Изучение оптических и структурных свойств пигментов печатных красок
МИНИСТЕРСТВО
ОБРАЗОВАНИЯ И НАУКИ РОССИЙСКОЙ ФЕДЕРАЦИИ
Федеральное государственное бюджетное образовательное учреждение
высшего профессионального образования
«МОСКОВСКИЙ
ГОСУДАРСТВЕННЫЙ УНИВЕРСИТЕТ ПЕЧАТИ ИМЕНИ ИВАНА ФЕДОРОВА»
Факультет: Принтмедиа технологий
Специальность: 261202 «Технология полиграфического производства»
Специализация: Технология послепечатных процессов
Кафедра:
Технология печатных и послепечатных процессов
ДИПЛОМНЫЙ ПРОЕКТ
Тема работы: Изучение оптических и
структурных свойств пигментов печатных красок
Студент:
Медведев Владимир Александрович
Руководитель:
Ерпулева В.М
Москва 2011
г.
Реферат
Ключевые слова: пигмент, цвет, химический состав, толщина слоя,
оптические свойства, дисперсность, кроющая способность красок, адсорбционные
явления, поглощающие и рассеивающие свойства, спектрофотометрия, структурные
формулы.
Объектом исследования являются оптические и структурные свойства
пигментов печатной краски.
Цель работы - определить факторы, влияющие на пропускающую способность
пигмента. Расчет оптических характеристик.
При разработке использовались современные технологии измерительного
оборудования.
Введение
Современная полиграфическая промышленность быстро развивается с широким
использованием полноцветной печати периодических изданий, увеличением выпуска и
улучшением качества продукции. Современная полиграфия должна удовлетворять все
требования покупателя. Эксклюзивность и неповторимость цвета, а также его
полное соответствие запланированным стандартам достигается использованием полиграфических
пигментов.
Отличие полиграфической продукции от других видов окрашиваемых материалов
состоит в том, что красочные плёнки на запечатываемых поверхностях имеют очень
малую толщину, что заставляет использовать для приготовления печатных красок пигменты
с определённой степенью дисперсности и высокой красящей способностью для
создания изображения высокой яркости и насыщенности. Особенно это важно для
триадных красок, когда при наложении цветов необходимо получить строгое
соответствие конечного цвета эталону.
Поэтому к пигментам для полиграфии предъявляются высокие требования,
такие как: высокая чистота тона, хорошая смачиваемость и диспергируемость в
связующем, достаточная устойчивость к свету и воздействию атмосферных явлений,
стойкость к воздействию химреагентов. Частицы пигмента должны обладать
отличными оптическими свойствами, так как они напрямую связаны с прозрачностью,
цветом, насыщенностью, глянцем, кроющей способностью и интенсивностью красок.
Именно этим свойствам и посвящен данный дипломный проект.
1. Общие сведения о химической природе пигментов и оптических свойствах
краски
.1 Цвет и кроющая способность
Цвет - это то свойство пигмента, ради которого он применяется в
полиграфии как составная часть красок; пигмент - прежде всего носитель цвета.
Цвет зависит главным образом от химической природы пигментов и в некоторой
степени от его дисперсности, определяющей условия отражения света. Основной
цветовой тон пигмента характеризуется длиной волны той части светового спектра,
которая в максимальной степени отражается частицами пигмента.[2] Однако функции
пигмента в краске не ограничиваются только областью цвета. Как в дальнейшем
будет показано, пигмент обусловливает и другие свойства красок - как
физические, так и химические.
Проблема изучения цвета очень широка и захватывает области многих наук:
физики, изучающей световые явления, то есть цвет в части, касающейся внешнего
раздражителя; физиологии, изучающей функции органов, воспринимающих световые
раздражения; психологии, изучающей психологические факторы, поскольку они
участвуют в нашей окончательной оценке видимого цвета.
На долю химии выпадают не менее сложные и ответственные задачи: химия
изучает вещества, являющиеся носителями цвета, изучает их строение и связь
строения c окраской. Всякое изменение в строение вещества сильно отражается на
оптических свойствах его, на способности поглощения видимой части спектра. K
химии красящих веществ, конечно, не относится изучение цветовых явлений,
вызванных не поглощением, a интерференцией и дифракцией света, так как эти
явления не связаны непосредственно c химическим строением вещества.
Перед химией красящих веществ стоит и еще одна важнейшая задача:
получение красящих веществ для различных практических целей. Для осуществления
этой задачи химики должны бы руководствоваться теорией, устанавливающей
закономерную связь окраски со строением.
Окраска (спектры поглощения) и другие оптические свойства вещества (как,
например, молекулярная рефракция) теснейшим образом связаны c его химическим
составом и строением. Этим в настоящее время пользуются для установления
индивидуальности химического соединения и его строения.дисперсных системах к
влиянию химической природы и строения вещества на его оптические свойства
присоединяется еще влияние степени дисперсности вещества. Так, например,
коллоидные растворы неокрашенных веществ и мутные среды вообще имеют в
отраженном свете синеватый оттенок, так как цвет коллоидных растворов
определяется не только поглощением света, но и его рассеянием (в рассеянном
свете наибольшую интенсивность имеют лучи c наименьшей длиной волны, то есть
синие и фиолетовые). B проходящем свете такие растворы окрашены в
дополнительные к рассеянному свету цвета, то есть в красноватые или оранжевые.
Коллоидный же раствор окрашенных веществ получает яркую окраску (например,
коллоидные растворы берлинской лазури).[1]
.2 Влияние дисперсности па оптические свойства пигментов
Переходя к вопросу o влиянии дисперсности на цветовые свойства у одного и
того же пигмента, мы должны прежде всего отметить, что с изменением
дисперсности изменяется оттенок цвета. Всем хорошо известно, что более крупные,
темноокрашенные криcталлы всех веществ становятся светлее при измельчении, так
как главная масса падающего на них белого света отражается от образовавшихся
многочисленных граничащих c воздухом поверхностей и поглощение лучей
определенной длины волны происходит в меньшей степени («альбедо» сильно
увеличивается).
Так, например, ализарин в крупных кристаллах красновато-оранжевого цвета,
а в виде порошка - грязно-желтого цвета. На цвет пигментов, принадлежащих к
классу окисей и гидратов окисей, большое влияние оказывает во многих случаях
степень их дисперсности: мелкоизмельченная Fe2ОЗ имеет красный цвет, а в сильно прокаленном и
кристаллическом состоянии она блестяще-серая. Обычная Сr2О3 - зеленого цвета, в кристаллах же она имеет почти черный
цвет. Так как с повышением температуры цвет окислов темнеет и может совершенно
измениться, то во многих случаях изменение оттенка цвета является сложным
явлением, обусловлены многими факторами. Так, например, ZnO при низкой
температуре-белого цвета, а в сильно нагретом состоянии-желтого; РЬ0
соответственно желтого цвета и красного; РЬ3О4 при низкой температуре
ярко-красного цвета и фиолетового, a затем черного. При охлаждении белая
окраска ZnO восстанавливается не полностью; желтый оттенок остается, так как
окись цинка в результате нагревания делается более плотной.
Цветовые свойства во многих случаях зависят как от степени дисперсности
пигмента, так и от изменений строения и формы его частиц; во многих случаях все
эти факторы действуют одновременно и, возможно, даже в разных направлениях[3].
Поскольку цветовые свойства y одного и того же пигмента помимо его
химической природы зависят от многих факторов, в том числе от условий его получения
и рН среды, для практического получения пигментов c постоянными цветовыми
свойствами необходимо строжайшим образом соблюдать технологический режим
производства.
Нередко еще для обозначения цветов принимают самые различные определения,
не имеющие никакого отношения тс природе световых лучей, без которых не
существует цвета. Различные цвета в зависимости от яркости и насыщенности их
называют теплыми и холодными, глубокими, бледными, мутными и т. п. Нередко цвет
определяется путем сравнения с окраской предметов, часто встречаемых или
обладающих особенной чистотой окраски. Таковы названия для голубого цвета
небесный, морской, васильковый; для красного-огненный, пурпурны, малиновый,
вишневый и т. д. Таковы же названия бирюзовый, изумрудный, коралловый, пепельный
и т. д. Эти обозначения обладают тем достоинством, что сразу дают представление
о цветовом тоне. Однако цвет огня, моря, плодов и т. п. чрезвычайно изменчив и
не может служить образцом для точного определения цвета, которое, например,
требуется в цветоделительном процессе. Поскольку в окончательной оценке цвета
существенную роль играют психофизиологические фактоpы, методы измерения цвета
поcтроeны на физиологических основаниях; в этом и заключается причина сложности
одних методов и недостаточной точности других.
Как показано выше, цвет веществ зависит от многих факторов; поэтому, в
зависимости от освещения и положения цветного предмета, цвет его может быть
совершенно различным; таким образом, цвет не влияет характерным свойством
вещества, во всех других отношениях вполне определенного. Действительно, ввиду
возможности физиологического обмана, определенный цветовой тон нельзя считать
точным характерным свойством вещества.
.3 Методы измерения цвета пигментов и красок
В полиграфии, как и в других областях применения красящих веществ,
объективные и точные цветовые измерении оттисков имеют не только теоретическое,
но и большое практическое значение при репродуцировании для суждения о качестве
оттиска, о стойкости цвета по отношению к разного рода воздействиям (света,
воды, реактивов и т. п.), о печатающей силе, о закреплении и пробивании краски
и т. п.
Для измерения цвета принята спектральная характеристика краски, a также
показатели цветового тона, яркости и насыщенности, и эти определения можно
произвести при помощи сложных приборов и особых приемов.
Методы измерения цвета окрашенных поверхностей можно разбить на три
группы.
Визуальный метод сравнения (без пользования специальными приборами) цвета
испытуемого образца с атласом, в котором собраны уже измеренные образцы. Тем не
менее эти относительные колориметрические методы являются простейшими и
наиболее быстрыми способами определения цвета и поэтому могут быть
рекомендованы для широкого использования в полиграфической практике.
Спектрофотометрические методы измерения основаны на измерении степени
отражения или поглощения окрашенными средами лучистой энергии определенной
длины волны. Результаты измерения выражают в форме кривых, в системе координат,
где на оси абсцисс отложены длины волн видимого света, а на оси ординат-степень
поглощения окрашенной поверхностью лучей с той или иной длиной волны
(рис.1.3.1). Определение спектров поглощения y оттисков производят в отраженном
свете.
Рис. 1.3.1 Спектрофотометрические кривые
При спектрофотометрических измерениях пигментов, как и других твердых
тел, вообще, в отличие от растворов мы имеем дело не с отдельными молекулами, а
всегда с агрегатами молекул различной структуры. Поэтому мы в пигментах
измеряем среднее поглощение, которое очень изменчиво и зависит как от состояния
частиц пигмента и от их строения, так и от окружающей среды (связующего).
Источником ошибки измерений поглощения в этом случае является трудность сделать
исследуемый слой краски на оттиске совершенно плоско-параллельным; даже очень
малые колебания толщины сильно окрашенных слоев краски вызывают заметные
изменения поглощения.
Колориметрические методы измерения цвета при помощи приборов. Методы
измерения цвета при помощи трехцветных колориметров удобны для полиграфии тем,
что они дают возможность выражать результаты измерений цифрами, показывающими,
например, содержание стандартных цветов. Кроме того, сами колориметры
достаточно просты по своему устройству, и измерения на них не длительны.
Цветовые характеристики, получаемые измерением цвета в колориметре, совпадают
при соответствующем пересчете c результатами измерений в спектрофотометре.
Кроме трех общепринятых показателей цветности (цветового тона, яркости и
насыщенности), большое, чисто практическое значение имеет интенсивность, или
красящая сила, выражаемая количеством красящего вещества, необходимого для
получения окраски определенной степени насыщенности.
Одна и та же (по цветовым свойствам) окраска может быть получена с
помощью различных красящих веществ, но при равной площади окраски может
потребоваться одного вещества (в весовых единицах) - больше, a другого -
меньше. Это означает, что первое красящее вещество интенсивнее второго.
Естественно, что сравнивать следует, по возможности, краски или пигменты
одного цветового тона, так как даже небольшие отступления в цветовом тоне
понижают точность определения.
печатный
краска диспергирование пигмент
1.4 Кроющая способность пигментов и красок
К оптическим свойствам пигментов, помимо цветовых свойств, принадлежит
еще кроющая способность, или укрывистость. Этот чисто технический термин
означает способность пигмента закрывать подложку, чтобы она имела непрозрачный
слой. B технике печатания мы сталкиваемся c необходимостью в одних случаях
совершенно закрывать подложку краской (например, при печатании на переплете), a
в других случаях, наоборот, наносить прозрачный слой краски так, чтобы подложка
или краска нижнего слоя были видны (например, в трехцветной печати при
наложении последующих красок на слой первой краски).
Кроющая способность пигментов зависит, прежде всего, от показателя
преломления пигмента. Но так как этот показатель определяется химической
природой и строением вещества, то, следовательно, и кроющая способность
пигментов определяется, прежде всего, их химической природой.
Оптический эффект, наблюдаемый как способность слоя краски закрывать
подложку и называемый кроющей способностью, зависит, прежде всего, от разности
показателей преломления пигмента и связующего: чем выше показатель преломления
пигмента, чем больше разность показателей преломления пигмента и связующего,
тем выше кроющая способность краски. Очевидно, что один и тот же пигмент в
одном связующем будет образовывать краску с кроющими свойствами, а в другом
связующем, c близким показателем преломления, прозрачную (лессирующую) краску.
Поэтому практически нам представляется правильным относить кроющую
способность как свойство к краске в целом, то есть к системе, состоящей из
пигмента и связующего. Это свойство совершенно очевидно обусловлено химической
природой и строением, как пигмента, так и связующего. Как уже указывалось выше,
при переходе лучей света из одной среды в другую происходит изменение скорости
света. Чем больше разность коэффициентов преломления пигмента и связующего, тем
более световые лучи преломляются, замедляются и отражаются от разграничивающей
поверхности пигмента и связующего. Следовательно, чем больше поверхность
раздела, то есть чем выше степень дисперсности пигмента и чем плотнее его
упаковка, тем большее количество лучей света отразится от поверхности, тем
более кроющей будет становиться краска. Если кроющая способность краски есть
функция химической природы пигмента и связующего, то кроющая способность одной
и той же краски может колебаться в зависимости от степени дисперсности
пигмента, формы, cтpyктypы его частиц и от плотности их упаковки.
Однако существует определенный предел, по достижении которого дальнейшее
увеличение степени дисперсности не только не увеличивает кроющую способность
пигмента, но и приводит, в конце концов, к обратному результату, то есть к
образованию прозрачной краски.
Давно имеется указание на зависимость между удельным весом и кроющей
способностью пигментов. Полиграфическая практика может привести много
подтверждений того положения, что преломляющая способность, а следовательно, и
кроющая способность, возрастает c удельным весом пигментов. Однако надо иметь в
виду, что кроющая способность черных пигментов обусловлена не отражением, a
наоборот, почти полным поглощением света. Кроющая способность краски c течением
времени может измениться.
Это свойство обусловлено химическим составом и строением пигмента.
Поэтому если пигмент в данном связующем образует кроющую или прозрачную краску,
то никакие факторы не в состоянии изменить это свойство на противоположное. У
одного и того же пигмента степень кроющей способности может изменяться в
зависимости от различных факторов (например, степени дисперсности частиц
пигмента). На прозрачность красочного слоя оказывает влияние также толщина
самого слоя краски.
1.5 Физические и физико-химические свойства пигментов для печатных красок
Зависимость свойств химически чистых веществ от их состава и строения
всем в настоящее время хорошо известна. Но конкретное установление такой
зависимости - чрезвычайно сложная задача.
Особые трудности возникают при установлении зависимости между химическим
строением и свойствами у пигментов, так как к твердым веществам закон
постоянства свойств не может быть строго приложим-y твердых веществ может иметь
место некоторое изменение свойств в зависимости от их происхождения и
предыдущей обработки.
Рассмотрим наиболее важные в практическом отношении физические свойства
пигментов для печатных красок. К числу их относятся удельный вес, насыпной вес,
маслоемкость.
.6 Удельный и насыпной вес пигмента
Удельный вес пигментов - свойство, в котором отмечается преобладание
принципа аддитивности. Удельный вес, наряду c температурой плавления и
температурой кипения, является константой, служащей в химической практике для
контроля чистоты вещества.
От удельного веса пигмента в большой степени зависят удельный вес
печатного краски, пригодность ее для различных способов печати и экономичность.
Предпочтение всегда отдается краске с меньшим удельным весом.
Расход печатной краски зависит от величины запечатанной поверхности и
определяется объемом. Для перевода объемных мер в весовые необходимо
определение удельного веса.
