|
ПЗС
|
Прибор
с зарядовой связью
|
|
ФПЗС
|
Фоточувствительные
ПЗС
|
|
МОП
|
Метал-окисел-полупроводник
|
|
QE
|
Квантовая
эффективность
|
|
CCE
|
Эффективность
сбора заряда
|
|
CTE
|
Эффективность
переноса заряда
|
|
GAIN
|
Усиление
|
|
|
Количество
фотоэлектронов
|
|
ADU
|
Относительные
единицы, зависящие от разрядности АЦП
|
|
АЦП
|
Аналогово-цифровой
преобразователь
|
|
G
|
Коэффициент
преобразования электронов в ADU
|
|
q
|
|
Введение
ПЗС оказало революционное воздействие
на астрономию. Требования, предъявляемые астрономией, особенно космического
базирования, к ПЗС, стимулировали развитие технологии их изготовления. Вначале
единичные образцы ПЗС применялись как более эффективные заменители
электронно-лучевых фотоприёмников в системах научно-прикладного телевидения. С
1975 г. был налажен серийный выпуск ПЗС и они начали активно внедряться в
телевизионную технику широкого назначения. Сегодня массовое производство
ПЗС-матриц осуществляется многими фирмами: "Sony", "Texas
Instruments", "Sharp", "Samsung", "Hitachi",
"Toshiba", "Kodak" и др. В России ПЗС-матрицы выпускаются в
основном ЦНИИ "Электрон", и его дочерним предприятием
"Электрон-оптроник"; после длительного перерыва возобновлены работы
по выпуску матриц в НПО "Пульсар".
К числу важнейших функциональных особенностей
ПЗС относятся возможность хранения, зарядовой информации; возможность
направленной передачи зарядов вдоль поверхности полупроводникового кристалла;
возможность преобразования светового потока в электрический заряд и
последующего его считывания (сканирования). Достоинством ПЗС является малая
потребляемая мощность (5-10 мкВт/бит в режиме передачи информации и практически
полное отсутствие затрат энергии в режиме хранения), что обусловлено
МДП-структурой (металл - диэлектрик - полупроводник) этих устройств. Простота
конфигурации и регулярность системы элементов в ПЗС ведет к тому, что
быстродействие этих приборов может быть очень высоким (у специально
сконструированных образцов предельные тактовые частоты лежат в гигагерцевом
диапазоне).
Пожалуй, еще более важными являются
конструктивно-технологические достоинства ПЗС, основными из которых являются
технологическая ясность и простота (малое число фотолитографических,
термодиффузионных и эпитаксиальных процессов при изготовлении прибора) -
обязательное условие при создании качественных многоэлементных (с числом
элементов 104-106) устройств; высокая степень интеграции (превышающая 105
элементов на одном кристалле) и высокая плотность упаковки (более 105 бит/см2);
малое количество внешних выводов, что является определяющим при построении
высоконадежных систем; отсутствие p-n-переходов (немногочисленные p-n-переходы
ПЗС выполняют «подсобные» функции и к ним предъявляются достаточно «слабые»
требования), что, в частности, открывает широкие возможности для использования
наряду с кремнием других полупроводниковых материалов (например, арсенида
галлия).
Для цифровой техники интересны сдвиговые
регистры, оперативные запоминающие устройства, логические схемы. Линии задержки
аналоговых сигналов на ПЗС по техническим характеристикам значительно
превосходят свои акустические и магнитные аналоги.
В оптоэлектронной технике преобразования
изображений ПЗС открывают принципиальные новые возможности для создания
безвакуумных полупроводниковых формирователей видеосигналов. Присущее им
самосканирование позволяет избавиться от громоздких и ненадежных высоковольтных
вакуумных трубок со сканированием электронным лучом. ПЗС являются уникальными
аналогами ЭЛТ, позволяющими одновременно с уменьшением массы, габаритных
размеров, потребляемой мощности повысить надежность и качество формирователей
видеосигналов. Дополнительное достоинство фотоприемников на основе ПЗС
заключается в принципиальной возможности использовать разнообразные
полупроводниковые материалы, что позволит перекрыть широкую область
электромагнитного спектра (включая и ИК область).
1. Основы работы ПЗС
.1 Структура ПЗС
В общем виде конструкция ПЗС - элемента выглядит
так: кремниевая подложка p-типа оснащается каналами из полупроводника n - типа.
Над каналами создаются электроды из поликристаллического кремния с изолирующей
прослойкой из оксида кремния. Для придания зарядам направления движения вдоль
регистра с обеих сторон канала переноса создают стоп-каналы - области,
легированные более сильно, чем кремний в самом канале переноса. Потенциальная
яма в стоп-канале не возникает, и пакет зарядов не расплывается. Сразу же после
приложения напряжения основные носители очень быстро уходят от поверхности,
образуется приповерхностный обедненный слой и потенциальную яму у поверхности
электрода. ПЗС функционируют, используя нестационарное состояние МОП-структуры.
Так как скорость термогенерации носителей мала, потенциальную яму МОП-структуры
можно использовать для накопления и временного хранения сигнальных зарядовых
пакетов.
Рисунок 1 МОП-конденсатор: 1
- полупроводник, 2 - стоп-канальная область, 3 - оксид кремния, 4 - электрод, 5
- обедненная область
прибор зарядный
камера телескоп
Рассмотрим кратко физические процессы,
протекающие в таком конденсаторе. В полупроводнике дырочного р-типа
проводимости основными носителями заряда являются дырки. При приложении к
металлическому электроду положительного потенциала основные носители (дырки) в
слое кремния, прилегающем к границе с окислом, будут отталкиваться от электрода
и, покинув поверхностный слой, отойдут в толщину полупроводника. Под
электродами образуется область, обедненная основными носителями, -
потенциальная яма, глубина которой зависит от приложенного напряжения, степени
легирования полупроводника, толщины слоя окисла. Следовательно, выбирая
значения напряжения затвора, плотность примеси и толщи ну слоя окисла, можно
эффективно управлять глубиной потенциальной ямы. Время жизни потенциальной ямы
ограничено паразитным процессом термогенерации неосновных носителей, так как в
кремнии при данной температуре всегда генерируются пары электрон-дырка, которые
