Использование статистических методов качества в мелкосерийном производстве
Курсовой
проект
по
дисциплине: Статистические методы управления качеством
Тема:
Использование статистических методов качества в мелкосерийном производстве
Содержание
Введение
. Теоретическая часть
.1 Анализ данных
.2 Закон трех сигм
.3 Гистограмма
.4 Контрольные карты
.5 Диаграмма Исикавы
. Раздел Расчетный раздел.
Определение параметров выборки
.1 Анализ данных
.2 Закон трех сигм
2.3 Гистограмма
.4 Контрольные карты
.5 Диаграмма Исикавы
Заключение
Список литературы
Приложение 1
Введение
В мебельной промышленности как никогда нужно
высокое качество продукции. Ведь мебель присутствует в каждом доме, и каждый
выбирает мебель под себя, смотря на его качество, стиль и т.д., рассмотрим
диваны.
От качества диванов зависит наш сон, наш стиль
жизни. Если качества дивана вам не подходит, то это отразится на вашем образе
жизни.
Каждое производство старается как можно больше
уделять внимание на качество изготовления диванов. В производстве производится
своевременный контроль и управление качеством на всех стадиях.
В любой системе управления качеством продукции и
услуг статистические методы контроля и управления качеством имеют особое
значение и относятся к числу наиболее прогрессивных методов. Статистические
методы управления качеством - это концепция, базирующаяся на систематическом
применении методов математической статистики. Они являются инструментом не
только контроля качества готовой продукции, но способом оценки состояния
технологических процессов.
В данной курсовой работе будут рассмотрены
статистическая обработка результатов измерений, инструменты качества, а также
их практическое применение на примере изготовлении диванов серии СТЕФАНИ.
Раздел 1. Теоретическая часть
.1 Анализ данных
Среднее
Средняя величина - это обобщающая характеристика
множества индивидуальных значений некоторого количественного признака.
Формула средней арифметической.
(1),
где- значения переменной,- количество значений.
Словами можно сказать, что среднее
арифметическое - это соотношение суммы значений по некоторому показателю с
количеством таких значений.
Средняя величина характеризует изучаемую
совокупность по одному признаку.
Средняя величина выражается в тех же единицах,
что и сами варианты предложенные для расчета.
Дисперсия
Дисперсия случайной величины - мера
разброса данной случайной величины
<#"807821.files/image002.gif">
. В статистике часто употребляется
обозначение 
xили 
. Квадратный корень из дисперсии,
равный σ,
называется
среднеквадратичным отклонением
<#"807821.files/image004.gif"> - случайная величина, определённая
на некотором вероятностном пространстве <#"807821.files/image005.gif">
(2),
где символ
обозначает
математическое ожидание
<#"807821.files/image004.gif"> вещественна
<#"807821.files/image007.gif">
· Дисперсия является вторым
центральным моментом
<#"807821.files/image008.gif">:
· Дисперсия целочисленной случайной
величины может быть вычислена с помощью производящей функции последовательности
<#"807821.files/image010.gif">.
Таким образом, итоговая формула будет выглядеть:
Свойства:
· Дисперсия любой случайной величины
неотрицательна:
· Если дисперсия случайной величины
конечна, то конечно и её математическое ожидание;
· Если случайная величина равна
константе, то её дисперсия равна нулю:
Верно и обратное: если
то
почти всюду
<#"807821.files/image016.gif">
( 3),
Где

- среднее квадратичное отклонение-
дисперсия
.2 Закон трех сигм
Пусть имеется нормально
распределённая случайная величина x
с математическим ожиданием, равным а и дисперсией s2 . Определим
вероятность попадания xв интервал (а
- 3s; а + 3s), то есть
вероятность того, что x принимает
значения, отличающиеся от математического ожидания не более, чем на три
среднеквадратических отклонения.
(а - 3s< x
< а + 3s)=Ф(3) - Ф(-3)=2Ф(3) (4)
По таблице находим Ф(3)=0,49865, откуда следует,
что 2Ф(3) практически равняется единице. Таким образом, можно сделать важный
вывод: нормальная случайная величина принимает значения, отклоняющиеся от ее
математического ожидания не более чем на 3s.
(Выбор числа 3 здесь условен и никак не
обосновывается: можно было выбрать 2,8, 2,9 или 3,2 и получить тот же
вероятностный результат. Учитывая, что Ф(2)=0,477, можно было бы говорить и о
правиле 2-х “сигм”.)
