Инспекционная машина непрерывного действия
МИНИСТЕРСТВО
ОБРАЗОВАНИЯ И НАУКИ РФ
МОСКОВСКИЙ
ГОСУДАРСТВЕННЫЙ УНИВЕРСИТЕТ ТЕХНОЛОГИЙ И УПРАВЛЕНИЯ им. К.Г. РАЗУМОВСКОГО
Кафедра
«Пищевые машины»
КУРСОВОЙ
ПРОЕКТ ПО «ТЕХНОЛОГИЧЕСКОМУ ОБОРУДОВАНИЮ
ВИНОДЕЛЬЧЕСКИХ
ПРОИЗВОДСТВ»
ТЕМА:
«ИНСПЕКЦИОННАЯ МАШИНА НЕПРЕРЫВНОГО ДЕЙСТВИЯ П = 6000 бут/час»
СПЕЦИАЛЬНОЕ
УКАЗАНИЕ ПО ПРОЕКТУ: МОДЕРНИЗИРОВАТЬ МЕХАНИЗМ ВВОДА И ВЫВОДА БУТЫЛОК
МОСКВА, 2014
ВВЕДЕНИЕ
Важнейшая задача агропромышленного комплекса -
устойчивое продовольственное снабжение населения продуктами питания высокого
качества с учетом платежеспособного спроса населения.
Реализует эту задачу группа отраслей занятых
производством продукции сельского хозяйства, ее заготовкой, транспортировкой,
хранением, переработкой, доведением ее до потребителя, образующих
агропромышленный комплекс (А.П.К.).
В А.П.К. можно выделить следующие сферы
деятельности: сельское хозяйство, рыбоводство, добыча соли и минеральных вод:
отрасли занятые переработкой и доведением продукции до потребителя; отрасли
промышленности, поставляющие А.П.К. средства производства.
Сейчас в деятельности агропромышленного
комплекса по производству продукции питания можно выделить следующие
направления: создание агропромышленных формирований типа совхозы-заводы.
Ежегодно возрастающая урожайность различных
фруктов позволяет увеличить их переработку. Эти большие количества ценнейших
плодов должны быть переработаны на соки, концентраты, безалкогольные напитки и
другие продукты, наиболее ценные в питании человека.
Потребление натуральных соков и продуктов
безалкогольных производств является ценным дополнением в питании, способствует
хорошему настроению и улучшает здоровье населения.
Основные задачи безалкогольной промышленности -
поднять качество продукции, увеличить производство детских напитков, сков,
сильно- и слабогазированных вод и т.д., для этого улучшить качество сырья,
вспомогательных материалов, фасование винодельческой продукции осуществлять на
автоматизированных высокопроизводительных линиях розлива.
Необходимо увеличить производство детского
шампанского и т.д., расширить производство винодельческих напитков.
Разработка и модернизация машин линий фасования
и упаковывания идет с учетом установки вариаторов на приводы, системы надежного
автоматического регулирования и контроля технологических процессов и применения
новых конструкционных материалов.
Этикетировочные машины в линии упаковывания
являются основным оборудованием, от качества работы последней во многом зависит
бесперебойность работы линии, качество оформления продукции.
Тщательная и непрерывная инспекция бутылок до и
после фасования их винодельческой продукции в процессе упаковывания - дело
чрезвычайной важности.
1. ЛИТЕРАТУРНЫЙ ОБЗОР
.1 Инспекционные машины и
устройства. Их классификация
В производственном цикле выделяют несколько
видов и этапов контроля (инспекции) бутылок:
. Инспекция пустых бутылок на степень их
загрязнения, наличие сколов, механических повреждений, трещин, целостности
горлышек, корпусов и донышек бутылок перед их мойкой, ополаскиванием и
обдувкой. Бутылки с найденными дефектами отбраковываются до мойки. Эта операция
производится визуально с помощью световых экранов.
. Инспекция бутылок, особенно возвратных, после
мойки. Визуальная инспекция на линиях малой производительности обычно
достаточна, если проведен надежный осмотр бутылок перед мойкой. На линиях
высокой производительности перед фасованием жидкости в бутылки целесообразно
производить контроль чистоты дна и стенок вымытых бутылок, уплотнительной и
резьбовой частей их венчика, опознавание остатков щелочи в бутылке, контроль
параметров бутылки, ее цвета и целостности.
. Инспекция бутылок, наполненных продуктом.
Удалению подлежат негерметично укупоренные бутылки, бутылки с мутным изделием и
посторонними включениями - частицами стекла, обрывками бумаги, пленками и т.д.
Производительность инспекционных машин с визуальным контролем не превышает 6000
бут/час и ограничена возможностями оператора-контролера. Это обстоятельство
вынуждает в линиях упаковывания более высокой производительности устанавливать
несколько инспекционных или спаренных машин, а в отдельных случаях даже
отказываться от этой операции вообще.