Пигмент с большим удельным весом скорее оседает. Это явление часто
наблюдается, например, у хрома желтого, который может осесть на печатную форму
и залепить ее, но никогда не наблюдается у красок из пигментов с небольшим
удельным весом.
Если пигмент с большим удельным весом оказывается еще и грубо
диспергированным, то при малой объемной маслоемкости (например, в случае
свинцовых белил) можно ожидать, что отделение пигмента от избытка связующего
произойдет уже в емкости с краской.
Ввиду этого для печатных красок обычно не применяют пигментов c высоким
удельным весом и малой объемной маслоемкостью. Так, например, свинцовые белила
для печатных красок почти не употребляются, a желтый хром разбавляется легкой и
высоко маслоемкой гидроокисью алюминия.
Определение удельного веса твердых тел значительно сложнее, чем
жидкостей.
Необходимо, чтобы твердое тело не имело внутри газообразных включений и
пустот, чтобы поверхность его хорошо смачивалась какой-либо жидкостью, и чтобы
полностью был удален адсорбированный поверхностный слой газа. Если газы не
будут полностью удалены, величина удельного веса твердого тела, полученная при
определении, будет ниже действительной.
Твердое вещество должно быть хорошо измельчено. Должна быть также выбрана
жидкость, хорошо и быстро смачивающая его поверхность. Особого внимания требует
определение удельного веса пигментов, представляющих собой очень тонкие порошки
и обладающих огромной поверхностью.
Пигмент не должен растворяться в жидкости, посредством которой
определяется его удельный вес. Вода, обладающая высоким поверхностным
натяжением, плохо смачивает многие пигменты. Наиболее подходящей жидкостью
является толуол, имеющий удельный вес D420 = 0,9656. Если применяются спирт,
смесь спирта c бензолом, масла, керосин, то следует предварительно определить
удельный вес этих жидкостей.
Для практических целей, вследствие трудности и ненадежности прямых
определений, обычно отказываются от метода прямого определения и совмещают
определение удельного веса с определением другой очень важной
константы-маслоемкости пигмента. Для этого небольшое количество пасты,
полученной при измерении маслоемкости, идет для определения удельного веса этой
краски, а по нему вычисляется удельный вес пигмента. Маслоемкость и удельный
вес понижаются c увеличением содержания влаги в пигментах.
.7 Дисперсность и кристаллическая форма пигментов
Пигменты представляют собою в физическом смысле измельченные (дисперсные)
вещества. При изучении их взаимодействия c окружающей средой (связующим)
необходимо принимать во внимание поверхностные явления, обусловленные тем, что
при диспергировании вещества увеличивается удельная поверхность, или степень
дисперсности, выражаемая обычно отношением
где
s - поверхностный слой частиц; a υ - их общий объем.увеличением степени дисперсности
вещества увеличивается число молекул, образующих пограничный поверхностный
слой, относительно общего числа молекул в сплошном куске вещества. Поэтому c
ростом дисперсности все большую роль начинают играть поверхностная энергия,
адсорбция, явления смачивания и др., то есть как раз те явления, которые лежат
в основе технических процессов производства печатных красоте и их применения в
полиграфии.
1.8 Диспергирование пигментов в масляной среде
Так как в полиграфии пигмент в виде сухого порошка не употребляется (за
исключением металлических порошков), то важнейшей стадией производства является
диспергирование пигмента в связующем. B большинстве случаев оно начинается
смешением пигмента со связующим в смесителях различной конструкции (получение
«замеса») и заканчивается растиранием пигмента со связующим на краскотерочных
машинах и мельницах. Сущностью этих процессов является смачивание частиц
пигмента связующим и их равномерное распределение в связующем, т.е. получение
однородной, близкой по свойствам к коллоидной системе, краски.
Успешность процесса растирания пигмента со связующим на краскотерочных
машинах зависит от многих причин; из них на долю пигмента приходятся: 1)
степень дисперсности пигмента, 2) влажность его и отношение к воде, 3)
твердость, 4) смачиваемость и маслоемкость пигмента. Все это свойства, которые,
в свою очередь, обусловлены химической природой пигментов. Таким образом,
успешность процесса растирания пигмента со связующим на краскотерочных машинах
зависит при прочих равных условиях от химической природы пигментов. Поэтому на
производстве для каждого вида пигментов принято определенное количество
перетирок.
При диспергировании пигмента в связующем большую роль играют такие
свойства пигмента, как поверхностное натяжение, адсорбция и явления смачивания,
т. e. явления, происходящие в поверхностном слое пигмента.
Что касается адсорбции, то и в этом явлении химическая природа адсорбента
и строение его поверхности определяют силу электрического поля и его характер.
B случае хемосорбции чисто химический характер этого явления очевиден.
Адсорбционные явления имеют значение не только в производстве пигментов и
цветных лаков в особенности, но и в производстве красок: при их растирании
явление смачивания пигмента связующим, обусловленное поверхностным натяжением и
адсорбцией, играет существенную роль. Смачивание поверхности зависит от
химического строения пигмента и связующего вещества и при тонкодисперсных
пигментах и высокой вязкости связующего требует известного периода времени.
Различные пигменты ведут себя различно.
.9 Влияние дисперсности па физико-химические свойства пигментов
Дисперсность пигмента оказывает влияние на физические и химические
свойства, как самого пигмента, так и печатной краски, приготовленной из него.
Это влияние чаще всего сказывается на количественной стороне, и притом главным
образом на физико-химимических свойствах пигмента: его цвете и интенсивности,
кроющей способности, маслоемкости. Поскольку сами свойства обусловлены
химической природой и строением пигмента, нельзя ожидать одинаковых свойств y
пигментов, имеющих различный химический состав и строение, но одинаковую степень
дисперсности. Колебания же свойств y одного и того же пигмента могут быть
следствием изменения степени дисперсности. Известно, что и в коллоидных
растворах только по степени дисперсности можно выяснить лишь такие физические
свойства этих растворов, как оптическая неоднородность, ультрафильтрация,
отношение к силе тяжести, осмотическое давление и т. д.
Размеры частиц пигмента печатных красок должны соответствовать толщине
слоя краски и способу печати.
Различные способы печати и различные сорта бумаги допускают применение
пигментов c различной степенью дисперсности.
Для высокой печати можно использовать пигменты c более низкой степенью
дисперсности для глубокой печати, наоборот, необходимы пигменты c высокой
степенно дисперсности. Для слабо впитывающей бумаги небольшой гладкости можно
допустить применение пигментов c низшей степенно дисперсности, чем для сильно
впитывающей бумаги с очень гладкой поверхностно.
Очень малые размеры частиц пигмента в печатной краске также нежелательны.
Например, частицы размером менее 0,05 мкм. способны проходить через поры
фильтровальной бумаги, в результате чего краска образует ореолы. Некоторые из
таких мелких частиц пигмента пройдут на оборотную сторону листа, что допустимо
только в отдельных случаях - при односторонней печати (афиши, этикетки и т.
п.). Понятно, что насыщенность оттиска при этом будет ослаблена.
Кроющие краски требуют наименьших размеров частиц. Интенсивность
прозрачных пигментов при измельчении повышается.
Большинство пигментов полидисперсные; кроме того, в зависимости от
условий частицы их могут образовывать вторичные агрегаты, что затемняет
действительную картину дисперсности. Однако в большинстве случаев одна из
фракций частиц определенного размера преобладает; в случае ее значительного
преобладания она и оказывает, по-видимому, наиболее заметное влияние на
свойства пигмента и печатной краски. [1]
.10 Химический состав, строение и оптические свойства пигментов
Подавляющее большинство пигментов, применяемых в настоящее время для
производства печатных красок, принадлежит по своей природе к органическим
красящим веществам. Это - органические пигменты («пигментные красители») и
«лаковые пигменты», или лаки. При более детальном рассмотрении лаки по способу
получения, можно разделить на две группы (см.рис.1.10.1). Органические пигменты
- цветные высокодисперсные соединения, не содержащие в своем составе
солеобразующих групп и нерастворимые в воде, маслах и в большинстве
органических растворителей. Лаковые пигменты, по внешнему виду ничем не
отличаются от органических пигментов; они представляют собой в большинстве
случаев соли тяжелых металлов тех или иных красителей.
Рис. 1.10.1 Схема получения двух групп лаков
Ограниченное применение неорганических пигментов можно объяснить, тем,
что они мало интенсивны по цвету, имеют больший удельный вес и менее дисперсны,
чем органические, часто включают слишком крупные и твердые частицы и т. п.
.11 Технические пигменты и их строение
Технические пигменты - это сложные неоднородные смеси красящих веществ
различного химического состава или строения, содержащие различные примеси;
которые пигменты адсорбируют из раствора при своем осаждении. Главнейшими из
этих примесей следует считать воду, растворимые соли, щелочи и кислоты, а в
органических пигментах - и некоторые полупродукты или продукты осмоления.
Количественные соотношения всех этих составных частей смеси (пигмента) иногда,
при несовершенном техническом процессе получения, колеблются в различных
партиях одного и того же пигмента в очень широких пределах.
Строение и химический состав пигмента может изменяться в зависимости от
условий его получения; следовательно, пигмент одного и того же химического
состава может представлять собою смесь изомеров или полимеров. Наконец,
различные красящие вещества, входящие в состав технического пигмента, в
зависимости от способа его получения, могут вступить друг c другом в химическое
или физико-химическое взаимодействие, образуя сложные комплексы переменного
состава.
Все это приводит к тому, что различные партии одного и того же пигмента
могут иметь неодинаковые свойства. A если принять еще во внимание
несовершенство методики определения некоторых свойств пигмента, то станет
понятным, почему количественные данные, приводимые различными авторами для
характеристики некоторых свойств у одного и того же пигмента, колеблются в
очень широких пределах.
Таким образом, технический пигмент является не индивидуальным
соединением, а более или менее сложной смесью. Поэтому и химическое изучение
пигментов встречает очень большие трудности, которые усугубляются тем, что
пигменты нерастворимы, и тем, что частицы их представляют собой не отдельные
молекулы, а агломераты их c различным коэффициентом ассоциации, зависящим у
одного и того же пигмента от внешних физических условий.
Пигменты, обладающие наилучшими для печати свойствами и поэтому наиболее
широко применяемые для производства печатных красок, относятся к разным группам
химических соединений (рис.1.11.2).
Рис.1.11.2 Классификационная схема групп полиграфических пигментов
.12 Адсорбционные явления в области полиграфических пигментов и красок
Наиболее характерными и важными свойствами коллоидной системы, как
многофазной системы, являются адсорбционные свойства. Адсорбционные явления на
поверхности раздела твердое тело-газ и твердое тело-жидкость разнообразны и
имеют большое практическое значение.
Одним из излюбленных адсорбентов, наиболее широко применяемым, является
активированный уголь, сажа.
Адсорбционные явления имеют место и при осаждении различных пигментов из
водной среды, что практически приводит к образованию сложной смеси пигментов
при получении лакового пигмента и к появлению в пигментах примесей (вода,
электролиты и т. п.).
Наиболее характерные в полиграфии пигменты обладают свойствами коллоидных
систем. Чтобы пигмент мог с успехом быть применен для печатных красок, он
должен обладать целым комплексом свойств, прежде всего - высокими цветовыми
свойствами: определенным цветовым тоном, яркостью (светлотой) и насыщенностью
(чистотой); затем он должен получаться высокодисперсным и легко диспергируемым
в связующем, мягким, обладать средней маслоемкостью и малым удельным весом,
быть неспособным к миграции и химически индифферентным к всякого рода
воздействиям и к различным веществам, с которыми он соприкасается в процессе
печатания, и т.д.
При выборе пигментов для печатных красок следует руководствоваться
принадлежностью пигмента к тем группам химических соединений, представители
которых давно зарекомендовали себя на практике.
.13 Взаимосвязь оптический и структурный свойств красочного слоя
Важнейшей оптической характеристикой красочного слоя является его
коэффициент отражения или логарифм этой величины (оптическая плотность
D).
При заданных условиях освещения коэффициент отражения красочного слоя
зависит от ряда свойств этой среды, основными из которых являются коэффициенты
поглощения и рассеяния, а также ее структурные свойства, косвенной
характеристикой которых может служить концентрация (С). Для систем, подобных
красочным, связь между оптической плотностью и основными оптическими
параметрами краски выражается известным законом Бугера-Ламберта-Бера
где
I0 - количество упавшего на слой света;- количество света, прошедшего слой
краски толщиной hk;
α - коэффициент поглощения.
Из
выражения (1.13.1) следует, что графическая зависимость
(hk Cv) должна быть линейной, что полностью
подтверждается для разбавленных растворов. При повышении концентрации
линейность нарушается и указанная зависимость приобретает характер, показанный
на (рис. 1.13.1). Подобная картина наблюдается при исследовании этой
зависимости как в проходящем, так и в отраженном свете. Обычно исследователи
объясняют нарушение линейности рассматриваемой зависимости меняющимся
характером светорассеяния, наблюдаемого при повышении концентрации вещества в
среде.
Рис.
1.13.1 Зависимость оптической плотности оттиска от концентрации краски
Основными
структурными параметрами являются размеры и форма частиц пигментов, суммарная
площадь поверхности пигментов в единице объема краски. Как было ранее
установлено, рядом исследователей [8,9,10], форма пигментных частиц красок не
превышает трех единиц, что не влияет на реологические и оптические свойства
красок. Установим взаимосвязь этих параметров.
Обозначим:
Vn - объем одной частицы пигмента (см3);
V
- суммарный объем всех частиц пигмента в 1 см3;
N - общее
количество частиц пигмента в 1 см3.
Очевидно,
что
Так
как объемная концентрация пигмента в краске равна:
где
VK - объем краски, равный 1 см3. Подставляя (1.13.3) в (1.13.2), получим
Используя
эти выражения для расчета суммарной (
) площади
пигментов различной формы в краске объемом 1 см3, получим:
для
частиц пигментов сферической формы:
где
D - диаметр частицы пигмента;
для
частиц пигментов кубической формы
где
Z - длина стороны куба;
для
частиц пигментов цилиндрической формы:
где
D - диаметр основания;- длина частицы пигмента.
Анализ
полученных зависимостей свидетельствует, что суммарная площадь поверхности
пигментов зависит от их размера. При одной и той же концентрации пигмента в
краске, но при различной степени его дисперсности
будет различной, как это показано на (рис. 1.13.2).
Таким образом, одной из причин изменения оптических свойств красок при
изменении дисперсности пигментов является различное значение суммарной площади
их поверхности, с которой взаимодействуют падающие световые потоки. Это
позволяет построить две принципиально различные модели, показанные на (рис.
1.13.3) и (рис. 2.10.4).
Рис.
1.13.2 Зависимость площади поверхности частиц пигментов (в единице объема краски)
от их размера
Рис. 1.13.3 Распределение пигментных частиц в краске с образованием по
вертикали «сквозных» коридоров
Рис. 1.13.4 Распределение пигментных частиц в краске с образованием зон
перекрытия
Расчет с помощью выражения (1.13.2) показывает, что в реальных красочных
системах количество частиц пигмента в 1 см3 в зависимости от степени
дисперсности колеблется в пределах от 1012 до 1014. Согласно второму закону
термодинамики при таком количестве частицы распределяются в системе
статистически равномерно не только по всему объему краски, но и в пределах
отдельных элементарных слоев. Для упрощения частицы пигмента в этих моделях
имеют форму куба.
Элементарные слои (рис. 1.13.3 и 1.13.4) располагаются как в
горизонтальной, так и в вертикальной плоскостях. Из (рис. 1.13.3) следует, что
каждый элементарный слой имеет толщину, равную размеру пигментов Z и расстоянию между ним r, т.е.:
Особенность
данной модели заключается в том, что в ней существуют направления, по которым
свет проходит всю систему, не встречая поглощающих частиц. Во второй модели
(рис. 1.13.4) просветы между смежными элементарными слоями отсутствуют. Эта
модель построена на основании предположения, что на любом участке красочного
слоя на пути светлого потока обязательно встретятся частицы пигмента.
Так
как в обеих моделях световой поток взаимодействует с поверхностью пигментных
частиц элементарного слоя, то поэтому определим относительную площадь этих
частиц. Учтем при этом, что Н - длина стороны элементарного слоя, а площадь
пигментной частицы равна Z2. Тогда площадь освещенной поверхности (Sn) частиц
пигментов верхнего элементарного слоя будет равна:
Но
где
Nx - количество частиц, расположенных вдоль одной
стороны элементарного слоя.
А
так как
или
, то,
следовательно,
Таким
образом, относительная площадь (So) наружной освещенной поверхности частиц
пигмента в пределах элементарного слоя полностью определяется объемной
концентрацией пигментов в краске:
Для
проведения дальнейших расчетов определим расстояние между частицами,
расположенными в элементарном слое. Так как
=H-zNx,
то
или окончательно:
Установим
теперь взаимосвязь отдельных структурных параметров красочного слоя с его
толщиной.