Нормальное распределение, также называемое
распределением Гаусса -распределение вероятностей, которое в одномерном случае
задается функциейплотности вероятности, совпадающей с функцией Гаусса:
где параметр μ - математическое
ожидание, медиана и мода распределения, а параметр σ
- стандартное
отклонение (σ² - дисперсия)
распределения.
Таким образом, одномерное нормальное
распределение является двухпараметрическим семейством распределений.
Гауссова функция - математическая функция,
описываемая следующей формулой:
где параметры μ и
σ
- вещественные
числа.
Названа в честь Карла Фридриха Гаусса.
Стандартным нормальным распределением называется
нормальное распределение с математическим ожиданием μ
= 0 и
стандартным отклонением σ = 1
Рис.1 Закон трех сигм
При рассмотрении нормального закона
распределения выделяется важный частный случай, известный как правило трех
сигм.
Запишем вероятность того, что отклонение
нормально распределенной случайной величины от математического ожидания меньше
заданной величины D:
Если принять D = 3s, то вероятность того, что
случайная величина отклонится от своего математического ожидание на величину,
большую чем утроенное среднее квадратичное отклонение, практически равна нулю.
Это правило называется правилом трех сигм.
На практике считается, что если для какой - либо
случайной величины выполняется правило трех сигм, то эта случайная величина
имеет нормальное распределение.
Это распространенный инструмент контроля
качества используется для предварительной оценки дифференцированного закона
распределения изучаемой случайной величины, однородности экспериментальных
данных, сравнения разброса данных с допустимым, природа и точности изучаемого
процесса.
Гистограмма - это столбчатый график, позволяющий
наглядно представить характер распределения случайных величин и выборке. Для
этой же цели используют полигон - ломаную линию, соединяющую середине столбцов
гистограммы.
Рис. 2. Гистограмма (1), полигон (эмпирическая
кривая распределения) (2)и теоретическая кривая распределения (3) значений
размера детали
Гистограмма как метод представления
статистических данных была предложена французским математиком А. Гэри в 1833
году.
Построение гистограммы производится следующим
образом.
Составляется план исследования, выполняется
измерения, результаты заносятся в таблицу. Результаты могут быть представлены в
виде фактических измеренных значений либо в виде отклонений от номинального
значения. В полученной выборке находят максимальное Хmax
и минимальное Хminзначения
и их разницу
R=Xmax-Xmin
(5)
разбивают на z равных
интервалов. Обычно z»ÖN , где N- объем
выборки. Представительной считается выборка при N=35-200.
Часто N=100. Как
правильно, z=7-11. Длина
интервала 
должна быть больше цены деления
шкалы измерительного устройства, которым выполнялись измерения.
Подсчитывают частоты ¦i (абсолютное
число наблюдений) и частности 
(относительное число наблюдений)
для каждого интервала. Составляется таблица распределения и строится его
графическое изображение с помощью гистограммы или полигона в координатах¦i- xiили wI-xi, где хi - середина
или граница i-го
интервала. В каждый интервал включаются наблюдения, лежащие в пределах от
нижней границы интервала до верхней. Частоты значений, попавших на границы
между интервалами, поровну распределяются между соседними интервалами. Для
этого значения, попавшие на нижнюю границу, относят к предшествующему
интервалу, значения, попавшие на верхнюю границу, - к последующему интервалу.
Масштаб графиков по оси абсцисс выбирается произвольным, а по оси ординат
рекомендуется такой, чтобы высота максимальной ординаты относилась к ширине
основания кривой как 5:8.
Имея таблицу распределения,
выборочные 
и S2 для общей
выборки можно рассчитывать по формулам:
2 = 
Здесь 
.
Расчеты значительно упрощаются, если
использовать начало отсчета
С помощью гистограммы (полигона)
можно установить теоретический закон распределения, которому в наилучшей
степени соответствует эмпирическое распределение данного фактора, найти
параметры этого теоретического распределения.
Зная 
закон распределения характеристики
технологического процесса, можно оценить точность технологического процесса по
данному параметру.
Основным достоинством гистограммы
является то, что анализ ее формы и расположения относительно границ поля
допуска дает много информации об изучаемом процессе без выполнения расчетов.
Для получения такой информации из исходных данных необходимо выполнить
достаточно сложные расчеты. Гистограмма позволяет оперативно выполнить
предварительный анализ процесса (выборки) исполнителю первой линии (оператору,
контролеру и др.) без математической обработки результатов измерений.