. Контроль уровня наполнения напитка и точности
дозы, контроль качества укупоривания. Инспекция проводится устройствами,
устанавливаемыми на транспортере линии после фасовочно-укупорочной машины, и
является гарантией качества продукции в высокопроизводительных линиях.
Устройства осуществляют контроль наличия колпачка, устанавливают наличие
недолитых или пустых бутылок, выталкивают на накопитель некачественные бутылки,
определяют их количество и недостатки, находят источник дефекта (фасовочное или
укупорочное устройство). Контроль этикеток, производимый в некоторых
устройствах, предотвращает выход с линии бутылок с дефектной этикеткой.
. Контроль бутылок в ящиках с готовой
продукцией. В линиях малой производительности эту операцию выполняет оператор
машины для укладки бутылок в ящики или же она вообще не производится.
Применительно к линиям высокой производительности предусматривается
использование манипулятора, который не только устраняет нестандартные ящики, но
и устанавливает наличие недоукомплектованных ящиков с бутылками, наличие в
ящиках бутылок без пробок, выталкивает отбракованные ящики на стол комплектации
и определяет их количество.
Классифицировать инспекционное оборудование
можно по ряду признаков:
по методу контроля (визуальные, фотооптические и
фотоэлектронные; последние относят к объективным методам);
по кинематическим признакам (направлению
движения бутылок): (линейные и карусельные; при этом визуальные машины и
устройства не могут быть как линейными, так и карусельными, а фотооптические и
фотоэлектронные - только карусельными);
по характеру движения бутылок (с непрерывным и
прерывистым движением);
по положению бутылки при инспекции (горлом вверх
и горлом вниз, т.е. без переворачивания или с переворачиванием);
по направлению движения бутылки по отношению к
оператору (с движением «на оператора» и «мимо оператора»; это имеет значение
при визуальном просмотре, поскольку этот фактор влияет на зрение оператора и,
соответственно, на надежность просмотра бутылок; в первом случае нагрузка на
глаза меньше);
по конструкции (световые экраны, барабанные,
дисковые, конвейерные машины; световые экраны, обычно относят к инспекционным
устройствам);
по способу удаления забракованных бутылок
(вручную, автоматически, при помощи специального механизма по команде
оператора, непосредственно во время просмотра или после возвращения бутылок на
основной конвейер, во время нахождения бутылок в машине или после выхода из нее
и т.д.; это в первую очередь определяется конструкцией машины или ее
производительностью);
по производительности (деление условно и
относится к машинам).
1.2 Инспекционные устройства
Простейшими устройствами для контроля бутылок
(пустых или что реже, наполненных) являются обычные световые экраны (фонари), в
которых бутылки просматриваются без переворачивания при прохождении мимо
источника света, укрепленного сбоку конвейера для бутылок. Источником света
могут служить лампы накаливания или люминесцентные лампы.
Световой экран ВСЭ, показанный на рис.1.1 а,
укреплен на фундаменте при помощи башмаков и подсоединен к конвейеру линии
переходными мостиками, закрепленными на его направляющих. Задняя стенка кожуха
экрана имеет отверстия для отвода теплоты. Передняя стенка экрана закрыта
стеклами матового цвета. На экране установлены регулируемые направляющие для
обеспечения зазора необходимой величины между стенкой экрана и направляющей в
зависимости от вместимости и типа бутылок.
Рисунок 1.1 - Световые экраны: а - ВСЭ (1 -
стойка; 2 - направляющая; 3 - ограждение; 4 - рама; 5 - кожух); б - ОБ6Т-2401
(1 - кожух; 2 - стекло; 3 - лампа)
Световые экраны подобного типа, но без стоек и
направляющих для конвейера, выпускаются под маркой ОБ6Т-2401Б (рис.1.1. б).
В таблице 1.1. Показаны технические
характеристики световых экранов.
Таблица 1.1 - Технические характеристики
световых экранов
|
Показатели
|
Марка
|
|
ВСЭ
|
ОБ6-2401Б
|
|
Производительность,
бут/ч
|
До
6000
|
До
6000
|
|
Вместимость
просматриваемых бутылок, л
|
0,25;
0,33;0,5;0,7; 0,75
|
0,25;0,33;0,5;0,7;
0,75
|
|
Источник
свет
|
Люминесцентные
лампы
|
Лампы
накаливания
|
|
Габаритные
размеры
|
1885х410х1522
|
612х250х460
|
|
Масса,
кг
|
121
|
9,5
|
|
Предприятие-изготовитель
|
ОАО
«Мелитопольпродмаш», Украина
|
ОАО
«Мелитопольпродмаш», Украина
|
Световые экраны для инспекции бутылок должны
создавать равномерный световой поток на всем участке просматривания. В световых
экранах предпочтительнее использовать отраженный световой поток, создаваемый
лампами накаливания. Люминесцентные лампы больше утомляют зрение.
Другим недостатком существующих конструкций
является также и то, что места в зоне просмотра, за которым находятся лампы,
выделяются яркими пятнами, которые быстро утомляют зрение контролера. Чтобы
избежать этого, можно рекомендовать более рациональную конструкцию экрана (рис.