Для
модели (рис. 3) толщина элементарного слоя с учетом выражений (1.13.8) и
(1.13.13) равна
.
В
красочном слое толщиной hK имеется m элементарных слоев, т.е.
или
Для
модели (рис. 1.13.4) подобную связь установить сложнее. В этой модели относительная
площадь любого элементарного слоя является величиной постоянной. Однако в
каждом элементарном слое одно и то же число частиц пигмента располагается в
ином порядке, чем в остальных слоях. Вследствие этого несколько элементарных
слоев образуют особый слой, на любом участке которого световой поток встречает
частицы пигмента. Пройдя этот слой, световой поток будет иметь практически
одинаковую интенсивность на всех его участках. Такой слой мы будем называть в
дальнейшем слоем полного перекрытия. В общем случае он состоит из
p-элементарных слоев, количество которых определяется выражением:
Таким
образом, толщина слоя полного перекрытия (h') равна:
h'=Phэл..
Если
принять, что hэл.=z+r , то тогда, учитывая получим:
.
В
красочном слое толщиной hK имеется n слоев полного перекрытия, т.е.
или
Если
принять, что hэл.=z, то тогда, учитывая, получим:
Отсюда
или
Из
трех выражений только соответствует множителю правой части уравнения
Бугера-Ламберта-Бера. Но такой множитель не обеспечивает линейности
рассмотренного закона в широком диапазоне концентраций. В связи с этим
определим зависимость доли поглощенного света от структурных характеристик
красочного слоя. Для решения этой задачи выделим в красочном слое элементарный
слой толщиной dx, как это показано на (рис. 1.13.5):
Рис.
1.13.5 Распределение отражения световых потоков в красочном слое
На
красочный слой падает параллельный пучек света, характеризующийся плотностью
энергии Io. Часть этого потока отразится от поверхности связующего. Плотность
энергии этого отраженного потока обозначим через I1. Таким образом, в красочный
слой войдет поток Io-I1. До элементарного же слоя дойдет поток I. В
этом слое содержится Nyx частиц пигмента, относительная площадь освещенной
поверхности которых равна So. Обозначим коэффициент поглощения этих частиц
через d1, коэффициент рассеяния через K. Коэффициентами поглощения и рассеяния
связующего вещества из-за их малости пренебрежем.
Таким
образом, поглощенная и рассеянная элементарным слоем энергия равна:
-dI=ISoαdx,
где
α=α1+К.
Проинтегрируем
это выражение в пределах:
x=0; I - Io;
x=x; I - I2.
Здесь
х - толщина красочного слоя,- направленный к подложке поток световой энергии.
В
интегральной форме выражение имеет вид:
после
интегрирования получаем:
,
или
.
Учитывая
отражение этого потока от подложки, коэффициент отражения ρn, и вторичное прохождение через слой краски,
устанавливаем, что из красочного слоя выходит поток Ip, равный:
Кроме
этого потока, красочный слой отражает от границ раздела пигмент-связующее
вещество поток I3. Он определяется на основе решения следующего
дифференциального уравнения:
Проинтегрируем
это выражение в пределах: x=0; I - 0;
x=x; I - I3,
т.е.
;
и
получим
Суммарный
поток, отраженный красочным слоем состоит из трех потоков:от=I1+Ip+I3
или с учетом формул
Откуда:
При
х=0 правая часть этого выражения равна ρn.
При
х=∞ правая часть выражения становится равной постоянному коэффициенту
отражения с индексом бесконечности
Если
учесть, что
=ρОТ , то
выражение (1.13.19) примет вид:
.Так как
то
после подстановки и логарифмирования получаем:
Так
как х = hK, а S0=C2/3, то следовательно, полученное выражение достаточно
полно учитывает рассмотренные выше структурные характеристики красочного слоя.
Обработка
экспериментальных данных показала, что между левой частью выражения (1.13.20) и
СV2/3 для всех трех красок наблюдается линейная связь во всей области выбранных
концентраций, что подтверждается высоким значением коэффициента корреляции
(0,98). Для подтверждения сказанного на (рис.1.13.6) показана зависимость от СV
2/3 для оттисков пурпурной краски по трем избранным зонам.
Рис.
1.13.6 Линейная зависимость оптической плотности оттиска от концентрации краски
Таким
образом, на основании исследования структурных и оптических свойств красочных
систем установлено, что важнейшей структурной характеристикой краски является
относительная площадь элементарного слоя, величина которой обусловлена
концентрацией пигментов. Это дало возможность уточнить характер связи
оптической плотности оттиска с объемной концентрацией пигментов.
Работа
подтвердила справедливость закона Бугера-Ламберта-Бера для пигментных красочных
систем, при расчете которых следует учитывать их специфические структурные
свойства.
Полученное
нами выражение (1.13.20) позволяет подойти к решению задачи расчета красочных
смесей и многослойных красочных систем на оттисках высокой, офсетной и глубокой
печати. [7]
2. Теоретическая часть
.1 Структура частиц пигментов
Структура частиц пигмента оказывает несомненное влияние на его оптические
свойства, смачиваемость и реакционную способность, выражающуюся, например, в
мылообразовании. Эта способность тем выше, чем выше аморфность пигмента.
Аморфные и кристаллические фopмы пигментов отличаются внутренней связью частиц:
кристаллические состоят из одной большой молекулы, а аморфные представляют
собою скопление мельчайших молекулярных агрегатов, которые довольно легко
раздробляются, особенно в жидких дисперсионных средах (связующем), переходя
иногда в коллоидальное состояние.
Даже на поверхности кристаллов имеются аморфные участки. Они, наряду с
углами, вершинами и ребрами кристаллов, являются центрами, с которых начинаются
реакции. Это участки кристаллической поверхности, обладающие повышенным запасом
свободной энергии, участки с ослабленными химическими связями. Даже однородные
по виду кристаллы имеют мозаичную, зернистую структуру. Поэтому, прежде всего,
важно установить, аморфный или кристаллический характер имеет пигмент, а затем
определить его кристаллическую форму.
.2 Твердость пигментов
Строение решетки кристалла зависит в первую очередь от химического
состава кристаллизующегося вещества. Структурные особенности кристаллов
определяются, прежде всего, размерами атомов и ионов, от которых в сильной
степени зависит и ряд других свойств твердых тел (пигментов). Существенное
значение для типа решетки имеет температура, при которой происходит
кристаллизация. Явления полиморфизма и изоморфизма часто наблюдаются в
пигментах.
Поскольку изоморфными могут быть вещества однотипного молекулярного
строения, а полиморфизм указывает на различие в строении, можно, установив
связь между химическим составом и строением пигмента, с одной стороны, и
внешней формой кристалла, с другой стороны, заменить сложный и длительный
химический анализ более быстрым кристаллографическим.
В связи со структурными особенностями кристаллов стоит их твердость,
обусловленная сцеплением структурных элементов кристаллов. Сила сцепления, а,
следовательно, и твердость, тем больше, чем больше валентность и чем меньше
расстояние между отдельными частицами, то есть чем сильнее электростатическое
притяжение. При диспергировании твердых тел, в том числе, конечно, и пигментов,
твердость играет очень важную роль.[4]
Обычные поверхностно-активные вещества-спирты, органические кислоты,
амины, фенолы, адсорбируясь на поверхности пигмента, понижают его твердость
вместе с понижением его свободной поверхностной энергии и облегчают перевод
пигмента в измельченное состояние. Вот почему возможно применять
поверхностно-активные вещества при диспергировании пигментов в связующем для
получения печатных красок.[5]
При оценке свойств пигмента для печатных красок твepдocть или жесткость
ого имеет существенное значение. Твердость пигмента затрудняет его растирание
со связующим веществом для получения краски. Твердые частицы пигмента могут
также царапать и шлифовать печатную форму и приводить ее в негодность раньше
времени, действуя как абразивные материалы.
Чем меньше твердость вещества, тем меньше энергии и времени требуется для
его размалывания и растирания. Чем меньше сопротивление вещества на
раздавливание и на растяжение, тем выше степень измельчения, или дисперсности.
При растирании происходит не столько раздробление крупных частиц, сколько
разделение агрегатов и более равномерное распределение твердых частиц в жидкой
фазе связующего вещества.
Для печатных красок необходимо выбирать наиболее мягкие пигменты.
.3 Маслоемкость пигментов
Под маслоемкостью в обычном смысле этого слова, или маслоемкостью 1-го
рода, понимают минимальное количество масла, которое необходимо прибавить к
порошкообразному пигменту, чтобы получить из него пластичную массу (пасту) в
форме шарика, не прилипающую к гладкой поверхности, например к поверхности
фарфора. При недостаточном количестве масла образуется рассыпающаяся масса; при
избытке масла получается не пластичная масса, а полужидкий или даже текучий
продукт. Маслоемкость пигмента выражается процентным отношением веса
израсходованного масла к весу взятого пигмента.
Под маслоемкостью 2-гo рода понимают то количество масла, с которым нужно
смешать и растереть (диспергировать) пигмент, чтобы получить краску, пригодную
по структурно-механическим свойствам (упруго-вязкие и др.) к употреблению.
Следовательно, можно говорить о «минимальной» и «оптимальной» маслоемкости для
одного и того же пигмента. Несмотря на различное содержание этого понятия,
маслоемкость имеет громадное практическое значение в техническом и
экономическом отношении, так как является пока еще единственным надежным
методом установления количественного соотношения между пигментом и связующим
при изготовлении печатных красок различного назначения. Маслоемкость выражает
потребность пигмента в определенном количестве жидкой дисперсионной среды,
необходимом для образования краски с определенными пластично-вязкими
свойствами. Чаще всего в качестве дисперсионной среды при лабораторных
испытаниях служит масло, а поэтому слово «маслоемкость» прочно вошло в
практику. В понятие «жидкоемкость » можно включить и потребность пигмента в
других жидких дисперсионных средах, имея в виду, что числовые значения этой
величины для каждой дисперсионной среды будут различны.
Свойства краски определяются природой входящих в ее состав пигментов.
Изменения соотношений компонентов в краске будут вызывать колебания ее свойств,
причем для каждого пигмента характер этих колебаний будет индивидуален.
Все виды маслоемкости являются специфичными, характерными для каждого
пигмента. Следовательно, химическая природа пигмента, его строение - это
главные факторы, обусловливающие данное явление.
Маслоемкость можно рассматривать, как способность пигмента связывать
дисперсионную жидкость.
В основе явления маслоемкости, несомненно, лежат такие процессы, как
адсорбция и смачивание, связанные с поверхностным натяжением пигмента и
дисперсионной среды. Адсорбция определяется природой адсорбента и свойства,
связанные адсорбцией (маслоемкость, растир и стойкость краски), определяются
природой пигмента.[1]
.4 Химические свойства пигментов для печатных красок
Пигменты представляют собой твердые, нерастворимые соединения, и изучение
их химических превращений и свойств относится к области химии твердых тел.
В твердых телах имеют место явления диффузии. С повышением температуры
диффузия усиливается, в известном температурном интервале может начаться химическая
реакция, если имеется смесь порошкообразных веществ, способных реагировать
между собой. При этой температуре, вследствие усиленной диффузии, частицы
кристаллов подходят друг к другу на ближайшие атомные расстояния.
Особенностью химических реакций в твердом состоянии является то, что в
зависимости от температуры реакция проходит несколько последовательных стадий.
Реакционная способность твердых веществ зависит от степени их
дисперсности, от степени деформации, разрыхленности и от всяких дефектов кристаллической
решетки. Чем рыхлее структура твердого вещества, тем оно более
реакционноспособно.
Химические свойства пигментов, как твердых веществ, определяются их
химическим составом и структурой, как отдельных молекул (первичной
модификации), так и агрегатов молекул (вторичной модификации).[1]
.5 Разновидности пигментов и их структурные формулы
.5.1 Желтые пигменты Mono
azo или arylide желтые цвета
Много желтых пигментов в настоящее время используется в производстве.
Желтые пигменты правильно называют aceto-acetarylamides. Оттенки варьируются от
зеленовато-желтого до ярко-теплого оттенка.
Пигменты непрозрачны, но есть некоторые сорта, которые достаточно
прозрачны, чтобы быть подходящими для наложения, Arylide желтые цвета широко
используются для их стойкости к свету, а также устойчивости к щелочам и
мылу.желтые не так сильны, как Diarylide желтые, которые заменили их во многих
областях применения в изготовлении красок. Доминированию Diarylides способствует тот факт, что
arylalide желтые обладают худшими свойствами
при печати.
Использование. Желтые цвета Arylide используются и в пасте и в жидких
красках. Раньше они использовались при печати на литографских машинах. Они
используются при печати упаковки моющих средств и мыла.
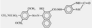
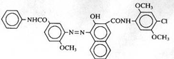
Структурные формулы
.5.2 Желтые цвета Diarylide
Diarylide желтые состоят из ряда пигментов на основе дихлорбензидина, варьируются
от лимонного до золотистого оттенка и от непрозрачного к прозрачному. Желтые
цвета Diarylide более широко используются чем
Arylide желтые. Наиболее популярные пигменты приведены в таблице 1
Таблица 2.5.1 Цветовой индекс пигментов
|
Наименование
|
Оттенок
|
Прозрачность
|
Светостойкость
|
|
Diarylide AAA
|
Светло-красный
|
Прозрачный
|
Значительная
|
|
Diarylide AAMX
|
Зеленоватый
|
Прозрачный
|
Отличная
|
|
DiaryIidc AAOT
|
Зеленоватый
|
Непрозрачный
|
Хорошая
|
|
Diarylide
AAOA
|
Желтовато-зеленый
|
Прозрачный
|
Отличная
|
|
Diarylide ADAPT
|
Средне-красный
|
Непрозрачный
|
Отличная
|
|
Diarylide AADMC
|
Красный
|
Непрозрачный
|
Прозрачный
|
Красочность этих пигментов значительно больше, чем в пигментах Arylide желтых. Диапазоны
светостойкости от значительной до сверх отличной, стойки к значительному
нагреву. Диапазон свойств Diarylide
желтых цветов достаточен, чтобы удовлетворить большинству требований к краскам
для большинства процессов печати.
Они могут использоваться в любой последовательности наложения цветов при
печати.
Таблица 2.5.2 Желтый пигмент
|
CI Пигмент
|
Вид
|
1 компонент
|
2 компонент
|
|
Желтый
|
Arylide Желтый 4R
|
О-хлоранилин
|
3-метил-1-фенил-
5-пиразолона
|
Тон - красный и наиболее светостойкий Аrylide желтый.