под действием электрического поля разделяются: основные носите ли «отгоняются»
в толщину, а неосновные - накапливаются, заполняя постепенно потенциальную яму.
Накопление в потенциальных ямах термогенерированных носителей является
паразитным процессом. Время, необходимое для заполнения потенциальной ямы из за
термогенерации, называется временем релаксации. Следовательно, промежуток
времени, существенно меньший по сравнению со временем релаксации, может быть
использован для хранения в потенциальных ямах зарядовых пакетов, несущих
информацию о значении полезного сигнала, а МОП-конденсатор может служить
элементом, запоминающим информацию, представленную зарядом потенциальной ямы.
Таким образом, максимальное время хранения зарядовой информации, а
следовательно, и минимальная частота работы цифровых и аналоговых устройств на
ПЗС определяются процессами накопления паразитного заряда в потенциальной яме.
Зарядовый пакет в ПЗС может быть введен
электрическим путем или с помощью световой генерации. При световой генерации
фотоэлектрические процессы, возникающие в кремнии, приведут к накоплению
неосновных носителей в потенциальных ямах. Накопленный заряд пропорционален
освещенности и времени накопления. Направленная передача заряда в ПЗС
обеспечивается расположением МОП-конденсаторов на столь близком расстоянии друг
от друга, что их обедненные области перекрываются и потенциальные ямы
соединяются. При этом подвижный заряд неосновных носителей будет накапливаться
в том месте, где глубже потенциальная яма.
.2 Зарядовая связь, сдвиговый регистр с
зарядовой связью
На металлические электроды расположенных рядом
двух конденсаторов поданы положительные потенциалы U1 и U2. В начальный момент
потенциал U1 = U2. В образовавшуюся глубокую потенциальную яму левого
конденсатора может быть помещена зарядовая информация. Затем потенциал левого
электрода уменьшим, а потенциал правого - увеличим. Тогда под правым электродом
образуется глубокая потенциальная яма, в которую перетечет зарядовый пакет,
помещенный ранее в потенциальную яму левого конденсатора
Рисунок 2- Перенос зарядовых пакетов путем
переключения потенциалов электродов двух рядом расположенных МОП-конденсаторов
[1]
Следовательно, изменяя определенным образом
потенциалы на электродах близко расположенных конденсаторов, можно направленно
перемещать зарядовую информацию.
Динамику перемещения зарядовых пакетов можно
проследить на примере трехкратного сдвигового регистра - устройства, состоящего
из цепочки МОП-конденсаторов. Сдвиговым регистром управляют по трехтактной
схеме. Каждый электрод прибора подключен к одной из трех тактовых шин с фазами
Ф1, Ф2, Ф3, как показано на рисунке 3.
Рисунок 3- Перенос зарядовой информации[2]
Один элемент сдвигового регистра состоит из трех
ячеек МОП-конденсаторов. В течение первого такта работы на электроды фазы Ф1
подано положительное напряжение. Под этими электродами образуются потенциальные
ямы, в которых могут накапливаться и храниться заряды, образованные неосновными
носителями. Заряды в потенциальных ямах могут накапливаться как в результате
воздействия светового излучения - тогда заряды будут носителями полезной
информации, так и быть следствием паразитного процесса термогенерации. При этом
термогенерированные заряды составляют паразитную добавку к информационному
заряду и являются источником темнового тока сигнала изображения. Время хранения
зарядов tхр равно времени действия напряжения U2, а режим работы ячейки под
электродами фазы Ф1 в это время называется режимом хранения. В момент t2 на
электроды фазы Ф2 подается напряжение U3, значение которого превышает в 1,5...2
раза напряжение U2. Это напряжение называется напряжением записи. Оно вызывает
появление под электродами фазы Ф2 более глубоких потенциальных ям, в которые и
перетекают электроны из-под электродов фазы Ф1. Режим, при котором электроны
перетекают из одних потенциальных ям в другие, называется режимом записи. В
момент t3 (третий такт) напряжение на электродах фазы Ф2 уменьшится до значения
U2, соответствующего режиму хранения, а напряжение на электродах фазы Ф1
уменьшится от значения U2 до U1, что предотвращает возврат зарядового пакета
под электроды фазы Ф1. Из рисунка 3 видно, что перенос зарядовых пакетов
произойдет слева направо, так как под электродами фазы Ф3 потенциал остается
низким, равным U1.
Такой направленный перенос зарядовых пакетов
является одним из достоинств трехтактных регистров. В регистрах, работающих по
двухтактной схеме, направленный перенос зарядов приходится обеспечивать путем
усложнения структуры ПЗС.
Последовательность смены потенциалов на тактовых
группах показана на рисунке 3, на которой форма управляющих напряжений для
трехтактной схемы идеальна. Однако, для повышения эффективности переноса
зарядов тактовые импульсы, подаваемые на электрод, должны перекрываться и иметь
пологий фронт, что задерживает уменьшение глубины (схлопывания) потенциальной
ямы. Поэтому практически для управления используют импульсы трапецеидальной
формы.
Подача потенциалов на электроды переноса
синхронизирована таким образом, что перемещение зарядов потенциальных ям всех
ПЗС-элементов регистра происходит одновременно. И за один цикл переноса
ПЗС-элементы как бы «передают по цепочке» заряды слева направо (или же справа
налево). Ну а оказавшийся «крайним» ПЗС-элемент отдаёт свой заряд устройству,
расположенному на выходе регистра - то есть усилителю.
В целом, последовательный регистр сдвига
является устройством с параллельным входом и последовательным выходом. Поэтому
после считывания всех зарядов из регистра есть возможность подать на его вход
новую строку, затем следующую и таким образом сформировать непрерывный
аналоговый сигнал на основе двумерного массива фототоков. В свою очередь,
входной параллельный поток для последовательного регистра сдвига (то есть
строки двумерного массива фототоков) обеспечивается совокупностью вертикально
ориентированных последовательных регистров сдвига, которая именуется