1.2. а).

Верхняя кривая контура представляет собой часть
эллипса с фокусами в точках F1 и F2. Лампа накаливания размещена так, что центр
свечения находится в фокусе F1. Так как поверхность экрана, соответствующая
участку АВ на рисунке, представляет собой эллиптический цилиндр с образующей,
перпендикулярной плоскости рисунка, то в соответствии с оптическими свойствами
такой поверхности любой световой луч, вышедший из фокуса F1 и отразившийся от
нее, пойдет через другой фокус F2. Нижняя крива СD контура представляет собой
параболу с фокусом, совпадающим с фокусом эллипса F2. Нижняя поверхность
экрана, соответствующая участку СD на рисунке, является частью параболического
цилиндра с образующей, нормальной плоскости рисунка. Согласно оптическим
свойствам такой поверхности все лучи, отразившиеся от нее и идущие через фокус
точки F2, пойдут параллельным пучком. На рисунке направление движения лучей,
идущих от лампы, показано стрелками. Переходный участок ВС является сопрягающим
для верхней и нижней поверхностей и представляет собой часть круговой
цилиндрической поверхности.
Таким образом, большая часть световых лучей от
лампы, отразившись от внутренней поверхности экрана, выходит в область
просматривания бутылок равномерным потоком.
Часть прямого света ламп попадает
непосредственно на бутылку сверху и способствует лучшему просматриванию венчика
бутылки. При этом источник света находится вне поля зрения оператора.
Для просматривания пустых бутылок на экране
длиной 600 мм достаточно двух ламп накаливания по 100 Вт каждая.
Такого рода модернизация может быть выполнена
силами любого производства.
Большой практический интерес представляет собой
и следующая разработка.
Корпус светового экрана (рис. 10.70. б) частично
выдвинут на транспортер. Корпус имеет две вогнутые зеркальные поверхности 4,
которые отражают лучи света ламп так, что они сосредотачиваются на боковой
поверхности бутылок. Нижние лампы и рефлектор 2 предназначены для просвечивания
дна бутылок. В верхней части корпуса установлено зеркало 6 для контроля
состояния торцевой поверхности горлышка бутылки.
Угол наклона плоскости зеркала можно изменять с
помощью боковых шарниров с зажимами. Оригинальность конструкции в том, что
бутылки при перемещении их по ленте транспортера вращаются вокруг своей оси и
поэтому просвечиваются со всех сторон.
Устройство крепится стойками 7 к раме 8
транспортера 5, а столик 9 сделан выдвижным и закрепляется в нужном положении
гайками 3. При этом между столиком и движущейся лентой транспортера образуется
щель, через которую происходит просвечивание дна бутылки от нижнего рефлектора.
Движущиеся по транспортеру бутылки смещаются направляющими 1 и 10 на столик
так, что одним краем они продолжают опираться на ленту транспортера, а другим -
на край столика. Так как одна опора бутылки движется, а другая неподвижна, то
под действием сил трения бутылки вращаются и перемещаются перед освещенным
экраном, а затем другими направляющими снова выводятся на ленту транспортера.
Такое усовершенствование также может быть
выполнено непосредственно на производстве.
1.3 Инспекционные машины
В настоящее время из всего разнообразия
визуальных инспекционных машин в отрасли наиболее распространены линейные
машины с непрерывным перемещением бутылок (конвейерного типа) и просмотром их
при переворачивании. В основе всех этих машин лежит схема известной машины БАЗ.
Современные машины такого типа выпускались и выпускаются под марками: БАЗ-6,
БА32-М, АБ2-И, ЛПМ7-6010. Для примера рассмотрим машины ВИА и ВИБ. Машины
различаются направлением движения бутылок (в ВИА - слева направо, в ВИБ -
справа налево).
Общий вид машины ВИА (ВИБ) показан на рис. 1.3.,
а. Все основные сборочные единицы машины закреплены на станине, за исключением
электрошкафа (устанавливается отдельно).
Рисунок 1.3 - Инспекционная машина ВИА (ВИБ)
Станина представляет собой сварную конструкцию,
в верхней части которой смонтирован привод. Привод состоит из электродвигателя,
вариатора и червячного редуктора, на ведущем валу которого расположены
предохранительная муфта и сменные шкивы. На ведомом валу редуктора находится
звездочка, от которой через цепную передачу приводится во вращение ведущий вал
цепи с бутылконосителями.
Бутылконосители сварной конструкции состоят из
двух отштампованных щек, соединенных между собой двумя перемычками. К верхней
перемычке крепится регулируемый упор-ограничитель положения бутылки. К нижней -
кронштейн (тарелка), служащий нижней опорой при повороте бутылки горлышком
вниз. Тарелка имеет вертикальные пазы, обеспечивающие регулирование опоры по
высоте бутылки. На щеки бутылконосителей надеваются пластмассовые вкладыши,
обеспечивающие необходимый боковой зазор при входе бутылок в бутылконосители.