Таблица 2.5.3 Цветовой индекс пигментов
|
Пигмент
|
Компонент сцепления
|
Структурные варианты w x y z
|
|
AAA
|
Acetoacetanilide
|
-
|
-
|
-
|
-
|
|
AAMX
|
2.4-aceloacetoxylidide
|
CH3
|
-
|
CH3
|
-
|
|
AAOP
|
0-acto-aceto
toluidide
|
CH3
|
-
|
-
|
-
|
|
AAOA
|
o-aceloacetanisidide
|
OCH3
|
-
|
-
|
-
|
|
AAPT
|
p-acetoacet-o-toluidide
|
-
|
-
|
CH3
|
-
|
|
AADMC
|
4-chloro-2'5'dimethoxyaceloacelanilide
|
-
|
OCH3
|
-
|
OCH
|
2.5.3 Желтые пигменты
|
Название пигмента
|
Структурная формула
|
Свойства
|
Использование
|
|
Желтые цвета оксида железа
(CI Желтый пигмент)
|
|
Стойкий к химическим и
погодным воздействиям. Многие сорта очень стойки к рассеиванию. Производители
используют краски микронизированного класса. Они экономичны и непрозрачные.
|
Исключительная
термостойкость делает их пригодными для использования в печатных поверхностях
мебели и других поверхностях где требуется наименьшая токсичность.
|
|
Хромовые желтые цвета (CI
Желтый пигмент)
|
|
Свинцовые хроматы формируют
диапазон непрозрачных желтых пигментов, изменяющихся от легкого
бледно-желтого оттенка до золотого апельсинового цвета. Они имеют высокий
удельный вес.
|
Пригодными для
использования в печатных поверхностях мебели.
|
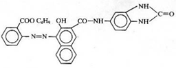
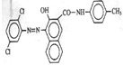
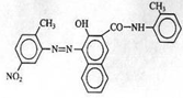
2.5.4 Красные пигменты
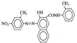
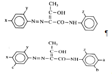
Структурная формула
|
Свойства
|
Использование
|
|
Бордовый FRR (F4R) (CI
Красный пигмент)
|
|
Синий оттенок красных
пигментов с высокой красочностью, оттенком и тоном, оттенок является немного
бледным, но чрезвычайно синим. Данный пигмент обладает хорошими свойствами
прочности, включая высокую устойчивость к мылу и моющим средствам.
|
Используется в упаковке
краски..
|
|
Красный нафтол (CI Красный
пигмент)
|
|
Средний красный оттенок,
обладающий светостойкостью и термостойкостью.
|
Используется в упаковке
краски. Стоимость и умеренная светостойкость ограничивает его использование.
|
|
Нафтол красный (светлый)
(CI Красный пигмент)
|
|
Желтый с красным оттенком,
обладающий светостойкостью и термостойкостью.
|
Используется в упаковке
краски. Стоимость и умеренная светостойкость ограничивает его использование.
|
|
Розовый PMTA, Родамин 6D
(CI Красный пигмент)
|
|
Значительный блеск розовых
пигментов образуется путем объединения основных красителей с фосфорной,
молибденовой и вольфрамовой кислот известный как тройкой солей (PMTA). Можно
сочетать по отдельности молибденовую или вольфрамовую кислоты (PTA, PMA) с
силикомарганцевой молибденовой кислотой (SM). Как правило, они известны как
двойные соли. Двойные соли обычно более сильные и более дешевые, но имеют
плохую светостойкость. Ни один не является стойким к щелочи или мылу, и все
они с легкостью растворяются в спирте.
|
Он используется в качестве
пурпурного в процессе печати с четырьмя цветами, и во всех типах красок, где
наличие блеска является важным фактором. Они хорошо печатают и противостоят
твердому парафину, но не лакированию и ламинированию. Устойчивые сорта
доступны для систем, использующих жидкие краски.
|
|
Красный нафтол FGR
(CI Красный пигмент)
|
|
Светлый, чистый, красного
цвета, с голубоватым оттенком. Он имеет высокую прочность, красочность и
высокую прозрачность. Имеет превосходную светостойкость и является стойким к
кислотам, щелочам, воде и высоким температурам, но растворим в большинстве
растворителей.
|
Используется во всех типах
краски, особенно в более дешевых пигментах, к которым не требуются свойства
сопротивления. Также используется для цвета телесного оттенка.
|
|
Квинакридон Пурпурный Y
(CI Красный пигмент)
|
|
Ярко-синий красный оттенок,
не растворяется в органических растворителях.
|
Благодаря слабой
красочности и высокой цене, использование этого пигмента ограничивается. Он
хорошо работает в большинстве систем подачи краски.
|
|
Нафтол пунцовый FBB (CI
Красный пигмент)
|
|
Многоцелевая жидкость,
паста, красного цвета с синим оттенком. У него есть превосходные свойства
прочности, кроме некоторых органических растворителей.
|
Довольно дорогие, но
используется там, где обязательны свойства прочности.
|
|
Медный Железоцианид Розовый
(CI Красный пигмент)
|
|
Цвет подобен двойным и
тройным солям (Розовый PMTA, Родамин 6D).
Сопротивление свету, теплу и растворителям. Что намного сильнее, чем соли
PMTA и имеет более высокое поглощение масла. Медный Железоцианид имеет плохое
сопротивление кислотам и щелочам. Очень яркого цвета с сильным ярким
сине-красным оттенком. Отличная светостойкость, устойчивость к мылу, воску,
жиру, кислоте и щелочи.
|
Используется в качестве
замены более дорогим солям PMTA. Как правило, она имеет яркий оттенок и
отличные рабочие свойства. Обладает хорошей текучестью, и находит применение,
там где требуются яркие оттенки.
|
|
Нафтол Красный F5RK
(CI Красный пигмент)
|
|
|
Подходит для всех типов
печатных красок практически в любой системе. Высокая стоимость ограничивает
его использование.
|
|
Бензимидазолон Пунцовый HF
3C (CI Красный пигмент)
|
|
Очень яркий и прозрачный,
сине-красного оттенка. Светостойкий, термостойкий, стойкий к кислотам,
щелочам, жирам и мылу. Он широко используется для печати упаковки и
металлических покрытих. Дорогой.
|
Краски поливинил-хлорида,
алкидная эмаль смолы, лаки, используется там, где необходима высокая
спецификация.
|
|
Нафтол Рубиновый F6B
(CI Красный пигмент)
|
|
Синевато-красный, подобен
пигменту Нафтолу пунцовому FBB, но немного более сильный и более стойкий. У
него есть хорошие свойства сопротивления к кислотам, щелочам и мылу, но
плохая светостойкость.
|
Краски для упаковочной
продукции. Он имеет хорошую термостойкость и поэтому подходит для нанесения
на металлические изделия.
|
|
Бензимидазолон Пунцовый
HF4C (CI Красный пигмент)
|
|
Пурпурного цвета пигмент,
очень стойкий, превосходного качества. Однако более дорогой.
|
Применяется там, где
необходимые строгие свойства. Стойкий к кислоте, щелочи, большинству
растворителей, пластификаторов, жира, воска и мыла. Обладает средней
светостойкостью. Широко используется в изготовлении красок для нанесения на
металлические изделия.
|
|
Рубин Красный 6B (CI
Красный пигмент)
|
|
Пигмент с синим оттенком,
имеет плохое сопротивление к кислотам, щелочам, растворителям и мылу.
|
Применяется в типографских
жидких красках и пастах.
|
|
Квинакридон Пурпурный В (CI
Красный пигмент)
|
|
Высокопроизводительный
пигмент, наиболее светостойкий. Очень близок к CI Красному
пигменту Квинакридон Пурпурный Y, но более красного оттенка и имеет отличные
свойства сопротивления. Очень дорогой.
|
Применяется в красках,
которые требуют постоянства всех цветовых свойств. Используется во всех
системах подачи краски.
|
|
Бензимидазолон Пунцовый HF2B
(CI Красный пигмент)
|
|
Очень яркого красного
оттенка, высокопрочный, с хорошей стойкостью к высоким температурам,
кислотам, щелочам, жирам и мылу, относительно устойчивый к большинству
растворителей.
|
|
|
Нафтол Красный F6RK (CI
Красный пигмент)
|
|
Аналог CI
Красного пигмента Нафтола Красного F5RK, с более
синим оттенком. Устойчив к кислотам, щелочам, мылу и воску. Хорошее
сопротивление высоким температурам, но слабой светостойкостью.
|
Краски для упаковочной
продукции. Применяются для изготовления светостойких красок.
|
|
Квинакридон Фиолетовый (CI
Фиолетовый пигмент)
|
|
Различные оттенки, от
желто-красного до ярко фиолетового. Высокая производительность пигмента.
Стойкий к высоким температурам. Более желтые непрозрачные оттенки. Самый
светостойкий органический сине-красный оттенок.
|
Любая система подачи
краски. Используется везде, где требуются высокие свойства краски.
|
|
Бензимидазолон Бордовый HF
3R (CI Фиолетовый пигмент)
|
|
Очень яркий фиолетовый
пигмент. Прозрачный, химически стойкий ко всему кроме некоторых органических
растворителей. Стойкий к высоким температурам, но с низкой светостойкостью.
|
В лаках для фольги, где не
требуются светостойкие краски.
|
.5.5 Зеленые пигменты
|
Название пигмента
|
Структурная формула
|
Свойства
|
Использование
|
|
PMTA Темно-зеленый (CI
Зеленый пигмент 1)
|
|
Яркий голубовато-зеленый с
высокой прочностью и чистым оттенком. Обладает светостойкостью, но темнеет
при воздействии солнечных лучей, плохо устойчив к щелочам, мылу и сильным
растворителям, кроме твердого парафина
|
Является подходящим для
всех типов типографских красок, особенно на водной основе. Везде, где
требуется яркий интенсивный оттенок.
|
|
PMTA Светло-зеленый (CI
Зеленый пигмент 2)
|
|
Смесь двух цветов PMTA.
Очень яркий изумрудно-зеленый блестящий оттенок; очень сильный цвет. Он имеет
плохую устойчивость к свету, теплу и щелочи.
|
Во многих типографских
красках для придания им определенного оттенка.
|
|
Зеленый Фталоцианин (CI
Зеленый пигмент 3)
|
Хлорированная с 16 атомами хлора. CI Зеленый
пигмент 3
|
Яркий зеленый стойкий
пигмент, не склонный к кристаллизации или образованию комочков. Многоцелевой
зеленый цвет, с синим оттенком. Обладает превосходными свойствами. Очень
светостойкий и стойкий к высоким температурам. Прозрачный.
|
Главный зеленый стандарт
используется во всех типах типографских красок.
|
.5.6 Синие пигменты
|
Название пигмента
|
Структурная формула
|
Свойства
|
Использование
|
|
PMTA Виктория Синий, PMTA
Синий Бриллиант (CI Синий пигмент 1)
|
|
Яркий красновато-синий
цвет, с высокой красочностью и чистым оттенком. С хорошей светостойкостью.
Чувствителен к полярным растворителям.
|
Используется в большинстве
типов красок в том числе на водной основе. Высокая стоимость и плохое
сопротивление не сокращают его использования, поскольку такой оттенок не
может быть получен, комбинируя другие пигменты.
|
|
Синий Фталоцианин
альфа-формы (CI Синий пигмент)
|
|
Очень стойкие свойства.
Светостойкий, устойчивый к нагреваниям, стойкий к воздействию кислот,
щелочей, растворителей, пластификаторов, воска, жиров, и мыла. CI Синие
пигменты альфа формы - самые красные и самые сильные из подобных типов.
|
Наименее используемая форма
CI Синих пигментов альфа формы в красках.
|
|
Синий Фталоцианин (медный)
(CI Синий пигмент 6)
|
|
Яркий зеленовато-синий
цвет. Имеет превосходные стойкие свойства, но с меньшей устойчивостью к
высокой температуре, чем Синие 1, 2, 3 и 4.
|
Может использоваться в
большинстве целей, но это значительно дороже, чем синий пигмент 3 или 4.
|
|
Синяя Щелочь G,
Отраженный Синий 2G (CI Синий пигмент 1: CI Синий
пигмент 2; CI Синий пигмент 3)
|
|
Cамые сильные синие пигменты в производстве.
Красно-зеленый оттенок синего пигмента с ярким красно-синим блеском, плохой
светостойкостью, устойчив к жирам и кислотам. Эти пигменты замедляют
окисление сушки в масляных системах.
|
Является очень рентабельным
для флексографских красок на водной основе, дает превосходную прочность для
этого типа цвета. Используется в больших количествах для изготовления краски
глубокой печати.
|
2.5.7 Фиолетовые пигменты
|
Название пигмента
|
Структурная формула
|
Свойства
|
Использование
|
|
Родамин PTA (CI Фиолетовый
пигмент)
|
|
Яркий пурпурный оттенок
пигмента, который часто используется в красках для придания сине-красного
оттенка. Красочный. Затемняется под воздействием света и растворяется в воде,
растворителях, маслах и мыле.
|
Является подходящим для
жидких красок, включая на водной основе, но неудовлетворительным для
литографии или паровой обработки высокой температуры. Примечание: краситель
образован двойными солями, фосфорно-молибдата и силикомарганца молибдата
комплексов.
|
|
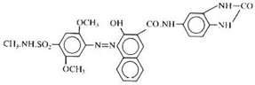
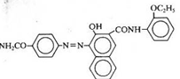
Фиолетовый Диоксазин (RL)
Фиолетовый Карбазол (CI Фиолетовый пигмент)
|
|
Высококрасочный пигмент,с
красным оттенком и высокой прозрачностью. Повышенная устойчивость к теплу,
свету, паровой стерилизации, кислотам, щелочам, растворителям, жирам и мылу.
|
Не смотря на дороговизну
пигмента, он выделяется особыми преимуществами. Используется во всех
процессах печати, требующих стабильный фиолетовый тон и отличные свойства
стойкости.
|
|
Кристаллический фиолетовый
(CFA)(CI Фиолетовый пигмент)
|
NN-диметиланилин окисленной меди с хлоридом
преобразуется в медь ферроцианидный комплекс.
|
Очень сильный и яркий цвет
- более экономичный, чем вешеуказанные пигменты. Отличается меньшим
сопротивлением к воздействию щелочи и мыла.
|
Главным образом использован
в красках на водной основе для флексографской печати. Иногда используется в
красках для глубокой печати, где не требуются высокие свойства краски.
|
|
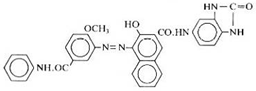
Фиолетовый Диоксазин В (CI
Фиолетовый пигмент)
|
|
Высококачественный цвет,
стойкий ко всему. Светостойкий и стойкий к высокой температуре.
Исключительная цветная интенсивность, более красного оттенка чем Фиолетовый
пигмент Диоксазин (RL).
|
Используется в широком
диапазоне красок, где требуются его исключительно хорошие свойства прочности
и светостойкости.
|
.5.8 Коричневые пигменты
|
Название пигмента
|
Структурная формула
|
Свойства
|
Использование
|
|
Коричневая окись железа (CI
Коричневый пигмент) Синтетический коричневый оксида железа, натуральный
коричневый оксид железа. (CI Красный пигмент) Синтетический красный оксида
железа, натуральный красный оксид железа.
|
Эмпирическая формула Во
всех случаях Fe2O3 (свыше 97%).
|
Стойкий ко всему.
Исключительная светостойкость и стабильность. Сильный УФ поглотитель. Водонепроницаемый.
|
Естественные окиси
затруднительны в помоле, и их использование ограничено там, где требуются
хорошие свойства прочности. Синтетические материалы имеют намного более
широкое использование. Используется в красках для искусственной имитации дерева
в ламинате.
|
|
Диазотипный коричневый (CI
Коричневый пигмент)
|
y и z, не идентифицированы
|
Пигмент высокой
эффективности. Хорошее сопротивление кислотам и щелочам. Некоторые
растворяются в мыле и органических растворителях. Превосходное сопротивление
жирам, смазочным средствам и твердому парафину. Очень хорошая светостойкость
и сопротивление высокой температуре.
|
В бронзовой типографской
краске, в настенных покрытиях, лаках, то есть там где необходима
светостойкость.
|
.6 Поглощение и рассеяние теплового излучения
Процесс переноса энергии теплового излучения сопровождается поглощением и
рассеянием излучения.
При изучении процесса переноса энергии теплового излучения в пигментных
красках можно рассматривать как поглощающие и рассеивающие излучение
полидисперсные среды с сильно вытянутой вперед индикатрисой рассеяния с
параметром дифракции в пределах 0,1
1000.
При взаимодействии электромагнитного излучения с веществом изменяются
температура, влагосодержание, структура и другие свойства облучаемого
материала. Одновременно изменяются и основные характеристики излучения -
объемная, угловая и поверхностная плотность энергии излучения, а также его
поляризационные характеристики.
Под энергией теплового излучения (лучистой энергией) понимают энергию,
переносимую электромагнитным излучением, которое испускается всеми телами,
имеющими температуру выше абсолютного нуля. Такое излучение называют тепловым
или температурным излучением.
Энергией интегрального излучения W(Дж) называют количество энергии,
излучаемой (или переносимой) средой и приходящейся на конечный спектральный
интервал
. Полной энергией интегрального
излучения называют всю излучаемую (или переносимую) средой энергию в диапазоне
длин волн от 0 до
Поток излучения (полная мощность излучения) F(Вт) равен
где Fλ - спектральный (монохроматический) поток излучения,
Вт/мкм.
Сила излучения I(Вт/ср),
вводимая для характеристики угловой плотности энергии,
Здесь величина Iλ - спектральная плотность силы
излучения, Вт/(ср•мкм)
Величина элементарного телесного угла в полярной системе отсчета
(рис. 2.6.1.) силы излучения определится с помощью элементарных
азимутального dφ (0 ≤ φ
≤
2π) и полярного dӨ
(0 ≤ Ө ≤ π/2) углов:
Рис. 2.6.1 Схема определения энергетической и светотехнической величины
силы излучения.
Излучательность (энергетическая светимость) (Вт/м2), численно равная
величине потока излучения, испускаемого единицей поверхности тела по всем
направлениям,
где Rλ - спектральная плотность потока излучения [Вт/(м2•мкм)],
определяемая в случае абсолютно черного тела по формуле Планка:
Интенсивность излучения - лучистость (энергетическая яркость)
В [Вт/(м2. ср)], которая определяет удельную плотность потока теплового
излучения в телесном угле dω в заданном направлении, задаваемом
углом Ө к нормали
поверхности (рис. 2.6.2, а) в окрестности рассматриваемой
точки,
Здесь величина Вλ - спектральная интенсивность излучения, Вт/(м2• ср •
мкм). Величина спектральной удельной плотности потока излучения - интенсивности
Вλ
испускаемого
поверхностью, определяется для абсолютно черного тела с помощью функции Планка,
при этом она связана с объемной плотностью энергии излучения Uλ
и Rλ:
Плотность потока энергии, переносимой в единицу времени через единицу
поверхности в окрестности рассматриваемой точки внутри слоя среды или падающей
на единицу поверхности слоя (рис. 2.6.2, б), называется облученностью
(энергетической освещенностью) Е(Вт/ м2)
где Еλ - спектральная облученность, Вт/(м2• мкм).