Например, как видно на приведенном
выше рисунке (см. рис. 1), гистограмма смещена относительно номинального
размера к нижней границе допуска, в области которой вероятен брак. Оператор для
предотвращения брака должен прежде всего отрегулировать настройку станка для
совмещения 
и середины поля допуска. Возможно,
что этого окажется недостаточно для исключения брака. Тогда потребуется
повысить жесткость технологической системы, стойкость инструмента и уменьшить
разброс размеров.
Рассмотрим наиболее распространенные
формы гистограмм (рис. 2) и попытаемся их связать с особенностями процесса
(выборки, по которой построена гистограмма).
Колоколообразное распределение (см.
рис. 3, а) - симметричная формас максимумом примерно в середине интервала
изменения изучаемого параметра. Характерна для распределения параметра по
нормальному закону, при равномерном влиянии на него различных факторов.
Отклонения от колоколообразной формы могут указывать на наличие доминирующих
факторов или нарушений методики сбора данных (например, включения в выборку
данных, полученных в других условиях).
Рис. 3 Основные типы гистограмм
Распределение с двумя пиками
(двухвершинное) (см. рис. 3, б) характерно для выборки, объединяющей результаты
двух процессов или условий работы. Например, если анализируются результаты
измерений размеров деталей после обработки, такая гистограмма будет иметь
место, если в одну выборку объединены измерения деталей при разных настройках
инструмента или при использовании разных инструментов либо станков.
Использование различных схем стратификации для выделения различных процессов
или условий - один из метод.
Распределение типа плато (см. рис.
3, в) имеет место для тех же условий, что и предыдущая гистограмма.
Особенностью данной выборки является то, что в ней объединено несколько
распределений, в которых средние значения незначительно отличаются между собой.
Целесообразно построить диаграмму потоков, выполнить анализ последовательно
выполняемых операций, применить стандартные процедуры реализации операций. Это
уменьшит вариабельность условий процессов и их результатов. Полезно также
применение метода стратификации(расслоения) данных.
Распределение гребенчатого типа (см.
рис. 3,г) - регулярно чередующиеся высокие и низкие значения. Этот тип обычно
указывает на ошибки измерений, на ошибки в способе группировки данных при построении
гистограммы или на систематическую погрешность в способе округления данных.
Менее вероятна альтернатива того, что это один из вариантов распределения типа
плато.
Проанализируйте процедуры сбора
данных и построения гистограммы, прежде чем рассматривать возможные
характеристики процесса, которые могли бы вызывать такую структуру.
Скошенное распределение (см. рис. 3,
д) имеет асимметричную форму с пиком, расположенным не в центре данных, и с
«хвостами» распределения, которые резко спадают с одной стороны, и мягко - с
другой. Иллюстрация на рисунке называется положительно скошенным
распределением, потому что длинный «хвост» простирается вправо к уменьшающимся
значениям. Отрицательно скошенное распределение имело бы длинный «хвост»,
простирающийся влево к уменьшающимся значениям.
Такая форма гистограммы указывает на
отличие распределения изучаемого параметра от нормального. Оно может быть
вызвано:
• преобладающим влиянием какого либо
фактора на разброс значений пара метра. Например, при механической обработке
это может быть влияние точности заготовок или оснастки на точность обработанных
деталей;
• невозможностью получения значений
больше или меньше определенной величины. Это имеет место для параметров с
односторонним допуском (например, для показателей точности взаимного
расположения поверхностей - биения, неперпендикулярности и др.), для
параметров, у которых существуют практические ограничения их значений
(например, значения времени или числа измерений не могут быть меньше нуля).
Такие распределения возможны, так
как обусловлены природой получения выборок. Следует обратить внимание на
возможность уменьшения длины «хвоста», так как он увеличивает вариабельность
процесса.
Усеченное распределение (см. рис. 3,
е) имеет асимметричную форму, при которой пик находится на краю или вблизи от
края данных, а распределение с одной стороны обрывается очень резко и имеет
плавный «хвост» с другой стороны. Иллюстрация на рисунке показывает усечение с
левой стороны с положительно скошенным «хвостом». Конечно, можно также столкнуться
с усечением справа с отрицательно скошенным «хвостом». Усеченные распределения
- это часто гладкие, колоколообразные распределения, у которых посредством
некоторой внешней силы (отбраковка, 100%-ный контроль или перепроверка) часть
распределения изъята или усечена. Обратите внимание, что усилия по усечению
добавляют стоимость и, следовательно, это хорошие кандидаты на устранение.