параллельным регистром сдвига.
«Вертикальные» последовательные регистры сдвига,
составляющие параллельный, называются столбцами ПЗС-матрицы, а их работа
полностью синхронизирована. Двумерный массив фототоков ПЗС-матрицы одновременно
смещается вниз на одну строку, причём происходит это только после того, как
заряды предыдущей строки из расположенного «в самом низу» последовательного регистра
сдвига ушли на усилитель. До освобождения последовательного регистра
параллельный вынужден простаивать. Ну а сама ПЗС-матрица для нормальной работы
обязательно должна быть подключена к микросхеме (или их набору), подающей
потенциалы на электроды как последовательного, так и параллельного регистров
сдвига, а также синхронизирующей работу обоих регистров. Кроме того, нужен
тактовый генератор.
2. Типы фоточувствительных ПЗС
.1 Линейные ФПЗС
Линейный ПЗС - это датчик с самой простой
организацией. В нём все ячейки выстроены в одну линию, в конце которой
находится выходное устройство.
На рисунке схематически изображена неравномерно
освещённая линейка ПЗС. Более тёмными показаны ячейки, на которые падает меньше
света.
Рисунок 4- Линейный ПЗС[5]
Линейные ПЗС применяются там, где требуется
одномерное изображение, например, в считывателях штрих-кодов, или в сканерах,
где движение вдоль второй координаты осуществляется путём механического
перемещения линейки. Недостаток линейного ФПЗС является смазывание изображения
при считывании из-за того, что к зарядовым пакетам данной строки могут
добавляться носители, генерируемые светом за время накопления следующей строки.
Избавиться от этого недостатка можно, перекрывая тем или иным способом поток
излучения на время считывания.
Радикальным решением данной проблемы смазывания
изображения, формируемого линейным ФПЗС, явилось пространственное разделение
областей накопления и переноса. Частота работы такого сдвигового регистра
снижается из-за того, что время считывания соответствует времени накопления.
Дальнейшее снижение частоты и числа переносов обеспечивает двухрегистровая
схема.
Стоп-канальные области в двухрегистровом ФПЗС
выполнены таким образом, что четные фотоячейки передают накопленные заряды в
один из регистров, а нечетные - в другой.
В современных линейных ФПЗС преимущественно
используют фотодиоды из-за того, что при использовании МОП-накопителя резко
снижается чувствительность ПЗС в коротковолновой области.
.2 Матричные ФПЗС
.2.1 Полнокадровая матрица
Данный тип сенсора является наиболее простым с
конструктивной точки зрения и именуется полнокадровой ПЗС-матрицей (full-frame
CCD - matrix). Помимо микросхем «обвязки», такой тип матриц нуждается также в
механическом затворе, перекрывающем световой поток после окончания
экспонирования. До полного закрытия затвора считывание зарядов начинать нельзя
- при рабочем цикле параллельного регистра сдвига к фототоку каждого из его
пикселов добавятся лишние электроны, вызванные попаданием фотонов на открытую
поверхность ПЗС-матрицы. Данное явление называется «размазыванием» заряда в
полнокадровой матрице.
Рисунок 5- Полнокадровая матрица
Таким образом, скорость считывания кадра в такой
схеме ограничена скоростью работы как параллельного, так и последовательного
регистров сдвига. Также очевидно, что необходимо перекрывать световой поток,
идущий с объектива, до завершения процесса считывания, поэтому интервал между
экспонированием тоже зависит от скорости считывания.
.2.2 Матрица с буферизацией кадра
Существует усовершенствованный вариант
полнокадровой матрицы, в котором заряды параллельного регистра не поступают
построчно на вход последовательного, а «складируются» в буферном параллельном
регистре. Данный регистр расположен под основным параллельным регистром сдвига,
фототоки построчно перемещаются в буферный регистр и уже из него поступают на
вход последовательного регистра сдвига. Поверхность буферного регистра покрыта
непрозрачной (чаще металлической) панелью, а вся система получила название
матрицы с буферизацией кадра.
Рисунок 6- Матрица с буферизацией кадра
В данной схеме потенциальные ямы основного
параллельного регистра сдвига «опорожняются» заметно быстрее, так как при
переносе строк в буфер нет необходимости для каждой строки ожидать полный цикл
последовательного регистра. Поэтому интервал между экспонированием сокращается,
правда при этом также падает скорость считывания - строке приходится
«путешествовать» на вдвое большее расстояние. Таким образом, интервал между
экспонированием сокращается только для двух кадров, хотя стоимость устройства
за счёт буферного регистра заметно возрастает. Однако наиболее заметным
недостатком матриц с буферизацией кадра является удлинившийся «маршрут»
фототоков, который негативно сказывается на сохранности их величин. И в любом
случае между кадрами должен срабатывать механический затвор, так что о
непрерывном видеосигнале говорить не приходится.
.2.3 Матрица с буферизацией столбцов
Специально для видеотехники был разработан новый
тип матриц, в котором интервал между экспонированием был минимизирован не для
пары кадров, а для непрерывного потока. Разумеется, для обеспечения этой
непрерывности пришлось предусмотреть отказ от механического затвора. Фактически
данная схема, получившая наименование матрицы с буферизацией столбцов, в чём-то
сходна с системами с буферизацией кадра - в ней также используется буферный
параллельный регистр сдвига, ПЗС-элементы которого скрыты под непрозрачным
покрытием. Однако буфер этот не располагается единым блоком под основным
параллельным регистром его столбцы «перетасованы» между столбцами основного
регистра. В результате рядом с каждым столбцом основного регистра находится
столбец буфера, а сразу же после экспонирования фототоки перемещаются не
«сверху вниз», а «слева направо» (или «справа налево») и всего за один рабочий
цикл попадают в буферный регистр, целиком и полностью освобождая потенциальные
ямы для следующего экспонирования. Попавшие в буферный регистр заряды в обычном