а б в
Рис 2.6.2 Схемы определения энергетических и светотехнических величин: а
- лучистости - энергетической яркости; б - облученности; в - индактрисы
рассеяния
Поглощение и рассеяние теплового излучения определяются рассеянием
излучения на взвешенных частицах пигмента.
Рассеяние излучения на частицах включает в себя также комбинацию эффектов
отражения, преломления и вторичного излучения частицей.
Пространственное распределение рассеянного излучения в общем случае
сложным образом зависит от размеров, показателей преломления nλ,, и поглощения хλ частиц вещества и среды и
определяется индикатрисой рассеяния.
При взаимодействии излучения с крупными частицами, соизмеримыми с λ
(длиной волны), в них
возбуждаются сложные колебания, так как поле электромагнитной волны остаётся
непостоянным в пределах одной частицы.
Параметр дифракции ρ, характеризующий их относительные размеры, изменяется в
инфракрасной области спектра в пределах 0,1 ≤ ρ
≤ 1000. Поэтому
форма индикатрисы рассеяния изменяется с длиной волны λ. По мере увеличения размеров частицы
(ρ
> 1) индикатриса
рассеяния света вытягивается в направлении падающей световой волны.
Отношение доли потока излучения, рассеянной вперед, к доле потока,
рассеянной назад, будет по порядку превышать 102-103, т. е. индикатриса
рассеяния сильно вытянута вперед.
Функция рассеяния К(ρ) сложным образом зависит от
параметра дифракции ρ, комплексного показателя преломления частиц тλ = nλ- ixλ и от длины волны.увеличением
показателя поглощения xλ функция К(ρ) приближается к плавной кривой и ее
осцилляции становятся незаметными.
Зависимость К(ρ) для неоднородных частиц и двухслойных частиц
рассчитана теоретически для простейшей модели сферической частицы с показателем
преломления, изменяющимся от центра к периферий но определённому закону от 1,33
до 1,5. Установлено, что функция К(ρ) для неоднородных частиц заметно
отличается от функций К(ρ) для частиц воды и однородных частиц (n = 1,5).
Так как произвольный слой содержит множество частиц, то каждая частица
будет освещаться не только первоначальным потоком, но и рассеянным от другой
частицы излучением, т. е. в исследуемых материалах происходит вторичное и
многократное рассеяние (см.рис.2.6.3). Рассеянное излучение во всех
направлениях, кроме направления распространения падающего излучения, всегда
частично поляризовано.
Рис.2.6.3 Отражение света от частиц
Рассеяние на оптических неоднородностях среды представляет собой более
сложное явление, чем обычное рассеяние излучения на частицах. Это рассеяние
обусловлено комплексным развитием эффектов рассеяния, отражения, преломления и
вторичного излучения как на границах раздела двух сред, так и на частицах
(рис.2.6.4).
Рис.2.6.4 Рассеяние света на оптических неоднородностях среды
Рассеивающими центрами (оптическими неоднородностями) оказываются
коллоидные частицы и флуктуации плотности, которые хаотически расположены и
вызывают не только рассеяние, но и изменение направления излучения на границе
раздела двух сред - паровоздушной среды.
Коллоидные частицы, размеры которых сравнимы с длиной волны излучения
видимой и ближней ИК - областях спектра. Вместе с тем благодаря тому, что все
составные части имеют мало отличающиеся показатели преломления, в материалах
рассеяние излучения происходит в основном на границах раздела частица -
связующая среда. При толщине образца, большей 0,1 мм, в слое будет иметь место
многократное рассеяние с кратностью свыше двух.
Наличие большого числа факторов, о6условливающих поглощение и рассеяние
излучения, и их взаимное влияние друг на друга значительно затрудняют
теоретический анализ, в связи с, чем в настоящее время более целесообразным
является экспериментальное исследование процесса ослабления излучения в слое
краски или пигмента.
.7 Поляризация рассеянного излучения
При исследовании процесса распространения электромагнитного излучения в
светорассеивающих материалах большой интерес представляет знание
закономерностей влияния параметров рассеивающих частиц на их светорассеивающие
и поляризационные свойства. При отражении естественного света от
светорассеивающих материалов наиболее поляризованным оказывается излучение тех
участков спектра, для которых наблюдается наибольшее поглощение, т. е.
обнаружена селективная поляризация света.
Рассеянное излучение всегда частично поляризовано. Индикатриса рассеяния χ(γ)
и угловая зависимость
степени поляризации Р(γ) рассеянного излучения характеризуют свойства частицы и
зависят от параметра дифракции ρ, а также от показателей преломления
nλ и поглощения хλ. Под степенью поляризации Р(γ)
понимается отношение
разности к сумме экстремальных значений квадрата амплитуды напряженности
светового вектора |
|2 в плоскости, перпендикулярной направлению луча.
Измеряя интенсивность Bλ рассеянного излучения, численно
равную величине |
|2, можно рассчитать Рλ(γ)
из выражения:
Для большинства материалов, представляющих собой полидисперсные системы
0,1 ≤ ρ ≤ 1000, имеют место случаи рассеяния и на мелких, и на
крупных поглощающих частицах.
Индикатриса рассеяния элементарного объема для рассматриваемых
поглощающих материалов c крупными частицами сильно вытянута «вперед», т. е. в
направлении распространения падающего излучения.
В случае анизотропных частиц и молекул, поляризуемость которых
неодинакова по всем направлениям, полной поляризации при наблюдении под любым
углом α не обнаружено. Флуктуации
анизотропных молекул вызывают деполяризацию рассеянного излучения.
Наиболее простой способ учета энергетических и поляризационных
характеристик рассеянного излучения с помощью специальных четырех параметров,
предложенный Стоксом, широко используется в настоящее время.
Поляризационные характеристики излучения обычно не принимаются во
внимание, при этом поглощение и рассеяние излучения учитывается c помощью
определяемых из опыта оптических характеристик.
.8 Характеристики поглощающих и рассеивающих свойств
Чтобы понять и описать аналитически элементарные акты поглощения и
рассеяния излучения достаточно иметь сведения o некоторых определяемых из опыта
оптических характеристиках материала, которые в зависимости от вида
поставленной задачи исследования переноса энергии излучения могут быть отнесены
условно к элементарному объему dV или к слою толщиной dx. Такие оптические характеристики будут отражать суммарное
действие всех указанных выше факторов, обусловливающих поглощение и рассеяние
излучения, a также будут учитывать их взаимное влияние друг на друга.
Полученные для конкретного материала, они позволяют сформулировать и
решить численно задачу о распространении излучения и об ослаблении (поглощении
и рассеянии) его энергии в этом материале.
Условность линейных размеров элементарного объема или слоя вытекает из
того, что их размеры могут оказаться меньшими размеров оптических
неоднородностей в материале оптические характеристики и полученные
закономерности осла6лёния излучения в материалах теряют смысл, если толщина
слоя меньше размеров отдельных оптических неоднородностей (поры, частицы
пигмента и др.).
Пусть элементарный объем dV или слой толщиной dx, Выделенный внутри поглощающего и рассеивающего материала,
облучается потоком излучения со спектральной интенсивностью Вλ в телесном угле dω' в направлении Ө' (рис.2.6.2,
в). Падающий поток излучения Fп,
будет частично ослабляться в результате поглощения внутри элементарных объема
или слоя и рассеяния объемом или слоем по всем направлениям.
Наличие многократного рассеяния излучения в рассматриваемых материалах
приводит к тому, что элементарный объем или cлой выделенный внутри, будет освещаться также со всех сторон
рассеянным потоком излучения, даже если первоначальный падающий поток был
направленным.
В этом случае условия облучения элементарного объема и слоя из
полупространства - π/2 < Ө' < π/2
и полупространства π/2
< Ө' < - π/2
будут различными, так
как различно пространственное распределение энергии излучения.
Для случаев, в которых можно пренебречь поляризационными эффектами,
достаточно иметь сведения o величинах коэффициентов поглощения k λ и рассеяния σλ,, а также об индикатрисе рассеяния χ λ
(γ), чтобы описать
процесс распространения и ослабления излучения в мутных средах для большинства
рассматриваемых материалов невозможно определить эти характеристики. Тогда
вводятся вспомогательные осредненные характеристики, определяемые
экспериментально и несущие в себе суммарную информацию o пространственном
распределении излучения внутри объема или слоя и o свойствах вещества.
При облучении диффузным потоком коэффициент рассеяния σλ условно может быть представлен в
виде суммы двух осредненных по углу полусферических коэффициентов - рассеяния
«назад» s'λ и рассеяния «вперед» f ' λ:
;
Величины коэффициентов s'λ и f ' λ зависят не только от свойств
вещества, но и от формы индикатрисы рассеяния определим рассеянную и
поглощенную доли потока излучения, падающего на элементарный объем или слой из
полупространства:
Коэффициент пропорциональности, называемый коэффициентом
пространственного распределения падающего потока излучения и равный обратной
величине среднего косинуса (
) угла наклона лучей (mλ = µ -1). Все лучи слоя падают по
нормали к площадке элементарного слоя mλ = 1.
Рассеянная по всем направлениям доля потока, падающего в телесном угле ш
< 2л, c учетом (2.8.3) и (2.8.4) будет равна:
При решении задачи переноса энергии излучения удобно представить величину
dFλσ, в виде суммы двух слагаемых:
рассеянного «назад» излучения dFλσ и dFλf рассеянного «вперед» излучения:
Выражения (2.8.8) и (2.8.9) с Учетом (2.8.4) преобразуются:
δs и δf - коэффициенты, численно равные долям
от всего рассеянного излучения: соответственно рассеянного «назад» и
рассеянного «вперед». δs и δf определяются из выражений:
При сферической, рэлеевской или другой симметричной форме индикатрисы
рассеяния очевидно, что δs = δf = 0,5.
;
(2.8.17)
Для описания процессов распространения и ослабления излучения материалах
достаточно иметь данные по экспериментально определяемым осредненным
коэффициентам - коэффициентам поглощения kλ
Сведения o третьей характеристике облучения учитываются в указанных двух
c помощью коэффициентов δs и mλ.
.9 Определения терморадиационных характеристик
Свойства данного материала в целом частично или полностью поглощать,
отражать и пропускать падающее извне излучение и излучать энергию излучения.
Первые три характеристики зависят как от спектрального состава, степени
поляризации и пространственных характеристик падающего излучения (т. e. от
условий облучения), так и от состояния и свойств облучаемого материала.
Последняя же характеристика определяется только состоянием и свойствами
материала.
Различают три основных вида падающего спектрального Fλ п или интегрального Fп потоков излучения: направленный
поток излучения интенсивностью Bλ Ө или В(Ө).
Диффузный (несовершенно диффузный) - поток излучения c произвольным
угловым распределением интенсивности; полусферический (совершенно диффузный) -
поток излучения c угловым распределением интенсивности Bλ(2π)
или Bλ(2π)
по закону Ламберта в
телесном угле ω = 2π.
При произвольных условиях облучения поверхности тела S потоком излучения Fп сумма величин поглощенной FА, отраженной FR и пропущенной FT
телом энергии в единицу времени согласно закону сохранения энергии должна быть
равна величине падающего потока FА +
FR + FT = Fп или
+ R + T = 1
где A = FА / Fп - поглощательная способность (коэффициент поглощения тела);
R = FR
/ Fп - отражательная способность
(коэффициент отражения);
T = FT / Fп - пропускательная способность (коэффициент пропускания).
Величины R, Т и A зависят от состояния поляризации падающего потока
излучения.
Так как большинство капиллярнопористых коллоидных тел, порошков,
коллоидов и различных мyтных сред отражают и поглощают излучение всем слоем, а
не только поверхностью, то применительно к таким материалами средам необходимо
уточнить понятия зеркального и диффузного отражения.точки зрения волновой
оптики под отражением электромагнитных волн от полидисперсной среды следует
понимать всю сумму волн, претерпевших дифракцию на отдельных неоднородностях и
уходящих от границы раздела двух сред в полупространство первой среды.
Поверхность считается оптически шероховатой при ∆r>λ,
и в этом случае
наблюдается диффузное отражение. Частицы вещества совершают под действием
падающей электромагнитной волны вынужденные колебания и вследствие этого испускают
вторичные волны когерентные c падающей волной. Фактически имеет место
когерентное рэлеевскoе рассеяние на атомно-молекулярных системах. Сложение
падающей волны с вторичными создает отраженные и преломленные волны.
Зеркально отражающим (пропускающим без рассеяния) излучение слоем
материала будем считать такой слои который oтpaжает (пропускает) излучение,
падающее в направлении Ө, φ в пределах телесного угла dω в направлении Ө r,
φr (Ө r, φT), определяемом законами отражения и
преломления геометрической оптики, в телесный угол тех же размеров dωr =dωT= dω.Совершенно диффузно отражающим (или
пропускающим) излучение слоем будем называть такой слой, который отражает
(пропускает) падающее излучение по всем направлениям в полупространство, причем
энергия в нем распределяется по всем направлениям согласно закону Ламберта.
В общем случае диффузного облучения (dω<ω<2π) величины потоков, выраженные через
функции интенсивности излучения определятся из выражений:
Падающий на поверхность S поток из телесного угла ω:
отраженный слоем в телесный угол ωr поток:
прошедший сквозь слой поток в телесный угол ωT
Подставляя значения потоков Fп, FR, FT , найденные по формулам (2.9.2)-(2.9.4), в соотношение
(2.9.1), получим общие выражения для величин отражательной и пропускательной
способностей слоя вида
Для упрощения выражения (2.9.5) падающий поток Fп обычно выражают через
изотропный поток с постоянным значением Вω,= const, не зависящим от направления (Ө,
φ) внутри любого
телесного угла ω' в пределах полусферы (ω' ≤
2π),
Падающий поток для различных условий облучения c учетом (2.9.5) - (2.9.6)
согласно (2.9.2) при вычислении интеграла от косинуса в пределах ω
= 2π будет равен
Абсолютных методов измерения R и Т светорассеивающих материалов
осуществлено очень мало. Поэтому остановимся на теоретическом рассмотрении
относительных методов измерений.
B
случае относительных измерений определяется относительная интенсивность
отраженных образцом и эталоном потоков излучения в заданном направлении - (Өr, φr) или (Өt, φT). Для
отраженного эталоном излучения может быть введена эквивалентная интенсивность
отражения эталона
, аналогично интенсивности источника
(2.9.6), в общем случае произвольного облучения
следующей усредненной функцией:
Если
эталон обладает отражательной способностью равной единице (Rэ=1),
то отраженный от него поток F'R (ω, ωR) будет
численно равен падающему потоку Fп (ω) и можно записать
Сравнивая (2.9.7) и (2.9.10), приходим к важному выводу, на котором
основаны все методы относительных измерений отражательной (пропускательной)
способности светорассеивающих материалов
т. e. эквивалентные интенсивности идеального эталона, полностью
отражающего падающее излучение (Rэ=1),
и. источника, облyчaющего этот этaлoн, равны.
Получим теперь новое выражение для отражательной способности исследуемого
образца при относительных измерениях в общем случае произвольного облучения,
подставляя значения Fп и FR из (2.9.3) и (2.9.9):
Введем усредненную по углу эквивалентную интенсивность
отраженного эталоном потока излучения
в числитель под знак интеграла. Тогда вместо (2.9.11) будем иметь для общего
случая облучения произвольным потоком
где
- коэффициент яркости образца в случае облучения его
произвольным потоком излечения.
Как видим, величина ρω (Ө, φ; Өr, φr), зависит от условий облучения. Для
данного направления (Өr, φr ) при определенных условиях. Облучения величина коэффициента
яркости определяется отношением интенсивности излучения, отраженного образцом,
к интенсивности излучения отраженного эталоном, одинаково c ним освещенными
имеющим отражательную способность, равную единице.
Коэффициент лучистости (яркости) для отражения ρω
(Өr,
φr) и tω (ӨT, φT) для пропускания является
характеристикой пространственной формы индикатрисы отражения или пропускания.
Отношение величины R(ω, ӨR, φR) к полной отражательной способности
R(ω, ω R) для данного образца является также выражением индикатрисы
отражения r(ω; Өr, φr) при тех же условиях облучения:
Большинство рассеивающих излучение материалов обладают смешанным
характером отражения и пропускания.