Ввод и вывод бутылок в бутылконосители
осуществляется механизмом, состоящим из горизонтально расположенного стола,
звездочки, захватывающей бутылки с конвейера и подающей их в бутылконосители,
шаблона и направляющих, обеспечивающих плавный вывод бутылок на конвейер.
Захватывающая звездочка приводится во вращение
через коническую цепную передачи от вала ведущей звездочки цепи с
бутылконосителями. Такая кинематическая связь обеспечивает надежную фиксацию
положения подаваемой звездочкой бутылки относительно бутылконосителя.
На рис. 1.3 б показана кинематическая схема
машины ВИА.
Инспекционная машина ВУЛ/3, в отличие от
перечисленных машин, имеет существенную особенность: контролер избавлен от
необходимости вручную вынимать отбракованные бутылки из носителя. Достигается
это установкой специального устройства для выталкивания отбракованной бутылки
во второй ряд для последующего отвода. Устройство срабатывает при нажатии
контролером кнопки на носителе, в котором находится забракованная бутылка.
Для линий большой производительности (12000
бут/ч) разработаны машины ВИЕ и РП/МА. Они представляют собой инспекционные
машины такого же типа, но в двухпоточном исполнении. Их обслуживают два
контролера с двух сторон конвейера.
Технические характеристики перечисленных
инспекционных машин приведены в таблице 1.2.
На отечественных предприятиях для инспекции
бутылок с продукцией используются машины карусельного типа MCV, выпускаемые фирмой
«Perrier» (Франция). Она выпускается нескольких моделей MCV-14, MCV-24, MCV-25
(рис. 1.4.).
Таблица 1.2 - Технические характеристики
линейных инспекционных машин непрерывного действия
|
Показатели
|
Марки
|
|
БАЗ
|
БАЗ-6
|
ВИА
|
ВУЛ/3
|
РП/МА
|
|
Производительность,
бут/час
|
4000-6000
|
4000-6000
|
3200-6600
|
6600
|
12000
|
|
Вместимость
инспектируемых бутылок, л
|
0,5
|
0,5
|
0,25-0,75
|
0,5
|
0,25;
0,5
|
|
Средняя
длительность просмотра бутылок, с
|
0,5
|
0,5
|
0,5
|
0,5
|
0,5
|
|
Мощность
привода, кВт
|
0,27-0,4
|
0,27-0,4
|
0,37
|
0,63
|
0,6
|
|
Габаритные
размеры, мм
|
1170х650х
1700
|
1166х659х
1632
|
1600х935х
2000
|
1750х900х
2100
|
1250х900х
1725
|
|
Масса,
кг
|
410
|
350
|
480
|
680
|
400
|
|
Предприятие-
изготовитель
|
Механические
мастерские АО «Кристалл», Москва
|
Нежинский
механический завод, Украина
|
Механические
мастерские АО «Кристалл», Москва
|
Рисунок 1.4 - Инспекционная машина MCV-25: а -
общий вид; б - карусель; в - головка захвата бутылок (1 - станина; 2, 3, 8 -
направляющие; 4 - вращающейся столик; 5 - выгрузочная звездочка; 6, 9 -
предохранительные устройства; 10 - загрузочная звездочка; 11 - рукоятка; 12 -
коническая зубчатая передача; 13 - колпачок; 14, 20 - диски; 15 - захватная
головка; 16, 21 - стойки; 17 - лампа; 18 - световой экран; 19 - вал;22 - палец;
23 - корпус головки; 24 - подпружиненный шток; 25, 30 - пружины; 26 -
кронштейн; 27 - толкатель; 28 - кулачок; 29 - сухарик; 31 - фланец; 32 - ролик;
33, 36 - оси; 34 - подпружиненный блок с профильной частью; 35 - двуплечный
рычаг; 37 - шарики).
Машина MCV-25 работает следующим образом.
Бутылки загрузочной звездочкой подаются к карусели, при этом горлышко бутылки
размещается между двумя головками. Происходит проворачивание двуплечевого
рычага первой головки, шаровым наконечником которого горлышко бутылки
прижимается к профильному гнезду второй головки. Для дальнейшего вращения
карусели бутылка (вместе с ней и головка) проворачивается профильными
направляющими и устанавливается горлышком вниз. В таком положении она проходит
перед световым экраном и просматривается контролером. Затем профильные
направляющие устанавливают бутылку горлышком вверх, головка освобождает ее, и
выгрузочная звездочка выводит бутылку на конвейер. Если бутылка с дефектом,
контролер нажимает на палец головки, бутылка на выходе попадает в профильные
направляющие и автоматически выводится на столик сбора отбракованных бутылок.
Следует, однако, отметить и серьезный
эксплуатационный недостаток этой машины: расположение механизма загрузки и
выгрузки бутылок (звездочек) и участка просмотра бутылок с противоположных
сторон машины, что требует двух операторов для ее обслуживания (просмотра
бутылок и наблюдения за их загрузкой и выгрузкой).