порядке считываются через последовательный регистр сдвига, то есть «сверху
вниз». Поскольку сброс фототоков в буферный регистр происходит всего за один
цикл, даже при отсутствии механического затвора не наблюдается ничего похожего
на «размазывание» заряда в полнокадровой матрице. А вот время экспонирования
для каждого кадра в большинстве случаев по продолжительности соответствует
интервалу, затрачиваемому на полное считывание буферного параллельного
регистра. Благодаря всему этому появляется возможность создать видеосигнал с
высокой частотой кадров- не менее 30кадров секунду.
Рисунок 7- Матрица с буферизацией столбцов
Хотя фототоки основного параллельного регистра
сдвига сразу же попадают в буферный регистр, который не подвергается «фотонной
бомбардировке», «размазывание» заряда в матрицах с буферизацией столбцов также
происходит. Вызвано это частичным перетеканием электронов из потенциальной ямы
«светочувствительного» ПЗС-элемента в потенциальную яму «буферного», особенно
часто это происходит при близких к максимальному уровнях заряда, когда
освещённость пикселя очень высока. В результате на снимке вверх и вниз от этой
яркой точки протягивается светлая полоса, портящая кадр. Для борьбы с этим
неприятным эффектом при проектировании сенсора «светочувствительный» и буферный
столбцы располагают на большей дистанции друг от друга. Разумеется, это
усложняет обмен зарядом, а также увеличивает временной интервал данной
операции, однако вред, который наносит изображению «размазывание», не оставляет
разработчикам выбора.
Буферные регистры сдвига занимают значительную
часть площади матрицы, в результате каждому пикселю достаётся лишь 30%
светочувствительной области от его общей поверхности, в то время как у пикселя
полнокадровой матрицы эта область составляет 70%. Именно поэтому в большинстве
современных ПЗС матриц поверх каждого пиксела располагается микролинза. Такое
простейшее оптическое устройство покрывает большую часть площади ПЗС-элемента и
собирает всю падающую на эту часть долю фотонов в концентрированный световой
поток, который, в свою очередь, направлен на довольно компактную
светочувствительную область пиксела.
Рисунок 8 - Микролинза[3]
Поскольку с помощью микролинз удаётся гораздо
эффективнее регистрировать падающий на сенсор световой поток, со временем этими
устройствами стали снабжать не только системы с буферизацией столбцов, но и
полнокадровые матрицы. Впрочем, микролинзы тоже нельзя назвать «решением без
недостатков».
3. Исследование характеристик ПЗС-камеры
.1 Основные характеристики и параметры
ПЗС-матриц
Одной из важнейших характеристик регистрирующего
устройства, будь то фотоплёнка или ПЗС-матрица, является чувствительность -
способность определенным образом реагировать на оптическое излучение. Чем выше
чувствительность, тем меньшее количество света требуется для реакции
регистрирующего устройства. Для обозначения чувствительности применялись
различные величины, однако в конечном итоге прижилась практика обозначать этот
параметр в единицах ISO.
Для отдельного ПЗС-элемента под реакцией на свет
следует понимать генерацию заряда. Очевидно, что чувствительность ПЗС-матрицы
складывается из чувствительности всех её пикселов и в целом зависит от двух
параметров.
Первый параметр - интегральная чувствительность,
представляющий собой отношение величины фототока (в миллиамперах) к световому
потоку (в люменах) от источника излучения, спектральный состав которого
соответствует вольфрамовой лампе накаливания. Этот параметр позволяет оценить
чувствительность сенсора в целом.
Второй параметр - монохроматическая
чувствительность, то есть отношение величины фототока (в миллиамперах) к
величине световой энергии излучения (в миллиэлектронвольтах), соответствующей
определённой длине волны. Набор всех значений монохроматической
чувствительности для интересующей части спектра составляет спектральную
чувствительность - зависимость чувствительности от длины волны света. Таким
образом, спектральная чувствительность показывает возможности сенсора по
регистрации оттенков определённого цвета.
Чувствительность матрицы является интегральной
величиной, зависящей от чувствительности каждого ПЗС-элемента. Ну а
чувствительность пиксела матрицы зависит, во-первых, от площади светочувствительной
области, а во-вторых, от квантовой эффективности (quantum efficiency), то есть
отношения числа зарегистрированных электронов к числу упавших на поверхность
сенсора фотонов.
Важной характеристикой ПЗС-матрицы является
порог чувствительности - параметр регистрирующего свет устройства,
характеризующий минимальную величину светового сигнала, который может быть
зарегистрирован. Чем меньше этот сигнал, тем выше порог чувствительности.
Главным фактором, ограничивающим порог чувствительности, является темновой ток
(dark current). Он является следствием термоэлектронной эмиссии и возникает в
ПЗС-элементе при подаче потенциала на электрод, под которым формируется
потенциальная яма. «Темновым» же данный ток называется потому, что складывается
из электронов, попавших в яму при полном отсутствии светового потока. Если
световой поток слаб, то величина фототока близка, а порой и меньше, чем
величина темнового тока.
Существует зависимость темнового тока от
температуры сенсора - при нагревании матрицы на 9 градусов по Цельсию её
темновой ток возрастает в два раза. Для охлаждения матрицы используются
различные системы теплоотвода (охлаждения). В полевых камерах, массогабаритные
характеристики которых сильно ограничивают применение систем охлаждения, иногда
в качестве теплообменника используется металлический корпус камеры. В студийной
технике ограничений по массе и габаритам практически нет, более того,
допускается достаточно высокое энергопотребление охлаждающей системы, которые,
в свою очередь, делятся на пассивные и активные.
Пассивные системы охлаждения обеспечивают лишь
«сброс» избыточного тепла охлаждаемого устройства в атмосферу. При этом система