Из изложенного ясно, что величины Rλ и Тλ зависят не только от свойств
материала, но также и от условий облучения. Поэтому для R и Т водят двойную
терминологию, характеризующую условия облучения и свойства образца, за висящие
от условий измерения. Первая часть термина характеризует условия облучения,
вторая - условия измерения.
Аналитическая связь между отражательными способностями слоя материала при
различных условиях облучения может быть установлена из (2.9.5.) путем замены
интенсивности отраженного потока Вω, (Ө,
φ, Өr,
φr) произведением интенсивности
падающего потопа Вω (Ө,
φ) на отражательную
способность R(Ө, φ; ωR) при условии облучения в
направлении углов Ө и φ:
Величина R (2π; Өr, φr) фактически представляет собой коэффициент отражения
образца, определяющий долю отраженного в направлении Өr, φr в телесный угол dωr потока излучения, при совершенно
диффузном облучении. Аналогичные рассуждения можно привести в отношении величин
R (ω,Өr, φr) и R (Ө,
φ; ωR), a также для соответствующих
пропускательных способностей.
Величина поглощательной способности А(ω) плоского слоя при определенных
условиях облучения dω
< ω < 2π может
быть найдена с помощью выражения (2.9.1), где под величинами R(ω)
и Т(ω)
всегда понимаются полусферические
(ωT
= ω R ≡ 2π) отражательная и пропускательная способности при любых условиях облучения.
Под поглощательной способностью понимают отношение всей поглощенной слоем
части потока излучёния к падающему потоку.
Для определения величины интегральной относительной излучательной
способности - степени черноты ε(Ти) слоя при данной температуре Ти -
можно также воспользоваться данными по спектральной поглощательной способности
Aλ:
где под величиной Aλ (Ти) понимается двуполусферическая поглощательная
способность слоя Aλ
(2π; 2π) при
данной температуре Ти.
Для нахождения относительной излучательной способности слоя ε(Ти, Ө,
φ) в определенном
направлении, задаваемом углами Ө и φ, необходимо в (2.9.15) подставить
величину Aλ
(Ө,
φ; 2π). Отношение
величины ε (Ти, Ө и φ ) к величие полной степени черноты ε(Ти) для данного образца будет
представлять собой выражение коэффициента излучения для направления Ө и φ. [6]
3. Экспериментальная часть
3.1 Описание используемого измерительного оборудования
В ходе практической работы, для фотографирования частиц пигментов, был
использован микроскоп «Полам Р-312».
В зависимости от объекта исследования использовались методики изучения
изображений, полученных в проходящем и отраженном свете.
Поляризационный микроскоп ПОЛАМ Р-312 предназначен для исследований
непрозрачных объектов в отраженном свете, обыкновенном и поляризованном, а
также прозрачных объектов в проходящем свете при малых увеличениях. Методы
исследований:
· светлое поле при нормально-падающем и косом освещении,
· проходящий свет,
· поляризованный свет,
· кличественная оценка вращательных свойств минералов,
· микрофотографирование.
Достоинства лабораторных микроскопов ПОЛАМ:
· высокое качество исследования объектов в поляризационном свете за счет
использования оптики без "натяжений";
· эргономичная конструкция микроскопа с встроенной в основание
осветительной системой, обеспечивающей принцип освещения по Келлеру;
· источник света - галогенная лампа.
Таблица 3.1.2 Технические характеристики микроскопа ПОЛАМ Р-312
|
Увеличение
|
65 х 1140
|
|
Объективы-ахроматы
поляризационные
|
4.7x0.11 9x0.20 21х0.40;
40х0.65 95х1.25МИ
|
|
Окуляры с перекрестием
|
6.3х/20 10х/15
|
|
Окуляр со сменными шкалой и
сеткой
|
6.3х/20
|
|
Апертура конденсора
проходящего света
|
А=0.3
|
|
Галогенная лампа
|
9В, 20 Вт
|
|
Габариты, мм
|
360х550х180
|
|
Масса, кг
|
8
|
Кроме того, микроскоп оснащен цифровой фотокамерой «Nikon» с матрицей
разрешением 4 млн. пикселей, что позволяло осуществлять обработку изображения в
различных программах. В зависимости от вида исследуемых структур использовали
увеличения от 40х до 300х. Для определения масштаба снятых на микрофотографиях
объектов проведено микрофотографирование объект-микрометра при соответствующих
увеличениях (рис. 3.2.1).
Рисунок 3.1.2 Микрофотография объект-микрометра, цена 1 дел. - 5 мкм.
Замер частиц
Получив фотографии частиц пигмента, с помощью микроскопа и цифровой
фотокамеры, произвели замеры по шкале объекта-микрометра и получили следующие
результаты:
· частица пурпурного пигмента, марки Irgalite Rubine L4BH равна 1,7 мкм
(рис.3.1.3)
· частица голубого пигмента, марки Irgalite Blue LGK равна 2,0 мкм (рис.3.2.4)
· частица желтого пигмента, марки Irgalite Yellow LBIU равна 1,8 мкм (рис.3.3.5)
Рис. 3.1.3 Частицы пурпурного пигмента
Рис. 3.1.4 Частицы голубого пигмента
Рис. 3.1.5 Частицы желтого пигмента
Так как измерить пропускание пигментов проблематично, то можно измерить
отражение, для чего были изготовлены модельные краски (10 г пигмента и 100 г
технологического лака - связующего). По полученным результатам построили график
(рис. 3.1.7).
Рис. 3.1.6 График оптических плотностей
Рис. 3.1.7 График отражений пигментов
4. Расчетная часть
Особенностью современных печатных красок является их полидисперсность.
Под дисперсностью обычно понимают степень раздробленности вещества. О
дисперсности пигментов следует судить на основании изучения кривых
распределения частиц по размерам. Эти кривые дают возможность определить
наивероятнейшие значения радиуса частиц.
В зависимости от степени его агрегации, при замешивании со связующим
дисперсия пигмента в краске может быть различной. Установлено, что первичные
частицы размером около 0,01 - 1,0 алгоритмируются в краске до размеров 0,2 -
1,0 и более микрон. Благодаря малым размерам пигментов и их агломератов краска
при весовой концентрации 20 - 25% содержаний таких частиц в огромном количестве
(1010 - 1012) частиц в см3. Каждая из таких частиц обладает способностью
частично отражать, поглощать и пропускать падающий на нее световой поток.
Именно эта способность и характеризует оптические свойства любого вещества в том
числе и пигментных частиц. В полиграфической литературе эти свойства обычно
связывают с прозрачностью, кроющей способностью красок, их интенсивностью,
цветом, насыщенностью, глянцем. Так как эти показатели зависят от оптических
свойств красок, то поэтому рассмотрим эти свойства подробно. Главнейшим из этих
свойств является отражающая способность вещества. Как известно, она в первую
очередь зависит от показателя преломления веществ. Френель установил, что при
нормально падающем световом потоке коэффициент отражения (ρ)
поверхности (см. рис.
3.1) вещества равняется:
где
n1 - показатель преломления среды,- показатель
преломления вещества.
Рис.
4.1 Коэффициент поверхности вещества
где
I1 - количество отраженного света;- количество упавшего света.
Обычно
с воздухом контактирует связующее. Как правило, nсв = n2 = 1.5; у воздуха n1 = nв =
1. Следовательно от поверхности связующего отражается свет в количестве:
В
1852 году Бер применил закон Бугера-Ламберта с целью учета влияния концентрации
вещества на результирующий световой поток, прошедший сквозь красочных слой. В
результате закон Бугера-Ламберта-Бера приобрел новый вид.
где
α
- коэффициент поглощения вещества;
h - толщина
вещества.
Закон
Бугера-Ламберта-Бера, описанный уравнением (4.3) применим только для случая
прохождения света через вещество (см. рис. 4.2)
Рис.
4.2 Прохождение света через вещество
Для
отраженного потока после прохождения красочного слоя и отражения от подложки
(при ρподл=1):
Рис.4.3
Отражение потока от подложки
Однако,
в дальнейшем было установлено, что этот закон применим лишь для весьма
разбавленных растворов. При больших концентрациях начинает сказываться взаимное
облучение молекул рассеянным светом, в следствие чего указанная закономерность
нарушается. Рассеянный свет возникает в случае нарушения оптической
однородности среды. Величина рассеяния зависит от отношения размеров
рассеивающих частиц и длины волны света (λ). Поэтому рассматривается три вида рассеяния:
а)
тиндалевское (характерно) для мутных сред типа суспензии с частицами, размер
которых превышает длину световых волн (т.е. r » λ).
б)дифракционное
- для сред с частицами, соизмеримыми с длиной волны r=λ
в)
релеевское или молекулярное рассеивание света для сред, частицы которых
значительно меньше длины световых волн, т.е. r «λ.
На
нижеследующем (рис. 4.4) показаны значения удельных коэффициентов
светорассеяния для всех трех случаев.
Рис.
4.4 Значения удельных коэффициентов светорассеяния
Так
как в красках размеры частиц пигментов и их агломератов имеют различные
значения от 0,2 и более микрон, то в таких системах могут наблюдаться все виды
рассеяния.
Рассмотренные
нами оптические свойства веществ, в том числе и таких, как краска, позволяют
сделать вывод, что главнейшим из них являются поглощающая и светорассеивающая
способности. Причем последняя непосредственно связана с отражающей способностью
составных компонентов краски. Для определения коэффициентов поглощения и
светорассеивания казалось бы можно было воспользоваться рекомендацией отдельных
исследователей, которые отмечают, что поглощение света рассеивающей средой
можно разбить на «истинное», характеризующееся коэффициентами поглощения (α), и характеризующимся коэффициентом рассеивания (S).
Если
учесть оба вида поглощения, то закон Бугера-Ламберта -Бера можно записать для
отраженного потока в следующем виде:
В
работе исследовались теоретические положения, развиваемые доцентов И.В.
Ромейковым применительно к пигментным красочным системам. Сущность в следующем.
Световой
поток падающий на растровую систему оттиска взаимодействует с красочным слоем и
подложкой, так как показано на (рис. 4.5)
Рис.
4.5 Световой поток падающий на растровую систему
Рассмотрим
взаимодействие падающего светового потока с красочным слоем, относительная
площадь которого равна S0. Выделим этот элемент и покажем его отдельно на (рис.
4.6)
Рис.
4.6 Взаимодействие падающего светового потока с красочным слоем
Если
слой краски расположен на высокоотражающей подложке (типа мелованной бумаге),
то в этом случае световой поток I0 пройдет сквозь красочный слой, отразится от
бумаги и вновь пройдя красочный слой выйдет наружу (Iотр) .
К
этому потоку присоединится второй световой поток I1, отразившийся от границы
раздела воздух-связующее вещество (I1) и связующее вещество-пигмент
(I2 и I3). При тонком слое Iотр = I1+I2+ I3 +I4 .
При бесконечно толстом слое краски (когда световой поток не доходит до
подложки.) Iотр = I1+I2+ I3Фактически красочный слой должен быть представлен в
виде следующей схемы (см. рис. 4.7)
Рис.
4.7 Отражение светового потока от частиц пигмента
Из
этой схемы следует, что суммарный отраженный поток (Iотр) равен:
Iотр = I1+I2+ Iгр +In
Поток
(I1) можно рассчитать по уравнению (4.1). Френеля,
следовательно необходимо определить Iгр +In .
Для
решения этой задачи выделим в толще красочного слоя (см.рис.4.7). бесконечно
тонкий слой dx и рассмотрим, как падающий поток (I). Для этого
составим новый (рис. 4.8).
Поток
I падает на поверхность пигментов относительная площадь которых равна F0 и на
связующее относительная площадь которого равна 1-F0
Рис.
4.8 Бесконечно тонкий слой в толще красочного слоя
От
связующего рассеивается поток:
i1=I(1-F0)Scdx.
От
пигментов рассеивается поток:
i2=IF0Sndx.
В
связующем поглощается:
i2=I(1-F0)αcdx.
В
пигментах поглощается:
I4=IF0αndx,
где
Sc и Sn - коэффициенты рассеивания связующего и пигмента,
αc и αn - коэффициенты поглощения связующего и пигмента.
Для
потока Iпр прошедшего через связующее и пигмент, отраженные (i1 и
i2) и поглощенные (i3 и i4) потоки являются потерянными. Сложим эти потоки
и поставим знак (-):
dI= i1 +i2 +i3 +i4;
-dI=I[(1-F0)Sc+F0Sn+(1-F0)αc+F0αn]dx;
-dI=I[F0(αn+
Sn - Sc- αc)+ Sc+ αc]dx;
обозначим:
αn+ Sn=a;
αc +Sc=b;·b=с.
Подставив,
получим выражение:
dI=I[F0(a·b)+b]dx=I[F0·c+b]dx.
Проинтегрируем
это уравнение, для этого выберем пределы:
x=0÷n;
I=I0÷ Iпр.
Считаем,
что при x=0 на поверхности бумаги остается тонкая прослойка связующего n→0:
После
потенциирования получаем
Этот
поток Iпр доходит до подложки, затем отражается от нее в количестве:
А
после этого вновь проходит красочный слой и выходит наружу. В результате полный
отраженный поток от подложки будет равен:
Определяем
теперь величину Iгр согласно (рис.3.8):
dIx=i1+i2=Iпр[(1-F0)ρc+Foρn]dx;= Iпр[(ρn-ρc)
F0+ ρc] dx.
Обозначим
ρn-ρc =ρ:
= Iпр(ρFo+ ρc) dx;
dIx=I0·e-2(Foc+b)x·(ρF0-ρc)dx;
Проинтегрируем
это выражение пределах:
x=0÷h,
Iх=0÷Iгр,
Таким
образом, общий отраженный поток Iотр согласно уравнению (4.6) равен:
Установим
значение ρотр при двух значениях h:
1 h=0 ρотр = ρδ ,
h→∞
Полученная
величина уже не зависит от h и носит название ρ∞=const.
Подставим
(4.10) в (4.9), тогда получим:
по
cF0+b=(αn+Sn-Sc-αc)F0+Sc+ αc .
Примем,
что в тонком слое связующее практически пропускает весь поток света поэтому αc=0.
Примем
так же, что внутри объема связующее практически не отражает рассеянные световые
потоки, поэтому примем, что Sc=0. Таким образом сумма членов СF0+b равна:
отсюда
выражение (4.11) примет вид:
Введем
некоторые упрощения. Примем, что:
Отметим,
что при h=0, ρотр будет равен:
т.е.
при h=0, ρ∞=0.
Учтем,
что при малых толщинах красочного слоя (около 1мкм) ρ0 практически так же равно нулю. Поэтому окончательно
выражение (4.12) будет иметь вид:
Выражение
(4.13.) можно представить в следующем виде:
Учтем,
согласно выражению (4.9):
Прологарифмируем
это выражение:
Графически
уравнение (4.15) представляет собой линейную (в отрезках) зависимость с угловым
коэффициентом k=tg2α.
Характер этой зависимости показан на
(рис. 4.9) этой зависимости подчиняются все красочные растровые системы.
Рис.
4.9 Зависимость с угловым коэффициентом
Рис.
4.10 Спектрофотометрическая кривая отражения оттиска
При
этом следует подчеркнуть, что спектрофотометрическая кривая отражения оттиска,
отпечатанного, например двумя красками, в первую очередь определяется их
поглощающей способностью.
Наглядное
представление об этом дает (рис. 4.10), на котором показаны
спектрофотометрические кривые голубой и желтой красок образуется смесь, имеющая
зеленый цвет, благодаря тому, что желтая краска сильно поглощает в синей, а
голубая в красной зонах.
Поглощающую
способность красок не обязательно характеризовать по всей зоне
(красной-зеленой-синей). Учитывая, что коэффициент поглощения по каждой зоне
практически мало меняется, можно вместо зоны оперировать одной из длин волн,
выбранной в пределах этой зоны. В практике цветовых расчетов так обычно и
поступают и убирают следующие значения длин волн в зонах поглощения для синей
зоны λ1=440-460
нм для зеленой λ2=520-540 нм, для красной λ3=620-640 нм. При проведении экспериментальной части были
использованы именно эти значения длин волн. На основании анализа (рис. 4.10)
можно сделать вывод, что для каждой избранной длины волны количество света,
поглощенного зеленым образцом равно сумме световых потоков, поглощенных каждой
из составляющих красок, а так как поглощение определяется в общем случае
оптической плотностью, то можно отметить, что для каждой избранной длины волны
оптическая плотность зеленого образца (см. рис. 4.10) будет равна:
Если
бы происходило наложение, трех красок то соответственно по каждой длине волны
было бы:
Отметим,
что образец должен иметь плотности по избранным длинам волн такие же как и
оригинал, следовательно в выражениях (4.16) и (4.17):
А
это значит, что в выражениях (4.16) и (4.17) левые части известны (так как они
могут быть измерены на оригинале). Остается установить что известно и что не
известно в правых частях этих выражений.