Техническая характеристика некоторых моделей
машин MCV приведена в таблице 1.3.
Таблица 1.3 - Техническая характеристика
инспекционных машин MCV
|
Показатели
|
Марка
|
|
MCV-14
|
MCV-20
|
MCV-25
|
|
Производительность,
бут/час
|
1400-5000
|
2000-7000
|
2000-8000
|
|
Высота
инспектируемых бутылок, мм
|
120-360
|
120-360
|
120-360
|
|
Шаг
между центраторами захватов, мм
|
125
|
125
|
100
|
|
Мощность
привода, кВт
|
0,85
|
1,0
|
1,0
|
|
Габаритные
размеры, мм
|
1485х1275х
2150
|
1700х1490х
2150
|
1580х1420х
2000
|
|
Масса,
кг
|
590
|
820
|
852
|
1.4 Инспекционные машины
объективного контроля
Действие фотоэлектрических инспекционных машин
основано на использовании фотоэлементов, реагирующих на изменение
лучепропускания жидкости, находящейся в инспектируемой стеклянной таре (рис.
1.5.). Бутылки 4, находящиеся на столиках 10, раскручиваются до 1500 мин-1,
затем резко тормозятся. Жидкость вместе с инородными частицами (если они в ней
содержатся) продолжает по инерции вращаться. При дальнейшем вращении с
каруселью 11 (независимо от вращения вокруг своей оси) направленный через
оптическую систему 2 и 3 световой пучок из источника света 1 пересекает
вращающуюся в бутылке жидкость, а вместе с ней и поднятые со дна инородные
частицы. Последние изменяют световой поток, падающий через фильтр 5 на
фотоэлементы 6, которые обеспечивают при этом посылку импульса усилителя 7
через измеряющее (запоминающее) устройство 8 в бракующий механизм 9, выводящий
такую бутылку из общего потока.
После раскручивания и торможения воздушные
пузыри, как более легкие, собираются в центральной воронке, а инородные частицы
- ближе к внутренней поверхности бутылки.
Рисунок 1.5 - Принципиальная схема
фотоэлектронного инспекционного устройства
Известно, что электронные устройства являются
безынерционными, что имеет важное значение для машин высокой
производительности.
Однако, несмотря на объективность такого
контроля, имеются серьезные трудности для широкого внедрения такого рода машин
в производство. Это связано с разнообразным и часто сменяющемся ассортиментом
продукции на линиях упаковывания. Продукция выпускается с разными оптическими
свойствами, а это вызывает необходимость частой переналадки машины.
Гораздо целесообразнее использовать устройства
такого типа для контроля пустых бутылок, что особенно широко распространено за
рубежом. Так, например, фирма Fords (Великобритания) выпускает машину АВ-1,
предназначенную для инспекции всей поверхности пустых бутылок после их выхода
из бутылкомоечной машины. Схема машины показана на рис. 10.74., а, б. Инспекция
осуществляется с помощью световых лучей с применением фотоэлементов. Бутылка по
конвейеру входит в загрузочную звездочку, которая перемещает ее через участок
инспекции дна (рис. 1.6, а).
Рисунок 1.6 - Принципиальные схемы оптических
устройств машин для инспекции бутылок: а, б - Fords (1 - звездочка; 2, 6, 12 -
источники света; 3, 14 - экраны; 4 - оптическая система; 5 - диффузор; 7 -
карусельная головка; 8 - пластинки; 9 - линзы; 10 - фотоэлемент; 11 - прижим;
13 - камера; 15 - зеркало; 16 - столик); в - Optiscan (1 - молочное стекло; 2 -
линзы; 3 - фотоэлемент; 4 призма; 5 - турникет; 6 - спускное приспособление; 7
- вакуумный выбрасыватель бутылок; 8 - колесо-звезда; 9 - источник света)
При этом бутылка прижимается боковым зажимом к
звездочке и переносится над диффузором, не касаясь его. Луч света из диффузора
проходит через дно бутылки и попадает на фотоэлемент оптической системы,
расположенной над горлышком бутылки и перемещающейся вместе с ней. Сигнал из
фотоэлемента попадает на дискриминатор в электронном блоке, который
обнаруживает изменение яркости луча в случае загрязнения бутылки и посылает
сигнал в запоминающее устройство.
Далее бутылки (рис. 1.6, б) поступают на столики
карусели, прижимаются сверху специальным прижимом и начинают быстро вращаться,
проходя перед источником света, расположенным с наружной стороны карусели на
уровне цилиндрической части бутылок и состоящим из нескольких ламп и
рассеивающего экрана. Свет проходит через боковую поверхность вращающейся
бутылки и через имеющуюся напротив каждой бутылки вертикальную щель в стенке
барабана карусели и оптическую систему, попадает на фотоэлементы, расположенные
в центре карусели. Сила света может регулироваться при настройке машины на
определенную партию бутылок (с определенной толщиной и цветом стекла).