Распределение с изолированным пиком
(см. рис. 3, ж) имеет небольшую, отдельную группу данных в дополнение к
основному распределению. Как и распределение с двумя пиками, эта структура
представляет собой некоторую комбинацию и предполагает, что работают два
различных процесса. Однако маленький размер второго пика указывает на
ненормальность, на что-то, что не происходит часто или регулярно.
Посмотрите внимательно на условия,
сопутствующие данным в маленьком пике:нельзя ли обособить конкретное время,
оборудование, источник входных материалов, процедуру, оператора и т. д. Такие
маленькие изолированные пики в сочетании с усеченным распределением могут быть
следствием отсутствия достаточной эффективности отбраковки дефектных изделий.
Возможно, что маленький пик представляет ошибки в измерениях или переписывании
данных. Перепроверьте измерения и вычисления.
Распределение с пиком на краю (см.
рис. 3, з) имеет большой пик, присоединенный к гладкому в остальном
распределению. Такая форма существует тогда, когда протяженный «хвост» гладкого
распределения был обрезан и собран в одну-единственную категорию на краю
диапазона данных. Кроме того, это указывает на неаккуратную запись данных
(например, значения за пределами «приемлемого» диапазона записываются как всего
лишь лежащие вне диапазона).
.4 Контрольные карты
Контрольные карты - это способ
графического представления результатов технологических или других процессов в
порядке их выполнения. Контрольные карты предназначены для мониторинга
процессов с целью их анализа, регулирования и контроля. Для решения этих задач
используют различные виды контрольных карт.
Обозначения: 
, 
, R, S- выборочные
средние, медианы, размахи, средние квадратичные несоответствия; mR, m
-скользящие размахи и средние; p-доля или
процент несоответствий, c-их число, np - число
несоответствующих изделий, u= c/n- число
весовых коэффициентов, D - разновидность Q - каты
Рис. 4 Классификация контрольных карт
Карта Шухарта требует данных,
получаемых выборочно из процесса через примерно равные интервалы. Интервалы
могут быть заданы либо по времени (например ежечасно), либо по количеству
продукции (каждая партия). Обычно каждая подгруппа состоит из однотипных единиц
продукции или услуг с одними и теми же контролируемыми показателями, и все
подгруппы имеют равные объемы. Для каждой подгруппы определяют одну или
несколько характеристик, таких как среднее арифметическое подгруппы
и размах подгруппы R или
выборочное стандартное отклонение 
. Карта Шухарта - это график
значений определенных характеристик подгрупп в зависимости от их номеров. Она
имеет центральную линию (CL), соответствующую эталонному
значению характеристики. При оценке того, находится ли процесс в статистически
управляемом состоянии, эталонным обычно служит среднее арифметическое
рассматриваемых данных. При управлении процессом эталонным служит
долговременное значение характеристики, установленное в технических условиях,
или ее номинальное значение, основанное на предыдущей информации о процессе,
или намеченное целевое значение характеристики продукции или услуги. Карта
Шухарта имеет две статистические определяемые контрольные границы относительно
центральной линии, которые называются верхней контрольной границей (UCL) и нижней
контрольной границей (LCL).
Рис. 5 Вид контрольной карты
Контрольные границы на карте Шухарта
находятся на расстоянии 3
от центральной линии, где 
- генеральное стандартное
отклонение используемой статистики. Изменчивость внутри подгрупп является мерой
случайных вариаций. Для получения оценки 
вычисляют выборочное стандартное
отклонение или умножают выборочный размах на соответствующий коэффициент. Эта
мера не включает межгрупповых вариаций, а оценивает только изменчивость внутри
подгрупп.
Контрольная карта используется для
анализа состояния объекта управления.
Контролируемое состояние объекта -
это такое состояние, когда процесс его стабилен его средняя и разброс не
меняется.
Выход из контролируемого состояния
определяется по контрольной карте по следующим критериям:
1. Выход точек за контрольные пределы
Рис.6 Выход за контрольные пределы
. Серия, такое проявление, когда точки
неизмененно оказываются по одну сторону от средней линии, число таких точек
называется длинной серией.
Серия длинной в 7 точек рассматривается как
неслучайная. Если длина серии, оказывается менее 6 точек в ряде случаев
ситуацию, следует рассматривать как не случайную.