Полученная
нами линейная зависимость вида (4.15) позволяет ответить на этот вопрос.
Каждая
отдельная плотность триадных красок по избранным длинам волн равняется согласно
выражения (4.15):
При
наложении толщина слоя каждой краски принимается постоянной и одинаковой для
всех красок h = const.
Учитывая
это перепишим выражение (4.17) с учетом (4.18), кроме того обозначим 2α=α:
Обозначим
А=hαж;
B=hαг;
C=hαп,
и
Dобр-Dδ=f(ρ);ор-Dδ=f(ρ).
Тогда
уравнение (4.19) примет вид:
В
уравнении (4.20) неизвестными являются значения F0ж; F0г; F0п, а постоянные
величины A1;A2;A2;B1;B2;B3;C1;C2;C3 определяются методом наименьших квадратов (значения
их даны в экспериментальной части работы).
После
определения постоянных величин можно рассчитать неизвестные значения F0,
для облегчения этой задачи используя выражения (4.20) предварительно находят
вспомогательные величины (например методом Лапласа). Значения этих
вспомогательных величин следующие:
Искомые
значения F0, будут после соответствующих преобразований равны
.1
Уравнение Нюрберга-Нейгебауэра
Для
расчета цвета растровых систем используется уравнение Нюрберга-Нейгебауэра. Оно
дает аналитические соотношения, связывающие количества красок и образуемый ими
цвет на оттиске для растровой печати.
Рассмотрим
некоторый участок 3х красочной цветной репродукции, полученной способом
офсетной печати. Этот участок прощадью S будет состоять из отдельных точек,
запечатанных голубой, пурпурной и желтыми красками. На нем так же будут участки
совмещенных желтой и голубой, голубой и пурпурной, желтой и пурпурной точек,
наконец, на нем будут участки, где все три краски наложены одна на другую,
образуя тройную смесь. Некоторая часть участка (S) останется
вообще не запечатанной. При достаточной линиатурые растра глаз не будет
замечать дискретного характера строения оригинала и цвет участка (S)
репродукции будет восприниматься им как аддитивная смесь всех цветов.
Обозначим
цвет, образуемый точками, запечатанными голубой краской, через Аг. Цвет
образуемый точками, запечатанными пурпурной и желтой красками и их попарными
наложениями, соответственно: Ап; Аж; Агж; Апж; Агп; Агпж. Цвет незапечатанной
бумаги Аб. Тогда суммарный цвет:
А2
=агАг +ап Ап +аж Аж +агп Агп +агж Агж +апж Апж +агпж Агпж +аб Аб
где
аг; ап; аж; агп; аб и др. - коэффициенты, характеризующие относительные
величины площадей, запечатанным тем или иным из основных цветов.
Так
как на элементе площадью (S) содержится большое количество растровых точек,
запечатанных различными красками, то можно предположить, что вопрос образования
элемента цвета (S), а следовательно и распределения площадей по каждой
краске, подчиняются вероятным соотношениям.
Пусть
- вероятность того, что часть площади запечатана
голубой краской, а δп; δж -
вероятность того, что часть площади запечатана соответственно для пурпурной и
желтой красок. Тогда вероятность того, что на элементе (S)
имеются места, не запечатанные голубой, пурпурной и желтой красками можно
выразить через величины:
(1 - δг); (1 - δп); (1 - δж).
После
печатания всех трех красок часть точек, запечатанная голубой краской будет
перекрыта точками пурпурной и желтой красками, и вероятность того, что часть
площади элемента (S), запечатанная только одной голубой краской, станет
меньше.
Известно,
что вероятность сложного явления равна произведению вероятностей и поэтому:
аг
= δг (1 - δп) (1 - δж).
Повторяя
рассуждения для всех элементарных цветов, образуемых различными комбинациями
голубой, пурпурной, желтой красок, а также бумагой, можно получить следующие
выражения. При составлении этих выражений примем, что, например, вероятность
в нашем случае соответствует значению относительной
площади Sог; т.е.:
При
замене δ
на Sо коэффициенты уравнения (4.1.1)
примут следующие значения:
Таким
образом уравнение примет вид:
А2
= АгSог (1 - Sоп) (1 - Sож) + АпSоп (1 - Sог) (1 - Sож) +
+АжSож
(1 - Sог) (1 - Sоп)+ АгпSогSоп
(1 - Sож) +
+АгжSогSож
(1 - Sоп) + АпжSопSож (1 - Sог)
+ АгпжSогSопSож +
+Аб
(1 - Sог) (1 - Sоп) (1 - Sож)
. (4.1.2)
В
колориметрической системе x,y,z координаты аддитивной смеси, образующей цвет
Аs, будут соответственно Xs, Ys, Zs, а для всех остальных восьми основных цветов,
участвовавших в образовании этого цвета x,y,z с соответствующими индексами,
тогда уравнение (4.1.2) можно переписать в следующем виде:
Xs = XгSог
(1 - Sоп) (1 - Sож) + XпSоп (1 - Sог) (1 - Sож) +
+XжSож
(1 - Sог) (1 - Sоп)+ ХгпSогSоп
(1 - Sож) +
+ХгжSогSож
(1 - Sоп) + Хпж (Sог Sож (1 - Sог))
+ ХгпжSогSопSож +
+Хб
(1 - Sог) (1 - Sоп) (1 - Sож);
Ys = YгSог
(1 - Sоп) (1 - Sож) + YпSоп (1 - Sог) (1 - Sож) +
+YжSож
(1 - Sог) (1 - Sоп) + YгпSогSоп
(1 - Sож) +
+YгжSогSож
(1 - Sоп) + Yпж (Sог Sож (1 - Sог)) + YгпжSогSопSож +
+Yб (1
- Sог) (1 - Sоп) (1 - Sож);
(4.1.3)
Zs = ZгSог
(1 - Sоп) (1 - Sож) + ZпSоп
(1 - Sог) (1 - Sож) +
+ZжSож
(1 - Sог) (1 - Sоп)+ ZгпSогSоп
(1 - Sож) +
+ZгжSогSож
(1 - Sоп) + Zпж (Sог Sож (1 - Sог)) + ZгпжSогSопSож +
+Zб (1
- Sог) (1 - Sоп) (1 - Sож).
Расчитанные
нами на основании спектральных кривых, координаты цвета для одинарных и
бинарных растровых систем (с поворотом и без поворота растра) составлялись с
расчетными значениями таких же координат, полученных с помощью уравнения
Нюрберга-Нейгебауэра. В это уравнение подставлялись известные значения
относительных площадей печатающих элементов и координаты цвета рассчитанные для
сплошных красочных слоев (плашек). При расчете координат цвета однокрасочной
растровой системы, отпечатанной желтой краской использовались уравнения (4.1.3)
в следующем виде:
ж
= Xж Sож +Xδ (1 - Sож);
YSж = Yж
Sож +Yδ (1 - Sож);
ZSж = Zж
Sож +Zδ (1 - Sож).
Такие
же уравнения были получены для пурпурной и голубой красок:
п
= XпSоп +Xδ (1 - Sоп);
YSп = YпSоп
+Yδ (1 - Sоп);
ZSп = ZпSоп
+Zδ (1 - Sоп);
XSг = XгSог +Xδ (1 - Sог);
YSг = YгSог +Yδ (1 - Sог);
ZSг = ZгSог +Zδ (1 - Sог).
Выразив
из этих формул S0, получим расчетные формулы для определения относителых площадей
одинарных растровых систем:
Для
бинарных растровых систем общая схема уравнений Нюрберга-Нейгебауэра, например
для бинара голубой + желтый, имеет следующий вид:
гжR
= Xгж Sож Sог +Xж Sож (1 - Sог) + Xг Sог(1 - Sож) + Xб (1 - Sож)
(1 - Sог);
YгжR = Yгж Sож Sог +Yж Sож
(1 - Sог) + Yг Sог(1 - Sож) + Yб (1 - Sож) (1 - Sог);
ZгжR = Zгж Sож Sог +Zж Sож
(1 - Sог) + Zг Sог(1 - Sож) + Zб (1 - Sож) (1 - Sог).
Для определения величин Sог и Sож выберем одну пару уравнений и решим эту систему уравнений относительно Sож и Sог :
гжR = Xгж Sож Sог +Xж Sож - Xж Sож Sог + Xг Sог + Xг Sог Sож + Хб - Хб
Sог - Хб Sож + Хб Sож Sог,
илигжR = Хб (1 - Sож) (1 - Sог) = Хб [1 - Sог - Sож - Sож Sор]гжR = Хб -
Sог (Хж Sож - Хгж Sож - Хг + Хг Sож + Хб - Хб Sож ) -
Sож (Хб - Хж). (4.1.10)
Из уравнения (4.1.10) следует:
По аналогии Sог для координат цвета будет равна:
Так как левые части уравнений (4.1.11) и (4.1.12) равны, то равны их
правые части
Обозначим
Хб - Хг = Е; Yб - Yг = K;
Хб - Хгжд = C; Yб - Yгжд = Z;
Хб - Хж = D; Yб - Yж = M;
Хж - Хгж = B; Yж - Yгж = N;
Тогда уравнение (4.1.13) примет следующий вид:
;
. (4.1.14)
Обозначим:
D(K - N) - M (E - B) = m;
C(K - N) + KD - EM - α (E - B) = n;- EZ = a;ож2m - Sож n + a = 0;
Рис. 4.1.1 Зависимость оптической плотности оттиска от концентрации
краски
Рис. 4.1.2 Зависимость площади поверхности частиц пигментов (в единице
объема краски) от их размера
Рис.4.1.3 Линейная зависимость оптической плотности оттиска от
концентрации краски
В результате построения таких графиков было установлено, что
экспериментальные точки на нем располагаются фактически вдоль наклонной прямой.
Чтобы определить истинное положение этой прямой относительно этих
экспериментальных точек мы воспользовались методом наименьших квадратов,
позволяющим рассчитать угловой коэффициент и отрезок, отсекаемый этой прямой на
оси ординат.
Кроме того нами была поставлена задача установить значения ошибки в
определении угловых коэффициентов и отрезка, а так же значение квадратичной
ошибки отдельного измерения , коэффициент корреляции и величин ошибок в
определении Sотн (δх) и ln I0λ/Iотр λ (δy). Все величины рассчитываются по следующим
формулам:
угловой коэффициент:
,
где n - количество полей цветоделенного оттиска
Отрезок отсекаемый на оси ординат:
.
Квадратичная ошибка отдельного измерения:
.
Ошибка в определении углового коэффициента К:
.
Ошибка в определении отрезка в:
.
Коэффициент корреляции:
Полученные расчетные данные позволяют установить характер уравнения
регрессии имеющее следующий вид:
,
Где
.
Сравнивая уравнение регрессии с теоретическим выражением 4.14 мы должны
будем установить их соответствие.
Вначале мы проведем несколько расчетов с использованием калькулятора.
Примеры таких расчетов приведены ниже:
Таблица 4.1.1 Пурпурная 54л/см с поворотом λ=460
|
n
|
xi
|
yi
|
xi yi
|
xi2
|
yi2
|
|
( )2
|
|
1 2 3 4 5 6 7 8
|
1,00 0,87 0,82 0,67 0,51 0,35 0,23 0,14
|
1,74 1,51 1,43 1,20 1,01
0,69 0,45 0,32
|
1,74 1,3659 1,1726 0,804
0,5353 0,2415 0,1035 0,0448
|
1,000 0,7569 0,6724 0,4488
0,2809 0,1225 0,0529 0,0196
|
3,0276 2,4649 2,0449 1,4400
1,0201 0,4761 0,2025 0,1024
|
0,43 0,30 0,25 0,10 -0,08
-0,18 -0,34 -0,43
|
0,1849 0,09 0,0625 0,0100
0,0016 0,0324 0,1156 0,1849
|
|
n=8
|
    -0,06819
|
|
|
|
|
|
|
;
(
)2 = 0.3249;
(
)2 = 21.25;
= 1.05 (
)2 = 1.1025,
; α = 57,20;
;
;
;
;
;
;
.
Уравнение
регрессии
;
.
Таблица
4.1.2 Пурпурная 54л/см с поворотом λ=520
|
n
|
xi
|
yi
|
xi yi
|
xi2
|
yi2
|
|
( )2
|
|
1 2 3 4 5 6 7 8
|
1,00 0,87 0,82 0,67 0,51 0,35 0,23 0,14
|
2,59 2,30 2,16 1,74 1,45 0,93 0,58 0,41
|
2,59 2,001 1,7712 1,1658
0,7685 0,3255 0,1334 0,0574
|
1 0,7569 0,6724 0,4488
0,2809 0,1225 0,0529 0,0199
|
6,7081 5,29 4,6656 3,0276
2,1025 0,8649 0,3364 0,1681
|
0,43 0,30 0,25 0,10 -0,08
-0,18 -0,34 -0,43
|
0,1849 0,09 0,0625 0,0100
0,0016 0,0324 0,1156 0,1849
|
|
n=8
|
    -0,06819
|
|
|
|
|
|
|
;
(
)2 = 0.3249;
(
)2 = 21.25;
= 1,52 (
)2 = 2,3104;
; α = 67,50;
;
;
;
;
;
;
.
Уравнение
регрессии
;
.
Таблица
4.1.3 Пурпурная 54л/см с поворотом λ=620
|
n
|
xi
|
yi
|
xi yi
|
xi2
|
yi2
|
|
( )2
|
|
1 2 3 4 5 6 7 8
|
1,00 0,87 0,82 0,67 0,51 0,35 0,23 0,14
|
0,33 0,31 0,29 0,28 0,27
0,23 0,19 0,17
|
0,33 0,2697 0,2378 0,1876
0,1431 0,0805 0,0437 0,0238
|
1 0,7569 0,6724 0,4488
0,2809 0,1225 0,0529 0,0196
|
0,1089 0,0961 0,0841 0,0784
0,0729 0,0529 0,0361 0,0289
|
0,43 0,30 0,25 0,10 -0,08
-0,18 -0,34 -0,43
|
0,1849 0,09 0,0625 0,0100
0,0016 0,0324 0,1156 0,1849
|
|
n=8
|
    -0,06819
|
|
|
|
|
|
|
;
(
)2 = 0.3249;
(
)2 = 21.25;
= 0,26 (
)2 = 0,0676;
; α = 9,30;
;
;
;
;
;
;
.
Уравнение
регрессии:
;
.
Таблица
4.1.4 Голубая 48 л/см с поворотом λ=460 нм
xi
|
yi
|
xi yi
|
xi2
|
yi2
|
|
( )2
|
|
1 2 3 4 5 6 7 8
|
1,00 0,87 0,82 0,67 0,51 0,35 0,23 0,14
|
0,29 0,27 0,26 0,25 0,23
0,22 0,18 0,16
|
0,29 0,2592 0,2054 0,1725
0,1288 0,099 0,0342 0,0208
|
1 0,9216 0,6241 0,4761
0,3136 0,2025 0,0361 0,0169
|
0,0841 0,0729 0,0676 0,0625
0,0529 0,0484 0,0724 0,0256
|
0,4 0,36 0,19 0,09 -0,04
-0,15 -0,41 -0,48
|
0,16 0,1296 0,0361 0,0081
0,0016 0,0225 0,1681 0,2304
|
|
n=8
|
    -0,06819
|
|
|
|
|
|
|
;
(
)2 = 0.3555;
(
)2 = 22,7529;
= 0,2325
(
)2 = 0,0541;
; α = 7,70;
;
;
;
;
.
Уравнение
регрессии:
;
.
Таблица
4.1.5 Голубая 48 л/см с поворотом λ=520 нм
|
n
|
xi
|
yi
|
xi yi
|
xi2
|
yi2
|
|
( )2
|
|
1 2 3 4 5 6 7 8
|
1,00 0,96 0,79 0,69 0,56 0,45 0,19 0,13
|
0,6 0,55 0,51 0,47 0,39
0,36 0,24 0,2
|
0,6 0,48 0,4029 0,3243
0,2184 0,162 0,0456 0,026
|
1 0,9216 0,6241 0,4761
0,3136 0,2025 0,0361 0,0169
|
0,36 0,3025 0,2604 0,2209
0,1521 0,1296 0,0576 0,04
|
0,4 0,36 0,19 0,09 -0,04 -0,15
-0,41 -0,48
|
0,16 0,1296 0,0361 0,0081
0,0016 0,0225 0,1681 0,2304
|
|
n=8
|
    -0,06819
|
|
|
|
|
|
|
;
(
)2 = 0.3555;
(
)2 = 22,7529;
= 0,415
(
)2 = 0,1722;
; α = 20,50;
;
;
;
;
;
;
.