Вертикальная щель разделена на несколько зон пластинками, находящимися внутри
барабана. Свет каждой зоны проходит через свою оптическую систему и попадает на
определенный фотоэлемент, который, в свою очередь, состоит из нескольких
секций, расположенных одна над другой, для улучшения инспекции по вертикали.
Зоны инспекции можно регулировать по высоте с помощью пластинок.
Производительность такой машины - 24000 бут/ч.
Фирма Barry-Wehmiller (Великобритания) выпускает
машины Optiscan для инспекции дна пустых бутылок после выхода их из бутылкомоечной
машины. Бутылки с конвейера поступают в звездочку, в карманах которой
установлены клапаны с присасывающей головкой. Через дно бутылки пропускается
пучок света (рис. 10.74, в), который при изменении своей интенсивности в случае
наличия на дне посторонних предметов либо загрязнений дает сигнал на
фотоэлектронное устройство, посылающее импульс через усилитель на включение
вакуума в соответствующем клапане. Отбракованная бутылка присасывается к
вакуум-головке и отводится на отбраковочный столик.
Производительность машины - 36000 бут/ч;
эффективность обнаружения на дне бутылки посторонних предметов размером более
4,7 мм составляет 99%, менее 3,1 мм - 95%.
Описанные устройства обладают избирательностью
действия (по просматриваемой зоне).
Применение электронной техники позволяет
разрабатывать инспекционные устройства другого принципа действия, а именно
путем сравнения с эталоном. При этом должны быть проконтролированы все части
бутылки.
2. ОПИСАНИЕ ПРОЕКТИРУЕМОЙ МАШИНЫ ДЛЯ
ВИЗУАЛЬНОЙ ИНСПЕКЦИИ ЖИДКОСТЕЙ В БУТЫЛКАХ
.1 Назначение машины
Машина для инспекции пищевых жидкостей в
бутылках предназначена для визуального контроля наличия посторонних примесей в
пищевых жидкостях в закупоренных бутылках, проверки целостности бутылок и
герметичности их укупоривания.
Машина ВЗ-ВИА применяется на линиях с движением
бутылок слева направо, ВЗ-ВИБ на линиях с движением справа налево.
2.2 Техническая характеристика
Производительность, бут/ч 3200.
Вместимость бутылок, см3 0,7.
Время осмотра одной бутылки, сек 0,5.
Метод инспекции визуальный, при непрерывном
движении бутылок.
Напряжение цепи, В 220/380.
Электродвигатель:
Тип 4АА63ВЧУЗ.
Мощность, кВт 0,37.
Частота вращения, мин-1 1500.
Габаритные размеры, мм:
Длина 1600.
Ширина 935.
Масса, кг 480.
2.3 Устройство и работа машины
Машина ВЗ-ВИА (ВЗ-ВИБ) представляет собой
вертикальный конвейер, двигаясь по которому бутылки поворачиваются донышком
вверх и проходят мимо светового экрана. Контроль качества укупоривания и
наличия посторонних примесей производится визуально, отбракованную продукцию
удаляют из машины вручную.
В машине осуществляется производительный ввод
бутылок в кассету, что резко снижает бой бутылок.
Универсальная конструкция позволяет производить
переналадку на разные типы бутылок вместимостью 250-800 см3 за счет смены
пластмассовых вкладышей, надетых на щеки бутылконосителя и соответствующих
сменных деталей.
Бутылконосители сварной конструкции состоят из
двух отштампованных щек, соединенных между собой двумя перемычками. К верхней
перемычке крепится регулируемый упор - ограничитель положения бутылки, к нижней
- кронштейн (тарелка), служащий нижней опорой при перевороте бутылки горлышком
вниз. Тарелка имеет вертикальные пазы, обеспечивающие регулирование опор по
высоте бутылки. На щеки бутылконосителей надеваются пластмассовые вкладыши,
гарантирующие необходимый боковой зазор при входе бутылок в бутылконосители.
Все основные сварочные единицы машины закреплены
на станине, за исключением электрошкафа, который устанавливается отдельно.
Световой экран представляет собой конструкцию,
состоящую из легкосъемного отражателя и стандартного светильника ПВЛП-2-2*40.
При необходимости использования машины на линии
упаковывания производительностью 3200 бутылок в час меняется шкив ременной
передачи на ведущем валу редуктора.
Для повышения надежности, обеспечения ремонта,
облегчения регулирования и обслуживания в конструкцию машины внесены изменения:
увеличена жесткость бутылконосителей, разработано делительное устройство для
установки перед входной звездочкой, усилен механизм подачи бутылок, удлинен паз
для натяжения цепи, улучшены герметичность подшипников валов и смазка
редуктора.
Станина представляет собой сварную конструкцию.
В верхней части смонтирован привод, состоящий из электродвигателя 1, вариатора
2, червячного редуктора 6, на ведущем валу которого расположены
предохранительная муфта 5 и сменные шкивы 3 и 4. На ведомом валу редуктора
сидит звездочка 7, от которой посредством цепной передачи приводится во
вращение ведущий вал цепи с бутылконосителями (звездочки 10, 11).