охлаждения играет роль максимум проводника тепла, обеспечивающего более
эффективное его рассеивание. Очевидно, что температура охлаждаемого устройства
не может стать ниже, чем температура окружающего воздуха, в чём и заключается
основной недостаток пассивных систем.
Активные системы охлаждения за счет
электрических либо химических процессов обеспечивают устройству температуру
ниже окружающего воздуха. Фактически, активные системы «вырабатывают холод»,
правда, при этом в атмосферу выделяется как тепло охлаждаемого устройства, так
и тепло системы охлаждения. Классическим примером активного охладителя является
обычный холодильник. Впрочем, несмотря на довольно высокий КПД, его
массогабаритные характеристики неприемлемы даже для студийной фототехники.
Поэтому ее активное охлаждение обеспечивается системами Пельтье, работа которых
основана на использовании одноименного эффекта, когда при наличии разности
потенциалов на концах двух проводников, изготовленных из разных материалов, на
стыке этих проводников (в зависимости от полярности напряжения) будет
выделяться, либо поглощаться тепловая энергия. Причиной тому ускорение либо
замедление электронов за счет внутренней контактной разности потенциалов стыка
проводников.
Характеристика, описывающая способность
ПЗС-элемента накопить определённой величины, называется «глубиной потенциальной
ямы» (well depth), и именно от неё зависит динамический диапазон матрицы.
Разумеется, при съёмке в условиях слабого освещения на динамический диапазон
влияет также порог чувствительности, который, в свою очередь, определяется
величиной темнового тока.
Очевидно, что потери электронов, составляющих
фототок, происходят не только в процессе накопления заряда потенциальной ямы,
но и при его транспортировке к выходу матрицы. Потери эти вызваны дрейфом
электронов, «оторвавшихся» от основного заряда при его перетекании под
следующий электрод переноса. Чем меньше количество «оторвавшихся» электронов,
тем выше эффективность переноса заряда (charge transfer efficiency). Данный
параметр измеряется в процентах и показывает долю заряда, сохранившуюся при
«переправе» между ПЗС-элементами.
В тех случаях, когда внутренний фотоэффект
приводит к избыточному количеству электронов, превышающему глубину
потенциальной ямы, заряд ПЗС-элемента начинает «растекаться» по соседним
пикселам. На снимках это явление, именуемое «блюмингом» (от английского
blooming - размывание), отображается в виде пятен белого цвета и правильной
формы, и чем больше избыточных электронов, тем крупнее пятна.
Подавление блюминга осуществляется посредством
системы электронного дренажа (overflow drain), основная задача которой- отвод
избыточных электронов из потенциальной ямы. Наиболее известны варианты
вертикального дренажа (Vertical
Overflow
Drain, VOD)
и бокового дренажа (Lateral
Overflow Drain, VOD).
В системе с вертикальным дренажом на подложку
матрицы подаётся потенциал, значение которого подбирается так, чтобы при
переполнении глубины потенциальной ямы избыточные электроны вытекали из неё на
подложку и там рассеивались. Минусом такого варианта является уменьшение
глубины потенциальной ямы и, соответственно, сужение динамического диапазона ПЗС-элемента.
Очевидно также, что данная система неприменима в матрицах с обратной засветкой.
Для измерения характеристик камеры необходимо
равномерно засветить ее входной зрачок, например, при помощи
светодиода зеленого свечения (основная длина волны около 550Á).
Светодиод подключается к импульсному источнику питания U = 5 В через балластный
резистор R = 15 кОм.
Частота импульсов ν=1
кГц значительно превосходит частоту кадровой развертки камеры (νcam
≤
30 Гц), что создает условия,
аналогичные непрерывной засветке.
Изменение светового потока, попадающего на ПЗС
матрицу, производится путем изменения скважности Q импульсов генератора. Длительность
импульсов изменяется с шагом 1 мкс, что позволяет задавать величины
потока от 0
до максимального значения Φmax, определяемого
параметрами светодиода и схемой установки.
Рисунок 9- Схема установки для измерения
характеристик ПЗС камеры: 1 - импульсный источник
питания, 2 - светодиод, 3 - диффузор, 4 - ПЗС камера, 5 - персональный
компьютер[6]
Равномерность засветки камеры достигается за
счет использования диффузора (нескольких тонких слоев поролона), расположенного
между камерой и светодиодом.
Сигнал, полученный камерой, поступает на
устройство видеозахвата персонального компьютера. Полученные изображения далее
обрабатываются в том или ином специализированном пакете (например, Matlab или MIDAS)
для учета темнового тока и получения статистических данных.
Зависимость выходного сигнала камеры от величины
светового потока приведена на рисунке 10. На графике отчетливо видны границы
между режимами камеры (5 × 7 и
26 ×
30 единиц),
на которых происходит переключение камеры в режим большей (при уменьшении
освещенности) или меньшей (при увеличении освещенности) чувствительности. Отчетливо видно
явление гистерезиса: при увеличении освещенности поверхности матрицы свыше 29
отн.
ед.
происходит переход камеры из второго в третий режим работы. При последующем
уменьшении освещенности камера переходит во второй режим работы уже на 26 отн. ед. освещенности. Гистерезис
необходим для того,
чтобы небольшие флуктуации яркости в этой области не приводили камеру в
состояние хаотических переключений между режимами. Для научного же использования
явление гистерезиса в кривой чувствительности светоприемника недопустимо, т.е. в этом случае
необходимо выбирать такой режим работы камеры, который не будет затрагивать
пограничных и нелинейных областей.
Оценим диапазон звездных величин, которые можно
зафиксировать данной ПЗС камерой при размещении ее в фокусе Кассегрена 43 см
телескопа обсерватории Ставропольского Государственного Университета.
Рисунок 10- Зависимость выходного сигнала камеры
от ее освещенности в широком диапазоне изменения освещенности.[6]
Видимая звездная величина mᵥ связана с
блеском звезды E формулой