Уравнение
регрессии:
;
.
Таблица
4.1.6 Голубая 48 л/см с поворотом λ=620 нм
|
n
|
xi
|
yi
|
xi yi
|
xi2
|
yi2
|
|
( )2
|
|
1 2 3 4 5 6 7 8
|
1,00 0,96 0,79 0,69 0,56 0,45 0,19 0,13
|
2,2 1,97 1,61 1,41 1,08
0,93 0,45 0,37
|
2,2 1,8912 1,2719 0,9729
0,6048 0,4185 0,0855 0,0481
|
1 0,9216 0,6241 0,4761
0,3136 0,2025 0,0361 0,0169
|
4,84 3,8809 2,5921 1,9881
1,1664 0,8649 0,2025 0,1369
|
0,4 0,36 0,19 0,09 -0,04
-0,15 -0,41 -0,48
|
0,16 0,1296 0,0361 0,0081
0,0016 0,0225 0,1681 0,2304
|
|
n=8
|
    -0,06819
|
|
|
|
|
|
|
;
(
)2 = 0.3555;
(
)2 = 22,7529;
= 0,2525
(
)2 = 0,5687;
; α = 63,80;
;
;
;
;
;
;
.
Уравнение
регрессии:
;
.
Затем
был произведен анализ этих данных, в результате которого было установлено, что
коэффициент корреляции весьма высок и колеблется в пределах 0,95-0,99, что
свидетельствует о тесной, почти функциональной связи между
и Sоh.
Выведенные
нами уравнения регрессии полностью совпадают с теоретическими выражениями.
Таким образом эксперимент подтвердил правильность теоретических положений,
изложенных в литературном обзоре.
Значения
угловых коэффициентов для каждой краски независимо от нахождения в одинарной,
бинарной или тройной системе и для соответствующей длины волны, а так же
независимо от линиатуры растра и угла поворота растровой системы, незначительно
отличаются друг от друга и находятся в пределах, как ошибки в расчетах угловых
коэффициентов, так и квадратичных ошибках. Это позволило произвести корректировку
полученных значений угловых коэффициентов. Откорректированные значения были
установлены в результате усреднения их значений для каждой при соответствующей
длине волны. Такая же корректировка была произведены и для отрезков.
Откорректированные данные значения приведены в общей (табл. 4.1.7), в которой
приводятся значения постоянных величин угловых коэффициентов и отрезков. На
основании этой корректировки построены корректировочные графики.
Таблица
4.1.7
Откорректированные
значения угловых коэффициентов и отрезков
|
Цвет краски
|
 
|
|
|
|
Желтая Пурпурная Голубая
|
460 520 620 460 520 620 460
520 620
|
2,12 0,12 0,04 1,48 2,24
0,18 0,14 0,43 2,30
|
0,11 0,13 0,13 0,11 0,13
0,13 0,11 0,13 0,13
|
На следующем этапе наших исследований производились расчеты относительных
площадей растровых элементов при известных значениях спектральных коэффициентов
отражения (по трем избранным длинам волн) для избранного образца. В качестве
такого образца мы должны были бы выбрать любой цветной оригинал. Однако, это
связано с нашими производственными возможностями, которые очень ограничены
временем дипломной работы, так как после определения значения площадей для
желтой, голубой и пурпурной красок нас потребовалось бы изготовить фотоформу,
форму и произвести печать. Поскольку такой возможности мы не имеем, то поэтому
мы выбрали другую методику.
В качестве образцов мы выбрали наши оттиски и произвели запись
спектральных коэффициентов отражения на спектрофотометре. После этого по
полученным значениям коэффициента отражения рассчитали относительные площади
растровых элементов.
А так как истинное значение этих площадей на оттиске нам были известны,
то мы их сравнили с расчетными. Порядок проведения расчетов заключаются в
следующем:
В соответствии с рекомендацией в теоретической части определились
вспомогательные величины:
А1=2,12; В1=1,48; С1=0,14;
А2=0,12; В2=2,24; С2=0,43; А3=0,01; В3=0,18; С3=2,3;
;
;
;
F = 2.24 +
(-0.0047) · 1.48 = 2.15;
H = 0.43 +
(-0.057) · 0.14 = 0.42;
Y = 2.12 + 2.15
· 0.14 + (-0.08) · 0.42 = 2.26.
После
определения вспомогательных величин рассчитывались относительные площади. Ниже
приводятся примеры такого расчета.
Оттиск
с пурпурной краской
Dλ1 = 0.29; Dλ1 = 0.36; Dλ1 = 0.17;
K = 0.36 - 0.057
· 0.29 = 0.34;
Z = 0.17 -
0.0047 · 0.29 - 0.08 · 0.34 = 0.14;
;
;
;
Dλ1 = 0.56; Dλ1 = 0.72; Dλ1 = 0.22;
K = 0.72 - 0.057
· 0.56 = 0.68;
Z = 0.22 -
0.0047 · 0.58 - 0.08 · 0.68 = 0.16;
;
;
;
Dλ1 = 1.27; Dλ1 = 1.83; Dλ1 = 0.28;
K = 1.83 - 0.057
· 1.27 = 1.76;
Z = 0.28 -
0.0047 · 1.27 - 0.08 · 1.76 = 0.13;
;
;
.
Оттиск
с голубой краской:
Dλ1 = 0.17; Dλ1 = 0.22; Dλ1 = 0.32;
K = 0.22 - 0.057
· 0.17 = 0.21;
Z = 0.32 -
0.0047 · 0.17 - 0.08 · 0.21 = 0.30;
;
;
;
Dλ1 = 0.22; Dλ1 = 0.32; Dλ1 = 0.69;
K = 0.32 - 0.057
· 0.22 = 0.31;
Z = 0.69 -
0.0047 · 0.22 - 0.08 · 0.31 = 0.66;
;
;
;
Dλ1 = 0.29; Dλ1 = 1.58; Dλ1 = 1.93;
K = 0,58 - 0.057
· 0.29 = 0.56;
Z = 1.93 -
0.0047 · 0.29 - 0.08 · 0,56 = 1.88;
;
;
.
Оттиск
с желтой краской:
Dλ1 = 0.33; Dλ1 = 0.17; Dλ1 = 0.16;
K = 0.17 - 0.057
· 0.33 = 0.15;
Z = 0.16 -
0.0047 · 0.33 - 0.08 · 0.15 = 0.14;
;
;
;
Dλ1 = 0.59; Dλ1 = 0.21; Dλ1 = 0.16;
K = 0.21 - 0.057
· 0.59 = 0.17;
Z = 0.16 -
0.0047 · 0.59 - 0.08 · 0.17 = 0.14;
;
;
;
Dλ1 = 0.38; Dλ1 = 0.25; Dλ1 = 0.17;
K = 0,25 - 0.057
· 1.38 = 0.15;
Z = 0.17 -
0.0047 · 1.38 - 0.08 · 0,15 = 0.15;
;
;
;
Из
этих таблиц следует, что ошибка расчета находится в пределах: в светах - 15,3%,
в полутенях - 9,3%, в тенях - 7,6%. При этом мы приняли, что на растровой
репродукции область светов охватывает растровые элементы относительной площадью
от 0 до 0,25, область полутеней от 0,25 до 0,7 и область теней от 0,7 до 1,0.
Расчет
растровых площадей осуществляется с помощью уравнения Нюрберга-Нейгебауэра, о
котором говорилось в расчетной части. Мы использовали наши экспериментальные
данные для расчета растровых площадей по этой системе. Так как для решения
поставленной задачи в эти уравнения необходимо ввести координаты цвета X, Y, Z
каждой краски, отпечатанной в виде плашки, а также координаты цвета X, Y, Z
растрового поля, для которого производится расчет Sотн, то поэтому
были использованы полученные нами кривые на спектрофотометре. Расчет координат
цвета производится по методу избранных десяти ординат. Пример расчета координат
цвета для сплошного поля желтой краски и для одного из растровых полей
отпечатанных той же краской приведен в (табл. 4.1.8 - 4.1.9). Результаты
расчета координат цвета остальных красок и бинарных наложений приведен в (табл.
4.1.10).
Таблица
4.1.8 Желтая краска 54 лин/см с поворотом S0 = 100%
|
n
|
λx
|
ρ1
|
λy
|
ρ2
|
λz
|
ρ3
|
|
1 2 3 4 5 6 7 8
9 10
|
442.1 527.8
558.5 573.1 584.5 594.7 604.7 615.3 628.0 649.2
|
10 78 79.5 82
83.5 84 83 83.5 83.5 82.5
|
494.4 519.6
533.7 545.1 555.5 565.8 576.7 589.1 605.1 630.9
|
27 74 79 80.5 81
82 82.5 83 83.5 84
|
422.9 433.0
439.9 446.0 451.0 457.8 463.9 470.8 480.2 498.6
|
10 10 10 10.5
10.5 11 11 11.5 11.5 38
|
|
|
749.5
|
|
754.0
|
|
134
|
X0 = ∑xρ1 · a =
749.5 · 0.09909 = 74.21;
Y0 = ∑yρ2 ·
b = 754 · 0.1 = 75.4;
Z0 = ∑zρ3 ·
c = 134 · 0.08531 = 11.43.
Таблица 4.1.9 Желтая краска 54 лин/см с поворотом S0 = 100%
|
n
|
λx
|
ρ1
|
λy
|
ρ2
|
λz
|
ρ3
|
|
1 2 3 4 5 6 7 8
9 10
|
442.1 527.8
558.5 573.1 584.5 594.7 604.7 615.3 628.0 649.2
|
17,5 79 81,5 82 82,5 83,0
83 83,5 83,5 84
|
494.4 519.6
533.7 545.1 555.5 565.8 576.7 589.1 605.1 630.9
|
30 76 79.5 81 82
82 82.5 83.5 83.5 84
|
422.9 433.0
439.9 446.0 451.0 457.8 463.9 470.8 480.2 498.6
|
18 17.5 17.5
17.5 18 18.5 18.5 18.5 19.5 35
|
|
|
759,5
|
|
764
|
|
198.5
|
X0 = ∑xρ1 ·
a = 759.5 · 0.09909 = 75.25;
Y0 = ∑yρ2 ·
b = 764 · 0.1 = 76.4;
Z0 = ∑zρ3 ·
c = 198 · 0.08531 = 11.43.
Таблица 4.1.9 Общая таблица значений координат цвета одинарных и бинарных
наложений при линиатуре растра 54 лин/см
|
Цвет краски при наложении
|
Поворот растра
|
Номер поля
|
Координаты цвета
|
|
|
|
X1
|
Y1
|
Z1
|
|
1
|
2
|
3
|
4
|
5
|
6
|
|
Пурпурный Желтый
Голубой
|
с поворотом без
поворота с поворотом без поворота с поворотом без поворота
|
8 6 4 2 8 6 4 3 8 5 4 2 8 5
4 2 8 5 4 2 8 5 4 2
|
34,33 38,49 45,93 65,79 35.92 38.79 44.49 61.98 74.21 75.25
76.39 81.05 75.01 76.39 77.04 81.79 20.56 26.21 31.52 38.65 20,78 21,12 22,41 25,65
|
19,20 22,90 30,00 59,15 21.95 23.70 31.00 54.55 75.40 76.40
77.20 88.0 75.90 76.85 78.10 82.60 25.20 30.15 35.24 40.45 25,47 30,25 40,52 41,43
|
13,82 19,39 29,51 52,80 16.50 20.60 28.28 49.47 11.43 16.93
22.22 55.02 11.73 19.09 25.55 56.85 59.46 61.04 63.12 68.23 59,42 61,48 63,42 68,95
|
После определения значений координат цвета, согласно формулам 4.1.4 -
4.1.6, были рассчитаны значения относительных площадей для отдельных полей
растровых шкал отпечатанных триадными красками. Метод и результаты расчета
приводятся в следующей последовательности.
Пурпурная 54 лин/см с поворотом:
;
; S0п =
0,93
;
;
; S0п =
0,76
;
;
; S0п =
0,35
;
Голубая
54 лин/см с поворотом:
;
; S0г =
0,89
;
;
; S0г =
0,68
;
;
; S0г =
0,27
.
Желтая
54 лин/см с поворотом:
;
; S0ж =
0,88
;
;
; S0ж =
0,78
;
;
; S0ж =
0,27
.
В
сводной таблице 4.1.10 приведены значения рассчитанных и фактических площадей,
а так же указана ошибка расчета для 54 лин/см
Таблица
4.1.10 Значения рассчитанных площадей
|
Цвет краски
|
Поворот растра
|
Номер образца
|
Расчетное значение S0
|
Фактическое значение S0
|
Величина ошибки %
|
|
Пурпурный Голубой
Желтый
|
с поворотом без
поворота с поворотом без поворота с поворотом без поворота
|
6 4 2 6 4 3 6 4 3 6 4 3 5 4
2 5 4 2
|
0,93 0,76 0,35 0,94 0,83
0,48 0,89 0,68 0,34 0,91 0,69 0,42 0,88 0,78 0,22 0,87 0,75 0,22
|
0,82 0,53 0,23 0,83 0,57
0,24 0,83 0,60 0,27 0,81 0,56 0,25 0,80 0,68 0,21 0,78 0,64 0,21
|
11,8 30,2 34,3 11,7 31,3 50
6,7 11,7 20,5 10,9 18,8 40,5 9,1 12,8 4,5 10,3 14, 4,5
|
Из таблицы следует, что ошибка расчета находится в пределах в светах
33,7%, в полутенях - 25,4%, в тенях - 12,3%.
Таким образом расчет площадей растровых элементов по всем трем краскам,
полученный методом Норберга-Нейгебауэра дает явную ошибку по сравнению с
рассмотренным нами методом.
Выводы
Одной из причин изменения оптических свойств красок при изменении
дисперсности пигментов является различное значение суммарной площади их
поверхности, с которой взаимодействуют падающие световые потоки.
Из этих таблиц следует, что ошибка расчета находится в пределах: в светах
- 15,3%, в полутенях - 9,3%, в тенях - 7,6%. При этом мы приняли, что на
растровой репродукции область светов охватывает растровые элементы
относительной площадью от 0 до 0,25, область полутеней от 0,25 до 0,7 и область
теней от 0,7 до 1,0. Не кроющие краски нанесенные на пленки значительную часть
энергии пропускали сквозь себя, что дает искажение цвета. По данным измерений и
вычислений можно сделать выводы, что пропускающая способность слоя краски очень
высокая что негативно влияет на продукцию, упакованную в полимерную пленку. Для
того чтобы увеличить срок годности товара, за счет упаковки из полимерной
пленки, печатать необходимо на заранее окрашенных в массе пленках или
изначально печать производить в виде грунта кроющими красками, а по ним уже
печатать триадой краской. Выведенные нами уравнения регрессии полностью
совпадают с теоретическими выражениями. Таким образом эксперимент подтвердил
правильность теоретических положений, изложенных в литературном обзоре.
Значения угловых коэффициентов для каждой краски независимо от нахождения в
одинарной, бинарной или тройной системе и для соответствующей длины волны, а
так же независимо от линиатуры растра и угла поворота растровой системы, незначительно
отличаются друг от друга и находятся в пределах, как ошибки в расчетах угловых
коэффициентов, так и квадратичных ошибках. Это позволило произвести
корректировку полученных значений угловых коэффициентов. Откорректированные
значения были установлены в результате усреднения их значений для каждой при
соответствующей длине волны.
Список использованных источников
1. Георгиевский
В.Г., Пигменты в полиграфии. - М.: Искусство, 1952. - 243 с.
. Беленький
У.Ф., Рискин И.В. Химия и технология пигментов. - Л.: Химия, 1974. - 656 с.
. Вейберг
Б.П. Физика частичных сил. - М.: 1903.
. Ребиднер
П.А. Исследования в области поверхностных явлений М., ОНТИ,, 1936. - 251 с.
. Ильясов
С.П., Красильников В.В. Физические основы инфракрасного облучения пищевых
продуктов. М.: Пищевая промышленность,
. - 359 с.
. Раскин
А. Н., Ромейков И. В., Бирюкова Н. Д. и др. Технология печатных процессов. -
М.: Книга, 1989. - 432 с.
. Баранов,
Б.А. Исследование колористических и физико-технологических свойств некоторых
азопигментов в зависимости от их дисперсного состава: дисс.канд. техн. наук /
Б.А. Баранов. - М.: 1975. - 111 с.
8. Thani
R.R. Encyclopedia of Indastrial chemical Analysis. London, 1966.
. Сакума.
Когаку джасси 1955. - 416-420 с., пер. ВИНИТИ 6239/6
. Зельдович
Я.Б. Высшая математика для начинающих. - М.: Наука, 1968. - 576 с.