Не менее 10 из 11 точек оказывается по одну сторону
от средней линии.
. Тренд (дрейф), если точки образуют
непрерывно повышенную серию или непрерывно-понижающую кривую, то это называется
трендом.
Рис.7 Серия
Рис.8 Тренд
. Приближение к контрольным зонам.
Рис.9 Приближение к контрольным зонам
Рассматриваются точки, которые приближаются к
трехсигмовым интервалом.
Если 2 или 3 точки оказываются за двумя
сигмовыми промежутками, такой случай рассматривается как не нормальный.
Контрольные карты средних значений и размаха.
-R,
применяются при массовом производстве, когда карты индивидуальных значений не
применимы при грамосткости.
При использовании
- R карты
вывода о стабильности процесса делаются на основе данных полученных при анализе
небольшого числа представителей всех рассматриваемых изделий.
При этом все изделия объединяются в
партии в порядке изготовления и от каждой партии берутся небольшие выборки, по
данным которых строятся контрольных карт.
Порядок построения:
1. Определение объема партии изделий, из
которых берутся из выборки.
Партия может составляться за час, смену или
другой период смены, может формироваться из потока определенными группами
изделий (желательно чтобы объем партии были одинаковыми)
Выборке присваиваются номера от 1 до n-ого.
Всего берется 25-30 выборок.
. В каждой выборке среднего значения и
размаха.
4. Вычисляется общее среднее значение и
размах общего среднего
. Вычисляются и наносятся контрольные
границы
Построение 
по формулам:
=
(6)
CL=
Построение 
UCL=D3 *
LCL= D4 * 
(7)
CL=
Построение
карта
=
*
=
(8)
- нет
Рис.10 Контрольная карта S
1.5 Диаграмма Исикавы
Причинно-следственную диаграмма
предложена в 1953 г. К. Исикавой («диаграмма Исикавы», иногда еще называют
«рыбьей костью» или «рыбьим скелетом»). Диаграмма представляет собой
графическое упорядочение факторов, влияющих на объект анализа.
Рис.11 Диаграмма Исикавы. Причинные
факторы (характеристики)
Главным достоинством диаграммы
Исикавы является то, что она дает наглядное представление не только о тех
факторах, которые влияют на изучаемые объекты, но и о причинно-следственных
связей этих факторов.
При построении диаграммы Исикавы к
центральной горизонтальной стрелке, изображающей объект анализа, подводят
большие первичные стрелки, обозначающие главные факторы (группы факторов),
влияющие на объект анализа. Далее к каждой первичной стрелке подводят стрелки
второго порядка и т.д. до тех пор, пока на диаграмму не будут нанесены все
стрелки, обозначающие факторы, оказывающие заметное влияние на объект анализа в
конкретной ситуации. Каждая из стрелок, нанесены на схему, в зависимости от ее
положения предоставляет собой либо причину, либо следствие: предыдущая стрелка
по отношению к последующей всегда выступает как причина, а последующая - как
следствие.
Главная задача при построении
диаграммы - обеспечение правильной соподчиненности во взаимозависимости
факторов, а также четкоеее оформление.
При структурировании диаграммы на
уровне первичных стрелок факторов во многих реальных ситуациях можно
воспользоваться предложенным самим Исикавой правилом «пяти М» (материалы,
машины, методы, измерения, люди). Это правило состоит в том, что в общем случае
существует пять возможных причин тех или иных результатов, связанных с
причинными факторами.
Причинно-следственную диаграмму
используют для выявления и систематизации факторов (причин), влияющих на
определенный результат процесса, вызывающих какую-либо проблему при его
реализации. Построение причинно-следственной диаграммы обычно выполняют на
первой стадии анализа процесса. Это качественный анализ, задачей которого
является определение причин проблем. Затем определяют степень влияния этих
причин, характер влияния, намечают мероприятия по устранению или уменьшению
влияния причин несоответствия.
Диаграмма Исикавы обладает
следующими преимуществами:
§ позволяет графически отобразить
взаимосвязь исследуемой проблемы и причин, влияющих на эту проблему;
§ дает возможность провести
содержательный анализ цепочки взаимосвязанных причин, воздействующих на
проблему;
§ удобна и проста для применения и
понимания персоналом. Для работы с диаграммой Исикавы не требуется высокая
квалификация сотрудников, и нет необходимости проводить длительное обучение.