(1.1)
где B - энергия
света от звезды, проходящая через телескоп.
При двухсекундном качестве
изображения диаметр турбулентного диска звезды будет составлять 5 пикселей
матрицы. Следовательно, свет будет распределен между 24-мя пикселями
матрицы. Энергия света от звезды, проходящая через телескоп (без учета
френелевских потерь) составляет B (Sprim −Ssec) Вт,
где Sprim и Ssec - площади первичного и вторичного зеркал
соответственно. Подставляя численные значения,
получим: E = 0.14B. Френелевские потери на каждом зеркале составляют около 5%,
а коэффициент отражения для одной поверхности защитного стекла матрицы
рассчитывается по формуле:

. (1.2)
где n - коэффициент преломления
защитного стекла (около 1.5).
Следовательно, потери на матрице составят 8%, а суммарный
коэффициент пропускания системы "телескоп + матрица" составит 0.83.
Отсюда, выражение для расчета
энергии света, попадающей
на поверхность ПЗС примет вид

. (1.3)
следовательно, освещенность элементов ПЗС матрицы в
изображении звезды будет равна:

. (1.4)
где Sstar - площадь
изображения турбулентного диска звезды в фокальной плоскости телескопа,pix - площадь одного пикселя
ПЗС-матрицы.
Из (1.1) и (1.4) получим:

. (1.5)
Следовательно, минимальная освещенность ПЗС матрицы (6·10−5люкс)
будет соответствовать блеску звезды звездной величины 15.7.
Для гида телескопа с относительным
отверстием 1/11.4 и диаметром объектива 140 мм выражение (1.5) примет вид:

. (1.6)
что незначительно отличается от
(1.5). Из выражений (1.5) и (1.6) следует, что,
благодаря различным масштабам изображения в фокальной плоскости, уменьшение апертуры телескопа еще не означает
уменьшения его проницающей силы, чего, к сожалению, нельзя сказать о его разрешении.
Линейный участок рабочего диапазона
камеры отвечает изменению освещенности матрицы в 35.7 раз, что соответствует 3.88 звездным величинам с
погрешностью измерений от 0.04m в конце рабочего участка до 0.14m
в его начале.
При попадании фотонов на элемент ПЗС
матрицы происходит "выбивание" нескольких фотоэлектронов, которые накапливаются в потенциальной яме
ячейки. В рабочей (линейной) области
матрицы количество фотоэлектронов пропорционально количеству фотонов.
Число фотоэлектронов, накопленных в ячейке ПЗС матрицы за время
экспозиции, равно

. (1.7)
где Nγ -
количество фотонов, попавших на
ячейку матрицы за один цикл накопления,
q - квантовая эффективность матрицы
(будем считать ее одинаковой для всех ячеек),
δe - шум
считывания ячейки,
δγ -
межпиксельная флуктуация потока фотонов (особо проявляется при слабых потоках
излучения).
Тогда при усреднении по кадру
получим:

. (1.8)
В выражении (1.8) = 0. При малых потоках света и малых выдержках, когда за время экспозиции на пиксели попадает
всего несколько фотонов, δγ может
коррелировать с положением пикселя. При
достаточно больших потоках и выдержках можно с уверенностью положить δγ = 0. Флуктуации количества накопленных электронов
являются случайной величиной, имеющей
гауссово распределение. Поэтому δγ = 0. Следовательно,
получим:

(1.9)

(2.0)
Число фотоэлектронов Ne
можно оценить по уровню фототока

(2.1)
где e - заряд электрона,
T - время наблюдения.
Либо,
исходя из количества отсчетов:

