.
. M.
Abes. Structural properties of CoPt films patterned using ion irradiation / J.
Venuat, D. Muller, A. Carvalho, G. Schmerber, E. Beaurepaire, A. Dinia, V.
Pierron-Bohnes // Catalysis Today. - 2006. - № 113. - P. 245-250.
15. Е.М.
Артемьев.
Перпендикулярная
магнитная
анизотропия
в
тонких
пленках
Co50Pt50, Co50Pd50 и
Co50Pt50−xPdx / М.Е.
Артемьев
// Физика
твердого
тела.
- 2010. - № 11. - C. 2128-2130.
. An-Cheng
Sun. Evolution of structure and magnetic properties of sputter-deposited CoPt
thin films on MgO(1 1 1) substrates: Formation of the L11 phase / Fu-Te Yuan,
Jen-Hwa Hsu, H.Y. Lee // Scripta Materialia. - 2009. - № 61. - P. 713-716.
. M.
Maret. Perpendicular magnetic anisotropy in CoxPt1-x alloy films / M.C.
Cadeville, W. Staiger, E. Beaurepaire, R. Poinsot, A. Herr // Thin Solid Films.
- 1996. - № 275. - P. 224-227.
18. Гуляев
А. П., Гуляев А. А. Металловедение: учебник для вузов. - М.: ИД Альянс, 2011. -
644 с.
. Панин
А. В. Тонкие пленки и многослойные материалы для электроники: Учебное пособие.
- Томск: Изд. ТПУ, 2002. - 128 с.
. Петрова
Л. Г., Потапов М. А., Чудина О. В. Электротехнические материалы: Учебное
пособие / МАДИ (ГТУ). - М., 2008. - 198 с.
21. .
Gangopadhyay. S. Magnetic Properties of Ultrafine Co Particles / G.C.
Hadjipanayis, C.M. Sorensen, K.J. Klabunde // IEEE TRANSACTIONS ON MAGNETICS.
-1992. - № 28. - P. 3174.
22. Разумов
И. М. Организация, планирование и управление предприятием машиностроения. - М.:
Машиностроение, 2005. - 544 с.
. Видяев
И.Г., Серикова Г.Н., Гаврикова Н.А. Финансовый менеджмент, ресурсоэффективность
и ресурсосбережение: учебно-методическое пособие. − Томск: Изд-во
Томского политехнического университета, 2014. - 36 с.
. Белов
С.В., А.В. Ильницкая и др. Безопасность жизнедеятельности. Учебник для вузов,
1999. - 354 с.
. Назаренко
О.Б. Безопасность жизнедеятельности: учебное пособие. - Томск: Изд - во ТПУ,
2010. - 144с.
. Белов
С.В. и др. Расчеты в машиностроении по охране труда, 2001. - 428 с.
27. http://dvo.sut.ru/libr/eibzd/i131vozd/chrez.htm/21.05.2014