Диаграмма Исикавы обладает следующими
недостатками:
Данного инструмента качества можно отнести
сложность правильного определения взаимосвязи исследуемой проблемы и причин в
случае, если исследуемая проблема является комплексной, т.е. является составной
частью более сложной проблемы. Другим недостатком может являться ограниченное
пространство для построения и прорисовывания на бумаге всей цепочки причин
рассматриваемой проблемы. Но данный недостаток может быть преодолен, если
диаграмма Исикавы строится с применением программных средств.
Вывод:
Представлены теоретические данные для анализа
выборочных данных по процессу изготовления мебельной промышленности.
2 Раздел. Расчетный раздел. Определение
параметров выборки
.1 Анализ данных
Вы являетесь инженером ОТК предприятия,
производящего мебельную продукцию.
По нормативной документации ширина спального
места диванов серии СТЕФАНИ должна составлять 159 см.
Исходные данные представляют результаты 100
измерений ширины спального места продукции, приведены в табл. 1. Переменная
названа vane (ширина).
Таблица №1. Исходные данные
Среднее арифметическое простое.
Проанализировав таблицу с исходными данными,
рассчитывается среднее арифметическое по формуле 1.

(см)
Дисперсия
Для расчета дисперсии берем исходные
данные из таблицы и рассчитывается по формуле 2
D=21,74
Среднее квадратичное отклонение
Среднее квадратичное отклонение
рассчитывается по формуле 3
Проверка на грубое отклонение
Проверка на грубое отклонение
рассчитывается по формуле 4
Верхнее отклонение
Р=156,6+3*4,66=169,98(см)
Нижнее отклонение
Р=156,6-3*4,66=142,62(см)
Все значения исходных данных входят
в диапазон верхних и нижних отклонений.
Гистограмма
Рассчитывается по формуле 5
Разница выборки между максимальным Хmax и
минимальным Хmin значением.
R=Xmax-Xmin = 15
Интервал размаха находим по формуле:
H=
1,5
Округляем до 2-ух, для расчета
разряда.
Таблица №2.
|
Разряд
|
150-152
|
152-154
|
154-156
|
158-160
|
160-162
|
162-164
|
164-166
|
|
Количество
значений попавших в этот интервал
|
20
|
14
|
10
|
13
|
13
|
11
|
10
|
9
|
Рис. 12 Гистограмма
Гистограмма имеет асимметричную форму, при
которой пик находится на краю или вблизи от края данных, а распределение с
одной стороны обрывается очень резко и имеет плавный «хвост» с другой стороны.
Иллюстрация на рисунке показывает усечение с левой стороны .
.4 Контрольные карты
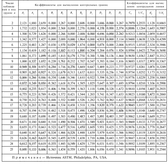
Для вычисления верхней (UCL) и нижней (LCL) границ
карта
воспользовались таблицей из ГОСТ Р 50779.42-99 (Приложение 1)
Для расчета верхних и нижних
контрольных границ воспользовались расчетными формулами 6.
UCL=156,6+0,308*1=156,908=
156,6-0,308*1=156,292=156,6
Построение 
|
(см)UCL (см)LCL(см)CL(см)
|
|
|
|
|
155,7
|
156,908
|
156,292
|
156,6
|
|
157,2
|
156,908
|
156,292
|
156,6
|
|
156,8
|
156,908
|
156,292
|
156,6
|
|
155,5
|
156,908
|
156,292
|
156,6
|
|
156,7
|
156,908
|
156,292
|
156,6
|
|
155,6
|
156,908
|
156,292
|
156,6
|
|
155,5
|
156,908
|
156,292
|
156,6
|
|
155,8
|
156,908
|
156,292
|
156,6
|
|
158,3
|
156,908
|
156,292
|
156,6
|
|
158,9
|
156,908
|
156,292
|
156,6
|
Рис.13 
По построенной контрольной 
- карте видно, что размах спального
места диванов требования не выполняются и требуют вмешательства, т.к. точки 
выходит за контрольные границы.
Построение
- карта
Для расчета верхних и нижних
контрольных границ воспользовались расчетными формулами 7.