. (2.2)
где G - коэффициент преобразования
электроны → отсчеты ("gain"), зависящий от разрядности АЦП и
коэффициента усиления выходного сигнала.
Количество фотонов Nγ, попавших за время наблюдения на элемент матрицы, можно определить,
найдя при помощи люксметра освещенность матрицы E.
Тогда поток излучения, падающего
на элемент, равен:
Так как Φ = dE/dt, получим, что за
время экспозиции T на элемент матрицы попадет энергия ε = Φ
· T = EsT. Следовательно,
для монохромного излучения

. (2.3)
В качестве монохроматического
источника излучения можно использовать полупроводниковый лазер, монохроматор, либо
узкополосный светофильтр. Однородной
засветки ПЗС и люксметра можно добиться, поместив в
параллельный монохроматический пучок излучения, рассеивающий элемент.
Найдя таким образом величины, входящие в правую часть (2.0), можно определить
квантовую эффективность ПЗС матрицы.
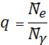
Обозначим S = G
- считанный сигнал в ADU, n = q
- количество фотоэлектронов, накопленных в ячейке ПЗС матрицы за время
экспозиции, B - уровень смещения, δS- случайная
ошибка, вносимая при считывании. Тогда получим:

.
(2.5)
Стоит заметить, что при больших выдержках к сигналу добавляется
довольно значительный шум, связанный с
термоэлектронами, количество
которых пропорционально времени наблюдения. Для того, чтобы из подобного изображения выделить
"чистый" сигнал, получают
"темновые кадры" при закрытом затворе матрицы с выдержкой, равной выдержке основного кадра. На малых экспозициях темновые токи не вносят
сколь-нибудь заметного вклада в уровень
выходного сигнала, поэтому их
можно исключить из уравнения (2.5).можно представить в виде B = B+δB, где усреднение проводится по всей матрице, а δB -
отклонение шума считывания от среднего значения для каждого пикселя. Для большого количества элементов при
стабильном состоянии матрицы δB = 0.
Вычитая из (2.5) B, получим выражение для сигнала, по большей части освобожденного от шумов:

. (2.5)
Усредняя последнее выражение, получим:

. (2.6)
Так как 
= 
= 0,
то

. (2.7)
Дисперсия 
:

. (2.8)
Подставим в это выражение значения
из (2.7) и (2.8), раскроем квадрат и отбросим слагаемые вида 
, где 
и 
- не коррелирующие между собой
величины (так как среднее их произведения равно 0). Тогда получим:

. (2.9)
В выражении (3.0) 
имеет тот же смысл, что и 
, так как это
- та же самая дисперсия считанного сигнала,
следовательно 
и

. (3.1)
Обозначим 
- шум считывания ПЗС матрицы. Дисперсию количества накопленных электронов
можно найти, учитывая
тот факт, что для каждого пикселя оно
распределено по Пуассону,
следовательно:

. (3.2)
Из (2.8) получим:

. (3.4)
Величины 
и 
можно непосредственно измерить, поэтому, чтобы найти

и 
, достаточно
осуществить несколько серий испытаний для разных уровней освещенности, построить по полученным данным график 
, и
аппроксимировать его прямой методом наименьших квадратов. Из полученного уравнения прямой можно выразить
искомые параметры:

. (3.5)
D - точка
пересечения графика с осью ординат.
Заключение
В результате выполнения курсовой работы
исследованы основные характеристики ПЗС потребительского класса с ПЗС матрицей ICX-259AL
фирмы SONY в качестве
светоприемника телескопа.
Камера имеет следующие паспортные данные:
• размер рабочей зоны камеры (5.170
× 4.190),
• число рабочих элементов матрицы - 752 ×
582,
• размер пикселя - 6.5 ×
6.25 мкм
(~ 0.2500),
• расстояние между центрами пикселей -
10.6 × 11.1 мкм,
• минимальная освещенность объекта при S/N = 10
и светосилой объектива/0.8 составляет 6 · 10−5 люкс,
• выходной поток данных соответствует
стандартному видеосигналу с частотой от 4 до 30 кадров в секунду,
• разрядность АЦП камеры - 8.
Список использованных источников
1. Игнатов А.Н. Оптоэлектронные
приборы и устройства. − М., 2006.
. Пресс Ф.П. Фоточувствительные
приборы с зарядовой связью. ― Москва:
"Радио и связь", 1991.
. Описания лабораторных работ МФТИ -
URL:
http://fpfe.mipt.ru/study/kurs3/labs/27-arpf38r8dcu.pdf [7 февраля 2011]
. Курбатов Л.Н. Оптоэлектроника
видимого и инфракрасного диапазонов спектра. - М.: МФТИ. 1999.
.
Киес Р. Дж. Фотоприёмники видимого и инфракрасного диапазона. - М.: Радио и
связь, 1985.
.
Материалы для преподавателей и студентов ВУЗов. Спецпрактикум по астрофизике - URL:
http://eddyem.narod.ru/sgu/astroSP.pdf.