Захватывающая звездочка 13 приводится во
вращение посредством конической (шестерни 12) и цепной (звездочки 9 и 8)
передач от вала ведущий звездочки цепи с бутылконосителями. Такая
кинематическая связь обеспечивает надежную связь (фиксацию) положения
подаваемой звездочкой бутылки относительно бутылконосителя.
3. РАСЧЕТНАЯ ЧАСТЬ
.1 Расчет производительности
Производительность инспекционных машин с
периодическим движением зависят от количества одновременно просматриваемых
бутылок в кассете и длительности кинематического цикла, по истечении которого
происходит выгрузка очередной партии бутылок.
Часовая теоретическая производительность таких
машин:
П = 3600·m/τ, бут/час
где m - количество бутылок в носителе (1 шт.);
τ - продолжительность
кинематического цикла (0,5 сек)
П = 3600: 0,5 = 7200 бут/час
Основной характеристикой инспекционных машин
является время экспозиции:
τэ = τ
- τ1,
где τ1 - время
переворачивания носителя, сек
Часовая производительность инспекционных машин с
непрерывным движением конвейерного типа:
П = 3600·υ/а,
где а - расстояние между бутылконосителями, м;
υ - скорость
перемещения цепи с бутылконосителями, м/сек
υ = π·Д·n/ (60·100),
м/сек
где Д - диаметр ведущей звездочки, мм;
Д = z·t = 16·50,8 = 812,8 мм;
- скорость вращения ведущей звездочки (300
мин-1);
υ = (3,14·300·812,8)/(60·100) = 12,76, сек-1
Общее передаточное число составит:
iоб
= nдв/n
= i1, i2…..in,
где nдв - частота вращения электродвигателя
(1500 мин-1);, i2.….in - передаточное отношение механизмов машины.
3.2 Расчет мощности машины
В общем случае необходимая мощность:
= М·n/(97400·η), кВт
где η -
КПД (коэффициент полезного действия) машины = 0,75;
М - момент, возникающий при движении кассеты,
кГм.
Расход мощности в инспекционных машинах
непрерывного действия конвейерного типа:
N = W·υ/(102·η), кВт
где W - полное сопротивление движению цепи с
бутылконосителями, кГ.
Мощность, необходимая для привода цепной
инспекционной машины:
общ =(Nтр/η1η2η3)
+ N3 зв,
кВт
где η1η2η3 -
КПД
передач с механизмами инспекционной машины;тр - мощность, необходимая для
привода конвейера с бутылконосителями
тр = (Wполн·υ)/(102η), кВт
где Wполн - полное тяговое усилие, кг·с;
υ - скорость цепи, м/с;
η - КПД промежуточных
передах от электродвигателя до ведущей звездочки транспортера с
бутылконосителями.
Определение полного тягового усилия ведется
методом расчета «по контуру»:
полн = (Sнаб - Sнам) + Wпр,
где Sнаб - наибольшее натяжение в цепи, кг·с;нам
- наименьшее натяжение в цепи, кг·с;пр - сопротивление при огибании приводной
звездочки, кг·с.
Величина Sнам - соответствует натяжению в
сберегающей ветви тягового органа и выбирается в зависимости от типа
транспортирующей установки.
Для инспекционной машины:
нам = gср + (30 - 50),
где gср - средняя нагрузка на 1 м длины конвейера;
ср = (go + gгр)/2,
где gо - сила тяжести 1 м длины ненагруженной
части конвейера, кг·с;гр - сила тяжести 1 м длины груженной части конвейера,
кг·с.
Значения go и gгр определяются:
= gц + gн/2а,
где gц - сила тяжести 1 м длины цепи, км;н -
сила тяжести носителя с бутылками, км;
а - шаг между носителями, м.
гр = go + P/2а,
где Р - сила тяжести в бутылке, кН.
Наибольшее натяжение в ветвях цепи:
= Sполн + Wи, где
полн - натяжение тягового органа на производной
звездочке;и - сопротивление движению цепи от сил инерции, кн.
- общая длина
цепи, м;
-ускорение
свободного падения.
- число зубьев звездочки;- шаг цепи, м.
Τдв - часть времени
кинематического цикла, необходимое для перемещения кассет.
Сопротивление при огибании приводной звездочки,
кг*с:
Д
- диаметр звездочки, м;- диаметр вала звездочки, м;- коэффициент, учитывающий
количество звеньев цепи, которые временно находятся на звездочке (равен 2,1 при
Z ≥7);
µ
= 0,1 - 0,25 - коэффициент трения валов;
µ1=0,2
- 0,4 - коэффициент трения в шарнирах цепи;
α
- угол
обхвата звездочки цепью.
Мощность,
необходимая для звездочки загрузки:
Мтр
- момент трения в подшипниках качения;частота вращения вала загрузки, об/мин;
η
= 0,8 - КПД
передачи.