UCL=1,777*1=1,777=0,223*1=0,223=1
|
UCLLCLCL
|
|
|
|
|
1,5
|
0,223
|
1
|
|
0,4
|
1,777
|
0,223
|
1
|
|
1,3
|
1,777
|
0,223
|
1
|
|
1,2
|
1,777
|
0,223
|
1
|
|
1,1
|
1,777
|
0,223
|
1
|
|
0,1
|
1,777
|
0,223
|
1
|
|
0,3
|
1,777
|
0,223
|
1
|
|
2,5
|
1,777
|
0,223
|
1
|
|
0,6
|
1,777
|
0,223
|
1
|
Рис. 14 
По построенной контрольной 
- карте видно, что размах размеров
спального места меньше, чем в конце периода, т.к. в конце периода точка 
выходит на контрольные границы. Так
же видно, что четыре точки 
приближаются к контрольным
границам.
Построение 
- карта
Для расчета верхних и нижних
контрольных границ воспользовались расчетными формулами 8.
UCL=1,777*4,687474=0=4,687474
|
CLUCL
|
|
|
|
5,578729
|
4,687474
|
8,329642
|
|
5,940445
|
4,687474
|
8,329642
|
|
5,072803
|
4,687474
|
8,329642
|
|
3,719319
|
4,687474
|
8,329642
|
|
5,078276
|
4,687474
|
8,329642
|
|
4,477102
|
4,687474
|
8,329642
|
|
3,472111
|
4,687474
|
8,329642
|
|
4,077036
|
4,687474
|
8,329642
|
|
5,558777
|
4,687474
|
8,329642
|
|
3,900142
|
4,687474
|
Рис. 15 S
- карта
.5 Диаграмма Исикавы
При изготовлении дивана серии СТЕФАНИ были
изготовлены спальные места меньших размеров, что не соответствует требованием
нормативной документации. Основные причины, которые повлияли на проблему можно
разбить на несколько групп: человек, машина, методы, материалы, окружающая
среда.
По каждой из причин, проводится анализ более
подробные величины влияния и вносим под наклоном к основной стрелке. Группа
факторов «Человек» могут являться состояние здоровья, не позволяющее ему
увидеть точный размер спального места, невнимательность и халатность из-за
отсутствия мотивации к работе. Так же могло повлиять плохое освещение и
безопасность труда на рассмотрение размеров спального места, их отнесем к
причинам «Окружение». Таким образом, составим схему в форме рыбной кости с
правилом 5 М.
Рис. 16 Диаграмма Исикавы
Заключение
Производитель, чтобы оставаться
конкурентоспособным на рынке предоставления продукции и услуг, должен
контролировать их качество по результатам выборочного контроля, судить о
состоянии соответствующего процесса. Благодаря этому, он своевременно
обнаруживает разладку процесса и корректирует его.
Статистические методы являются эффективным инструментом
сбора и анализа информации о качестве. Применение этих методов не требует
больших затрат и позволяет с заданной степенью точности и достоверностью судить
о состоянии исследуемых процессов в системе качества, прогнозировать и
регулировать проблемы на всех этапах жизненного цикла продукции и на основе
этого вырабатывать оптимальные управленческие решения.
В курсовой работе была рассмотрены инструменты
статистического анализа данных по изготовлению диванов серии СТЕФАНИ: среднее
арифметическое, дисперсию, среднее квадратичное отклонение, Закон трех сигм,
гистограмму, контрольные карты, диаграмму Исикавы.
Список использованной литературы
1. ГОСТ Р 50779.42-99 Статистические
методы. Контрольные карты Шухарта. М.: ИПК Издательство стандартов, 1999. 32 с.
. Ефимова М.Р., Петрова Е.В.,
Румянцева В.Н. Общая теория статистики: Учебник. - 2-е изд., испр. и доп. - М.:
ИНФРА-М, 2009. - 416 с.
. Ефимова М. Р., Ганченко О. И.,
Петрова Е. В. Практикум по общей теории статистики: Учеб. пособие. - 2-е изд.,
перераб. и доп. - М.: Финансы и статистика, 2005. -336 с.
. Ефимов В.В., Барт Т. В.
Статистические методы в управлении качеством продукции: учебное пособие./ В.В.
Ефимов, Т.В. Барт. - М.: КНОРУС, 2006. 172 с.
. Шмойлова Р.А. Практикум по теории
статистики: учеб. пособие / Р.А Шмойлова, Н.А. Садовникова; под ред. Р.А.
Шмойловой. - 3-е изд. - М.: Финансы и статистика, 2011. - 416 с.
Приложение 1
Из ГОСТ Р 50779.42-99 Контрольные карты Шухарта.
Таблица №1 Коэффициент для вычисления линий
контрольных карт