Ртр
= Nƒ
- сила
трения в подшипниках, кг/с;в - диаметр вала, см;=
- сила давления на опоры, кг* с;
ƒ
= 0,1 - коэффициент
трения подшипников скольжения;
- сила
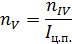
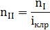
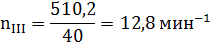
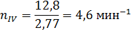
тяжести звездочки, кг*с. 3.3. Кинематический расчет машины
Исходные
данные:
Скорость
вращения электродвигателя n = 1500 мин -1
Мощность
электродвигателя N = 0,370 Вт
Диаметр
вариатора d1 = 68 мм
Диаметр
шкива Д2 = 200 мм
Производим
расчет скорости II вала по формуле:
инспекционный машина жидкость бутылка
Находим
передаточное отношение клина ременной передачи:
Находим
скорость вращения III вала по формуле:
ред=
40 - передаточное число редуктора
Скорость
вращения цепной передачи IV вала:
число
зубьев
Находим
частоту вращения V вала:
=nVI=6,1
ЗАКЛЮЧЕНИЕ
В
работе были описаны инспекционные машины ВСЭ, ОБ6-2401Б являющиеся одним из
основных элементов оборудования на этапах розлива готовой продукции в
винодельческой промышленности. Анализ позволил зафиксировать как сходства, так
и различия между указанными марками оборудования, выявить преимущества и
недостатки моделей.
Для
всех рассмотренных видов машин можно отметить общие элементы конструкции:
наличие механизма подачи и отвода бутылок, загрузочных и разгрузочных
звездочек, их распределения, наличие захватывающих устройств, различные
сканирующие устройства под действием источников света.
Процесс
инспекции бутылок так же состоит из ряда типовых операций: непрерывное
перемещение бутылок и просмотр их с использованием источника света.
В
производстве для инспектирования бутылок выделяют:
Инспекционные
устройства. К ним относят такие марки устройств как, ВСЭ, ОБ6-2401Б. Это
простейшие устройства, которые являются обычные световые экраны, в которых
бутылки просматриваются без переворачивания при прохождении мимо источника
света, укрепленного сбоку конвейера для бутылок. Недостатком таких устройств
является то, что они быстро утомляют зрение контролера из-за ламп, которые
выделяются яркими пятнами, а достоинством их малый размер, компактность.
Инспекционные
машины. Это визуальные машины линейного типа с непрерывным перемещением бутылок
и просмотром их при переворачивании. На отечественном производстве для
инспекции бутылок используются различные марки машин, такие как ВИА, ВИБ
(различающиеся направлением движения бутылок), ВУЛ/З оснащенная автоматической
отбраковкой бутылок. Для линий большой производительности разработаны ВИЕ и
РП/МА, это достигается с помощью двухпоточного исполнения, их обслуживают два
контролера.
Для
инспекции бутылок с продукцией используют машины карусельного типа MVC,
выпускаемые фирмой «Perrier». Следует отметить недостаток этой машины:
расположение механизма загрузки и выгрузки бутылок (звездочек) и участка
просмотра бутылок с противоположных сторон машины, что требует двух операторов
для ее обслуживания (просмотра бутылок и наблюдения за их загрузкой и
выгрузкой).
Инспекционные
машины объективного контроля. Действие фотоэлектрических инспекционных машин
основано на использовании фотоэлементов, реагирующих на изменение
лучепропускания жидкости, находящейся в инспектируемой стеклянной таре. Эти
машины имеют высокую производительность. Однако, не смотря на это, имеются серьезные
трудности для широкого внедрения такого рода машин в производство. Связано это
с часто сменяющимся ассортиментом продукции. Поэтому целесообразнее
использовать устройства такого типа для контроля пустых бутылок.
К
таким устройствам относятся такие марки как, машина фирмы Fords АВ-1,
предназначенная для инспекции всей поверхности пустых бутылок. И машина фирмы
Barry-WehmillerOptiscan для инспекции дна пустых бутылок. Ее достоинством
является очень высокая производительность.
Применение
электронной техники позволяет разрабатывать инспекционные устройства другого
принципа действия, а именно путем сравнения с эталоном. При этом должны быть
проконтролированы все части бутылки.
СПИСОК
ЛИТЕРАТУРЫ
1. Ц.Р.
Зайчик «Оборудование предприятий винодельческой промышленности» (1977 г.).
2. Ц.Р.
Зайчик «Технологическое оборудование винодельческих предприятий» (1988 г.).
. В.Н.
Иванов, М.Н. Иванов «Детали машин (Курсовое проектирование)»(1975 г.).
. Г.Г.
Валуйко «Виноградные вина» (1978 г.).
. Ц.Р.
Зайчик, В.А. Трунов «Упаковывание тихих напитков в бутылки». М.; деЛи, 2000г.
. Ц.Р.
Зайчик «Технологическое оборудование винодельческих предприятий». М.; ДеЛи,
2004 г.